электронный сборник нормативных документов по строительству
Обновления
22.04.2026 11:17
электронный сборник нормативных документов по строительству

ГОСТ 22567.11-82 (09.07.1987) СРЕДСТВА МОЮЩИЕ СИНТЕТИЧЕСКИЕ. МЕТОД ОПРЕДЕЛЕНИЯ ОТБЕЛИВАЮЩЕЙ СПОСОБНОСТИ

Введен в действие постановлением Государственного комитета СССР по стандартам от 11 февраля 1982 г. N 573
Государственный стандарт Союза ССР ГОСТ 22567.11-82
"СРЕДСТВА МОЮЩИЕ СИНТЕТИЧЕСКИЕ. МЕТОД ОПРЕДЕЛЕНИЯ ОТБЕЛИВАЮЩЕЙ СПОСОБНОСТИ"

С изменениями:

(9 июля 1987 г.)

Synthetic detergents. Method for determination of whitening ability

ОКСТУ 2309

Группа У29

Срок действия установлен с 1 января 1983 г.

Настоящий стандарт распространяется на порошкообразные, пастообразные и жидкие синтетические моющие средства с кислородосодержащими химическими отбеливателями и устанавливает метод определения химической отбеливающей способности.

Сущность метода заключается в определении отношения прироста белизны ткани при отбеливании испытуемым моющим средством к приросту белизны такой же ткани при отбеливании раствором состава сравнения.

1. Метод отбора проб

1.1. Отбор проб - по ГОСТ 22567.1-77, разд. 1.

2. Аппаратура, материалы и реактивы

2.1. Для проведения испытания используют следующие аппаратуру, материалы и реактивы:

машину стиральную лабораторную типа "Линитест", "Скоуротестер" или "Лаундерометр";

электрофотометр типа "Лейкометр Цейсса" с источником освещения А "Эльрефо" или "Эльрефомат" с источником освещения Д-65 и ультрафиолетовым запирающим фильтром FL 40 или ФО-1;

весы лабораторные общего назначения по ГОСТ 24104-80 (3-го класса точности) с наибольшим пределом взвешивания 200 г;

секундомер 1-2 А по ГОСТ 5072-79;

термометр ТЛ-2 2-Б 2 по ГОСТ 215-73;

утюг электрический с терморегулятором по ГОСТ 307-81;

ножницы;

цилиндр 1-100; 1, 2-250; 1, 2-1000 по ГОСТ 1770-74;

колба 1, 2-1000-2 по ГОСТ 1770-74;

стакан В, Н-1-100, 600, 1000 ТС по ГОСТ 25336-82;

бумагу фильтровальную по ГОСТ 12026-76;

ткань хлопчатобумажная суровая расшлихтованная "перкаль А" арт. 7021 по ГОСТ 12125-66 (неотбеленная в условиях производства);

кальций хлористый обезвоженный, чистый;

линейный алкилбензолсульфонат натрия (сульфонол), содержащий 85-90 % активного вещества;

абзац исключен с 1 января 1988 г. - Изменение N 1

натрия триполифосфат по ГОСТ 13493-86, сорт высший;

натрий надборнокислый четырехводный (перборат натрия), сорт высший;

стекло натриевое жидкое по ГОСТ 13078-81;

воду дистиллированную по ГОСТ 6709-72;

ручку шариковую с синей пастой;

линейка измерительная металлическая по ГОСТ 427-75 с пределами измерения до 500 мм;

нитки белые.

3. Подготовка к испытанию

3.1. Для обработки 1 м ткани готовят 5000 см3 раствора, содержащего (10, 00 ± 0, 02) г линейного алкилбензолсульфоната натрия (в пересчете на 100 % основного вещества), (1, 00 ± 0, 02) г стекла натриевого жидкого (в пересчете на SiO2) и (12, 00 ± 0, 02) г натрия триполифосфата. Навески растворяют в (100-150) см3 водопроводной воды при температуре (50 ± 2) °С и количественно переносят в цилиндр вместимостью 1000 см3. Объем раствора доводят до метки водопроводной водой при температуре (20 ± 2) °С и перемешивают. Приготовленный раствор разбавляют водопроводной водой в соотношении 1:5.

3.2. Предварительная обработка ткани

Обработку ткани проводят при соотношении массы ткани и раствора (модуль ванны) 1:30.

В раствор для обработки ткани, приготовленный по п. 3.1, при температуре (40 ± 2) °С помещают 1 м ткани, доводят до кипения и кипятят 30 мин. После кипячения ткань прополаскивают два раза в теплой воде при температуре (40 ± 2) °С и один раз в холодной водопроводной воде при температуре (20 ± 2) °С и модуле ванны 1:30. Затем ткань проглаживают в расправленном состоянии между двумя листами фильтровальной бумаги.

3.3. Подготовка образцов ткани

Ткань после предварительной обработки разрезают на образцы размером 120 x (120 ± 2) мм и пронумеровывают шариковой ручкой или нитками. Измеряют коэффициенты отражения с использованием синего (Z) и красного (X) светофильтров электрофотометра, который настраивают в соответствии с инструкциями к нему. Коэффициенты отражения измеряют в четырех точках каждого образца по две точки с лицевой и изнаночной сторон в слое, состоящем не менее, чем из четырех образцов ткани.

