ГОСТ 25011-2017 МЯСО И МЯСНЫЕ ПРОДУКТЫ. МЕТОДЫ ОПРЕДЕЛЕНИЯ БЕЛКА
Meat and meat products. Protein determination methods
МКС 67.120.10
Предисловие
Цели, основные принципы и основной порядок проведения работ по межгосударственной стандартизации установлены в ГОСТ 1.0-2015 "Межгосударственная система стандартизации. Основные положения" и ГОСТ 1.2-2015 "Межгосударственная система стандартизации. Стандарты межгосударственные, правила и рекомендации по межгосударственной стандартизации. Правила разработки, принятия, обновления и отмены"
Сведения о стандарте
1 Разработан Федеральным государственным бюджетным научным учреждением "Всероссийский научно-исследовательский институт мясной промышленности имени В.М. Горбатова" (ФГБНУ "ВНИИМП им. В.М. Горбатова")
2 Внесен Федеральным агентством по техническому регулированию и метрологии
3 Принят Межгосударственным советом по стандартизации, метрологии и сертификации (протокол от 14 июля 2017 г. N 101-П)
За принятие проголосовали:
|
Краткое наименование страны по МК (ИСО 3166) 004-97 |
Код страны по МК (ИСО 3166) 004-97 |
Сокращенное наименование национального органа по стандартизации |
|
Армения |
AM |
Минэкономики Республики Армения |
|
Беларусь |
BY |
Госстандарт Республики Беларусь |
|
Казахстан |
KZ |
Госстандарт Республики Казахстан |
|
Киргизия |
KG |
Кыргызстандарт |
|
Россия |
RU |
Росстандарт |
|
Узбекистан |
UZ |
Узстандарт |
|
Украина |
UA |
Минэкономразвития Украины |
4 Приказом Федерального агентства по техническому регулированию и метрологии от 6 сентября 2017 г. N 1017-ст межгосударственный стандарт ГОСТ 25011-2017 введен в действие в качестве национального стандарта Российской Федерации с 1 июля 2018 г.
5 Взамен ГОСТ 25011-81
Настоящий стандарт распространяется на все виды мяса, включая мясо птицы, мясные и мясосодержащие продукты, и устанавливает методы определения массовой доли белка (спектрофотометрический метод в диапазоне измерений от 1, 0 % до 40, 0 % и метод Кьельдаля в диапазоне измерений от 1, 0 % до 55, 0 %).
При разногласиях по результатам анализа массовую долю белка определяют по методу Кьельдаля.
В настоящем стандарте использованы нормативные ссылки на следующие межгосударственные стандарты:
ГОСТ 12.1.004-91 Система стандартов безопасности труда. Пожарная безопасность. Общие требования
ГОСТ 12.1.007-76 Система стандартов безопасности труда. Вредные вещества. Классификация и общие требования безопасности
ГОСТ 12.1.019-79* Система стандартов безопасности труда. Электробезопасность. Общие требования и номенклатура видов защиты
ГОСТ 12.4.009-83 Система стандартов безопасности труда. Пожарная техника для защиты объектов. Основные виды. Размещение и обслуживание
ГОСТ OIML R 76-1-2011 Государственная система обеспечения единства измерений. Весы неавтоматического действия. Часть 1. Метрологические и технические требования. Испытания
ГОСТ 83-79 Реактивы. Натрий углекислый. Технические условия
ГОСТ 1692-85** Известь хлорная. Технические условия
ГОСТ 1770-74 (ИСО 1042-83, ИСО 4788-80) Посуда мерная лабораторная стеклянная. Цилиндры, мензурки, колбы, пробирки. Общие технические условия
ГОСТ 3118-77 Реактивы. Кислота соляная. Технические условия
ГОСТ ISO 3696-2013*** Вода для лабораторного анализа. Технические требования и методы контроля
──────────────────────────────
* В Российской Федерации действует ГОСТ Р 12.1.019-2009 "Система стандартов безопасности труда. Электробезопасность. Общие требования и номенклатура видов защиты".
** В Российской Федерации действует ГОСТ Р 54562-2011 "Известь хлорная. Технические условия".
*** В Российской Федерации действует ГОСТ Р 52501-2005 (ИСО 3696:1987) "Вода для лабораторного анализа. Технические условия".
ГОСТ 3769-78 Реактивы. Аммоний сернокислый. Технические условия
ГОСТ 4025-95 Мясорубки бытовые. Технические условия
ГОСТ 4145-74 Реактивы. Калий сернокислый. Технические условия
ГОСТ 4165-78 Реактивы. Медь (II) сернокислая 5-водная. Технические условия
ГОСТ 4204-77 Реактивы. Кислота серная. Технические условия
ГОСТ 4232-74 Реактивы. Калий йодистый. Технические условия
ГОСТ 4288-76 Изделия кулинарные и полуфабрикаты из рубленого мяса. Правила приемки и методы испытаний
ГОСТ 4328-77 Реактивы. Натрия гидроокись. Технические условия
ГОСТ ИСО 5725-2-2003* Точность (правильность и прецизионность) методов и результатов измерений. Часть 2. Основной метод определения повторяемости и воспроизводимости стандартного метода измерений
ГОСТ ИСО 5725-6-2003** Точность (правильность и прецизионность) методов и результатов измерений. Часть 6. Использование значений точности на практике
──────────────────────────────
* В Российской Федерации действует ГОСТ Р ИСО 5725-2-2002 "Точность (правильность и прецизионность) методов и результатов измерений. Часть 2. Основной метод определения повторяемости и воспроизводимости стандартного метода измерений".
