электронный сборник нормативных документов по строительству
Обновления
29.04.2026 22:53
электронный сборник нормативных документов по строительству

ГОСТ 26954-2019 ТЕХНИКА СЕЛЬСКОХОЗЯЙСТВЕННАЯ МОБИЛЬНАЯ. МЕТОД ОПРЕДЕЛЕНИЯ МАКСИМАЛЬНОГО НОРМАЛЬНОГО НАПРЯЖЕНИЯ В ПОЧВЕ

Введен в действие приказом Федерального агентства по техническому регулированию и метрологии от 23 октября 2019 г. N 1047-ст
Межгосударственный стандарт ГОСТ 26954-2019
"ТЕХНИКА СЕЛЬСКОХОЗЯЙСТВЕННАЯ МОБИЛЬНАЯ. МЕТОД ОПРЕДЕЛЕНИЯ МАКСИМАЛЬНОГО НОРМАЛЬНОГО НАПРЯЖЕНИЯ В ПОЧВЕ"

Agricultural mobile machinery. Method for determining maximum normal stress in soil


МКС 65.060.20
ОКПД2 28.30

Дата введения - 1 августа 2020 г.
Взамен ГОСТ 26954-86

Предисловие

Цели, основные принципы и общие правила проведения работ по межгосударственной стандартизации установлены ГОСТ 1.0 "Межгосударственная система стандартизации. Основные положения", ГОСТ 1.2 "Межгосударственная система стандартизации. Стандарты межгосударственные, правила и рекомендации по межгосударственной стандартизации. Правила разработки, принятия, обновления и отмены"

Сведения о стандарте

1 Разработан Федеральным государственным бюджетным научным учреждением "Федеральный научный агроинженерный центр ВИМ" (ФГБНУ ФНАЦ ВИМ)

2 Внесен Межгосударственным техническим комитетом по стандартизации МТК 284 "Тракторы и машины сельскохозяйственные"

3 Принят Межгосударственным советом по стандартизации, метрологии и сертификации (протокол от 30 сентября 2019 г. N 122-П)

За принятие проголосовали:

Краткое наименование страны по МК (ИСО 3166) 004-97

Код страны по МК (ИСО 3166) 004-9

Сокращенное наименование национального органа по стандартизации

Беларусь

BY

Госстандарт Республики Беларусь

Киргизия

KG

Кыргызстандарт

Россия

RU

Росстандарт

Таджикистан

TJ

Таджикстандарт

Узбекистан

UZ

Узстандарт

4 Приказом Федерального агентства по техническому регулированию и метрологии от 23 октября 2019 г. N 1047-ст межгосударственный стандарт ГОСТ 26954-2019 введен в действие в качестве национального стандарта Российской Федерации с 1 августа 2020 г.

5 Взамен ГОСТ 26954-86

1 Область применения

1.1 Настоящий стандарт распространяется на мобильную сельскохозяйственную технику - тракторы, комбайны, транспортные средства, сельскохозяйственные машины и другие виды техники, имеющие собственные движители, используемые на полях, лугах и пастбищах.

1.2 Стандарт устанавливает метод определения максимального нормального напряжения в почве, возникающего на глубине 0,5 м при проходе движителей по почвенному опорному основанию, для соблюдения норм максимального нормального напряжения в соответствии с ГОСТ 26955 (таблица 1).

Примечание - Экспериментально установлено, что значение напряжения является критическим на глубине 0,5 м, так как оказывает наибольшее влияние на развитие растений.

1.3 Стандарт не распространяется на технику, используемую на полевых дорогах и землях, непригодных для рекультивации.

2 Нормативные ссылки

В настоящем стандарте использованы нормативные ссылки на следующие стандарты:

ГОСТ 26953 Техника сельскохозяйственная мобильная. Методы определения воздействия движителей на почву

ГОСТ 26955 Техника сельскохозяйственная мобильная. Нормы воздействия движителей на почву

Примечание - При пользовании настоящим стандартом целесообразно проверить действие ссылочных стандартов и классификаторов на официальном интернет-сайте Межгосударственного совета по стандартизации, метрологии и сертификации (www.easc.by) или по указателям национальных стандартов, издаваемым в государствах, указанных в предисловии, или на официальных сайтах соответствующих национальных органов по стандартизации. Если на документ дана недатированная ссылка, то следует использовать документ, действующий на текущий момент, с учетом всех внесенных в него изменений. Если заменен ссылочный документ, на который дана датированная ссылка, то следует использовать указанную версию этого документа. Если после принятия настоящего стандарта в ссылочный документ, на который дана датированная ссылка, внесено изменение, затрагивающее положение, на которое дана ссылка, то это положение применяется без учета данного изменения. Если ссылочный документ отменен без замены, то положение, в котором дана ссылка на него, применяется в части, не затрагивающей эту ссылку.

