ГОСТ 22985-2017 ГАЗЫ УГЛЕВОДОРОДНЫЕ СЖИЖЕННЫЕ. МЕТОД ОПРЕДЕЛЕНИЯ СЕРОВОДОРОДА, МЕРКАПТАНОВОЙ СЕРЫ И СЕРООКСИДА УГЛЕРОДА
Liquefied petroleum gases. Method for determination of hydrogen sulfide, mercaptan sulfur and carbon sulfoxide
МКС 75.160.30
Предисловие
Цели, основные принципы и основной порядок проведения работ по межгосударственной стандартизации установлены в ГОСТ 1.0-2015 "Межгосударственная система стандартизации. Основные положения" и ГОСТ 1.2-2015 "Межгосударственная система стандартизации. Стандарты межгосударственные, правила и рекомендации по межгосударственной стандартизации. Правила разработки, принятия, обновления и отмены"
Сведения о стандарте
1 Разработан Акционерным обществом "Волжский научно-исследовательский институт углеводородного сырья" (АО "ВНИИУС")
2 Внесен Федеральным агентством по техническому регулированию и метрологии
3 Принят Межгосударственным советом по стандартизации, метрологии и сертификации (протокол от 7 июня 2017 г. N 99-П)
За принятие проголосовали:
|
Краткое наименование страны по МК (ИСО 3166) 004-97 |
Код страны по МК (ИСО 3166) 004-97 |
Сокращенное наименование национального органа по стандартизации |
|
Армения |
AM |
Минэкономики Республики Армения |
|
Казахстан |
KZ |
Госстандарт Республики Казахстан |
|
Киргизия |
KG |
Кыргызстандарт |
|
Россия |
RU |
Росстандарт |
|
Украина |
UA |
Минэкономразвития Украины |
4 Приказом Федерального агентства по техническому регулированию и метрологии от 5 октября 2017 г. N 1329-ст межгосударственный стандарт ГОСТ 22985-2017 введен в действие в качестве национального стандарта Российской Федерации с 1 июля 2019 г.
5 Взамен ГОСТ 22985-90
Настоящий стандарт устанавливает метод определения сероводорода и меркаптановой серы при их массовой доле от 0, 0002 % до 2 % в сжиженных углеводородных газах (СУГ).
Настоящий стандарт можно использовать также для определения содержания серооксида углерода (карбонилсульфида) при массовой доле от 0, 0002 % до 0, 5 %, присутствующего одновременно с сероводородом и меркаптановой серой в сжиженных углеводородных газах (СУГ).
Сущность метода заключается в поглощении сероводорода и меркаптанов водным раствором гидроксида (гидроокиси) натрия (калия) или растворами карбоната натрия (углекислого натрия) и гидроксида (гидроокиси) натрия (калия); серооксида углерода (карбонилсульфида) - спиртовым раствором моноэтаноламина с последующим потенциометрическим титрованием полученных растворов азотнокислым аммиакатом серебра.
Примечание - Настоящий стандарт можно применять для анализа широкой фракции легких углеводородов (ШФЛУ), а также газов нефтепереработки. Настоящий стандарт не распространяется на сжиженный природный газ.
В настоящем стандарте использованы нормативные ссылки на следующие межгосударственные стандарты:
ГОСТ 12.0.004-2015 Система стандартов безопасности труда. Организация обучения безопасности труда. Общие положения
ГОСТ 12.1.005-88 Система стандартов безопасности труда. Общие санитарно-гигиенические требования к воздуху рабочей зоны
ГОСТ 12.1.007-76 Система стандартов безопасности труда. Вредные вещества. Классификация и общие требования безопасности
ГОСТ OIML R 76-1-2011 Государственная система обеспечения единства измерений. Весы неавтоматического действия. Часть 1. Метрологические и технические требования. Испытания
ГОСТ 83-79 Реактивы. Натрий углекислый. Технические условия
ГОСТ 84-76 Реактивы. Натрий углекислый 10-водный. Технические условия
ГОСТ 199-78 Реактивы. Натрий уксуснокислый 3-водный. Технические условия
ГОСТ 1277-75 Реактивы. Серебро азотнокислое. Технические условия
ГОСТ 1770-74 (ИСО 1042-83, ИСО 4788-80) Посуда мерная лабораторная стеклянная. Цилиндры, мензурки, колбы, пробирки. Общие технические условия
ГОСТ 3399-76 Трубки медицинские резиновые. Технические условия
ГОСТ 3760-79 Реактивы. Аммиак водный. Технические условия
ГОСТ 4232-74 Реактивы. Калий йодистый. Технические условия
ГОСТ 4234-77 Реактивы. Калий хлористый. Технические условия
ГОСТ 4328-77 Реактивы. Натрия гидроокись. Технические условия
ГОСТ 5789-78 Реактивы. Толуол. Технические условия
ГОСТ 6709-72 Вода дистиллированная. Технические условия
ГОСТ 9805-84 Спирт изопропиловый. Технические условия
ГОСТ 9932-75 Реометры стеклянные лабораторные. Технические условия
ГОСТ 10679-76 Газы углеводородные сжиженные. Метод определения углеводородного состава
ГОСТ 14920-79 Газ сухой. Метод определения компонентного состава
ГОСТ 14921-78 Газы углеводородные сжиженные. Методы отбора проб
ГОСТ 17299-78 Спирт этиловый технический. Технические условия
ГОСТ 17792-72 Электрод сравнения хлорсеребряный насыщенный образцовый 2-го разряда
ГОСТ 18300-87 Спирт этиловый ректификованный технический. Технические условия*
──────────────────────────────
* В Российской Федерации действует ГОСТ Р 55878-2013 "Спирт этиловый технический гидролизный ректификованный. Технические условия".
ГОСТ 24363-80 Реактивы. Калия гидроокись. Технические условия
ГОСТ 25336-82 Посуда и оборудование лабораторные стеклянные. Типы, основные параметры и размеры
ГОСТ 28498-90 Термометры жидкостные стеклянные. Общие технические требования. Методы испытаний
ГОСТ 29227-91 (ИСО 835-1-81) Посуда лабораторная стеклянная. Пипетки градуированные. Часть 1. Общие требования
ГОСТ 29251-91 (ИСО 385-1-84) Посуда лабораторная стеклянная. Бюретки. Часть 1. Общие требования
Примечание - При пользовании настоящим стандартом целесообразно проверить действие ссылочных стандартов в информационной системе общего пользования - на официальном сайте Федерального агентства по техническому регулированию и метрологии в сети Интернет или по ежегодному информационному указателю "Национальные стандарты", который опубликован по состоянию на 1 января текущего года, и по выпускам ежемесячного информационного указателя "Национальные стандарты" за текущий год. Если ссылочный стандарт заменен (изменен), то при пользовании настоящим стандартом следует руководствоваться заменяющим (измененным) стандартом. Если ссылочный стандарт отменен без замены, то положение, в котором дана ссылка на него, применяется в части, не затрагивающей эту ссылку.
При определении содержания сероводорода, меркаптановой серы и серооксида углерода в сжиженных углеводородных газах используют следующие средства измерений, оборудование, реактивы и материалы.
