Введен в действие постановлением Государственного комитета РФ по стандартизации, метрологии и сертификации от 9 декабря 1997 г. N 402
Межгосударственный стандарт ГОСТ 22772.3-96 (ИСО 312-86)
"РУДЫ МАРГАНЦЕВЫЕ, КОНЦЕНТРАТЫ И АГЛОМЕРАТЫ. МЕТОДЫ ОПРЕДЕЛЕНИЯ ДВУОКИСИ МАРГАНЦА"
Manganese ores, concentrates and agglomerates. Methods for determination of manganese dioxide
МКС 73.060
А39
ОКСТУ 0730
Дата введения - 1 января 1999 г.
Взамен ГОСТ 22772.3-77
Предисловие
1 Разработан МТК 147, Институтом стандартных образцов (ИСО ЦНИИчермет)
Внесен Госстандартом России
2 Принят Межгосударственным Советом по стандартизации, метрологии и сертификации (протокол N 9-96 от 12.04.96)
За принятие проголосовали:
|
Наименование государства
|
Наименование национального органа по стандартизации
|
|
Азербайджанская Республика
|
Азгосстандарт
|
|
Республика Армения
|
Армгосстандарт
|
|
Республика Белоруссия
|
Госстандарт Белоруссии
|
|
Грузия
|
Грузстандарт
|
|
Республика Казахстан
|
Госстандарт Республики Казахстан
|
|
Киргизская Республика
|
Киргизстандарт
|
|
Республика Молдова
|
Молдовастандарт
|
|
Российская Федерация
|
Госстандарт России
|
|
Республика Таджикистан
|
Таджикгосстандарт
|
|
Туркменистан
|
Главная государственная инспекция Туркменистана
|
|
Украина
|
Госстандарт Украины
|
3 Приложение А настоящего стандарта представляет собой полный аутентичный текст международного стандарта ИСО 312-86 "Руды марганцевые. Определение содержания активного кислорода в виде двуокиси марганца. Титриметрический метод"
4 Постановлением Государственного комитета Российской Федерации по стандартизации, метрологии и сертификации от 9 декабря 1997 г. N 402 межгосударственный стандарт ГОСТ 22772.3-96 (ИСО 312-86) введен в действие непосредственно в качестве государственного стандарта Российской Федерации с 1 января 1999 г.
5 Взамен ГОСТ 22772.3-77
1 Область применения
Настоящий стандарт распространяется на марганцевые руды, концентраты и агломераты и устанавливает титриметрические методы определения двуокиси марганца при массовой доле от 5 до 95 %, а также метод определения по международному стандарту ИСО 312 (в соответствии с приложением А).
2 Нормативные ссылки
В настоящем стандарте использованы ссылки на следующие стандарты:
ГОСТ 83-79 Натрий углекислый. Технические условия
ГОСТ 4204-77 Кислота серная. Технические условия
ГОСТ 4208-72 Соль закиси железа и алюминия двойная сернокислая (соль Мора). Технические условия
ГОСТ 4220-75 Калий двухромовокислый. Технические условия
ГОСТ 4463-76 Натрий фтористый. Технические условия
ГОСТ 4518-75 Аммоний фтористый. Технические условия
ГОСТ 5839-77 Натрий щавелевокислый. Технические условия
ГОСТ 6552-80 Кислота ортофосфорная. Технические условия
ГОСТ 16598-80 Руды марганцевые, концентраты и агломераты. Метод отбора и подготовки проб для химического анализа и определения содержания влаги
ГОСТ 20490-75 Калий марганцовокислый. Технические условия
ГОСТ 22772.0-96 Руды марганцевые, концентраты и агломераты. Общие требования к методам химического анализа
3 Общие требования
Общие требования к методам анализа - по ГОСТ 22772.0.
4 Титриметрический метод определения двуокиси марганца восстановлением щавелевокислым натрием
Метод основан на восстановлении в процессе растворения двуокиси марганца, содержащейся в пробе, эквивалентным количеством щавелевокислого натрия и титровании избытка последнего раствором марганцовокислого калия.
4.1 Аппаратура и реактивы
Натрий фтористый по ГОСТ 4463 или аммоний фтористый по ГОСТ 4518.