** В Российской Федерации действует ГОСТ Р ИСО 5725-6-2002 "Точность (правильность и прецизионность) методов и результатов измерений. Часть 6. Использование значений точности на практике".
ГОСТ 5962-2013 Спирт этиловый ректификованный из пищевого сырья. Технические условия
ГОСТ 6709-72 Вода дистиллированная. Технические условия
ГОСТ 7269-2015 Мясо. Методы отбора образцов и органолептические методы определения свежести
ГОСТ 8756.0-70 Продукты пищевые консервированные. Отбор проб и подготовка их к испытанию
ГОСТ 9656-75 Реактивы. Кислота борная. Технические условия
ГОСТ 9792-73 Колбасные изделия и продукты из свинины, баранины, говядины и мяса других видов убойных животных и птиц. Правила приемки и методы отбора проб
ГОСТ 10929-76 Реактивы. Водорода пероксид. Технические условия
ГОСТ 11086-76 Гипохлорит натрия. Технические условия
ГОСТ 12026-76 Бумага фильтровальная лабораторная. Технические условия
ГОСТ 20469-95 Электромясорубки бытовые. Технические условия
ГОСТ 25336-82 Посуда и оборудование лабораторные стеклянные. Типы, основные параметры и размеры
ГОСТ 25794.1-83 Реактивы. Методы приготовления титрованных растворов для кислотно-основного титрования
ГОСТ 25794.2-83 Реактивы. Методы приготовления титрованных растворов для окислительно-восстановительного титрования
ГОСТ 26272-98 Часы электронно-механические кварцевые наручные и карманные. Общие технические условия
ГОСТ 26671-2014 Продукты переработки фруктов и овощей, консервы мясные и мясорастительные. Подготовка проб для лабораторных анализов
ГОСТ 26678-85 Холодильники и морозильники бытовые электрические компрессионные параметрического ряда. Общие технические условия
ГОСТ 27068-86 Реактивы. Натрий серноватистокислый (натрия тиосульфат) 5-водный. Технические условия
ГОСТ 29169-91 (ИСО 648-77) Посуда лабораторная стеклянная. Пипетки с одной отметкой
ГОСТ 29227-91 (ИСО 835-1-81) Посуда лабораторная стеклянная. Пипетки градуированные. Часть 1. Общие требования
ГОСТ 29251-91 (ИСО 385-1-84) Посуда лабораторная стеклянная. Бюретки. Часть 1. Общие требования
ГОСТ 31467-2012 Мясо птицы, субпродукты и полуфабрикаты из мяса птицы. Методы отбора проб и подготовка их к испытаниям
Примечание - При пользовании настоящим стандартом целесообразно проверить действие ссылочных стандартов в информационной системе общего пользования - на официальном сайте Федерального агентства по техническому регулированию и метрологии в сети Интернет или по ежегодному информационному указателю "Национальные стандарты", который опубликован по состоянию на 1 января текущего года, и по выпускам ежемесячного информационного указателя "Национальные стандарты" за текущий год. Если ссылочный стандарт заменен (изменен), то при пользовании настоящим стандартом следует руководствоваться заменяющим (измененным) стандартом. Если ссылочный стандарт отменен без замены, то положение, в котором дана ссылка на него, применяется в части, не затрагивающей эту ссылку.
В настоящем стандарте применены термины по [1].
4.1 Помещение, в котором проводят испытания, должно быть оборудовано приточно-вытяжной вентиляцией. Работу необходимо проводить, соблюдая правила личной гигиены и противопожарной безопасности в соответствии с требованиями ГОСТ 12.1.004, и иметь средства пожаротушения по ГОСТ 12.4.009.
4.2 При работе с электроприборами необходимо соблюдать требования безопасности по ГОСТ 12.1.019.
4.3 При подготовке и проведении анализа необходимо соблюдать требования техники безопасности при работе с химическими реактивами по ГОСТ 12.1.007.
4.4 К выполнению анализа допускаются лица, имеющие квалификацию не ниже химика-техника, прошедшие обучение методам химического анализа.
5.1 Отбор проб
5.1.1 Отбор проб проводят по ГОСТ 4288, ГОСТ 7269, ГОСТ 8756.0, ГОСТ 9792, ГОСТ 31467.
Проба должна быть представительной, а также без повреждений и изменений качества продукта при транспортировании и хранении.
От представительной пробы отбирают пробу массой не менее 200 г.
Пробу хранят таким образом, чтобы предотвратить порчу и изменение химического состава.