Пробоотборник по ГОСТ 14921.
Счетчик газовый барабанный (с жидкостным затвором) типа ГСБ-400, обеспечивающий измерение объема газа до 250 дм3/ч, класса точности 1.
Реометр типа РДС по ГОСТ 9932.
Потенциометр типа рН-150М, анализатор жидкости ЭКСПЕРТ-001 или другого типа с ручным, полуавтоматическим или автоматическим титрованием, с ценой деления шкалы не более 5 мВ, обеспечивающий измерение электродвижущей силы (ЭДС) в интервале от минус 1999 до плюс 1999 мВ с пределом допускаемой основной абсолютной погрешности от 1 до 3 мВ.
Примечание - При разногласиях в оценке качества применяют аппарат с ручным титрованием.
Весы лабораторные по ГОСТ OIML R 76-1:
- с максимальным пределом взвешивания 200 г, I и II класса точности и с пределом абсолютной допускаемой погрешности взвешивания не более ± 0, 02 г;
- с максимальным пределом взвешивания 500 и 2000 (5000) г, III класса точности и с пределом абсолютной допускаемой погрешности взвешивания не более ± 1 г.
Электрошкаф сушильный, обеспечивающий поддержание температуры от 105 °С до 110 °С.
Термометры жидкостные стеклянные типа А или Б диапазоном температур от 0 °С до 100 °С, с ценой деления 1 °С по ГОСТ 28498.
Секундомер 2-го класса точности.
Баня водяная.
Груша резиновая.
Посуда мерная лабораторная стеклянная по ГОСТ 1770:
- колбы 2-100-2; 2-1000-2;
- цилиндры 1-25-2 или 3-25-2; 1-50-2 или 3-50-2; 1-100-2 или 3-100-2; 1-250-2 или 3-250-2.
Бюретки вместимостью 1, 2 или 5 см3 по ГОСТ 29251.
Пипетки градуированные вместимостью 1, 2, 5, 10 см3 исполнения 1 или 2, класса точности 1 или 2 по ГОСТ 29227.
Посуда и оборудование лабораторные стеклянные по ГОСТ 25336:
- склянки для промывания газов типа СН и СВТ;
- стаканы СН-1-100, СН-1-200;
- стаканы Н-1-50, В-1-100, В-1-150, Н-1-250 ТС;
- воронки стеклянные типа В любого диаметра и высоты;
- воронки ВПр-1;
- колба 1-1000-29/32.
Электрод сульфидсеребряный марки ЭСС-01 по [1] или электрод ионоселективный марки ЭЛИТ-211 по [2].
Электрод сравнения хлорсеребряный насыщенный образцовый по ГОСТ 17792 или электрод вспомогательный марки ЭВЛ-1М3.1 по [3].
Мешалка электромагнитная.
Трубки резиновые медицинские по ГОСТ 3399, полихлорвиниловые или полиэтиленовые диаметром 8-10 мм.
Серебро азотнокислое квалификации х. ч. или ч. д. а. по ГОСТ 1277.
Аммиак водный квалификации ч. д. а. по ГОСТ 3760.
Калий йодистый квалификации х. ч. или ч. д. а. по ГОСТ 4232, высушенный до постоянной массы при температуре 105 °С-110 °С.
Калия гидроокись квалификации х. ч. или ч. д. а. по ГОСТ 24363.
Натрия гидроокись квалификации х. ч. или ч. д. а. по ГОСТ 4328.
Моноэтаноламин квалификации ч. по [4].
Натрий углекислый безводный по ГОСТ 83 или натрий углекислый 10-водный квалификации ч. д. а. по ГОСТ 84.
Натрий уксуснокислый 3-водный квалификации ч. д. а. по ГОСТ 199 или натрий уксуснокислый безводный квалификации ч. д. а.
Калий хлористый квалификации х. ч. или ч. д. а. по ГОСТ 4234.
Вода дистиллированная по ГОСТ 6709.
Азот газообразный или другой инертный газ.
Спирт изопропиловый квалификации х. ч. или ч. по ГОСТ 9805.
Спирт этиловый ректификованный технический по ГОСТ 18300 или спирт этиловый технический по ГОСТ 17299.
Толуол квалификации ч. д. а. по ГОСТ 5789.
Примечание - Допускается применять аналогичные приборы, лабораторную посуду и реактивы, класс точности и квалификация которых не ниже требований, предусмотренных настоящим стандартом.
4.1 Отбор проб СУГ - по ГОСТ 14921 или по стандарту [5]. Отбор проб ШФЛУ по стандарту [5].
Анализ проб проводят не позднее чем через 24 ч после отбора проб.
Примечание - Пробоотборник должен быть изготовлен из нержавеющей стали или его внутренняя поверхность должна иметь покрытие из материала, инертного к воздействию серосодержащих соединений.
4.2 При анализе газов, не содержащих углеводородов с числом атомов углерода 5 и более, допускается отбирать пробы газа из технологической линии или резервуара непосредственно в поглотительную систему через присоединительный штуцер с пробоотборной трубкой, снабженной вентилем тонкой регулировки. При этом соблюдают условия эксплуатации газового счетчика: температура окружающей среды и газа от 10 °С до 35 °С при относительной влажности не более 80 % (при плюс 20 °С) и избыточном давлении газа не более 5885 Па.
Примечание - Пробоотборная трубка и вентиль тонкой регулировки должны быть изготовлены из коррозионно-стойкого материала.
4.3 Объем пробы газа в зависимости от предполагаемого содержания сероводорода, меркаптановой серы и серооксида углерода приведен в таблице 1.
|
Предполагаемая массовая доля сероводорода, меркаптановой серы или серооксида углерода в газе, % |
Вместимость пробоотборника, см3 |
Объем газа, отобранного с потока, дм3 |
Объем аликвоты поглотительного раствора на титрование, см3 |
|
От 0, 0002 до 0, 0005 включ. |
400 |
100 |
От 50 до 20 включ. |
|
Св. 0, 0005 до 0, 0030 включ. |
400 |
100 |
От 20 до 3 включ. |
|
Св. 0, 003 до 0, 015 включ. |
50 |
10 |
От 25 до 5 включ. |
|
Св. 0, 015 до 0, 100 включ. |
50 |
5 |
От 10 до 2 включ. |
|
Св. 0, 10 до 1, 00 включ. |
50 |
5 |
От 2, 0 до 0, 2 включ. |
|
Св. 1, 00 до 2, 00 включ. |
50 |
5 |
От 0, 20 до 0, 02 включ. |
5.1 СУГ и ШФЛУ являются малоопасными веществами и по степени воздействия на организм человека относятся к 4-му классу опасности по ГОСТ 12.1.007. При контакте с организмом человека вызывают обморожение, напоминающее ожог.
5.2 Предельно допустимая концентрация (ПДК) в воздухе рабочей зоны для СУГ и ШФЛУ в целом не установлена. ПДК компонентов СУГ и ШФЛУ (мг/м3) - по ГОСТ 12.1.005*.
──────────────────────────────
* В Российской Федерации действуют гигиенические нормативы [6].
