электронный сборник нормативных документов по строительству
Обновления
23.04.2026 22:52
электронный сборник нормативных документов по строительству

ГОСТ 23673.4-2020 ДОЛОМИТ ДЛЯ СТЕКОЛЬНОЙ ПРОМЫШЛЕННОСТИ. МЕТОДЫ ОПРЕДЕЛЕНИЯ ДИОКСИДА КРЕМНИЯ

Введен в действие приказом Федерального агентства по техническому регулированию и метрологии от 18 июня 2020 г. N 268-ст
Межгосударственный стандарт ГОСТ 23673.4-2020
"ДОЛОМИТ ДЛЯ СТЕКОЛЬНОЙ ПРОМЫШЛЕННОСТИ. МЕТОДЫ ОПРЕДЕЛЕНИЯ ДИОКСИДА КРЕМНИЯ"

Dolomite glass industry. Methods for determination of silicon dioxide

МКС 81.040.10

Дата введения - 1 марта 2021 г.
Взамен ГОСТ 23673.4-79

Предисловие

Цели, основные принципы и общие правила проведения работ по межгосударственной стандартизации установлены ГОСТ 1.0 "Межгосударственная система стандартизации. Основные положения" и ГОСТ 1.2 "Межгосударственная система стандартизации. Стандарты межгосударственные, правила и рекомендации по межгосударственной стандартизации. Правила разработки, принятия, обновления и отмены"

Сведения о стандарте

1 Разработан Акционерным обществом "Институт стекла", Техническим комитетом по стандартизации ТК 41 "Стекло"

2 Внесен Федеральным агентством по техническому регулированию и метрологии

3 Принят Межгосударственным советом по стандартизации, метрологии и сертификации (протокол от 30 марта 2020 г. N 128-П)

За принятие проголосовали:

Краткое наименование страны по МК (ИСО 3166) 004-97

Код страны по МК (ИСО 3166) 004-97

Сокращенное наименование национального органа по стандартизации

Армения

AM

Минэкономики Республики Армения

Беларусь

BY

Госстандарт Республики Беларусь

Казахстан

KZ

Госстандарт Республики Казахстан

Киргизия

KG

Кыргызстандарт

Россия

RU

Росстандарт

Таджикистан

TJ

Таджикстандарт

Узбекистан

UZ

Узстандарт

4 Приказом Федерального агентства по техническому регулированию и метрологии от 18 июня 2020 г. N 268-ст межгосударственный стандарт ГОСТ 23673.4-2020 введен в действие в качестве национального стандарта Российской Федерации с 1 марта 2021 г.

5 Взамен ГОСТ 23673.4-79

1 Область применения

Настоящий стандарт распространяется на доломит и известняк, предназначенные для стекольной промышленности, и устанавливает методы количественного определения диоксида кремния:

- гравиметрический метод определения диоксида кремния;

- фотоколориметрический метод определения диоксида кремния;

- рентгеноспектральный флуоресцентный метод анализа определения диоксида кремния.

2 Нормативные ссылки

В настоящем стандарте использованы нормативные ссылки на следующие межгосударственные стандарты:

ГОСТ 83 Реактивы. Натрий углекислый. Технические условия

ГОСТ 1770 (ИСО 1042-83, ИСО 4788-80) Посуда мерная лабораторная стеклянная. Цилиндры, мензурки, колбы, пробирки. Общие технические условия

ГОСТ 3118 Реактивы. Кислота соляная. Технические условия

ГОСТ 3765 Реактивы. Аммоний молибденовокислый. Технические условия

ГОСТ 4204 Реактивы. Кислота серная. Технические условия

ГОСТ 4208 Реактивы. Соль закиси железа и аммония двойная сернокислая (соль Мора). Технические условия

ГОСТ 6563 Изделия технические из благородных металлов и сплавов. Технические условия

ГОСТ 6709 Вода дистиллированная. Технические условия

ГОСТ 9428 Реактивы. Кремний (IV) оксид. Технические условия

ГОСТ 10484 Реактивы. Кислота фтористоводородная. Технические условия

ГОСТ 23673.0 Доломит для стекольной промышленности. Общие требования к методам анализа

ГОСТ 23673.1 Доломит для стекольной промышленности. Методы определения оксидов кальция и магния

ГОСТ 23932 Посуда и оборудование лабораторные стеклянные. Общие технические условия

ГОСТ 25336 Посуда и оборудование лабораторные стеклянные. Типы, основные параметры и размеры

ГОСТ 29227 (ИСО 835-81) Посуда лабораторная стеклянная. Пипетки градуированные. Часть 1. Общие требования