5.2 Подготовка проб
5.2.1 Подготовку проб проводят по ГОСТ 8756.0, ГОСТ 26671, ГОСТ 31467.
Пробы измельчают на гомогенизаторе или дважды пропускают через мясорубку и тщательно перемешивают. При этом температура пробы должна быть не более 25 °С.
Подготовленную пробу помещают в воздухонепроницаемый сосуд (банку), закрывают крышкой и хранят в холодильнике при температуре (4 ± 2) °С до окончания анализа.
Анализ проводят в течение 24 ч после измельчения.
6.1 Сущность метода
Метод основан на минерализации органических веществ пробы с последующим определением азота по количеству образовавшегося аммиака.
6.2 Средства измерений, вспомогательное оборудование, материалы и реактивы
Мясорубка механическая по ГОСТ 4025 или электрическая по ГОСТ 20469 с решеткой, диаметр отверстий которой не более 4, 5 мм, или гомогенизатор.
Весы неавтоматического действия по ГОСТ OIML R 76-1 специального или высокого класса точности с пределом допускаемой абсолютной погрешности не более± 0, 001 г.
Холодильник по ГОСТ 26678.
Часы электронно-механические кварцевые наручные и карманные по ГОСТ 26272.
Аппарат для перегонки с водяным паром (Парнаса-Вагнера) или обыкновенная установка для перегонки.
Установка электрическая или газовая для сжигания с регулируемой интенсивностью обогревания, позволяющая обогревать колбы Кьельдаля в наклонном положении таким образом, чтобы зона нагрева находилась ниже уровня жидкости в колбе. Установка должна быть оснащена вытяжным устройством, позволяющим удалять испарения кислот во время обогревания.
Титратор автоматический потенциометрический.
Колбы Кьельдаля 1-50-14/23 ТС или 1-100-14/23 ТС, 2-50-14 ТХС или 2-100-14 ТХС по ГОСТ 25336.
Колбы мерные 1-1000-2 или 2-1000-2, 1-2000-2 или 2-2000-2 по ГОСТ 1770.
Бюретка 1-2-50-0, 1 или 2-2-50-0, 1 по ГОСТ 29251.
Банка стеклянная вместимостью 200-400 см3 с крышкой.
Колбы Кн-1-500-29/32 или Кн-2-500-34 по ГОСТ 25336.
Цилиндры 1-25, 1-50, 1-100, 1-500 по ГОСТ 1770.
Стаканы В-1-600 ТХС или Н-1-600 ТХС по ГОСТ 25336.
Капельница по ГОСТ 25336.
Бумага фильтровальная лабораторная по ГОСТ 12026.
Бусы карборундовые.
Куски пемзы свежевыжженные.
Масло парафиновое чистое.
Бумага универсальная индикаторная или бумага лакмусовая.
Вода дистиллированная по ГОСТ 6709 или вода для лабораторного анализа по ГОСТ ISO 3696, степень чистоты 1.
Кислота соляная по ГОСТ 3118, х.ч.
Кислота борная по ГОСТ 9656, х.ч.
Кислота серная по ГОСТ 4204, х.ч.
Натрия гидроокись по ГОСТ 4328, х.ч.
Спирт этиловый ректификованный по ГОСТ 5962.
Аммоний сернокислый по ГОСТ 3769, х.ч.
Калий сернокислый по ГОСТ 4145, х.ч.
Медь (II) сернокислая 5-водная по ГОСТ 4165, х.ч.
Метиловый красный, х.ч.
Метиленовый голубой, х.ч.
Стандарт-титр (фиксанал) для приготовления раствора соляной кислоты молярной концентрации 0, 1 моль/дм3.
Стандарт-титр (фиксанал) для приготовления раствора серной кислоты молярной концентрации 0, 1 моль/дм3.
Допускается применение других средств измерений с метрологическими характеристиками, вспомогательного оборудования с техническими характеристиками не ниже, а также материалов и реактивов по качеству не ниже указанных в настоящем стандарте.
6.3 Подготовка к анализу
6.3.1 Приготовление раствора гидроокиси натрия массовой концентрации 330 г/дм3
Растворяют 330 г гидроокиси натрия в 200-300 см3 дистиллированной воды, количественно переносят в мерную колбу вместимостью 1000 см3 и доводят объем дистиллированной водой до метки. Раствор хранят при температуре (20 ± 2) °С не более 1 мес.
6.3.2 Приготовление раствора борной кислоты массовой концентрации 40 г/дм3
Растворяют 40 г борной кислоты в 200-300 см3 дистиллированной воды, количественно переносят в мерную колбу вместимостью 1000 см3 и доводят объем дистиллированной водой до метки. Раствор хранят при температуре (20 ± 2) °С не более 1 мес.
6.3.3 Приготовление раствора соляной кислоты молярной концентрации с(HCl) = 0, 1 моль/дм3
6.3.3.1 Раствор соляной кислоты молярной концентрации c(HCl) = 0, 1 моль/дм3 готовят по ГОСТ 25794.1 (пункт 2.1.2).