5.3 При отборе проб и проведении лабораторных испытаний соблюдают правила электробезопасности по стандарту [7].
5.4 Работающие с СУГ и ШФЛУ должны быть обучены правилам безопасности труда в порядке, установленном на предприятии в соответствии с ГОСТ 12.0.004.
Примечание - Настоящий стандарт не содержит указаний по всем проблемам безопасности, возникающим при его применении. Пользователь настоящего стандарта должен предусмотреть меры по обеспечению безопасности и здоровья занятых в отборе проб работников, а также определить возможность его применения или соответствующие ограничения. Все действия по отбору проб должны соответствовать требованиям безопасности, установленным на предприятии.
6.1 Процедуры по 4.1 и 4.2 проводит персонал, имеющий допуск к соответствующей работе согласно требованиям, установленным на предприятии.
6.2 Определение сероводорода, меркаптановой серы и серооксида углерода методом потенциометрического титрования проводит персонал, изучивший руководства по эксплуатации используемых средств измерений (СИ).
7.1 При подготовке к проведению испытаний и их выполнении соблюдают следующие требования:
- температура окружающей среды, относительная влажность воздуха, атмосферное давление, внешние электрические и магнитные поля, влияющие на работу применяемых СИ, должны соответствовать требованиям, указанным в руководствах по эксплуатации СИ;
- в помещениях, предназначенных для проведения испытаний, должны отсутствовать вибрация или другие факторы, влияющие на измерение массы и объема.
8.1 Подготовка потенциометра
8.1.1 Потенциометр готовят к работе в соответствии с инструкцией изготовителя.
8.2 Подготовка электродов
8.2.1 Электроды готовят к работе и хранят в соответствии с инструкцией изготовителя.
8.3 Приготовление растворов
8.3.1 Раствор азотнокислого аммиаката серебра концентрацией 0, 01 моль/дм3
8.3.1.1 В мерной колбе вместимостью 1 дм3 готовят раствор из (1, 700 ± 0, 002) г азотнокислого серебра и 100-150 см3 дистиллированной воды, затем добавляют 25 см3 водного аммиака, перемешивают, доводят до метки дистиллированной водой и тщательно перемешивают.
Примечание - Для приготовления раствора используют свежеполученную дистиллированную воду, охлажденную до температуры окружающей среды при барботировании азотом для удаления следов кислорода.
Приготовленный 0, 01 моль/дм3 раствор азотнокислого аммиаката серебра хранят в склянке из темного стекла или склянке, защищенной черной светонепроницаемой бумагой, при температуре окружающей среды. Срок хранения раствора - 6 мес.
8.3.1.2 Точную концентрацию 0, 01 моль/дм3 раствора азотнокислого аммиаката серебра устанавливают по свежеприготовленному раствору 0, 01 моль/дм3 йодистого калия.
Точную концентрацию 0, 01 моль/дм3 раствора азотнокислого аммиаката серебра проверяют не реже одного раза в месяц.
8.3.1.3 Раствор йодистого калия
В мерную колбу вместимостью 100 см3 помещают (0, 1660 ± 0, 0002) г йодистого калия и растворяют в дистиллированной воде, затем доводят дистиллированной водой до метки и тщательно перемешивают.
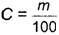
Концентрацию йодистого калия в растворе С, г/см3, вычисляют по формуле
,
(1)
где m - масса йодистого калия, г;
100 - объем дистиллированной воды, использованный для растворения навески йодистого калия, см3.
8.3.1.4 Определение титра раствора азотнокислого аммиаката серебра
8.3.1.4.1 В стакан для титрования помещают 30-40 см3 дистиллированной воды, добавляют пипеткой 2 см3 раствора йодистого калия и устанавливают на магнитную мешалку. Опускают электроды в раствор таким образом, чтобы рабочая поверхность сульфидсеребряного электрода была погружена в раствор на глубину не менее 15 мм, включают мешалку и записывают значение начального потенциала.
8.3.1.4.2 Бюретку с ценой деления не более 0, 02 см3 заполняют раствором азотнокислого аммиаката серебра и начинают титрование порциями по 0, 1 см3 (шаг титрования). Записывают объем добавленного раствора азотнокислого аммиаката серебра и соответствующее ему значение установившегося потенциала. В зоне скачка потенциала его значение записывают через 1-2 мин. После скачка потенциала для точного определения точки эквивалентности добавляют еще 0, 1-0, 2 см3 раствора азотнокислого аммиаката серебра и записывают значение установившегося потенциала.
Объем раствора азотнокислого аммиаката серебра Vт. э, см3, соответствующий точке эквивалентности, вычисляют по формуле
,
(2)
где Vн - объем раствора аммиаката серебра, израсходованный на титрование йодистого калия до начала скачка потенциала, см3;
ΔEmax - максимальная разность значений потенциалов между двумя измерениями (скачок потенциала), мВ;
ΔE1 - разность значений потенциалов между измерениями перед скачком потенциала, мВ;
ΔV - объем раствора аммиаката серебра, добавленный между двумя измерениями в области скачка потенциала см3;
ΔE2 - разность значений потенциалов между измерениями после скачка потенциала, мВ.
Записывают результат вычислений с точностью до четвертого десятичного знака.
Титрование раствора йодистого калия повторяют 3-4 раза и вычисляют среднеарифметическое значение результатов не менее трех определений объема раствора аммиаката серебра, отличающихся между собой не более чем на 0, 02-0, 03 см3.
8.3.1.4.3 Вычисляют титр Т1 0, 01 моль/дм3 раствора азотнокислого аммиаката серебра в граммах сероводорода на 1 см3 с точностью до шестого десятичного знака по формуле
,
(3)
где 2 - объем раствора йодистого калия, см3;
С - концентрация йодистого калия в растворе, г/см3;
0, 1025 - коэффициент пересчета йодистого калия на сероводород;
V - объем 0, 01 моль/дм3 раствора аммиаката серебра, израсходованный на титрование 2 см3 йодистого калия, см3.
8.3.1.4.4 Вычисляют титр Т2 0, 01 моль/дм3 раствора азотнокислого аммиаката серебра в граммах меркаптановой серы на 1 см3 с точностью до шестого десятичного знака по формуле
,
(4)
где 0, 1931 - коэффициент пересчета йодистого калия на меркаптановую серу.
8.3.1.4.5 Вычисляют титр Т3 0, 01 моль/дм3 раствора азотнокислого аммиаката серебра в граммах серооксида углерода на 1 см3 с точностью до шестого десятичного знака по формуле
,
(5)
где 0, 1809 - коэффициент пересчета йодистого калия на серооксид углерода.
8.3.2 Водные растворы гидроокиси натрия (калия) с массовой долей 40 %, 10 % и 5 %
Водный раствор гидроокиси натрия (калия) с массовой долей 40 %; готовят растворением (400, 0 ± 1) г NaOH (КОН) в 600 см3 дистиллированной воды. Полученный раствор отстаивают несколько дней (не менее двух). Отстоявшийся раствор осторожно декантируют, а осадок утилизируют.
