электронный сборник нормативных документов по строительству
Обновления
29.04.2026 22:53
электронный сборник нормативных документов по строительству

ГОСТ 26808-2017 КОНСЕРВЫ ИЗ РЫБЫ И МОРЕПРОДУКТОВ. МЕТОДЫ ОПРЕДЕЛЕНИЯ СУХИХ ВЕЩЕСТВ

Введен в действие приказом Федерального агентства по техническому регулированию и метрологии от 26 сентября 2017 г. N 1216-ст
Межгосударственный стандарт ГОСТ 26808-2017
"КОНСЕРВЫ ИЗ РЫБЫ И МОРЕПРОДУКТОВ. МЕТОДЫ ОПРЕДЕЛЕНИЯ СУХИХ ВЕЩЕСТВ"

Canned fish and sea products. Methods for determination of dry matters

МКС 67.120.30

Дата введения - 1 января 2019 г.
Взамен ГОСТ 26808-86

Предисловие

Цели, основные принципы и основной порядок проведения работ по межгосударственной стандартизации установлены в ГОСТ 1.0-2015 "Межгосударственная система стандартизации. Основные положения" и ГОСТ 1.2-2015 "Межгосударственная система стандартизации. Стандарты межгосударственные, правила и рекомендации по межгосударственной стандартизации. Правила разработки, принятия, обновления и отмены"

Сведения о стандарте

1 Разработан Федеральным государственным бюджетным научным учреждением "Всероссийский научно-исследовательский институт рыбного хозяйства и океанографии" (ФГБНУ "ВНИРО"), Акционерным обществом "Научно-исследовательский и проектно-конструкторский институт по развитию и эксплуатации флота" (АО "Гипрорыбфлот")

2 Внесен Межгосударственным техническим комитетом МТК 300 "Рыбные продукты пищевые, кормовые, технические и упаковка"

3 Принят Межгосударственным советом по стандартизации, метрологии и сертификации (протокол от 30 июня 2017 г. N 100-П)

За принятие проголосовали:

Краткое наименование страны по МК (ИСО 3166) 004-97

Код страны по МК (ИСО 3166) 004-97

Сокращенное наименование национального органа по стандартизации

Армения

AM

Минэкономики Республики Армения

Беларусь

BY

Госстандарт Республики Беларусь

Казахстан

KZ

Госстандарт Республики Казахстан

Киргизия

KG

Кыргызстандарт

Россия

RU

Росстандарт

Таджикистан

TJ

Таджикстандарт

Украина

UA

Минэкономразвития Украины

4 Приказом Федерального агентства по техническому регулированию и метрологии от 26 сентября 2017 г. N 1216-ст межгосударственный стандарт ГОСТ 26808-2017 введен в действие в качестве национального стандарта Российской Федерации с 1 января 2019 г.

5 Взамен ГОСТ 26808-86

1 Область применения

Настоящий стандарт распространяется на консервы из рыбы и морепродуктов и устанавливает гравиметрические (весовые) методы определения в них общего количества сухих веществ высушиванием в сушильном шкафу и на высокочастотном приборе (далее ВЧ).

2 Нормативные ссылки

В настоящем стандарте использованы нормативные ссылки на следующие межгосударственные стандарты:

ГОСТ 12.1.004-91 Система стандартов безопасности труда. Пожарная безопасность. Общие требования

ГОСТ 12.1.005-88 Система стандартов безопасности труда. Общие санитарно-гигиенические требования к воздуху рабочей зоны

ГОСТ 12.1.007-76 Система стандартов безопасности труда. Вредные вещества. Классификация и общие требования безопасности

ГОСТ 12.1.019-79 Система стандартов безопасности труда. Электробезопасность. Общие требования и номенклатура видов защиты

ГОСТ 12.4.009-83 Система стандартов безопасности труда. Пожарная техника для защиты объектов. Основные виды. Размещение и обслуживание

ГОСТ 12.4.021-75 Система стандартов безопасности труда. Системы вентиляционные. Общие требования