Натрий щавелевокислый по ГОСТ 5839.
Кислота серная по ГОСТ 4204, разбавленная 1:7.
Калий марганцовокислый по ГОСТ 20490, титрованный раствор 12 г/дм3, приготовленный следующим образом: 12 г марганцовокислого калия растворяют в 1 дм3 воды. Раствор оставляют на 6 сут, затем сливают через сифон в банку из темного стекла.
Массовую концентрацию титрованного раствора марганцовокислого калия устанавливают по щавелевокислому натрию или по стандартному образцу.
Массовую концентрацию раствора марганцовокислого калия по щавелевокислому натрию устанавливают следующим образом: навеску щавелевокислого натрия массой 1,0000 г, высушенного при 105-110 °С до постоянной массы, помещают в коническую колбу вместимостью 250 см3, приливают 100 см3 серной кислоты, разбавленной 1:7, нагревают до 85-90 °С и титруют раствором марганцовокислого калия до появления розовой окраски, сохраняющейся в течение 20 с.
Массовую концентрацию С раствора марганцовокислого калия в граммах двуокиси марганца на кубический сантиметр, установленную по щавелевокислому натрию, рассчитывают по формуле
,
где m - масса навески щавелевокислого натрия, г;
V - объем раствора марганцовокислого калия, израсходованный на титрование, см3;
0,6487 - коэффициент пересчета щавелевокислого натрия на двуокись марганца.
Массовую концентрацию раствора марганцовокислого калия по стандартному образцу устанавливают следующим образом: навеску марганцевой руды, концентрата или агломерата с содержанием двуокиси марганца, близким к содержанию ее в анализируемой пробе, относящемуся к тому же типу руды, проводят через все стадии анализа в соответствии с 4.2.
Массовую концентрацию С раствора марганцовокислого калия в граммах двуокиси марганца на кубический сантиметр, установленную по стандартному образцу, рассчитывают по формуле
,
где А - массовая доля двуокиси марганца в стандартном образце, %;
m - масса навески стандартного образца, г;
V - объем раствора марганцовокислого калия, израсходованный на титрование раствора контрольного опыта, см3;
V1 - объем раствора марганцовокислого калия, израсходованный на титрование избытка щавелевокислого натрия в растворе стандартного образца, см3.
4.2 Проведение анализа
4.2.1 Навеску пробы массой 0,5 г помещают в коническую колбу вместимостью 250 см3, в которую предварительно помещают 1,0000 г щавелевокислого натрия, и добавляют 0,5 г фтористого натрия или аммония (для труднорастворимых материалов). Приливают 100 см3 серной кислоты, разбавленной 1:7, нагретой до 60-70 °С. Содержимое колбы перемешивают, накрывают часовым стеклом, нагревают до 85-95 °С и выдерживают при этой температуре до исчезновения темноокрашенных частиц, поддерживая постоянный объем раствора добавлением теплой воды.
Горячий раствор (85-90 °С), содержащий избыток щавелевокислого натрия, быстро титруют раствором марганцовокислого калия до появления розовой окраски, сохраняющейся в течение 20 с.
4.2.2 Контрольный опыт проводят следующим образом: в коническую колбу вместимостью 250 см3 помещают 0,5 г фтористого натрия или аммония (если они используются при разложении пробы), 1,0000 г щавелевокислого натрия, приливают 100 см3 серной кислоты, разбавленной 1:7, нагревают до 85-90 °С и титруют раствором марганцовокислого калия до появления розовой окраски, сохраняющейся в течение 20 с.
4.3 Обработка результатов
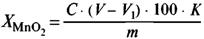
4.3.1 Массовую долю двуокиси марганца
в процентах рассчитывают по формуле
,
где С - массовая концентрация раствора марганцовокислого калия по двуокиси марганца, г/см3;
V - объем раствора марганцовокислого калия, израсходованный на титрование раствора контрольного опыта, см3;
V1 - объем раствора марганцовокислого калия, израсходованный на титрование избытка щавелевокислого натрия в анализируемом растворе, см3;
m - масса навески пробы, г;
K - коэффициент пересчета массовой доли двуокиси марганца на массовую долю ее в сухом материале (см. ГОСТ 22772.0).
