ГОСТ 27.507-2015 НАДЕЖНОСТЬ В ТЕХНИКЕ. ЗАПАСНЫЕ ЧАСТИ, ИНСТРУМЕНТЫ И ПРИНАДЛЕЖНОСТИ. ОЦЕНКА И РАСЧЕТ ЗАПАСОВ
Reliability in technique. Spare parts, tools and accessories. Evaluation and calculation of reserves
Дата введения - 1 марта 2017 г.
Введен впервые
Предисловие
Цели, основные принципы и основной порядок проведения работ по межгосударственной стандартизации установлены ГОСТ 1.0-2015 "Межгосударственная система стандартизации. Основные положения" и ГОСТ 1.2-2015 "Межгосударственная система стандартизации. Стандарты межгосударственные, правила и рекомендации по межгосударственной стандартизации. Правила разработки, принятия, обновления и отмены"
Сведения о стандарте
1 Разработан Обществом с ограниченной ответственностью "Институт надежности машин и технологий" (ООО "ИНМиТ")
2 Внесен Техническим комитетом по стандартизации ТК 119 "Надежность в технике" и ФГУП "Всероссийский научно-исследовательский институт по стандартизации и сертификации в машиностроении" (ВНИИНМАШ)
3 Принят Межгосударственным советом по стандартизации, метрологии и сертификации (протокол от 10 декабря 2015 г. N 48)
За принятие проголосовали:
|
Краткое наименование страны по МК (ИСО 3166) 004-97 |
Код страны по МК (ИСО 3166) 004-97 |
Сокращенное наименование национального органа по стандартизации |
|
Азербайджан |
AZ |
Азгосстандарт |
|
Армения |
AM |
Минэкономики Республики Армения |
|
Грузия |
GE |
Грузстандарт |
|
Казахстан |
KZ |
Госстандарт Республики Казахстан |
|
Россия |
RU |
Росстандарт |
|
Таджикистан |
TJ |
Таджикстандарт |
4 Приказом Федерального агентства по техническому регулированию и метрологии от 9 июня 2016 г. N 580-ст межгосударственный стандарт ГОСТ 27.507-2015 введен в действие в качестве национального стандарта Российской Федерации с 1 марта 2017 г.
5 Введен впервые
Настоящий стандарт распространяется на восстанавливаемые и обслуживаемые в условиях эксплуатации (на объектах применения, базах хранения или в ремонтных органах) технические изделия (далее - изделия), для обеспечения надежности (ремонтопригодности) которых предусматриваются одиночные и (или) групповые комплекты запасных частей, инструмента и принадлежностей (ЗИП), или двухуровневые системы ЗИП, или запасы на складах, формируемые по средним нормам расхода запасных частей.
Настоящий стандарт устанавливает методологию, порядок и типовые методики оценки показателей достаточности и суммарных затрат на запасные части, методики расчета оптимальных запасов в комплектах (системах) ЗИП, а также методику расчета начальных запасов на складах по средним нормам запасных частей.
Положения настоящего стандарта подлежат применению организациями Российской Федерации, министерств и ведомств и иными расположенными на территории Российской Федерации предприятиями и организациями независимо от форм собственности и подчиненности, имеющими отношение к разработке, производству, эксплуатации и ремонту технических изделий, а также организациями стран ТС, участвующими в разработке, согласовании и применении настоящего стандарта в соответствии с действующим законодательством.
В настоящем стандарте использованы нормативные ссылки на следующие стандарты:
ГОСТ 2.602-2013 Единая система конструкторской документации. Ремонтные документы
ГОСТ 2.603-68 Единая система конструкторской документации. Внесение изменений в эксплуатационную и ремонтную документацию
ГОСТ 27.002-89 Надежность в технике. Основные понятия. Термины и определения
ГОСТ 18322-78 Система технического обслуживания и ремонта техники. Термины и определения
Примечание - При пользовании настоящим стандартом целесообразно проверить действие ссылочных стандартов в информационной системе общего пользования - на официальном сайте Федерального агентства по техническому регулированию и метрологии в сети Интернет или по ежегодному информационному указателю "Национальные стандарты", который опубликован по состоянию на 1 января текущего года, и по выпускам ежемесячного информационного указателя "Национальные стандарты" за текущий год. Если ссылочный стандарт заменен (изменен), то при пользовании настоящим стандартом следует руководствоваться заменяющим (измененным стандартом). Если ссылочный стандарт отменен без замены, то положение, в котором дана ссылка на него, применяется в части, не затрагивающей эту ссылку.
В настоящем стандарте применены термины по ГОСТ 27.002 и ГОСТ 18322, а также следующие термины с соответствующими определениями:
3.1 комплект ЗИП (SPTA package): Комплект запасных частей, инструментов и принадлежностей, предназначенный для обеспечения эксплуатации (ремонта и технического обслуживания) изделия.
3.2 одиночный комплект ЗИП (SPTA local package): Комплект ЗИП, предназначенный для обеспечения эксплуатации (ремонта и технического обслуживания) одного изделия.
