электронный сборник нормативных документов по строительству
Обновления
26.04.2026 15:12
электронный сборник нормативных документов по строительству

ГОСТ Р 71644-2024 ИНДИКАТОРЫ ЗНАКОСИНТЕЗИРУЮЩИЕ. МЕТОДЫ ИЗМЕРЕНИЯ И ОПРЕДЕЛЕНИЯ ПАРАМЕТРОВ, ХАРАКТЕРИЗУЮЩИХ КАЧЕСТВО ОТОБРАЖАЕМОЙ ИНФОРМАЦИИ И НАДЕЖНОСТЬ ЕЕ ВОСПРИЯТИЯ

Утв. и введен в действие Приказом Федерального агентства по техническому регулированию и метрологии от 1 октября 2024 г. N 1337-ст

Национальный стандарт РФ ГОСТ Р 71644-2024

"ИНДИКАТОРЫ ЗНАКОСИНТЕЗИРУЮЩИЕ. МЕТОДЫ ИЗМЕРЕНИЯ И ОПРЕДЕЛЕНИЯ ПАРАМЕТРОВ, ХАРАКТЕРИЗУЮЩИХ КАЧЕСТВО ОТОБРАЖАЕМОЙ ИНФОРМАЦИИ И НАДЕЖНОСТЬ ЕЕ ВОСПРИЯТИЯ"

Sign-synthesizing indicators. Methods of measurement and determination of parameters characterizing the quality of displayed information and the reliability of its perception

ОКС 31.120

Дата введения - 1 марта 2025 года

Введен впервые

Предисловие

1 РАЗРАБОТАН Акционерным обществом "Российский научно-исследовательский институт "Электронстандарт" (АО "РНИИ "Электронстандарт")

2 ВНЕСЕН Техническим комитетом по стандартизации ТК 303 "Электронная компонентная база, материалы и оборудование"

3 УТВЕРЖДЕН И ВВЕДЕН В ДЕЙСТВИЕ Приказом Федерального агентства по техническому регулированию и метрологии от 1 октября 2024 г. N 1337-ст

4 ВВЕДЕН ВПЕРВЫЕ

Правила применения настоящего стандарта установлены в статье 26 Федерального закона от 29 июня 2015 г. N 162-ФЗ "О стандартизации в Российской Федерации". Информация об изменениях к настоящему стандарту публикуется в ежегодном (по состоянию на 1 января текущего года) информационном указателе "Национальные стандарты", а официальный текст изменений и поправок - в ежемесячном информационном указателе "Национальные стандарты". В случае пересмотра (замены) или отмены настоящего стандарта соответствующее уведомление будет опубликовано в ближайшем выпуске ежемесячного информационного указателя "Национальные стандарты". Соответствующая информация, уведомление и тексты размещаются также в информационной системе общего пользования - на официальном сайте Федерального агентства по техническому регулированию и метрологии в сети Интернет (www.rst.gov.ru)

1 Область применения

Настоящий стандарт распространяется на активные и пассивные знакосинтезирующие индикаторы (далее - индикаторы) и устанавливает методы измерения и определения параметров, характеризующих качество отображаемой информации и надежность ее восприятия:

- яркость собственного фона;

- коэффициент яркости элемента отображения и собственного фона индикатора;

- предельно допустимых значения угла обзора, расстояния наблюдения и внешней освещенности;

- цветовая разность;

- цветовой контраст.

2 Нормативные ссылки

В настоящем стандарте использованы нормативные ссылки на следующие стандарты:

ГОСТ 8.332 Государственная система обеспечения единства измерений. Световые измерения. Значения относительной спектральной световой эффективности монохроматического излучения для дневного зрения. Общие положения

ГОСТ 12.1.004 Система стандартов безопасности труда. Пожарная безопасность. Общие требования

ГОСТ 12.1.010 Система стандартов безопасности труда. Взрывобезопасность. Общие требования

ГОСТ 12.2.003 Система стандартов безопасности труда. Оборудование производственное. Общие требования безопасности

ГОСТ 12.3.019 Система стандартов безопасности труда. Испытания и измерения электрические. Общие требования безопасности

ГОСТ 7721 Источник света для измерений света. Типы, технические требования. Маркировка

ГОСТ 25024.7 Индикаторы знакосинтезирующие. Методы измерения спектральных характеристик и координат цветности

