ГОСТ 23492-2019 КАУЧУКИ СИНТЕТИЧЕСКИЕ БУТАДИЕН-МЕТИЛСТИРОЛЬНЫЙ СКМС-30АРКПН и БУТАДИЕН-СТИРОЛЬНЫЙ СКС-30АРКПН. ТЕХНИЧЕСКИЕ УСЛОВИЯ
Butadiene-methylstyrene SKMS-30ARKPN and butadiene-styrene SKS-30ARKPN synthetic rubbers. Specifications
МКС 83.060
Дата введения - 1 ноября 2021 г.
Взамен ГОСТ 23492-83
Предисловие
Цели, основные принципы и общие правила проведения работ по межгосударственной стандартизации установлены ГОСТ 1.0 "Межгосударственная система стандартизации. Основные положения" и ГОСТ 1.2 "Межгосударственная система стандартизации. Стандарты межгосударственные, правила и рекомендации по межгосударственной стандартизации. Правила разработки, принятия, обновления и отмены"
Сведения о стандарте
1 Разработан Воронежским филиалом Федерального государственного унитарного предприятия "Научно исследовательский институт синтетического каучука" (Воронежский филиал ФГУП "НИИСК")
2 Внесен Межгосударственным техническим комитетом по стандартизации МТК 542 "Продукция нефтехимического комплекса"
3 Принят Межгосударственным советом по стандартизации, метрологии и сертификации (протокол от 30 октября 2019 г. N 123-П)
За принятие проголосовали:
|
Краткое наименование страны по МК (ИСО 3166) 004-97 |
Код страны по МК (ИСО 3166) 004-97 |
Сокращенное наименование национального органа по стандартизации |
|
Беларусь |
BY |
Госстандарт Республики Беларусь |
|
Киргизия |
KG |
Кыргызстандарт |
|
Россия |
RU |
Госстандарт |
|
Узбекистан |
UZ |
Узстандарт |
4 Приказом Федерального агентства по техническому регулированию и метрологии от 14 ноября 2019 г. N 1151-ст межгосударственный стандарт ГОСТ 23492-2019 введен в действие в качестве национального стандарта Российской Федерации с 1 ноября 2021 г.
5 Взамен ГОСТ 23492-83
Настоящий стандарт распространяется на синтетические каучуки: бутадиен-метилстирольный СКМС-30АРКПН и бутадиен-стирольный СКС-30АРКПН (далее - каучуки), получаемые совместной полимеризацией бутадиена-1,3 со стиролом или α-метилстиролом в эмульсии при низкой температуре с применением в качестве эмульгатора смеси мыл смоляных и жирных кислот.
В настоящем стандарте использованы нормативные ссылки на следующие межгосударственные стандарты:
ГОСТ OIML R 76-1 Государственная система обеспечения единства измерений. Весы неавтоматического действия. Часть 1. Метрологические и технические требования. Испытания
ГОСТ 270 Резина. Метод определения упругопрочностных свойств при растяжении
ГОСТ 450 Кальций хлористый технический. Технические условия
ГОСТ 745 Фольга алюминиевая для упаковки. Технические условия
ГОСТ 1770 (ИСО 1042-83, ИСО 4788-80) Посуда мерная лабораторная стеклянная. Цилиндры, мензурки, колбы, пробирки. Общие технические условия
ГОСТ ИСО 1795 Каучук натуральный и синтетический. Отбор проб и дальнейшие подготовительные процедуры
ГОСТ ISO 2322 Каучук бутадиен-стирольный (SBR) эмульсионной и растворной полимеризации. Методы оценки
ГОСТ ISO 2393 Смеси резиновые для испытаний. Приготовление, смешение и вулканизация. Оборудование и процедуры
ГОСТ 2603 Реактивы. Ацетон. Технические условия
ГОСТ 3022 Водород технический. Технические условия
ГОСТ 3118 Реактивы. Кислота соляная. Технические условия
ГОСТ 3145 Часы механические с сигнальным устройством. Общие технические условия
ГОСТ 3778 Свинец. Технические условия
ГОСТ 4328 Реактивы. Натрия гидроокись. Технические условия
ГОСТ 5789 Реактивы. Толуол. Технические условия
ГОСТ 6563 Изделия технические из благородных металлов и сплавов. Технические условия
ГОСТ 6709 Вода дистиллированная. Технические условия
ГОСТ 7730 Пленка целлюлозная. Технические условия
ГОСТ 9147 Посуда и оборудование лабораторные фарфоровые. Технические условия
ГОСТ 10157 Аргон газообразный и жидкий. Технические условия
ГОСТ 10354 Пленка полиэтиленовая. Технические условия
ГОСТ 10722 Каучуки и резиновые смеси. Метод определения вязкости и способности к преждевременной вулканизации
ГОСТ 11358 Толщиномеры и стенкомеры индикаторные с ценой деления 0,01 и 0,1 мм. Технические условия
ГОСТ 11997 Прессы вулканизационные гидравлические. Типы, параметры и размеры
ГОСТ 12026 Бумага фильтровальная лабораторная. Технические условия
ГОСТ 14192 Маркировка грузов
ГОСТ 14919 Электроплиты, электроплитки и жарочные электрошкафы бытовые. Общие технические условия
ГОСТ 15846 Продукция, отправляемая в районы Крайнего Севера и приравненные к ним местности. Упаковка, маркировка, транспортирование и хранение
ГОСТ 17299 Спирт этиловый технический. Технические условия
ГОСТ 17433 Промышленная чистота. Сжатый воздух. Классы загрязненности
ГОСТ 18300 Спирт этиловый ректификованный технический. Технические условия *
──────────────────────────────
* В Российской Федерации действует ГОСТ Р 55878-2013 "Спирт этиловый технический гидролизный ректификованный. Технические условия".
──────────────────────────────
ГОСТ 19816.2 Каучук синтетический. Метод определения меди, железа и титан
ГОСТ 19908 Тигли, чаши, стаканы, колбы, воронки, пробирки и наконечники из прозрачного кварцевого стекла. Общие технические условия
ГОСТ 20015 Хлороформ. Технические условия
ГОСТ 22019 Каучуки синтетические. Метод определения свободного стирола и α -метилстирола
ГОСТ 24104 Весы лабораторные. Общие технические требования **
──────────────────────────────
** В Российской Федерации действует ГОСТ Р 53228-2008 "Весы неавтоматического действия. Часть 1. Метрологические и технические требования. Испытания".
──────────────────────────────
ГОСТ 24363 Реактивы. Калия гидроокись. Технические условия
ГОСТ 24654 Каучуки синтетические. Метод определения связанного стирола и α -метилстирола
ГОСТ 25336 Посуда и оборудование лабораторные стеклянные. Типы, основные параметры и размеры
ГОСТ 25706 Лупы. Типы, основные параметры. Общие технические требования
ГОСТ 27109-86 Каучуки синтетические. Методы отбора и подготовки проб
ГОСТ 28498 Термометры жидкостные стеклянные. Общие технические требования. Методы испытаний
ГОСТ 28840 Машины для испытания материалов на растяжение, сжатие и изгиб. Общие технические требования
ГОСТ 29083 (ИСО 8053-86) Каучук и латекс. Определение содержания меди. Фотометрический метод
ГОСТ 29169 (ИСО 648-77) Посуда лабораторная стеклянная. Пипетки с одной отметкой
ГОСТ 29227 (ИСО 835-1-81) Посуда лабораторная стеклянная. Пипетки градуированные. Часть 1. Общие требования
ГОСТ 29228 (ИСО 835-2-81) Посуда лабораторная стеклянная. Пипетки градуированные. Часть 2. Пипетки градуированные без установленного времени ожидания
ГОСТ 29251 (ИСО 385-1-84) Посуда лабораторная стеклянная. Бюретки. Часть 1. Общие требования
Примечание - При пользовании настоящим стандартом целесообразно проверить действие ссылочных стандартов и классификаторов на официальном интернет-сайте Межгосударственного совета по стандартизации, метрологии и сертификации (www.easc.by) или по указателям национальных стандартов, издаваемым в государствах, указанных в предисловии, или на официальных сайтах соответствующих национальных органов по стандартизации. Если на документ дана недатированная ссылка, то следует использовать документ, действующий на текущий момент, с учетом всех внесенных в него изменений. Если заменен ссылочный документ, на который дана датированная ссылка, то следует использовать указанную версию этого документа. Если после принятия настоящего стандарта в ссылочный документ, на который дана датированная ссылка, внесено изменение, затрагивающее положение, на которое дана ссылка, то это положение применятся без учета данного изменения. Если ссылочный документ отменен без замены, то положение, в котором дана ссылка на него, применяется в части, не затрагивающей эту ссылку.
3.1 Каучуки должны быть изготовлены в соответствии с требованиями настоящего стандарта по технологической документации, утвержденной в установленном порядке.