Примечание - Допускается приготовление раствора соляной кислоты молярной концентрации 0, 1 моль/дм3 из стандарт-титра (фиксанала) в соответствии с прилагаемой инструкцией.
6.3.3.2 Определение коэффициента поправки к номинальной концентрации раствора соляной кислоты c(HCl) = 0, 1 моль/дм3 проводят по ГОСТ 25794.1 (пункт 2.1.3).
6.3.4 Приготовление раствора серной кислоты молярной концентрации с(H2SO4) = 0, 05 моль/дм3
6.3.4.1 Раствор серной кислоты молярной концентрации c(H2SO4) = 0, 1 моль/дм3 готовят по ГОСТ 25794.1 (пункт 2.1.2), а затем количественно переносят в мерную колбу вместимостью 2000 см3 и доводят дистиллированной водой до метки.
Примечание - Допускается приготовление раствора серной кислоты молярной концентрации 0, 1 моль/дм3 из стандарт-титра (фиксанала) в соответствии с прилагаемой инструкцией. Полученный раствор количественно переносят в мерную колбу вместимостью 2000 см3 и доводят дистиллированной водой до метки.
6.3.4.2 Определение коэффициента поправки к номинальной концентрации раствора серной кислоты c(H2SO4) = 0, 05 моль/дм3 проводят по ГОСТ 25794.1 (пункт 2.1.3).
6.3.5 Приготовление индикатора Таширо
2 г метилового красного и 1 г метиленового голубого растворяют в 1000 см3 96 %-ного этилового спирта.
Изменение окраски индикатора происходит при рН = 5, 4 ед. рН.
Раствор хранят в склянке из темного стекла.
6.4 Проведение анализа
6.4.1 Анализ необходимо проводить в лаборатории, свободной от паров аммиака.
6.4.2 В колбу Кьельдаля помещают примерно 15 г безводного сульфата калия и 0, 5 г сульфата меди.
6.4.3 На кусочек беззольной фильтровальной бумаги отвешивают около 2 г подготовленной пробы с точностью до 0, 001 г и осторожно помещают в колбу Кьельдаля.
Для проб с большой массовой долей жира масса пробы не должна превышать 1, 5 г.
6.4.4 В колбу Кьельдаля добавляют 25 см3 серной кислоты. Содержимое колбы осторожно перемешивают, слегка вращая колбу с жидкостью. При необходимости можно вставить грушевидный стеклянный конус в горловину колбы тонким концом вниз.
6.4.5 Колбу помещают в наклонном положении под углом около 40° относительно вертикального положения на нагревательное устройство. Сначала колбу осторожно нагревают до появления пенообразования и до полного растворения пробы.
Затем продолжают минерализацию при энергичном кипении, время от времени поворачивая колбу до тех пор, пока жидкость не станет абсолютно прозрачной и не приобретет светлую зелено-голубую окраску. После полного осветления содержимого колбы продолжают кипячение еще в течение 90 мин.
Общая продолжительность минерализации должна быть не менее 2 ч.
Во избежание потерь азота во время минерализации пробы следует избегать попадания содержимого колбы на наружную поверхность колбы, не допускать чрезмерного улетучивания серной кислоты в результате перегрева во время минерализации, так как это может вызвать потерю азота.
6.4.6 Колбу Кьельдаля с содержимым охлаждают до температуры 40 °С, осторожно добавляют 50 см3 дистиллированной воды, перемешивают и охлаждают до комнатной температуры.
6.4.7 Содержимое колбы Кьельдаля подвергают перегонке с водяным паром или простой перегонке, для чего монтируют соответствующую установку.
В стадии перегонки следует соблюдать плотность установки для перегонки, добавлять раствор гидроокиси натрия по стенке колбы Кьельдаля и смешивать оба слоя только после подключения колбы к установке.
В качестве приемника применяют коническую колбу вместимостью 500 см3, в которую наливают 50 см3 раствора борной кислоты и четыре капли индикатора Таширо. Колбу помещают под холодильник установки для перегонки таким образом, чтобы нижний конец холодильника был полностью погружен в жидкость.
Примечание - При применении титратора в качестве приемника используют химический стакан вместимостью 500 см3.
6.4.8 Для перегонки с водяным паром содержимое колбы Кьельдаля количественно переносят в колбу для перегонки, споласкивая колбу Кьельдаля 50 см3 дистиллированной воды. Затем добавляют три капли парафинового масла с целью уменьшения пенообразования, осторожно добавляют 100 см3 раствора гидроокиси натрия таким образом, чтобы в колбе для перегонки образовались два слоя жидкости. Немедленно герметизируют аппарат и пропускают водяной пар через содержимое колбы для перегонки. С момента кипения содержимого колбы продолжают обогрев в течение 20 мин. Заканчивают перегонку после получения не менее 150 см3 дистиллята.
6.4.9 Для простой перегонки осторожно разбавляют содержимое колбы Кьельдаля, добавляя 300 см3 дистиллированной воды, перемешивают и охлаждают до комнатной температуры, добавляют несколько карборундовых бус или кусков пемзы и три капли парафинового масла. Затем добавляют 100 см3 раствора гидроокиси натрия таким образом, чтобы он образовал отдельный слой на дне колбы Кьельдаля, и немедленно подключают колбу к установке для перегонки. Перегонку заканчивают после получения не менее 150 см3 дистиллята.