ГОСТ 25066 Индикаторы знакосинтезирующие. Термины, определения и буквенные обозначения

ГОСТ Р 8.568 Государственная система обеспечения единства измерений. Аттестация испытательного оборудования. Основные положения

Примечание - При пользовании настоящим стандартом целесообразно проверить действие ссылочных стандартов в информационной системе общего пользования - на официальном сайте Федерального агентства по техническому регулированию и метрологии в сети Интернет или по ежегодному информационному указателю "Национальные стандарты", который опубликован по состоянию на 1 января текущего года, и по выпускам ежемесячного информационного указателя "Национальные стандарты" за текущий год. Если заменен ссылочный стандарт, на который дана недатированная ссылка, то рекомендуется использовать действующую версию этого стандарта с учетом всех внесенных в данную версию изменений. Если заменен ссылочный стандарт, на который дана датированная ссылка, то рекомендуется использовать версию этого стандарта с указанным выше годом утверждения (принятия). Если после утверждения настоящего стандарта в ссылочный стандарт, на который дана датированная ссылка, внесено изменение, затрагивающее положение, на которое дана ссылка, то это положение рекомендуется применять без учета данного изменения. Если ссылочный стандарт отменен без замены, то положение, в котором дана ссылка на него, рекомендуется применять в части, не затрагивающей эту ссылку.

3 Термины и определения

В настоящем стандарте применены термины по ГОСТ 25066.

4 Общие требования при проведении измерений

4.1 Требования к условиям проведения измерений

Измерения проводят при нормальных климатических условиях, если другие требования не установлены в стандартах или технических условиях (ТУ) на индикаторы конкретного типа:

- температура воздуха - от 15 °C до 35 °C;

- относительная влажность воздуха - от 45% до 80%;

- атмосферное давление - от 86 до 106 кПА (от 645 до 795 мм рт. ст).

При температуре выше 30 °C относительная влажность не должна быть выше 70%.

4.2 Требования к оборудованию

4.2.1 Измерительная установка должна обеспечивать соответствие внешней освещенности, указанной в стандартах или ТУ на индикаторы конкретных типов.

4.2.2 Конструкция установки для измерения параметров должна обеспечивать размещение и закрепление испытуемого индикатора при заданных расстояниях и углах согласно структурной схеме измерения, а также надежность электрических контактов.

4.2.3 Установка для измерения параметров должна быть размещена в помещениях, где отсутствует воздействие внешних механических факторов, или ее конструкция должна обеспечивать защиту индикаторов и фотоприемника от воздействия внешних механических факторов, включая пыль и другие посторонние частицы.

4.2.4 Источник света для измерения светотехнических параметров указывают в стандартах или ТУ на индикаторы конкретных типов. При отсутствии указаний источником света должен быть источник типа А в соответствии с ГОСТ 7721.

4.2.5 Фотометры должны обеспечивать измерение величины с погрешностью, находящейся в пределах ± 20%. Спектральная чувствительность фотоприемника должна быть корригирована под относительную спектральную световую эффективность для дневного зрения ГОСТ 8.332.

4.2.6 Измерительная установка должна быть аттестована в соответствии с ГОСТ Р 8.568.

Применяемые средства измерений должны быть поверены или откалиброваны в соответствии с нормативными документами, устанавливающими порядок и методы поверки конкретных средств измерений.

5 Требования безопасности

5.1 При выполнении измерений оборудование должно соответствовать общим требованиям безопасности в соответствии с ГОСТ 12.2.003.

5.2 При выполнении электрических измерений должны быть соблюдены общие требования безопасности в соответствии с ГОСТ 12.3.019.

5.3 При выполнении измерений производственные помещения должны соответствовать общим требованиям пожарной безопасности в соответствии с ГОСТ 12.1.004 и ГОСТ 12.1.010.

6 Метод измерения яркости собственного фона

6.1 Общие положения

6.1.1 Яркость собственного фона индикатора измеряют при отсутствии внешней освещенности.

Примечания

1 Допускается проводить измерение при наличии внешней освещенности, если измерительная установка обеспечивает исключение влияния внешней освещенности на результаты измерения.

2 Для пассивных индикаторов без электронной схемы подсветки яркость собственного фона измеряют при внешней освещенности, указанной в стандартах или ТУ на индикаторы конкретных типов.

3 Для многоцветных индикаторов яркость собственного фона измеряют для каждого цвета свечения.

