Введен в действие приказом Федерального агентства по техническому регулированию и метрологии от 19 мая 2021 г. N 399-ст
Межгосударственный стандарт ГОСТ 27014-2021
"СРЕДСТВА ЗАЩИТНЫЕ ДЛЯ ДРЕВЕСИНЫ. МЕТОД ОПРЕДЕЛЕНИЯ ПРОНИКАЮЩЕЙ СПОСОБНОСТИ В ДРЕВЕСИНУ"
Wood protective means. Method for determining the wood permeability
МКС 71.100.50
ОКПД2 20.59.59
Дата введения - 1 января 2022 г.
Взамен ГОСТ 27014-86
Предисловие
Цепи, основные принципы и общие правила проведения работ по межгосударственной стандартизации установлены ГОСТ 1.0 "Межгосударственная система стандартизации. Основные положения" и ГОСТ 1.2 "Межгосударственная система стандартизации. Стандарты межгосударственные, правила и рекомендации по межгосударственной стандартизации. Правила разработки, принятия, обновления и отмены"
Сведения о стандарте
1 Разработан Открытым акционерным обществом "Сенежская научно-производственная лаборатория защиты древесины" (ОАО "Сенежская НПЛ защиты древесины")
2 Внесен Федеральным агентством по техническому регулированию и метрологии
3 Принят Межгосударственным советом по стандартизации, метрологии и сертификации (протокол от 26 февраля 2021 г. N 137-П)
За принятие проголосовали:
|
Краткое наименование страны по МК (ИСО 3166) 004-97
|
Код страны по МК (ИСО 3166) 004-97
|
Сокращенное наименование национального органа по стандартизации
|
|
Армения
|
AM
|
ЗАО "Национальный орган по стандартизации и метрологии Республики Армения"
|
|
Беларусь
|
BY
|
Госстандарт Республики Беларусь
|
|
Киргизия
|
KG
|
Кыргызстандарт
|
|
Россия
|
RU
|
Росстандарт
|
|
Узбекистан
|
UZ
|
Узстандарт
|
|
Украина
|
UA
|
Минэкономразвития Украины
|
4 Приказом Федерального агентства по техническому регулированию и метрологии от 19 мая 2021 г. N 399-ст межгосударственный стандарт ГОСТ 27014-2021 введен в действие в качестве национального стандарта Российской Федерации с 1 января 2022 г.
5 Взамен ГОСТ 27014-86
1 Область применения
Настоящий стандарт распространяется на защитные средства для древесины (далее - защитные средства) и устанавливает метод определения проникающей способности защитного средства в образец древесины при пропитке.
Метод заключается в определении: для защитного средства - поглощения и глубины его проникновения в образцы древесины; для защитного средства, применяемого в виде раствора, - относительной проникающей способности.
2 Нормативные ссылки
В настоящем стандарте использованы нормативные ссылки на следующие межгосударственные стандарты:
ГОСТ 427 Линейки измерительные металлические. Технические условия
ГОСТ 2140 Видимые пороки древесины. Классификация, термины и определения, способы измерения
ГОСТ 5336 Сетки стальные плетеные одинарные. Технические условия
ГОСТ 6709 Вода дистиллированная. Технические условия *
──────────────────────────────
* В Российской Федерации действует ГОСТ Р 58144-2018.
──────────────────────────────
ГОСТ 12026 Бумага фильтровальная лабораторная. Технические условия
ГОСТ 20022.1 Защита древесины. Термины и определения
ГОСТ 23431 Древесина. Строение и физико-механические свойства. Термины и определения
ГОСТ 24104 Весы лабораторные. Общие технические требования **
──────────────────────────────
** В Российской Федерации действует ГОСТ Р 53228-2008 "Весы неавтоматического действия. Часть 1. Метрологические и технические требования. Испытания".
──────────────────────────────
ГОСТ 25336 Посуда и оборудование лабораторные стеклянные. Типы, основные параметры и размеры
ГОСТ 25706 Лупы. Типы, основные параметры. Общие технические требования
Примечание - При пользовании настоящим стандартом целесообразно проверить действие ссылочных стандартов и классификаторов на официальном интернет-сайте Межгосударственного совета по стандартизации, метрологии и сертификации (www.easc.by) или по указателям национальных стандартов, издаваемым в государствах, указанных в предисловии, или на официальных сайтах соответствующих национальных органов по стандартизации. Если на документ дана недатированная ссылка, то следует использовать документ, действующий на текущий момент, с учетом всех внесенных в него изменений. Если заменен ссылочный документ, на который дана датированная ссылка, то следует использовать указанную версию этого документа. Если после принятия настоящего стандарта в ссылочный документ, на который дана датированная ссылка, внесено изменение, затрагивающее положение, на которое дана ссылка, то это положение применяется без учета данного изменения. Если ссылочный документ отменен без замены, то положение, в котором дана ссылка на него, применяется в части, не затрагивающей эту ссылку.