6.4.10 После сбора не менее 150 см3 дистиллята, полученного после перегонки, коническую колбу (приемник) опускают таким образом, чтобы нижний конец холодильника находился над уровнем дистиллята, споласкивают конец холодильника водой и проверяют при помощи лакмусовой бумажки или универсального индикатора изменение окраски конденсата, стекающего из холодильника. При отсутствии изменений окраски перегонку заканчивают.
6.4.11 Содержимое конической колбы (приемника) титруют раствором соляной кислоты молярной концентрации 0, 1 моль/дм3 или раствором серной кислоты молярной концентрации 0, 05 моль/дм3 с помощью бюретки и отмечают с погрешностью не более 0, 02 см3 количество израсходованного раствора кислоты.
6.4.12 При применении титратора вместо конических колб в качестве приемника используют химические стаканы и после окончания перегонки помещают их в титратор, поступая согласно инструкции по обслуживанию аппарата.
6.4.13 Полученные результаты титрования используют для вычисления массовой доли общего азота и последующего пересчета на белок.
6.4.14 Одновременно проводят контрольный опыт, помещая в контрольную колбу Кьельдаля вместо испытуемой пробы кусочек беззольной фильтровальной бумаги. Всегда проводят контрольный опыт (дважды), когда используются свежеприготовленные растворы.
6.4.15 При получении сомнительных результатов (слишком низких или с большими расхождениями между параллельными испытаниями) необходимо провести проверку установки для перегонки или процедуры минерализации.
Для проверки установки для перегонки в аппарат помещают, например, 0, 5, 0, 7 или 0, 8 г сульфата аммония с содержанием основного вещества 99, 5 % (содержание азота составляет 21, 179 %), добавляют 25 см3 концентрированной серной кислоты, перегоняют и титруют. Низкий результат (менее 19, 061 % азота) может указать на неполную перегонку или негерметичность аппарата.
Для проверки всего процесса с неорганическим веществом используют сульфат аммония и проводят все испытания, как указано в 6.4.2-6.4.11.
Низкий результат, который не может быть приписан процессу перегонки, может быть вызван потерями во время испытаний (выплескивание жидкости, улетучивание соединений азота и т.д.).
Для проверки всего процесса с учетом разложения органического вещества определяют массовую долю азота в органическом трудно разлагаемом соединении (например, в триптофане), чистом или смешанном с веществами, не содержащими азот.
Низкий результат (менее 19, 061 % азота) может быть получен из-за недостаточного разложения органического вещества, например, вследствие неправильного обогрева или применения несоответствующего катализатора.
6.5 Обработка результатов
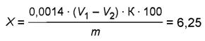
6.5.1 Массовую долю белка X, %, вычисляют по формуле
,
(1)
где 0, 0014 - количество азота, эквивалентное 1 см3 0, 1 моль/дм3 раствора соляной кислоты или 0, 05 моль/дм3 раствора серной кислоты, г;
V1 - объем 0, 1 моль/дм3 раствора соляной кислоты или объем 0, 05 моль/дм3, израсходованный на титрование исследуемой пробы, см3;
V2 - объем 0, 1 моль/дм3 раствора соляной кислоты или объем 0, 05 моль/дм3, израсходованный на титрование контрольной пробы, см3;
K - коэффициент поправки к номинальной концентрации раствора соляной кислоты;
100 - коэффициент пересчета в проценты;
m - масса пробы, г;
6, 25 - коэффициент пересчета на белок.
6.5.2 За окончательный результат принимают среднеарифметическое значение двух параллельных определений, округленное до второго десятичного знака, если удовлетворяются условия повторяемости (сходимости).
7.1 Сущность метода
Метод основан на минерализации пробы по Кьельдалю и спектрофотометрическом измерении интенсивности окраски индофенолового синего, которая пропорциональна количеству аммиака в минерализате.
7.2 Средства измерений, вспомогательное оборудование, материалы и реактивы
Мясорубка механическая по ГОСТ 4025 или электрическая по ГОСТ 20469 с решеткой, диаметр отверстий которой не более 4, 5 мм, или гомогенизатор.
Весы неавтоматического действия по ГОСТ OIML R 76-1 специального или высокого класса точности с пределом допускаемой абсолютной погрешности не более± 0, 001 г.
Холодильник по ГОСТ 26678.
Спектрофотометр или фотоэлектроколориметр со светофильтром, обеспечивающий измерение при длине волны (625 ± 2) нм, укомплектованный стеклянными кюветами с длиной рабочей грани 10 мм.
Часы электронно-механические по ГОСТ 26272.
Колбы мерные 1-100-2 или 2-100-2, 1-250-2 или 2-250-2, 1-500-2 или 2-500-2, 1-1000-2 или 2-1000-2 по ГОСТ 1770.
