Введен в действие приказом Федерального агентства по техническому регулированию и метрологии от 30 июля 2020 г. N 437-ст
Межгосударственный стандарт ГОСТ 27589-2020 (ISO 687:2010)
"КОКС. МЕТОД ОПРЕДЕЛЕНИЯ ВЛАГИ В АНАЛИТИЧЕСКОЙ ПРОБЕ"
Coke. Method for determination of moisture content in analytical sample
МКС 75.160.10
Дата введения - 1 марта 2021 г.
Взамен ГОСТ 27589-91 (ИСО 687-74)
Предисловие
Цели, основные принципы и общие правила проведения работ по межгосударственной стандартизации установлены ГОСТ 1.0 "Межгосударственная система стандартизации. Основные положения" и ГОСТ 1.2 "Межгосударственная система стандартизации. Стандарты межгосударственные, правила и рекомендации по межгосударственной стандартизации. Правила разработки, принятия, обновления и отмены"
Сведения о стандарте
1 Подготовлен Акционерным обществом "Восточный научно-исследовательский углехимический институт" (АО "ВУХИН"), Техническим комитетом по стандартизации 395 "Кокс и продукты коксохимии" на основе собственного перевода на русский язык англоязычной версии стандарта, указанного в пункте 5
2 Внесен Федеральным агентством по техническому регулированию и метрологии
3 Принят Межгосударственным советом по стандартизации, метрологии и сертификации (протокол от 30 июня 2020 г. N 131-П)
За принятие проголосовали:
|
Краткое наименование страны по МК (ИСО 3166) 004-97
|
Код страны по МК (ИСО 3166) 004-97
|
Сокращенное наименование национального органа по стандартизации
|
|
Армения
|
AM
|
Минэкономики Республики Армения
|
|
Беларусь
|
BY
|
Госстандарт Республики Беларусь
|
|
Казахстан
|
KZ
|
Госстандарт Республики Казахстан
|
|
Киргизия
|
KG
|
Кыргызстандарт
|
|
Россия
|
RU
|
Росстандарт
|
|
Таджикистан
|
TJ
|
Таджикстандарт
|
|
Узбекистан
|
UZ
|
Узстандарт
|
4 Приказом Федерального агентства по техническому регулированию и метрологии от 30 июля 2020 г. N 437-ст межгосударственный стандарт ГОСТ 27589-2020 (ISO 687:2010) введен в действие в качестве национального стандарта Российской Федерации с 1 марта 2021 г.
5 Настоящий стандарт является модифицированным по отношению к международному стандарту ISO 687:2010 "Твердое минеральное топливо. Кокс. Определение содержания влаги в образце для общего анализа" ("Solid mineral fuels - Coke. Determination of moisture in the general analysis test sample", MOD), путем изменения отдельных фраз, слов, ссылок, включения дополнительных фраз и ссылок, которые выделены в тексте курсивом
6 Взамен ГОСТ 27589-91 (ИСО 687-74)
Введение
Вследствие гигроскопичности кокса на его влажность влияет влажность воздуха. В связи с чем содержание влаги в аналитической пробе следует устанавливать при взвешивании проб, предназначенных для определения других аналитических показателей, например: выход летучих веществ, теплотворная способность, содержание углерода, водорода. Если все пробы, взятые для проведения анализов по данным показателям, взвешены в один день и приблизительно в одно время и если анализы будут проводиться непосредственно после их взвешивания, одно определение содержания аналитической влаги считают достаточным.
1 Область применения
Настоящий стандарт устанавливает метод определения содержания влаги в аналитической пробе кокса.
2 Нормативные ссылки
В настоящем стандарте использованы нормативные ссылки на следующие межгосударственные стандарты:
ГОСТ 6613 Сетки проволочные тканые с квадратными ячейками. Технические условия
ГОСТ 23083 Кокс каменноугольный, пековый и термоантрацит. Методы отбора и подготовки проб для испытаний
ГОСТ 25336 Посуда и оборудование лабораторные стеклянные. Типы, основные параметры и размеры
Примечание - При пользовании настоящим стандартом целесообразно проверить действие ссылочных стандартов и классификаторов на официальном интернет-сайте Межгосударственного совета по стандартизации, метрологии и сертификации (www.easc.by) или по указателям национальных стандартов, издаваемым в государствах, указанных в предисловии, или на официальных сайтах соответствующих национальных органов по стандартизации. Если на ссылочный документ дана недатированная ссылка, то следует использовать документ, действующий на текущий момент, с учетом всех внесенных в него изменений. Если заменен ссылочный документ, на который дана датированная ссылка, то следует использовать указанную версию этого документа. Если после принятия настоящего стандарта в ссылочный документ, на который дана датированная ссылка, внесено изменение, затрагивающее положение, на которое дана ссылка, то это положение применяется без учета данного изменения. Если ссылочный документ отменен без замены, то положение, в котором дана ссылка на него, применяется в части, не затрагивающей эту ссылку.
