ГОСТ 25100-2020 ГРУНТЫ. КЛАССИФИКАЦИЯ
Soils. Classification
МКС 93.020
Дата введения - 1 января 2021 г.
Взамен ГОСТ 25100-2011
Предисловие
Цели, основные принципы и общие правила проведения работ по межгосударственной стандартизации установлены ГОСТ 1.0 "Межгосударственная система стандартизации. Основные положения" и ГОСТ 1.2 "Межгосударственная система стандартизации. Стандарты межгосударственные, правила и рекомендации по межгосударственной стандартизации. Правила разработки, принятия, обновления и отмены"
Сведения о стандарте
1 Разработан Научно-исследовательским проектно-изыскательским и конструкторско-технологическим институтом оснований и подземных сооружений (НИИОСП) им. Н.М. Герсеванова - институтом Открытого акционерного общества "Научно-исследовательский центр "Строительство" (АО "НИЦ "Строительство") при участии геологического факультета Московского государственного университета им. М.В. Ломоносова, Института геоэкологии им. Е.М. Сергеева Российской академии наук, Акционерного общества "МостДорГеоТрест", Акционерного общества "Институт Гидропроект", Московского государственного строительного университета, Российского государственного геологоразведочного университета им. Серго Орджоникидзе, Региональной общественной научной организации "Охотинское общество грунтоведов"
2 Внесен Техническим комитетом по стандартизации ТК 465 "Строительство"
3 Принят Межгосударственным советом по стандартизации, метрологии и сертификации (протокол от 30 апреля 2020 г. N 129-П)
За принятие проголосовали:
|
Краткое наименование страны по МК (ИСО 3166) 004-97 |
Код страны по МК (ИСО 3166) 004-97 |
Сокращенное наименование национального органа по стандартизации |
|
Армения |
AM |
Минэкономики Республики Армения |
|
Беларусь |
BY |
Госстандарт Республики Беларусь |
|
Киргизия |
KG |
Кыргызстандарт |
|
Россия |
RU |
Росстандарт |
4 Приказом Федерального агентства по техническому регулированию и метрологии от 21 июля 2020 г. N 384-ст межгосударственный стандарт ГОСТ 25100-2020 введен в действие в качестве национального стандарта Российской Федерации с 1 января 2021 г.
5 Взамен ГОСТ 25100-2011
Настоящий стандарт устанавливает общую классификацию грунтов, применяемую при производстве инженерных изысканий, проектировании и строительстве зданий и сооружений и распространяется на все грунты.
В настоящем стандарте грунт рассматривается как однородная по составу, строению и свойствам часть грунтового массива.
В настоящем стандарте использованы нормативные ссылки на следующие межгосударственные стандарты:
ГОСТ 5180 Грунты. Методы лабораторного определения физических характеристик
ГОСТ 10650 Торф. Метод определения степени разложения
ГОСТ 12248 Грунты. Методы лабораторного определения характеристик прочности и деформируемости
ГОСТ 12536 Грунты. Методы лабораторного определения гранулометрического (зернового) и микроагрегатного состава
ГОСТ 20276.1 Грунты. Метод испытания штампом
ГОСТ 20276.5 Грунты. Метод вращательного среза
ГОСТ 21153.2 Породы горные. Методы определения предела прочности при одноосном сжатии
ГОСТ 23161 Грунты. Метод лабораторного определения характеристик просадочности
ГОСТ 23278 Грунты. Методы полевых испытаний проницаемости
ГОСТ 23740 Грунты. Методы определения содержания органических веществ
ГОСТ 25358 Грунты. Метод полевого определения температуры
ГОСТ 25584-2016 Грунты. Методы лабораторного определения коэффициента фильтрации
ГОСТ 28622-2012 Грунты. Метод лабораторного определения степени пучинистости
ГОСТ 30416-2012 Грунты. Лабораторные испытания. Общие положения
ГОСТ 34259-2017 Грунты. Метод лабораторного определения липкости
ГОСТ 34276-2017 Грунты. Методы лабораторного определения удельного сопротивления пенетрации
ГОСТ 34467-2018 Грунты. Методы лабораторного определения содержания карбонатов
Примечание - При пользовании настоящим стандартом целесообразно проверить действие ссылочных стандартов в сети Интернет на официальном сайте Межгосударственного совета по стандартизации, метрологии и сертификации (www.easc.by) или в указателях национальных стандартов, издаваемых в государствах, указанных в предисловии, или на официальных сайтах соответствующих национальных органов по стандартизации. Если на стандарт дана недатированная ссылка, то следует использовать стандарт, действующий на текущий момент, с учетом всех внесенных в него изменений. Если заменен ссылочный стандарт, на который дана датированная ссылка, то следует использовать указанную версию этого стандарта. Если после принятия настоящего стандарта в ссылочный стандарт, на который дана датированная ссылка, внесено изменение, затрагивающее положение, на которое дана ссылка, то это положение применяется без учета данного изменения. Если ссылочный стандарт отменен без замены, то положение, в котором дана ссылка на него, применяется в части, не затрагивающей эту ссылку.
В настоящем стандарте применены термины по ГОСТ 5180, ГОСТ 12536, ГОСТ 23278, ГОСТ 23740, ГОСТ 25584, ГОСТ 30416, ГОСТ 34259, а также следующие термины с соответствующими определениями:
3.1 антропогенный грунт: Грунт, созданный человеком, образованный в результате естественно-исторического освоения территорий (культурный слой), твердые бытовые и промышленные отходы, искусственные материалы, являющиеся (ставшие) компонентами геологической среды.
3.2 глинистый грунт: Связный грунт, обладающий свойством пластичности за счет содержания минеральных частиц глинистой и пылеватой фракций.
3.3 грунт: Любая горная порода, почва, осадок и техногенные минеральные образования, рассматриваемые как многокомпонентные динамичные системы и часть геологической среды, изучаемые в связи с инженерно-хозяйственной деятельностью.
3.4 дисперсный грунт: Грунт, в котором преобладают механические, физические и физико-химические структурные связи.
3.5 заполнитель: Дисперсный грунт в порах крупнообломочного грунта или в трещинах скального грунта.
3.6 ил: Нелитифицированный морской или пресноводный минеральный или органоминеральный донный осадок текучей консистенции.
3.7 крупнообломочный грунт: Несвязный минеральный грунт, в котором масса частиц размером более 2 мм составляет более 50 %.
3.8 ледогрунт: Мерзлый грунт, объем льда в котором составляет не менее 80 %.
3.9 массив грунта (грунтовый массив): Объем грунта, находящийся в основании здания/сооружения или вмещающий его, размеры которого не меньше зоны влияния здания/сооружения, или выделяемый для решения специальных задач.
3.10 мерзлый грунт: Грунт, имеющий отрицательную или нулевую температуру, содержащий видимые ледяные включения и/или лед-цемент, за счет которых образованы криогенные структурные связи.
3.11 минеральный грунт: Грунт, состоящий из неорганических веществ, или содержащий менее 3 % органического вещества.
3.12 морозный грунт: Скальный грунт, имеющий отрицательную температуру, в котором лед отсутствует или его содержание незначительно.
3.13 набухающий грунт: Глинистый грунт, имеющий в условиях свободного набухания относительную деформацию набухания εsw ≥ 0,04 или развивающий давление набухания в условиях ограниченного набухания, превышающее 0,01 МПа.
3.14 несвязный грунт: Дисперсный грунт с преобладанием механических структурных связей и сыпучий в сухом состоянии.
3.15 органический грунт: Грунт, масса органического вещества (Ir) в котором составляет не менее 50 %.
3.16 органическое вещество: Органические соединения, входящие в состав грунта в виде остатков растений и животных организмов, а также продуктов их разложения и преобразования.
3.17 органоминеральный грунт: Грунт, масса органического вещества в котором составляет от 10 % до 50 % от массы сухого грунта.
3.18 отдельность (блок отдельности): Часть массива грунтов, ограниченная трещинами, образованными под воздействием различных факторов.
3.19 песчаный грунт (песок): Минеральный несвязный грунт, содержащий по массе более 50 % частиц размером от 0,05 мм до 2 мм.
3.20 промороженный грунт: Грунт, замороженный искусственно.
3.21 просадочный грунт: Грунт, который под действием внешней нагрузки и/или собственного веса при замачивании водой имеет относительную деформацию просадочности εsl ≥ 0,01.
3.22 пучинистый грунт: Дисперсный грунт, который при промерзании увеличивается в объеме вследствие кристаллизации поровой и мигрирующей воды и имеет относительную деформацию морозного пучения εfh ≥ 0,01.
3.23 разжижение: Переход водонасыщенного дисперсного грунта в текучее (плывунное) состояние под внешним воздействием (статическим, динамическим, фильтрационным).
3.24 сапропель: Органоминеральный или органический осадок пресноводных застойных водоемов (или погребенный осадок), у которого масса органического вещества (Ir) более 10 %, текучепластичной или текучей консистенции.
3.25 связный грунт: Дисперсный грунт с преобладанием физических и физико-химических структурных связей.
3.26 скальный грунт: Грунт, в котором преобладают структурные связи химической природы.
3.27 структура грунта: Пространственная организация структурных элементов грунта, определяемая их размером, формой, характером поверхности, ориентацией и характером структурных связей.
3.28 структурный элемент грунта: Наименьший по объему естественный агрегат грунта, имеющий более прочные внутренние связи, чем внешние (структурные связи).
3.29 сыпучемерзлый грунт: Крупнообломочный или песчаный грунт, имеющий отрицательную температуру, но не сцементированный льдом вследствие малой влажности.
3.30 текстура грунта: Характеристика строения, обусловленная ориентацией и взаимным расположением составных частей грунта.
3.31 температура начала замерзания: Температура, при которой начинается кристаллизация воды в порах грунта.
3.32 техногенный грунт: Грунт, измененный, перемещенный или образованный в результате инженерно-хозяйственной деятельности человека.
3.33 торф (торфяной грунт): Органический грунт болотного, озерного или аллювиально-болотного генезиса, содержащий в своем составе по массе 50 % и более органического вещества, представленного преимущественно растительными остатками.
3.34 трещиноватость скального массива: Нарушенность монолитности скальной породы по трещинам, а также совокупность трещин в скальном массиве.
4.1 Классификация грунтов включает в себя следующие классификационные ступени (уровни), выделяемые по группам признаков:
- класс - по природе структурных связей;
- подкласс - по структурам грунтов, образованных соответствующими структурными связями;
- тип - по основным генетическим категориям (происхождению);
- подтип - по условиям образования;
- вид - по вещественному составу;
- подвид - по петрографическому или литологическому составу;
- разновидность - по количественным показателям состава, строения, состояния и свойств грунтов.
Основные показатели состава и свойств грунтов для выделения разновидностей приведены в приложении А.
4.2 В классификации грунтов по разновидностям, которые предусмотрены настоящим стандартом, допускается вводить дополнения и изменения в случаях необходимости введения новых критериев выделения разновидностей грунтов исходя из отраслевых требований или по результатам научно-технических разработок.
Дополнительные наименования и характеристики грунтов не должны противоречить классификации настоящего стандарта и должны учитывать другие обязательные классификации грунтов, установленные нормативными документами, действующими на национальном уровне.
5.1 Грунты подразделяют на следующие классы: скальные, дисперсные и мерзлые, классификация которых приведена в таблицах 1-3. Отдельно выделяют техногенные грунты, типизация которых приведена в таблице 4.
5.2 К классу скальных грунтов относят грунты, у которых преобладают химические структурные связи, образующие два основных типа структур, выделенных в два подкласса - кристаллизационные и цементационные.
Типы, подтипы, виды и подвиды скальных грунтов выделены в соответствии с 4.1.
Разновидности скальных грунтов выделяют по количественным показателям их состава, строения, состояния и свойств (согласно Б.1 приложения Б и В.1 приложения В).
Классификация массивов скальных грунтов приведена в приложении Г.
5.3 К классу дисперсных грунтов относят грунты, у которых преобладают физические, физико-химические и механические структурные связи.
Дисперсные грунты подразделяют на два подкласса: несвязные, структура которых определяется механическими (силы трения, зацепления) структурными связями, и связные, структура которых определяется физическими и физико-химическими структурными связями.
Типы, подтипы, виды и подвиды дисперсных грунтов выделены в соответствии с 4.1.