Колбы Кьельдаля 1-50-14/23 ТС или 1-100-14/23 ТС, 2-50-14 ТХС или 2-100-14 ТХС по ГОСТ 25336.
Пробирки П 4-15-14/23 ХС или П 4-20-14/23 ХС по ГОСТ 25336.
Колбы Кн-1-100-14/23 по ГОСТ 25336.
Цилиндры 1-25, 1-50, 1-100, 1-500 по ГОСТ 1770.
Пипетки 1-1-1-1 или 1-2-1-1, 1-1-1-5 или 1-2-1-5, 1-1-1-10 или 1-1-2-10 по ГОСТ 29227.
Пипетки 1-2-1 или 2-2-1, 1-2-5 или 2-2-5, 1-2-10 или 2-2-10 по ГОСТ 29169.
Стаканы В-1-600 ТХС или Н-1-600 ТХС по ГОСТ 25336.
Воронки В-56-80 ХС или В-75-110 ХС по ГОСТ 25336.
Стаканчики для взвешивания (бюксы) СВ-14/8 по ГОСТ 25336.
Бумага фильтровальная лабораторная по ГОСТ 12026.
Вода дистиллированная по ГОСТ 6709 или вода для лабораторного анализа по ГОСТ ISO 3696, степень чистоты 1.
Кислота соляная по ГОСТ 3118, х.ч.
Натрий углекислый по ГОСТ 83, х.ч.
Известь хлорная по ГОСТ 1692, х.ч.
Кислота серная по ГОСТ 4204, х.ч.
Натрий серноватистокислый (тиосульфат натрия) по ГОСТ 27068, х.ч.
Водорода перекись по ГОСТ 10929, х.ч.
Натрия гидроокись по ГОСТ 4328, ч.д.а.
Аммоний сернокислый по ГОСТ 3769, х.ч.
Фенол, ч.
Натрий нитропруссидный, ч.
Натрия гипохлорит по ГОСТ 11086.
Натрия дихлоризоцианурат.
Калий йодистый по ГОСТ 4232, х.ч.
Калий сернокислый по ГОСТ 4145, х.ч.
Стандарт-титр (фиксанал) для приготовления раствора серноватистокислого натрия (тиосульфата натрия) молярной концентрации 0, 1 моль/дм3.
Допускается применение других средств измерений с метрологическими характеристиками и вспомогательного оборудования с техническими характеристиками не ниже, а также материалов и реактивов по качеству не ниже указанных в настоящем стандарте.
7.3 Подготовка к анализу
7.3.1 Приготовление реактива 1
10 г фенола и 0, 05 г нитропруссида натрия растворяют в 200-300 см3 дистиллированной воды, количественно переносят в мерную колбу вместимостью 1000 см3, доводят объем дистиллированной водой до метки и перемешивают.
Реактив хранят в склянке из темного стекла в холодильнике при температуре (4 ± 2) °С не более 2 мес.
7.3.2 Приготовление реактива 2
5 г гидроокиси натрия растворяют в 100-150 см3 дистиллированной воды, количественно переносят в мерную колбу вместимостью 1000 см3, после охлаждения добавляют количество исходного раствора гипохлорита натрия из расчета его содержания 0, 42 г/дм3 или 0, 2 г дихлоризоцианурата натрия, доводят объем колбы дистиллированной водой до метки и перемешивают.
Реактив хранят в склянке из темного стекла в холодильнике при температуре (4 ± 2) °С не более 2 мес.
Примечание - Перед приготовлением реактива 2 необходимо определить содержание гипохлорита натрия в исходном растворе, учитывая неустойчивость его при хранении.
7.3.3 Приготовление раствора серноватистокислого натрия (тиосульфата натрия) молярной концентрации c(Na2S2O3·5H2O) = 0, 1 моль/дм3
7.3.3.1 Раствор серноватистокислого натрия (тиосульфата натрия) молярной концентрации 0, 1 моль/дм3 готовят по ГОСТ 25794.2 (пункт 2.11).
Примечание - Допускается приготовление раствора серноватистокислого натрия (тиосульфата) натрия молярной концентрации 0, 1 моль/дмЗ из стандарт-титра (фиксанала) в соответствии с прилагаемой инструкцией.
Раствор хранят в склянке из темного стекла при температуре (20 ± 2) °С не более 1 мес.
7.3.3.2 Определение коэффициента поправки к номинальной концентрации раствора серноватистокислого натрия c(Na2S2O3) = 0, 1 моль/дм3 проводят по ГОСТ 25794.2 (пункт 2.11.3).
7.3.4 Приготовление раствора соляной кислоты молярной концентрации c(HCl) = 1 моль/дм3
Раствор соляной кислоты молярной концентрации 1 моль/дм3 готовят по ГОСТ 25794.1 (пункт 2.1.2).
7.3.5 Приготовление исходного раствора гипохлорита натрия
7.3.5.1 Раствор 1
В стакане вместимостью 500 см3 перемешивают 150 г хлорной извести с 250 см3 дистиллированной воды.