3 Термины и определения
В настоящем стандарте применены термины по ГОСТ 20022.1, ГОСТ 2140 и ГОСТ 23431.
4 Пробы и образцы
4.1 Отбор и подготовку проб защитных средств проводят в соответствии с требованиями нормативных документов и/или технической документации на конкретные виды защитных средств.
4.2 Если защитное средство применяется в виде раствора, концентрацию раствора принимают в соответствии с нормативным документом и/или технической документацией на это защитное средство. Растворы готовят массовым или массово-объемным способами.
В качестве растворителя используют (в зависимости от вида защитного средства) дистиллированную воду или органические растворители.
4.3 Образцы изготовляют из прямослойной древесины, используемой для испытания породы, со средней для нее плотностью, шириной годичных слоев и средним содержанием поздней древесины. Образцы должны быть без видимых пороков по ГОСТ 2140.
4.4 Для одной серии изготовляют смежные образцы в соответствии с ГОСТ 23431.
4.5 Образцы древесины изготовляют в виде прямоугольного бруска: поперечным сечением 30 x 30 мм и длиной вдоль волокон 160 мм - для определения проникаемости при пропитке под давлением выше атмосферного; сечением 20 x 20 мм и длиной вдоль волокон 100 мм - при пропитке другими способами.
Отклонения размеров образцов не должны превышать ± 1 мм.
5 Средства измерения, испытательное оборудование и материалы
Установка для пропитки, состоящая из герметичной камеры, вакуум-насоса и компрессора, или ванна для погружения.
Весы лабораторные по ГОСТ 24104 с погрешностью взвешивания не более 0,02 г.
Линейка металлическая по ГОСТ 427 с ценой деления 1 мм.
Секундомер с ценой деления секундной шкалы 0,2 с, минутной шкалы - 1,0 мин.
Лупа с 8 х увеличением и оптическим измерительным устройством по ГОСТ 25706.
Стакан химический вместимостью 2000 и 3000 см 3 по ГОСТ 25336 для пропитки под давлением выше атмосферного.
Стакан химический вместимостью 1000 см 3 по ГОСТ 25336 для пропитки всеми другими способами.
Сетка из оцинкованной проволоки по ГОСТ 5336 диаметром 1,2-1,4 мм с квадратной или ромбической ячейкой размерами от 5 x 5 до 10 x 10 мм.
Устройство противовсплывное.
Покрытие, нерастворимое в испытуемом защитном средстве и препятствующее проникновению защитного средства (раствора защитного средства) или растворителя в древесину, например эпоксидная замазка, содержащая (в частях массы) девять частей эпоксидной смолы, одну часть полиэтиленполиамина и две части дибутилфталата.
Вода дистиллированная по ГОСТ 6709.
Растворитель органический.
Краситель для дистиллированной воды и органических растворителей, не сорбирующийся древесиной.
Реактивы химические (индикаторы), вызывающие изменение цвета пропитанной защитным средством или его раствором и растворителем зоны образца древесины.
Бумага фильтровальная по ГОСТ 12026.
6 Подготовка к испытанию
6.1 Образцы древесины для испытания перед пропиткой маркируют и кондиционируют до заданной влажности.
При пропитке маслянистыми защитными средствами образцы древесины кондиционируют при температуре (20 ± 2) °С и относительной влажности воздуха (65 ± 2) % до достижения ими равновесной влажности.
6.2 Один торец образца древесины изолируют нанесением покрытия.
6.3 Образцы древесины взвешивают с погрешностью не более 0,02 г.
6.4 Испытание защитного средства проводят не менее чем на 20 образцах, а раствора защитного средства - не менее чем на 20 парах смежных образцов, при этом один из смежных образцов используют для пропитки раствором защитного средства, другой - для пропитки растворителем.
6.5 Образцы древесины для пропитки защитным средством (раствором защитного средства) или растворителем помещают в отдельные стаканы неизолированными торцами на сетку, уложенную на дно стакана (см. рисунок 1).

1 - химический стакан; 2 - образцы древесины для испытания; 3 - сетка; 4 - противовсплывное устройство
Рисунок 1 - Схема укладки образцов древесины для пропитки защитным средством
Образцы древесины не должны соприкасаться. Сверху образцы древесины накрывают сеткой, поверх которой помещают противовсплывное устройство.
В стаканы наливают защитное средство (раствор защитного средства) или растворитель так, чтобы образцы были полностью погружены в него и в процессе пропитки над образцами древесины оставался слой защитного средства (раствора защитного средства) или растворителя не менее 10 мм.
Затем стаканы с образцами древесины для пропитки защитным средством помещают в установку. В случае пропитки раствором защитного средства и растворителем стаканы с образцами помещают в установку одновременно.
7 Проведение испытания
7.1 Пропитку осуществляют любым способом, кроме способов нанесения на поверхность.
7.2 При пропитке растворами защитных средств подбирают цикл пропитки древесины, обеспечивающий глубину проникновения растворителя: вдоль волокон h 0 - не более 0,7 длины и поперек волокон h'0 - не более 0,4 ширины образца древесины.