3.3 групповой комплект ЗИП (SPTA group package): Комплект ЗИП, предназначенный для обеспечения эксплуатации (ремонта и технического обслуживания) группы изделий.
3.4 двухуровневая система ЗИП (SPTA system): Система ЗИП, представляющая собой совокупность одного комплекта ЗИП-Г и нескольких комплектов ЗИП-О, предназначенных для обеспечения эксплуатации (ремонта и технического обслуживания) группы однотипных изделий, размещенных на одном объекте (в одном регионе).
3.5 отказ комплекта ЗИП (SPTA package failure): Событие, состоящее в том, что поступившая в ЗИП заявка на запасную часть какого-либо из предусмотренных в нем типов не удовлетворяется из-за того, что на момент поступления заявки запасные части этого типа в ЗИП отсутствуют (их запас был исчерпан ранее и еще не восстановлен).
3.6 восстанавливаемая составная часть (repairable part): Составная часть изделия, для которой проведение восстановления работоспособного состояния предусмотрено в эксплуатационной документации на изделие.
3.7 невосстанавливаемая составная часть (non-repairable part): Составная часть изделия, для которой проведение восстановления работоспособного состояния не предусмотрено в эксплуатационной документации на изделие.
3.8 интенсивность замены составных частей (substitution rate of items): Среднее число замен составных частей данного типа в обслуживаемом комплектом ЗИП изделии за единицу времени.
3.9 интенсивность спроса на запасные части (demand rate of spare parts): Среднее число заявок на запасные части данного типа, поступающих в комплект ЗИП от обслуживаемых изделий за единицу времени.
3.10 запас (reserve): Совокупность запасных частей одного типа (типономинала, типоразмера), характеризуемая начальным уровнем, суммарными затратами, стратегией пополнения и показателем достаточности.
3.11 стратегия пополнения запаса (reserve replenishment strategy): Совокупность правил, на основании которых пополняют (восстанавливают) запас в комплекте ЗИП.
Примечание - Правила регламентируют момент выдачи заявки (требования) на пополнение, длительность, источник и порядок ее реализации.
3.12 среднее время экстренной доставки запасной части (mean time to spare part extra ordinal delivery): Среднее значение времени (в единицах наработки изделия) от момента отказа комплекта ЗИП по запасу данного типа до момента внепланового (экстренного) восстановления запаса из источника пополнения (по стратегии, предусматривающей экстренные доставки).
3.13 среднее время доставки запасной части (mean time to spare part delivery): Среднее значение времени (в единицах наработки изделия) от момента изъятия запасной части из комплекта ЗИП до момента восстановления запаса из источника пополнения (по стратегии, предусматривающей восполнение запаса после изъятия каждой запасной части).
3.14 среднее время ремонта составной части (mean repair time of parts): Среднее значение времени (в единицах наработки) от момента изъятия запасной части из запаса данного типа в комплекте ЗИП до момента возвращения в этот запас отремонтированной составной части того же типа (по стратегии, предусматривающей ремонт отказавших составных частей).
3.15 показатель достаточности запаса (reserve sufficiency measure): Количественная характеристика, определяющая влияние начального уровня запаса в комплекте ЗИП на уровень надежности обслуживаемых изделий в заданных условиях и режимах их эксплуатации и при заданной (принятой) стратегии пополнения запаса.
3.16 показатель достаточности комплекта ЗИП (SPTA package sufficiency measure): Количественная характеристика, определяющая влияние начального уровня всех запасов в комплекте ЗИП на уровень надежности обслуживаемых изделий в заданных условиях и режимах их эксплуатации и при заданных (принятых) стратегиях пополнения запасов.
3.17 среднее время задержки в удовлетворении заявки на запасную часть одним запасом (комплектом ЗИП) (mean delay time to demand fulfilling for spare part by local package): Стационарное значение отношения математического ожидания суммы интервалов времени задержки в удовлетворении заявок на запасную часть, вызванных отказами комплекта ЗИП по запасу данного (любого) типа за некоторый период эксплуатации, к математическому ожиданию общего количества заявок на запасную часть этого (любого) типа, поступивших в комплект ЗИП за тот же период.
3.18 среднее время замены составной части (mean substitution time of parts): Среднее значение времени от момента установления факта отказа составной части какого-либо из предусмотренных в комплекте ЗИП типов до момента окончания процесса замены этой составной части на исправную запасную часть того же типа из комплекта ЗИП при условии, что таковая имеется там в наличии.
3.19 коэффициент готовности запаса (reserve availability factor): Вероятность того, что в произвольный момент времени при принятой стратегии пополнения запаса данного типа отказ комплекта ЗИП по нему не произойдет.
3.20 коэффициент готовности одиночного комплекта ЗИП (SPTA local package availability factor): Вероятность того, что в произвольный момент времени при принятых стратегиях пополнения запасов всех типов отказ одиночного комплекта ЗИП не произойдет.