3.2 Каучуки должны соответствовать требованиям, приведенным в таблице 1.
|
Наименование показателя |
Значение для группы |
Метод испытания | |
|
первой |
второй | ||
|
1 Вязкость по Муни MML (1 + 4) при температуре 100 °С |
37-47 |
48-58 |
По 7.3 настоящего стандарта |
|
2 Разброс вязкости по Муни внутри партии, не более |
8 |
По 7.4 настоящего стандарта | |
|
3 Массовая доля летучих веществ, %, не более |
0,6 |
0,8 |
По 7.5 настоящего стандарта |
|
4 Массовая доля антиоксиданта *, %: | |||
|
ВС-30А или |
1,0-2,0 |
По 7.6 настоящего стандарта | |
|
полигарда (СAS N 26523-78-4), или |
1,0-2,0 |
По 7.7 настоящего стандарта | |
|
агидола-30 |
1,0-2,0 |
По 7.8 настоящего стандарта | |
|
5 Массовая доля золы, %, не более |
0,5 |
По 7.9 настоящего стандарта | |
|
6 Массовая доля металлов **, %, не более: меди |
0,00015 |
По 7.10 настоящего стандарта | |
|
железа |
0,004 | ||
|
7 Массовая доля органических кислот, % |
5,0-7,2 |
5,0-7,0 |
По 7.11 настоящего стандарта |
|
8 Массовая доля мыл органических кислот, %, не более |
0,30 |
0,30 |
По 7.11 настоящего стандарта |
|
9 Массовая доля связанного второго мономера, %: α-метилстирола (для СКМС-30АРКПН), стирола (для СКС-30АРКПН) |
22,0-25,0 |
По 7.12 настоящего стандарта | |
|
10 Вулканизационные характеристики (безроторный реометр типа MDR-2000) | |||
|
10.1 Минимальный крутящий момент ML, дН·м |
1,8-3,0 |
По 7.13 настоящего стандарта | |
|
10.2 Максимальный крутящий момент МH, дН·м |
15,0-21,0 | ||
|
10.3 Время начала вулканизации ts 1, мин |
2,2-4,5 | ||
|
10.4 Время достижения 50 %-ной степени вулканизации t' 50, мин |
7,0-12,0 | ||
|
10.5 Время достижения 90 %-ной степени вулканизации t' 90, мин |
13,0-21,0 | ||
|
10 Упругопрочностные свойства резины при растяжении (в оптимуме вулканизации) *** | |||
|
10.1 Условное напряжение при 300 %-ном удлинении, МПа, не менее |
11,0 |
13,0 |
По 7.14 настоящего стандарта |
|
10.2 Условная прочность при растяжении, МПа, не менее |
21,0 |
22,5 | |
|
10.3 Относительное удлинение при разрыве, %, не менее |
400 |
420 | |
|
* Допускается по согласованию с потребителем использовать аналоги указанных антиоксидантов, обеспечивающие соответствие каучука требованиям настоящего стандарта. ** Массовую долю металлов изготовитель не определяет. Значения обеспечиваются технологией производства каучуков. *** Упругопрочностные свойства резины при растяжении изготовитель не определяет. Значения показателей гарантирует изготовитель каучуков, определение - по требованию потребителя. | |||
3.3 Каучуки не должны содержать механических включений, включений структурированного полимера, определяемых по 7.15, и влажного полимера. Наличие включений влажного полимера подтверждается превышением установленной массовой доли летучих веществ.
3.4 Каучуки выпускают в виде брикетов массой (30 ± 1) кг.
3.5 Маркировка
3.5.1 На наружном слое упаковочной полиэтиленовой пленки должна быть цветная отличительная маркировка.
Маркировка должна содержать обозначение каучука и товарный знак предприятия-изготовителя. Допускается не наносить маркировку на полиэтиленовую пленку.
3.5.2 Транспортная маркировка - по ГОСТ 14192.
3.5.3 На каждое грузовое место наносят манипуляционные знаки: "Беречь от влаги", "Беречь от солнечных лучей" по ГОСТ 14192, а также следующие данные:
- наименование предприятия-изготовителя и/или его товарный знак;
- наименование и группу каучука;
- номер партии;
- номер места;
- количество мест;
- массу нетто;
- массу брутто (для ящичных поддонов);
- месяц и год изготовления;
- обозначение настоящего стандарта;
- штриховой код (при наличии).
3.6 Упаковка
3.6.1 Брикеты каучука упаковывают в полиэтиленовую пленку марок М, Т, Н по ГОСТ 10354, толщиной (0,050 ± 0,010) мм в один или два слоя или толщиной (0,060 ± 0,010) мм в один слой. Полиэтиленовую пленку, используемую для упаковки каучука, маркируют в соответствии с 3.5.
Сварной шов полиэтиленовой упаковки должен быть по всему периметру без разрывов, за исключением мест для удаления воздуха, предусмотренных конструкцией сварочного аппарата.
Допускается применять полиэтиленовую пленку других марок с аналогичными характеристиками, обеспечивающую сохранность каучука.
Затем каждый брикет каучука укладывают в ящичный поддон или полимерный контейнер, или в контейнер из гофрированного картона, или металлический контейнер.
Дно и стенки контейнера выстилают полиэтиленовой пленкой или вставляют цельносварной полиэтиленовый вкладыш (пакет) для предохранения каучука от загрязнения.
3.6.2 При транспортировании в районы Крайнего Севера и приравненные к ним местности каучук упаковывают в соответствии с ГОСТ 15846 с применением материалов, сохраняющих свои свойства при температуре до минус 60 °С.
4.1 Каучуки по степени воздействия на организм человека относятся к малоопасным продуктам. Каучуки не оказывают раздражающего действия на кожу как при однократном, так и при многократном контакте. Кумулятивными свойствами не обладают.
4.2 Каучуки не взрывоопасны, самопроизвольно не воспламеняются, горят только при внесении в источник огня. Показатели пожарной опасности каучуков приведены в таблице 2.
|
Каучук |
Температура, °С | |
|
воспламенения |
самовоспламенения | |
|
СКС-30АРКПН |
300-330 |
335-365 |
|
СКМС-30АРКПН |
293 |
337 |
При возникновении пожара следует применять воду со смачивателем, воздушно-механическую пену, покрывало для ликвидации очагов возгорания, пенные и углекислотные огнетушители.
4.3 При повышенной температуре, а также при переработке каучуки обладают слабым запахом остаточного мономера - стирола или α -метилстирола. Содержание незаполимеризованного мономера в товарном каучуке, определяемого по ГОСТ 22019, не должно превышать 0,1 %.
4.4 Рекомендуемые средства индивидуальной защиты: спецодежда и специальная обувь, предусмотренные типовыми отраслевыми нормами.
4.5 Рабочие помещения должны быть оборудованы приточно-вытяжной вентиляцией.
Электрооборудование, а также оборудование, где могут накапливаться заряды статического электричества, должно быть заземлено.
4.6 При работе необходимо соблюдать правила личной гигиены и меры предосторожности, следует соблюдать правила техники безопасности и производственной санитарии.
4.7 Персонал, занятый на производстве, должен проходить предварительный (при поступлении на работу) и периодический медицинские осмотры.
5.1 Основными видами вредного воздействия на окружающую среду являются загрязнения атмосферного воздуха, почвы и водоемов в результате аварийных ситуаций, нарушений правил обращения с каучуком и его отходами.
5.1.1 При производстве каучуков образуются сточные воды, содержащие вредные примеси, которые проходят стадии очистки (локальную, биологическую) до концентраций, не превышающих норм предельно допустимых концентраций (ПДК) в водоемах хозяйственно-питьевого и культурно-бытового водопользования, а также имеющих рыбохозяйственное значение.
Предельно допустимая концентрация (ПДК) в воде водных объектов рыбохозяйственного значения для стирола - 0,1 мг/дм3.
5.1.2 Предельно допустимые концентрации (максимальная разовая/среднесуточная) в атмосферном воздухе населенных мест: для бутадиена-1,3 - 3/1 мг/м3, для стирола - 0,04/0,002 мг/м3, для α -метилстирола - 0,041/- мг/м3.
5.2 Меры и средства защиты природной среды от вредных воздействий:
- использование в технологических процессах герметичного оборудования и трубопроводов;
- применение герметичных пробоотборников;
- установка автоматических стационарных непрерывно действующих сигнализаторов предельно допустимых концентраций вредных веществ в воздухе рабочей зоны с целью принятия мер по ликвидации аварийных ситуаций и предотвращения загазованности;
- периодичность производственного контроля воздуха рабочей зоны, атмосферного воздуха, химически загрязненных стоков - в соответствии с планом-графиком аналитического контроля;
- соблюдение правил хранения, транспортирования и переработки каучука, утилизации и захоронения его отходов.
6.1 Каучук принимают партиями. Партией считают количество каучука, сопровождаемого одним документом о качестве, содержащим:
- наименование предприятия-изготовителя и/или его товарный знак;
- наименование страны-изготовителя;
- наименование и группу каучука;
- обозначение настоящего стандарта;
- номер партии;
- дату изготовления;
- показатели качества (нормируемые значения и результаты проведенных испытаний) или подтверждение соответствия каучука требованиям настоящего стандарта;
- ФИО и подпись лица, ответственного за приемочный контроль;
- гарантийный срок хранения.
При формировании документа о качестве в автоматизированных системах оригинальная подпись и печать/штамп производителя не требуются.
6.2 Для проверки качества каучука требованиям настоящего стандарта проводят приемо-сдаточные и периодические испытания.
6.3 Объем выборки - по ГОСТ ИСО 1795 или по ГОСТ 27109 *.
──────────────────────────────
* См. также [1]. При проведении арбитражных испытаний объем выборки - по [1]. В Российской Федерации - также по ГОСТ Р 54549-2011 "Каучуки синтетические. Отбор проб".
──────────────────────────────
6.4 Приемо-сдаточные испытания проводят на каждой партии каучука по следующим показателям: вязкость по Муни, разброс вязкости по Муни внутри партии, массовая доля летучих веществ, наличие механических включений и включений структурированного полимера.
При получении неудовлетворительных результатов приемо-сдаточных испытаний хотя бы по одному из показателей по нему проводят повторные испытания на удвоенном объеме выборки, взятой от той же партии.
Результаты повторных испытаний являются окончательными и распространяются на всю партию.
6.5 Периодические испытания проводят на каждой двадцатой партии по показателям: массовая доля антиоксиданта, массовая доля органических кислот, массовая доля мыл органических кислот, массовая доля связанного второго мономера, вулканизационные характеристики.
Массовую долю золы определяют не реже двух раз в год.
Упругопрочностные свойства резины при растяжении определяют по требованию потребителя, указанному в согласованных с изготовителем документах на поставку каучука.
При получении неудовлетворительных результатов периодических испытаний изготовитель переводит испытания по данному показателю в категорию приемо-сдаточных до получения положительных результатов не менее чем на трех партиях подряд.
7.1 Перед проведением испытаний необходимо убедиться в соответствии тары, упаковки и маркировки требованиям настоящего стандарта.
При проведении испытаний каучука допускается применять средства измерения, оборудование и лабораторную посуду с техническими и метрологическими характеристиками, обеспечивающими точность измерения в соответствии с требованиями настоящего стандарта, реактивы (квалификации не ниже указанной в методиках); при этом арбитражными являются указанные в настоящем стандарте.
7.2 Отбор проб и подготовка образцов
Отбор проб - по ГОСТ 27109 или по ГОСТ ИСО 1795 **.
──────────────────────────────
** См. также [1]. В Российской Федерации - также по ГОСТ Р 54549-2011 "Каучуки синтетические. Отбор проб".
──────────────────────────────
Допускается проводить отбор проб с потока. Объединенную лабораторную пробу готовят соединением равных частей проб от всей выборки партии.