6.1.2 Яркость собственного фона индикатора измеряют на участке информационного поля между включенными элементами отображения и (или) на выключенном элементе отображения, находящемся между включенными элементами отображения.

6.1.3 Количество включенных и выключенных элементов и их взаимное расположение, а также число измеряемых индикаторов и элементов указывают в техническом задании на разработку, в стандартах или ТУ на индикаторы конкретных типов.

6.2 Требования к оборудованию

6.2.1 Структурная схема установки для измерения яркости собственного фона приведена на рисунке 1.

image001.png

1 - блок установления электрического режима; 2 - подключающее устройство; 3 - измеряемый индикатор; 4 - приспособление для закрепления; 5 – фотометр (фотоприемное устройство (ФПУ)); 6 - регистрирующий прибор для измерения фототока; 7 - светонепроницаемая камера; X1, X2 - контакты для подключения индикатора; 00 – оптическая ось ФПУ и геометрическая ось индикатора (нормаль к информационному полю индикатора)

Рисунок 1 - Структурная схема установки для измерения яркости собственного фона

Примечание - Допускается светонепроницаемую камеру не применять, если измерения проводят согласно 6.1.1 (примечание 1).

6.2.2 Установка должна обеспечивать фотометрирование по всему или части информационного поля индикатора.

6.3 Подготовка к измерениям

6.3.1 Подготавливают к работе фотометр и блок установления электрического режима согласно руководству по эксплуатации.

6.3.2 Закрепляют индикатор с помощью приспособления. При этом поверхность информационного поля индикатора должна быть расположена перпендикулярно оптической оси объектива фотометра.

6.4 Проведение измерений

6.4.1 Устанавливают электрический режим, указанный в стандартах или ТУ на индикаторы конкретных типов.

Примечание - Для многоцветных индикаторов включают элементы отображения информации измеряемого цвета.

6.4.2 Измеряют яркость на участке информационного поля между включенными элементами отображения и (или) на выключенном элементе отображения, находящемся между включенными элементами.

6.4.3 Повторяют операции, указанные в 6.4.1 - 6.4.2 не менее трех раз для других участков информационного поля. Конкретное число измерений указывают в стандартах или ТУ на индикаторы конкретных типов.

Примечание - Для многоцветных индикаторов повторяют операции 6.4.1 - 6.4.3 для других цветов свечения информационного поля.

6.5 Обработка результатов

6.5.1 Из полученных значений яркости выбирают максимальное и принимают за яркость собственного фона индикатора Lф.и.

Примечание - Если максимальное значение яркости более чем в 1,5 раз превышает ближайшее значение яркости, то измеряют яркость еще в 10 точках. Если максимальная яркость превышает снова в 1,5 раза ближайшее значение, то яркость собственного фона индикатора Lф.и в канделах на квадратный метр вычисляют по формуле

image002.png, (1)

при Si = const вычисляют по формуле

image003.png, (2)

где Li - яркость i-го элемента, кд/м2;

Si - площадь i-го элемента, м2;

Ln - максимальная яркость, кд/м2;

n - количество измерений.

6.6 Погрешность измерений

Погрешность измерения яркости собственного фона не должна выходить за пределы ± 20% с доверительной вероятностью 0,95.

7 Метод измерения коэффициента яркости элемента отображения информации и собственного фона

7.1 Общие положения

7.1.1 Под коэффициентом яркости элемента отображения информации и собственного фона индикатора понимают отношение яркости исследуемой поверхности в заданном направлении к яркости диффузной равнояркой поверхности, находящейся в тех же условиях освещения.

7.1.2 Измерение коэффициента яркости элемента отображения информации и собственного фона проводят без установления электрического режима.

7.2 Требования к оборудованию

7.2.1 Коэффициент яркости элемента отображения информации и соответственно о фоне (коэффициента яркости элемента или промежутка между элементами) индикатора измеряют на установке, структурная схема которой приведена на рисунке 2.

Примечание - Допускается использовать двухканальные схемы измерения коэффициента яркости.

image004.png

00 - оптическая ось ФПУ и геометрическая ось индикатора (нормаль к информационному полю индикатора); 1 – измеряемый индикатор; 2 - диффузно-пропускная (диффузно-отражаемая) равнояркая поверхность; 3, 4 - внешний источник света; 5 - фотометр (ФПУ); 6 - регистрирующий прибор для измерения фототока; 7 - светонепроницаемая камера

Рисунок 2 - Структурная схема установки для измерения коэффициента яркости элемента отображения информации и собственного фона

7.2.2 В качестве диффузно-отражающей равнояркой поверхности используют светорассеивающие поверхности с известным коэффициентом яркости, близким единице, но не менее 0,8.