3.21 коэффициент готовности группового комплекта ЗИП (SPTA group package availability factor): Вероятность того, что в произвольный момент времени при принятых стратегиях пополнения запасов всех типов отказ группового комплекта ЗИП относительно одного (любого) изделия в обслуживаемой группе (то есть по заявкам только от него) не произойдет.
3.22 норма расхода запасных частей на эксплуатацию (spare part service expenses rate): Среднее ожидаемое число замен составных частей одного типа в одном изделии (или в группе однотипных изделий заданного размера) за установленный период эксплуатации.
3.23 норма расхода запасных частей на плановый ремонт (spare part scheduled repair expenses rate): Среднее ожидаемое число замен составных частей одного типа в одном изделии при проведении его планового (капитального, среднего и т.п.) ремонта.
3.24 коэффициент интенсивности эксплуатации (steady state availability factor): Отношение наработки изделия за некоторый период эксплуатации к календарной длительности этого периода [или максимально допустимому (нормативному) пробегу, или числу срабатываний (включений) за этот период].
3.25 запасные части, инструменты и принадлежности (ЗИП) [spare parts, tools and accessories (SPTA)]: Совокупность запасов материальных средств, сформированная в зависимости от назначения и особенностей использования объекта и предназначенная для его функционирования, технического обслуживания и ремонта.
Примечание - Набор ЗИП комплектуется в соответствии с требованиями.
4.1 Обозначения
aio
- среднее число заявок, поступивших в комплект ЗИП-О (ЗИП-Г) на ЗЧ i-типа за период пополнения Ti;
D0 - расчетный показатель в прямой задаче оптимизации;
cio (cг₀) - затраты (стоимость, объем, масса и т.п.) на одну ЗЧ i-типа в комплекте ЗИП-O (ЗИП-Г);
С∑ЗИП-О (С∑ЗИП-Г) - суммарные затраты на все ЗЧ в комплекте ЗИП-О (ЗИП-Г);
![]()
- значения С∑ЗИП-О (С∑ЗИП-Г) используемое в качестве ограничений при решении обратной задачи оптимизации;
С∑С.зип - суммарные затраты в С ЗИП;
- значение С∑С.зип, используемое в качестве ограничений при решении обратной задачи оптимизации;
io(iг) - номер типа запаса в комплекте
;
j - номер-образца изделия в группе, обслуживаемой одним комплектом ЗИП-Г
;
Кг - коэффициент готовности изделия с учетом ограниченности запасов в комплектах ЗИП;
Кг∞- значение Кг при неограниченном ЗИП;
- требуемое значение Кг заданное в ТЗ на изделие;
Кг.зiо - коэффициент готовности запаса i-типа в комплекте ЗИП-О;
Кг.ЗИП-О (Кг.ЗИП-Г, j) - коэффициент готовности комплекта ЗИП-О (ЗИП-Г относительно j-образца изделия);
(Кг.ЗИП-Г, j) - требуемые значения Кг.ЗИП, заданные в ТЗ на изделие или на комплект ЗИП;
Ки.э - коэффициент интенсивности эксплуатации;
Кт.и - коэффициент технического использования;
mi - уровень неснижаемого запаса i-типа;
kjo
- количество СЧ i-типа в изделии (в j-образце изделия);
Ljo
- начальный уровень запаса i-типа в ЗИП-О (ЗИП-Г) (по ведомости ЗИ);
![]()
- первоначальный уровень запаса i-типа в ЗИП-О (ЗИП-Г) (на "нулевом" шаге алгоритма оптимизации);
![]()
- уровень запаса i-типа в ЗИП-О (ЗИП-Г) (на l-шаге алгоритма оптимизации);
No (Nг) - количество типов ЗЧ в комплекте ЗИП-О (ЗИП-Г);
S - количество образцов изделий ВТ, обслуживаемых одним комплектом ЗИП-Г;
Rio
- промежуточный расчетный показатель для комплекта ЗИП-О (ЗИП-Г);
R∑О R∑Г - сумма Rio
по всем типам ЗЧ в ЗИП-О (ЗИП-Г);
∆tзiО(∆tзiГ) - среднее время задержки в удовлетворении заявок на ЗЧ запасом i-типа в комплекте ЗИП-О (ЗИП-Г);
∆tЗИП-О (∆tЗИП-Г) - среднее время задержки в удовлетворении заявок на ЗЧ комплектом ЗИП-О (ЗИП-Г);
(
) - требуемые значения ∆tЗИП заданные в ТЗ на изделие или на комплект ЗИП;
Tio
- первый (основной) параметр стратегии пополнения запаса i-типа в комплекте ЗИП-О (ЗИП-Г);
Тпiо (Тпiг) - период планового пополнения запаса i-типа в комплекте ЗИП-О (ЗИП-Г);
Тдiо; (Тдiг) (Тpio;
) - среднее время доставки (или ремонта) ЗЧ i-типа в комплекте ЗИП-О (ЗИП-Г);
Тз (Тв) - среднее время замены СЧ (восстановления изделия) с учетом ограниченности реальных комплектов ЗИП;
![]()
- требуемое значение Тз (Тв) (заданное в ТЗ на изделие);
Тз∞ (Тв∞) - значения Тз (Тв) при неограниченном ЗИП;
Тэдiо (Тэдiг) - время экстренной доставки ЗЧ i-типа в комплект ЗИП-О (ЗИП-Г);
αio
- условный индекс стратегии пополнения запаса i-типа в комплекте ЗИП-О (ЗИП-Г);
βio
- второй (дополнительный) параметр стратегии пополнения запаса i-типа в комплекте ЗИП-О (ЗИП-Г);
Λзiо (Λзiог) - интенсивность замен СЧ i-типа в изделии (в j-образце изделия);
Λiо
- интенсивность спроса на ЗЧ i-типа в комплект ЗИП-О (комплект ЗИП-Г от всех изделий группы или только от j-образца изделия);
Λо (Λг) - суммарная интенсивность спроса на ЗЧ всех типов в комплект ЗИП-О (ЗИП-Г);
- норма расхода ЗЧ i-типа на эксплуатацию одного изделия (группы S однотипных изделий);
- норма расхода ЗЧ i-типа на один плановый ремонт (на S ремонтов за планируемый период).
