Утв. Постановлением Государственного комитета стандартов Совета Министров СССР от 7 июля 1977 г. N 1698
Межгосударственный стандарт ГОСТ 22617.1-77
"СЕМЕНА САХАРНОЙ СВЕКЛЫ. МЕТОДЫ ОПРЕДЕЛЕНИЯ ЧИСТОТЫ, ОТХОДА СЕМЯН, ВЫРАВНЕННОСТИ ПО РАЗМЕРАМ, ОДНОСЕМЯННОСТИ"
Seeds of sugar beet. Method for determination of purity, seed lot impurity, size uniformity, monospermuity
Дата введения установлена - 1 июля 1978 г.
Взамен ГОСТ 12037-66
в части семян сахарной свеклы
Настоящий стандарт распространяется на семена сахарной свеклы и устанавливает методы определения чистоты, отхода семян, выравненности, семян по размерам, односемянности семян односемянной сахарной свеклы и ее гибридов.
Стандарт не распространяется на определение чистоты, отхода семян, выравненности семян по размерам, односемянности в селекционном процессе и при производственном контроле в процессе обработки семян.
Термины и определения - по ГОСТ 20290-74, ГОСТ 20578-85.
(Измененная редакция, Изм. N 1).
1. Методы определения чистоты и отхода семян
1.1. Отбор образцов
1.1.1. Отбор образцов - по ГОСТ 22617.0-77.
Чистоту и отход семян определяют по двум навескам массой по 20 г каждая для диплоидных семян и 25 г каждая для полиплоидных и дражированных семян сахарной свеклы.
По всему среднему образцу определяют: засоренность семян карантинными сорняками; наличие стебельков длиннее 1 см; в обработанных семенах - наличие семян других растений, в том числе семян сорняков, в необработанных семенах - трудноотделимые семена культурных и сорных растений.
1.1.2. Выделение навесок
1.1.2.1. Перед выделением навесок средний образец высыпают на гладкую поверхность и, тщательно перемешивая семена, определяют их цвет, наличие плесени, запах. Если при просмотре среднего образца будут обнаружены крупные посторонние примеси - комочки земли, камешки и т.п., которые не могут равномерно распределяться в семенах, эти примеси выбирают из образца и взвешивают до сотой доли грамма.
С семенами, обработанными защитными или защитно-стимулирующими веществами, работают в вытяжном шкафу.
1.1.2.2. Навески выделяют механическим делителем или вручную.
Для выделения навесок вручную средний образец семян разравнивают в виде прямоугольника толщиной слоя не более 1 см и двумя совками, направленными друг к другу до соединения, отбирают в шахматном порядке 16 выемок семян для первой навески, а затем между ними - 16 выемок для составления второй навески. Схема отбора приведена на чертеже.
OXOXOXOX
XOXOXOXO
OXOXOXOX
XOXOXOXO
О - место отбора выемок семян для составления первой навески;
X - место отбора выемок семян для составления второй навески.
Для добавления семян в процессе взвешивания семена берут из разных мест среднего образца.
Навески взвешивают до сотой доли грамма. Допускаемое отклонение массы навески от установленной ±10%. При отклонении более допустимого навеску выделяют заново.
1.2. Аппаратура и материалы
1.2.1. Для проведения анализа применяют:
весы циферблатные по ГОСТ 29329-92;
весы лабораторные по ГОСТ 24104-2001;
набор гирь по ГОСТ 7328-2001;
часы песочные 3-минутные по ОСТ 25 11-38-84;
шкаф вытяжной;
классификатор семян решетный;
делитель семян механический;
комплект лабораторных свекловичных решет;
лупу;
совки;
розетки;
шпатель;
доску разборную.
1.3. Проведение анализа
1.3.1. Каждую навеску семян просеивают через решета с круглыми отверстиями.
При анализе необработанных семян одну из выделенных навесок семян просеивают через набор решет, подобранных в соответствии с табл. 1.
Таблица 1
|
Вид семян
|
Назначение семян
|
Размер отверстий решета,
|
мм
|
|
первого
|
второго
|
третьего
|
четвертого
|
|
Односемянные
|
Промышленные посевы
|
5, 5
|
4, 5
|
3, 5
|
3, 0
|
|
Репродукционные посевы
|
5, 5
|
4, 5
|
3, 75
|
3, 25
|
|
Многосемянные
|
Промышленные посевы
|
5, 5
|
4, 5
|
3, 5
|
3, 25
|
|
Репродукционные посевы
|
5, 5
|
4, 5
|
3, 5
|
-
|
Просеивание ведут в течение 3 мин вручную с общим числом колебаний около 180 или на решетном классификаторе семян.
(Измененная редакция, Изм. N 1).
