ГОСТ 26933-86 СЫРЬЕ И ПРОДУКТЫ ПИЩЕВЫЕ. МЕТОДЫ ОПРЕДЕЛЕНИЯ КАДМИЯ
Raw material and food-stuffs. Methods for determination of cadmium"
Дата введения 1 декабря 1986 г.
Введен впервые
Настоящий стандарт распространяется на пищевые сырье и продукты и устанавливает метод определения кадмия.
Метод основан на сухой минерализации (озолении) пробы с использованием в качестве вспомогательного средства азотной кислоты и количественном определении кадмия полярографированием в режиме переменного тока.
При анализе поваренной соли используют метод, основанный на растворении поваренной соли в воде, разрушении органических соединений, экстракции кадмия раствором дитизона в хлороформе, реэкстракции и определении кадмия полярографированием в режиме переменного тока.
(Измененная редакция, Изм. N 1).
1.1. Метод отбора проб и подготовки их к испытанию должен быть указан в нормативно-технической документации на конкретную продукцию.
Полярограф марки ПУ-1 или других марок, обеспечивающих возможность работы в режиме переменного тока.
Баня водяная.
Электроплитка бытовая по ГОСТ 14919 или других марок.
Баллон стальной по ГОСТ 949.
Редуктор для газопламенной обработки по ГОСТ 13861 с кислородным манометром по ГОСТ 405.
Весы лабораторные общего назначения с наибольшим пределом взвешивания 200 г 2-го класса прочности по ГОСТ 24104*.
Весы лабораторные общего назначения с наибольшим пределом взвешивания 1 кг 3-го класса прочности по ГОСТ 24104.
Шкаф лабораторный сушильный.
Линейка чертежная мерительная по ГОСТ 17435.
Колбы мерные 2-25-2; 2-50-2; 2-100-2 и 2-1000-2 по ГОСТ 1770.
Колбы конические Кн-2-10-18, Кн-2-25-18 и Кн-2-250-34 по ГОСТ 25336.
Пробирки мерные П-2-10 и П-2-15 по ГОСТ 1770.
Пипетки градуированные вместимостью 1, 2, 5 и 10 см3.
Воронки делительные ВД-3-250-29/32 ХС и ВД-3-500-29/32 ХС по ГОСТ 25336.
Цилиндры 1-10 или 2-10; 1-25 или 3-25; 1-50 или 3-50; 1-100 или 3-100 по ГОСТ 1770.
Эксикатор по ГОСТ 25336.
Чашка выпарительная фарфоровая N 4 или 5 по ГОСТ 9147.
Ареометры без шара А1- 1, набор с пределами измерений от 700 до 1840 кг/м3, по ГОСТ 18481.
Фильтры обеззоленные диаметром 5, 5 мм, "синяя лента".
Стаканы В-1-250 ТХС по ГОСТ 25336.
Вода бидистиллированная.
Вода дистиллированная по ГОСТ 6709.
Хлороформ.
Дитизон по ТУ 6-09-07-1684, ч.д.а., растворы в хлороформе концентраций 0, 01; 0, 30; 0, 20 и 1, 00 г/дм3.
Тимоловый синий, ч.д.а., раствор, приготовленный по ГОСТ 4919.1.
Калия гидроокись по ГОСТ 24363, ч. д. а., гранулированная и раствор концентрации 600 г/дм3.
Кальций хлористый 2-водный по ТУ 6-09-50-77, ч., прокаленный.
Кислота азотная, ос.ч., по ГОСТ 11125 или кислота азотная по ГОСТ 4461, х.ч., плотностью 1, 40 г/см3 и разбавленная бидистиллированной водой (1:1) и (1:2).
Кислота лимонная, ос.ч., или кислота лимонная по ГОСТ 3652, х.ч.
Кислота ортофосфорная по ГОСТ 6552, х.ч., плотностью 1, 72 г/см3, разбавленная бидистиллированной водой (1:3).
Кислота серная по ГОСТ 4204, х.ч., плотностью 1, 84 г/см3.
Кислота соляная, ос. ч., по ГОСТ 14261 или кислота соляная по ГОСТ 3118, х.ч., плотностью 1, 19 г/см3, разбавленная бидистиллированной водой (1:1) и раствор концентрации с (HCl) = 0, 2 моль/дм3.
Кислота хлорная, х.ч., плотностью 1, 50 г/см3, раствор с массовой долей 57%, или ч.д.а., плотностью 1, 32 г/см3, раствор с массовой долей 42%; раствор, разбавленный бидистиллированной водой при использовании кислоты квалификации х.ч. (10:9) или ч.д.а. (10:4).