4.2 Сокращения
ЗИ - запасное имущество;
ЗИП - запасные части, имущество и принадлежности;
ЗИП-Г - групповой комплект ЗИП;
ЗИП-О - одиночный комплект ЗИП;
ЗЧ - запасная часть;
НИП - не отказывающий источник пополнения;
ОКР - опытно-конструкторская работа;
ПД - показатель достаточности (запаса или комплекта ЗИП);
ПН - показатель надежности;
ПЭВМ - персональная электронно-вычислительная машина;
СЗИП - система ЗИП;
СЧ - составная часть (изделия);
ТЗ - техническое задание;
ТО - техническое обслуживание;
ТР - текущий ремонт;
ЭД - эксплуатационная документация.
5.1 Назначение комплектов ЗИП и решаемые ими задачи
Настоящий стандарт распространяется на восстанавливаемые и обслуживаемые в условиях эксплуатации (на объектах применения, базах хранения или ремонтных органах) технические изделия, для обеспечения надежности (ремонтопригодности) которых предусматриваются одиночные и (или) групповые комплекты запасных частей, инструмента и принадлежностей (ЗИП), или двухуровневые системы ЗИП, или запасы на складах, формируемые по средним нормам расхода запасных частей. В соответствии с этим предназначением имеются две группы заинтересованных организаций в применении стандарта: поставщиков запасных частей; эксплуатирующих организаций.
5.1.1 Первая группа организаций (поставщики) отвечает за бесперебойное и гарантированное удовлетворение запросов на запасные части от эксплуатирующих организаций. При этом нет необходимости рассматривать достигаемый уровень ПН технических изделий, обслуживаемых комплектами или системой ЗИП, поскольку задача обеспечения надежности находится вне сферы их компетенции, а ЗИП является только одним из ресурсов, привлекаемых для обеспечения надежности. При наличии требований к ПД требования к ПН не являются обязательными.
5.1.2 Вторая группа организаций (эксплуатирующие организации) отвечает за поддержание заданных требований к надежности. Поскольку для решения этой задачи привлекаются разнообразные ресурсы, среди которых ЗИП является только одним из них, то требования к показателям достаточности комплектов ЗИП существенно зависят от состояния других ресурсов. Поэтому для выбора состава комплектов и системы ЗИП надо использовать требования к надежности. Требования к показателям достаточности являются не обязательными и должны рассматриваться в комплексе с требованиями к другим видам ресурсов. При этом требования к ПД не являются самостоятельными, и по их количественным значениям нельзя судить об уровне значений показателей надежности.
5.1.3 При определенных условиях решение обеих задач можно объединить, например, если другие виды ресурсов малы или мало влияют на показатели надежности или если показатели надежности не интересуют эксплуатирующую организацию, а для нее важными являются показатели эффективности. Тогда ПД выходят на первый план, и требования к ним задают, исходя из технико-экономических характеристик системы ЗИП.
5.1.4 В связи с этим в настоящем стандарте рассматриваются две группы задач оценки и расчета запасов в комплектах ЗИП: по критериям достаточности и по критериям надежности:
- оценка и расчет запасов по критериям достаточности;
- оценка и расчет запасов по критериям надежности.
5.2 Виды комплектов ЗИП
5.2.1 Предприятиями промышленности разрабатывают, изготавливают и поставляют следующие основные виды комплектов ЗИП:
- одиночный комплект ЗИП (ЗИП-О);
- групповой комплект ЗИП (ЗИП-Г);
- двухуровневая и многоуровневая системы ЗИП;
- ремонтный комплект ЗИП (ЗИП-Р).
Виды комплектов ЗИП для конкретного изделия задают в ТЗ на выполнение ОКР.
В настоящем стандарте порядок формирования и методы расчетов комплекта ЗИП-Р не рассматриваются.