7.2.1 Аппаратура и материалы
Вальцы смесительные по ГОСТ ISO 2393. Допускается применять смесительные вальцы по ГОСТ 27109.
Весы лабораторные среднего класса точности с наибольшим пределом взвешивания 2000 г по ГОСТ OIML R 76-1 или по ГОСТ 24104.
Термостат с принудительной циркуляцией воздуха, обеспечивающий поддержание температуры (100 ± 5) °С, кратностью воздухообмена не менее 50 объемов за 1 ч.
Термометр цифровой малогабаритный для контактных измерений температуры поверхности валков в диапазоне 20 °С - 300 °С с разрешающей способностью 1 °С.
Толщиномер по ГОСТ 11358 с ценой деления 0,01 мм.
Секундомер III класса с ценой деления 0,1 с.
Часы механические с сигнальным устройством по ГОСТ 3145.
Свинец по ГОСТ 3778 в виде пластин.
7.2.2 Подготовка проб
Подготовка проб - по методу 1 или 2.
При разногласиях в оценке качества каучука используют подготовку пробы по методу 1.
7.2.2.1 Метод 1
Объединенную пробу каучука массой (450 ± 5) г, взвешенную с точностью до второго десятичного знака, сушат многократным пропусканием через валки вальцов при температуре поверхности валков (100 ± 5) °С и зазоре между валками (0,25 ± 0,05) мм. Установку зазора проводят по свинцу (см. 7.3.2.1).
Через 4 мин пробу каучука взвешивают с той же точностью, затем обрабатывают каучук на вальцах дополнительно еще две минуты и снова взвешивают. Результаты взвешиваний регистрируют с точностью до второго десятичного знака. Если разность результатов взвешивания после четырех- и шестиминутного периода обработки не превышает 0,1 г, пробу считают подготовленной к испытаниям. В противном случае, дополнительно пропускают пробы каучука через валки лабораторных вальцов продолжительностью по две минуты до достижения постоянной массы (допустимое расхождение между двумя последовательными взвешиваниями не должно превышать 0,1 г).
7.2.2.2 Метод 2
Объединенную пробу каучука массой не менее 250 г пропускают через валки вальцов при температуре поверхности валков не выше 32 °С и зазоре между валками (0,25 ± 0,05) мм. Пластину каучука взвешивают с точностью до второго десятичного знака и помещают на 1 ч в сушильный шкаф с принудительной вентиляцией воздуха, нагретый до температуры (100 ± 5) °С, расположив ее таким образом, чтобы воздействию горячего воздуха подвергались обе поверхности пластины. После сушки пробу каучука взвешивают и снова помещают в сушильный шкаф. Выдерживают каучук в термостате до достижения постоянной массы (допустимое расхождение между двумя последовательными взвешиваниями не должно превышать 0,1 г). Результаты взвешиваний регистрируют с точностью до второго десятичного знака.
7.2.3 При хранении каучука при температуре ниже 0 °С отобранные перед испытанием пробы выдерживают в течение 24 ч при температуре (23 ± 2) °С.
7.2.4 Отобранные пробы каучука до окончания испытаний хранят в полиэтиленовой пленке при температуре не выше 30 °С в месте, защищенном от воздействия атмосферных осадков и прямых солнечных лучей.
7.3 Определение вязкости по Муни
Для определения вязкости по Муни и разброса вязкости по Муни внутри партии используют пробы от каждой упаковочной единицы, отобранной по 7.2. Каждую пробу испытывают отдельно. Испытывают один образец от каждой пробы.
Определение вязкости по Муни - по ГОСТ 10722 *.
──────────────────────────────
* См. также [2]. Арбитражные испытания проводят по [2]. В Российской Федерации - также по ГОСТ Р 54552-2011 "Каучуки и резиновые смеси. Определение вязкости, релаксации напряжения и характеристик подвулканизации с использованием вискозиметра Муни".
──────────────────────────────
7.3.1 Аппаратура и материалы
Вискозиметр ротационный типа Муни.
Вальцы смесительные по ГОСТ ISO 2393. Допускается применять смесительные вальцы по ГОСТ 27109.
Весы лабораторные среднего класса точности с наибольшим пределом взвешивания 2000 г по ГОСТ OIML R 76-1 или по ГОСТ 24104.
Нож цилиндрический для вырубки образцов.
Пресс пневматический или ручной для вырубки образцов.
Секундомер III класса с ценой деления 0,1 с.
Часы механические с сигнальным устройством по ГОСТ 3145.
Целлофан по ГОСТ 7730 толщиной не более 0,03 мм и номинальной поверхностной плотностью 45 г/м2.
Толщиномер по ГОСТ 11358 с ценой деления 0,01 мм.
Термометр жидкостный стеклянный по ГОСТ 28498 с ценой деления шкалы 1 °С.
Термометр цифровой малогабаритный для контактных измерений температуры поверхности валков в диапазоне 20 °С - 300 °С с разрешающей способностью 1 °С.
Свинец по ГОСТ 3778 в виде пластин.
Смесь резиновая любого состава с вязкостью по Муни от 50 до 75 MML 1 + 4 (100 °С).
7.3.2 Подготовка к проведению испытания
7.3.2.1 Проверка точности установки величины зазора между валками вальцов (по свинцу)
Проверяют зазор между валками вальцов с использованием свинцовых пластин следующим образом: разогревают валки до температуры проведения вальцевания, устанавливают по краям валков (примерно на расстоянии 25 мм от направляющего устройства вальцов) две свинцовые пластины шириной (10 ± 3) мм, длиной не менее 50 мм и толщиной, превышающей измеряемый зазор на 0,25-0,50 мм.
Пропускают свинцовые пластины один раз между валками вальцов при рабочей температуре поверхности валков одновременно с резиновой смесью в виде пластины размером примерно 75 х 75 х 6 мм, располагаемой в центральной части зазора. За величину зазора между валками вальцов принимают среднее значение толщины развальцованных свинцовых пластин после прохождения между валками, измеряемой в трех разных точках средней части пластины. Допустимое отклонение величины зазора - не более ± 10 % отн. или 0,05 мм, в зависимости от того, что больше.
Допускается проверять точность установки величины зазора между валками вальцов по ГОСТ 27109-86, пункт 2.1.
7.3.2.2 Подготовка образца
Пропускают пробу каучука массой (250 ± 5) г между валками вальцов при температуре поверхности валков (50 ± 5) °С и зазоре между валками (1,4 ± 0,1) мм.
Складывают вдвое пластину каучука, полученную после первого пропуска и каждого последующего до девятого включительно, подают боковой стороной в зазор между валками. В десятый раз пластину пропускают между валками вальцов в развернутом виде. Вальцованные пробы выдерживают перед определениями вязкости не менее 30 мин при комнатной температуре.
Вырубают из пластины каучука образец, состоящий из двух частей, общей массой (27 ± 3) г.
Допускается перестилать каждую часть образца целлофановой пленкой толщиной не более 0,03 мм для исключения загрязнения полуформ и ротора вискозиметра испытуемым материалом (из-за его повышенной липкости).
Определяют вязкость по Муни на большом роторе при температуре испытания (100,0 ± 0,5) °С через 4 мин от начала вращения ротора. Продолжительность предварительного прогревания образца в приборе - 1 мин.
За результат испытания партии принимают среднеарифметическое значение результатов испытаний отдельных проб при условии их соответствия требованиям таблицы 1.
Результат испытания пробы округляют до целого числа.
Стандартный формат записи результатов испытаний:
50 – MML 1 + 4(100°C),
где 50 - значение вязкости;
М - предварительно гомогенизированный образец;
М - условные единицы Муни;
L - использован большой ротор;
1 - время предварительного прогрева образца, мин;
+ 4 - продолжительность испытания образца, мин;
100 °С - температура испытания.
7.4 Разброс вязкости по Муни внутри партии
Разброс вязкости по Муни внутри партии каучука вычисляют как разность между максимальным и минимальным значениями, полученными при проведении испытаний отдельных проб.
7.5 Определение массовой доли летучих веществ
Для определения массовой доли летучих веществ * используют пробы от каждой упаковочной единицы, отобранной по 7.2. Каждую пробу испытывают отдельно.
──────────────────────────────
* См. также [3]. Арбитражные испытания проводят по [3]. В Российской Федерации - также по ГОСТ Р 54546-2011 "Каучуки синтетические. Определение массовой доли летучих веществ", метод С.
──────────────────────────────
7.5.1 Аппаратура, посуда, материалы и реактивы
Вальцы смесительные по ГОСТ ISO 2393. Допускается применять смесительные вальцы по ГОСТ 27109.
Термометр цифровой малогабаритный для контактных измерений температуры поверхности валков в диапазоне 20 °С - 300 °С с разрешающей способностью 1 °С.
Термостат с принудительной циркуляцией воздуха, обеспечивающий поддержание температуры (100 ± 5) °С, кратностью воздухообмена не менее 50 объемов за 1 ч.
Весы неавтоматического действия класса точности II с наибольшим пределом взвешивания 200 г, с погрешностью взвешивания 0,0002 г и с действительной ценой деления 0,0001 г по ГОСТ OIML R 76-1 или по ГОСТ 24104.
Часы механические с сигнальным устройством по ГОСТ 3145.
Тарелочки размером 100 х 75 х 8 мм из алюминиевой фольги по ГОСТ 745.
Эксикатор 2-140 или 2-190, или 2-250 по ГОСТ 25336.
Кальций хлористый технический по ГОСТ 450.
Осушитель - силикагель или оксид алюминия технический.
7.5.2 Подготовка к испытанию
7.5.2.1 Устанавливают зазор между валками по 7.3.2.1. Пропускают пробу каучука массой (250 ± 5) г дважды на вальцах при зазоре между валками (0,50 ± 0,05) мм и температуре поверхности валков, не превышающей 50 °С.
7.5.2.2 Сушат тарелочки из алюминиевой фольги до постоянной массы (допустимое расхождение между последовательными взвешиваниями - не более 0,0004 г), охлаждают в эксикаторе, заполненном свежепрокаленным хлористым кальцием или силикагелем, или окисью алюминия, до комнатной температуры и взвешивают.
Результаты взвешиваний регистрируют с точностью до четвертого десятичного знака.