Разновидности дисперсных грунтов выделяют по количественным показателям их вещественного состава, состояния и свойств (согласно Б.2 приложения Б и В.2 приложения В).
Основные термины, используемые в международных стандартах и документе [1] - [4], для дисперсных грунтов приведены в приложении Д, а их сопоставления - в приложении Е.
5.4 К классу мерзлых грунтов относят грунты, обладающие наряду со структурными связями немерзлых грунтов криогенными связями (за счет льда).
Грунты с криогенными связями разделены на три подкласса:
- скальные мерзлые грунты, в которых присутствуют криогенные связи, но преобладают кристаллизационные и/или цементационные структурные связи;
- дисперсные мерзлые грунты с криогенными и физико-химическими (или криогенными и механическими) структурными связями;
- ледяные грунты, структуры которых определяются криогенными связями.
Типы, подтипы, виды и подвиды мерзлых грунтов выделены в соответствии с 4.1.
Разновидности природных мерзлых грунтов выделяют по количественным показателям их вещественного состава, строения, состояния и свойств (согласно Б.3 приложения Б и В.3 приложения В).
5.5 Подтипы техногенных грунтов выделяют по принципам создания (или изменения исходных) грунтов.
Виды техногенных грунтов выделяют по методам создания (или преобразования исходных) грунтов.
Подвиды техногенных грунтов выделяют по особенностям технологий создания (или изменения исходных) грунтов.
Техногенные грунты допускается классифицировать по вещественному, петрографическому и литологическому составу, количественным показателям состава, строения, состояния и свойств так же, как и природные грунты.
5.6 Подтипы техногенных грунтов выделяют по принципам создания (или изменения исходных) грунтов.
Виды техногенных грунтов выделяют по методам создания (или преобразования исходных) грунтов.
Подвиды техногенных грунтов выделяют по особенностям технологий создания (или изменения исходных) грунтов.
Техногенные грунты допускается классифицировать по вещественному, петрографическому и литологическому составу, количественным показателям состава, строения, состояния и свойств так же, как и природные грунты.
Типизация техногенных грунтов всех классов грунтов выполнена в соответствии с 4.2 и приведена в таблице 4.
|
Подкласс |
Тип |
Подтип |
Вид |
Подвид |
Разновидности | |
|
Кристаллизационные |
Магматические |
Интрузивные |
Кислые и ультракислые |
Граниты и др. |
Выделяют в соответствии с Б.1 приложения Б, В.1 приложения В и приложением Г | |
|
Средние |
Диориты, сиениты и др. | |||||
|
Основные |
Пироксениты, габбро и др. | |||||
|
Ультраосновные |
Перидотиты, дуниты и др. | |||||
|
Эффузивные |
Кислые и ультракислые |
Риолиты, дациты и др. | ||||
|
Средние |
Андезиты, тефриты и др. | |||||
|
Основные |
Базальты и др. | |||||
|
Ультраосновные |
Пикриты и др. | |||||
|
Метаморфические |
Региональные и метасоматические |
По химическому составу с учетом фации регионального метаморфизма |
Метавулканиты, сланцы, амфиболиты, гранулиты, гнейсы и др. | |||
|
Дислокационные |
По химическому составу с учетом фации: эклогиты, тектониты |
Эклогиты, брекчии, милониты, филлиты и др. | ||||
|
Контактовые |
По химическому составу с учетом фации: низко-, средне-, высокотемпературная |
Пятнистые сланцы, роговики, скарны мраморы и др. | ||||
|
Цементационные |
Вулканогенно-осадочные |
Эффузивно-осадочные |
Силикатные, смешанные |
Кластолавы, кластиты и др. | ||
|
Эксплозивно-осадочные |
Силикатные, смешанные |
Тефра, туфы, туффиты | ||||
|
Осадочные |
Осадочные сцементированные |
Силикатные, карбонатные, смешанные |
Конгломераты, брекчии, гравелиты, песчаники, алевролиты, аргиллиты | |||
|
Осадочные органогенные |
Кремнистые |
Опоки, трепела и др. | ||||
|
Карбонатные |
Известняки, мергели, доломиты и др. | |||||
|
Осадочные хемогенные | ||||||
|
Сульфатные |
Гипс, ангидрит | |||||
|
Галоидные |
Галит, сильвинит и др. |
|
Подкласс |
Тип |
Подтип |
Вид |
Подвид |
Разновидности |
|
Несвязные |
Осадочные |
Морские, аллювиальные, флювиальные, ледниковые, эоловые, склоновые и др. |
Минеральные |
Крупнообломочные пески Пески с примесью органического вещества |
Выделяют в соответствии с Б.2 приложения Б и В.2 приложения В |
|
Органоминеральные |
Пески заторфованные | ||||
|
Вулканогенно-осадочные |
Вулканогенно-осадочные, осадочно-вулканогенные, пирокластические |
Минеральные |
Вулканогенно-обломочные вулканические пески и пеплы | ||
|
Элювиальные |
Образованные в результате выветривания скальных грунтов |
Минеральные и органоминеральные |
Крупнообломочные грунты и пески коры выветривания | ||
|
Связные |
Осадочные |
Морские, аллювиальные, флювиальные, озерно-болотные, ледниковые, эоловые, склоновые и др. |
Минеральные |
Глинистые грунты | |
|
Органоминеральные |
Глинистые грунты заторфованные, илы, сапропели | ||||
|
Озерно-болотные, болотные, аллювиально-болотные и др. |
Органические |
Торфы, сапропели | |||
|
Элювиальные |
Образованные в результате выветривания скальных грунтов |
Минеральные, органоминеральные |
Глинистые грунты коры выветривания |
|
Подкласс |
Тип |
Подтип |
Вид |
Подвид |
Разновидности |
|
Скальные мерзлые |
Типы скальных грунтов |
Все подтипы скальных грунтов |
Все виды скальных грунтов |
Все подвиды скальных грунтов |
Выделяют в соответствии с Б.3 приложения Б и В.3 приложения В |
|
Дисперсные мерзлые |
Типы дисперсных грунтов |
Все подтипы дисперсных грунтов |
Все виды дисперсных грунтов |
Все подвиды дисперсных грунтов | |
|
Ледяные грунты |
Льды конституционные (грунтовые) |
Сегрегационные, инъекционные, ледниковые, инфильтрационные, жильные, повторно-жильные и др. |
Грунты с льдистостью более 0,8 |
Льды и ледогрунты разного состава |
|
Подтип |
Вид по способу создания (изменения) |
Подвид по особенностям технологий создания (изменения) |
Направленность изменений |
|
Скальные грунты
| |||
|
Измененные в естественном залегании |
Физические |
Термически упрочненные дисперсные грунты |
Улучшенные |
|
Разуплотненные разгрузкой напряжений |
Ухудшенные | ||
|
Нарушенные динамическими воздействиями, взрывом | |||
|
Оттаявшие скальные мерзлые грунты |
Измененные | ||
|
Физико-химические |
Инъекционно закрепленные скальные и дисперсные грунты |
Улучшенные | |
|
Антропогенные грунты |
Отходы производств |
Сцементированные отвалы |
Образованные |
|
Дисперсные несвязные грунты
| |||
|
Измененные в естественном залегании |
Физические |
Уплотненные (механически, водопонижением, виброуплотненные, др.) |
Улучшенные |
|
Закольматированные | |||
|
Оттаянные | |||
|
Физические и физико-химические |
Разуплотненные |
Ухудшенные | |
|
Техногенно увлажненные и водонасыщенные | |||
|
Оттаявшие | |||
|
Техногенно засоленные и нефтезагрязненные | |||
|
Перемещенные |
Насыпные |
Грунты планомерно возведенных массивов и насыпей |
Образованные |
|
Намывные |
Грунты в составе земляных сооружений, гидроотвалах | ||
|
Антропогенные грунты |
Отходы производств, бытовые отходы |
Отвалы и гидроотвалы шлаков, золошлаков и шламов | |
|
Свалки бытовых отходов | |||
|
Культурные слои |
Естественно-исторические образования | ||
|
Дисперсные связные грунты
| |||
|
Измененные в естественном залегании |
Физические |
Механически уплотненные |
Улучшенные |
|
Оттаявшие | |||
|
Осушенные | |||
|
Разуплотненные разгрузкой напряжений |
Ухудшенные | ||
|
Техногенно увлажненные и водонасыщенные | |||
|
Оттаянные | |||
|
Физико-химические |
Закрепленные вяжущими |
Улучшенные | |
|
Электрохимически закрепленные | |||
|
Техногенно засоленные и нефтезагрязненные |
Ухудшенные | ||
|
Перемещенные |
Насыпные |
Грунты планомерно возведенных насыпей и отвалы |
Образованные |
|
Намывные |
Грунты в составе земляных сооружений | ||
|
Антропогенные грунты |
Отходы производств, бытовые отходы |
Отвалы промышленных отходов | |
|
Свалки бытовых отходов | |||
|
Культурные слои |
Естественно-исторические образования | ||
|
Мерзлые грунты
| |||
|
Скальные грунты |
Созданные путем изменения теплового режима |
Промерзшие и промороженные |
Измененные |
|
Дисперсные грунты в естественном залегании |
Созданные путем изменения теплового режима |
Промерзшие |
Улучшенные |
|
Растепленные, оставшиеся в мерзлом состоянии |
Ухудшенные | ||
|
Промороженные специальными мероприятиями |
Улучшенные | ||
|
Охлажденные мерзлые | |||
|
Дисперсные грунты перемещенные |
Созданные путем изменения теплового режима |
Промороженные специальными мероприятиями |
Образованные |
|
Промерзшие и перемещенные в мерзлом состоянии | |||
|
Антропогенные образования |
Промороженные |
Промороженные и промерзшие | |
|
Антропогенные льды и ледогрунты |
Намороженные и перемещенные |
Намороженные льды, кладки и отвалы | |
|
Примечание - Техногенные грунты допускается подразделять на те же виды, подвиды и разновидности, что и природные, в соответствии с таблицами 1-3. | |||
Приложение А
(обязательное)
Таблица А.1
|
Наименование показателей состава и свойств грунтов |
Обозначение |
Размерность |
Метод определения |
Принятые на международном уровне наименования на английском языке 1) |
|
1 Влажность 2) |
w |
ед. |
ГОСТ 5180 |
Water content (moisture) |
|
2 Влажность мерзлого грунта за счет незамерзшей воды |
ww |
ед. |
- |
Water content at the expense of not frozen water |
|
3 Влажность мерзлого грунта за счет порового льда |
wic |
ед. |
wic=wm-ww |
Water content due to ice cement |
|
4 Влажность мерзлого грунта, расположенного между ледяными включениями |
wm |
ед. |
- |
Water content of frozen soil located between ice prolayers |
|
5 Влажность на границе раскатывания |
wP |
ед. |
ГОСТ 5180 |
Plastic limit |
|
6 Влажность на границе текучести |
wL |
ед. |
ГОСТ 5180 |
Liquid limit |
|
7 Диаметр частиц (или граничное значение размера фракции грунта) |
d |
мм |
ГОСТ 12536 |
Particle diameter |
|
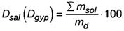
8 Засоленность (загипсованность) грунта 3) |
Dsal (Dgyp) |
% |
|
Salinity (gypsum content) |
|
9 Коэффициент водонасыщения (степень влажности) |
Sr |
д. е. |
|
Saturation ratio |
|
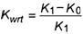
10 Коэффициент выветрелости крупнообломочного грунта 4) |
Kwrt |
д. е. |
|
Decomposition index |
|
11 Коэффициент выветрелости скального грунта 5) |
Kwr |
д. е. |
|
Rock decomposition index |
|
12 Коэффициент истираемости крупнообломочных грунтов 6) |
Kfr |
д. е. |
|
Abradability index |
|
13 Коэффициент сжимаемости мерзлого грунта |
mf |
МПа-1 |
ГОСТ 12248 |
Frozen soil compression ratio |
|
14 Коэффициент переуплотнения |
OCR |
ед. |
- * |
Overconsolidation ratio |
──────────────────────────────
* В Российской Федерации коэффициент переуплотнения определяют по ГОСТ Р 58326-2018 "Грунты. Методы лабораторного определения параметров переуплотнения".