5.2.2 Номенклатуру и количественный состав комплектов ЗИП устанавливают (рассчитывают) при разработке изделий (для комплектов ЗИП-Р - при разработке ремонтной документации). При необходимости, если это следует из документации, состав ЗИП согласуют с заказчиком.
5.2.3 Для пополнения комплектов ЗИП составными частями, израсходованными при эксплуатации и ремонте изделий, предприятия промышленности поставляют ЗИП россыпью. Номенклатурный и количественный состав ЗИП россыпью определяет заказчик при плановом заказе в отдельной заявке.
5.2.4 Комплекты ЗИП можно делить на части.
5.2.5 Одиночный комплект ЗИП
5.2.5.1 Комплект ЗИП-О предназначен для обеспечения эксплуатации одного изделия, поддержания его в исправном состоянии проведением ТО в объеме требований эксплуатационной документации, а также устранения отказов и неисправностей в течение заданной наработки или срока службы на месте эксплуатации силами обслуживающего персонала.
5.2.5.2 Наработку или срок службы изделий, на которые рассчитывают комплект ЗИП-О, устанавливают в ТЗ на выполнение ОКР.
5.2.5.3 В зависимости от специфики изделия в состав комплекта ЗИП-О допускается включать:
- запасные части (детали и сборочные единицы) из числа наименований надежных составных частей изделия, влияющих на его работоспособность;
- инструмент, контрольно-измерительные приборы, необходимые для обеспечения эксплуатации изделия;
- принадлежности для обеспечения использования, хранения, транспортирования и обслуживания изделия;
- материалы, необходимые для устранения неисправностей и проведения ТО изделия.
5.2.5.4 Комплект ЗИП-О является неотъемлемой частью изделия и должен находиться на изделии (на месте эксплуатации изделия).
5.2.6 Групповой комплект ЗИП
5.2.6.1 Комплект ЗИП-Г предназначен для обеспечения технического обслуживания и ремонта группы однотипных изделий в течение заданной наработки или срока службы на месте эксплуатации силами эксплуатирующей организации в объеме требований эксплуатационной документации.
5.2.6.2 Количество изделий, наработка или срок службы, на которые рассчитывают комплект ЗИП-Г, должны быть установлены в документации. По совместному решению заказчика, разработчика и изготовителя кратность комплекта ЗИП-Г допускается уточнять на любом этапе разработки и серийного производства изделий.
5.2.6.3 В состав комплекта ЗИП-Г включают:
- запасные части, необходимые для обеспечения ТО и ТР группы изделий на месте эксплуатации в объеме требований эксплуатационной документации;
- заменяемые составные части изделия, имеющие ресурс меньше ресурса изделия;
- комплект инструмента, оборудования, контрольно-измерительных приборов и приспособлений, предназначенных для ТО и ТР изделий в объеме требований эксплуатационной документации;
- принадлежности и материалы.
5.2.7 Система ЗИП
5.2.7.1 Система ЗИП включает в себя комплекты ЗИП-О и ЗИП-Г, расположенные на различных уровнях иерархической структуры системы.
5.2.7.2 В двухуровневой системе на первом уровне находятся комплекты ЗИП-О, приближенные к месту эксплуатации образцов однотипных изделий. На втором уровне находятся комплекты ЗИП-Г, обеспечивающие пополнение запасов в комплектах ЗИП-О или непосредственно обслуживающие закрепленные за ними изделия по некоторым видам запасов из номенклатуры запасных частей системы ЗИП.
5.2.7.3 В многоуровневой системе на втором, третьем и более высоких уровнях иерархии системы находятся комплекты ЗИП-Г. Комплект ЗИП-Г третьего и более высоких уровней обеспечивают пополнение запасов комплектов ЗИП-Г ближайшего уровня, но может использоваться для пополнения запасов комплектов ЗИП других, более низких уровней или обслуживать заявки непосредственно от образцов изделий.
5.2.7.4 Количество изделий, обслуживаемых одним комплектом ЗИП-О; количество комплектов ЗИП-О, обслуживаемых одним комплектом ЗИП-Г; наработка или срок службы, на которые рассчитывают комплекты ЗИП-О и ЗИП-Г, должны быть установлены в ТЗ на выполнение ОКР.
5.3 Требования к обоснованию состава комплектов ЗИП, порядок их разработки и корректировки
5.3.1 Требования к обоснованию состава комплектов ЗИП
5.3.1.1 Методы расчета состава комплектов ЗИП должны соответствовать требованиям настоящего стандарта.
5.3.1.2 Номенклатура и количество запасных частей, входящих в состав комплектов ЗИП-О и ЗИП-Г, должны рассчитываться с учетом обеспечения задаваемых в ТЗ на выполнение ОКР требований по надежности изделий.
В случаях, характерных для сложных изделий, когда на изделие в целом требования по надежности не задано, состав комплектов ЗИП-О и ЗИП-Г допускается рассчитывать на основании заданного (требуемого) значения более общего показателя (показателя эффективности). Состав запасных частей при этом, наряду с заданными значениями более показателя, должен обеспечивать заданные (требуемые) значения показателей надежности восстанавливаемых (заменяемых) составных частей изделия.
