электронный сборник нормативных документов по строительству
Обновления
22.04.2026 11:17
электронный сборник нормативных документов по строительству

ГОСТ 22567.14-93 СРЕДСТВА МОЮЩИЕ СИНТЕТИЧЕСКИЕ. ВЕЩЕСТВА ПОВЕРХНОСТНО-АКТИВНЫЕ И МЫЛА. МЕТОДЫ ОПРЕДЕЛЕНИЯ МАССОВОЙ ДОЛИ ВОДЫ

Введен в действие постановлением Комитета РФ по стандартизации, метрологии и сертификации от 10 октября 1995 г. N 532
Межгосударственный стандарт ГОСТ 22567.14-93
"СРЕДСТВА МОЮЩИЕ СИНТЕТИЧЕСКИЕ. ВЕЩЕСТВА ПОВЕРХНОСТНО-АКТИВНЫЕ И МЫЛА. МЕТОДЫ ОПРЕДЕЛЕНИЯ МАССОВОЙ ДОЛИ ВОДЫ"

Synthetic detergents, surface active agents and soaps. Methods for determination of water mass fraction

ОКС 71.040.40
У29
ОКСТУ 2309

Дата введения - 1 января 1996 г.
Взамен ГОСТ 22567.14-84

Предисловие

1 Разработан Техническим комитетом по стандартизации ТК 113 "Синтетические моющие средства" (ВНИИХИМПРОЕКТом)

Внесен Госстандартом Украины

2 Принят Межгосударственным Советом по стандартизации, метрологии и сертификации (протокол N 4-93 от 21 октября 1993 г.)

За принятие проголосовали:

Наименование государства

Наименование национального органа по стандартизации

Азербайджанская Республика

Азгосстандарт

Республика Армения

Армгосстандарт

Республика Беларусь

Белстандарт

Республика Грузия

Грузстандарт

Республика Казахстан

Госстандарт Республики Казахстан

Республика Молдова

Молдовастандарт

Российская Федерация

Госстандарт России

Туркменистан

Туркменглавгосинспекция

Республика Узбекистан

Узгосстандарт

Украина

Госстандарт Украины

3 Разделы 1-9 настоящего стандарта представляют собой полный аутентичный текст международного стандарта ИСО 4318-89 "Вещества поверхностно-активные и мыла. Определение содержания воды методом азеотропной перегонки"

4 Постановлением Комитета Российской Федерации по стандартизации, метрологии и сертификации от 10 октября 1995 г. N 532 межгосударственный стандарт ГОСТ 22567.14-93 введен в действие непосредственно в качестве государственного стандарта Российской Федерации с 1 января 1996 г.

5 Взамен ГОСТ 22567.14-84

1 Назначение и область применения

Настоящий стандарт устанавливает метод азеотропной перегонки для определения содержания воды в поверхностно-активных веществах и мылах. В полученный результат входит содержание летучих веществ, растворимых в воде, но нерастворимых в ксилоле или нефти.

Метод распространяется на продукты в виде порошков с содержанием воды более 5 %, а также в виде паст и растворов. И метод не распространяется на пробы, содержащие растворимые летучие вещества, например, этанол.

Так как для мыл нельзя получить результаты с точностью выше 0, 3 %, этот метод следует использовать только для мыл, содержащих ощутимые количества летучих веществ, нерастворимых в воде. Данный метод рекомендуется также использовать для мыл, приготовленных с применением льняного масла или других осушающих масел, и для некоторых мыл, содержащих, например, силикат натрия.

Метод азеотропной перегонки применяется только в том случае, когда это указано в конкретном стандарте для каждого продукта.

2 Нормативные ссылки

В настоящем стандарте использованы ссылки на следующие стандарты:

ГОСТ 790-89 Мыло хозяйственное твердое и мыло туалетное. Правила приемки и методы испытаний.

ГОСТ 1594-69 Аппараты для количественного определения содержания воды в нефтяных, пищевых и других продуктах. Технические условия.

ГОСТ 8682-93 Посуда и оборудование лабораторные стеклянные. Конусы взаимозаменяемые. Основные размеры, технические требования, методы испытаний и маркировка.

ГОСТ 14870-77 Продукты химические. Методы определения воды.

ГОСТ 22567.1-77 Средства моющие синтетические. Метод определения пенообразующей способности.

ГОСТ 22567.9-87 Средства моющие синтетические. Метод определения содержания карбоната и бикарбоната натрия.

ГОСТ 22567.10-93 Средства моющие синтетические. Метод определения содержания надборнокислого натрия (пербората натрия).

ГОСТ 24104-88 Весы лабораторные общего назначения и образцовые. Общие технические условия.

ГОСТ 25336-82 Посуда и оборудование лабораторные стеклянные. Типы, основные параметры и размеры.

ГОСТ 30024-93 (ИСО 607-80) Вещества поверхностно-активные и средства моющие синтетические. Методы деления пробы.

3 Принцип метода

Азеотропная перегонка воды в испытуемом образце вместе с кипящим ксилолом или нефтью.

4 Реактивы

Для анализа используют только реактивы марки ч.д.а.