В качестве диффузно-пропускающей равнояркой поверхности используют поверхности, коэффициент яркости которых при пропускании постоянен или его изменение не выходит за пределы ± 3%.

7.2.3 Внешний источник света должен обеспечивать создание в плоскости индикатора внешней освещенности, указанной в стандартах или ТУ на индикаторы конкретных типов. Угол α должен составлять 45°. Допустимое отклонение угла не должно выходить за пределы ± 5%.

В качестве внешнего источника света используют лампы накаливания, обеспечивающие стабильность поддержания освещенности на индикаторе и на диффузно-отражающей и диффузно-пропускающей эталонной поверхности в пределах ± 10%.

7.2.4 Внутренние стенки светонепроницаемой камеры должны иметь матовую поверхность черного цвета.

7.2.5 Установка должна обеспечивать фотометрирование по всему или части информационного поля индикатора.

7.3 Подготовка к измерениям

Подготавливают к работе фотоприемное устройство и регистрирующий прибор согласно руководству по эксплуатации.

7.4 Проведение измерений

7.4.1 Устанавливают значение внешней освещенности на диффузной поверхности, при котором показания регистрирующего прибора лежат во второй половине измерительной шкалы.

Измеряют яркость диффузной поверхности L0.

7.4.2 Заменяют диффузную поверхность поверхностью элемента отображения информации индикатора. Измеряют яркость элемента отображения информации Lэ.

7.4.3 Повторяют операции, указанные в 7.4.1 - 7.4.2, не менее чем на трех других элементах.

7.4.4 Повторяют операции, указанные в 7.4.1.

7.4.5 Заменяют диффузную поверхность поверхностью между элементами отображения информации индикатора.

Измеряют яркость между элементами отображения информации Lмэ.

7.4.6 Повторяют операции, указанные в 7.4.1 - 7.4.5, не менее чем на трех других промежутках между элементами.

7.5 Обработка результатов измерений

7.5.1 Коэффициент яркости i-го элемента отображения информации индикатора βαβэi, вычисляют по формуле

image005.png, (3)

где βαβо - коэффициент яркости отражающей (пропускающей) диффузной поверхности;

Lэi - яркость i-го элемента, кд/м2;

Lо - яркость диффузной поверхности, кд/м2.

7.5.2 Коэффициент яркости i-го промежутка между элементами отображения информации индикатора βαβмэi, вычисляют по формуле

image006.png, (4)

где βαβо - коэффициент яркости отражающей (пропускающей) диффузной поверхности;

Lмэi - яркость i-го промежутка между элементами, кд/м2;

Lо - яркость диффузной поверхности, кд/м2.

7.5.3 Из полученных значений коэффициентов яркости элементов (между элементами) отображения информации максимальное значение принимают за коэффициент яркости элемента (между элементами) отображения информации индикатора.

7.5.4 Из максимальных значений коэффициентов яркости элементов и между элементами максимальное значение принимают за коэффициент яркости собственного фона индикатора.

7.6 Погрешность измерений

Погрешность измерения коэффициента яркости элемента отображения информации индикатора не должна выходить за пределы ± 30% с установленной вероятностью 0,95.

8 Методы определения предельно допустимых значений углов обзора, расстояний наблюдения и внешней освещенности

8.1 Общие положения

8.1.1 За предельно допустимые значения угла обзора и расстояния наблюдения принимают их максимальное значение, за предельно допустимое значение внешней освещенности для активных индикаторов принимают его максимальное (для пассивных минимальное) значение, при которых обеспечивается безошибочное считывание информации несколькими операторами (не менее четырех) без учета времени их реакции.

8.1.2 За предельно допустимые значения угла обзора, расстояния наблюдения, внешней освещенности многоцветных индикаторов принимают минимальную величину предельно допустимых значений этого параметра, определяемых отдельно для каждого цвета свечения.

8.1.3 Считывание информации проводит оператор, предварительно ознакомленный с начертанием знаков измеряемых индикаторов.