5.3.1.3 Методы расчета запасных частей для эксплуатации изделий подразделяют на:
- методы расчета запасных частей, входящих в состав комплектов ЗИП-О и ЗИП-Г;
- методы расчета норм расхода запасных частей.
5.3.1.4 Методы расчета комплектов ЗИП должны обеспечивать разработку оптимальных по составу (номенклатуре и количеству) комплектов ЗИП.
При использовании критериев достаточности оптимизация должна проводиться при условии выполнения требований 5.3.1.2 и 5.3.1.3 по минимуму затрат при заданном уровне показателя достаточности ЗИП или по максимальному уровню показателя достаточности ЗИП при заданных затратах на него. В этом случае показатели надежности не рассчитываются или рассчитываются для сведения эксплуатирующих организаций.
При использовании критериев надежности оптимизация должна проводиться при условии выполнения требований 5.3.1.2 и 5.3.1.3 по минимуму затрат на начальные запасы в комплекте ЗИП при заданном уровне показателя надежности изделия или по максимальному уровню показателя надежности изделия при заданных затратах на начальные запасы в комплекте ЗИП. В этом случае показатели достаточности не рассчитываются для сведения организаций - поставщиков запасных частей.
5.3.1.5 При разработке методов расчета запасных частей должны быть учтены следующие факторы:
- сроки сохраняемости составных частей комплекта ЗИП;
- структура и особенности функционирования изделия;
- способ пополнения комплектов ЗИП;
- затраты на запасные части;
- квалификация персонала, эксплуатирующего изделия.
Примечание - Характеристики надежности составных частей изделий уточняют по статистическим данным, полученным при эксплуатации составных частей аналогов или на основе расчета по справочным данным об интенсивности отказов входящих в них сборочных единиц и деталей, а также по данным, полученным на основе специальных методик и испытаний в ходе разработки изделия.
5.3.1.6 Количество запасных частей, входящих в комплекты ЗИП-О и ЗИП-Г, необходимо рассчитывать на заданную наработку или срок службы изделия.
5.3.1.7 Номенклатуру и количественный состав принадлежностей, входящих в комплект ЗИП, определяют с учетом:
- технологии проведения работ по замене составных частей изделия на запасные из состава комплекта ЗИП и устранению неисправности изделия;
- технологии проведения работ при техническом обслуживании изделия;
- технологии подготовки изделия к использованию по назначению;
- технического ресурса инструментов и принадлежностей;
- номенклатуры контрольно-измерительной аппаратуры, необходимой для проверок и технического обслуживания изделия;
- номенклатуры контрольно-измерительной аппаратуры, установленной на изделии и периодически снимаемой для поверок органами метрологической службы;
- номенклатуры контрольно-измерительной аппаратуры, необходимой для проведения ремонта изделий.
Примечание - В номенклатуру инструментов и принадлежностей не включают инструменты и принадлежности, используемые только при ремонте изделий в ремонтных органах.
5.3.1.8 Номенклатуру и количество материалов, входящих в комплекты ЗИП, определяют с учетом обеспечения:
- материалами, используемыми при замене составных частей изделия на запасные;
- материалами, необходимыми для восстановления исправности неисправных или отказавших составных частей изделия;
- материалами, используемыми при подготовке изделия к использованию по назначению;
- материалами, необходимыми для проведения технического обслуживания комплектов ЗИП в процессе их хранения.
При определении номенклатуры и количества расходных материалов должны быть учтены:
- назначенный срок годности материалов;
- действующие ограничительные перечни по их применению и унификации.
5.3.2 Порядок разработки комплектов ЗИП
5.3.2.1 Комплекты ЗИП-О и ЗИП-Г разрабатывает головной разработчик с участием разработчиков составных частей и при необходимости предприятий-изготовителей одновременно с разработкой изделия. По согласованию с заказчиком допускается разрабатывать комплекты ЗИП предприятиям - изготовителям серийных изделий.
5.3.2.2 Требования к комплектам ЗИП-О и ЗИП-Г указывают в ТЗ на выполнение ОКР (составной части ОКР).
5.3.2.3 Разработчики составных частей изделия определяют состав соответствующих комплектов ЗИП для разрабатываемых ими составных частей и представляют по согласованной форме головному разработчику (изготовителю) для определения состава комплекта ЗИП изделия в целом.
5.3.2.4 Все виды комплектов ЗИП разрабатывают для однотипных изделий, выполняющих самостоятельные функции и имеющих индекс заказчика. По согласованному решению головного разработчика (разработчика) и заказчика допускается разрабатывать единые комплекты ЗИП для изделий нескольких модификаций.
5.3.2.5 На каждый разработанный комплект ЗИП оформляют конструкторский документ "Ведомость ЗИП". Форма ведомости ЗИП и содержание изложения должны соответствовать требованиям, установленным в стандартах на соответствующие виды изделий.