3 Сущность метода
Определенное количество кокса нагревают на воздухе при температуре от 190 °С до 210 °С (см. 10.1) и выдерживают при этой температуре до получения постоянной массы. Содержание влаги в процентах вычисляют по потере массы кокса.
4 Реактивы
Осушитель свежий. Подходящими осушителями являются активированная окись алюминия, силикагель, безводный сульфат кальция, пятиокись фосфора или перхлорат магния (см. 10.3), кальций хлористый.
5 Аппаратура
5.1 Шкаф сушильный, поддерживающий температуру от 190 °С до 210 °С, в котором обмен воздуха при соблюдении условий испытания происходит с достаточной скоростью.
5.2 Весы лабораторные с пределом допускаемой погрешности не более 0,2 мг. Допускается использовать другие весы при условии их соответствия требованиям настоящего стандарта.
5.3 Стаканчики стеклянные для взвешивания (бюксы) с притертой крышкой по ГОСТ 25336 или из коррозионно-стойкого металла с плотно закрывающейся крышкой, вместимость которых должна обеспечить заполнение слоем кокса не более 0,15 г/см2. Кварцевые или фарфоровые чашки аналогичной вместимости и глубиной от 10 до 15 мм с соответствующими крышками также можно использовать при условии исключения поглощения ими влаги.
5.4 Эксикатор по ГОСТ 25336, содержащий металлическую, предпочтительно алюминиевую, фарфоровую вставку и осушитель.
5.5 Сита лабораторные из металлической сетки с размером ячеек 0,2 мм. Допускается применять лабораторные сита с проволочной сеткой по ГОСТ 6613.
6 Подготовка пробы
Отбор и подготовку проб для испытаний проводят по ГОСТ 23083.
Проба кокса дробится до крупности ячеек 0,2 мм.
Если используется проба кокса, в которой определялось содержание общей влаги, дополнительное подсушивание не требуется. Если используют новую аналитическую пробу, ее следует подвергать воздушной сушке до или после измельчения для обеспечения прохождения через сито с размером отверстия 0,2 мм.
При необходимости измельченную пробу размещают тонким слоем и доводят до воздушно-сухого состояния. Перед началом испытания аналитическую пробу кокса тщательно перемешивают не менее 1 мин.
7 Проведение испытания
Взвешивают чистый сухой стаканчик с крышкой. Помещают в него от 1 до 2 г пробы кокса и распределяют ее ровным слоем не более 0,15 г/см3. Взвешивают стаканчик с крышкой и пробой. Помещают открытый стаканчик с пробой в нагретый сушильный шкаф и сушат около 45 мин при температуре (200 ± 10) °С. Стаканчик закрывают крышкой, охлаждают на металлической подставке в течение 10 мин, переносят в эксикатор и повторно взвешивают через 10 мин.
Пробу сушат до постоянной массы. Масса считается постоянной, если при последующем нагревании в течение 10 мин после восстановления температуры в сушильном шкафу ее изменение не превышает 1 мг.
Содержание влаги определяют по двум параллельным пробам.
8 Обработка результатов
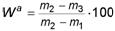
Содержание влаги в аналитической пробе кокса Wa, %, вычисляют по формуле

,
где m2 - масса стаканчика с крышкой и коксом перед нагреванием, г;
m3 - масса стаканчика с крышкой и коксом после нагревания, г;
m1 - масса пустого стаканчика с крышкой, г.
Средний результат двух определений записывают с точностью до 0,1 %.
9 Прецизионность
9.1 Повторяемость
Расхождение между результатами двух определений, выполненных в одной лаборатории одним лаборантом с применением одной аппаратуры на представительных пробах, взвешенных одновременно и взятых из одной аналитической пробы, не должно превышать значений, указанных в таблице 1.
Таблица 1 - Допустимое расхождение между результатами
|
Содержание влаги
|
Повторяемость
|
Воспроизводимость
|
|
0,2 % (абс)
|
-
|
9.2 Воспроизводимость
Так как показатель влажности в различных лабораториях отличается, устанавливать предельное значение для воспроизводимости нецелесообразно.
10 Замечания по методике определения влаги
10.1 Продолжительность определения влаги в аналитической пробе кокса можно значительно сократить, если высушивание проводить при температуре 320 °С в атмосфере азота.
10.2 Определение влаги можно также проводить при температуре нагревания от 135 °С до 140 °С, в течение более длительного времени с повторным контрольным высушиванием, а также на протяжении 20 мин после восстановления температуры в сушильном шкафу.
10.3 Из-за возможности взрыва следует избегать регенерации перхлората магния, поэтому использованный перхлорат магния необходимо смывать проточной водой.
11 Протокол испытания
Протокол испытания должен содержать следующие данные:
- ссылку на применяемый метод;
- результаты определения влаги в аналитической пробе кокса;
- отклонения, замеченные в ходе определения влаги;
- перечень всех операций, не включенных в настоящий стандарт и являющихся необязательными.