──────────────────────────────
|
15 Коэффициент пористости грунта (мерзлого грунта) |
e (ef) |
ед. |
|
Void ratio (frozen soil void ratio) |
|
16 Коэффициент пористости песка в предельно рыхлом (плотном) состоянии |
emin (emax) |
ед. |
Minimum (maximum) sand void ratio | |
|
17 Коэффициент размягчаемости скального грунта в воде |
Ksof |
д. е. |
|
Soil softening ratio |
|
18 Коэффициент трещинной пустотности 7) |
КТП |
% |
КТП=Sтр/Sизм |
Fracture void ratio |
|
19 Коэффициент фильтрации |
k |
м/сут |
ГОСТ 25584 |
Coefficient of permeability |
|
20 Липкость |
L |
кПа |
ГОСТ 34259 |
Stickness |
|
21 Льдистость за счет видимых включений льда 8) |
ii |
д. е. |
|
Volume content of ice due to prolayers |
|
22 Льдистость за счет льда-цемента |
iic |
д. е. |
- |
Volume content of ice due to ice-cement |
|
23 Модуль общей деформации |
Е |
МПа |
ГОСТ 20276.5, ГОСТ 12248 |
Modulus of deformation |
|
24 Относительная деформация морозного пучения |
εfh |
д. е. |
ГОСТ 28622 |
Frost heave rate |
|
25 Относительная деформация набухания без нагрузки |
εsw |
д. е. |
ГОСТ 12248 |
Expansive strain |
|
26 Относительная деформация просадочности |
εsl |
д. е. |
ГОСТ 23161 |
Slump strain |
|
27 Относительное содержание органического вещества |
Ir |
д. е. |
ГОСТ 23740 |
Organic content |
|
28 Плотность грунта |
ρ |
г/см3 |
ГОСТ 5180 |
Bulk density (unit weight) |
|
29 Плотность грунта в предельно рыхлом (плотном) состоянии |
ρmin (ρmax) |
г/см3 |
ГОСТ 25584 |
Bulk density for sand minimal (maximal) |
|
30 Плотность мерзлого грунта |
ρf |
г/см3 |
ГОСТ 5180 |
Frozen soil density |
|
31 Плотность скелета (сухого) грунта |
ρd |
г/см3 |
ГОСТ 5180 |
Dry soil density |
|
32 Плотность частиц грунта |
ρs |
г/см3 |
ГОСТ 5180 |
Particle density (specific gravity) |
|
33 Показатель качества скального грунта 9) |
RQD |
% |
- * |
Rock Quality Designation |
──────────────────────────────
* В Российской Федерации действует ГОСТ Р 58325-2018 "Грунты. Полевое описание".
──────────────────────────────
|
34 Показатель текучести |
IL |
ед. |
|
Liquidity index |
|
35 Показатель чувствительности |
St |
ед. |
|
Sensitivity ratio (Soil sensitivity) |
|
36 Потенциал разжижения грунта |
FL |
ед. |
- |
Soil liquefaction potential |
|
37 Предел прочности грунта на одноосное сжатие |
Rc |
МПа |
ГОСТ 12248 ГОСТ 21153.2 |
Uniaxial compression strength |
|
38 Предел прочности скального грунта на одноосное сжатие в воздушно-сухом состоянии |
Rс.вс |
МПа |
ГОСТ 12248 ГОСТ 21153.2 |
Uniaxial compression strength in air-dry state |
|
39 Растворимость скального грунта в воде |
qsr |
г/л |
- |
Rock solubility |
|
40 Сопротивление недренированному сдвигу грунтов нарушенного (ненарушенного) сложения |
cur (cu) |
кПа |
ГОСТ 12248, ГОСТ 20276.5, ГОСТ 34276 |
Undrained shear strength |
|
41 Степень заполнения пор льдом и незамерзшей водой |
Srf |
д. е. |
|
Ratio of soil pores filled with ice and unfrozen water |
|
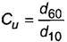
42 Степень неоднородности гранулометрического состава 10) |
Cu |
ед. |
|
Uniformity coefficient |
|
43 Степень плотности песка |
ID |
д. е. |
|
Density ratio (Density index) |
|
44 Степень разложения торфа |
Ddp |
д. е. |
ГОСТ 10650 |
Peat decay degree |
|
45 Суммарная влажность мерзлого грунта |
wtot |
ед. |
ГОСТ 5180 |
Total water content |
|
46 Суммарная льдистость мерзлого грунта |
itot |
д. е. |
|
Total volume content of ice |
|
47 Температура грунта |
T |
°С |
ГОСТ 25358 |
Temperature |
|
48 Температура начала замерзания |
Tbf |
°С |
- |
Ground freezing point |
|
49 Число пластичности |
Ip |
ед. |
IP=wL-wP |
Plasticity index |
|
1) В соответствии с [1], [2]; при отсутствии термина в [1], [2] приведены устоявшиеся термины и словосочетания. 2) Влажность грунта по пунктам 1-7 и число пластичности по пункту 49 допускается выражать в процентах (%). 3) md - масса абсолютно сухого грунта; ∑msol - общая масса водорастворимых солей (для засоленных грунтов) или среднерастворимых солей (для загипсованных грунтов). 4) K1 - отношение массы частиц размером менее 2 мм к массе частиц размером более 2 мм после испытания грунта на истирание в полочном барабане; K0 - отношение массы частиц размером менее 2 мм к массе частиц размером более 2 мм грунта в природном состоянии. 5) ρв - плотность выветрелого скального грунта, г/см3; ρнв - плотность невыветрелого скального грунта, г/см3. 6) q1 - масса частиц размером менее 2 мм после испытания крупнообломочных фракций грунта (частицы размером более 2 мм) на истирание в полочном барабане; q0 - начальная масса пробы крупнообломочных фракций (до испытания на истирание). 7) Отношение суммарной площади трещин Sтp к площади измерений Sизм. 8) Плотность воды ρw принимается 1,0 г/см3, плотность льда ρi - 0,9 г/см3. 9) Отношение суммарной длины сохранных (неразрушившихся) кусков керна длиной более 10 см к длине пробуренного интервала. 10) d10 (d60) - диаметры частиц, меньше которых в грунте содержится 10 % (60 %) частиц по массе соответственно. | ||||
Приложение Б
(обязательное)
Б.1 Разновидности скальных грунтов
Б.1.1 Разновидности скальных грунтов по пределу прочности на одноосное сжатие в водонасыщенном состоянии Rc выделяют в соответствии с таблицей Б.1.
Таблица Б.1
|
Разновидность грунтов |
Предел прочности на одноосное сжатие Rc, МПа |
|
Скальные: | |
|
- очень прочные |
Rc ≥ 120 |
|
- прочные |
120 > Rc ≥ 50 |
|
- средней прочности |
50 > Rc ≥ 15 |
|
- малопрочные |
15 > Rc ≥ 5 |
|
Полускальные: | |
|
- пониженной прочности |
5 > Rc ≥ 3 |
|
- низкой прочности |
3 > Rc ≥ 1 |
|
- очень низкой прочности |
Rc < 1 |
|
Примечание - Грунты, которые разрушаются при водонасыщении, относят к грунтам очень низкой прочности и размягчаемым (по Б.1.5). | |
Б.1.2 Разновидности скальных грунтов по плотности скелета (сухого) грунта ρd выделяют в соответствии с таблицей Б.2.
Таблица Б.2
|
Разновидность грунтов |
Плотность скелета (сухого) грунта ρd, г/см3 |
|
Очень плотный |
ρd ≥ 2,50 |
|
Плотный |
2,50 > ρd ≥ 2,10 |
|
Средней плотности |
2,10 > ρd ≥ 1,20 |
|
Низкой плотности |
ρd < 1,20 |
Б.1.3 Разновидности скальных грунтов по пористости n выделяют в соответствии с таблицей Б.3.
Таблица Б.3
|
Разновидность грунтов |
Пористость n, % |
|
Непористый |
n ≤ 3 |
|
Слабопористый |
3 < n ≤ 10 |
|
Среднепористый |
10 < n ≤ 30 |
|
Сильнопористый |
n > 30 |
Б.1.4 Разновидности скальных грунтов по коэффициенту выветрелости Kwr выделяют в соответствии с таблицей Б.4.
Таблица Б.4
|
Разновидность грунтов |
Коэффициент выветрелости скальных грунтов Kwr, д. е. |
|
Слабовыветрелый |
0,9 ≤ Kwr < 1 |
|
Средневыветрелый |
0,8 ≤ Kwr < 0,9 |
|
Сильновыветрелый |
Kwr < 0,80 |
Б.1.5 Разновидности скальных грунтов по коэффициенту размягчаемости в воде Ksof выделяют в соответствии с таблицей Б.5.
Таблица Б.5
|
Разновидность грунтов |
Коэффициент размягчаемости Ksof, д. е. |
|
Неразмягчаемый |
Ksof ≥ 0,75 |
|
Размягчаемый |
Ksof < 0,75 |
Б.2 Разновидности дисперсных грунтов
Б.2.1 Разновидности дисперсных грунтов по размерам слагающих элементов и их фракций выделяют в соответствии с таблицей Б.6.
Таблица Б.6
|
Элементы грунта |
Фракции |
Размер фракций, мм |
|
Валуны (глыбы) |
Крупные |
d > 800 |
|
Средние |
400 < d ≤ 800 | |
|
Мелкие |
200 < d ≤ 400 | |
|
Галька (щебень) |
Крупные |
100 < d ≤ 200 |
|
Средние |
60 < d ≤ 100 | |
|
Мелкие |
10 < d ≤ 60 | |
|
Гравий (дресва) |
Крупные |
5 < d ≤ 10 |
|
Мелкие |
2 < d ≤ 5 | |
|
Песчаные частицы |
Грубые |
1 < d ≤ 2 |
|
Крупные |
0,5 < d ≤ 1 | |
|
Средние |
0,25 < d ≤ 0,5 | |
|
Мелкие |
0,10 < d ≤ 0,25 | |
|
Тонкие |
0,05 < d ≤ 0,10 | |
|
Пылеватые частицы |
Крупные |
0,01 < d ≤ 0,05 |
|
Мелкие |
0,002 ≤ d ≤ 0,01 | |
|
Глинистые частицы |
- |
d ≤ 0,002 |
Б.2.2 Разновидности крупнообломочных грунтов и песков по гранулометрическому составу выделяют в соответствии с таблицей Б.7.
Таблица Б.7
|
Разновидность крупнообломочных грунтов и песков |
Размер частиц d, мм |
Содержание частиц, % от массы |
|
Крупнообломочные: | ||
|
- валунный (при преобладании неокатанных частиц - глыбовый) |
> 200 |
> 50 |
|
- галечниковый (неокатанный - щебенистый) |
> 10 |
> 50 |
|
- гравийный (неокатанный - дресвяный) |
> 2 |
> 50 |
|
Пески: | ||
|
- гравелистый |
> 2 |
> 25 |
|
- крупный |
> 0,50 |
> 50 |
|
- средней крупности |
> 0,25 |
> 50 |
|
- мелкий |
> 0,10 |
≥ 75 |
|
- пылеватый |
> 0,10 |
< 75 |
|
Примечание - В крупнообломочных грунтах необходимо указывать вид и процентное содержание заполнителя. При наличии в крупнообломочных грунтах песчаного заполнителя более 40 % или глинистого заполнителя более 30 % общей массы воздушно-сухого грунта в наименование крупнообломочного грунта включают наименование вида заполнителя и указывают характеристики его состояния (влажность, плотность, показатель текучести). Вид заполнителя устанавливают после удаления из крупнообломочного грунта частиц крупнее 2 мм. Если обломочный материал представлен ракушкой в количестве 50 % и более, грунт называют ракушечным, если от 25 % до 50 %, то к наименованию грунта добавляют слова "с ракушкой". При наличии в крупнообломочных грунтах примерно равного количества частиц различной крупности это необходимо указывать в наименовании грунта (гравийно-галечниковый грунт, дресвяно-щебенистый). | ||
Б.2.3 Разновидности крупнообломочных грунтов и песков по степени неоднородности гранулометрического состава Cu выделяют в соответствии с таблицей Б.8.