Натрия гидроокись по ГОСТ 4328, ч.д.а., гранулированная и раствор концентрации с (NaOH)= 0, 02 моль/дм3 и концентрации 500 г/дм3.
Пирогаллол А, ч.д.а., раствор концентрации 250 г/дм3.
Азот газообразный по ГОСТ 9293, ос.ч. или "О", или другой инертный газ с массовой долей кислорода не более 0, 001%.
Аммиак водный, ос.ч., по ГОСТ 24147 или аммиак водный по ГОСТ 3760, ч.д.а., очищенный методом изотермической перегонки.
Аммоний лимоннокислый двузамещенный по ТУ 6-09-01-755, ч.д.а., или аммоний лимоннокислый по ТУ 6-09-01-768, ч.д.а., раствор концентрации 200 г/дм3.
Ртуть по ГОСТ 4658, Р0 или Р1.
Кадмий, ч.д.а.
Аммоний надсернокислый по ГОСТ 20478, х.ч.
Аммоний хлористый по ГОСТ 3773, х.ч., раствор массовой концентрации 250 г/дм3.
Натрий лимоннокислый трехзамещенный по ГОСТ 22280, х.ч., раствор концентрацией 500 г/дм3.
Феноловый красный, ч.д.а., спиртовой раствор, приготовленный по ГОСТ 4919.1.
Допускается применять импортные оборудование, посуду и реактивы с техническими характеристиками не ниже отечественных аналогов.
(Измененная редакция, Изм. N 1).
3.1. Дополнительная подготовка проб и минерализация продуктов путем озоления - по ГОСТ 26929.
При анализе поваренной соли минерализацию пробы не проводят.
3.2. Проверка и подготовка лабораторной посуды
Лабораторную стеклянную посуду промывают хромовой смесью, водой, азотной кислотой плотностью 1, 40 г/см3, несколько раз дистиллированной и дважды бидистиллированной водой и высушивают. Затем промывают раствором дитизона концентрации 0, 01 г/см3. Даже при незначительном изменении окраски проводят несколько раз обработку дитизоном: заполняют посуду раствором дитизона концентрации 0, 30 г/см3 и выдерживают каждый раз по 30 мин, после чего промывают хлороформом и повторяют обработку, используя раствор дитизона концентрации 0, 01 г/см3.
Промывают хлороформом и высушивают на воздухе в вытяжном шкафу.
3.1, 3.2. (Измененная редакция, Изм. N 1).
3.3. Очистка инертного газа от кислорода
При наличии примеси кислорода более 0, 001% газ пропускают через поглотительную смесь состоящую из растворов пирогаллола и гидроокиси калия в соотношении 1:5.
3.4. Очистка аммиака методом изотермической перегонки
На дно эксикатора помещают несколько кусочков гидроокиси калия или натрия и приливают 500 см3 водного аммиака по ГОСТ 3760, а на фарфоровой сетке устанавливают выпарительную чашку с 250 см3 бидистиллированной воды. Эксикатор закрывают крышкой и оставляют на 5 сут. В чашке получают очищенный раствор аммиака массовой концентрации от 130 до 150 г/дм3. Концентрацию аммиака в растворе уточняют по таблицам на основе измеренных ареометром показателей плотности.
3.5. Приготовление фоновых электролитов
3.5.1. Фоновый электролит А - смешанный раствор ортофосфорной кислоты концентрации c (1/3H3PO4)=1, 3 моль/дм3 и хлорной кислоты концентрации с (HClO4)=0, 7 моль/дм3: смешивают разбавленные ортофосфорную, хлорную кислоты и бидистиллированную воду в соотношении 3:2:5.
Используют при анализе мяса, мясопродуктов; мяса птицы, яиц и продуктов их переработки; молочных продуктов; желатина; мясных, мясорастительных консервов и пива; кондитерских изделий.
3.5.2. Фоновый электролит Б - раствор соляной кислоты концентрации с (HCl)=
0, 1 моль/дм3: отмеривают пипеткой 8, 2 см3 соляной кислоты плотностью 1, 19 г/см3 в мерную колбу вместимостью 1000 см3 и доводят бидистиллированной водой до метки.
Используют при анализе мяса, мясопродуктов; мяса птицы, яиц и продуктов их переработки; желатина; виноматериалов; хлеба и хлебобулочных изделий; плодоовощных консервов.
3.5.3. Фоновый электролит В - раствор соляной кислоты концентрации с (HCl) =
0, 4 моль/дм3: отмеривают цилиндром 33 см3 соляной кислоты плотностью 1, 19 г/см3 в мерную колбу вместимостью 1000 см3 и доводят до метки бидистиллированной водой.