Водный раствор гидроокиси натрия (калия) с массовой долей 10 %; готовят растворением (100, 0 ± 1) г NaOH (КОН) в 900 см3 дистиллированной воды.
Водный раствор гидроокиси натрия (калия) с массовой долей 5 %; готовят растворением (50, 0 ± 1) г NaOH (КОН) в 950 см3 дистиллированной воды.
Срок хранения водных растворов гидроокиси натрия (калия) - 3 мес.
8.3.3 Спиртовый раствор моноэтаноламина с массовой долей 5 %
Растворяют (40 ± 1) см3 моноэтаноламина в 950 см3 96 %-ного этилового спирта. Раствор хранят в посуде из темного стекла.
Срок хранения раствора - 1 мес.
8.3.4 Водный раствор углекислого натрия с массовой долей 3 %
Растворяют (30, 0 ± 1) г безводного Na2CO3 в 970 см3 дистиллированной воды или (88, 0 ± 1) г Na2CO3·10H2O в 1000 см3 дистиллированной воды.
Срок хранения раствора - 3 мес.
8.3.5 Подготовка этилового спирта
Добавляют к 1 дм3 спирта (5, 0 ± 0, 2) г гидроокиси натрия, перемешивают, выдерживают в течение 12-16 ч, декантируют и перегоняют с дефлегматором.
8.3.6 Спиртотолуольный раствор
Растворяют (2, 70 ± 0, 02) г 3-водного уксуснокислого натрия или (1, 60 ± 0, 02) г безводного уксуснокислого натрия в 20 см3 дистиллированной воды и добавляют раствор к 600 см3 изопропилового (этилового) спирта. К полученному раствору добавляют 400 см3 толуола.
Срок хранения раствора - 3 мес.
9.1 Система для поглощения сероводорода, меркаптанов и серооксида углерода состоит из поглотительных склянок, последовательно соединенных встык с помощью поливинилхлоридных трубок (см. рисунок 1). Первой по ходу газа размещают пустую предохранительную склянку, затем - две склянки, содержащие по 30-40 см3 40 %-ного раствора гидроокиси натрия (калия) для поглощения сероводорода и меркаптанов, далее - две склянки, содержащие по 30-40 см3 5 %-ного спиртового раствора моноэтаноламина для поглощения серооксида углерода. Склянки со спиртовым раствором моноэтаноламина должны быть обернуты черной тканью или бумагой для предотвращения окисления серооксида углерода на свету.
В качестве предохранительной и поглотительных склянок используют склянки типа СН или СВТ.

1 - пробоотборник; 2 - предохранительная склянка; 3-6 - поглотительные склянки; 7 - газовый счетчик
Рисунок 1 - Система для поглощения сероводорода, меркаптанов и серооксида углерода
При определении сероводорода и меркаптановой серы в газах, не содержащих серооксида углерода, используют только поглотительные склянки (3 и 4), содержащие по 30-40 см3 водного раствора гидроокиси натрия (калия) с массовой долей 10 %.
При определении сероводорода и меркаптановой серы в газах, содержание сероводорода в которых более чем в три раза превышает содержание меркаптановой серы, для селективного поглощения сероводорода перед склянками со щелочью дополнительно размещают две поглотительные склянки, содержащие по 30-40 см3 3 %-ного раствора углекислого натрия.
К выходному отводу последней поглотительной склянки присоединяют газовый счетчик или реометр.
Для обеспечения безопасности при проведении испытаний установку размещают под вытяжным шкафом.
9.2 Проверяют систему на герметичность продувкой инертным газом (например, азотом), смачивая места соединения поглотительных склянок мыльным раствором. Для удаления растворенного кислорода из поглотительных растворов систему продувают 1 мин инертным газом (например, азотом).
9.3 Протирают поверхность пробоотборника с пробой сухой тканью.
9.4 Взвешивают пробоотборник. За массу пробоотборника с пробой принимают значение последнего результата взвешивания, если расхождение результатов между двумя последовательными взвешиваниями не превышает 0, 05 г (для пробоотборников вместимостью 50 см3) или 1 г (для пробоотборников вместимостью 400 см3).
9.5 Закрепляют пробоотборник в вертикальном положении и присоединяют верхний штуцер пробоотборника к входному отводу предохранительной склянки.
При отборе пробы по 4.2 пробоотборную трубку соединяют встык с входным отводом предохранительной склянки.
10.1 Поглощение сероводорода, меркаптанов и серооксида углерода
10.1.1 Осторожно открывают запорное устройство пробоотборника (или пробоотборной трубки) и испаряют газ со скоростью не более 250 дм3/ч.
При одновременном использовании содового и щелочного поглотительных растворов скорость пропускания газа должна быть от 150 до 250 дм3/ч.
При испарении газа с меньшей скоростью может происходить значительное поглощение меркаптанов содовым раствором, которые затем необходимо анализировать и учитывать при вычислениях.
Регулируют скорость испарения пробы вентилем пробоотборника.
10.1.2 Для анализа используют весь объем газа из пробоотборника (см. таблицу 1).
10.1.3 После завершения испарения пробы газа отсоединяют пробоотборник (пробоотборную трубку) и газовый счетчик от установки.
10.1.4 При анализе газов, содержащих углеводороды С5 и выше, пробу испаряют по 10.1.1. Неиспарившийся жидкий остаток осторожно переносят из пробоотборника в предохранительную склянку 2, не допуская его переброса в склянку с поглотительным раствором. Испарение жидкого остатка проводят при постепенном нагревании склянки 2 на водяной бане до температуры 40 °С-60 °С и выдерживании при этой температуре до прекращения испарения газа. Затем отсоединяют пробоотборник и газовый счетчик от установки и продувают жидкий остаток и поглотительные растворы инертным газом (например, азотом) в течение 3-5 мин.
Неиспарившийся в этих условиях жидкий остаток из склянки 2 количественно переносят в цилиндр. Затем склянку 2 промывают 2 раза спиртотолуольным раствором порциями по 5-10 см3, промывные растворы добавляют к жидкому остатку, и анализируют по 10.2.3.
10.1.5 Протирают поверхность пустого пробоотборника сухой тканью. Взвешивают пустой пробоотборник по 9.4 и вычисляют массу газа по разности массы пробоотборника с пробой и пустого пробоотборника.
10.1.6 Массу газа, отобранного по 4.2, вычисляют умножением объема, измеренного газовым счетчиком и приведенного к нормальным условиям, на плотность газа.
10.1.7 При отсутствии в пробе углеводородов С5 и более массу газа, испаренного из пробоотборника, определяют по 10.1.6, при этом склянки не продувают инертным газом.
10.1.8 Щелочной раствор из поглотительных склянок переносят в градуированный цилиндр вместимостью 100 см3. Промывают поглотительные склянки 1-2 раза дистиллированной водой порциями по 5-10 см3, промывную воду переносят в тот же цилиндр. Измеряют объем раствора и тщательно перемешивают.
При одновременном использовании содового, щелочного и моноэтаноламинового спиртового поглотительных растворов их обрабатывают аналогичным образом, каждый раствор помещают в отдельный цилиндр.