8.1.4 Время предъявления (экспозиции) информации и темп ее повторения определяют зависимостью от скорости и правильности его считывания оператором и устанавливают в процессе измерения. Максимальное время, через которое предъявляется последующая информация, не должно быть больше времени, необходимого для записи ответа оператора и предъявления новой информации.

8.1.5 Электрический режим при определении предельно допустимых значений углов обзора, расстояния наблюдения и внешней освещенности должен обеспечить воспроизведение знаков и других символов в части (частях) информационного поля, указанной в стандартах или ТУ на индикаторы конкретных типов, в случайном порядке:

- для цифровых - цифр от 0 до 9;

- буквенно-цифровых индикаторов - части рабочего алфавита: Э, М, О, Э, Ю, Я, Б, В, Ш, Щ, Ц, П, Ы и цифр от 0 до 9;

- для графических индикаторов - части рабочего алфавита: Э, М, О, Э, Ю, Я, Б, В, Ш, Щ, Ц, П, Ы и цифр от 0 до 9, на знакоместе 5 x 7 и при необходимости - знаков "→", "←", "↑", "↓", image007.png image008.png image009.png image010.png и других геометрических фигур, а также графиков или их частей;

- для мнемонических и шкальных индикаторов - отдельных элементов, части мнемосхем, цифровых отметок и других символов.

Примечание - Выбранные из указанных знаки и символы устанавливают в ТУ на индикаторы конкретных типов.

У многоразрядных индикаторов включают первый и (или) последний разряды.

Примечания

1 При определении предельно допустимого значения угла обзора в горизонтальной плоскости рекомендуется по краям центральной строки высвечивать знаки, содержащие близко расположенные вертикальные штрихи.

2 Для модулей экрана угол обзора определяют на составном (не менее четырех модулей) экране в местах стыковки и на краях модулей.

3 При определении предельно допустимого значения расстояния наблюдения и внешней освещенности знаки могут высвечиваться в центральном ряду информационного поля индикатора.

8.2 Требования к оборудованию

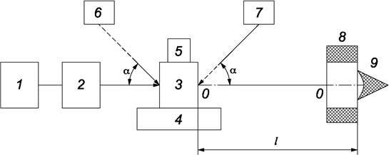
8.2.1 Структурная схема установки для измерения предельно допустимых значений углов обзора, расстояний наблюдения и внешней освещенности приведена на рисунке 3.

image011.png

1 - блок установления электрического режима; 2 – пульт управления индикатором; 3 - измеряемый индикатор; 4 - поворотное устройство; 5 - люксметр; 6 – внешний источник света для пассивных индикаторов, работающих в режиме "на просвет"; 7 - осветитель (внешний источник света); 8 - фиксирующее приспособление; 9 - глаз оператора; 00 - нормаль к информационному полю индикатора

Рисунок 3 - Структурная схема установки для измерения предельно допустимых значений углов обзора, расстояний наблюдения и внешней освещенности

Примечание - При достаточном уровне естественной освещенности измерения допускается проводить без осветителей.

8.2.2 Пульт управления индикатором должен обеспечивать отображение знаков на их информационном поле индикатора в соответствии с 8.1.5.

8.2.3 Поворотное устройство должно обеспечивать:

- надежное закрепление индикатора;

- возможность плавного поворота индикатора относительно его вертикальной и горизонтальной осей, проходящих через центр поверхности информационного поля индикатора и лежащих в одной с ним плоскости.

8.2.4 Погрешность люксметра не должна выходить за пределы ± 10%.

Погрешность отсчета угла поворота индикатора не должна выходить за пределы ± 1°.

8.2.5 В качестве внешних источников света используют лампы накаливания, обеспечивающие стабильность поддерживания уровня освещенности в плоскости индикатора, указанного в стандартах или ТУ на индикаторы конкретных типов.

8.2.6 Фиксирующее приспособление должно обеспечивать четкую фиксацию линии взора оператора в направлении нормали к центру поверхности информационного поля индикатора, если иное не указано в стандартах или ТУ на индикатор конкретных типов.

Примечание - Допускается проводить измерения без фиксирующего приспособления при условии совмещения линии взора оператора с нормалью к центру поверхности информационного поля индикатора перед каждым измерением.

8.2.7 Угол подсветки индикатора α в начальном положении должен находиться в пределах, указанных в стандартах или ТУ на индикаторы конкретных типов.