1.3.2. После просеивания навески семян через решета подсчитывают число семян, оставшихся на каждом решете.
1.3.3. Вторую навеску семян просеивают через одно из решет, указанных в табл. 2.
Таблица 2
|
Вид семян
|
Назначение семян
|
Размер отверстий решета, мм
|
|
Односемянные
|
Промышленные посевы
|
3, 0
|
|
Репродукционные посевы
|
3, 25
|
|
Многосемянные
|
Промышленные посевы
|
3, 25
|
|
Репродукционные посевы
|
3, 5
|
(Измененная редакция, Изм. N 1).
1.3.4. При анализе на чистоту калиброванных, технически обработанных и дражированных семян первую и вторую навески просеивают 3 мин вручную или на решетном классификаторе семян через одно из решет, указанных в табл. 2.
1.3.5. После просеивания семена, оставшиеся на решетах, делят на семена основной культуры и отход семян.
К семенам основной культуры относят все плоды и соплодия независимо от того, содержат они или нет собственно семена.
К отходу семян относят:
семена сахарной свеклы, прошедшие через нижнее решето при просеивании семян;
семена, выпавшие из плодов и соплодий;
семена сорных растений - независимо от наличия или отсутствия в них повреждений;
семена других культурных растений;
комочки земли, камешки, песок, экскременты грызунов и насекомых, вредители, растительные остатки.
1.3.6. Из отходов калиброванных (шлифованных) семян после его взвешивания выделяют семена культурных растений, семена сорняков, стебельки длиной более 1 см, кроме стебельков диаметром менее 1 мм. Плоды и соплодия, находящиеся на стебельках, отделяют.
Из отхода необработанных семян выделяют только трудноотделимые семена культурных растений и сорняков, а также стебельки длиной более 1 см. Стебельки по каждой навеске учитывают поштучно. Семена других культурных растений, у которых зародыш отсутствует, не учитывают.
1.3.7. Отход семян взвешивают до сотой доли грамма.
Если при анализе навески на чистоту установлено, что общий отход или примесь семян других растений, или семян сорных растений, или количество стебельков длиной более 1 см вдвое больше нормы, допустимой стандартом на посевные качества, то анализ второй навески и выделение этих примесей из остатка образца не производят. При проведении арбитражного анализа определение производят полностью.
1.3.8. Просматривая остаток среднего образца, выделяют семена культурных растений и сорняков, стебельки. В необработанных семенах выделяют только трудноотделимые семена культурных растений и сорняков, стебельки.
Семена других растений, выделенных из остатка образца, объединяют с аналогичной примесью, выделенной из навесок, и взвешивают до сотых долей грамма, семена сорняков взвешивают отдельно. Стебельки учитывают поштучно.
1.3.6 - 1.3.8. (Измененная редакция, Изм. N 1).
1.4. Обработка результатов
1.4.1. Массу семян основной культуры вычисляют как разность массы навески и отхода семян. Чистоту и отход семян вычисляют в процентах. Массу семян основной культуры и отхода семян умножают на 5 при анализе диплоидных семян или на 4 при анализе полиплоидных и дражированных семян.
За результат анализа принимают среднее арифметическое результатов определения чистоты или отхода семян в двух навесках.
Содержание семян других растений, в том числе сорняков вычисляют в процентах к массе анализируемого образца.
(Измененная редакция, Изм. N 1).
1.4.2. Анализ считают законченным, если расхождение между результатами определения чистоты семян в двух навесках не превышает допустимого в табл. 3.
Пример. Чистота семян в первой навеске составляет 98, 00%, во второй - 97, 20%.
Среднее арифметическое составит:
.
При среднем арифметическом 97, 60% допускаемое расхождение равно 0, 8%. Фактическое расхождение между результатами анализа двух навесок составляет 0, 8% (98, 0 - 97, 2), т.е. не превышает допускаемого расхождения.
Таблица 3
|
%
|
|
Среднее арифметическое значение чистоты, вычисленное по результатам анализа двух навесок семян
|
Допускаемое расхождение между результатами анализа двух навесок семян
|
Среднее арифметическое значение чистоты, вычисленное по результатам анализа двух навесок семян
|
Допускаемое расхождение между результатами анализа двух навесок семян
| |
|
От 99, 5 до 100
|
0, 2
|
От 92, 0 до 92, 99
|
1, 8
| |
|
" 99, 0 " 99, 49
|
0, 4
|
" 91, 0 " 91, 99
|
2, 0
| |
|
" 98, 0 " 98, 99
|
0, 6
|
" 90, 0 " 90, 99
|
2, 2
| |
|
" 97, 0 " 97, 99
|
0, 8
|
" 85, 0 " 89, 99
|
3, 0
| |
|
" 96, 0 " 96, 99
|
1, 0
|
" 85, 0 " 84, 99
|
3, 8
| |
|
" 95, 0 " 95, 99
|
1, 2
|
" 65, 0 " 74, 99
|
4, 6
| |
|
" 94, 0 " 94, 99
|
1, 4
|
" 55, 0 " 64, 99
|
5, 4
| |
|
" 93, 0 " 93, 99
|
1, 6
|
" 45, 0 " 54, 99
|
6, 2
| |
1.4.3. Если расхождение между чистотой семян в двух навесках превышает допустимое, производят определение чистоты в третьей навеске, выделенной из остатка среднего образца методом, указанным в п. 1.1.2. Значение чистоты по третьей навеске сравнивают с результатами анализа первых двух. Чистоту семян устанавливают по среднему арифметическому результатов анализа третьей навески и одной из предыдущих навесок, расхождение с которой не превышает допустимого.