3.4. Приготовление воды жесткостью 5, 35 мг·экв/дм3

Навеску хлористого кальция безводного массой (2, 97 ± 0, 02) г или соответствующее количество гидратов этой соли, растворяют в (150-200) см3 дистиллированной воды. Количественно переносят в мерную колбу или цилиндр вместимостью 1000 см3, доводят объем раствора до метки водой при температуре (20 ± 2) °С и перемешивают.

Полученный раствор разбавляют дистиллированной водой в соотношении 1:10.

3.5. Приготовление раствора испытуемого средства

Навеску моющего средства (порошкообразное средство предварительно измельчают, пастообразное и жидкое - перемешивают) (10, 00 ± 0, 02) г, помещают в стакан и растворяют в (100-150) см3 жесткой воды при температуре (50 ± 2) °С. Количественно переносят в мерную колбу или цилиндр вместимостью 1000 см3, доводят объем раствора до метки при температуре (20 ± 2) °С и перемешивают.

3.6. Приготовление раствора состава сравнения

Навески алкилбензолсульфоната натрия массой (2, 20 ± 0, 02) г, триполифосфата натрия массой (4, 00 ± 0, 02) г и пербората натрия (2, 00 ± 0, 02) г (в пересчете на 10 % содержания активного кислорода) растворяют одновременно в (150-200) см3 жесткой воды при температуре (50 ± 2) °С. Количественно переносят в колбу или цилиндр вместимостью 1000 см3, доводят объем раствора до метки при температуре (20 ± 2) °С и перемешивают.

4. Проведение испытания

4.1. В бак стиральной машины наливают дистиллированную воду до указанной отметки, устанавливают температуру на терморегуляторе (90 ± 2) °С и включают нагрев. В каждую банку стиральной машины помещают по пять шариков и наливают в две банки по 100 см3 раствора испытуемого средства и в две банки по 100 см3 раствора состава сравнения. Начальная температура растворов в банках перед отбеливанием должна быть (50 ± 2) °С.

В каждую банку опускают по одному нумерованному образцу ткани. Банки закрывают крышками и устанавливают в гнезда ротора. Включают мотор и отмечают время начала отбеливания, время проведения испытания - 30 мин.

После отбеливания образцы ткани прополаскивают дважды по 2 мин в жесткой воде с температурой (50 ± 2) и (25 ± 2) °С (0, 2 дм3 жесткой воды на один образец). Образцы проглаживают между двумя листами фильтровальной бумаги и измеряют коэффициент отражения по п. 3.3.

Проводят два параллельных испытания с приготовлением растворов из новых навесок в каждом случае.

При исследовательских испытаниях допускается проводить определение отбеливающей способности при любых температурах и концентрациях растворов, что должно быть отражено в протоколе испытаний.

5. Обработка результатов

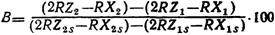
5.1. Отбеливающую способность испытуемого средства (В) в процентах вычисляют по формуле

image00fur.jpg,

где RZ2; RZ2s - среднее арифметическое значение 8 измерений коэффициента отражения образцов ткани с применением синего светофильтра после отбеливания испытуемым моющим средством и раствором состава сравнения;

RX2; RX2s - среднее арифметическое значение 8 измерений коэффициента отражения образцов ткани с применением красного светофильтра после отбеливания испытуемым моющим средством и раствором состава сравнения;

RZ1; RZ1s - среднее арифметическое значение 8 измерений коэффициента отражения образцов ткани с применением синего светофильтра от отбеливания испытуемым моющим средством и раствором состава сравнения;

RX1; RX1s - среднее арифметическое значение 8 измерений коэффициента отражения образцов ткани с применением красного светофильтра до отбеливания испытуемым моющим средством и раствором состава сравнения.

За окончательный результат принимают среднее арифметическое результатов двух параллельных испытаний. Расхождение между наиболее отличающимися значениями определений не должно превышать 5, 6 %.

Пределы допускаемого значения суммарной погрешности результата измерения ± 4 % при доверительной вероятности 0, 95.

5.2. Отбеливающую способность испытуемого моющего средства (ΔW) и стандартного моющего раствора (ΔWs) в процентах вычисляют по формуле

ΔW; ΔWs=W2-W1,

где W1 - белизна ткани до отбеливания, рассчитанная по формуле

W1=2RZ1-RX1;

W2 - белизна ткани после отбеливания, рассчитанная по формуле

W2=2RZ2-RX2,

где RZ1 - средний коэффициент отражения образца ткани до отбеливания, измеренный с использованием синего светофильтра;

RX1 - средний коэффициент отражения образца ткани до отбеливания, измеренный с использованием красного светофильтра;

RZ2 - средний коэффициент отражения образца ткани после отбеливания, измеренный с использованием синего светофильтра;

RX2 - средний коэффициент отражения образца ткани после отбеливания, измеренный с использованием красного светофильтра.

За окончательный результат испытаний принимают среднее арифметическое результатов четырех определений при двух параллельных испытаниях. Отклонение от среднего значения не должно превышать 5 %.

Яндекс.Метрика