ГОСТ 29251 (ИСО 385-1-84) Посуда лабораторная стеклянная. Бюретки. Часть 1. Общие требования

ГОСТ OIML R 76-1 Государственная система обеспечения единства измерений. Весы неавтоматического действия. Часть 1. Метрологические и технические требования. Испытания

ГОСТ OIML R 111-1 Государственная система обеспечения единства измерений. Гири классов E1, Е2, F1, F2, М1, М1-2, М2, М2-3 и М3. Часть 1. Метрологические и технические требования

Примечание - При пользовании настоящим стандартом целесообразно проверить действие ссылочных стандартов и классификаторов на официальном интернет-сайте Межгосударственного совета по стандартизации, метрологии и сертификации (wvw.easc.by) или по указателям национальных стандартов, издаваемых в государствах, указанных в предисловии, или на официальных сайтах соответствующих национальных органов по стандартизации. Если на документ дана недатированная ссылка, то следует использовать документ, действующий на текущий момент, с учетом всех внесенных в него изменений. Если заменен ссылочный документ, на который дана датированная ссылка, то следует использовать указанную версию этого документа. Если после принятия настоящего стандарта в ссылочный документ, на который дана датированная ссылка, внесено изменение, затрагивающее положение, на которое дана ссылка, то это положение применяется без учета данного изменения. Если ссылочный документ отменен без замены, то положение, в котором дана ссылка на него, применяется в части, не затрагивающей эту ссылку.

3 Общие требования

3.1 Общие требования к методам определения массовой доли диоксида кремния - по ГОСТ 23673.0.

3.2 Допускается применение других средств измерений с метрологическими характеристиками и оборудования с техническими характеристиками не ниже установленных, а также реактивов и лабораторной посуды по качеству, соответствующему указанному.

4 Определение диоксида кремния в нерастворимом остатке гравиметрическим методом

4.1 Сущность метода

Сущность метода заключается в удалении фтористого кремния и прокаливании остатка при температуре от 1000 °С до 1100 °С.

4.2 Средства измерений, аппаратура, реактивы и растворы

4.2.1 Для проведения анализа применяют:

- баню песчаную или воздушную;

- весы по ГОСТ OIML R 76-1;

- набор гирь по ГОСТ OIML R 111-1;

- крышки платиновые (изделие N 101-8) по ГОСТ 6563;

- печь муфельную с терморегулятором, обеспечивающую:

- температуру нагрева от 1000 °С до 1100 °С;

- поддержание температуры с точностью ± 10 °С;

- тигли платиновые (изделия N 100-8) по ГОСТ 6563;

- чашки платиновые (изделия N 118-3) по ГОСТ 6563;

- шпатели платиновые (изделия N 209-11 или N 209-12) по ГОСТ 6563;

- эксикатор по ГОСТ 25336, ГОСТ 23932;

- воду дистиллированную по ГОСТ 6709;

- кислоту серную по ГОСТ 4204, ч.д.а.;

- кислоту фтористоводородную по ГОСТ 10484, х.ч. или ч.д.а.

4.3 Проведение анализа

4.3.1 Фильтр с осадком, полученным по ГОСТ 23673.1, помещают в предварительно прокаленный и взвешенный платиновый тигель или чашку, подсушивают и прокаливают при температуре от 1000 °С до 1100 °С в течение от 30 до 40 мин. Тигель с прокаленным остатком охлаждают в эксикаторе и взвешивают. Прокаливание повторяют до постоянной массы.

4.3.2 К прокаленному осадку добавляют одну-две капли воды, несколько капель серной кислоты, от 5 до 7 см3 фтористоводородной кислоты. Смесь тщательно перемешивают платиновым шпателем и выпаривают на воздушной или песчаной бане досуха. Затем снова прокаливают при температуре от 1000 °С до 1100 °С в течение от 20 до 30 мин, охлаждают в эксикаторе и взвешивают.

4.4 Обработка результатов

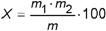
4.4.1 Массовую долю диоксида кремния Х в процентах вычисляют по формуле

image0dol1.jpg,

(1)

где m1 - масса тигля с нерастворимым остатком, г;

m2 - масса тигля с остатком после обработки смесью серной и фтористоводородной кислот, г;

m - масса навески доломита, г.

4.4.2 Допускаемое расхождение между результатами параллельных определений содержания диоксида кремния при доверительной вероятности Р = 0,95 не должно превышать 0,1 %.