4.3.2 Нормы точности и нормативы контроля точности определения массовой доли двуокиси марганца должны соответствовать указанным в таблице.
В процентах
|
Массовая доля двуокиси марганца
|
Δ
|
d2
|
d3
|
dк
|
δ
|
|
От 5 до 10
|
0,10
|
0,10
|
0,12
|
0,12
|
0,06
|
|
Св. 10 " 20
|
0,2
|
0,2
|
0,3
|
0,3
|
0,1
|
|
" 20 " 50
|
0,3
|
0,3
|
0,4
|
0,4
|
0,2
|
|
" 50 " 95
|
0,4
|
0,4
|
0,5
|
0,5
|
0,3
|
5 Титриметрический метод определения двуокиси марганца восстановлением сернокислой солью двухвалентного железа
Метод основан на восстановлении в процессе растворения двуокиси марганца, содержащейся в анализируемой пробе, эквивалентным количеством двойной сернокислой соли закиси железа-аммония и титровании избытка последней раствором двухромовокислого калия в присутствии индикатора дифениламинсульфоната натрия.
5.1 Аппаратура и реактивы
Натрий фтористый по ГОСТ 4463 или аммоний фтористый по ГОСТ 4518.
Натрий углекислый по ГОСТ 83.
Кислота серная по ГОСТ 4204, разбавленная 1:7.
Кислота ортофосфорная по ГОСТ 6552, разбавленная 1:1.
Соль закиси железа и аммония, двойная сернокислая (соль Мора) по ГОСТ 4208, раствор 60 г/дм3: 60 г двойной сернокислой соли закиси железа и аммония растворяют в 1 дм3 серной кислоты, разбавленной 1:7.
Калий двухромовокислый по ГОСТ 4220. Реактив квалификации "х.ч." или "ч.д.а.", используемый для приготовления стандартного раствора, перекристаллизовывают следующим образом: 100 г двухромовокислого калия растворяют в 100 см3 воды, нагревая до кипения. Энергично перемешивая, раствор выливают тонкой струей в фарфоровую чашку для получения мелких кристаллов. Охлаждают чашку с раствором холодной водой и выпавшие кристаллы отфильтровывают с отсасыванием на воронке с пористой пластинкой, сушат 2-3 ч при 100-105 °С, растирают в порошок и окончательно высушивают при 180-200 °С в течение 10-12 ч. Реактив квалификации "ч.д.а." перекристаллизовывают 2 раза.
Стандартный раствор двухромовокислого калия: 9,8072 г двухромовокислого калия, перекристаллизованного и высушенного при 180-200 °С до постоянной массы, растворяют в 100 см3 воды, раствор переливают в мерную колбу вместимостью 1000 см3, доливают водой до метки и перемешивают.
1 см3 раствора двухромовокислого калия соответствует 0,008693 г двуокиси марганца.
Титрованный раствор двухромовокислого калия готовят аналогично из неперекристаллизованной соли. Массовую концентрацию титрованного раствора двухромовокислого калия устанавливают по стандартному образцу марганцевой руды, концентрата или агломерата с содержанием двуокиси марганца, близким к содержанию ее в анализируемой пробе, относящемуся к тому же типу руды и проведенному через все стадии анализа в соответствии с 5.2.
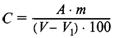
Массовую концентрацию С раствора двухромовокислого калия в граммах двуокиси марганца на кубический сантиметр, установленную по стандартному образцу, рассчитывают по формуле
,
где А - массовая доля двуокиси марганца в стандартном образце, %;
m - масса навески стандартного образца, г;
V - объем раствора двухромовокислого калия, израсходованный на титрование раствора контрольного опыта, см,
V1 - объем раствора двухромовокислого калия, израсходованный на титрование избытка соли Мора в растворе стандартного образца, см3.
Дифениламин-4-сульфокислоты натриевая соль (дифениламинсульфонат натрия), индикатор, водный раствор 0,8 г/дм3.