5.3.2.6 В целях обеспечения автоматизированного учета и снабжения ЗИП в ведомостях ЗИП для каждой составной части, входящей в комплект ЗИП, должен быть указан код по общесоюзному классификатору продукции (ОКП).
5.3.2.7 В ведомостях ЗИП, в составе которых имеются составные части, требующие периодической проверки, освидетельствования, связанного с проверкой параметров на специальном оборудовании, коды в ведомостях ЗИП проставляют разработчики ЗИП после включения этих составных частей в ОКП.
5.3.2.8 Ведомости ЗИП (кроме комплекта ЗИП-Р) должны быть разработаны до начала предварительных испытаний изделия.
5.3.2.9 На каждый комплект ЗИП должна быть разработана инструкция по его использованию, состав и содержание которой должны соответствовать требованиям ТЗ.
5.3.2.10 На государственные испытания вместе с опытными образцами изделия должны быть представлены одиночный и групповой комплекты ЗИП. По согласованию с заказчиком для отдельных видов изделий допускается представлять на государственные испытания вместо группового комплекта ЗИП ведомость ЗИП. Откорректированные по результатам государственных испытаний ведомости комплектов ЗИП утверждают в составе конструкторской документации,
5.3.3 Порядок корректировки состава комплектов ЗИП
5.3.3.1 Для обеспечения эксплуатации и ремонта изделий необходимыми запасными частями, инструментом, принадлежностями и материалами до снятия изделий с эксплуатации состав комплектов ЗИП периодически корректируется.
5.3.3.2 Корректировку комплектов ЗИП производит предприятие, являющееся держателем подлинников конструкторской документации, по мере накопления опыта эксплуатации и ремонта изделий.
5.3.3.3 Основанием для корректировки состава комплектов ЗИП являются:
- изменения, внесенные в рабочую конструкторскую, эксплуатационную и ремонтную документацию;
- изменение показателей надежности отдельных составных частей и изделия в целом;
- результаты исследований технического состояния изделий после различных сроков эксплуатации;
- совершенствование технологии и организации ремонта;
- анализ статистических данных о фактическом расходе запасных частей в процессе эксплуатации и ремонта изделий;
- нормы расхода запасных частей, скорректированные по данным о фактическом расходе запасных частей;
- требования заказчика с учетом обобщения предложений эксплуатирующих и ремонтных организаций по изменению состава комплектов ЗИП;
- изменения стандартов на покупные составные части ЗИП и снятие их с производства. Предложения по корректировке состава комплектов ЗИП и расчеты по их обоснованию согласовывают с теми же организациями, с которым согласовывались проекты ведомостей комплектов ЗИП.
5.3.3.4 Первую корректировку состава комплектов ЗИП-О и ЗИП-Г проводят на основании решения по акту государственных испытаний. В дальнейшем корректировку этих комплектов производят по мере необходимости в согласованные с заказчиком сроки, но не реже одного раза в 3 - 5 лет. Корректировку состава комплектов ЗИП по отдельным номенклатурам ЗИП допускается проводить в любое время эксплуатации.
5.3.3.5 Первую корректировку состава комплекта ЗИП-Р проводят по результатам проведения опытного ремонта установленной партии изделий с использованием комплекта ЗИП-Р. В дальнейшем корректировку комплекта ЗИП-Р проводят по мере необходимости в согласованные с заказчиком сроки, но не реже одного раза в 3 - 5 лет.
5.3.3.6 При корректировке состава ЗИП изменения в подлинниках ведомостей ЗИП вносятся в соответствии с требованиями ГОСТ 2.603.
5.4 Состав методик для оценки и расчета комплектов ЗИП
5.4.1 Включенные в настоящий стандарт методики предназначены для оценки и расчета запасов восстанавливаемых и невосстанавливаемых ЗЧ в комплектах ЗИП-О, ЗИП-Г, придаваемых техническим изделиям, или в двухуровневых системах ЗИП, состоящих из одного группового комплекта ЗИП-Г и нескольких одинаковых ЗИП-О, а также для расчета складских запасов, создаваемых по средним нормам расхода запасных частей.
Типовые структуры использования ЗИП-О и ЗИП-Г, для которых применимы методики стандарта, приведены на рисунке 1.

Рисунок 1 - Типовые структуры ЗИП
В методиках принято, что пополнение комплектов ЗИП-О (в структуре 1) и ЗИП-Г (в структурах 2, 3) осуществляется со складов (без снабжения), которые считаются НИП, то есть удовлетворяющими все заявки на ЗЧ без задержки.
5.4.2 Основными количественными характеристиками запасов в комплектах ЗИП являются ПД и суммарные затраты на ЗЧ (в стоимостных или массогабаритных единицах). При формировании комплектов ЗИП по критерию надежности для каждого вида запасов указываются ПН по данному виду запасов и суммарные затраты на ЗЧ (в стоимостных или массогабаритных единицах).