5 Определение диоксида кремния в фильтрате фотоколориметрическим методом

5.1 Сущность метода

5.1.1 Сущность метода заключается в образовании синего кремнемолибденового комплексного соединения и фотометрировании окрашенного раствора.

5.2 Средства измерений, аппаратура, реактивы и растворы

5.2.1 Для проведения анализа применяют:

- бюретки по ГОСТ 29251;

- весы лабораторные по ГОСТ OIML R 76-1;

- колбы 1(2)-100(250, 500, 1000)-2 по ГОСТ 1770;

- колбы Кн-2-250 ТХС, Кн-2-500 ТХС, Кн-2-750 ТХС и Кн-2-1000 ТХС по ГОСТ 23932, ГОСТ 25336;

- колориметр фотоэлектрический или спектрофотоколориметр;

- набор гирь по ГОСТ OIML R 111-1;

- печь муфельную с терморегулятором, обеспечивающую:

- температуру нагрева от 1000 °С до 1100 °С;

- поддержание температуры с погрешностью ± 10 °С;

- пипетки по ГОСТ 29227;

- посуду полиэтиленовую по нормативному документу;

- тигли платиновые (изделия N 100-8) по ГОСТ 6563;

- чашки платиновые (изделия N 118-3) по ГОСТ 6563;

- шпатели платиновые (изделия N 209-11 или N 209-12) по ГОСТ 6563;

- аммоний молибденовокислый по ГОСТ 3765, раствор с массовой долей 5 %;

- воду дистиллированную по ГОСТ 6709;

- кислоту аскорбиновую по нормативному документу, раствор с массовой долей 5 % (свежеприготовленный);

- кислоту соляную по ГОСТ 3118, раствор в объемном соотношении 1:1, раствор молярной концентрации c(HCl) = 0,5 моль/дм3;

- натрий углекислый безводный по ГОСТ 83;

- оксид кремния (IV) по ГОСТ 9428, ч.д.а.;

- соль Мора по ГОСТ 4208, раствор с массовой долей 2 %.

5.3 Подготовка к анализу

5.3.1 Приготовление стандартного раствора кремниевокислого натрия

Навеску 0,05 г тонко растертого оксида кремния (IV) сплавляют в платиновом тигле или чашке с безводным углекислым натрием массой 3-4 г. Расплав выщелачивают водой и полученный раствор помещают в мерную колбу вместимостью 100 см3, доливают водой до метки и перемешивают. После перемешивания раствор переносят в полиэтиленовую посуду. Приготавливают два-три таких раствора.

1 см3 стандартного раствора содержит 0,0005 г оксида кремния (IV).

5.3.2 Приготовление смеси восстановителей

Смешивают равные объемы соли Мора, раствор с массовой долей 2 % и раствор аскорбиновой кислоты с массовой долей 5 %. Смесь хранят в темном месте от 7 до 10 сут.

Потемневший раствор к употреблению не пригоден.

5.4 Проведение анализа

5.4.1 От фильтрата, полученного по ГОСТ 23673.1, в мерную колбу вместимостью 100 см3 пипеткой или бюреткой отбирают аликвотную часть раствора объемом 25 см3, добавляют 4 см3 раствора молибденовокислого аммония с массовой долей 5 %, перемешивают и выдерживают в течение 10 мин для образования желтого кремнемолибденовокислого комплексного соединения. К полученному раствору приливают 20 см3 соляной кислоты в объемном соотношении 1:1 и 2 см3 раствора смеси восстановителей. При этом образуется раствор молибденовой сини, который доливают водой и перемешивают.

5.4.2 Параллельно с анализом проводят контрольный опыт: в мерную колбу вместимостью 100 см3 наливают 20 см3 воды и приливают 5 см3 соляной кислоты (раствор молярной концентрации c(HCl) = 0,5 моль/дм3) и далее химические реактивы, как указано в 5.4.1.

5.4.3 Через 20 мин измеряют оптическую плотность раствора на фотоэлектроколориметре (спектрофотоколориметре), применяя синий светофильтр (λ = 630 нм) в кювете с толщиной поглощающего свет слоя 3 мм.

В качестве раствора сравнения применяют раствор контрольного опыта.

Исходя из величины оптической плотности анализируемого раствора устанавливают содержание оксида кремния (IV).