Таблица Б.8
|
Разновидность крупнообломочных грунтов и песков |
Степень неоднородности гранулометрического состава Cu, ед. |
|
Однородные |
Cu ≤ 3 |
|
Неоднородные |
Cu > 3 |
Б.2.4 Разновидности крупнообломочных грунтов и песков по коэффициенту водонасыщения (степени влажности) Sr выделяют в соответствии с таблицей Б.9.
Таблица Б.9
|
Разновидность крупнообломочных грунтов и песков |
Коэффициент водонасыщения (степень влажности) Sr, д.е. |
|
Малой степени водонасыщения (маловлажные) |
0 < Sr ≤ 0,5 |
|
Средней степени водонасыщения (влажные) |
0,5 < Sr ≤ 0,8 |
|
Водонасыщенные |
0,8 < Sr ≤ 1 |
Б.2.5 Разновидности песков естественного сложения по коэффициенту пористости е выделяют в соответствии с таблицей Б.10.
Таблица Б.10
|
Разновидность песков |
Коэффициент пористости е, д. е. | ||
|
Пески гравелистые, крупные и средней крупности |
Пески мелкие |
Пески пылеватые | |
|
Плотные |
е ≤ 0,55 |
е ≤ 0,60 |
е ≤ 0,60 |
|
Средней плотности |
0,55 < е ≤ 0,70 |
0,60 < е ≤ 0,75 |
0,60 < е ≤ 0,80 |
|
Рыхлые |
е > 0,70 |
е > 0,75 |
е > 0,80 |
Б.2.6 Разновидности крупнообломочных грунтов по коэффициенту выветрелости крупных обломков Kwrt выделяют в соответствии с таблицей Б.11.
Таблица Б.11
|
Разновидность крупнообломочных грунтов |
Коэффициент выветрелости Kwrt , д. е. | |
|
Магматические и метаморфические |
Осадочные и вулканогенно-осадочные | |
|
Невыветрелый |
0 < Kwrt ≤ 0,50 |
0 < Kwrt ≤ 0,33 |
|
Слабовыветрелый |
0,50 < Kwrt ≤ 0,75 |
0,33 < Kwrt ≤ 0,67 |
|
Сильновыветрелый |
0,75 < Kwrt ≤ 1,00 |
0,67 < Kwrt ≤ 1,00 |
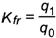
Б.2.7 Разновидности крупнообломочных грунтов по коэффициенту истираемости крупных обломков Kfr выделяют в соответствии с таблицей Б.12.
Таблица Б.12
|
Разновидность крупнообломочных грунтов по прочности крупных обломков |
Коэффициент истираемости Kfr, д. е. |
|
Очень прочные |
Kfr ≤ 0,05 |
|
Прочные |
0,05 < Kfr ≤ 0,20 |
|
Средней прочности |
0,20 < Kfr ≤ 0,30 |
|
Малопрочные |
0,30 < Kfr ≤ 0,40 |
|
Пониженной прочности |
Kfr > 0,40 |
Б.2.8 Разновидности глинистых грунтов по числу пластичности Ip выделяют в соответствии с таблицей Б.13.
Таблица Б.13
|
Разновидность глинистых грунтов |
Число пластичности Ip, ед. |
|
Супесь |
0,01 ≤ Ip ≤ 0,07 |
|
Суглинок |
0,07 < Ip ≤ 0,17 |
|
Глина |
Ip > 0,17 |
|
Примечание - Илы подразделяют по значениям числа пластичности, указанным в настоящей таблице, на супесчаные, суглинистые и глинистые. | |
Б.2.9 Разновидности глинистых грунтов по числу пластичности Ip и содержанию песчаных частиц выделяют в соответствии с таблицей Б.14.
Таблица Б.14
|
Разновидность глинистых грунтов |
Число пластичности Ip, ед. |
Содержание песчаных частиц (2 - 0,05 мм), % от массы |
|
Супесь: | ||
|
- песчанистая |
0,01 ≤ Ip ≤ 0,07 |
≥ 50 |
|
- пылеватая |
0,01 ≤ Ip ≤ 0,07 |
< 50 |
|
Суглинок: | ||
|
- легкий песчанистый |
0,07 < Ip ≤ 0,12 |
≥ 40 |
|
- легкий пылеватый |
0,07 < Ip ≤ 0,12 |
< 40 |
|
- тяжелый песчанистый |
0,12 < Ip ≤ 0,17 |
≥ 40 |
|
- тяжелый пылеватый |
0,12 < Ip ≤ 0,17 |
< 40 |
|
Глина: | ||
|
- легкая песчанистая |
0,17 < Ip ≤ 0,27 |
≥ 40 |
|
- легкая пылеватая |
0,17 < Ip ≤ 0,27 |
< 40 |
|
- тяжелая |
Ip > 0,27 |
Не регламентируется |
Б.2.10 Разновидности глинистых грунтов при наличии частиц размером более 2 мм выделяют в соответствии с таблицей Б.15.
Таблица Б.15
|
Разновидность глинистых грунтов |
Содержание частиц размером более 2 мм, % от массы |
|
Супесь, суглинок, глина с галькой (щебнем), с гравием (дресвой) или ракушкой |
От 15 до 25 включ. |
|
Супесь, суглинок, глина галечниковые (щебенистые), гравелистые (дресвяные) или ракушечные |
Св. 25 до 50 включ. |
Б.2.11 Разновидности глинистых грунтов по показателю текучести IL выделяют в соответствии с таблицей Б.16.
Таблица Б.16
|
Разновидность глинистых грунтов |
Показатель текучести IL, д. е. |
|
Супесь: | |
|
- твердая |
IL < 0 |
|
- пластичная |
0 ≤ IL ≤ 1,00 |
|
- текучая |
IL > 1,00 |
|
Суглинки и глины: | |
|
- твердые |
IL < 0 |
|
- полутвердые |
0 ≤ IL ≤ 0,25 |
|
- тугопластичные |
0,25 < IL ≤ 0,50 |
|
- мягкопластичные |
0,50 < IL ≤ 0,75 |
|
- текучепластичные |
0,75 < IL ≤ 1,00 |
|
- текучие |
IL > 1,00 |
Б.2.12 Разновидности глинистых грунтов по относительной деформации набухания без нагрузки εsw выделяют в соответствии с таблицей Б.17.
Таблица Б.17
|
Разновидность глинистых грунтов |
Относительная деформация набухания без нагрузки εsw, д. е. |
|
Ненабухающий |
εsw < 0,04 |
|
Набухающие: | |
|
- слабонабухающий |
0,04 ≤ εsw ≤ 0,08 |
|
- средненабухающий |
0,08 < εsw ≤ 0,12 |
|
- сильнонабухающий |
εsw > 0,12 |
Б.2.13 Разновидности глинистых грунтов по относительной деформации просадочности εsl по ГОСТ 23161 при давлении 0,3 МПа выделяют в соответствии с таблицей Б.18.
Таблица Б.18
|
Разновидность глинистых грунтов |
Относительная деформация просадочности εsl, д. е. |
|
Непросадочный |
εsl < 0,01 |
|
Просадочные: | |
|
- слабопросадочный |
0,01 ≤ εsl ≤ 0,03 |
|
- среднепросадочный |
0,03 < εsl ≤ 0,07 |
|
- сильнопросадочный |
εsl > 0,07 |
Б.2.14 По относительному содержанию или степени заторфованности Ir с учетом типа органического вещества по ГОСТ 23740, грунты с примесью органического вещества, органоминеральные и органические, подразделяют в соответствии с таблицей Б.19.
Таблица Б.19
|
Разновидность грунтов |
Относительное содержание органического вещества Ir, д. е. | |
|
Минеральные
| ||
|
- с примесью органического вещества |
с включениями растительных остатков |
Ir ≤ 10 |
|
Органоминеральные
| ||
|
с низким содержанием органического вещества |
слабозаторфованные |
0,10 < Ir ≤ 0,25 |
|
- со средним содержанием органического вещества |
среднезаторфованные |
0,25 < Ir ≤ 0,40 |
|
- с высоким содержанием органического вещества |
сильнозаторфованные |
0,40 < Ir < 0,50 |
|
Органические
| ||
|
- |
торф |
Ir ≥ 0,50 |
|
Примечание - Грунты минеральные с примесью органического вещества и включениями растительных остатков выделят в песках при Ir ≥ 0,03, а для глин ≥ 0,05. | ||
Б.2.15 По относительному содержанию органического вещества (степени заторфованности) Ir по ГОСТ 23740 грунты подразделяют на разновидности в соответствии с таблицей Б.20.
Таблица Б.20
|
Разновидность грунтов |
Относительное содержание органического вещества Ir, д. е. | |
|
Пески |
Глинистые грунты | |
|
С примесью органического вещества (с примесью растительных остатков) |
0,03 ≤ Ir ≤ 0,10 |
0,05 < Ir ≤ 0,10 |
|
Органоминеральные: | ||
|
- с низким содержанием органического вещества (слабозаторфованные) |
0,10 < Ir ≤ 0,25 | |
|
- со средним содержанием органического вещества (среднезаторфованные) |
0,25 < Ir ≤ 0,40 | |
|
- с высоким содержанием органического вещества (сильнозаторфованные) |
0,40 < Ir < 0,50 | |
|
Органические (торф) |
Ir ≥ 0,50 | |
|
Примечание - Заторфованные грунты характеризуются преобладанием в содержащемся органическом веществе материала растительного происхождения. | ||
Б.2.16 По степени разложения Ddp по ГОСТ 10650 торфы подразделяют на разновидности в соответствии с таблицей Б.21.
Таблица Б.21
|
Разновидность торфа |
Степень разложения Ddp, % |
|
Слаборазложившийся |
Ddp ≤ 20 |
|
Среднеразложившийся |
20 < Ddp ≤ 45 |
|
Сильноразложившийся |
Ddp > 45 |
Б.2.17 По степени засоленности легкорастворимыми солями Dsal, определяемыми по водной вытяжке, грунты подразделяют на разновидности в соответствии с таблицей Б.22.
Примечание - К легкорастворимым солям относятся: хлориды NaCl, KCl, CaCl2, MgCl2; бикарбонаты NaHCO3, Са(НСO3)2, Mg(НСO3)2; карбонат натрия Na2CO3; сульфаты магния и натрия MgSO4, Na2SO4.
Тип засоления определяется по соотношению содержания ионов Cl- и SO42- в водной вытяжке, выраженного в мг·экв/100 г сухого грунта (Cl-/SO42-): Хлоридный тип - Cl-/SO42- > 2,5; Сульфатно-хлоридный тип - 1,5 < Cl-/SO42- ≤ 2,5; Хлоридно-сульфатный тип - 1,0 < Cl-/SO42-≤ 1,5; Сульфатный тип - Cl-/SO42- < 1,0.
По степени засоленности среднерастворимыми солями (загипсованности) Dgyp, определяемыми по солянокислой вытяжке, грунты подразделяют на разновидности в соответствии с таблицей Б.23.
Таблица Б.22
|
Разновидность грунтов |
Засоленность грунтов легкорастворимыми солями Dsal, % | |
|
хлоридный, сульфатно-хлоридный тип |
сульфатный, хлоридно-сульфатный тип | |
|
Незасоленный |
Dsal < 0,5 |
Dsal < 0,5 |
|
Засоленный: | ||
|
- слабозасоленный |
0,5 ≤ Dsal < 2,0 |
0,5 ≤ Dsal < 1,0 |
|
- среднезасоленный |
2,0 ≤ Dsal < 5,0 |
1,0 ≤ Dsal < 3,0 |
|
- сильнозасоленный |
5,0 ≤ Dsal ≤ 10,0 |
3,0 ≤ Dsal ≤ 8,0 |
|
- избыточно засоленный |
Dsal > 10,0 |
Dsal > 8,0 |
Таблица Б.23
|
Разновидность грунтов |
Засоленность грунтов среднерастворимыми солями (загипсованность) Dgyp, % | ||
|
Суглинок |
Супесь |
Песок | |
|
Незагипсованный |
Dgyp ≤ 5 |
Dgyp ≤ 5 |
Dgyp ≤ 3 |
|
Загипсованный: | |||
|
- слабозагипсованный |
5 < Dgyp ≤ 10 |
5 < Dgyp ≤ 10 |
3 < Dgyp ≤ 7 |
|
- среднезагипсованный |
10 < Dgyp ≤ 20 |
10 < Dgyp ≤ 20 |
7 < Dgyp ≤ 10 |
|
- сильнозагипсованный |
20 < Dgyp ≤ 35 |
20 < Dgyp ≤ 30 |
10 < Dgyp ≤ 15 |
|
- избыточно загипсованный |
Dgyp > 35 |
Dgyp > 30 |
Dgyp > 15 |
|
Примечание - К среднерастворимым солям относятся гипс CaSO4·2H2O и ангидрит CaSO4. | |||
Б.2.18 По относительной деформации морозного пучения εfh по ГОСТ 28622 дисперсные грунты подразделяют в соответствии с таблицей Б.24.