10.2 Анализ поглотительных растворов и жидкого остатка
Анализ сульфида и меркаптидов натрия (калия), образующихся в содовом или щелочном поглотительных растворах, серооксида углерода в моноэтаноламиновом растворе и меркаптановой серы в жидком остатке проводят потенциометрическим титрованием 0, 01 моль/дм3 раствором азотнокислого аммиаката серебра. Анализы следует проводить в течение не более одного часа после испарения пробы, при этом моноэтаноламиновый раствор следует анализировать первым, затем анализируют содовый и щелочной растворы.
Примечание - В приложении А приведен пример записи результатов потенциометрического титрования, проводимого на ручном титраторе. При использовании автоматического титратора следуют инструкции изготовителя.
10.2.1 Потенциометрическое титрование щелочных поглотительных растворов
10.2.1.1 В стакан для титрования, установленный на магнитную мешалку, помещают раствор гидроокиси натрия (калия) с массовой долей 5 % в количестве, необходимом для погружения рабочей части сульфидсеребряного электрода на глубину не менее 15 мм, и включают мешалку. Из цилиндра градуированной пипеткой переносят объем аликвоты анализируемого поглотительного раствора и записывают значение установившегося исходного потенциала. Объем аликвоты поглотительного раствора для анализа выбирают по таблице 1 или по значению потенциала, не изменяющемуся при постепенном добавлении поглотительного раствора из градуированной пипетки.
10.2.1.2 При наличии сульфид-иона значение исходного потенциала раствора устанавливается от минус 760 до минус 500 мВ. Значение потенциала менее 500 мВ (по абсолютному значению) при использовании максимального объема аликвоты поглотительного раствора (50 см3) принимают за отсутствие сульфид-иона в растворе.
10.2.1.3 При наличии в растворе только меркаптид-ионов значение исходного потенциала устанавливается от минус 450 до минус 200 мВ.
Значение исходного потенциала менее 200 мВ (по абсолютному значению) при использовании для анализа максимального объема аликвоты поглотительного раствора (50 см3) принимают за отсутствие меркаптид-ионов в растворе.
10.2.1.4 Записывают объем раствора азотнокислого аммиаката серебра 0, 01 моль/дм3 в бюретке и начинают титрование раствора, добавляя к нему по 0, 1 см3 раствора аммиаката серебра и фиксируя значение потенциала, устанавливающегося после каждой порции раствора серебра. В зоне скачка значение потенциала устанавливается в течение 1-2 мин. После скачка потенциала добавляют еще 2-3 порции раствора аммиаката серебра. Расход раствора аммиаката серебра на титрование аликвоты поглотительного раствора должен быть от 0, 3 до 3, 0 см3.
При обнаружении налипания на поверхность электрода взвеси сульфида серебра черного цвета ее удаляют легким постукиванием по электроду.
10.2.1.5 При наличии в растворе только сульфид-иона скачок потенциала наблюдают в диапазоне от минус 700 до плюс 50 мВ.
10.2.1.6 При совместном присутствии в поглотительном растворе сульфид- и меркаптид-ионов скачок потенциала, соответствующий сульфид-иону, наблюдают в диапазоне от минус 700 до минус 400 мВ. Следующий скачок потенциала в диапазоне от минус 350 до плюс 100 мВ соответствует меркаптид-ионам.
При слиянии скачков потенциала для сульфид- и меркаптид-ионов анализ повторяют, увеличив объем аликвоты поглотительного раствора.
10.2.1.7 Если содержание меркаптановой серы в газе значительно превышает содержание сероводорода (в 5 раз и более), анализ сульфид- и меркаптид-ионов проводят, используя две аликвоты разных объемов поглотительного раствора в соответствии с таблицей 1.
10.2.1.8 При отсутствии в растворе сульфид-иона скачок потенциала, соответствующий меркаптид-ионам, наблюдают в диапазоне от минус 380 до плюс 80 мВ.
10.2.2 Анализ моноэтаноламинового поглотительного раствора
10.2.2.1 Помещают в стакан для титрования, установленный на магнитную мешалку, спиртовой раствор моноэтаноламина с массовой долей 5 % в количестве, необходимом для погружения рабочей части сульфидсеребряного электрода на глубину не менее 15 мм, и включают мешалку. Переносят из цилиндра градуированной пипеткой объем аликвоты анализируемого поглотительного раствора в стакан для титрования и записывают значение установившегося исходного потенциала. Объем аликвоты поглотительного раствора для анализа выбирают по таблице 1 или по значению потенциала, не изменяющемуся при постепенном добавлении поглотительного раствора из градуированной пипетки.
10.2.2.2 При наличии в пробе серооксида углерода значение исходного потенциала устанавливается в диапазоне от минус 450 до минус 200 мВ. Значение исходного потенциала менее 200 мВ (по абсолютному значению) при использовании максимального объема аликвоты поглотительного раствора (50 см3) на анализ принимают за отсутствие серооксида углерода в растворе.
10.2.3 Анализ жидкого остатка
10.2.3.1 Помещают в стакан для титрования 25-30 см3 спиртотолуольного раствора и переносят из цилиндра неиспарившийся жидкий остаток. Ополаскивают цилиндр двумя порциями по 5-10 см3 спиртотолуольного раствора, присоединяя промывные растворы к раствору в стакане. Устанавливают стакан на магнитную мешалку, помещают электроды и записывают значение установившегося исходного потенциала.
10.2.3.2 При наличии в жидком остатке только меркаптановой серы значение исходного потенциала устанавливается в диапазоне от минус 450 до минус 250 мВ и при титровании наблюдают один скачок потенциала в диапазоне от минус 350 до плюс 100 мВ.
10.2.3.3 При одновременном присутствии в жидком остатке меркаптанов и элементной серы значение исходного потенциала может устанавливаться в диапазоне от минус 590 до минус 480 мВ. При титровании наблюдают два скачка потенциала: первый - в диапазоне от минус 500 до минус 300 мВ, второй - от минус 250 до плюс 100 мВ. Определяют объем азотнокислого аммиаката серебра, израсходованный на титрование меркаптановой серы, от начального объема до второго скачка потенциала, не учитывая первый скачок потенциала.
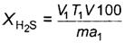
11.1 Массовую долю сероводорода в газовой части пробы
, %, вычисляют по формуле
,
(6)
где V1 - объем 0, 01 моль/дм3 раствора азотнокислого аммиаката серебра, израсходованный на титрование сульфид-ионов, см3;
T1 - титр 0, 01 моль/дм3 раствора азотнокислого аммиаката серебра, выраженный в граммах сероводорода на 1 см3;
V - общий объем щелочного поглотительного раствора в мерном цилиндре, см3;
m - масса пробы газа, г;
a1 - объем аликвоты щелочного поглотительного раствора, использованный для анализа, см3.