При расхождении между результатом анализа третьей навески и результатами двух предыдущих в пределах допустимого, окончательный результат анализа вычисляют как среднее арифметическое результатов анализа всех трех навесок.
При расхождении между результатами анализа третьей и двух предыдущих навесок, превышающем допустимое по табл. 3, результат анализа вычисляют как среднее арифметическое результатов анализа двух навесок, имеющих наименьшее расхождение.
1.4.4. В случае обнаружения при просмотре образца семян крупных примесей вычисляют их содержание в процентах. Полученный результат прибавляют к проценту отхода, вычисленному по результатам анализа навесок.
Пример. Из образца семян сахарной свеклы массой 500 г выделено два комочка земли общей массой 0, 23 г, что составляет 0, 046%. При анализе навесок был выделен отход 2, 16%. Общий отход составит:
0, 046 + 2, 16 = 2, 20%.
1.4.5. Количество стебельков длиннее 1 см в навесках и в остатке среднего образца подсчитывают, суммируют и пересчитывают на 1 кг семян.
(Измененная редакция, Изм. N 1).
1.4.6. При просеивании навески семян через набор решет определяют их фракционный состав: число оставшихся на каждом решете семян подсчитывают в штуках, затем суммируют и вычисляют процент семян, оставшихся на каждом решете.
Вычисления производят до десятых долей процента с последующим округлением до целого числа.
Округление результатов производят следующим образом: если цифра, следующая за установленным пределом, больше 5, то предшествующую цифру увеличивают на единицу, если же цифра меньше 5, то ее отбрасывают, если цифра равна 5, то последнюю цифру увеличивают на единицу, если она нечетная, и оставляют без изменения, если она четная или нуль.
1.4.7. Результаты анализа записывают в рабочий бланк по форме, указанной в приложении 1.
2. Определение выравненности калиброванных семян по размерам
2.1. Отбор образцов
2.1.1. Отбор образцов - по ГОСТ 22617.0-77.
Для проведения анализа из среднего образца отбирают две навески массой по 20 г каждая для диплоидных семян и 25 г каждая для полиплоидных и дражированных семян методом, указанным в п. 1.1.2.
2.2. Оборудование
2.2.1. Для проведения анализа применяют:
весы лабораторные по ГОСТ 24104-2001;
набор гирь по ГОСТ 7328-2001;
классификатор семян решетный;
комплект лабораторных свекловичных решет.
2.3. Проведение анализа
2.3.1. Из каждой навески выделяют выравненные по размерам семена, соответствующие фракции, указанной в сопроводительном документе.
Для этого навеску в течение 3 мин просеивают вручную с общим количеством колебаний около 180 или на решетном классификаторе семян через два решета с круглыми отверстиями диаметром, соответствующим фракции анализируемых семян. Например, при анализе семян фракции 4, 5 - 5, 5 мм верхнее решето должно быть с отверстиями диаметром 5, 5 мм, нижнее - 4, 5 мм.
Оставшиеся на нижнем решете выравненные по размерам семена взвешивают до десятой доли грамма.
При определении выравненности шлифованных (технически обработанных) семян оставшиеся на нижнем решете семена из каждой навески фракции диаметром 3, 5 - 4, 5 мм дополнительно просеивают через решето с прямоугольными отверстиями шириной 2, 0 мм, а семена из каждой навески фракции 4, 5 - 5, 5 мм дополнительно просеивают через решето с прямоугольными отверстиями шириной 2, 4 мм.
Оставшиеся на этом решете семена взвешивают до десятой доли грамма.
(Измененная редакция, Изм. N 1).
2.4. Обработка результатов
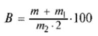
2.4.1. Выравненность по размерам семян (В) в процентах вычисляют по формуле
,
где m - масса семян первой навески, оставшихся на нижнем решете или решете с продолговатыми отверстиями, г;
m1 - масса семян второй навески, оставшихся на. нижнем решете или решете с продолговатыми отверстиями, г;
m2 - масса навески, г.