Таблица Б.24
|
Разновидность грунтов |
Относительная деформация морозного пучения εfh, д. е. |
|
Непучинистый |
εfh < 0,01 |
|
Пучин истый: | |
|
- слабопучинистый |
0,01 ≤ εfh < 0,035 |
|
- среднепучинистый |
0,035 ≤ εfh < 0,07 |
|
- сильнопучинистый |
εfh ≥ 0,07 |
|
Примечание - Применяют также для класса мерзлых грунтов. | |
Б.3 Разновидности мерзлых грунтов
Б.3.1 По льдистости скальные, полускальные и дисперсные мерзлые грунты подразделяют на разновидности в соответствии с таблицами Б.25-Б.27.
Таблица Б.25
|
Разновидность скальных и полускальных мерзлых грунтов |
Льдистость за счет видимых ледяных включений ii, д. е. |
|
Слабольдистый |
ii ≤ 0,01 |
|
Льдистый |
0,01 < ii ≤ 0,05 |
|
Сильнольдистый |
ii > 0,05 |
Таблица Б.26
|
Разновидность глинистых мерзлых грунтов |
Льдистость за счет видимых ледяных включений ii, д. е. |
Суммарная льдистость мерзлого грунта itot, д. е. |
|
Нельдистый |
ii ≤ 0,03 |
itot ≤ 0,20 |
|
Слабольдистый |
0,03 < ii ≤ 0,20 |
0,20 < itot ≤ 0,35 |
|
Льдистый |
0,20 < ii ≤ 0,40 |
0,35 < itot ≤ 0,50 |
|
Сильнольдистый |
0,40 < ii ≤ 0,80 |
0,50 < itot ≤ 0,85 |
|
Ледогрунт |
ii > 0,80 |
itot > 0,85 |
|
Примечание - Подразделение мерзлых глинистых грунтов по суммарной льдистости проводится при невозможности или нецелесообразности определения льдистости за счет видимых включений льда. | ||
Таблица Б.27
|
Разновидность песчаных грунтов |
Суммарная льдистость itot, д. е. |
|
Нельдистый |
itot ≤ 0,20 |
|
Слабольдистые |
0,20 < itot ≤ 0,40 |
|
Льдистые |
0,40 < itot ≤ 0,60 |
|
Сильнольдистые |
0,60 < itot ≤ 0,80 |
|
Ледогрунт |
itot > 0,80 |
Б.3.2 По степени засоленности водорастворимыми солями Dsal, %, мерзлые грунты с морским (хлоридным) типом засоления подразделяют на разновидности в соответствии с таблицей Б.28.
Таблица Б.28
|
Разновидность грунтов |
Засоленность водорастворимыми солями Dsal, % | ||
|
Пески |
Супеси |
Суглинки и глины | |
|
Незасоленные |
Dsal < 0,05 |
Dsal < 0,15 |
Dsal < 0,20 |
|
Засоленные: | |||
|
- слабозасоленные |
0,05 ≤ Dsal < 0,15 |
0,15 ≤ Dsal < 0,35 |
0,20 ≤ Dsal < 0,40 |
|
- среднезасоленные |
0,15 ≤ Dsal < 0,30 |
0,35 ≤ Dsal < 0,60 |
0,40 ≤ Dsal < 0,80 |
|
- сильнозасоленные |
Dsal ≥ 0,30 |
Dsal ≥ 0,60 |
Dsal ≥ 0,80 |
|
Примечание - Мерзлые грунты с континентальным типом засоления (сульфатный тип засоления) водорастворимыми солями относят к засоленным при соблюдении следующих условий: - для песков Dsal ≥ 0,10 %; - для супесей Dsal ≥ 0,15 %; - для суглинков Dsal ≥ 0,20 %. | |||
Приложение В
(рекомендуемое)
В.1 Разновидности скальных грунтов
В.1.1 По содержанию карбонатов согласно ГОСТ 34467 скальные известково-доломитовые грунты подразделяют в соответствии с таблицей В.1.
Таблица В.1
|
Разновидность грунтов |
Содержание, % | |
|
СаСO3 |
CaMg(CO3)2 | |
|
Известняк |
Св. 95 до 100 включ. |
От 0 до 5 включ. |
|
Известняк доломитистый |
" 75 " 95 " |
Св. 5 " 25 " |
|
Известняк доломитовый |
" 50 " 75 " |
" 25 " 50 " |
|
Доломит известковый |
" 25 " 50 " |
" 50 " 75 " |
|
Доломит известковистый |
" 5 " 25 " |
" 75 " 90 " |
|
Доломит |
От 0 " 5 включ. |
" 95 " 100 " |
В.1.2 По содержанию карбонатов согласно ГОСТ 34467 скальные карбонатно-терригенные грунты подразделяют в соответствии с таблицей В.2.
Таблица В.2
|
Разновидность грунтов |
Содержание карбонатов, % |
|
Известняк (доломит) |
Св. 95 до 100 включ. |
|
Известняк (доломит) глинистый (алевритистый, с гравием, с галькой) |
Св. 75 до 95 включ. |
|
Известняк (доломит, мергель) алевритовый (аргиллитовый, гравийный, галечниковый) |
Св. 50 до 75 включ. |
|
Мергель глинистый известковый (доломитовый), алевролит (песчаник, гравелит, конгломерат) известковый (доломитовый) |
Св. 25 до 50 включ. |
|
Аргиллит (алевролит, песчаник, гравелит, конгломерат) известковистый (доломитистый) |
Св. 5 до 25 включ. |
|
Алевролит (аргиллит, песчаник, гравелит, конгломерат) |
От 0 до 5 включ. |
|
Примечания 1 Известковый ряд выделяется по преобладанию в карбонатной части СаСO3, доломитовый - по преобладанию CaMg(CO3)2. 2 Галечниковый/гравийный/алевритовый/аргиллитовый (глинистый) ряды выделяются по преобладающей фракции некарбонатного (терригенного) материала. | |
В.1.3 По степени растворимости в воде qsr скальные грунты подразделяют в соответствии с таблицей В.3.
Таблица В.3
|
Разновидность грунтов |
Растворимость qsr, г/л |
|
Нерастворимый |
qsr ≤ 0,01 |
|
Труднорастворимый |
0,01 < qsr ≤ 1 |
|
Среднерастворимый |
1 < qsr ≤ 10 |
|
Легкорастворимый |
10 < qsr ≤ 100 |
|
Сильнорастворимый |
qsr > 100 |
В.1.4 По водопроницаемости скальные грунты подразделяются по коэффициенту фильтрации k, м/сут в соответствии с таблицей В.4.
Таблица В.4
|
Разновидность грунтов |
Коэффициент фильтрации k, м/сут |
|
Водонепроницаемый |
k ≤ 0,005 |
|
Слабоводопроницаемый |
0,005 < k ≤ 0,3 |
|
Водопроницаемый |
0,3 < k ≤ 3 |
|
Сильноводопроницаемый |
3 < k ≤ 30 |
|
Очень сильноводопроницаемый |
k > 30 |
|
Примечание - Применяется также и для класса дисперсных грунтов. | |
В.2 Разновидности дисперсных грунтов
В.2.1 По модулю деформации Е дисперсные грунты подразделяют на разновидности в соответствии с таблицей В.5.
Таблица В.5
|
Разновидность грунтов |
Модуль деформации Е, МПа |
|
Очень сильно деформируемые |
Е ≤ 5 |
|
Сильнодеформируемые |
5 < E ≤ 10 |
|
Среднедеформируемые |
10 < E ≤ 50 |
|
Слабодеформируемые |
E > 50 |
|
Примечание - Модуль деформации E определяется по результатам испытания методом штампа по ГОСТ 20276.5 или другими методами с пересчетом на испытания штампом. | |
В.2.2 Пески искусственного сложения по степени плотности ID подразделяют в соответствии с таблицей В.6.
Таблица В.6
|
Разновидность песков |
Степень плотности ID, д. е. |
|
Слабоуплотненный |
0 < lD ≤ 0,33 |
|
Среднеуплотненный |
0,33 < lD ≤ 0,66 |
|
Сильноуплотненный |
0,66 < lD ≤ 1,00 |
В.2.3 По сопротивлению недренированному сдвигу cu по ГОСТ 12248 глинистые грунты подразделяют на разновидности в соответствии с таблицей В.7.
Таблица В.7
|
Разновидность глинистых грунтов |
Сопротивление недренированному сдвигу cu, кПа |
|
Чрезвычайно низкой прочности |
cu ≤ 10 |
|
Очень низкой прочности |
10 < cu ≤ 20 |
|
Низкой прочности |
20 < cu ≤ 40 |
|
Средней прочности |
40 < cu ≤ 75 |
|
Высокой прочности |
75 < cu ≤ 150 |
|
Очень высокой прочности |
150 < cu ≤ 300 |
|
Чрезвычайно высокой прочности |
cu > 300 |
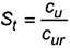
В.2.4 Разновидности глинистых грунтов по показателю чувствительности St выделяют в соответствии с таблицей В.8.
Таблица В.8
|
Разновидность глинистых грунтов |
Показатель чувствительности St, ед. |
|
Нечувствительные |
St ~ 1 |
|
Низкочувствительные |
1 < St ≤ 2 |
|
Среднечувствительные |
2 < St ≤ 4 |
|
Очень чувствительные |
4 < St ≤ 8 |
|
Чрезвычайно чувствительные (плывунные глины) |
St > 8 |
В.2.5 Разновидности глинистых грунтов по липкости L по ГОСТ 34259 выделяют в соответствии с таблицей В.9.
Таблица В.9
|
Разновидность глинистых грунтов |
Липкость L, кПа |
|
Неприлипающие |
L ≤ 5 |
|
Слабоприлипающие |
5 < L ≤ 10 |
|
Среднеприлипающие |
10 < L ≤ 25 |
|
Сильноприлипающие |
L > 25 |
B.2.6 Водонасыщенные дисперсные грунты по потенциалу разжижения FL при сейсмических воздействиях подразделяют:
- на разжижаемые FL ≤ 1,15;
- неразжижаемые FL > 1,15.
Примечание - Потенциал разжижения FL определяется как отношение критического значения касательного напряжения, вызывающего разжижение грунта при заданном уровне сжимающих напряжений и длительности воздействия, к значению максимальных касательных напряжений, возникающих в грунте при прогнозируемом землетрясении.
В.2.7 Разновидности глинистых грунтов по коэффициенту переуплотнения OCR выделяют в соответствии с таблицей В.10.
Таблица В.10
|
Разновидность глинистых грунтов |
Коэффициент переуплотнения OCR, ед. |
|
Недоуплотненные |
OCR ≤ 1,0 |
|
Нормально уплотненные |
1,0 < OCR ≤ 2,0 |
|
Переуплотненные |
2,0 < OCR ≤ 4,0 |
|
Сильно переуплотненные |
OCR > 4,0 |
В.3 Разновидности мерзлых грунтов
В.3.1 По температуре T грунты подразделяют на разновидности в соответствии с таблицей В.11.