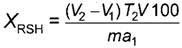
Массовую долю меркаптановой серы XRSH, %, в газовой части пробы вычисляют по формуле
,
(7)
где V1 - объем 0, 01 моль/дм3 раствора азотнокислого аммиаката серебра, израсходованный на титрование сульфид-ионов, см3;
V2 - объем 0, 01 моль/дм3 раствора аммиаката серебра, израсходованный на титрование суммы сульфид- и меркаптид-ионов в аликвоте щелочного поглотительного раствора, см3;
T2 - титр 0, 01 моль/дм3 раствора азотнокислого аммиаката серебра, выраженный в граммах меркаптановой серы на 1 см3;
V - общий объем щелочного поглотительного раствора в мерном цилиндре, см3;
m - масса пробы анализируемого газа, г;
a1 - объем аликвоты щелочного поглотительного раствора, использованный для анализа, см3.
Массовую долю серооксида углерода XCOS, %, в газовой части пробы вычисляют по формуле
,
(8)
где V3 - объем 0, 01 моль/дм3 раствора азотнокислого аммиаката серебра, израсходованный на титрование серооксида углерода, см3;
T3 - титр 0, 01 моль/дм3 раствора азотнокислого аммиаката серебра, выраженный в граммах серооксида углерода (карбонилсульфида) на 1 см3;
V' - общий объем моноэтаноламинового поглотительного раствора в мерном цилиндре, см3;
m - масса пробы анализируемого газа, г;
a2 - объем аликвоты моноэтаноламинового поглотительного раствора, использованный на анализ, см3.
11.1.1 Массу пробы газа m, пропущенного через газовый счетчик, вычисляют по формуле
m=V0ρ,
(9)
где V0 - объем пробы газа, измеренный по газовому счетчику и приведенный к нормальным условиям [температура 273, 15 K (0 °С) и давление 101, 325 кПа (760 мм рт. ст.)], дм3;
ρ - плотность анализируемого газа, г/дм3.
11.1.1.1 Объем пробы газа, приведенный к нормальным условиям V0, дм3, вычисляют по формуле
,
(10)
где V1 - объем пробы анализируемого газа, измеренный при температуре окружающей среды, дм3;
Р - значение барометрического давления, кПа (мм рт. ст.);
Pв - давление паров воды при температуре t, кПа (мм рт. ст.) (см. приложение Б);
t - значение температуры окружающей среды, °С.
Значения давления паров воды Рв и коэффициента f =
для интервала температур от 10 °С до 35 °С приведены в приложении Б.
11.1.1.2 Плотность газа ρ, г/дм3, определяют по его компонентному составу, используя результаты хроматографического анализа по ГОСТ 10679 или ГОСТ 14920 по формуле
,
(11)
где Xi - массовая доля i-го компонента в анализируемом газе, %;
ρi - плотность i-го компонента при температуре 0 °С и давлении 101, 325 кПа (760 мм рт. ст.), г/дм3.
Значения плотности индивидуальных углеводородов приведены в приложении В.
11.1.2 Массовую долю сероводорода
, %, при одновременном использовании содового и щелочного поглотительных растворов, вычисляют по формуле
,
(12)
где V'1 - объем 0, 01 моль/дм3 раствора азотнокислого аммиаката серебра, израсходованный на титрование сульфид-иона в содовом поглотительном растворе, см3;
V'' - общий объем содового поглотительного раствора в цилиндре, см3;
a3 - объем аликвоты содового поглотительного раствора, использованный на анализ, см3.
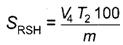
11.1.3 Массовую долю меркаптановой серы SRSH, %, в неиспарившемся жидком углеводородном остатке вычисляют по формуле
,
(13)
где V4 - объем 0, 01 моль/дм3 раствора азотнокислого аммиаката серебра, израсходованный на титрование меркаптановой серы в неиспарившемся жидком остатке, см3 (см. 10.2.3).
11.2 За результат испытаний принимают среднеарифметическое значение результатов двух испытаний одного поглотительного раствора.
11.3 Для вычисления массовой доли меркаптановой серы в газе суммируют среднеарифметические значения массовых долей меркаптановой серы в газовой части и значение массовой доли меркаптановой серы в неиспарившемся жидком углеводородном остатке.
12.1 Повторяемость (сходимость)
Два результата испытаний, полученные одним исполнителем в одной лаборатории, признаются достоверными с 95 %-ной доверительной вероятностью, если расхождение между ними не превышает значений, указанных в таблице 2.
12.2 Воспроизводимость
Два результата испытаний, полученные в двух разных лабораториях, признаются достоверными с 95 %-ной доверительной вероятностью, если расхождение между ними не превышает значений, указанных в таблице 2.
Примечание - При разногласиях в оценке качества проводят арбитражные испытания. Арбитражные испытания должны выполнять высококвалифицированные специалисты, как правило, в лабораториях отраслевых научно-исследовательских институтов (или в любых других незаинтересованных лабораториях) строго по методу настоящего стандарта.
|
Массовая доля сероводорода, меркаптановой серы и серооксида углерода, % масс. |
Границы абсолютной погрешности Δ, %, при Р = 0, 95 |
Среднеквадратическое отклонение повторяемости σr, % |
Предел повторяемости (сходимости) r, %, Р = 0, 95, n = 2 |
Среднеквадратическое отклонение воспроизводимости σR, % |
Предел воспроизводимости R, %, Р = 0, 95, n = 2 |
|
От 0, 0002 до 0, 0200 включ. |
0, 16 X̅п |
0, 050 X̅п |
0, 15 X̅п |
0, 071 X̅в |
0, 20 X̅в |
|
Св. 0, 020 до 1, 000 включ. |
0, 14 X̅п |
0, 044 X̅п |
0, 12 X̅п |
0, 061 X̅в |
0, 17 X̅в |
|
Св. 1, 00 до 2, 00 включ. |
0, 12 X̅п |
0, 036 X̅п |
0, 10 X̅п |
0, 05 X̅в |
0, 15 X̅в |
|
Примечания 1 X̅п (% ) - среднеарифметическое значение результатов двух последовательных испытаний, полученных в условиях повторяемости. 2 X̅в (%) - среднеарифметическое значение результатов двух последовательных испытаний, полученных в условиях воспроизводимости. | |||||
12.3 Обработка и оформление результатов испытаний
12.3.1 За результат определения массовой доли сероводорода (меркаптановой серы или серооксида углерода) принимают среднеарифметическое значение результатов двух последовательных испытаний одного поглотительного раствора, полученных в условиях повторяемости X̅п, %, если выполняется следующее условие приемлемости
|Xп1-Xп2|≤r,
(14)
где Xп1, Xп2 - значения результатов последовательных определений массовой доли сероводорода (меркаптановой серы или серооксида углерода);
r - значение предела повторяемости, % (см. таблицу 2).
12.3.2 Если условие (14), не выполняется, проводят еще одно испытание в условиях повторяемости. За результат определения массовой доли сероводорода (меркаптановой серы или серооксида углерода) X̅п (%) принимают среднеарифметическое значение результатов трех испытаний, если выполняется следующее условие
Xп max-Xп min≤CR0, 95,
(15)
где Xп max, Xп min - максимальное и минимальное значения из трех полученных результатов определения массовой доли сероводорода (меркаптановой серы или серооксида углерода), %;
CR0, 95 - значение критического диапазона для уровня доверительной вероятности Р = 0, 95, которое вычисляют по формуле
CR0, 95=3, 3σr,
(16)
где 3, 3 - коэффициент критического диапазона для трех результатов;
σr - среднеквадратическое отклонение повторяемости (сходимости), % (см. таблицу 2).