Используют при анализе зерна и продуктов его переработки; хлеба, хлебобулочных и кондитерских изделий.
3.5.1-3.5.3. (Измененная редакция, Изм. N 1).
3.5.4. Фоновый электролит Ж - раствор соляной кислоты концентрации с (HCl) =
0, 2 моль/дм3 - готовят следующим образом: отмеривают цилиндром 16, 5 см3 соляной кислоты плотностью 1, 19 г/см3 в мерную колбу вместимостью 1 дм3 и доводят до метки бидистиллированной водой. Используют при анализе поваренной соли.
(Введен дополнительно, Изм. N 1).
3.6. Приготовление основного раствора кадмия
Основной раствор кадмия готовят следующим образом: 1, 000 г металлического кадмия помещают в коническую колбу вместимостью 250 см3 и растворяют при нагревании на электроплитке в 25 см3 разбавленной (1:1) азотной кислоты. Раствор выпаривают на электроплитке со слабым нагревом до объема 3 см3, приливают 15 см3 соляной кислоты плотностью 1, 19 г/см3 и вновь выпаривают до того же объема. Выпаривание повторяют еще два раза, добавляя каждый раз по 5 см3 соляной кислоты. После охлаждения добавляют 50 см3 соляной кислоты плотностью 1, 19 г/см3, количественно переносят раствор в мерную колбу вместимостью 1000 см3 и доводят бидистиллированной водой до метки.
Раствор хранят не более 1 года. Концентрация кадмия в основном растворе равна 1 мг/см3.
Стандартные растворы необходимой концентрации готовят последовательным разбавлением в 10, 100 и 1000 раз основного раствора кадмия. При изменении концентрации в испытуемом растворе с использованием фонового электролита А разбавление проводят бидистиллированной водой, в остальных случаях - соответствующим фоновым электролитом.
3.7. Приготовление контрольного раствора
Проверяют каждую новую партию реактивов.
Готовят, используя все реактивы и растворы, аналогично приготовлению испытуемого раствора.
Если контрольный раствор содержит измеримое количество кадмия, его готовят ежедневно при каждой серии измерений.
3.8. Приготовление испытуемого раствора
3.8.1. При использовании фонового электролита А золу, приготовленную по п. 3.1, растворяют в тигле при нагревании на водяной бане в 5 см3 разбавленной (1:2) азотной кислоты. Раствор выпаривают до влажных солей. К осадку в тигле добавляют 2 см3 разбавленной хлорной кислоты и нагревают на водяной бане в течение 5 мин. Раствор охлаждают, добавляют 3 см3 разбавленной ортофосфорной кислоты и 3 см3 бидистиллированной воды, тщательно перемешивают и дают отстояться осадку. Раствор фильтруют в мерную пробирку через обеззоленный фильтр, предварительно промытый фоновым электролитом. Тигель и фильтр смывают бидистиллированной водой, доводя объем до 10 см3.
3.8.2. При использовании фонового электролита Б золу, приготовленную по п. 3.1, растворяют в тигле при нагревании на электроплитке в 5 см3 разбавленной (1:1) соляной кислоты, раствор выпаривают на электроплитке до объема около 1 см3 и затем досуха на водяной бане. Осадок растворяют при нагревании в 5 см3 фонового электролита, охлаждают и фильтруют в мерную пробирку через обеззоленный фильтр, предварительно промытый фоновым электролитом, смывают тигель и фильтр фоновым электролитом и доводят объем раствора до 10 см3.
3.8.3. При использовании фонового электролита В золу, полученную по п. 3.1, растворяют в тигле в 8 см3 фонового электролита, внося его порциями по 2 см3 и перемешивая стеклянной палочкой. После полного растворения золы раствор фильтруют через обеззоленный фильтр, предварительно промытый фоновым электролитом, в мерную пробирку, смывают тигель и фильтр тем же раствором и доводят объем до 10 см3.
3.8.4. Предварительное экстракционное выделение кадмия используют в тех случаях, когда при полярографировании испытуемых растворов, приготовленных по пп. 3.8.1 - 3.8.3, не удается получить четкий пик кадмия в связи с возникновением помех вследствие присутствия в золе мешающих элементов.
3.8.4.1. При анализе всех продуктов, кроме молока и молочных продуктов, золу, полученную по п. 3.1, растворяют в тигле при нагревании на водяной бане в 5 см3 разбавленной (1:2) азотной кислоты. Раствор охлаждают, добавляют 25 см3 бидистиллированной воды и 2 г лимонной кислоты. После растворения лимонной кислоты добавляют 1 см3 раствора тимолового синего и доводят рН примерно до 8, 8 медленным добавлением аммиака при охлаждении пробы в ледяной бане. Цвет раствора должен измениться от красного через желтый до зеленовато-синего. Если при подщелачивании раствором аммиака образуется осадок, увеличивают количество добавляемой лимонной кислоты.