Таблица В.11
|
Разновидность грунтов |
Температура грунтов T, °С |
|
Немерзлый (талый) |
Т ≥ 0 |
|
Охлажденный |
0 > T ≥ Tbf |
|
Мерзлый |
T < Tbf |
|
Морозный (для класса скальных грунтов) |
Т < 0 |
|
Сыпучемерзлый (для дисперсных грунтов) * |
Т < 0 |
|
* Для грунтов с суммарной влажностью wtot ≤ 0,03 д.е. | |
В.3.2 По состоянию незасоленные мерзлые грунты подразделяют на разновидности в соответствии с таблицей В.12
Таблица В.12
|
Грунты |
Разновидность грунта | ||
|
Твердомерзлый (mf ≤ 0,01 МПа-1) при T < Th, °С |
Пластично-мерзлый (mf > 0,01 МПа-1) при T, °С |
Сыпуче-мерзлый при T < 0 °С | |
|
Скальные и полускальные |
Th = 0 |
- |
- |
|
Крупнообломочные |
Th = 0 |
Th < Т < Tbf при Srf < 0,8 |
При Srf ≤ 0,15 |
|
Пески гравелистые, крупные и средней крупности |
Th = - 0,1 | ||
|
Пески мелкие и пылеватые |
Th = - 0,3 | ||
|
Глинистые грунты: |
Th < T < Tbf |
При Srf ≤ 0,15 | |
|
- супесь |
Th = - 0,6 | ||
|
- суглинок |
Th = - 1,0 | ||
|
- глина |
Th = - 1,5 | ||
|
Примечание - Th - температурная граница твердомерзлого состояния грунта; T - температура грунта. | |||
Приложение Г
(рекомендуемое)
Г.1 Массивы скальных грунтов подразделяют в зависимости от критериев сплошности, степени экзогенного изменения и относительной скорости упругих волн в массиве в соответствии с Г.1.1-Г.1.3.
Г.1.1 По степени сплошности массивы скальных грунтов подразделяют в соответствии с таблицей Г.1.
Таблица Г.1
|
Наименование массива по степени сплошности |
Коэффициент трещинной пустотности (КТП), % |
Отношение l/a, ед. |
Характеристика массива |
|
Монолитный |
КТП < 0,1 |
< 1,0 |
Массив не расчленен трещинами на отдельные блоки. Имеются немногочисленные трещины, которые редко пересекаются |
|
Трещиноватый: |
Массив не полностью расчленен трещинами на отдельные блоки. Между блоками имеются целики скального грунта | ||
|
- слаботрещиноватый |
0,1 ≤ КТП ≤ 0,5 |
1,0-1,5 | |
|
- среднетрещиноватый |
0,5 < КТП ≤ 2,0 |
1,5-2,5 | |
|
- сильнотрещиноватый |
2,0 < КТП ≤ 5,0 |
2,5-4,0 | |
|
Разборный |
КТП > 5,0 |
> 4,0 |
Массив полностью расчленен трещинами на отдельные блоки. Трещины различных направлений многократно пересекаются |
|
Примечание - Для подразделения массива скального грунта по степени сплошности следует руководствоваться отношением l/a, где l - средняя длина трещин, а - среднее расстояние между трещинами. Показателем КТП следует пользоваться, если площадь естественного или искусственного обнажения (котлован, штольня и т.п.) не позволяет оценить реальные значения l и а. | |||
Г.1.2 По степени экзогенного изменения от разгрузки и выветривания массивы скальных грунтов подразделяют на зоны А, Б, В и Г в соответствии с таблицей Г.2.
Таблица Г.2
|
Наименование зоны массива скального грунта |
Характеристика зоны массива |
|
А - зона сильного изменения |
Блоки отдельности массива сложены преимущественно сильновыветрелыми и средневыветрелыми скальными грунтами |
|
Б - зона средней степени изменения |
Блоки отдельности массива сложены преимущественно слабовыветрелыми и невыветрелыми скальными грунтами, в стенках трещин имеются средневыветрелые скальные грунты |
|
В - зона слабого изменения |
Блоки отдельности массива сложены невыветрелыми скальными грунтами, вдоль некоторых трещин имеются слабовыветрелые скальные грунты |
|
Г - сохранный массив |
Невыветрелые скальные грунты в блоках отдельности и стенках трещин |
|
Примечание - Скальные грунты по коэффициенту выветрелости подразделяют по таблице Б.4 приложения Б. | |
Г.1.3 По относительной скорости распространения упругих продольных волн массивы скальных грунтов подразделяют в соответствии с таблицей Г.3.
Таблица Г.3
|
Характеристика скального массива |
Относительная скорость упругих продольных волн, vpM/vpБ, д. е. |
|
Монолитный |
Св. 0,6 |
|
Слаботрещиноватый |
От 0,6 до 0,3 |
|
Среднетрещиноватый |
Св. 0,3 до 0,1 |
|
Сильнотрещиноватый |
Св. 0,1 до 0, 03 |
|
Разборный |
Менее 0,03 |
|
Примечание - vpM - скорость упругих продольных волн в массиве скального грунта; vpБ - скорость продольных волн в блоке отдельности. | |
Г.2 По показателю качества грунта RQD скальные грунты подразделяют в соответствии с таблицей Г.4.
Таблица Г.4
|
Качество скального грунта |
Показатель качества RQD, % |
|
Очень хорошее |
RQD > 90 |
|
Хорошее |
90 ≥ RQD ≥ 75 |
|
Среднее |
75 > RQD ≥ 50 |
|
Плохое |
50 > RQD ≥ 25 |
|
Очень плохое |
RQD < 25 |
Г.3 Блоки отдельности подразделяют по размеру и форме в соответствии с Г.3.1 и Г.3.2.
Г.3.1 По размеру блоки отдельности подразделяют на разновидности в соответствии с таблицей Г.5.
Таблица Г.5
|
Разновидность отдельностей |
Средний размер блока отдельности, см |
|
Крупноглыбовая |
Св. 80 |
|
Мелкоглыбовая |
От 80 до 20 включ. |
|
Щебневая |
Менее 20 |
Г.3.2 По форме блоков отдельности в массивах скальных грунтов выделяют следующие разновидности отдельностей:
- параллелепипедная ("сундучная");
- остроугольная;
- плитчатая;
- столбчатая;
- шаровая.
Г.4 Трещины в массиве скальных грунтов подразделяют на разновидности по пространственной ориентации, ширине раскрытия, длине, виду заполнителя и шероховатости стенок в соответствии с Г.4.1-Г.4.5.
Г.4.1 По пространственной ориентации трещины в зависимости от угла падения β° подразделяют в соответствии с таблицей Г.6. При этом необходимо указывать азимут падения плоскости трещины (слоя, разрыва), т.е. азимут перпендикуляра к следу от пересечения плоскости трещины с горизонтальной плоскостью.
Таблица Г.6
|
Разновидность трещин |
Угол падения β,° |
|
Субвертикальные |
β ≥ 80° |
|
Крутые |
80° > β ≥ 60° |
|
Наклонные |
60° > β ≥ 30° |
|
Пологие |
30° > β ≥ 10° |
|
Субгоризонтальные |
β < 10° |
Г.4.2 По расстоянию b между скальными стенками трещины выделяют разновидности трещин в соответствии с таблицей Г.7.
Таблица Г.7
|
Разновидность трещин |
Расстояние между скальными стенками b, см |
|
Очень широкие |
b ≥ 10 |
|
Широкие |
10 > b ≥ 1 |
|
Средней ширины |
1 > b ≥ 0,1 |
|
Узкие |
0,1 > b ≥ 0,01 |
|
Трещины-капилляры |
b < 0,01 |
Г.4.3 По длине L трещины скального массива подразделяют на разновидности в соответствии с таблицей Г.8.
Таблица Г.8
|
Разновидность трещин |
Длина трещины L, м |
|
Разрывы |
L ≥ 100 |
|
Длинные |
100 > L ≥ 10 |
|
Средней длины |
10 > L ≥ 1 |
|
Короткие |
1 > L ≥ 0,1 |
|
Микротрещины |
L < 0,1 |
Г.4.4 По виду заполнителя трещины подразделяют на разновидности в соответствии с таблицей Г.9.
Таблица Г.9
|
Разновидность трещин |
Вид заполнителя трещины |
|
Открытые |
Наполнены газом или жидкостью |
|
Заполненные |
Полностью или частично заполнены дисперсным грунтом |
|
Залеченные |
Наполнены природным цементом или искусственным цементным камнем |
Г.4.5 По макрошероховатости стенок трещины подразделяются на разновидности в соответствии с таблицей Г.10.
Таблица Г.10
|
Разновидность трещин |
Макрошероховатость стенок |
Механический тип трещины |
|
Ровные |
Выступы с наклоном менее 5° |
Зеркала скольжения и притертые трещины скола |
|
Волнистые |
Выступы с наклоном от 5° до 30° |
Трещины скола и отрыва, частично притертые |
|
Волнистоступенчатые |
Выступы с наклоном более 30° |
Трещины отрыва и скола, не измененные смещением |
|
Примечание - Кроме макрошероховатости, имеющей сантиметровую (до нескольких сантиметров) амплитуду выступов, на стенке трещины может быть микрошероховатость, которая осложняет поверхность макровыступов, создавая на ней волны высотой до 1,0 мм. Длинные трещины кроме указанных микро- и макрошероховатостей могут иметь на стенках неровности третьего порядка с высотой выступов до нескольких дециметров. | ||
Г.5 По взаимной ориентации в массивах скальных грунтов выделяют следующие разновидности сетей трещин в соответствии с таблицей Г.11.
Таблица Г.11
|
Разновидность сетей трещин |
Взаимная ориентация трещин |
Анизотропия массива |
|
Системная |
Трещины группируются в системы |
Анизотропный массив |
|
Полигональная |
Одна система трещин вдоль слоя осадочной породы (поверхности магматического тела) и перпендикулярные к ней трещины разных азимутов |
Трансверсально-изотропный массив |
|
Хаотическая |
Трещины в массиве ориентированы по любым направлениям |
Изотропный массив |
|
Сферическая |
Независимые радиально-концентрические сети в округлых геологических телах, слагающих массив | |
|
Примечание - Системой трещин называется множество примерно параллельных трещин в массиве скальных грунтов. | ||
Г.6 По сжимаемости массивы скальных грунтов подразделяют на разновидности в соответствии с таблицей Г.12.
Таблица Г.12
|
Разновидность массива по сжимаемости |
Модуль деформации массива Е, МПа |
|
Практически несжимаемые |
Св. 20000 |
|
Слабо сжимаемые |
От 20000 до 10000 включ. |
|
Средне сжимаемые |
Св. 10000 " 5000 " |
|
Сильно сжимаемые |
" 5000 " 2000 " |
|
Чрезвычайно сжимаемые |
Менее 2000 |
|
Примечание - Модуль деформации массива определяется полевыми испытаниями методами статического нагружения или по результатам измерения скоростей продольных и поперечных волн. | |
Приложение Д
(справочное)
В настоящем приложении приведены термины, используемые в международных стандарте, документе и национальных стандартах США ([1]-[4]).
Д.1 Very coarse soils (крупнообломочные грунты) - грунты, основная фракция которых имеет размер крупнее 63 мм.
Д.2 Coarse-grained soils (крупнозернистые и песчаные грунты) - грунты, менее 50 % частиц которых проходит через сито 0,063 мм по [1] или 0,075 мм по [2].
Д.3 Fine-grained soils (тонкодисперсные грунты) - грунты, более 50 % частиц которых проходит через сито 0,063 мм по [1] или 0,075 мм по [2].
Д.4 Liquid limit (граница текучести); определяют по [3] методом падающего конуса и обозначают wL, по [4] - методом Казагранде и обозначают LL.
Д.5 Liquid limit oven dried (граница текучести после высушивания) LLO; определяют методом Казагранде после высушивания грунта в печи при температуре T = 105 °С.
Д.6 Liquid limit non dried (граница текучести до высушивания) LLN; определяют методом Казагранде в грунте естественной влажности.
Д.7 Plastic limit (граница раскатывания); определяют, как и в ГОСТ 5180, методом раскатывания и обозначают wP по [3] и PL по [4].
Д.8 Plasticity index (число пластичности); определяют и обозначают по [3] так же, как в настоящем стандарте (согласно приложению А), а по [4] - по формуле (Д.1) и обозначают PI.
Pl=LL-PL,
(Д.1)
где LL и PL - по Д.4 и Д.7.
Д.9 Liquidity index (показатель текучести) IL, определяют по [1] так же, как в настоящем стандарте (согласно приложению А).
Д.10 Consistency index (показатель консистенции) Iс; определяют в [1] по формуле
.
(Д.2)
Д.11 Plasticity chart (карта пластичности грунтов) - график в координатах РI - LL, применяемый для классификации тонкодисперсных грунтов и тонкой фракции в крупнообломочных, крупнозернистых и песчаных грунтах (рисунок Е.3).