7.5.3 Проведение испытания
7.5.3.1 Отбирают от пластины каучука образец массой (10,0 ± 0,1) г, разрезают на кусочки объемом приблизительно 25 мм3, помещают на подготовленные по 7.5.2.2 тарелочки из алюминиевой фольги и взвешивают.
Помещают образец в термостат с принудительной циркуляцией воздуха, нагретый до температуры (100 ± 5) °С. Располагают образец таким образом, чтобы воздействию горячего воздуха подвергалась максимальная площадь поверхности. Выдерживают образец в термостате 2 ч, охлаждают в эксикаторе до температуры окружающей среды и взвешивают.
Результаты взвешиваний регистрируют с точностью до четвертого десятичного знака.
7.5.3.2 Обработка результатов
Массовую долю летучих веществ в каучуке X, %, вычисляют по формуле
,
(1)
где ms - масса каучука перед помещением в термостат, г;
m - масса каучука после сушки в термостате, г.
Результат вычисления округляют до второго десятичного знака.
За результат испытания принимают среднеарифметическое значение результатов двух определений, полученных в условиях повторяемости, допускаемое расхождение между которыми не превышает 15 % среднего значения при доверительной вероятности 0,95.
За результат испытания партии принимают среднеарифметическое значение результатов испытаний отдельных проб, при этом массовая доля летучих веществ каждой пробы должна соответствовать значению, указанному в таблице 1.
Результат испытания округляют до первого десятичного знака.
7.6 Определение массовой доли антиоксиданта ВС-30А
7.6.1 Аппаратура, лабораторная посуда, материалы и реактивы
Хроматограф газовый лабораторный с пламенно-ионизационным детектором.
Колонка длиной 1 м, внутренним диаметром 3 мм.
Весы неавтоматического действия класса точности II с наибольшим пределом взвешивания 200 г, с погрешностью взвешивания 0,0002 г и с действительной ценой деления 0,0001 г по ГОСТ OIML R 76-1 или по ГОСТ 24104.
Лупа измерительная по ГОСТ 25706 с ценой деления 0,1 мм.
Баня водяная или песчаная любого типа.
Плитка электрическая по ГОСТ 14919.
Часы механические с сигнальным устройством по ГОСТ 3145.
Термометр по ГОСТ 28498 диапазоном измеряемых температур от 0 °С до 100 °С.
Колба Кн-1-100-14/23 ТС или Кн-1-100-29/32 ТС по ГОСТ 25336 с пришлифованным воздушным холодильником (с трубкой длиной от 800 до 1000 мм, диаметром - от 12 до 14 мм).
Цилиндр 1-50-2 по ГОСТ 1770.
Колба К-2-250-34 ТХС по ГОСТ 25336.
Колба Кн-1-50-14/23 ТС по ГОСТ 25336.
Колба 2-100-2 по ГОСТ 1770.
Пипетка 1-1-2-2 по ГОСТ 29227.
Микрошприц МШ-10.
Стакан Н-1-100 ТХС по ГОСТ 25336.
Носитель твердый: хроматон N-AW-HMDS, фракция от 0,250 до 0,315 мм.
Фаза неподвижная апиезон L.
Эйкозан, х. ч. (внутренний стандарт).
Гексан.
Спирт этиловый ректификованный технический по ГОСТ 18300 или спирт этиловый технический по ГОСТ 17299.
Хлороформ по ГОСТ 20015.
Газ-носитель аргон по ГОСТ 10157 или гелий.
Антиоксидант ВС-30А с массовой долей основного вещества не менее 97,0 %.
Воздух сжатый очищенный по ГОСТ 17433 для приборов.
Водород по ГОСТ 3022 или электролитический.
7.6.2 Подготовка к проведению испытания
7.6.2.1 Приготовление сорбента
Помещают в круглодонную колбу вместимостью 250 см3 твердый носитель в объеме, превышающем на 10 % - 12 % расчетный объем колонки.
Растворяют в (30 ± 5) см3 хлороформа апиезон L в количестве 5 % массы твердого носителя. Переносят раствор в колбу с твердым носителем, выдерживают 30 мин. После пропитки твердого носителя удаляют растворитель на водяной бане, нагретой до температуры (65 ± 5) °С, в токе воздуха до полного отсутствия запаха. Допускается использовать готовый сорбент.
7.6.2.2 Заполнение колонки и ее кондиционирование
Готовят колонку и заполняют ее в соответствии с требованиями инструкции по эксплуатации хроматографа. Устанавливают колонку в термостат хроматографа и, не подсоединяя к детектору, кондиционируют в токе газа-носителя, повышая температуру на 20 °С в час от 60 °С до 240 °С, и выдерживают колонку при конечной температуре в течение 2 ч. Затем охлаждают колонку до температуры (20 ± 5) °С, подсоединяют к детектору и подбирают оптимальные параметры хроматографического разделения:
- температура колонки - от 19 °С до 210 °С;
- температура испарителя - 280 °С;
- температура детектора - 280 °С;
- скорость газа-носителя - от 30 до 40 см3/мин;
- скорость диаграммной ленты - 240 мм/ч;
- объем вводимой пробы - от 1,0 до 2,0 мм3.
7.6.2.3 Приготовление раствора внутреннего стандарта
В мерную колбу вместимостью 100 см3 помещают 0,5 г эйкозана, взвешенного с точностью до четвертого десятичного знака, и растворяют его в 60 см3 гексана. Доводят раствор в мерной колбе до метки гексаном, закрывают колбу пробкой и тщательно перемешивают содержимое.
Хранят раствор внутреннего стандарта в плотно закрывающейся склянке.
Массовую концентрацию эйкозана С в гексане, г/см3, вычисляют по формуле
,
(2)
где m - масса эйкозана, г.
Результат вычисления округляют до четвертого десятичного знака.
7.6.2.4 Приготовление этанол-гексановой смеси
Смешивают этиловый спирт и гексан в соотношении 70:30 по объему.
7.6.2.5 Определение относительного градуировочного коэффициента
Для определения относительного градуировочного коэффициента готовят не менее трех искусственных смесей.
Для этого в колбе вместимостью 50 см3 взвешивают с точностью до четвертого десятичного знака от 0,07 до 0,15 г ВС-30А и эйкозана. Растворяют навески в 20 см3 гексана.
Вводят микрошприцем искусственную смесь в испаритель хроматографа и снимают хроматограмму при условиях, указанных в 7.6.2.2.
Для каждой искусственной смеси снимают не менее трех хроматограмм.
Относительный градуировочный коэффициент K вычисляют по формуле
,
(3)
где mx - масса ВС-30А, г;
Sст - площадь пика внутреннего стандарта (эйкозана), мм2;
mст - масса внутреннего стандарта (эйкозана), г;
Ss - площадь пика ВС-30А, мм2.
Результат вычисления округляют до третьего десятичного знака.
Вычисляют среднеарифметическое значение относительного градуировочного коэффициента по результатам обработки не менее девяти хроматограмм. При этом расхождение между максимальным и минимальным значениями в группе из девяти и более результатов, отнесенное к среднеарифметическому значению, не должно превышать 10 %.
Полученное среднеарифметическое значение округляют до второго десятичного знака.
Проверку относительного градуировочного коэффициента проводят не реже 1 раза в полгода по одной смеси. При этом относительное отклонение градуировочного коэффициента не должно превышать 12 %. Устанавливают заново относительный градуировочный коэффициент при замене сорбента хроматографической колонки или других элементов хроматографической системы.
7.6.3 Проведение испытания
Взвешивают с точностью до четвертого десятичного знака (1,0 ± 0,1) г мелко нарезанного каучука, подготовленного по 7.2.2, помещают в колбу вместимостью 100 см3, снабженную воздушным холодильником, и экстрагируют при кипячении на песчаной бане дважды по 30 мин, используя на каждую экстракцию по 20 см3 этанол-гексановой смеси. Собирают экстракты в стакан. Ополаскивают колбу с экстрагируемым каучуком 10 см3 этанол-гексановой смеси и добавляют в тот же стакан.
Упаривают экстракт на песчаной бане до объема 0,2-0,5 см3. К полученному остатку добавляют 2,0 см3 раствора внутреннего стандарта и перемешивают.
Вводят микрошприцем пробу в испаритель хроматографа и снимают хроматограмму в режиме по 7.6.2.2.
Хроматограмма определения содержания антиоксиданта ВС-30А в каучуке приведена на рисунке 1.
7.6.4 Вычисление результатов
Массовую долю антиоксиданта ВС-30А в каучуке ХВС-30А, %, вычисляют по формуле
,
(4)
где K - относительный градуировочный коэффициент;
Sx - площадь пика антиоксиданта ВС-30А, мм2;
mст - масса внутреннего стандарта (эйкозана), г, вычисленная как произведение массовой концентрации раствора внутреннего стандарта (г/см3) и введенного объема (см3);
Sст - площадь пика внутреннего стандарта (эйкозана), мм2;
m - масса каучука, взятая для испытания, г.
Результаты вычисления округляют до второго десятичного знака.

1 - ВС-30А; 2 - внутренний стандарт (эйкозан)
Рисунок 1 - Хроматограмма определения содержания антиоксиданта ВС-30А
За результат испытания принимают среднеарифметическое значение результатов двух определений, полученных в условиях повторяемости, допускаемое расхождение между которыми не превышает 0,1 % при доверительной вероятности 0,95.
Результат испытания округляют до первого десятичного знака.
7.7 Определение массовой доли антиоксиданта полигарда
7.7.1 Аппаратура, лабораторная посуда, материалы и реактивы
Прибор для экстрагирования, состоящий из колбы вместимостью 100 см3 и воздушного холодильника.
Весы неавтоматического действия класса точности II с наибольшим пределом взвешивания 200 г, с погрешностью взвешивания 0,0002 г и с действительной ценой деления 0,0001 г по ГОСТ OIML R 76-1 или по ГОСТ 24104.
Спектрофотометр ультрафиолетовый типа СФ-4А или СФ-16.
Часы механические с сигнальным устройством по ГОСТ 3145.
Баня водяная или песчаная.
Колбы 1(2)-100 по ГОСТ 1770.
Колбы Кн-1(2)-25 или Кн-1(2)-50 по ГОСТ 25336.