ГОСТ OIML R 76-1-2011 Государственная система обеспечения единства измерений (ГСИ). Весы неавтоматического действия. Часть 1. Метрологические и технические требования. Испытания

ГОСТ 450-77 Кальций хлористый технический. Технические условия

ГОСТ 3118-77 Реактивы. Кислота соляная. Технические условия

ГОСТ 3306-88 Сетки с квадратными ячейками из стальной рифленой проволоки. Технические условия

ГОСТ 3956-76 Силикагель технический. Технические условия

ГОСТ 4204-77 Реактивы. Кислота серная. Технические условия

ГОСТ ИСО 5725-6-2003 Точность (правильность и прецизионность) методов и результатов измерений. Часть 6. Использование значений точности на практике

ГОСТ 6709-72 Вода дистиллированная. Технические условия

ГОСТ 8756.0-70 Продукты пищевые консервированные. Отбор проб и подготовка их к испытанию

ГОСТ 9147-80 Посуда и оборудование лабораторные фарфоровые. Технические условия

ГОСТ 12026-76 Бумага фильтровальная лабораторная. Технические условия

ГОСТ 17586-80 Бумага. Термины и определения

ГОСТ ИСО/МЭК 17025-2009 Общие требования к компетентности испытательных и калибровочных лабораторий

ГОСТ 21400-75 Стекло химико-лабораторное. Технические требования. Методы испытаний ГОСТ 25336-82 Посуда и оборудование лабораторные стеклянные. Типы, основные параметры и размеры

ГОСТ 27752-88 Часы электронно-механические кварцевые настольные. Настенные и часы-будильники. Общие технические условия

ГОСТ 28498-90 Термометры жидкостные стеклянные. Общие технические требования. Методы испытаний

Примечание - При пользовании настоящим стандартом целесообразно проверить действие ссылочных стандартов в информационной системе общего пользования - на официальном сайте Федерального агентства по техническому регулированию и метрологии в сети Интернет или по ежегодному информационному указателю "Национальные стандарты", который опубликован по состоянию на 1 января текущего года, и по выпускам ежемесячного информационного указателя "Национальные стандарты" за текущий год. Если ссылочный стандарт заменен (изменен), то при пользовании настоящим стандартом следует руководствоваться замененным (измененным) стандартом. Если ссылочный стандарт отменен без замены, то положение, в котором дана ссылка на него, применяется в части, не затрагивающей эту ссылку.

3 Отбор и подготовка проб

Отбор и подготовка проб - по ГОСТ 8756.0.

4 Метод определения массовой доли сухих веществ высушиванием в сушильном шкафу

4.1 Сущность метода

Метод основан на высушивании пробы продукта при температуре 103 ± 2 °С до постоянной массы и взвешивании пробы до и после высушивания.

Метод высушивания в сушильном шкафу применяется при возникновении разногласий в оценке качества продукции.

4.2 Требования к средствам измерений, оборудованию, материалам и реактивам

Для проведения анализа используют:

- весы неавтоматического действия по ГОСТ OIML R 76-1 с пределами допускаемой абсолютной погрешности не более± 0, 001 г;

- шкаф электросушильный с диапазоном нагрева от 50 до 200 °С и терморегулятором, обеспечивающим поддержание заданной температуры с погрешностью± 2 °С;

- печь муфельную с диапазоном нагрева от 100 до 900 °С и терморегулятором, обеспечивающим поддержание заданной температуры с погрешностью± 2 °С или по нормативным документам, действующим на территории государства, принявшего стандарт;

- эксикатор по ГОСТ 25336;

- палочку стеклянную по ГОСТ 21400;

- шпатель из фарфора по ГОСТ 9147 или из нержавеющей стали по нормативным документам, действующим на территории государства, принявшего стандарт;

- воду дистиллированную по ГОСТ 6709;

- термометр жидкостный стеклянный с диапазоном измеряемой температуры от 0 до 100 °С и ценой деления 1 °С по ГОСТ 28498;

- термометр максимальный жидкостной стеклянный с диапазоном измеряемой температуры от 50 до 200 °С и ценой деления 1 °С по нормативному документу, действующему на территории государства, принявшего стандарт;