7.3.5.2 Раствор 2
В стакане вместимостью 600 см3 в 250 см3 дистиллированной воды растворяют 150 г углекислого натрия.
7.3.5.3 Исходный раствор гипохлорита натрия
К раствору 1 при постоянном перемешивании приливают раствор 2.
Масса сначала густеет, затем разжижается. Полученную суспензию оставляют на 24-48 ч для отстаивания, затем надосадочную жидкость сливают и отфильтровывают.
Полученный реактив имеет концентрацию активного хлора около 60-100 г/дм3 и может храниться в склянке из темного стекла до одного года.
7.3.5.4 В полученном реактиве определяют концентрацию активного хлора.
Для этого 1 см3 прозрачного фильтрата вносят в коническую колбу вместимостью 100 см3, добавляют 40-50 см3 дистиллированной воды, прибавляют 2 г йодистого калия и 10 см3 раствора соляной кислоты молярной концентрации 1 моль/дм3. Образовавшийся йод оттитровывают 0, 1 моль/дм3 раствором серноватистокислого натрия до исчезновения вишневой окраски (1 см3 0, 1 моль/дм3 раствора серноватистокислого натрия соответствует 0, 00355 г хлора).
По количеству израсходованного на титрование раствора серноватистокислого натрия определяют количество раствора гипохлорита натрия, необходимого для приготовления реактива 2.
Пример расчета - Количество 0, 1 моль/дм3 раствора серноватистокислого натрия, израсходованного на титрование 1 см3 исходного раствора гипохлорита натрия, составляет, например, 12, 1 см3.
Эквивалентная масса гипохлорита натрия равна половине молекулярной массы гипохлорита натрия и составляет 74, 4 : 2 = 37, 2 г. Следовательно, количество гипохлорита натрия в исходном растворе гипохлорита натрия составляет 1, 21·37, 2=45, 01 г.
Учитывая, что реактив 2 должен содержать 0, 42 г гипохлорита натрия, из пропорции определяем:
в 1000 см3 исходного раствора - 45, 01 г
X - 0, 42 г.
.
Следовательно, для приготовления 1 дм3 реактива 2 требуется 9, 3 см3 исходного раствора гипохлорита натрия.
7.3.6 Приготовление стандартного раствора сернокислого аммония
0, 236 г сернокислого аммония, предварительно высушенного до постоянной массы при температуре 60 °С, растворяют в 100-150 см3 дистиллированной воды, количественно переносят в мерную колбу вместимостью 500 см3 и доводят объем дистиллированной водой до метки.
Раствор содержит 0, 1 мг азота в 1 см3.
7.3.7 Приготовление рабочих растворов сернокислого аммония
В мерные колбы вместимостью 100 см3 вносят пипеткой следующие количества стандартного раствора в см3: 1, 0, 1, 5, 2, 0, 2, 5, 3, 0, 3, 5, 4, 0, 4, 5, 5, 0. Доводят объемы колб дистиллированной водой до метки и перемешивают. Получают серию рабочих растворов. Полученные рабочие растворы содержат в 1 см3 соответственно 1, 0, 1, 5, 2, 0, 2, 5, 3, 0, 3, 5, 4, 0, 4, 5, 5, 0 мкг азота.
Готовят три серии рабочих растворов, начиная каждый раз с приготовления стандартного раствора сернокислого аммония из нового сернокислого аммония.
7.3.8 Построение градуировочного графика
7.3.8.1 Для проведения цветной реакции в пробирки вносят по 1 см3 рабочего раствора, добавляют 5 см3 реактива 1 и 5 см3 реактива 2 и перемешивают.
Одновременно проводят контрольный опыт. Для этого в пробирку вместо рабочего раствора вносят 1 см3 дистиллированной воды.
7.3.8.2 Через 30 мин измеряют величину оптической плотности на спектрофотометре или фотоэлектроколориметре при длине волны (625 ± 2) нм в стеклянной кювете с толщиной поглощающего свет слоя 10 мм в отношении контрольного опыта.
7.3.8.3 По полученным средним данным измерений из трех стандартных растворов строят градуировочный график. На оси абсцисс откладывают концентрацию сернокислого аммония (мкг в 1 см3 окрашенного раствора), на оси ординат - соответствующее значение оптической плотности (D). Градуировочный график должен проходить через начало координат.
7.4 Проведение анализа
7.4.1 На кусочек беззольной фильтровальной бумаги отвешивают около 2 г подготовленной пробы с точностью до 0, 001 г и осторожно помещают в колбу Кьельдаля.
Для проб с большой массовой долей жира масса пробы не должна превышать 1, 5 г.
7.4.2 Одновременно проводят контрольный опыт, помещая в контрольную колбу Кьельдаля вместо испытуемой пробы кусочек беззольной фильтровальной бумаги.
7.4.3 В обе колбы добавляют 10 см3 концентрированной серной кислоты, 1-2 г сернокислого калия и проводят минерализацию, периодически добавляя для интенсивности процесса в охлажденную колбу перекись водорода (5-7 см3 в течение всей минерализации). Допускается применение других катализаторов, обеспечивающих точность определения.