8.3 Метод определения предельно допустимых значений углов обзора

8.3.1 Общие положения

8.3.1.1 Различают угол обзора в горизонтальной плоскости, определяемый при повороте индикатора относительно вертикальной оси (αг+, αг-) и углом обзора в вертикальной плоскости - при повороте вокруг горизонтальной оси (αв+, αв-).

8.3.1.2 Предельно допустимые углы обзора измеряют при значениях яркости и (или) собственного яркостного контраста индикатора, соответствующих приемно-сдаточным нормам, а для индикаторов, имеющих возможность регулирования яркости и (или) собственного яркостного контраста, кроме того нормам минимальной наработки и номинальным значениям, указанным в стандартах или ТУ на индикаторы конкретных типов, при расстоянии наблюдения l = 80 - 100h (h - высота знака или знакоместа), значениях внешней освещенности (200 ± 50) лк и (500 ± 50) лк или указанных в стандартах или ТУ на индикаторы конкретных типов и совмещении линии обзора оператора перед началом измерений с нормалью к центру поверхности информационного поля индикатора, если иное не установлено в стандартах или ТУ на индикаторы конкретных типов.

8.3.1.3 Требования к способу предъявления информации согласно 8.1.5.

8.3.2 Подготовка к измерениям

8.3.2.1 Подготавливают к работе блок установления электрического режима и пульт управления индикатором.

8.3.2.2 Совмещают линию взора оператора с нормалью к центру поверхности информационного поля индикатора, если иное не установлено в стандартах или ТУ на индикаторы конкретных типов.

8.3.3 Проведение измерений

8.3.3.1 Устанавливают заданный электрический режим в соответствии со стандартами или ТУ на индикаторы конкретных типов.

8.3.3.2 Отображают на индикаторе один из знаков (символов). Поворачивают индикатор вокруг горизонтальной (вертикальной) оси до тех пор, пока оператор перестанет безошибочно различать знак. Фиксируют значение угла наблюдения на исчезновение информации αиi, при котором впервые неправильно распознается знак i-м оператором.

Разворачивают индикатор в ту же сторону настолько, чтобы оператор не различал знак. На указанном знакоместе отображается другой знак и индикатор плавно поворачивают в обратную сторону до тех пор, пока оператор правильно назовет предъявленный знак. Фиксируют значение угла наблюдения на поле информации αпi i-м оператором.

Примечание - Для пассивных индикаторов, если в исходном положении индикатора отображаемый знак не наблюдается, допускается перед определением углов обзора на исчезновение информации развернуть индикатор таким образом, чтобы оператор мог правильно воспринимать отображаемый знак.

8.3.3.3 Повторяют операции 8.3.3.1 - 8.3.3.2 для других операторов.

Примечание - Операторы разбиваются на две группы. Первая группа фиксирует углы наблюдения сначала на появление, затем исчезновение информации. Вторая группа фиксирует углы наблюдения сначала на исчезновение, затем на появление информации.

8.3.3.4 Среднее пороговое значение угла наблюдения αпор.ср.i, в градусах для i-го оператора в горизонтальной и вертикальной плоскостях вычисляют по формуле

image012.png, (5)

где αиi, αпi - угол наблюдения i-го оператора на исчезновение и появление знака.

Среднее пороговое значение угла наблюдения αпор.ср, в градусах в горизонтальной и вертикальной плоскостях для группы операторов вычисляют по формуле

image013.png, (6)

где n - количество операторов (не менее четырех).

8.3.3.5 Каждому оператору при среднем пороговом значении угла наблюдения, αпор.ср, предъявляют в случайной последовательности знаки рабочего алфавита индикатора (не менее 5 знаков и не менее 30 предъявлений, конкретное число которых указывают в стандартах или ТУ на индикаторы конкретных типов).

Первым может быть выбран оператор, получивший наименьшее среднее пороговое значение угла наблюдения αпор.ср.i.

8.3.3.6 Если при значениях среднего порогового угла наблюдения αпор.ср появляются ошибки в считывании, повторяют операции 8.3.3.5 при углах наблюдения α, меньших αпор.ср.

8.3.3.7 В случае многоцветных индикаторов повторяют операции 8.3.3.4 - 8.3.3.6 для каждого цвета свечения.