- часы электронно-механические кварцевые по ГОСТ 27752;

- бюксу стеклянную по ГОСТ 25336 или металлическую по нормативному документу, действующему на территории государства, принявшего стандарт, диаметром не менее 35 мм;

- песок очищенный прокаленный;

- кальций хлористый по ГОСТ 450 или серную кислоту по ГОСТ 4204 плотностью 1, 84 г/см3, или силикагель по ГОСТ 3956 или по нормативным документам, действующим на территории государства, принявшего стандарт;

- кислоту соляную по ГОСТ 3118, разбавленную в соотношении 1:1;

- сито с отверстиями от 1, 0 до 1, 5 мм по ГОСТ 3306.

Допускается использование других средств измерений, оборудования, материалов и реактивов по метрологическим, техническим характеристикам и качеству, не ниже указанных в настоящем стандарте.

4.3 Подготовка аппаратуры и материалов

4.3.1 Сушильный шкаф проверяют на равномерность нагрева при помощи максимальных термометров.

Максимальные термометры в количестве от 4 до 5 шт. размещают на полке в местах, где ставят бюксы с навесками. Допускаемые расхождения между показаниями отдельных максимальных термометров± 2 °С.

При отсутствии максимальных термометров допускается проверять равномерность нагрева сушильного шкафа высушиванием в определенных намеченных участках полки от 4 до 6 шт. параллельных навесок. Допускаемые расхождения между параллельными определениями при проверке работы шкафа не более 0, 3 %.

4.3.2 При высушивании навесок конец контрольного термометра, которым измеряется температура воздуха в сушильном шкафу, должен находиться на уровне бюксы с навесками. Показания контрольного термометра должны соответствовать фактической температуре высушивания.

При сушке вентиляционные отверстия шкафа должны быть открыты.

4.3.3 Эксикаторы

Нижняя часть эксикатора должна быть заполнена сухим хлористым кальцием или силикагелем, или серной кислотой. Пришлифованные края эксикатора смазывают вазелином.

4.3.4 Очистка песка

Морской или речной песок просеивают через сито с отверстиями диаметром от 4 до 5 мм, промывают водопроводной питьевой водой (отмучивают), заливают соляной кислотой, разбавленной дистиллированной водой в соотношении 1:1, перемешивают и оставляют стоять не менее 12 ч.

Песок тщательно отмучивают до исчезновения кислой реакции (проба на лакмус), затем еще раз промывают дистиллированной водой и высушивают. Высушенный песок просеивают через сито с отверстиями от 1, 0 до 1, 5 мм и прокаливают в муфельной печи при температуре от 500 до 600 °С в течение 5 ч.

Очищенный прокаленный песок хранят в чистой плотно закрытой банке.

4.4 Проведение испытания

4.4.1 В чистую сухую бюксу помещают 11 ± 1 г очищенного и прокаленного в соответствии с пунктом 4.3.4 песка, ставят бюксу с песком и стеклянной палочкой в сушильный шкаф и, сняв крышку, сушат до постоянной массы при температуре 103 ± 2 °С в течение 1 ч. Снятая крышка помещается в сушильном шкафу рядом. Закрыв в сушильном шкафу бюксу крышкой, переносят ее в эксикатор, охлаждают в течение 30 мин и взвешивают.

Затем бюксу высушивают повторно при этой же температуре в течение 30-40 мин и повторяют ту же операцию охлаждения и взвешивания.

За результат испытания принимают среднее арифметическое результатов двух параллельных определений, допускаемое расхождение между которыми не должно превышать 0, 5 % (предел повторяемости, r).

4.4.2 В эту же бюксу помещают навеску пробы, подготовленной в соответствии с разделом 3, массой 5, 0 ± 0, 1 г, закрывают крышкой и взвешивают. Затем, тщательно перемешав навеску с песком стеклянной палочкой, равномерно распределяют содержимое по дну бюксы.

4.4.3 Открытую бюксу с навеской и стеклянной палочкой помещают в сушильный шкаф и сушат в течение 4 ч при 103 ± 2 °С. Снятая крышка помещается в сушильном шкафу рядом.