12.3.3 Результат определения массовой доли сероводорода (меркаптановой серы или серооксида углерода)
, %, представляют в виде
,
(17)
где X̅п - среднеарифметическое значение результатов измерений массовой доли сероводорода (меркаптановой серы или серооксида углерода), признанных приемлемыми по 12.3.1 или 12.3.2;
±Δ - границы абсолютной погрешности измерений, % (см. таблицу 2).
12.3.4 В случае невыполнения условия, выражаемого соотношением (15), выясняют причины, приводящие к неудовлетворительным результатам, и принимают меры по их устранению.
12.3.5 Результат определения массовой доли сероводорода (меркаптановой серы или серооксида углерода) в диапазоне от 0, 0002 % до 0, 0999 % записывают с точностью до четырех десятичных знаков, в диапазоне от 0, 100 % до 0, 999 % - с точностью до трех десятичных знаков, в диапазоне от 1, 00 % до 2, 00 % - с точностью до двух десятичных знаков.
12.3.6 Если результат определения массовой доли сероводорода (меркаптановой серы или серооксида углерода) менее 0, 0002 %, то записывают: "массовая доля сероводорода (меркаптановой серы или серооксида углерода) - менее 0, 0002 %".
12.4 Контроль точности результатов испытаний
12.4.1 Контроль точности результатов испытаний по настоящему методу осуществляют, используя контроль повторяемости и контроль правильности.
12.4.2 Контроль повторяемости проводят в соответствии с рекомендациями [8].
12.4.3 Контроль правильности проводят с использованием стандартного образца (СО) состава газовых смесей на основе сероводорода, этилмеркаптана и серооксида углерода с метрологическими характеристиками, обеспечивающими запас по точности не менее двух по отношению к значениям границ абсолютной погрешности измерений массовой доли сероводорода, меркаптановой серы и серооксида углерода (см. таблицу 2).
12.4.4 Контроль правильности проводят с использованием СО с массовой долей сероводорода (меркаптановой серы или серооксида углерода), находящейся в пределах одного из диапазонов, приведенных в таблице 2.
12.4.5 Проводят анализ СО по настоящему стандарту и определяют расхождение между полученным значением массовой доли и значением, указанным в паспорте на СО.
12.4.6 Полученное расхождение не должно превышать значений границ абсолютной погрешности результатов измерений, приведенных в таблице 2.
Приложение А
(справочное)
А.1 В таблице А.1 приведен пример записи результатов потенциометрического титрования сульфид- и меркаптид-ионов и их смеси в поглотительных растворах.
А.1.1 Примеры вычисления объемов титрованного раствора аммиаката серебра, соответствующих точкам эквивалентности меркаптид- и сульфид-ионов, по данным таблицы А.1:
.
(А.1)
Если вблизи точки эквивалентности потенциалы двух соседних измерений отличаются друг от друга не более чем на 10 % (см. пример титрования сульфид-ионов, приведенный в таблице А.1), то для вычисления рекомендуется удвоить шаг титрования ΔV, приняв за скачок сумму значений двух соседних наибольших разностей потенциалов
.
(А.2)
При совместном присутствии в растворе сульфид- и меркаптид-ионов объем раствора аммиаката серебра, израсходованный на титрование меркаптановой серы VRSNa, определяют как разность между объемом, израсходованным на титрование сульфид- и меркаптид-ионов (до второго скачка потенциала), и объемом, израсходованным на титрование сульфид-ионов (до первого скачка потенциала).
;
(А.3)
;
(А.4)
VRSNa=1, 0404-0, 4473=0, 5931.
(А.5)
А.1.2 Примеры построения кривых титрования по данным таблицы А.1 приведены на рисунках А.1-А.3.
|
Меркаптид-ион |
Сульфид-ион |
Смесь сульфид- и меркаптид-ионов | |||||||
|
Объем титрованного раствора серебра, V, см3 |
Потенциал, Е, мВ |
Разность потенциалов между измерениями, ΔE, мВ |
Объем титрованного раствора серебра, V, см3 |
Потенциал, Е, мВ |
Разность потенциалов между измерениями, ΔE, мВ |
Объем титрованного раствора серебра, V, см3 |
Потенциал, E, мВ |
Разность потенциалов между измерениями, ΔE, мВ | |
|
при шаге титрования 0, 2 см3 |
при шаге титрования 0, 1 см3 | ||||||||
|
0 |
-434 |
- |
0 |
-712 |
- |
- |
0 |
-705 |
- |
|
0, 1 |
-431 |
3 |
0, 1 |
-707 |
- |
5 |
0, 1 |
-703 |
2 |
|
0, 2 |
-426 |
5 |
0, 2 |
-703 |
13 |
4 |
0, 2 |
-700 |
3 |
|
0, 3 |
-420 |
6 |
0, 3 |
-694 |
- |
9 |
0, 3 |
-690 |
10 |
|
0, 4 |
-417 |
3 |
0, 4 |
-670 |
194 |
24 |
0, 4 |
-655 |
35 |
|
0, 5 |
-401 |
16 |
0, 5 |
-500 |
- |
170 |
0, 5 |
-405 |
250 |
|
0, 6 |
-400 |
1 |
0, 6 |
-255 |
470 |
245 |
0, 6 |
-395 |
10 |
|
0, 7 |
-390 |
10 |
0, 7 |
-30 |
- |
225 |
0, 7 |
-380 |
15 |
|
0, 8 |
-366 |
24 |
0, 8 |
+74 |
145 |
104 |
0, 8 |
-365 |
15 |
|
0, 9 |
-278 |
88 |
0, 9 |
+115 |
- |
41 |
0, 9 |
-335 |
30 |
|
1, 0 |
+69 |
347 |
1, 0 |
+125 |
- |
10 |
1, 0 |
-215 |
120 |
|
1, 1 |
+90 |
21 |
- |
- |
- |
- |
1, 1 |
+95 |
310 |
|
1, 2 |
+101 |
11 |
- |
- |
- |
- |
1, 2 |
+125 |
30 |
|
- |
- |
- |
- |
- |
- |
- |
1, 3 |
+140 |
15 |
|
- |
- |
- |
- |
- |
- |
- |
1, 4 |
+145 |
5 |

Рисунок А.1 - Кривая потенциометрического титрования сульфид-иона раствором азотнокислого аммиаката серебра

Рисунок А.2 - Кривая потенциометрического титрования меркаптид-иона раствором азотнокислого аммиаката серебра

Рисунок А.3 - Кривая потенциометрического титрования сульфид- и меркаптид-ионов раствором азотнокислого аммиаката серебра
А.2 В таблице А.2 приведен пример записи результатов потенциометрического титрования серооксида углерода в моноэтаноламиновом поглотительном растворе.
|
Объем титрованного раствора серебра V, см3 |
Потенциал Е, мВ |
Разность потенциалов между измерениями ΔE, мВ |
|
0 |
-352 |
- |
|
0, 1 |
-351 |
1 |
|
0, 2 |
-350 |
1 |
|
0, 3 |
-348 |
2 |
|
0, 4 |
-346 |
2 |
|
0, 5 |
-343 |
3 |
|
0, 6 |
-336 |
7 |
|
0, 7 |
-328 |
8 |
|
0, 8 |
-277 |
51 |
|
0, 9 |
-150 |
127 |
|
1, 0 |
-107 |
43 |
|
1, 1 |
-98 |
9 |
А.2.1 Пример вычисления объема титрованного раствора азотнокислого аммиаката серебра, соответствующего точке эквивалентности серооксида углерода, по данным таблицы А.2.