Раствор количественно переносят в делительную воронку вместимостью 250 или 500 см3 и, смывая несколько раз тигель бидистиллированной водой, объем доводят примерно до 150 см3.
Кадмий несколько раз экстрагируют раствором дитизона порциями по 5 см3 до прекращения изменения цвета, встряхивая в делительной воронке каждый раз по 2 мин. Сначала используют раствор дитизона концентрацией 1 г/дм3, затем - 0, 2 г/дм3.
Дитизоновые экстракты собирают в делительной воронке, промывают 50 см3 бидистиллированной воды и переносят в другую делительную воронку. Водный слой промывают 5 см3 хлороформа и добавляют хлороформ к объединенным дитизоновым экстрактам.
В делительную воронку с дитизоновыми экстрактами добавляют 30 см3 раствора соляной кислоты концентрации с (HCl) = 0, 2 моль/дм3, встряхивают в течение 2 мин и оставляют до разделения слоев. Дитизоновый раствор в хлороформе отбрасывают.
Оставшийся в делительной воронке раствор соляной кислоты промывают 5 см3 хлороформа. Хлороформ отбрасывают. Раствор фильтруют в тигель через обеззоленный фильтр, предварительно промытый раствором соляной кислоты концентрации с (HCl) = 0, 2 моль/дм3. Делительную воронку и фильтр смывают два раза бидистиллированной водой порциями по 10 см3. Промывные воды присоединяют к раствору соляной кислоты, выпаривают на электроплитке при слабом нагреве до объема около 1 см3 и затем досуха на водяной бане.
Остаток растворяют в 10 см3 фонового электролита Б.
(Измененная редакция, Изм. N 1).
3.8.4.2. При анализе молока и молочных продуктов золу, приготовленную по п. 3.1, растворяют в тигле при нагревании на водяной бане в 7 см3 разбавленной (1:2) азотной кислоты. Раствор охлаждают, добавляют 13 см3 бидистиллированной воды и количественно переносят его в делительную воронку вместимостью 500 см3, смывая несколько раз тигель бидистиллированной водой. Добавляют 20 см3 раствора лимоннокислого аммония, 1 см3 раствора тимолового синего и доводят рН примерно до 8, 8 медленным добавлением аммиака. Цвет раствора должен измениться от красного через желтый до зеленовато-синего.
Кадмий экстрагируют дитизоном и обрабатывают пробу по п. 3.8.1.
3.8.5. При анализе поваренной соли 25, 00 г соли растворяют в стакане в 200 см3 бидистиллированной воды, приливают 1 см3 раствора серной кислоты и вносят около 1 г надсернокислого аммония. Присоединяют обратный холодильник и кипятят 30 мин. Охлажденный раствор фильтруют через фильтр, предварительно промытый соляной кислотой (1:1) и бидистиллированной водой, в делительную воронку вместимостью 500 см3. Смывают стакан и фильтр бидистиллированной водой и доводят объем раствора примерно до 400 см3, приливают 20 см3 раствора хлористого аммония, 10 см3 раствора лимоннокислого натрия. Раствор перемешивают после добавления каждого реактива, вводят 1 см3 раствора фенолового красного и приливают раствор гидроокиси натрия концентрации 500 г/дм3 до появления фиолетовой окраски раствора, а затем приливают еще 5 см3 раствора гидроокиси натрия. Полученный раствор перемешивают и несколько раз экстрагируют кадмий раствором дитизона в хлороформе порциями приблизительно по 5 см3 до прекращения изменения цвета, встряхивая в делительной воронке каждый раз до 2 мин. Сначала используют раствор дитизона концентрации 1 г/дм3, а затем - 0, 2 г/дм3 .
При анализе вакуум-выварочной соли обработку раствора серной кислотой и надсернокислым аммонием не проводят.
Дитизоновые экстракты собирают в делительные воронки вместимостью 250 см3 и приливают двумя порциями по 50 см3 бидистиллированной воды. Водный слой промывают 5 см3 хлороформа и приливают его к объединенным экстрактам.
В делительную воронку с дитизоновыми экстрактами добавляют 2 см3 соляной кислоты концентрации с (HCl) = 0, 2 моль/дм3 и интенсивно встряхивают в течение 2 мин. Реэкстракцию повторяют дважды. Объединенный реэкстракт фильтруют в мерную пробирку через фильтр, предварительно промытый фоновым электролитом Ж, смывают фильтр тем же электролитом и доводят объем до 10 см3.