Бюксу закрывают крышкой, охлаждают в эксикаторе в течение 30 мин и взвешивают.

4.5 Обработка результатов

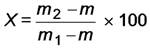
4.5.1 Массовую долю сухих веществ X, %, вычисляют по формуле:

image001.jpg,

(1)

где m - масса бюксы с крышкой, песком и стеклянной палочкой, г;

m1 - масса бюксы с крышкой, песком, стеклянной палочкой и навеской до высушивания, г;

m2 - масса бюксы с крышкой, песком, стеклянной палочкой и навеской после высушивания, г.

Вычисления проводят до вторичного десятичного знака с последующим округлением до первого десятичного знака.

4.6 Оформление результатов

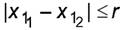
За окончательный результат определения массовой доли сухих веществ принимают среднеарифметическое результатов двух измерений, выполненных в условиях повторяемости, если выполняется условие приемлемости:

image002.jpg,

(2)

где image003.jpg- результаты двух параллельных измерений, %;

r - предел повторяемости (сходимости) двух параллельных измерений, приведенный в таблице 1, %, при доверительной вероятности 95 % (Р = 0, 95).

Таблица 1

Наименование показателя

Диапазон измерений массовой доли сухих веществ, %

Предел повторяемости (сходимости) r, %, при Р = 0, 95, n = 2

Предел воспроизводимости R, %, при Р = 0, 95, m = 2

Показатель точности (границы абсолютной погрешности)± ∆, %, при Р = 0, 95

Массовая доля сухих веществ

от 10, 0 до 50, 0

0, 5

0, 5

0, 4

Если абсолютное расхождение результатов измерений превышает значение предела повторяемости, то получают еще два результата измерений в соответствии с ГОСТ ИСО 5725-6 (подпункт 5.2.2.1), а при возникновении разногласий в оценке качества продукции - в соответствии с ГОСТ ИСО 5725-6 (подпункты 5.3.3 и 5.3.4).

5 Ускоренный метод определения массовой доли сухих веществ высушиванием на приборе ВЧ

5.1 Сущность метода

Метод основан на быстром обезвоживании тонкого слоя измельченного продукта, помещенного между плитами прибора.

5.2 Требования к средствам измерений, оборудованию, материалам и реактивам

Для проведения анализа используют:

- весы неавтоматического действия по ГОСТ OIML R 76-1 с пределами допускаемой абсолютной погрешности не более± 0, 01 г;

- прибор ВЧ;

- эксикатор по ГОСТ 25336;

- часы электронно-механические кварцевые по ГОСТ 27752;

- шпатель из фарфора по ГОСТ 9147 или нержавеющей стали по нормативным документам, действующим на территории государства, принявшего стандарт;

- бумагу ротаторную по ГОСТ 17586 и нормативным документам, действующим на территории государства, принявшего стандарт;

- бумагу фильтровальную лабораторную по ГОСТ 12026;

- серную кислоту по ГОСТ 4204 плотностью 1, 84 г/см3 или силикагель по ГОСТ 3956, или кальций хлористый по ГОСТ 450 или по нормативным документам, действующим на территории государства, принявшего стандарт.

Допускается использование других средств измерений, оборудования, материалов и реактивов по метрологическим, техническим характеристикам и качеству не ниже указанных в настоящем стандарте.

5.3 Подготовка к испытанию

5.3.1 Пакеты для образцов изготавливают из квадратных листов бумаги ротаторного типа длиной 16 см и сгибают их пополам в виде треугольника, затем загибают края примерно на 1, 5 см. Размеры пакетов и соотношение длины и ширины могут меняться по мере надобности, края пакетов не должны выходить за пределы прибора. В пакет помещают вкладыш из фильтровальной бумаги (лист размером 11 х 11 см, сложенный по диагонали пополам).

5.3.2 Прибор ВЧ должен быть подготовлен к работе в соответствии с инструкцией по применению. Подготовленные пакеты с вкладышами сушат в течение 3 мин при температуре, установленной для высушивания образцов 152 ± 2 °С. После высушивания пакеты помещают в эксикатор для охлаждения в течение 30 мин и взвешивают.