Пипетки 1-2-2-5, 1-2-2-10 по ГОСТ 29228.
Цилиндры 2(1)-10 и 2(1)-50 по ГОСТ 1770.
Калия гидроокись по ГОСТ 24363, х. ч. или ч. д. а., спиртовой раствор молярной концентрации 1 моль/дм3 (1 н.).
Смесь этилового спирта и толуола в соотношении 70:30 (по объему).
Толуол по ГОСТ 5789, ч. д. а.
Спирт этиловый технический ректификованный по ГОСТ 18300 высшего сорта.
Антиоксидант полигард, раствор 0,05 г/дм3 в этанол-толуольной смеси.
7.7.2 Подготовка к проведению испытания
7.7.2.1 Приготовление этанольного раствора гидроокиси калия с молярной концентрацией 1 моль/дм3 (1 н.)
Растворяют 5,6 г гидроокиси калия в 100 см3 этилового спирта. Хранят раствор в темном месте. При появлении желтого окрашивания готовят свежий раствор.
7.7.2.2 Приготовление стандартного раствора полигарда
В предварительно взвешенную с точностью до четвертого десятичного знака мерную колбу вместимостью 100 см3 вносят 0,02 г полигарда и растворяют в этанол-толуольной смеси. После полного растворения объем колбы доводят до метки этанол-толуольной смесью, закрывают колбу пробкой и перемешивают.
7.7.2.3 Вычисление расчетного градуировочного коэффициента
Готовят несколько растворов в пределах концентраций 0,01-0,08 г/дм3 разбавлением стандартного раствора антиоксиданта этанол-толуольной смесью.
В мерный цилиндр вместимостью 10 см3 добавляют 1 см3 спиртового раствора щелочи и доводят объем до метки измеряемым раствором - щелочной раствор. В другой такой же цилиндр добавляют 1 см3 спирта и доводят до метки тем же измеряемым раствором - нейтральный раствор.
В рабочую кювету с толщиной поглощающего свет слоя 10 мм наливают щелочной раствор, а в кювету сравнения - нейтральный раствор.
Разность оптических плотностей измеряют при длине волны 299-300 нм. После измерения оптических плотностей всех калибровочных растворов измеряют оптическую плотность спиртового раствора щелочи. Для этого в мерный цилиндр вместимостью 10 см3 помещают 1 см3 спиртового раствора щелочи и доводят до метки этанол-толуольной смесью.
В другой мерный цилиндр вместимостью 10 см3 добавляют 1 см3 спирта и доводят до метки этанол-толуольной смесью. Первый раствор переносят в рабочую кювету с той же толщиной слоя, а второй раствор - в кювету сравнения.
Затем для каждого измеренного раствора вычисляют коэффициент пропорциональности K между концентрацией антиоксиданта в растворе и оптической плотностью по формуле
,
(5)
где С - массовая концентрация антиоксиданта в растворе, г/дм3;
ΔD300 - разность оптических плотностей щелочного и нейтрального растворов;
Dщ - оптическая плотность раствора щелочи.
За результат определения коэффициента пропорциональности Kср принимают среднеарифметическое значение результатов двух параллельных определений.
7.7.2.4 Приготовление этанол-толуольного экстракта каучука
Помещают 1 г мелконарезанного каучука, взятого от пробы по 7.2.2 и взвешенного с точностью до четвертого десятичного знака, в круглодонную колбу вместимостью 100 см3 и добавляют в нее 30 см3 этанол-толуольной смеси. Затем присоединяют колбу к воздушному холодильнику и кипятят содержимое в течение 30 мин. Отсоединяют колбу от холодильника и переносят экстракт в мерную колбу вместимостью 100 см3. Наливают в колбу вновь 30 см3 этанол-толуольной смеси и повторяют экстрагирование, сливая экстракт в ту же мерную колбу. Так же проводят экстрагирование третий раз. Затем оставшиеся кусочки каучука дважды смывают этанол-толуольной смесью по 5 см3 и сливают смесь в ту же мерную колбу.
После охлаждения доводят экстракт в колбе до метки этанол-толуольной смесью, закрывают колбу пробкой и перемешивают.
7.7.2.5 Проведение испытания
В мерную колбу вместимостью 100 см3 вносят 20 см3 экстракта, полученного по 7.7.2.4, и доводят до метки этанол-толуольной смесью.
Готовят щелочной и нейтральный растворы экстракта каучука, как при градуировке, заменяя раствор антиоксиданта разбавленным экстрактом. В таких же условиях измеряют разность оптических плотностей этих растворов.
7.7.2.6 Обработка результатов
Массовую долю антиоксиданта полигарда в каучуке ХП, %, вычисляют по формуле
,
(6)
где ΔD300 - разность оптических плотностей щелочного и нейтрального растворов экстракта каучука;
Dщ - оптическая плотность раствора щелочи;
Kcp - коэффициент пропорциональности между концентрацией антиоксиданта в растворе и оптической плотностью;
V1 - объем полученного экстракта, см3;
m - масса каучука, г;
V2 - объем экстракта, использованный для разбавления, см3.
В связи с тем, что оптическая плотность раствора щелочи при хранении постепенно возрастает, ее измеряют в день испытания. Раствор щелочи считают непригодным, если оптическая плотность превышает 0,100.
За результат испытания принимают среднеарифметическое значение результатов двух параллельных определений (две экстракции), допускаемое расхождение между которыми не превышает 0,1 % среднего значения.
Результат испытания округляют до первого десятичного знака.
7.8 Определение массовой доли антиоксиданта агидола-30
7.8.1 Аппаратура, лабораторная посуда, материалы и реактивы
Хроматограф газовый лабораторный с пламенно-ионизационным детектором.
Колонка хроматографическая длиной 1 м, внутренним диаметром 3 мм.
Весы неавтоматического действия класса точности II с наибольшим пределом взвешивания 200 г, с погрешностью взвешивания 0,0002 г и с действительной ценой деления 0,0001 г по ГОСТ OIML R 76-1 или по ГОСТ 24104.
Баня песчаная.
Баня водяная лабораторная.
Насос вакуумный масляный или водоструйный.
Лупа измерительная по ГОСТ 25706 с ценой деления 0,1 мм.
Часы механические с сигнальным устройством по ГОСТ 3145.
Колба Кн-1-100-29/32 ТХС по ГОСТ 25336.
Колба 2-100-1(2) по ГОСТ 1770.
Колба К-1-250-34 ТХС по ГОСТ 25336.
Холодильник ХШ-1-200-29/32-14/23 ХС по ГОСТ 25336.
Цилиндры 1-25-1(2), 1-50-1(2), 1-100-1(2) по ГОСТ 1770.
Стакан Н-2-50 ТХС по ГОСТ 25336.
Микрошприц МШ-10M.
Палочка стеклянная.
Носитель твердый хроматон N-AW-HMDS, фракция 0,25-0,315 мм.
Неподвижная фаза апиезон L.
Внутренний стандарт докозан.
Стандартный раствор докозана в хлороформе концентрации 0,01 г/см3.
Ацетон по ГОСТ 2603.
Спирт этиловый ректификованный технический по ГОСТ 18300 или спирт этиловый технический по ГОСТ 17299.
Хлороформ по ГОСТ 20015 или х. ч.
Воздух сжатый очищенный по ГОСТ 17433 для приборов.
Гелий газообразный.
Водород по ГОСТ 3022 марки А или высшей степени очистки.
7.8.2 Подготовка к проведению испытания
7.8.2.1 Приготовление неподвижной фазы и заполнение хроматографической колонки
Помещают в круглодонную колбу вместимостью 250 см3 твердый носитель в объеме, превышающем на 10 % - 12 % расчетный объем колонки, растворяют в 50 см3 хлороформа апиезон L в количестве 5 % массы твердого носителя и переносят в колбу с твердым носителем. После пропитки твердого носителя удаляют растворитель при нагревании на водяной бане при температуре 30 °С - 40 °С при перемешивании до сыпучего состояния.
Промывают хроматографическую колонку ацетоном, этиловым спиртом, продувают воздухом в течение 20 мин. Заполняют чистую сухую колонку сорбентом с использованием воронки и вакуумного насоса, который подсоединяют к одному из концов колонки, предварительно закрытому тампоном из стекловаты. Уплотняют сорбент вибратором или постукиванием стеклянной палочкой, другой конец колонки также закрывают тампоном из стекловаты.
Устанавливают подготовленную таким образом хроматографическую колонку в термостат хроматографа и, не присоединяя к детектору, кондиционируют 30 мин в потоке газа-носителя со скоростью 40 см3/мин при температуре (60 ± 5) °С, затем выдерживают 30 мин при температуре 120 °С. Отключают подачу газа-носителя и выдерживают колонку в течение 4 ч при температуре 240 °С, после чего включают подачу газа-носителя и при этой температуре выдерживают колонку еще 30 мин.
Затем охлаждают колонку до температуры окружающей среды, подсоединяют к детектору и устанавливают следующие параметры хроматографического разделения:
- температура колонки - 230 °С - 235 °С;
- температура испарителя - 280 °С;
- скорость газа-носителя - 40 см3/мин;
- скорость диаграммной ленты - 200-240 мм/ч.
7.8.2.2 Приготовление стандартного раствора докозана
Помещают 0,5-0,6 г докозана, взвешенного с точностью до четвертого десятичного знака, в мерную колбу вместимостью 100 см3 и растворяют его в 50-70 см3 хлороформа. Затем полученный раствор в мерной колбе доводят этим же растворителем до метки и перемешивают.
Массовую концентрацию эйкозана С в полученном растворе, г/см3, вычисляют по формуле
,
(7)
где m - масса навески эйкозана, г.
Хранят раствор в плотно закрытой емкости.
7.8.2.3 Определение градуировочного коэффициента
Готовят не менее трех искусственных смесей агидола-30 и докозана в хлороформе. Для этого в колбе вместимостью 50 см3 взвешивают с точностью до четвертого десятичного знака 0,07-0,15 г агидола-30 и докозана. Растворяют навески в 20 см3 хлороформа.
Тщательно перемешав приготовленные смеси, микрошприцем вводят 1 мкдм3 смеси в испаритель хроматографа и регистрируют хроматограмму. Каждую смесь хроматографируют не менее трех раз.