5.2 Проведение анализа
5.2.1 Навеску пробы массой 0,25 г помещают в коническую колбу вместимостью 250 см3, прибавляют 0,5 г фтористого натрия или аммония (для труднорастворимых материалов) и 1 г углекислого натрия. Из бюретки приливают 50 см3 раствора соли Мора, затем прибавляют 20 см3 серной кислоты, разбавленной 1:7. Небольшими порциями добавляют еще 1 г углекислого натрия, накрывают колбу часовым стеклом и нагревают содержимое колбы до исчезновения темноокрашенных частиц.
Содержимое колбы охлаждают, приливают 20 см3 ортофосфорной кислоты, разбавленной 1:1, 2 см3 раствора дифениламинсульфоната натрия, разбавляют водой до 150 см3 и титруют избыток соли Мора раствором двухромовокислого калия до появления устойчивой сине-фиолетовой окраски.
5.2.2 Контрольный опыт проводят следующим образом: в коническую колбу вместимостью 250 см3 помещают 0,5 г фтористого натрия или аммония (если они используются при разложении пробы), 1 г углекислого натрия, из бюретки при перемешивании приливают 50 см3 раствора соли Мора и приливают 20 см3 серной кислоты, разбавленной 1:7. Затем небольшими порциями прибавляют еще 1 г углекислого натрия, накрывают колбу часовым стеклом и нагревают раствор до кипения. Раствор охлаждают, приливают 20 см3 ортофосфорной кислоты, разбавленной 1:1, 2 см3 раствора дифениламинсульфоната натрия, разбавляют водой до 150 см3 и титруют соль Мора раствором двухромовокислого калия до появления устойчивой сине-фиолетовой окраски.
5.3 Обработка результатов
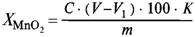
5.3.1 Массовую долю двуокиси марганца
в процентах рассчитывают по формуле
,
где С - массовая концентрация раствора двухромовокислого калия по двуокиси марганца, г/см3;
V - объем раствора двухромовокислого калия, израсходованный на титрование раствора контрольного опыта, см3;
V1 - объем раствора двухромовокислого калия, израсходованный на титрование избытка соли Мора в анализируемом растворе, см3;
m - масса навески пробы, г;
K - коэффициент пересчета массовой доли двуокиси марганца на массовую долю ее в сухом материале.
5.3.2 Нормы точности и нормативы контроля точности определения массовой доли двуокиси марганца указаны в таблице (4.3.2).
Приложение А *
(рекомендуемое)
──────────────────────────────
*Применяют при экспортно-импортных поставках.
──────────────────────────────
Руды марганцевые. Определение содержания активного кислорода в виде двуокиси марганца. Титриметрический метод
(ИСО 312-86)
1 Назначение и область применения
Настоящий стандарт устанавливает титриметрический метод определения содержания активного кислорода, выраженного в виде двуокиси марганца, в марганцевых рудах и концентратах с восстановлением сернокислой солью железа (II) - аммония.
2 Ссылки
ИСО 4296-1-84 Руды марганцевые. Отбор проб. Часть 1. Отбор единичной пробы
ИСО 4296-2-83 Руды марганцевые. Отбор проб. Часть 2. Приготовление проб
ИСО 4297-78 (ГОСТ 22772.0-96) Руды и концентраты марганцевые. Методы химического анализ. Общие правила проведения
3 Сущность метода
Растворение навески в избытке титрованного сернокислого раствора двойной сернокислой соли железа (II) - аммония с одновременным восстановлением двуокиси марганца, содержащейся в анализируемой пробе. Обратное титрование избытка двойной сернокислой соли железа (II) - аммония раствором двухромовокислого калия в присутствии дифениламинсульфоната натрия как индикатора.
4 Реактивы
4.1 Кислота фосфорная плотностью 1,7 г/см3.
4.2 Железа (II) - аммония двойная сернокислая соль, раствор 60 г/дм3: 60 г двойной сернокислой соли железа (II) - аммония растворяют в серной кислоте, разбавленной 1:7, и доводят этой же кислотой до 1 дм3.
4.3 Калий двухромовокислый, стандартный раствор 8,780 г/дм3.
4.3.1 Приготовление раствора
8,780 г двухромовокислого калия, перекристаллизованного и высушенного при температуре от 180 до 200 °С, растворяют в 100 см3 воды, переносят в мерную колбу вместимостью 1 дм3, доводят водой до метки и перемешивают.