(Введен дополнительно, Изм. N 1).
4.1. Измерения проводят на полярографе в режиме переменного тока с ртутно-капельным электродом в электролизере вместимостью 5 см3.
Полярограмму записывают при напряжении от минус 0, 6 до минус 1, 0 В относительно донной ртути, выбирая режим работы в соответствии с инструкцией к полярографу.
4.1.1. Прямое полярографирование
Используют в тех случаях, когда массовая доля кадмия в пробе обеспечивает получение четкого пика металла на полярограмме, а состав элементов в золе не создает помех.
Определение проводят следующим образом: в две конические колбы вместимостью 10 или 25 см3 помещают по 4 см3 контрольного или испытуемого раствора по пп. 3.7 или 3.8. В первую колбу добавляют 1 см3 соответствующего фонового электролита или бидистиллированной воды (при работе с фоновым электролитом А) и пропускают через раствор азот или любой другой инертный газ в течение 10 мин.
Раствор немедленно переносят в электролизер, предварительно промытый дистиллированной водой, фоновым электролитом и полярографируемым раствором, полярографируют и измеряют высоту пика кадмия.
Во вторую колбу вносят добавку - стандартный раствор в таком количестве, чтобы высота пика кадмия на полярограмме примерно удвоилась по сравнению с первоначальной. Добавку следует вносить в малом объеме (не более 1 см3), чтобы предотвратить изменение концентрации фонового электролита и зольных элементов. Затем в колбу добавляют фоновый электролит или бидистиллированную воду (при работе с фоновым электролитом А) в объеме, необходимом для доведения его до 5 см3. Пропускают инертный газ, полярографируют в тех же условиях и измеряют высоту пика кадмия.
4.1.2. Полярографирование с предварительным внесением кадмия в испытуемый раствор
Используют при анализе образцов с низкой массовой долей кадмия или в тех случаях, когда на полярограмме вследствие помех из-за сложного элементарного состава золы наблюдается только нечеткий изгиб в области пика кадмия.
Определение проводят следующим образом: в две конические колбы вместимостью 10 или 25 см3 помещают по 4 см3 контрольного или испытуемого раствора и добавляют минимальное количество кадмия (0, 2-0, 5 мкг), которое обеспечило бы получение на полярограмме четкого пика кадмия.
Далее поступают, как указано в п. 4.1.1.
Примечание. При работе по пп. 3.8, 4.1.1 и 4.1.2 необходимые объемы жидкости отбирают только пипеткой.
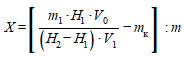
5.1. Массовую долю кадмия (X) в млн-1 (мг/кг) или массовую концентрацию (X) в мг/дм3 вычисляют по высоте пиков, измеренных на полярограммах с помощью линейки с погрешностью до 1 мм соответственно по формулам:
при полярографировании по п. 4.1.1:
;
;
при полярографировании по п. 4.1.2:
;
;
где m - масса навески продукта, взятая для озоления, г;
m1 - масса кадмия, добавленная перед вторым полярографированием, мкг;
m2 - масса кадмия, предварительно добавленная для получения четкого пика кадмия, мкг;
mк - масса кадмия в контрольном растворе, мкг;
V0 - общий объем испытуемого раствора, приготовленного из озоленной навески, см3;
V1 - объем испытуемого раствора, взятый для полярографирования, см3;
V - объем продукта, взятый для озоления, см3;
H1 - высота пика кадмия, полученная при первом полярографировании, мм;
H2 - высота пика кадмия, полученная при втором полярографировании, мм.
Вычисление производят до третьего десятичного знака.
Примечание. При анализе поваренной соли: m - масса навески в пересчете на сухое вещество, г.
(Измененная редакция, Изм. N 1).
5.2. За окончательный результат принимают среднеарифметическое значение (X̅) результатов двух параллельных определений, допускаемое расхождение между которыми не должно превышать при Р = 0, 95 30% по отношению к среднему арифметическому. Окончательный результат округляют до второго десятичного знака.
5.3. Пределы возможных значений систематической составляющей погрешности измерений массовой доли кадмия любой пробы при допускаемых методикой изменениях влияющих факторов составляют ±0, 08·X̅.
5.4. Минимальная концентрация кадмия, определяемая указанным методом, составляет 0, 02 мкг в см3 полярографируемого раствора.
При анализе поваренной соли минимальная концентрация кадмия, определяемая данным методом, составляет 0, 25 мкг в исследуемом объеме пробы массой 25 г [0, 01 млн-1 (мг/кг)].