8.3.4 Обработка результатов измерений

8.3.4.1 Из значений средних пороговых углов наблюдения αпор.ср или αпор.ср.i выбирают максимальное значение αmax, при котором все операторы безошибочно считывают предъявленные знаки и принимают его за предельно допустимое значение угла обзора индикатора.

8.3.4.2 Для многоцветных индикаторов из значений углов наблюдения αrmaxв max) определенных по каждому цвету свечения, выбирают минимальное значение и принимают его за предельно допустимое значение угла обзора индикатора.

8.3.5 Погрешность измерений

Абсолютная погрешность определения допустимых углов обзора не должна выходить за пределы ± 5° с установленной вероятностью 0,95.

8.4 Метод определения предельно допустимого расстояния наблюдения

8.4.1 Общие положения

8.4.1.1 Предельно допустимое расстояние наблюдения измеряют при значениях яркости и (или) собственного яркостного контраста индикатора, соответствующих приемно-сдаточным нормам, а для индикаторов, имеющих возможность регулирования яркости и (или) собственного яркостного контраста кроме того нормам минимальной наработки и номинальным значениям, указанных в стандартах или ТУ на индикаторы конкретных типов, внешней освещенности (200 ± 50) лк и (500 ± 50) лк или указанных в стандартах или ТУ на индикаторы конкретных типов и совмещении линии взора оператора перед началом измерений с нормалью к центру поверхности информационного поля индикатора, если иное не указано в стандартах или ТУ на индикаторы конкретных типов.

8.4.1.2 Требования к способу предъявления информации согласно 8.1.5.

8.4.2 Подготовка и проведение измерений

8.4.2.1 Подготовка к измерениям - согласно 8.3.2.

8.4.2.2 Устанавливают заданный электрический режим в соответствии со стандартами или ТУ на индикаторы конкретных типов.

8.4.2.3 Отображают на индикаторе один из знаков (символов). Устанавливают расстояние наблюдения l между испытываемым индикатором и оператором до тех пор, пока оператор перестает безошибочно различать знак. Значение этого расстояния, при котором впервые неправильно распознается знак для i-го оператора lиi фиксируют.

8.4.2.4 Увеличивают расстояние наблюдения настолько, чтобы наблюдатель не различал знак. На индикаторе отображают другой знак и расстояние наблюдения уменьшают до тех пор, пока оператор правильно назовет предъявленный знак. Фиксируют расстояние на правильное распознавание знака lni.

8.4.2.5 Повторяют операции 8.4.2.2 - 8.4.2.4 для других операторов.

8.4.2.6 Среднее пороговое значение расстояния наблюдения lпор.ср. в метрах операторов вычисляют по формуле

image014.png, (7)

где lиi, lпi - расстояние наблюдения для i-го оператора на исчезновение и появление знака, мм;

n - количество операторов (не менее четырех).

8.4.2.7 Каждому оператору при среднем пороговом значении расстояния наблюдения lпор.ср. в случайной последовательности предъявляют не менее пяти знаков и не менее 30 предъявлений, конкретное число которых указывают в стандартах или ТУ на индикаторы конкретных типов.

8.4.2.8 Если при среднем пороговом значении расстояния наблюдения появляются ошибки считывания, 8.4.2.7 повторяют при расстоянии наблюдения меньше lпор.ср.

8.4.2.9 В случае многоцветных индикаторов повторяют операции 8.4.2.2 - 8.4.2.8 для каждого цвета свечения.

8.4.3 Обработка результатов измерений

8.4.3.1 Из знаний средних пороговых расстояний наблюдения lпор.ср. или li выбирают максимальное значение lmax при которых все операторы безошибочно считывают предъявленные знаки и принимают его за предельно допустимое значение расстояния наблюдения.

8.4.3.2 Для многоцветных индикаторов из значений lmax, определенных по конкретным цветам свечения, выбирают минимальное значение и принимают его за предельно допустимое расстояние наблюдение индикатора.

8.4.4 Погрешность измерений

Относительная погрешность измерения предельно допустимого расстояния наблюдения не должна выходить за пределы ± 20% с установленной вероятностью 0,95.