Относительный градуировочный коэффициент K вычисляют по формуле
,
(8)
где mx - масса агидола-30, г;
Sст - площадь пика внутреннего стандарта (докозана), мм2.
mст - масса внутреннего стандарта (докозана), г;
Sx - площадь пика агидола-30, мм2.
7.8.3 Проведение испытания
Взвешивают 1 г мелко нарезанного каучука, подготовленного по 7.2.2, с точностью до 0,0002 г, помещают в коническую колбу со шлифом вместимостью 100 см3, присоединяют обратный холодильник и экстрагируют каучук дважды этиловым спиртом по 30 мин на песчаной бане, используя на каждую экстракцию по 20 см3 этилового спирта.
После экстракции охлаждают колбу до комнатной температуры, переносят экстракт в другую колбу вместимостью 100 см3, промывают колбу с экстрагируемым каучуком 10 см3 этилового спирта и добавляют к экстракту.
Упаривают экстракт в колбе до объема 0,2-0,3 см3 на песчаной бане при температуре 105 °С - 110 °С, не допуская сильного кипения. После охлаждения к полученному остатку добавляют 2 см3 стандартного раствора докозана, приготовленного по 7.8.2.2, микрошприцем вводят в испаритель хроматографа 1-10 мкдм3 пробы и регистрируют хроматограмму по 7.8.2.1.
7.8.4 Обработка результатов
Массовую долю антиоксиданта агидола-30 в каучуке ХА-30, %, вычисляют по формуле
,
(9)
где K - относительный градуировочный коэффициент;
Sx - площадь пика агидола-30, мм2;
mст - масса введенного внутреннего стандарта (докозана), г;
Sст - площадь пика внутреннего стандарта (докозана), мм2;
m - масса каучука, г.
Результат вычисления округляют до второго десятичного знака.
За результат испытания принимают среднеарифметическое значение двух результатов определений, расхождение между которыми в условиях повторяемости не превышает 0,1 % при доверительной вероятности 0,95.
Результат испытания округляют до первого десятичного знака.
7.9 Определение массовой доли золы *
──────────────────────────────
* См. также [4]. Арбитражные испытания проводят по [4]. В Российской Федерации - также по ГОСТ Р 54545-2011 "Каучуки синтетические. Определение общей и водорастворимой золы".
──────────────────────────────
7.9.1 Аппаратура, материалы и реактивы
Весы неавтоматического действия класса точности II с наибольшим пределом взвешивания 200 г, с погрешностью взвешивания 0,0002 г и с действительной ценой деления 0,0001 г по ГОСТ OIML R 76-1 или по ГОСТ 24104.
Печь муфельная, обеспечивающая температуру (550 ± 25) °С.
Часы механические с сигнальным устройством по ГОСТ 3145.
Фильтр беззольный диаметром 150 мм из фильтровальной лабораторной бумаги по ГОСТ 12026.
Тигель фарфоровый по ГОСТ 9147 или кварцевый по ГОСТ 19908, или платиновый по ГОСТ 6563 вместимостью 50 см3. Допускается использовать тигель минимальной вместимостью 25 см3 на грамм испытуемой пробы.
Эксикатор 2-140 или 2-190, или 2-250 по ГОСТ 25336.
Кальций хлористый технический по ГОСТ 450.
Осушитель - силикагель или оксид алюминия технический.
7.9.2 Подготовка к проведению испытания
Нагревают чистый тигель в муфельной печи в течение 30 мин при температуре (550 ± 25) °С, затем охлаждают в эксикаторе, заполненном свежепрокаленным хлористым кальцием или силикагелем, или оксидом алюминия, до комнатной температуры и взвешивают с точностью до четвертого десятичного знака.
Повторно прокаливают тигель в течение 30 мин при той же температуре с последующим охлаждением в эксикаторе до комнатной температуры и взвешивают тигель. Прокаливание, охлаждение и взвешивание тигля повторяют до получения расхождения между результатами двух последовательных взвешиваний, не превышающего 0,0004 г.
7.9.3 Проведение испытания
Заворачивают в беззольный фильтр и помещают в тигель от 3 до 5 г каучука, подготовленного по 7.2.2 и взвешенного с точностью до четвертого десятичного знака.
Помещают тигель с каучуком в муфельную печь при температуре (550 ± 25) °С и выдерживают до полного окисления углеродсодержащего вещества в каучуке (до получения светлой золы без черных включений). Затем охлаждают тигель в эксикаторе до комнатной температуры и взвешивают с точностью до четвертого десятичного знака. Повторно прокаливают тигель с образцом в течение 30 мин при температуре (550 ± 25) °С, охлаждают в эксикаторе до комнатной температуры и взвешивают тигель. Прокаливание, охлаждение и взвешивание тигля с золой повторяют до получения расхождения между результатами двух последовательных взвешиваний, не превышающего 0,0004 г.
7.9.4 Обработка результатов
Массовую долю золы в каучуке Х0, %, вычисляют по формуле
,
(10)
где m2 - масса тигля с золой, г;
m1 - масса тигля, г;
m0 - масса каучука, г.
Результат вычисления округляют до второго десятичного знака.
За результат испытания принимают среднеарифметическое значение результатов двух определений, полученных в условиях повторяемости, допускаемое расхождение между которыми не превышает 0,03 % среднего значения при доверительной вероятности 0,95.
Результат испытания округляют до первого десятичного знака.
7.10 Определение массовой доли металлов
Массовую долю железа и меди определяют по ГОСТ 19816.2.
Допускается определять массовую долю меди по ГОСТ 29083.
7.11 Определение массовой доли органических кислот и мыл органических кислот
7.11.1 Аппаратура, лабораторная посуда, материалы и реактивы
Весы неавтоматического действия класса точности II с наибольшим пределом взвешивания 200 г, с погрешностью взвешивания 0,0002 г и с действительной ценой деления 0,0001 г по ГОСТ OIML R 76-1 или по ГОСТ 24104.
Плитка электрическая по ГОСТ 14919.
Баня песчаная любого типа.
Часы механические с сигнальным устройством по ГОСТ 3145.
Холодильник воздушный с трубкой длиной 1000 мм, диаметром от 12 до 14 мм, с приваренным шлифом 29/32.
Колба П-1-250-29/32 ТС по ГОСТ 25336.
Колба Кн-2-250 ТС по ГОСТ 25336.
Бюретки 1-2-2-1-0,01; 1-2-2-5-0,02; 1-2-2-10-0,05; 1-2-2-50-0,1 по ГОСТ 29251.
Цилиндры 1-100-2, 1-1000-2 по ГОСТ 1770.
Пипетка 2-2-100 по ГОСТ 29169.
Спирт этиловый ректификованный технический по ГОСТ 18300.
Толуол по ГОСТ 5789.
Кислота соляная по ГОСТ 3118, раствор молярной концентрации с (HCl) = 0,05 моль/дм3.
Калия гидроокись по ГОСТ 24363, растворы молярных концентраций с (KОН) = 0,1 моль/дм3 и с (KОН) = 0,01 моль/дм3.
Натрия гидроокись по ГОСТ 4328, растворы молярных концентраций c (NaOH) = 0,1 моль/дм3, с (NaOH) = 0,01 моль/дм3 и с (NaOH) = 0,02 моль/дм3.
Тимоловый синий, водный раствор массовой концентрации 1,2 г/дм3.
м-Крезоловый пурпуровый, спиртовой раствор массовой концентрации 1 г/дм3.
Вода дистиллированная по ГОСТ 6709.
7.11.2 Подготовка к проведению испытания
7.11.2.1 Приготовление этанол-толуольной смеси
Смешивают этиловый спирт и толуол в соотношении 70:30 по объему.
7.11.2.2 Приготовление растворов индикаторов
Приготовление раствора индикатора м-крезолового пурпурового
В колбе вместимостью 100 см3 растворяют (0,100 ± 0,001) г индикатора м-крезолового пурпурового в 26,2 см3 раствора гидроокиси натрия или гидроокиси калия молярной концентрации с (NaOH) = 0,01 моль/дм3 или с (KОН) = 0,01 моль/дм3. Полученный раствор разбавляют этиловым спиртом до объема 100 см3, добавляя к нему 74 см3 указанного растворителя и тщательно перемешивают.
Приготовление раствора индикатора тимолового синего
Растворяют (0,060 ± 0,001) г индикатора тимолового синего в 6,45 см3 раствора гидроокиси натрия молярной концентрации с (NaOH) = 0,02 моль/дм3, переносят в мерную колбу вместимостью 50 см3. К полученному раствору добавляют 44 см3 дистиллированной воды и перемешивают раствор.
7.11.3 Проведение испытания
Подготовленный по 7.2.2 каучук нарезают на полоски шириной от 2 до 3 мм, длиной от 20 до 30 мм.
7.11.3.1 Приготовление экстракта каучука
Взвешивают (6,00 ± 0,01) г полосок каучука с точностью до четвертого десятичного знака, помещают в экстракционную колбу, содержащую 100 см3 этанол-толуольной смеси, опуская отдельно каждую полоску каучука и перемешивая каждый раз содержимое колбы таким образом, чтобы полоски были смочены растворителем во избежание слипания. Присоединяют колбу к воздушному холодильнику и кипятят в течение 1 ч. Переносят экстракт в мерную колбу вместимостью 250 см3, промывают каучук 20 см3 этанол-толуольной смеси, сливая промывной раствор в ту же мерную колбу. В колбу для экстрагирования наливают 100 см3 этанол-толуольной смеси и снова кипятят содержимое колбы с воздушным холодильником 1 ч.
Переносят экстракт в ту же мерную колбу и промывают каучук 20 см3 этанол-толуольной смеси, сливая промывной раствор в ту же колбу. Охлаждают экстракт в мерной колбе до комнатной температуры и доводят объем раствора до метки этанол-толуольной смесью. Закрывают колбу пробкой и хорошо перемешивают.
7.11.3.2 Определение массовой доли органических кислот
Отбирают пипеткой порцию экстракта объемом 100 см3, переносят в коническую колбу вместимостью 250 см3, добавляют шесть капель раствора индикатора м-крезолового пурпурового и титруют раствором гидроокиси калия молярной концентрации с (KОН) = 0,1 моль/дм3 или гидроокиси натрия молярной концентрации с (NaOH) = 0,1 моль/дм3 до первого изменения окраски.