ПРЕДУПРЕЖДЕНИЕ. Ксилол - токсичный растворитель, поэтому следует соблюдать правила безопасности при работе с ядовитыми растворителями.

4.1 Ксилол (каждый из изомеров или смесь изомеров в любом соотношении) пределы кипения (130-140) °С, или

4.2 Нефть, пределы кипения (180-220) °С.

5 Приборы

Обычные лабораторные приборы и аппарат для перегонки, состоящий из следующих частей:

5.1 Колба вместимостью 500 см3 со стеклянным шлифовым соединением по ГОСТ 8682.

5.2 Приемный цилиндр с делениями вместимостью 2 или 10 см3 (приемник Дина-Старка). Интервал между делениями и его допустимое отклонение для приемного цилиндра с делениями должны быть:

- деление через 0, 1 см3, максимальное отклонение 0, 05 см3. Интервал между делениями и его допустимое отклонение для приемного цилиндра вместимостью 10 см3 должны быть после 1 см3;

- деления через 0, 2 см3, максимальное отклонение 0, 1 см3.

5.3 Дефлегматор, соединяемый с колбой в соответствии с 5.1 и приемным цилиндром в соответствии с 5.2.

Перед использованием следует удалить все следы жирных веществ с приемного цилиндра с делениями соответственно 5.2 и с внутренней трубки дефлегматора в соответствии с 5.3, промыванием их последовательно, например, смесью хромовой и серной кислот, дистиллированной водой и ацетоном.

Затем необходимо их высушить. Идеальная чистота аппарата существенна для успешного проведения испытания.

6 Отбор пробы

Лабораторную пробу поверхностно-активного вещества или мыла необходимо приготовить и хранить в соответствии с инструкциями, приведенными в ГОСТ 30024.

7 Методика

ПРЕДУПРЕЖДЕНИЕ. Эта методика должна выполняться в вытяжном шкафу, чтобы исключить воздействие на работающих в лаборатории токсичных паров ксилола, если используется ксилол, а не нефть.

7.1 Навеска для испытания

(10-50) г лабораторной пробы взвешивают с точностью 0, 01 г в колбу в соответствии с 5.1, размер навески для испытания выбирают так, чтобы цилиндр с делениями согласно 5.2, был заполнен не менее чем на 50 % к концу испытания.

7.2 Определение

К навеске для испытания в соответствии с 7.1 добавляют (100-300) см3 ксилола в соответствии с 4.1 или нефти в соответствии с 4.2, и безводного агента, предотвращающего толчки при кипении, например, пемзу. Колбу соединяют с аппаратом.

Постепенно нагревают до кипения и кипятят до тех пор, пока отгоняющийся ксилол или нефть (флегма 2-3 капли/с), не станет прозрачным и не будет происходить дальнейшего разделения воды.

Если капли воды пристанут к стенке трубки, их следует отделять в процессе перегонки и после нее, например, их снимают проволочной спиралью и промывают 5 см3 ксилола или нефти.

Если отделению мешает пена, ее можно устранить добавив в колбу сухого парафина или олеиновой кислоты. Дают постоять до полного разделения воды, чтобы не оставалось эмульгированной зоны.

Определяют объем воды в градуированной пробирке при температуре 20 °С.

8 Выражение результатов

8.1 Метод расчета

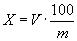
Массовую долю воды (Х), выраженную в процентах, определяют по формуле

image001.jpg,

где V - объем водного слоя в градуированной пробирке, см3;

m - масса навески для испытания, г в соответствии с 7.1.

8.2 Воспроизводимость

Различие между результатами, полученными для одной и той же пробы в двух различных лабораториях, не должно превышать 1 % (по массе).

9 Протокол испытания

Протокол испытания должен содержать следующее:

а) всю информацию, необходимую для полной идентификации пробы;

б) используемый метод (ссылку на настоящий стандарт);

в) полученные результаты и способ их выражения;

г) подробности любых операций, не предусмотренных настоящим стандартом или международными стандартами, на которые сделаны ссылки, и операции, которые можно рассматривать как произвольные, а также любые случайности, которые могли оказать влияние на полученный результат.

Указанный метод может применяться для определения массовой доли воды в синтетических моющих средствах.

Допускается проводить определение воды в порошкообразных и пастообразных синтетических моющих средствах по методам, отражающим потребности народного хозяйства, изложенным в приложении А.

Приложение А
(обязательное)

Определение воды в порошкообразных и пастообразных синтетических моющих средствах методом высушивания и методом отгонки с органическим растворителем

Метод высушивания основан на высушивании пробы испытуемого моющего средства до постоянной массы при температуре (103 ± 2) °С и распространяется на порошкообразные синтетические моющие средства, не содержащие термонестабильные добавки (перборат натрия, перкарбонат натрия, бикарбонат натрия).

Метод отгонки с органическим растворителем (метод Дина-Старка) основан на измерении объема воды, которая выделяется из пробы испытуемого моющего средства, обработанной ксилолом, образующим азеотропную смесь с водой, и распространяется на все порошкообразные и пастообразные синтетические моющие средства.