7.3 Температура пропиточного раствора должна быть не менее (20 ± 2) °С.
7.4 По окончании пропитки образцы древесины извлекают из защитного средства (раствора защитного средства) или растворителя, осушают поверхность образцов фильтровальной бумагой и взвешивают с погрешностью не более 0,02 г. После этого образцы раскалывают вдоль волокон в двух перпендикулярных друг к другу и к боковым поверхностям направлениях (см. рисунок 2а).

Рисунок 2 - Схема раскалывания образцов древесины и измерения глубины пропитки
7.5 На поверхностях раскола определяют глубину проникновения защитного средства (раствора защитного средства) или растворителя.
Глубину проникновения окрашивающих древесину защитных средств устанавливают по окрашенной зоне, для многокомпонентных защитных средств - по компоненту, проникающему наиболее глубоко. Для определения проникновения компонента, не окрашивающего древесину, на поверхность раскола наносят индикатор.
Глубину проникновения измеряют в направлениях вдоль и поперек волокон металлической линейкой с погрешностью измерения не более 0,5 мм. Для определения глубины проникновения вдоль волокон защитного средства h, раствора защитного средства h 1 и растворителя h 0 (см. рисунок 2б) проводят по одному измерению на каждой поверхности раскола, и за глубину проникновения принимают среднеарифметическое значение четырех измерений. Для определения глубины проникновения поперек волокон защитного средства h', раствора защитного средства h'1 и растворителя h'0 проводят по два измерения на каждой поверхности раскола в зоне, прилегающей к изолированному торцу, и за глубину проникновения принимают среднеарифметическое значение восьми измерений. Глубину проникновения поперек волокон измеряют с использованием лупы.
7.6 Для определения глубины проникновения дистиллированной воды к ней добавляют несорбирующийся в древесине краситель. Краситель не должен оказывать влияния на скорость проникновения.
Для определения глубины проникновения органического растворителя, не окрашивающего древесину, на поверхность раскола наносят индикатор.
8 Обработка результатов испытаний
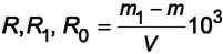
8.1 Поглощение защитного средства R, раствора защитного средства R 1 и растворителя R 0, кг/м 3, для каждого образца древесины вычисляют по формуле
,
(1)
где m1 - масса образца древесины после пропитки, кг;
m - масса образца древесины до пропитки, кг;
V - объем образца древесины, м 3.
8.2 За результат испытания по поглощению и глубине проникновения защитного средства принимают среднеарифметическое значение измерений на двадцати пропитанных образцах древесины.
8.3 Пропиточный коэффициент по поглощению K 1 вычисляют по формуле
,
(2)
где R̅1 - среднее поглощение раствора защитного средства, кг/м 3;
R̅0 - среднее поглощение растворителя, кг/м 3.
За среднее поглощение раствора защитного средства и растворителя принимают среднеарифметическое значение поглощения, вычисленное по результатам испытаний двадцати образцов.
8.4 Пропиточный коэффициент по глубине проникновения вдоль волокон K 2 вычисляют по формуле
,
(3)
где h̅1 - средняя глубина проникновения раствора защитного средства вдоль волокон, мм;
h̅0 - средняя глубина проникновения растворителя вдоль волокон, мм.
Пропиточный коэффициент по глубине проникновения поперек волокон K 3 вычисляют по формуле
,
(4)
где h̅'1 - средняя глубина проникновения раствора защитного средства поперек волокон, мм;
h̅'0 - средняя глубина проникновения растворителя поперек волокон, мм.
За среднюю глубину проникновения раствора и растворителя принимают среднеарифметическое значение глубины проникновения вдоль или поперек волокон, измеренное на двадцати образцах.
8.5 Относительную проникающую способность защитного средства, применяемого в виде раствора, устанавливают по таблице 1.
Таблица 1
|
Пропиточный коэффициент
|
Относительная проникающая способность защитного средства
|
|
по поглощению K 1
|
по глубине проникновения
|
|
вдоль волокон K 2
|
поперек волокон K 3
|
|
Не менее 0,6
|
Не менее 0,9
|
Не менее 0,7
|
Высокая
|
|
Менее 0,6, но не менее 0,4
|
Менее 0,9, но не менее 0,6
|
Менее 0,7, но не менее 0,4
|
Средняя
|
|
Менее 0,4
|
Менее 0,6
|
Менее 0,4
|
Низкая
|
8.6 Результаты испытаний заносят в протокол испытаний, приведенный в приложении А.
Приложение А
(рекомендуемое)
Образец протокола испытаний
ПРОТОКОЛ
определения проникающей способности защитного средства в древесину
Наименование защитного средства ____________________________________
Растворитель защитного средства ____________________________________
Концентрация раствора защитного средства ___________________________
Индикатор для определения глубины пропитки _________________________
Краситель __________________________________________________________
Влажность древесины перед пропиткой ________________________________
Способ пропитки ____________________________________________________