Проводят в таких же условиях контрольное испытание, заменяя экстракт таким же объемом этанол-толуольной смеси.
7.11.3.3 Определение массовой доли мыл органических кислот
Переносят пипеткой в коническую колбу вместимостью 250 см3 порцию экстракта объемом 100 см3, оставшуюся от определения содержания органических кислот, добавляют шесть капель раствора индикатора тимолового синего и титруют раствором соляной кислоты молярной концентрации с (HCl) = 0,05 моль/дм3 до первого изменения окраски.
Проводят в таких же условиях контрольное определение, заменяя экстракт каучука таким же объемом этанол-толуольной смеси.
7.11.4 Обработка результатов
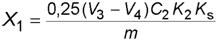
7.11.4.1 Массовую долю органических кислот в каучуке Х1, %, вычисляют по формуле
,
(11)
где V1 - объем раствора гидроокиси калия или гидроокиси натрия, израсходованный на титрование пробы, см3;
V2 - объем раствора гидроокиси калия или гидроокиси натрия, израсходованный на титрование при контрольном испытании, см3;
C1 - заданная молярная концентрация раствора гидроокиси калия или гидроокиси натрия, равная 0,1 моль/дм3;
K1 - коэффициент поправки раствора гидроокиси калия или гидроокиси натрия, использованного для титрования;
K0 - коэффициент, зависящий от соотношения веществ, по которым ведут вычисление: 315 - по смеси смоляных и жирных кислот в соотношении 1,0:1,0; 333 - для смеси смоляных и жирных кислот в соотношении 3,0:1,0;
m - масса каучука, г.
Результат вычисления округляют до второго десятичного знака.
За результат испытания принимают среднеарифметическое значение результатов двух определений, полученных в условиях повторяемости, допускаемое расхождение между которыми не превышает 3,7 % среднего значения при доверительной вероятности 0,95.
Результат испытаний округляют до первого десятичного знака.
7.11.4.2 Обработка результатов
Массовую долю мыл органических кислот в каучуке Х2, %, вычисляют по формуле
,
(12)
где V3 - объем раствора соляной кислоты, израсходованный на титрование пробы, см3;
V4 - объем раствора соляной кислоты, израсходованный на титрование при контрольном испытании, см3;
C2 - заданная молярная концентрация раствора соляной кислоты, равная 0,05 моль/дм3;
K2 - коэффициент поправки раствора соляной кислоты, использованного для титрования;
Ks - коэффициент, зависящий от соотношения веществ, по которым ведут вычисление: 353 - по смеси смоляных и жирных кислот в соотношении 1,0:1,0; 368 - по смеси смоляных и жирных кислот в соотношении 3,0:1,0;
m - масса каучука, г.
Результат вычисления округляют до третьего десятичного знака.
За результат испытания принимают среднеарифметическое значение результатов двух определений, полученных в условиях повторяемости, допускаемое расхождение между которыми не превышает 10 % среднего значения при доверительной вероятности 0,95.
Результат испытания округляют до второго десятичного знака.
Допускается определять массовую долю органических кислот и массовую долю мыл органических кислот по ГОСТ ISO 7781 *.
──────────────────────────────
* См. также [5]. Арбитражные испытания проводят по [5]. В Российской Федерации - также по ГОСТ Р 54550-2011 "Каучуки синтетические. Определение массовой доли экстрагируемых веществ".
──────────────────────────────
7.12 Определение массовой доли связанного второго мономера (стирола или α -метилстирола)
Массовую долю связанного стирола или α-метилстирола в пробе каучука, подготовленной по 7.2.2, определяют по ГОСТ 24654 **, при этом допускается:
──────────────────────────────
** См. также [6]. Арбитражные испытания проводят по [6]. В Российской Федерации - также по ГОСТ Р 54551-2011 "Каучуки бутадиен-стирольные. Определение массовой доли связанного стирола по показателю преломления".
──────────────────────────────
- изготовлять прессованную пластину в холодном прессе при комнатной температуре при условии получения пластины с гладкой поверхностью;
- готовить пластины на микровальцах: экстрагированный и высушенный в соответствии с требованиями ГОСТ 24654 каучук вальцуют в течение 20 мин при температуре (50 ± 5) °С и снимают с валков в виде пластины толщиной от 0,5 до 0,7 мм;
- использовать каучук после экстрагирования при определении органических кислот и их мыл (см. 7.11);
- охлаждать прессованную пластину в эксикаторе до комнатной температуры.
За результат испытания принимают среднеарифметическое значение результатов двух определений, полученных в условиях повторяемости, допускаемое расхождение между которыми не превышает 0,5 % среднего значения при доверительной вероятности 0,95.
Результат испытания округляют до целого числа.
Два результата испытаний, полученные на идентичных пробах одной партии каучука в двух разных лабораториях, признают приемлемыми, если расхождение между ними не превышает 3,0 % при доверительной вероятности 0,95.
7.13 Определение вулканизационных характеристик
7.13.1 Аппаратура, материалы
Вулкаметр безроторный типа MDR-2000.
Вальцы смесительные по ГОСТ ISO 2393. Допускается применять смесительные вальцы по ГОСТ 27109.
Толщиномер по ГОСТ 11358 с ценой деления 0,01 мм.
Весы лабораторные среднего класса точности с наибольшим пределом взвешивания 2000 г по ГОСТ OIML R 76-1 или по ГОСТ 24104.
Термокамера, обеспечивающая поддержание температуры (23 ± 2) °С.
Часы механические с сигнальным устройством по ГОСТ 3145.
Термометр жидкостный стеклянный по ГОСТ 28498 с ценой деления шкалы 1 °С.
Термометр цифровой малогабаритный для контактных измерений температуры поверхности валков в диапазоне 20 °С - 300 °С с разрешающей способностью 1 °С.
Термостат с естественной циркуляцией воздуха, обеспечивающий поддержание температуры (125 ± 3) °С.
Свинец по ГОСТ 3778 в виде пластин.
Ингредиенты резиновой смеси (см. таблицу 3) по ГОСТ ISO 2322.
Примечание - Для приготовления стандартной резиновой смеси для арбитражных испытаний используют стандартные (контрольные) национальные или международные ингредиенты, соответствующие требованиям, предъявляемым к контрольным ингредиентам. При отсутствии контрольных ингредиентов используют ингредиенты, применение которых согласовывает изготовитель с потребителем. Замена ингредиентов может привести к получению отличающихся результатов.
7.13.2 Подготовка к проведению испытания
Масса объединенной пробы каучука и ингредиентов (в граммах) должна в три раза превышать значения их массовых частей, указанных в рецептуре. Смешение проб для приготовления объединенной пробы проводят на начальной стадии приготовления резиновой смеси. Рецептура резиновой смеси приведена в таблице 3 *.
──────────────────────────────
* См. также [7]. В Российской Федерации - также по ГОСТ Р 54555-2011 "Каучуки бутадиен-стирольные (SBR). Приготовление и испытание резиновых смесей".
──────────────────────────────
|
Наименование ингредиента |
Массовая часть |
|
Каучук |
100,00 |
|
Технический углерод, соответствующий IRB |
50,00 |
|
Оксид цинка |
3,00 |
|
Стеариновая кислота |
1,00 |
|
Сера |
1,75 |
|
Сульфенамид Т (N-трет-бутил-2-бензтиазолил-сульфенамид) |
1,00 |
|
Всего: |
156,75 |
Точность навесок ингредиентов, правила ввода ингредиентов, проведение подрезов - по ГОСТ ISO 2393.
Технический углерод перед взвешиванием предварительно высушивают в термостате с естественной циркуляцией воздуха при температуре (125 ± 3) °С в течение 1 ч. Технический углерод помещают в открытую емкость таким образом, чтобы толщина насыпного слоя во время кондиционирования не превышала 10 мм. По окончании высушивания технический углерод помещают в герметичный влагонепроницаемый контейнер до полного охлаждения и дальнейшего использования.
Проверку точности установки зазора между валками вальцов (по свинцу) проводят по 7.3.2.1. Каучук смешивают с ингредиентами на вальцах при температуре поверхности валков (50 ± 5) °С по режиму, приведенному в таблице 4 **.
──────────────────────────────
** См. также [8]. В Российской Федерации - также по ГОСТ Р 54554-2011 "Смеси резиновые стандартные. Материалы, оборудование, методы смешения и приготовления вулканизованных пластин".
──────────────────────────────
|
Последовательность смешения |
Продолжительность, мин |
Общее время, мин |
|
Вальцуют каучук при зазоре (1,15 ± 0,05) мм и делают подрезы на 3/4 валка с каждой стороны через каждые 30 с |
7 |
7 |
|
Медленно и равномерно вводят серу |
2 |
9 |
|
Вводят стеариновую кислоту. Делают по одному подрезу на 3/4 валка с каждой стороны |
2 |
11 |
|
Вводят технический углерод равномерно, с постоянной скоростью, по всей длине валка. После того, как в смесь введена примерно половина технического углерода, увеличивают зазор между валками до 1,25 мм и делают по одному подрезу на 3/4 валка с каждой стороны. Вводят оставшийся технический углерод и технический углерод с поддона вальцов. Когда в смесь войдет весь технический углерод, увеличивают зазор до 1,4 мм и делают по одному подрезу на 3/4 валка с каждой стороны |
10 |
21 |
|
Вводят оксид цинка и сульфенамид Т при зазоре примерно 1,4 мм |
3 |
24 |
|
Делают по три подреза на 3/4 валка с каждой стороны |
2 |
26 |
|
Срезают смесь с вальцов. Устанавливают зазор примерно 0,8 мм и пропускают смесь рулоном перпендикулярно к поверхности валков шесть раз |
2 |
28 |
|
Листуют смесь на вальцах до толщины примерно 6 мм, увеличив зазор между валками и пропуская смесь через вальцы четыре раза, каждый раз складывая ее пополам. Проверяют массу смеси. Если она отличается от расчетной более чем на плюс 0,5 % или минус 1,5 %, смесь бракуют и проводят повторное смешение. Отбирают достаточное количество резиновой смеси (от 40 до 44 г) для определения вулканизационных характеристик. Листуют смесь до толщины примерно 2,2 мм, снимают с вальцов в развернутом виде и охлаждают на гладкой сухой металлической поверхности |
1 |
29 |
|
Примечание - При смешении в зазоре вальцов необходимо поддерживать хорошо обрабатываемый запас смеси. Ингредиенты вводят в смесь медленно и равномерно вдоль валков. Смесь не следует подрезать до тех пор, пока ингредиенты полностью не войдут в каучук. | ||
7.13.3 Проведение испытания
Вулканизационные характеристики образца резиновой смеси определяют на безроторном вулкаметре типа MDR-2000 * при следующих условиях испытания:
──────────────────────────────
* См. также [9]. В Российской Федерации - также по ГОСТ Р 54547-2011 "Смеси резиновые. Определение вулканизационных характеристик с использованием безроторных реометров".