(Измененная редакция, Изм. N 1).
5.5. Значение среднеквадратичного отклонения случайной составляющей погрешности измерений массовой доли кадмия одной и той же пробы в разных лабораториях при допускаемых методикой изменениях влияющих факторов составляет 0, 22·X.
5.6. Допускаемое расхождение между результатами испытаний, выполненных в двух разных лабораториях, не должно превышать 60% по отношению к среднеарифметическому значению при Р=0, 95.
Метод основан на предварительном концентрировании кадмия и последующем его определении на атомно-абсорбционном спектрофотометре в пламени ацетилен-воздух.
Метод используют при арбитражных анализах.
6.1. Аппаратура, реактивы и растворы
Атомно-абсорбционный спектрофотометр.
Ацетилен газообразный технический по ГОСТ 5457.
Весы лабораторные общего назначения с наибольшим пределом взвешивания 200 г 2-го и 3-го классов точности по ГОСТ 24104.
Плитка электрическая с закрытой спиралью по ГОСТ 14919.
Шкаф сушильный любого типа, обеспечивающий температуру нагрева 100-200°С.
Центрифуга лабораторная любого типа, обеспечивающая частоту вращения
6000 мин-1.
Воронки делительные ВД-1-50 ХС, ВД-1-500 ХС по ГОСТ 25336.
Колбы мерные 2-100-2 и 2-1000-2 по ГОСТ 1770.
Пипетки стеклянные вместимостью 1, 2, 5, 10, 50 и 100 см3.
Стаканчики для взвешивания СВ 24/10 по ГОСТ 25336.
Стаканы В-1-2000 ТХС по ГОСТ 25336.
Аммоний хлористый по ГОСТ 3773, раствор с массовой долей 25%.
Бутиловый эфир уксусной кислоты по ГОСТ 22300, х.ч., или метилизобутилкетон по ТУ 5-09-14-32.
Вода бидистиллированная.
Магний сернокислый по ГОСТ 4523, раствор концентрации с (MgS4)=1 моль/дм3.
Кадмия окись по ГОСТ 11120, х.ч.
Кислота азотная по ГОСТ 11125, ос.ч., плотностью 1, 40 г/см3.
Кислота соляная по ГОСТ 14261, ос.ч., или по ГОСТ 3118, х.ч., плотностью 1, 19 г/см3 и разбавленная бидистиллированной водой (1:1).
Натрия гидроокись по ГОСТ 4328, растворы концентраций с (NaOH) = 1 моль/дм3 и 3 моль/дм3.
Аммоний надсернокислый по ГОСТ 20478, х.ч.
Кислота серная по ГОСТ 4204, х.ч., плотностью 1, 84 г/см3.
Натрий лимоннокислый по ГОСТ 22280, раствор с массовой долей 50%.
Натрий хлористый, х.ч., для спектрального анализа.
Натрия диэтилдитиокарбамат по ГОСТ 8864, раствор с массовой долей 1%, хранят в посуде из темного стекла.
Спирт этиловый ректификованный по ГОСТ 18300.
Углерод четыреххлористый по ГОСТ 20288.
Стандартные растворы кадмия.
Раствор 1, содержащий 1 г кадмия в 1 дм3 раствора; готовят следующим образом: растворяют 1, 1420 г окиси кадмия в 20 см3 соляной кислоты (1:1) и разбавляют объем полученного раствора бидистиллированной водой до 1 дм3.
Раствор 2, содержащий 1 мкг кадмия в 1 см3 раствора; готовят путем отбора 10 см3 раствора 1 в мерную колбу вместимостью 1 дм3, разбавляют водой до метки и тщательно перемешивают. От полученного раствора отбирают 10 см3 в мерную колбу вместимостью 100 см3 и разбавляют водой до метки.
Раствор 3, содержащий 0, 1 мкг кадмия в 1 см3 раствора; готовят путем отбора
10 см3 раствора 2 в мерную колбу вместимостью 100 см3 и доведения объема раствора бидистиллированной водой до метки.
6.2. Подготовка к испытанию
6.2.1. Подготовка лабораторной посуды
Вымытую стеклянную посуду дополнительно промывают хромовой смесью, раствором азотной кислоты, ополаскивают дистиллированной, а затем бидистиллированной водой и высушивают.