1 Метод отбора проб

1.1 Отбор проб - по ГОСТ 30024 или в соответствии с разд.1 ГОСТ 22567.1.

2 Аппаратура, материалы и реактивы

Весы лабораторные 2-го класса точности по ГОСТ 24104 с наибольшим пределом взвешивания 200 г и допускаемой погрешностью взвешивания не более 0, 75 мг.

Шкаф сушильный с температурой нагрева не менее 110 °С или термоизлучатель 3С-3, 500 Вт.

Эксикатор с осушителем.

Стаканы для взвешивания (бюксы) по ГОСТ 25336.

Часы.

Аппарат для количественного определения массовой доли воды в нефтяных, пищевых и других продуктах (АКОВ-10) по ГОСТ 1594.

3 Проведение испытания

3.1 Метод высушивания

В чистой, высушенной и доведенной до постоянной массы бюксе, взвешивают (2, 0 ± 0, 5) г испытуемого порошка (результат взвешивания в граммах записывают с точностью до третьего десятичного знака) и равномерно распределяют порошок на дне бюксы. С бюксы снимают крышку и помещают ее с образцом и крышкой в сушильный шкаф и сушат при температуре (103 ± 2) °С.

По окончании сушки бюксу с закрытой крышкой переносят в эксикатор и охлаждают до температуры (20 ± 5) °С. Первое взвешивание проводят после 2 ч высушивания, последующие - через каждые 30 мин. Постоянную массу считают достигнутой, если разница между двумя взвешиваниями не превышает 0, 005 г.

3.2 Метод отгонки с органическим растворителем (метод Дина-Старка)

Массовую долю воды в порошкообразных и пастообразных синтетических моющих средствах, содержащих термонестабильные добавки, определяют по ГОСТ 14870, раздел 4.

При этом масса навески испытуемого порошкообразного моющего средства должна составлять (25 ± 5) г, пастообразного моющего средства (10 ± 1) г. Результат взвешивания в граммах записывают с точностью до третьего десятичного знака.

В качестве растворителя используют ксилол в объеме (100-120) см3.

4 Обработка результатов

4.1 Массовую долю воды порошкообразных синтетических моющих средств, не содержащих термонестабильные добавки, (Х1) в процентах вычисляют по формуле

image002.jpg,

где m1 - масса высушенной пустой бюксы, г;

m2 - масса бюксы с испытуемым порошком до высушивания, г;

m3 - масса бюксы с испытуемым порошком после высушивания, г.

4.2 За результат испытания принимают среднее арифметическое результатов двух параллельных определений, абсолютное расхождение между которыми не превышает допускаемое расхождение, равное 0, 5 %. Допускаемая абсолютная суммарная погрешность результата испытания ± 0, 5 % при доверительной вероятности 0, 95 (Р = 0, 95).

4.3 Массовую долю воды порошкообразных синтетических моющих средств, содержащих перборат натрия, (Х2) в процентах вычисляют по формуле

image003.jpg,

где V - объем воды в приемнике, см3;

ρ - плотность воды, г/см3;

X3 - массовая доля пербората натрия в перерасчете на активный кислород, определенная по ГОСТ 22567.10, %;

3, 37 - коэффициент пересчета;

m - масса испытуемого порошка, г.

4.4 Массовую долю воды порошкообразных синтетических моющих средств, содержащих бикарбонат натрия, (Х4) в процентах вычисляют по формуле

image004.jpg,

где V1 - объем воды в приемнике, см3;

ρ - плотность воды, г/см3;

X5 - массовая доля бикарбоната натрия, определенная по ГОСТ 22567.9, %;

0, 11 - коэффициент пересчета;

m - масса испытуемого порошка, г.

4.5 Массовую долю воды порошкообразных и пастообразных синтетических моющих средств, содержащих перкарбонат натрия, (Х6) в процентах определяют по формуле

image005.jpg,

где V2 - объем воды в приемнике, см3;

ρ - плотность воды, г/см3;

X7 - массовая доля перкарбоната натрия в перерасчете на активный кислород, определенная по ГОСТ 22567.10, %;

1, 12 - коэффициент пересчета;

m2 - масса испытуемого порошка или пасты, г.

4.6 За результат испытания берут среднее арифметическое результатов двух параллельных определений, абсолютное расхождение между которыми не превышает допускаемое расхождение, равное 0, 85 %.

Допускаемая абсолютная суммарная погрешность результата испытания ± 1, 1 % при доверительной вероятности 0, 95.

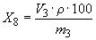
4.7 Массовую долю воды пастообразных синтетических моющих средств (X8) в процентах вычисляют по формуле

image006.jpg,

где V3 - объем воды в приемнике, см3;

ρ - плотность воды, г/см3;

m3 - масса испытуемой пасты, г.

4.8 За результат испытания берут среднее арифметическое результатов двух параллельных определений, абсолютное расхождение между которыми не превышает допускаемое расхождение, равное 0, 7 %. Допускаемая абсолютная суммарная погрешность результата испытания ± 1, 2 % при доверительной вероятности 0, 95 (Р = 0, 95).

Яндекс.Метрика