3 Метод определения максимального нормального напряжения в почве

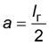
3.1 Максимальное нормальное напряжение, возникающее в почве (δh) в килопаскалях на глубине h = 0,5 м, для каждого единичного движителя вычисляют по формуле

image001.jpg,

(1)

где h - глубина опорного основания, по которому перемещается движитель, м;

а - 1/2 длины площади контакта, м;

b - 1/2 ширины площади контакта, м;

q̅ - среднее давление единичного движителя, кПа.

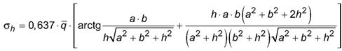
3.2 При определении максимального нормального напряжения в почве для одиночной шины колесного движителя:

величину а вычисляют по формуле

image002.jpg,

(2)

где Fкп - приведенная площадь контакта шины колеса с почвой, определяемая по ГОСТ 26953, м2;

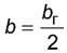
величину b вычисляют по формуле

image003.jpg,

(3)

где bк - ширина отпечатка контакта шины, определяемая по ГОСТ 26953, м.

Среднее давление единичного колесного движителя на почву (q = q̅k) определяют по ГОСТ 26953.

3.3 При определении максимального нормального напряжениям в почве под сдвоенным или большим числом шин колесного движителя, смонтированных на правой или левой стороне одной оси, а вычисляют по формуле для каждой шины отдельно, если расстояния между продольными осями каждой пары смежных шин bo равно или более суммы ширины этих же пар шин (bk1 + bk2 или bk2 + bk3 и т.д.), величину а вычисляют по формуле

image004.jpg,

(4)

где bki - ширина отпечатка i-й шины, м;

nш - число шин на правой или левой стороне одной оси;

Fкпi - площадь отпечатка i-й шины, м2.

При bo одной смежной пары шин, равной или более суммы ширины этих же пар шин, а другой смежной пары шин - менее суммы ширины этих же пар шин а вычисляют соответственно для первой пары шин по формуле (2), для второй пары шин - по формуле (4).

3.3.1 Величину b в метрах вычисляют по формуле (3) для каждой шины отдельно, если bo каждой пары смежных шин равно или более суммы ширины этих же пар шин.

Если bo между каждой парой смежных менее суммы ширины этих же пар шин, величину b вычисляют по формуле

image005.jpg.

(5)

При bo одной смежной пары шин, равной или более суммы ширины этих же пар шин, а другой смежной пары шин - менее суммы ширины этих же пар шин, величину b вычисляют соответственно для первой пары шин по формуле (3), для второй пары шин - по формуле (5).

3.3.2 Среднее давление колесного движителя на почву определяют по п. 3.3 для каждой шины отдельно, если bo каждой смежной пары шин равно или более суммы ширины этих же пар шин.

Если bo каждой смежной пары шин менее суммы ширины этих же пар шин, величину q̅ вычисляют по формуле

image006.jpg,

(6)

где q̅ki - среднее давление i-й шины на почву, кПа, определяемое по ГОСТ 26953.

3.4 При определении максимального нормального напряжения в почве под единичным гусеничным движителем величину а в метрах вычисляют по формуле

image007.jpg,

(7)

где lг - приведенная длина опорной поверхности гусеницы, определяемая по ГОСТ 26953, м.

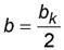
Величину b вычисляют по формуле

image008.jpg,

(8)

где bг - ширина гусеницы, определяемая по ГОСТ 26953, м.

Среднее давление единичного гусеничного движителя на почву определяют по ГОСТ 26953.

q̅=q̅г·Kз,

(9)

где q̅г - среднее давление гусеничного движителя на почву, кПа, определяемое по ГОСТ 26953;

Кз - коэффициент заполнения проекции контакта гусеницы с почвой, определяемый по ГОСТ 26953.

Последние добавленные документы

Яндекс.Метрика