6.2.2. Приготовление растворов сравнения
При содержании кадмия в поваренной соли более 0, 1 мг/кт (1-й вариант) в делительные воронки вместимостью 500 см3 помещают по 10, 00 г хлористого натрия, растворяют примерно в 400 см3 воды, приливают раствор 2 или 3, объем которых указан в таблице, 12 см3 раствора хлористого аммония, 10 см3 лимоннокислого натрия, 6 см3 раствора гидроокиси натрия концентрации с (NaOH) = 1 моль/дм3 и тщательно перемешивают. Приливают 5 см3 раствора диэтилдитиокарбамата натрия, 5 см3 четыреххлористого углерода и встряхивают полученную смесь в течение 10 мин. После разделения слоев органическую фазу (нижний слой) переносят в другую делительную воронку вместимостью 50 см3. Водный слой промывают 2 см3 четыреххлористого углерода и объединяют с экстрактом. Из полученного экстракта реэкстрагируют кадмий 1, 5 см3 соляной кислоты (1:1) в течение 1 мин, реэ-кстракцию повторяют, а реэкстракты объединяют и сливают в стаканчик для взвешивания.
|
Раствор сравнения |
Объем приливаемых растворов кадмия, см3 | |||
|
Раствор 2 |
Раствор 3 | |||
|
1-й вариант |
2-й вариант |
1-й вариант |
2-й вариант | |
|
1 |
- |
- |
9 |
1 |
|
2 |
- |
- |
- |
8 |
|
3 |
2, 0 |
1, 5 |
- |
- |
|
4 |
2, 5 |
3, 0 |
- |
- |
|
5 |
3, 0 |
5, 0 |
- |
- |
При содержании в поваренной соли кадмия менее 0, 1 мг/кг (2-й вариант) в стаканы помещают по 150 г хлористого натрия, растворяют примерно в 1 дм3 воды, приливают раствор 2 или 3, объем которых указан в таблице, по 3 см3 раствора сернокислого магния. Нагревают и из кипящего раствора осаждают гидроокись магния прибавлением 10 см3 раствора гидроокиси натрия концентрации с (NaOH) = 3 моль/дм3. Осадку дают осесть, сливают прозрачный раствор сифоном, оставшуюся часть раствора отделяют от осадка центрифугированием. Осадок растворяют в соляной кислоте, приливая ее по каплям до полного растворения осадка.
Полученный раствор переносят в делительную воронку вместимостью 50 см3, разбавляют водой до объема примерно 30 см3, приливают 2 см3 раствора лимоннокислого натрия, 2 см3 раствора хлористого аммония, 3 см3 раствора гидроокиси натрия концентрации с (NaOH) = 1 моль/дм3, содержимое встряхивают до полного растворения выпавшего осадка, приливают 2 см3 раствора диэтилдитиокарбамата натрия, 4 см3 бутилового эфира уксусной кислоты и встряхивают 10 мин. После разделения слоев водный слой отбрасывают, а органический сливают в сухой стаканчик для взвешивания.
6.2.3. Приготовление контрольных растворов
Контрольный раствор 1 служит для учета загрязнений, вносимых с реактивами в раствор пробы. Готовят, используя все растворы, применяемые при приготовлении испытуемых растворов в последовательности, указанной в п. 6.2.4.
Контрольный раствор 2 служит для учета загрязнений, вносимых с реактивами в раствор сравнения. Готовят, используя все реактивы (кроме стандартных растворов кадмия), применяемые при приготовлении растворов сравнения в последовательности, указанной в п. 6.2.2.
6.2.4. Приготовление испытуемых растворов
При массовой доле кадмия в поваренной соли более 0, 1 мг/кг (1-й вариант) навеску поваренной соли массой 10, 00 г растворяют в 200 см3 дистиллированной воды, приливают 1 см3 серной кислоты и вносят около 1 г надсернокислого аммония, кипятят раствор в течение 30 мин. Охлажденный до комнатной температуры раствор фильтруют через промытый соляной кислотой (1:1) и бидистиллированной водой фильтр в делительную воронку вместимостью 500 см3 и доводят объем раствора бидистиллированной водой примерно до 400 см3. Приливают 12 см3 раствора хлористого аммония, 10 см3 раствора лимоннокислого натрия, 10 см3 раствора гидроокиси натрия концентрации с (NaOH) = 3 моль/дм3 и тщательно перемешивают. Приливают 5 см3 раствора диэтилдитио-карбамата натрия, 5 см3 четыреххлористого углерода и встряхивают полученную смесь в течение 10 мин.
После разделения слоев органическую фазу (нижний слой) переносят в другую делительную воронку вместимостью 50 см3. Водный слой промывают 2 см3 четыреххлористого углерода и объединяют с экстрактом. Из полученного экстракта реэкстрагируют кадмий 1, 5 см3 соляной кислоты (1:1) в течение 1 мин, реэкстракцию повторяют, а реэкстракты объединяют.