4.3.2 Стандартизация раствора
Отбирают три навески стандартного образца марганцевой руды или концентрата, близкое по содержанию двуокиси марганца к анализируемой пробе, и проводят через все стадии анализа (7.4).
Титр раствора двухромовокислого калия по двуокиси марганца Т в граммах на кубический сантиметр рассчитывают по формуле
,
где В - содержание двуокиси марганца в стандартном образце, % по массе;
m - масса навески стандартного образца, г;
V - объем раствора двухромовокислого калия, израсходованный на титрование, см3. За титр принимают среднее арифметическое результатов трех определений.
4.4 Натрия дифениламинсульфонат (C6H5NHC6H4·SO3Na), раствор 0,8 г/дм3.
Растворяют 0,8 г дифениламинсульфоната натрия в небольшом объеме воды и разбавляют водой до 1 дм3. Раствор хранят в банке из темного стекла.
5 Аппаратура
Обычное лабораторное оборудование и
5.1 Колба коническая вместимостью 300 см3, закрытая пробкой с двумя выводными трубками (см. рисунок).
Установка для определения двуокиси марганца

1 - углекислый газ; 2 - промывная склянка с раствором меди (50 г/дм3); 3 - промывная склянка с водой; 4 - коническая колба (5.1); 5 - плита для нагревания
5.2 Источник углекислого газа.
6 Проба
Отбор проб марганцевых руд проводят в соответствии с ИСО 4296-1 (см. ГОСТ 16598); приготовление проб - в соответствии с ИСО 4296-2 (см. ГОСТ 16598).
Анализируемую пробу измельчают до размера частиц менее 100 мкм (контролируют просеиванием через сито соответствующего размера) и высушивают на воздухе в лабораторных условиях.
7 Выполнение определения
7.1 Навеска пробы
Взвешивают навеску пробы массой 0,25 г в коническую колбу (5.1).
7.2 Число определений
Число определений в соответствии с ИСО 4297 (ГОСТ 22772.0).
7.3 Контрольный опыт
Через все стадии анализа проводят контрольный опыт.
7.4 Разложение навески
В коническую колбу, содержащую навеску (7.1), прибавляют 50 см3 раствора двойной сернокислой соли железа (II) - аммония (4.2). Закрывают колбу пробкой и пропускают через нее углекислый газ, тщательно перемешивают и, не прекращая подачи углекислого газа, нагревают содержимое колбы да полного растворения навески (до исчезновения темноокрашенных частиц).
Колбу с раствором охлаждают, не прекращая подачи углекислого газа, открывают, добавляют 10 см3 фосфорной кислоты (4.1), 2 см3 раствора дифениламинсульфоната натрия (4.4), разбавляют холодной водой, из которой путем кипячения удален воздух, до 150 см3 и оттитровывают избыток двойной сернокислой соли железа (II) - аммония раствором двухромовокислого калия (4.3) до появления устойчивой сине-фиолетовой окраски.
8 Выражение результатов
8.1 Расчет
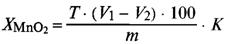
Массовую долю активного кислорода
в процентах (по массе) рассчитывают по формуле
,
где Т - титр стандартного раствора двухромовокислого калия (см. 4.3.2);
V1 - объем стандартного раствора двухромовокислого калия, израсходованный на титрование раствора контрольного опыта, см3;
V2 - объем стандартного раствора двухромовокислого калия, израсходованный на титрование избытка раствора двойной сернокислой соли железа (II) - аммония, см3;
m - масса навески пробы, г;
K - коэффициент пересчета содержания активного кислорода на содержание его в сухом материале.
8.2 Допускаемые расхождения между результатами параллельных определений не должны превышать указанных в таблице.
|
Массовая доля активного кислорода *, %
|
Допускаемые расхождения, % по массе
|
|
Три параллельных определения
|
Два параллельных определения
|
|
До 50
|
0,30
|
0,25
|
|
От 50 до 70
|
0,40
|
0,34
|
|
Св. 70 " 90
|
0,50
|
0,40
|
|
* Условно выраженная в виде двуокиси марганца.
|