5.4.4 Для построения градуировочного графика в шесть мерных колб вместимостью 100 см3 отмеряют бюреткой или пипеткой 0; 0,1; 0,2; 0,5; 0,75 и 1,0 см3 стандартного раствора кремниевокислого натрия, что соответствует 0; 0,00005; 0,0001; 0,00025; 0,000375; 0,0005 г оксида кремния (IV). Приливают в каждую колбу по 10 см3 воды, 5 см3 соляной кислоты (раствор молярной концентрации c(HCl) = 0,5 моль/дм3), 4 см3 молибденовокислого аммония (растворе массовой долей 5 %) и выдерживают смесь в течение 10 мин. Затем приливают по 20 см3 соляной кислоты, раствор в объемном соотношении 1:1 и 2 см3 раствора смеси восстановителей, при этом образуется раствор молибденовой сини. Растворы доливают водой до метки, перемешивают.

Через 20 мин измеряют оптическую плотность на фотоэлектроколориметре (спектрофотоколориметре), как указано в 5.4.3.

В качестве раствора сравнения применяют раствор, приготовленный как указано в 5.4.2.

Для построения градуировочного графика берут среднеарифметическое значение результатов трех измерений оптической плотности каждого раствора.

По полученным средним значениям оптической плотности и известным содержаниям оксида кремния (IV) строят градуировочный график.

Градуировочный график необходимо периодически проверять (один раз в 3 мес).

5.5 Обработка результатов

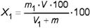
5.5.1 Массовую долю диоксида кремния Х1 в процентах вычисляют по формуле

image0dol2.jpg,

(2)

где m1 - масса оксида кремния (IV), найденная по градуировочному графику, г;

V - общий объем анализируемого раствора, см3;

V1 - объем аликвотной части раствора, см3;

m - масса навески доломита, г.

5.5.2 Допускаемое расхождение между результатами параллельных определений при доверительной вероятности Р = 0,95 не должно превышать 0,1 %.

5.5.3 Массовую долю общего диоксида кремния Х2 в процентах вычисляют по формуле

X2=X+X1,

(3)

где X - массовая доля диоксида кремния, находящаяся в нерастворимом остатке, %;

X1 - массовая доля диоксида кремния, находящаяся в фильтрате, %.

6 Определение диоксида кремния рентгеноспектральным флуоресцентным методом

6.1 Сущность метода

Сущность метода состоит в использовании зависимости между интенсивностью вторичного флуоресцентного излучения элементов, содержащихся в доломите, и концентрацией входящего в его состав диоксида кремния.

6.2 Средства измерений, оборудование, реактивы

6.2.1 Для проведения анализа применяют:

- рентгенофлуоресцентные спектрометры, обеспечивающие точность анализа не ниже указанной в 4.2.2, 5.5.2.

Допускается применение другой аппаратуры, оборудования и материалов, обеспечивающих точность анализа, предусмотренную настоящим стандартом.

6.3 Подготовка пробы для измерений (анализа)

6.3.1 Подготовку пробы для анализа проводят в соответствии с методикой пробоподготовки, утвержденной в установленном порядке.

6.3.2 Для проведения анализа готовят два образца-излучателя (таблетки) в соответствии с инструкцией к спектрометру.

6.4 Проведение измерений

6.4.1 Подготовку измерительной аппаратуры к работе проводят в соответствии с инструкцией по ее эксплуатации.

6.4.2 Измерения проводят в соответствии с инструкцией по эксплуатации спектрометра и методикой выполнения измерений, утвержденной в установленном порядке.

6.5 Обработка результатов измерений

6.5.1 Обработку и оценку результатов измерений проводят в соответствии с методикой выполнения измерений, утвержденной в установленном порядке.

6.5.2 Результаты измерений признают правильными, если абсолютное расхождение двух результатов параллельных измерений не превышает 0,1 %.

6.5.3 Если абсолютное расхождение между двумя результатами параллельных измерений превысит значение 0,1 %, то проводят третье измерение на третьем образце-излучателе (таблетке). Если максимальное расхождение между тремя результатами измерений не превысит значение 0,24 % (критический диапазон для трех параллельных измерений для доверительной вероятности Р = 0,95), в качестве окончательного результата принимают среднее арифметическое значение трех результатов параллельных измерений.

Если максимальное расхождение между тремя результатами параллельных измерений превысит 0,24 %, анализ повторяют на свежеприготовленных таблетках. Если при повторном анализе абсолютное расхождение между двумя результатами параллельных измерений превысит 0,24 %, анализ данной пробы прекращают до установления и устранения причин, вызвавших повышенное рассеяние результатов.

6.5.4 Погрешность (Δ) определения массовой доли диоксида кремния составляет 0,1 %.

7 Оформление результатов анализов

Результаты анализов, в том числе промежуточные, записывают в журнал. При необходимости результаты анализов оформляют протоколом по ГОСТ 23673.0.

Яндекс.Метрика