Д.12 Uniformity coefficient (степень фракционированности) Cu - определяют так же, как в настоящем стандарте (согласно приложению А).
С увеличением однородности состава грунта значение Cu уменьшается.
Д.13 Coefficient of curvature (коэффициент кривизны) Сс - показатель, характеризующий форму кривой гранулометрического состава (рисунок Е.2) и определяемый по формуле
,
(Д.3)
где d60, d30, d10 - диаметры частиц, меньше которых в грунте содержится 60 %, 30 % и 10 % (по массе) частиц соответственно.
Д.14 Well graded soil (хорошо фракционированный грунт) W - неоднородный грунт; определяют по степени фракционированности Cu и коэффициенту кривизны Сс.
Д.15 Poorly graded soil (плохо фракционированный грунт) Р - однородный грунт; определяют по степени фракционированности Cu и коэффициенту кривизны Сс.
Д.16 Flow chart (карта классификации грунтов) - блок-схема, применяемая для определения наименования грунта по пластичности.
Приложение Е
(справочное)
Е.1 Общие положения
Е.1.1 Наименования крупнообломочных, крупнозернистых и песчаных грунтов (по Д.1 и Д.2 приложения Д) в [1] и [2] определяют на основании их гранулометрического состава, степени фракционированности и коэффициента кривизны, определяемых по кумулятивной кривой гранулометрического состава (по Е.2).
Е.1.2 Соответствие различных фракций грунтов в настоящем стандарте и в [1] и [2] показано на рисунке Е.1.
Е.1.3 Наименования тонкодисперсных грунтов (по Д.3 приложения Д) в [1] и [2] определяют на основании показателей пластичности и содержания органического вещества (по Е.3), а также гранулометрического состава крупнозернистой фракции (крупнее 0,063 и 0,075 мм соответственно).
Е.1.4 Для установления соответствия наименований глинистых грунтов по настоящему стандарту и тонкодисперсных грунтов по [1] и [2] проводят пересчет результатов определения границы текучести, полученных по ГОСТ 5180 и по [3] и [4], с использованием корреляционных формул (по Е.3).
Е.1.5 Соответствие наименований органоминеральных тонкозернистых грунтов устанавливают по результатам определения содержания органического вещества (по сжиганию) или границы текучести по методу Казагранде (после высушивания при температуре T = 105 °С).
Е.1.6 Определение частных характеристик свойств грунтов и их разновидностей проводят по результатам их определения по классификациям соответствующих стандартов.
Е.2 Классификация крупнообломочных и песчаных грунтов
Е.2.1 Для классификации крупнообломочных и песчаных грунтов определяют содержание фракций по граничным размерам частиц: по [1] - 630; 200; 63; 20; 6,3;
0,63; 0,2 и 0,063 мм, по [2] - 300; 76,2; 19,0; 4,75; 0,425 и 0,075 мм; по настоящему стандарту - 800; 400; 200; 100; 60; 40; 20; 10; 5; 0,5; 0,25, 0,1 и 0,05 мм.
Для расчета степени фракционированности и коэффициента кривизны определяют параметры d60, d30 и d10.
|
Размер частиц, мм |
800 |
630 |
400 |
300 |
200 |
100 |
76,2 |
63 |
60 |
40 |
20 |
19 |
10 |
6,3 |
4,75 |
4 |
2 |
|
По настоящему стандарту |
Валуны (глыбы) |
Галька (щебень) |
Гравий (дресва) | ||||||||||||||
|
крупные |
средние |
мелкие |
крупная |
средняя |
мелкая |
крупный |
мелкий | ||||||||||
|
ISO 14688-2 |
Boulders |
Cobbles |
Gravel |
Sand | |||||||||||||
|
coarse |
fine |
coarse | |||||||||||||||
|
ASTM D 2487 |
Large boulders |
Boulders |
Cobbles |
Coarse gravel |
Medium gravel |
Fine gravel | |||||||||||
|
Продолжение блок-схемы | |||||||||||||||||
|
Размер частиц, мм |
1 |
0,63 |
0,5 |
0,425 |
0,25 |
0,2 |
0,1 |
0,075 |
0,063 |
0,05 |
0,02 |
0,0063 |
0,005 |
0,002 |
< 0,002 | ||
|
По настоящему стандарту |
Песчаные частицы |
Пылеватые частицы |
Глинистые частицы | ||||||||||||||
|
крупные |
средние |
мелкие |
тонкие |
крупные |
мелкие | ||||||||||||
|
ISO 14688-2 |
Sand |
Silt |
Clay | ||||||||||||||
|
Medium |
fine | ||||||||||||||||
|
ASTM D 2487 |
Sand |
Silt |
Clay | ||||||||||||||
|
coarse |
medium |
fine |
coarse |
medium |
fine | ||||||||||||
Рисунок Е.1 - Блок-схема: сопоставление размеров гранулометрических фракций, определяемых по настоящему стандарту и по [1] и [2]
Е.2.2 Для пересчета содержания отдельных фракций, определяемых в различных стандартах, а также определения степени фракционированности и коэффициента кривизны строят кумулятивную кривую гранулометрического состава (рисунок Е.2), на основании которой проводят дальнейшие пересчеты по нормам требуемого стандарта.
Е.2.3 Дальнейшую классификацию крупнообломочных и песчаных грунтов по [1] и [2] проводят в соответствии с требованиями этих стандартов (по Е.2.4 и Е.2.5).
Е.2.4 Классификацию грунтов по [1] проводят на основании определения содержания всех гранулометрических фракций (по таблице Е.1). В наименовании грунта указывают все содержащиеся в нем фракции. Наименование основной (по содержанию) фракции указывают в виде существительного (символ фракции записывают с прописной буквы).
Второстепенные фракции входят в наименование грунта в виде прилагательных и располагаются перед наименованием основной фракции в порядке увеличения их содержания.
Символы второстепенных фракций записывают строчными буквами.

Рисунок Е.2 - Кумулятивная кривая гранулометрического состава
В наименовании грунта могут использоваться различные сочетания терминов. Например, sandy medium gravel (saMGr) - гравий средней крупности песчанистый.
Е.2.5 Классификацию крупнообломочных и песчаных грунтов по [2] проводят на основании классификационных блок-схем (flow charts), приведенных в [2].
Е.2.6 Сопоставление наименований крупнообломочных грунтов, определенных по настоящему стандарту и по [1] и [2], приведено в таблицах Е.1 и Е.2.
Е.2.7 Классификацию тонкодисперсной составляющей крупнообломочных и песчаных грунтов проводят по Е.3.
Е.2.8 Соответствие наименований песчаных грунтов, определенных по настоящему стандарту и по [1] и [2], показано в таблицах Е.3 и Е.4.
|
Наименование грунта |
Индекс | |
|
по настоящему стандарту |
по [1] | |
|
Валунный (глыбовый) грунт |
Boulders, sandy boulders, silty boulders, clayey boulders |
Bo, saBo, siBo, clBo |
|
Валунный (глыбовый) грунт с песчаным заполнителем |
Sandy boulders, silty sandy boulders, clayey sandy boulders |
saBo, sisaBo, clsaBo |
|
Валунный (глыбовый) грунт с глинистым (суглинистым, супесчаным) заполнителем |
Silty boulders, clayey boulders, sandy silty boulders, sandy clayey boulders |
siBo, clBo, sasiBo, saclBo |
|
Галечниковый (щебенистый) грунт |
Cobbles, sandy cobbles, silty cobbles, clayey cobbles; Coarse (medium) gravel, sandy coarse (medium) gravel, silty coarse (medium) gravel, clayey coarse (medium) gravel |
Co, saCo, siCo, cICo; CGr (MGr), saCGr (MGr), siCGr (MGr), cICGr (MGr) |
|
Галечниковый (щебенистый) грунт с песчаным заполнителем |
Sandy cobbles, silty sandy cobbles, clayey sandy cobbles; Sandy coarse (medium) gravel, silty sandy coarse (medium) gravel, clayey sandy coarse (medium) gravel |
saCo, sisaCo, clsaCo; saCGr (MGr), sisaCGr (MGr), clsaCGr (MGr) |
|
Галечниковый (щебенистый) грунт с глинистым (суглинистым, супесчаным) заполнителем |
Silty cobbles, clayey cobbles, sandy silty cobbles, sandy clayey cobbles; silty coarse (medium) gravel, clayey coarse (medium) gravel, sandy silty coarse (medium) gravel, sandy clayey coarse (medium) gravel |
siCo, cICo, sasiCo, sacICo; siCGr (MGr), cICGr (MGr), sasiCGr (MGr), saclCGr (MGr) |
|
Гравийный (дресвяный) грунт |
Medium (fine) gravel, sandy medium (fine) gravel, silty medium (fine) gravel, clayey medium (fine) gravel |
MGr (FGr), saMGr (FGr), siMGr (FGr), cIMGr (FGr) |
|
Гравийный (дресвяный) грунт с песчаным заполнителем |
Sandy medium (fine) gravel, silty sandy medium (fine) gravel, clayey sandy medium (fine) gravel |
saMGr (FGr), sisaMGr (FGr), clsaMGr (FGr) |
|
Гравийный (дресвяный) грунт с глинистым (суглинистым, супесчаным) заполнителем |
Silty medium (fine) gravel, clayey medium (fine) gravel, sandy silty medium (fine) gravel, sandy clayey medium (fine) gravel |
siMGr (FGr), cIMGr (FGr), sasiMGr (FGr), saclMGr (FGr) |
|
Наименование грунта |
Индекс | |
|
по настоящему стандарту |
по [2] * | |
|
Валунный (глыбовый) грунт |
Boulders (cobbles); boulders (cobbles) with sand |
G |
|
Boulders (cobbles) with silt; boulders (cobbles) with silt and sand |
G-GM | |
|
Boulders (cobbles) with clay; boulders (cobbles) with clay and sand |
G-GC | |
|
Silty boulders (cobbles); silty boulders (cobbles) with sand |
GM | |
|
Clayey boulders (cobbles); clayey boulders (cobbles) with sand |
GC | |
|
Валунный (глыбовый) грунт с песчаным заполнителем |
Boulders (cobbles) with silt; boulders (cobbles) with silt and sand |
G-GM |
|
Boulders (cobbles) with clay; boulders (cobbles) with clay and sand |
G-GC | |
|
Silty boulders (cobbles); silty boulders (cobbles) with sand |
GM | |
|
Clayey boulders (cobbles); clayey boulders (cobbles) with sand |
GC | |
|
Валунный (глыбовый) грунт с глинистым (суглинистым, супесчаным) заполнителем |
Silty boulders (cobbles); silty boulders (cobbles) with sand |
GM |
|
Clayey boulders (cobbles); clayey boulders (cobbles) with sand |
GC | |
|
Галечниковый (щебенистый) грунт |
Cobbles (coarse, fine gravel); cobbles (coarse, fine gravel) with sand |
G |
|
Cobbles (coarse, fine gravel) with silt; cobbles (coarse, fine gravel) with silt and sand |
G-GM | |
|
Cobbles (coarse, fine gravel) with clay; cobbles (coarse, fine gravel) with clay and sand |
G-GC | |
|
Silty cobbles (coarse, fine gravel); silty cobbles (coarse, fine gravel) with sand |
GM | |
|
Clayey cobbles (coarse, fine gravel); clayey cobbles (coarse, fine gravel) with sand |
GC | |
|
Галечниковый (щебенистый) грунт с песчаным |
Cobbles (coarse, fine gravel) with silt; cobbles (coarse, fine gravel) with silt and sand |
G-GM |
|
Галечниковый (щебенистый) грунт с глинистым (суглинистым, супесчаным) заполнителем |
Silty cobbles (coarse, fine gravel); silty cobbles (coarse, fine gravel) with sand |
GM |
|
Clayey cobbles (coarse, fine gravel); clayey cobbles (coarse, fine gravel) with sand |
GC | |
|
Гравийный (дресвяный) грунт |
Fine gravel (coarse sand); fine gravel (coarse sand) with sand |
G |
|
Fine gravel (coarse sand) with silt; fine gravel (coarse sand) with silt and sand |
G-GM | |
|
Fine gravel (coarse sand) with clay; fine gravel (coarse sand) with clay and sand |