При анализе чренной и вакуум-выварочной соли навеску продукта массой 10, 00 г помещают в делительную воронку вместимостью 500 см3, растворяют примерно в 400 см3 воды, приливают 12 см3 раствора хлористого аммония, 6 см3 раствора гидроокиси натрия концентрации с (NaOH) = 1 моль/дм3, тщательно перемешивают. Далее испытания проводят, как указано в п. 6.2.2 (1-й вариант).
При массовой доле кадмия в поваренной соли менее 0, 1 мг/кг (2-й вариант) навеску поваренной соли массой 150, 00 г растворяют в примерно 600 см3 воды, приливают 2 см3 серной кислоты, вносят около 2 г надсернокислого аммония.
Кипятят раствор в течение 30 мин. Разбавляют водой до объема примерно 1 дм3, приливают 3 см3 раствора сернокислого магния (при содержании в поваренной соли магния более 0, 016% прибавление раствора сернокислого магния излишне). Нагревают до кипения и из кипящего раствора осаждают гидроокись магния прибавлением 16 см3 раствора гидроокиси натрия концентрации с (NaOH) = 3 моль/дм3. Далее поступают, как описано выше при приготовлении растворов сравнения (2-й вариант).
При анализе вакуум-выварочной соли навеску продукта массой 150, 00 г помещают в стакан, растворяют примерно в 1 дм3 воды, приливают 3 см3 раствора сернокислого магния (при содержании в поваренной соли магния более 0, 016% прибавление сернокислого магния излишне). Нагревают до кипения и из кипящего раствора осаждают гидроокись магния прибавлением 10 см3 раствора гидроокиси натрия концентрации с (NaOH) = 3 моль/дм3. Далее испытания проводят, как указано в п. 6.2.2 (2-й вариант).
Допускается использование физических методов разрушения органических соединений (ультрафиолетовое облучение, ультразвук), обеспечивающих полноту разрушения около 98%. В этом случае испытания ведутся так же, как при определении кадмия в вакуум-выварочной и чренной соли.
6.3. Проведение испытания
Включают атомно-абсорбционный спектрофотометр, прогревают и настраивают его в соответствии с инструкцией по эксплуатации на резонансную линию 228, 3 нм. Фотометрируя воду, устанавливают нуль абсорбции (во 2-м варианте нуль абсорбции устанавливают, фотометрируя бутиловый эфир уксусной кислоты). Далее фотометрируют растворы сравнения, распыляя их последовательно в пламени горелки в порядке возрастания концентрации кадмия, затем распыляют контрольные и испытуемые растворы. Между измерениями горелку спектрофотометра необходимо промывать небольшим количеством воды (для 2-го варианта - этилового спирта).
Допускается использовать вместо бутилового эфира уксусной кислоты метилизобутилкетон.
6.4. Обработка результатов
По полученным данным строят градуировочный график, откладывая по оси абсцисс значения кадмия в микрограммах (мкг), а по оси ординат - соответствующие значения абсорбции с учетом результатов контрольного опыта. Содержание кадмия в испытуемом растворе поваренной соли в микрограммах (мкг) находят по градуировочному графику.
Массовую долю кадмия (X1) в млн-1 (мг/кг) вычисляют по формуле
,
где m1 - содержание кадмия в исследуемой пробе, определенное по градуировочному графику, мкг;
m - масса навески соли в пересчете на сухое вещество, г.
Вычисления проводят до третьего десятичного знака.
За окончательный результат испытания принимают среднеарифметическое значение результатов (X'1) двух параллельных определений, допускаемое расхождение между которыми не должно превышать при доверительной вероятности Р - 0, 95 30% по отношению к среднеарифметическому значению. Окончательный результат округляют до второго десятичного знака.
Минимальная концентрация кадмия, определяемая данным методом по 1-му варианту, составляет 9·10-4 мкг в исследуемом объеме пробы массой 10 г [0, 09·10-4 млн-1 (мг/кг)] и по 2-му варианту - 0, 099 мкг в исследуемом объеме пробы массой 150 г [6, 6·10-4 млн-1 (мг/кг).
Допускаемое расхождение между результатами испытаний, выполненных в двух разных лабораториях, не должно превышать 60% по отношению к среднеарифметическому значению при доверительной вероятности Р = 0, 95.
Разд. 6. (Введен дополнительно, Изм. N 1).
______________________________
* С 1 июля 2002 г. действует ГОСТ 24104-2001 (На территории Российской Федерации действует ГОСТ Р 53228-2008) (здесь и далее).