5.4 Проведение испытания

5.4.1 В предварительно высушенный и взвешенный пакет с вкладышем помещают навеску пробы, подготовленную в соответствии с разделом 3, массой 5, 0 ± 0, 1 г.

Высушенный пакет с внесенной равномерным тонким слоем по всей поверхности вкладыша навеской взвешивают.

В прибор, разогретый до требуемой температуры, согласно заданному режиму, помещают пакеты с навеской и обезвоживают при температуре 152 ± 2 °С в течение времени, которое определяется содержанием влаги в образцах и их свойствами. Высушенные образцы переносят в эксикатор для охлаждения в течение 30 мин.

5.4.2 Навеску берут по возможности быстро, распределяя массу ровным слоем по всей поверхности вкладыша для обеспечения точности результатов анализов.

5.4.3 Для проведения параллельных определений в прибор для высушивания помещают одновременно два пакета с навесками.

5.5 Обработка результатов

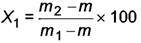
Массовую долю сухих веществ X1, %, вычисляют по формуле:

image004.jpg,

(3)

где m - масса бюксы с крышкой, песком и стеклянной палочкой, г;

m1 - масса бюксы с крышкой, песком, стеклянной палочкой и навеской до высушивания, г;

m2 - масса бюксы с крышкой, песком, стеклянной палочкой и навеской после высушивания, г.

Вычисления проводят до вторичного десятичного знака с последующим округлением до первого десятичного знака.

5.6 Оформление результатов

5.6.1 За окончательный результат определения массовой доли сухих веществ принимают среднее арифметическое результатов двух параллельных измерений, выполненных в условиях повторяемости, если выполняется условие приемлемости:

image002.jpg,

(4)

где image003.jpg- результаты двух параллельных измерений, %;

r - предел повторяемости (сходимости) двух параллельных измерений, приведенный в таблице 2, %, при доверительной вероятности 95 % (Р = 0, 95).

Таблица 2

Наименование показателя

Диапазон измерений массовой доли сухих веществ, %

Предел повторяемости (сходимости) r, %, при Р = 0, 95, n = 2

Предел воспроизводимости R, %, при Р = 0, 95, m = 2

Показатель точности (границы абсолютной погрешности)± ∆, %, при Р = 0, 95

Массовая доля сухих веществ

от 10, 0 до 50, 0

0, 7

0, 5

0, 4

Если абсолютное расхождение результатов измерений превышает значение предела повторяемости, то получают еще два результата измерений в соответствии с ГОСТ ИСО 5725-6 (подпункт 5.2.2.1), а при возникновении разногласий в оценке качества продукции - в соответствии с ГОСТ ИСО 5725-6 (подпункты 5.3.3 и 5.3.4).

6 Протокол испытаний

Протокол испытаний - по ГОСТ ИСО/МЭК 17025.

7 Условия проведения испытаний

При выполнении испытаний в лаборатории должны быть соблюдены следующие условия:

- температура окружающего воздуха, °С 20 ± 5

- влажность воздуха, %, не более 80

- напряжение в сети, В 220

- частота переменного тока в сети питания, Гц 50 ± 1

8 Требования безопасности

8.1 При работе с электроприборами электробезопасность должна соответствовать требованиям ГОСТ 12.1.019. Помещение лаборатории должно соответствовать требованиям пожарной безопасности ГОСТ 12.1.004 и должно быть оснащено средствами пожаротушения по ГОСТ 12.4.009.

8.2 Помещение, в котором проводятся работы, должно быть оборудовано общей приточно-вытяжной вентиляцией по ГОСТ 12.4.021. Содержание вредных веществ в воздухе рабочей зоны не должно превышать норм, установленных ГОСТ 12.1.005.

8.3 При подготовке и проведении определений необходимо соблюдать требования техники безопасности при работе с химическими реактивами по ГОСТ 12.1.007.

Последние добавленные документы

Яндекс.Метрика