8.5 Метод определения предельно допустимого значения внешней освещенности

8.5.1 Общие положения

8.5.1.1 Предельно допустимые значения внешней освещенности измеряют при значениях яркости и (или) собственного яркостного контраста индикатора, соответствующих приемно-сдаточным нормам, а для индикаторов, имеющих возможность регулирования яркости и (или) собственного яркостного контраста кроме того нормам минимальной наработки и номинальным значениям, указанным в стандартах или ТУ на индикаторы конкретных типов, расстояние наблюдения l = 30 - 100h (h - высота знака, мм) и совмещении линии взора оператора перед началом измерений с нормалью к центру поверхности информационного поля индикатора, если иное не указано в стандартах или ТУ на индикаторы конкретных типов.

8.5.1.2 Требования к способу предъявления информации - согласно 8.1.5.

8.5.2 Подготовка к измерениям - согласно 8.3.2.

8.5.3 Проведение измерений

8.5.3.1 Устанавливают заданный электрический режим в соответствии со стандартами или ТУ на индикаторы конкретных типов.

8.5.3.2 Отображают на индикаторе один из знаков (символов). Увеличивают внешнюю освещенность E для активных индикаторов или уменьшают внешнюю освещенность для пассивных индикаторов до тех пор, пока оператор перестанет безошибочно различать знаки. Фиксируют значение освещенности Eи, при котором впервые неправильно распознается знак для i-го оператора.

8.5.3.3 На индикаторе отображают другой из указанных знаков и уровень внешней освещенности уменьшается для активных индикаторов или увеличивают для пассивных индикаторов до тех пор, пока оператор правильно назовет отображаемый знак. Фиксируют значение освещенности на правильное расположение знака Eпi.

8.5.3.4 Повторяют операции 8.5.3.1 - 8.5.3.3 для других операторов.

8.5.4 Обработка результатов измерений

8.5.4.1 Среднее пороговое значение внешней освещенности Eпор.ср. в люксах операторов вычисляют по формуле

image015.png, (8)

где Eиi, Eпi - значение внешней освещенности для i-го оператора, при которой наблюдается исчезновение и появление знака, лк;

n - количество операторов (не менее четырех).

8.5.4.2 Каждому оператору при среднем пороговом значении внешней освещенности Eпор.ср. в случайной последовательности предъявляют не менее пяти знаков и не менее 30 предъявлений, конкретное значение которых указывают в стандартах или ТУ на индикаторы конкретных типов.

8.5.4.3 Если при среднем пороговом значении внешней освещенности Eпор.ср. появляются ошибки считывания, 8.5.4.2 повторяют при меньших значениях освещенности (для активных индикаторов, или при больших значениях освещенности (для пассивных индикаторов).

8.5.4.4 Для активных индикаторов из значений внешней освещенности Eпор.ср. выбирают максимальное значение Emax, определенных по конкретным цветам свечения, выбирают минимальное значение и принимают его за предельно допустимое значение внешней освещенности.

Для многоцветных пассивных индикаторов из значений Emin, определенных по конкретным цветам свечения, выбирают наибольшее значение и принимают его за предельно допустимое значение внешней освещенности.

8.5.5 Погрешность измерения

Относительная погрешность измерения предельно допустимого значения внешней освещенности, не должна выходить за пределы ± 30% с установленной вероятностью 0,95.

9 Метод измерения цветовой разности

9.1 Цветовая разность определяет различие координат цветности двух сравниваемых цветов.

9.2 Определяют координаты цветности (x1, y1) и (x2, y2) двух сравниваемых цветов по ГОСТ 25024.7.

9.3 Цветовую разность δx,y, вычисляют по формуле

image016.png, (9)

или δ

image017.png, (10)

где u1, u2, ν1, ν2 - координаты цветности сравниваемых цветов в равноконтрастной системе координат u, ν и связаны с координатами цветности x и y следующими соотношениями

image018.pngimage019.png. (11)

10 Метод измерения цветового контраста

10.1 Цветовой контраст двух излучений определяет различие их цветностей, выраженное минимальным числом цветовых порогов между ними.

10.2 Определяют координаты цветности (x1, y1) и (x2, y2) двух сравниваемых цветов индикаторов по ГОСТ 25024.7.

10.3 Преобразовывают координаты цветности (x1, y1) и (x2, y2) в координаты равноконтрастного цветового графика по формулам (11).

10.4 Цветовую разность вычисляют по формуле (10).

10.5 Цветовой контраст Кцв вычисляют по формуле

image020.png, (12)

где nцв - число порогов цветоразличения, nцв = 0,00384 в единицах координат цветности.

Самые популярные документы

Яндекс.Метрика