──────────────────────────────
- продолжительность выдержки образцов перед испытанием - от 2 до 24 ч при температуре (23 ± 2) °С;
- частота колебаний - (1,7 ± 0,1) Гц (100 циклов в минуту);
- амплитуда колебаний - 0,50° ± 0,03°;
- продолжительность испытания - 30 мин;
- температура испытания - (160,0 ± 0,3) °С.
За результат испытания принимают значения вулканизационных характеристик одного образца.
7.14 Определение упругопрочностных свойств резин при растяжении (условного напряжения при 300 %-ном удлинении, условной прочности при растяжении и относительного удлинения при разрыве) **
──────────────────────────────
** См. также [10]. Арбитражные испытания проводят по [10]. В Российской Федерации - также по ГОСТ Р 54553-2011 "Резина и термопластичные эластомеры. Определение упругопрочностных свойств при растяжении", метод А.
──────────────────────────────
Упругопрочностные свойства резины при растяжении определяют на образцах, приготовленных из резиновой смеси по 7.13.
После приготовления резиновую смесь кондиционируют не менее 4 ч и не более 24 ч при температуре (23 ± 3) °С и относительной влажности воздуха не более 55 %.
7.14.1 Аппаратура
Пресс вулканизационный по ГОСТ 11997 ***.
──────────────────────────────
*** Допускается использовать пресс по [8]. В Российской Федерации - также по ГОСТ Р 54554-2011 "Смеси резиновые стандартные. Материалы, оборудование, методы смешения и приготовления вулканизованных пластин".
──────────────────────────────
Машина разрывная по ГОСТ 28840 или другая, обеспечивающая требования ГОСТ 270.
Толщиномер по ГОСТ 11358 с ценой деления 0,01 мм.
Часы механические с сигнальным устройством по ГОСТ 3145.
Пресс-форма для вулканизации пластин по ГОСТ ISO 2393.
Термометр цифровой малогабаритный для контактных измерений температуры в диапазоне 20 °С - 300 °С с разрешающей способностью 1 °С.
Нож штанцевый типа I по ГОСТ 270 или типа С **.
──────────────────────────────
** См. также [10]. Арбитражные испытания проводят по [10]. В Российской Федерации - также по ГОСТ Р 54553-2011 "Резина и термопластичные эластомеры. Определение упругопрочностных свойств при растяжении", метод А.
──────────────────────────────
Термометр цифровой малогабаритный для контактных измерений температуры в диапазоне 20 °С - 300 °С с разрешающей способностью 1 °С.
7.14.2 Подготовка образцов для испытания
Нарезают резиновую смесь на пластины, соответствующие размеру ячейки пресс-формы, указывая направление вальцевания.
Помещают пластины в предварительно нагретые в прессе не менее 20 мин до температуры (145,0 ± 0,5) °С четырехместные вулканизационные пресс-формы с ячейкой глубиной (2,0 ± 0,2) мм. При отсутствии четырехместных форм допускается использовать двухместные формы. Закрывают формы и помещают в пресс, предварительно нагретый до температуры (145,0 ± 0,5) °С.
Вулканизуют резиновую смесь при температуре (145,0 ± 0,5) °С и давлении на площадь ячейки гнезда формы не менее 3,5 МПа (35 кгс/см3) в течение 25 или 35, или 50 мин.
Выдерживают пластины после вулканизации до испытания при температуре (23 ± 2) °С не менее 16 ч, но не более 96 ч.
7.14.3 Проведение испытания
Условную прочность при растяжении, условное напряжение при 300 %-ном удлинении и относительное удлинение при разрыве определяют по ГОСТ 270 на образцах толщиной от 1,80 до 2,20 мм.
Для вычисления результатов испытаний используют все результаты определений при условии нормального разрыва в узкой части лопаток. При разрыве образца за пределами узкой части результат определения не учитывают. За результат испытания каждого показателя принимают медиану.
Для определения медианы результаты испытаний, признанные годными, выстраивают в ряд по возрастанию. Медиана равна значению срединного члена ряда, если количество результатов нечетное, и среднеарифметическому значению двух срединных членов ряда, если количество результатов четное.
Значение относительного удлинения при разрыве округляют до целого десятка, значение условного напряжения и условной прочности - до первого десятичного знака. Результаты испытаний должны соответствовать требованиям таблицы 1 при вулканизации в течение 25 или 35, или 50 мин.
7.15 Определение механических включений и включение структурированного полимера
Наличие крупных механических включений определяют визуально до вальцевания навески.
7.15.1 Аппаратура
Вальцы смесительные по ГОСТ ISO 2393. Допускается применять смесительные вальцы по ГОСТ 27109.
Весы лабораторные среднего класса точности с наибольшим пределом взвешивания 1000 г по ГОСТ OIML R 76-1 или по ГОСТ 24104.
Термометр цифровой малогабаритный для контактных измерений температуры поверхности валков в диапазоне 20 °С - 300 °С с разрешающей способностью 1 °С.
Толщиномер по ГОСТ 11358 с ценой деления 0,01 мм.
Секундомер III класса.
7.15.2 Подготовка к проведению испытания
Образец для испытаний массой (200 ± 1) г готовят из проб каучука, отобранных по ГОСТ ИСО 1795, вальцеванием в течение 1 мин при температуре поверхности валков не выше 50 °С и зазоре между валками (0,25 ± 0,05) мм.
Проверку точности установки зазора между валками вальцов (по свинцу) проводят по 7.3.2.1.
7.15.3 Проведение испытания
Полученную тонкую пластину просматривают в проходящем свете. Наличие механических включений и включение структурированного полимера определяют визуально.
За результат испытания принимают наличие или отсутствие механических включений и включение структурированного полимера.
8.1 Каучук транспортируют транспортом всех видов в крытых транспортных средствах в соответствии с правилами перевозки грузов, действующими на транспорте данного вида.
При транспортировании каучука, упакованного в ящичные поддоны или в контейнеры, в железнодорожных вагонах поддоны или контейнеры устанавливают в два-три яруса по высоте вагона и раскрепляют.
8.2 Каучук, упакованный в ящичные поддоны, гофроконтейнеры или в полимерные контейнеры, хранят в штабелях, состоящих не более чем из трех поддонов по высоте. Каучук, упакованный в металлические контейнеры, хранят в штабелях, состоящих не более чем из четырех поддонов по высоте.
8.3 Каучук следует хранить в неогнеопасном сухом помещении при температуре не выше плюс 30 °С. При хранении каучук должен быть защищен от загрязнения, а также от воздействия прямых солнечных лучей и атмосферных осадков.
9.1 Изготовитель гарантирует соответствие каучука требованиям настоящего стандарта при соблюдении потребителем условий хранения и транспортирования, установленных настоящим стандартом.
9.2 Гарантийный срок хранения каучуков - один год с даты изготовления.
9.3 По истечении гарантийного срока хранения каучуки могут быть использованы по назначению после предварительной проверки их качества на соответствие требованиям настоящего стандарта.
Библиография
|
[1] |
АСТМ Д3896 |
Стандартная практика для синтетических каучуков. Отбор проб |
|
(ASTM D3896) |
(Standard practice for rubber from synthetic sources - Sampling) | |
|
[2] |
АСТМ Д1646 |
Стандартные методы испытания каучуков. Вязкость, релаксация напряжений и характеристики предварительной вулканизации (вискозиметр Муни) |
|
(ASTM D1646) |
[Standard test methods for rubber - Viscosity, stress relaxation, and pre-vulcanization characteristics (Mooney viscometer)] | |
|
[3] |
АСТМ Д5668 |
Стандартные методы испытаний синтетических каучуков. Летучие вещества |
|
(ASTM D5668) |
(Standard test methods for rubber from synthetic sources - Volatile matter) | |
|
[4] |
АСТМ Д5667 |
Стандартные методы испытаний синтетических каучуков. Общая и растворимая в воде зола |
|
(ASTM D5667) |
(Standard test method for rubber from synthetic sources - Total and water soluble ash) | |
|
[5] |
АСТМ Д5774 |
Стандартные методы испытания каучуков. Химический анализ экстрагируемых веществ |
|
(ASTM D5774) |
(Standard test methods for rubber - Chemical analysis of extractables) | |
|
[6] |
АСТМ Д5775 |
Стандартный метод испытаний каучуков. Определение связанного стирола в бутадиен-стирольных каучуках с помощью показателя преломления |
|
(ASTM D5775) |
(Standard test method for rubber - Determination of bound styrene in styrene butadiene rubber by refractive index) | |
|
[7] |
АСТМ Д3185 |
Стандартные методы испытаний каучуков. Оценка SBR (стирол-бутадиенового каучука), включая смеси с маслом |
|
(ASTM D3185) |
[Standard test methods for rubber - Evaluation of SBR (styrene butadiene rubber) including mixtures with oil] | |
|
[8] |
АСТМ Д3182 |
Стандартная практика для каучуков. Материалы, оборудование и процедуры приготовления стандартных смесей и подготовка стандартных вулканизованных пластин |
|
(ASTM D3182) |
(Standard practice for rubber - Materials, equipment, and procedures for mixing standard compounds and preparing standard vulcanized sheets) | |
|
[9] |
АСТМ Д5289 |
Стандартный метод определения свойств каучуков. Вулканизация с использованием безроторных реометров |
|
(ASTM D5289) |
(Standard test method for rubber property - Vulcanization using rotorless curemeters) | |
|
[10] |
АСТМ Д412 |
Стандартные методы испытаний вулканизованной резины и термопластичных эластомеров. Растяжение |
|
(ASTM D412) |
(Standard test methods for vulcanized rubber and thermoplastic elastomers - Tension) |