.
(A.6)
А.2.2 Пример построения кривой титрования по данным таблицы А.2 приведен на рисунке А.4.

Рисунок А.4 - Кривая потенциометрического титрования серооксида углерода раствором азотнокислого аммиаката серебра
Приложение Б
(справочное)
|
Температура t, °С |
Давление паров воды Рв | |
|
кПа |
мм рт. ст. | |
|
10 |
1, 228 |
9, 209 |
|
11 |
1, 312 |
9, 84 |
|
12 |
1, 403 |
10, 52 |
|
13 |
1, 497 |
11, 23 |
|
14 |
1, 599 |
11, 99 |
|
15 |
1, 705 |
12, 79 |
|
16 |
1, 817 |
13, 63 |
|
17 |
1, 937 |
14, 53 |
|
18 |
2, 064 |
15, 48 |
|
19 |
2, 197 |
16, 48 |
|
20 |
2, 339 |
17, 54 |
|
21 |
2, 487 |
18, 65 |
|
22 |
2, 644 |
19, 83 |
|
23 |
2, 809 |
21, 07 |
|
24 |
2, 984 |
22, 38 |
|
25 |
3, 168 |
23, 76 |
|
26 |
3, 361 |
25, 21 |
|
27 |
3, 565 |
26, 74 |
|
28 |
3, 780 |
28, 35 |
|
29 |
4, 005 |
30, 04 |
|
30 |
4, 242 |
31, 82 |
|
31 |
4, 493 |
33, 70 |
|
32 |
4, 754 |
35, 66 |
|
33 |
5, 030 |
37, 73 |
|
34 |
5, 320 |
39, 90 |
|
35 |
5, 624 |
42, 18 |
|
Температура t, °С |
Разность барометрического давления и давления паров воды (Р - Рв), кПа (мм рт. ст.) | ||||||
|
96 (720) |
97, 3 (730) |
98, 7 (740) |
100 (750) |
101, 3 (760) |
102, 7 (770) |
104 (780) | |
|
10 |
0, 914 |
0, 927 |
0, 939 |
0, 952 |
0, 965 |
0, 977 |
0, 990 |
|
12 |
0, 908 |
0, 920 |
0, 933 |
0, 945 |
0, 958 |
0, 971 |
0, 983 |
|
14 |
0, 901 |
0, 914 |
0, 926 |
0, 939 |
0, 951 |
0, 964 |
0, 976 |
|
16 |
0, 895 |
0, 907 |
0, 920 |
0, 932 |
0, 945 |
0, 957 |
0, 970 |
|
18 |
0, 889 |
0, 901 |
0, 914 |
0, 926 |
0, 938 |
0, 951 |
0, 963 |
|
20 |
0, 883 |
0, 895 |
0, 907 |
0, 920 |
0, 932 |
0, 944 |
0, 956 |
|
22 |
0, 877 |
0, 889 |
0, 901 |
0, 913 |
0, 925 |
0, 938 |
0, 950 |
|
24 |
0, 871 |
0, 883 |
0, 895 |
0, 907 |
0, 919 |
0, 931 |
0, 943 |
|
26 |
0, 865 |
0, 877 |
0, 889 |
0, 901 |
0, 913 |
0, 925 |
0, 937 |
|
28 |
0, 859 |
0, 871 |
0, 883 |
0, 895 |
0, 907 |
0, 919 |
0, 931 |
|
30 |
0, 854 |
0, 865 |
0, 877 |
0, 889 |
0, 901 |
0, 913 |
0, 925 |
|
32 |
0, 848 |
0, 860 |
0, 872 |
0, 883 |
0, 895 |
0, 907 |
0, 919 |
|
34 |
0, 842 |
0, 854 |
0, 866 |
0, 878 |
0, 889 |
0, 901 |
0, 912 |
|
35 |
0, 840 |
0, 851 |
0, 863 |
0, 875 |
0, 886 |
0, 898 |
0, 907 |
Приложение В
(справочное)
|
Углеводород |
Плотность ρ при температуре 0 °С и давлении 101, 325 кПа (760 мм рт. ст.), г/дм3 |
|
Метан |
0, 717 |
|
Этан |
1, 357 |
|
Этилен |
1, 260 |
|
Пропан |
2, 019 |
|
Пропилен |
1, 915 |
|
н-Бутан |
2, 703 |
|
Изобутан |
2, 668 |
|
Ацетилен |
1, 173 |
|
н-Пентан |
3, 457 |
|
Изопентан |
3, 220 |
|
Изобутен |
2, 502 |
|
Бутен-1 |
2, 550 |
|
транс-Бутен-2 |
2, 505* |
|
цис-Бутен-2 |
2, 505* |
|
Бутадиен-1, 3 |
2, 415* |
|
2, 2-Диметилпропан |
3, 221* |
|
Пентен-1 |
3, 131* |
|
3-Метилбутен-1 |
3, 131* |
|
2-Метилбутен-1 |
3, 131* |
|
транс-Пентен-2 |
3, 131* |
|
цис-Пентен-2 |
3, 131* |
|
* Приблизительные значения вычислены по формуле где М - молярная масса. | |
Библиография
|
[1] |
ТУ 25-05.1742-80 |
Электрод сульфидсеребряный промышленный ЭСС-01 |
|
[2] |
ТУ 4215-001.47382718-2003 |
Электрод ионоселективный ЭЛИТ-211 |
|
[3] |
ТУ 25.05.2181-77 |
Электроды вспомогательные лабораторные хлорсеребряные ЭВЛ-1М1, ЭВЛ-1М3, ЭВЛ-1М3.1 |
|
[4] |
ТУ 2423-002-78722668-2010 |
Моноэтаноламин. Технические условия |
|
[5] |
ГОСТ Р 55609-2013 |
Отбор проб газового конденсата, сжиженного углеводородного газа и широкой фракции легких углеводородов. Общие требования |
|
[6] |
Гигиенические нормативы ГН 2.2.5.1313-03 |
Химические факторы производственной среды. Предельно допустимые концентрации (ПДК) вредных веществ в воздухе рабочей зоны. Гигиенические нормативы |
|
[7] |
ГОСТ Р 12.1.019-2009 |
Система стандартов безопасности труда. Электробезопасность. Общие требования и номенклатура видов защиты |
|
[8] |
Рекомендации по межгосударственной стандартизации РМГ 76-2014 |
Государственная система обеспечения единства измерений. Внутренний контроль качества результатов количественного химического анализа |