Анализ считают законченным, если расхождение между массой выравненных по размерам семян в двух параллельных определениях не превышает, г:
0, 6 - при выравненности семян 88% и более;
до 1, 0 - при выравненности семян 87% и менее.
Если расхождение превышает указанное допустимое значение, отбирают и просеивают третью навеску. В этом случае выравненность вычисляют по двум навескам, расхождение результатов по которым не превышает допустимое значение.
Если расхождение результатов определения выравненности семян в двух навесках вновь окажется более допустимого, результат анализа вычисляют по результатам просеивания трех навесок по формуле
,
где m3 - масса семян третьей навески, оставшихся на нижнем решете или решете с продолговатыми отверстиями, г.
Вычисления производят до целого числа. Правила округления результата - по п. 1.4.6.
Результаты анализа записывают в рабочий бланк по форме, указанной в приложении 2.
(Измененная редакция, Изм. N 1).
3. Определение односемянности
3.1. Отбор образцов
3.1.1. Отбор образцов - по ГОСТ 22617.0-77.
Для определения односемянности используют семена основной культуры, выделенные при анализе одной навески по п. 1.3.
При анализе семян только по показателю односемянности из среднего образца выделяют одну навеску массой 20 г для диплоидных и 25 г для полиплоидных семян сахарной свеклы. Навеску семян разбирают на семена основной культуры и отход семян.
3.2. Оборудование
3.2.1. Для проведения анализа применяют:
лупу;
пинцет.
3.3. Проведение анализа
3.3.1. Семена просматривают и подсчитывают в них плоды и соплодия.
3.4. Обработка результатов
3.4.1. Односемянность семян сахарной свеклы (О) в процентах вычисляют по формуле
,
где n - число плодов в семенах основной культуры, шт.;
n1 - число соплодий в семенах основной культуры, шт.
Результат анализа вычисляют до целого числа. Правила округления результата - по п. 1.4.6.
Результаты записывают в рабочий бланк по форме, указанной в приложении 2.
Приложение 1
Обязательное
Рабочий бланк
анализа средних образцов семян сахарной свеклы N
Образец поступил_________________________________________________________
(наименование организации, адрес)
Вид семян______________ фракция, мм________________ тип свеклы___________
Сорт________ , репродукция, 19___ г. урожая, партия N_____ , масса____ ц,
Представлены на анализ при акте N__________ от 19________ г.
Масса образцов: в мешочке____________г, в бутылке________ г.
Партия семян анализируется нормальный_____раз, цвет семян:
;
запах: 
1. Определение чистоты
|
Наименование показателя
|
Навески
|
Сумма
|
Среднее
|
В остатке образца
|
Всего в образце
|
В пересчете на 1 кг
|
|
1
|
2
|
3
|
|
Содержание семян основной культуры, г
| | | | | |
X
|
X
|
X
|
|
Чистота, %
| | |
X
|
X
|
X
|
|
Отход семян (решето ... мм), г
| | |
X
|
X
|
X
|
|
Отход семян, %
| | |
X
|
X
|
X
|
|
Семена других растений, %
в том числе семена сорняков, %
| | | | | |
|
Трудноотделимые семена других растений, %
| | |
|
в том числе трудноотделимые семена сорняков, %
| | |
|
Преобладающие трудноотделимые семена других растений, %
| | | | | | | | |
|
Крупные посторонние примеси, %
Стебельки длиннее 1 см, шт. Семена карантинных растений,
шт.
|
|
Примечание. Знак "X" показывает, что подсчет не производится.
|
2. Определение фракционного состава семян
|
Размер отверстий решета, мм
|
Осталось на решете
|
|
число семян
|
масса семян
|
|
шт.
|
%
|
г
|
%
|
|
Итого
| | | | |
Приложение 2
Обязательное
Форма
записи в рабочем бланке результатов определения односемянности и выравненности по размерам семян сахарной свеклы
Определение односемянности
Масса навески ___________________________________г.
Число плодов ___________________________________шт.
Число соплодий _________________________________шт.
Односемянность___________________________________%
Определение выравненности семян по размерам
|
Номер
навески
|
Масса
навески, г
|
Осталось на решете
|
|
нижнем с круглыми
отверстиями
( __________мм),
г
|
с прямоугольными
отверстиями
( ____________мм)
г
|
верхнем ( ______мм),
- для семян элиты
|
|
г
|
%
|
|
1
| | | | |
|
2
|
|
3
| | | | |
|
Среднее
арифметическое значение
| | | | |
| | | |
| | | |
ПРИЛОЖЕНИЯ 1, 2. (Измененная редакция, Изм. N 1).