G-GC | |
|
Silty fine gravel (coarse sand); silty fine gravel (coarse sand) with sand |
GM | |
|
Clayey fine gravel (coarse sand); clayey fine gravel (coarse sand) with sand |
GC | |
|
Гравийный (дресвяный) грунт с песчаным заполнителем |
Fine gravel (coarse sand) with silt; fine gravel (coarse sand) with silt and sand |
G-GM |
|
Fine gravel (coarse sand) with clay; fine gravel (coarse sand) with clay and sand |
G-GC | |
|
Silty fine gravel (coarse sand); silty fine gravel (coarse sand) with sand |
GM | |
|
Clayey fine gravel (coarse sand); clayey fine gravel (coarse sand) with sand |
GC | |
|
Гравийный (дресвяный) грунт с глинистым (суглинистым, супесчаным) заполнителем |
Silty fine gravel (coarse sand); silty fine gravel (coarse sand) with sand |
GM |
|
Clayey fine gravel (coarse sand); clayey fine gravel (coarse sand) with sand |
GC | |
|
* В зависимости от значений показателей Cu и Сс к наименованию (индексу) грунта добавляется well graded (хорошо фракционированный) или poorly graded (плохо фракционированный). | ||
|
Наименование грунта |
Индекс | |
|
по настоящему стандарту |
по [1] | |
|
Гравелистый песок |
Gravel; bouldery, cobble, sandy, silty, clayey gravel |
Gr, boGr, coCg, saGr, siGr, cIGr |
|
Крупный песок |
Coarse (medium) sand; bouldery, cobble, gravely, silty, clayey coarse (medium) sand |
CSa(MSa), boCSa(MSa), coCSa(MSa), grCSa(MSa), siCSa(MSa), clCSa(MSa) |
|
Песок средней крупности |
Medium sand; bouldery, cobble, gravely, silty, clayey medium sand |
MSa, boMSa, coMSa, grMSa, siMSa, cIMSa |
|
Мелкий песок |
Medium (fine) sand; bouldery, cobble, gravely, silty, clayey medium (fine) sand |
MSa(FSa), boMSa(FSa), coMSa(FSa), grMSa(FSa), siMSa(FSa), clMSa(FSa) |
|
Пылеватый песок |
Fine sand; bouldery, cobble, gravely, silty, clayey fine sand; coarse silt |
FSa, boFSa, coFSa, grFSa, siFSa, clFSa, CSi |
|
Наименование грунта |
Индекс | |
|
по настоящему стандарту |
по [2] * | |
|
Гравелистый песок |
Gravel, gravel with sand |
G |
|
Gravel with silt, gravel with silt and sand |
G-GM | |
|
Gravel with clay, gravel with clay and sand |
G-GC | |
|
Silty gravel, silty gravel with sand |
GM | |
|
Clayey gravel, clayey gravel with sand |
GC | |
|
Sand, sand with gravel |
S | |
|
Sand with silt, sand with silt and gravel |
S-SM | |
|
Sand with clay, sand with clay and gravel |
S-SC | |
|
Silty sand, silty sand with gravel |
MS | |
|
Clayey sand, clayey sand with gravel |
CS | |
|
Крупный песок |
Medium sand, medium sand with gravel |
S |
|
Medium sand with silt, medium sand with silt and gravel |
S-SM | |
|
Medium sand with clay, medium sand with clay and gravel |
S-SC | |
|
Silty medium sand, silty medium sand with gravel |
MS | |
|
Clayey medium sand, clayey medium sand with gravel |
CS | |
|
Песок средней крупности |
Medium (fine) sand, medium (fine) sand with gravel |
S |
|
Medium (fine) sand with silt, medium (fine) sand with silt and gravel |
S-SM | |
|
Medium (fine) sand with clay, medium (fine) sand with clay and gravel |
S-SC | |
|
Silty medium (fine) sand, silty medium (fine) sand with gravel |
MS | |
|
Clayey medium (fine) sand, clayey medium (fine) sand with gravel |
CS | |
|
Мелкий песок |
Fine sand, fine sand with gravel |
S |
|
Fine sand with silt, fine sand with silt and gravel |
S-SM | |
|
Fine sand with clay, fine sand with clay and gravel |
S-SC | |
|
Silty fine sand, silty fine sand with gravel |
MS | |
|
Clayey fine sand, clayey fine sand with gravel |
CS | |
|
Пылеватый песок |
Fine sand, fine sand with gravel |
S |
|
Fine sand with silt, fine sand with silt and gravel |
S-SM | |
|
Fine sand with clay, fine sand with clay and gravel |
S-SC | |
|
Silty fine sand, silty fine sand with gravel |
MS | |
|
Clayey fine sand, clayey fine sand with gravel |
CS | |
|
Silt |
ML | |
|
Примечание - В зависимости от значений показателей Cu и Сс к наименованию (индексу) грунта добавляется well graded (хорошо фракционированный) или poorly graded (плохо фракционированный). | ||
Е.3 Классификация тонкодисперсных грунтов
E.3.1 Классификацию тонкодисперсных грунтов (fine grained soils) (по Д.3 приложения Д) проводят в [1] и [2], так же, как и глинистых грунтов в настоящем стандарте, с использованием показателей пластичности PI, lP IL, IC. Для установления соответствия в наименовании грунтов по указанным стандартам проводят пересчет значений границы текучести wL и LL на основе корреляционных зависимостей.
Для пересчета должны использоваться региональные зависимости, полученные при корреляции результатов параллельных опытных определений wL и LL. Значения границы раскатывания wP и PL принимают равными друг другу.
Е.3.2 При отсутствии региональных данных пересчет значений wL и LL в целях сопоставления классификационных наименований грунтов допускается проводить по следующим корреляционным формулам:
LL=1,48wL-8,3,
(Е.1)
wL=(LL+8,3)/1,48.
(Е.2)
Е.3.3 После пересчета значений wL и LL рассчитывают значения PI, lP, IL, IC (по приложению Д), которые используют далее для классификации грунтов по этим показателям.
Е.3.4 Наименование тонкодисперсных минеральных и органоминеральных грунтов по [1] и [2] устанавливают с использованием графика пластичности грунтов (рисунок Е.3). Наименование грунта принимают в зависимости от положения, которое занимает точка, соответствующая свойствам данного грунта, на графике.
Е.3.5 Отнесение грунтов к органическим или неорганическим проводят по содержанию в них органического вещества, определяемого при сжигании. При содержании органического вещества менее 5 % грунт относят к минеральным (inorganic soil) и классифицируют как СН, CL, МН или ML (по таблице Е.5). При содержании органического вещества 5 % и более грунт относят к органоминеральным (organic soil) и классифицируют, как ОН или OL (по таблице Е.6). При содержании неразложившейся органики более 50 % грунт относят к торфам (Pt).
Е.3.6 При отсутствии результатов определения содержания органического вещества, грунты в [2] подразделяют в зависимости от соотношения LL0/LLN (по Д.5 и Д.6 приложения Д). Если соотношение LL0/LLN ≤ 0,75, грунт относят к органическим (organic soil), если более 0,75 - к неорганическим (inorganic soil).
Е.3.7 Классификацию фракций гравия и песка, содержащихся в тонкодисперсных грунтах, проводят в соответствии с требованиями Е.2.
Е.3.8 Классификацию тонкодисперсных минеральных грунтов с учетом содержания в них фракций гравия и песка по [2] проводят на основании классификационных блок-схем (flow charts), приведенных в [2].
Е.3.9 Соответствие наименований глинистых грунтов по настоящему стандарту и тонкодисперсных минеральных, органоминеральных и органических грунтов, определенных по [1] и [2], показано в таблицах Е.5 и Е.6.

Примечание - СН, CL, ML, МН, CL - ML, ОН, OL (см. таблицы Е.5 и Е.6). Уравнение линии A: PI = 0,73 (LL - 20).
Рисунок Е.3 - График пластичности грунтов
|
Наименование грунта по настоящему стандарту |
По [1] и [2] | |||
|
Наименование грунта |
Индекс |
Число пластичности PI, % |
Граница текучести LL, % | |
|
Глина тяжелая |
Fat clay |
CH |
> 45 |
> 65 |
|
Глина легкая |
28-45 |
45-76 | ||
|
Суглинок тяжелый |
19-28 |
50-53 | ||
|
Lean clay |
CL |
19-28 |
36-50 | |
|
Суглинок легкий |
11-19 |
22-45 | ||
|
Супесь |
7-11 |
< 32 | ||
|
Silty clay |
CL - ML |
4-7 |
< 30 | |
|
Глина тяжелая |
Elastic silt |
MH |
> 53 |
> 92 |
|
Глина легкая |
35-53 |
68-114 | ||
|
Суглинок тяжелый |
24-35 |
52-102 | ||
|
Суглинок легкий |
< 24 |
50-68 | ||
|
Silt |
ML |
15-24 |
41-50 | |
|
Супесь |
< 15 |
< 41 | ||
|
Наименование грунта по настоящему стандарту |
По [1] и [2] | |||
|
Наименование грунта |
Индекс |
Число пластичности PI, % |
Граница текучести LL, % | |
|
Глина тяжелая |
Organic clay with high plasticity |
OH |
> 47 |
> 68 |
|
Глина легкая |
29-47 |
44-98 | ||
|
Суглинок тяжелый |
19-29 |
50-62 | ||
|
Суглинок легкий |
13-9 |
50-51 | ||
|
Суглинок тяжелый |
Organic clay with low plasticity |
OL |
19-29 |
36-50 |
|
Суглинок легкий |
13-19 |
25-50 | ||
|
Супесь |
< 13 |
< 41 | ||
|
Торф |
Peat |
Pt |
- |
- |
E.3.10 Соответствие наименований разновидностей минеральных и органоминеральных грунтов по показателю текучести IL в настоящем стандарте и по показателю консистенции Iс в [1] показано в таблице Е.7.
|
По настоящему стандарту |
Показатель консистенции Ic по [1] | ||
|
Наименование грунта |
Показатель текучести IL |
Разновидность грунта | |
|
Супесь |
IL < 0 |
Твердая |
very stiff |
|
0 ≤ IL ≤ 1,0 |
Пластичная |
very soft - stiff | |
|
IL > 1,0 |
Текучая |
very soft | |
|
Суглинок |
IL < 0 |
Твердый |
very stiff |
|
0 ≤ IL ≤ 0,25 |
Полутвердый |
stiff | |
|
0,25 < IL ≤ 0,5 |
Тугопластичный |
firm - stiff | |
|
0,5 < IL ≤ 0,75 |
Мягкопластичный |
soft - firm | |
|
0,75 < IL ≤ 1,0 |
Текучепластичный |
very soft - firm | |
|
IL > 1,0 |
Текучий |
very soft - soft | |
|
Глина |
IL < 0 |
Твердая |
very stiff |
|
0 ≤ IL ≤ 0,25 |
Полутвердая |
stiff | |
|
0,25 < IL ≤ 0,5 |
Тугопластичная |
firm - stiff | |
|
0,5 < IL ≤ 0,75 |
Мягкопластичная |
firm | |
|
0,75 < IL ≤ 1,0 |
Текучепластичная |
soft - firm | |
|
IL > 1,0 |
Текучая |
very soft - soft | |
Библиография
|
[1] |
ИСО 14688-2:2017 (ISO 14688-2:2017) |
Геотехнические исследования и испытания - Идентификация и классификация грунтов - Часть 2. Принципы классификации (Geotechnical investigation and testing - Identification and classification of soil - Part 2: Principles for a classification) |
|
[2] |
АСТМ Д 2487-2017 (ASTM D 2487-2017) |
Стандартные методы классификации грунтов в инженерных целях (Standard Practice for Classification of Soils for Engineering Purposes) |
|
[3] |
ISO/ТС 17892-12:2018 (ISO/TS 17892-12:2018) |
Геотехнические исследования и испытания - Лабораторные испытания грунтов - Часть 12. Определение пределов текучести и пластичности (Geotechnical investigation and testing - Laboratory testing of soil - Part 12: Determination of liquid and plastic limits) |
|
[4] |
АСТМ Д 4318-2017 (ASTM D 4318-2017) |
Методы стандартных испытаний для определения границы текучести, границы пластичности и индекса пластичности грунтов (Standard Test Methods for Liquid Limit, Plastic Limit, and Plasticity Index of Soil) |