7.4.4 После минерализации колбы охлаждают и содержимое количественно переносят в мерные колбы вместимостью 250 см3, после охлаждения объем доводят дистиллированной водой до метки и перемешивают.
7.4.5 В мерную колбу вместимостью 100 см3 переносят 5 см3 полученного минерализата и доводят объем до метки дистиллированной водой.
7.4.6 Для проведения цветной реакции 1 см3 разбавленного минерализата вносят в пробирку, затем последовательно добавляют 5 см3 реактива 1 и 5 см3 реактива 2, и перемешивают содержимое пробирки.
Через 30 мин измеряют оптическую плотность растворов относительно контрольного раствора на спектрофотометре или фотоэлектроколориметре при длине волны (625 ± 2) нм в стеклянной кювете с толщиной поглощающего свет слоя 10 мм.
Контрольный раствор готовят одновременно, используя для этой цели контрольный минерализат.
Стабильность окраски растворов сохраняется в течение 1 ч.
7.4.7 По полученному значению оптической плотности с помощью градуировочного графика находят концентрацию азота.
7.5 Обработка результатов
7.5.1 Массовую долю белка X, %, вычисляют по формуле
,
(2)
где c - концентрация азота, найденная по градуировочному графику, мкг/см3;
250 - объем минерализата после первого разведения, см3;
100 - объем минерализата после вторичного разведения, см3;
100 - коэффициент пересчета в проценты;
m - масса пробы, г;
5 - объем разбавленного минерализата, взятый для вторичного разведения, см3;
1 - объем раствора, взятый для проведения цветной реакции, см3;
106 - коэффициент перевода г в мкг;
6, 25 - коэффициент пересчета на белок.
7.5.2 За окончательный результат принимают среднеарифметическое значение двух параллельных определений, округленное до второго десятичного знака, если удовлетворяются условия повторяемости (сходимости).
8.1 Точность метода установлена межлабораторными испытаниями, выполненными в соответствии с требованиями ГОСТ ИСО 5725-2 и ГОСТ ИСО 5725-6.
8.2 Метрологические характеристики метода при доверительной вероятности Р = 0, 95 приведены в таблице 1.
Таблица 1
|
Наименование определяемого показателя |
Диапазон измерений массовой доли белка, % |
Показатели точности | ||
|
Границы относительной погрешности ±δ, % |
Предел повторяемости (сходимости) r, % |
Предел воспроизводимости R, % | ||
|
Массовая доля белка (метод Кьельдаля) |
От 1, 0 до 20, 0 включ. |
15 |
0, 10xcp |
0, 20Xcp |
|
Св. 20, 0 до 55, 0 включ. |
8 |
0, 05xcp |
0, 10Xcp | |
|
Массовая доля белка (спектрофотометрический метод) |
От 1, 0 до 20, 0 включ. |
20 |
0, 15xcp |
0, 35Xcp |
|
Св. 20, 0 до 40, 0 включ. |
14 |
0, 09xcp |
0, 18Xcp | |
|
xcp - среднеарифметическое значение результатов двух параллельных измерений, %; Xcp - среднеарифметическое значение результатов двух измерений, выполненных в разных лабораториях, %. | ||||
8.3 Расхождение между результатами двух параллельных измерений, выполненных одним оператором при испытании одной и той же пробы с использованием одних и тех же средств измерений и реактивов, не должно превышать предела повторяемости (сходимости) r, значения которого приведены в таблице 1.
|x1-x2|≤r,
(3)
где x1 и x2 - результаты двух параллельных измерений, %;
r - предел повторяемости, %.
8.4 Расхождение между результатами двух измерений, выполненных в двух разных лабораториях, не должно превышать предела воспроизводимости R, значения которого приведены в таблице 1.
|X1-X2|≤R,
(4)
где X1 и X2 - результаты двух измерений, выполненных в разных лабораториях, %;
R - предел воспроизводимости, %.
8.5 Границы относительной погрешности результатов измерений (±δ), находящиеся с доверительной вероятностью Р = 0, 95, при соблюдении условий настоящего стандарта не должны превышать значений, приведенных в таблице 1.
9.1 Контроль стабильности результатов измерений (повторяемости, промежуточной прецизионности и погрешности) проводят в соответствии с порядком, установленным в лаборатории, по ГОСТ ИСО 5725-6 (подраздел 6.2).
9.2 Проверку приемлемости результатов измерений, полученных в условиях повторяемости (сходимости), осуществляют в соответствии с требованиями ГОСТ ИСО 5725-2. Расхождение между результатами измерений не должно превышать предела повторяемости (r). Значения r приведены в таблице 1.
9.3 Проверку приемлемости результатов измерений, полученных в условиях воспроизводимости, проводят с учетом требований ГОСТ ИСО 5725-2. Расхождение между результатами измерений, полученными двумя лабораториями, не должно превышать предела воспроизводимости (R). Значения R приведены в таблице 1.
Библиография
|
[1] |
TP ТС 034/2013 |
Технический регламент Таможенного союза "О безопасности мяса и мясной продукции" |