5.4.3 Под оценкой запаса какого либо одного типа понимают определение значений показателей его достаточности [или показателей надежности одноменклатурной (однородной подсистемы)] и суммарных затрат на 3Ч [при известном начальном уровне запаса и заданной (принятой) стратегии пополнения]. Оценка запасов в комплекте ЗИП состоит из оценок запасов каждого типа в отдельности и определения на их основе ПД (ПН) и суммарных затрат на ЗЧ по комплекту ЗИП в целом.
5.4.4 Оценку запасов в комплекте ЗИП проводят:
- при разработке комплектов ЗИП - после расчета каждого варианта комплекта с целью определения фактических значений ПД (ПН) и суммарных затрат на ЗЧ и исключения возможных ошибок расчета (контрольная оценка);
- при проверке выполнения требований ТЗ к полноте и достаточности при данных ЗИП на приемочных испытаниях опытных образцов технических изделий, а также при закупке серийных изделий;
- при корректировке комплектов ЗИП для условий эксплуатации, отличающихся от тех, для которых они разрабатывались (например, при другой интенсивности эксплуатации оборудования, другой интенсивности замен СЧ, других стратегиях пополнения запасов).
5.4.5 Под расчетом запаса одного типа понимают определение его начального уровня, удовлетворяющего заданным требованиям по ПД (ПН) для прямой задачи и ограничениям по суммарным затратам на 3Ч (при решении обратной задачи) при заданной (принятой) стратегии пополнения.
Расчет запасов в комплекте ЗИП состоит из расчетов запасов каждого типа в отдельности и последующей оценки ПД (ПН) и суммарных затрат на ЗЧ по комплекту ЗИП в целом.
5.4.6 При разработке и корректировке комплектов ЗИП расчеты запасов в них должны проводиться по методикам, обеспечивающим оптимизацию затрат на 3Ч (их суммарной стоимости, или массы, или объема).
В зависимости от предъявленных требований задача оптимизации запасов в комплекте ЗИП может решаться в двух постановках:
а) расчет запасов, обеспечивающих заданный уровень ПД (ПН) комплекта ЗИП при минимальных суммарных затратах на ЗЧ, - прямая задача оптимизации запасов;
б) расчет запасов, удовлетворяющих заданному ограничению по суммарным затратам на 3Ч при максимально достижимом уровне ПД (ПН) комплекта ЗИП, - обратная задача оптимизации запасов.
5.4.7 Объем и форма представления исходных данных, необходимых для проведения расчетов по методикам настоящего стандарта, установлены в разделе 8.
Перед началом расчетов исходные данные, как правило, должны быть согласованы между заказчиком и разработчиком ЗИП.
5.4.8 При контрольной оценке запасов процесса разработки комплекта ЗИП в качестве исходных используются данные, принимающиеся при расчете оцениваемого варианта комплекта ЗИП.
При оценке запасов на этапах испытаний опытных или серийных образцов изделий, а также в комплектах ЗИП, спроектированных ранее или покупных, номенклатуру и количество СЧ в изделии и начальные уровни запасов определяют (выписывают) из "Ведомости ЗИ", а тип и параметры стратегий пополнения запасов задают (или выбирают), исходя из целей проводимой оценки с учетом существующей (или создаваемой) системы технического обслуживания и ремонта изделий данного типа. Показатели надежности (интенсивности замен) СЧ определяют по данным текущих или предшествующих испытаний изделий данного типа или по данным эксплуатации изделий - аналогов (прототипов). Допускается рассчитывать интенсивность замен СЧ λзi по данным о надежности комплектующих узлов и деталей, приведенных в технической документации на них (формулярах, паспортах) или в официальных справочниках.
5.4.9 При расчете запасов в комплекте ЗИП исходные данные (если они не заданы полностью в ТЗ на разработку изделия или ЗИП) выбирают, исходя из требований, предъявляемых к уровню надежности обслуживаемого изделия и заданной (или принятой) для него системы технического обслуживания и ремонта.
При этом соотношение между требованиями к ПД ЗИП и к показателям надежности (ремонтопригодности) изделия, а также предварительная номенклатура и стратегии пополнения запасов должны соответствовать имеющейся или заданной (принятой) системе текущего ремонта изделия и его восстанавливаемых СЧ (сменных блоков, ячеек и других типовых элементов замены).
Если нормируемыми являются ПД, то расчет и оценка ПН проводятся для сведения. Если же нормируемыми являются ПН, то для сведения проводят расчет и оценку ПД.
5.4.10 Окончательную номенклатуру комплекта ЗИП-О (или ЗИП-Г) определяют по результатам расчета оптимальных запасов. Если при заданных (принятых) исходных данных рассчитанный начальный уровень запаса какого-либо типа оказывается равным нулю, но в ТЗ включено специальное требование о необходимости предусмотреть в ЗИП-О (или в ЗИП-Г) не менее одной ЗЧ каждого (или только данного типа), то запас этого типа увеличивают до единицы. Если же в ТЗ на разработку изделия (или только ЗИП) такое требование не предусмотрено, то решение об утверждении расчетного уровня L = О (или об увеличении его до Li = 1) принимают по согласованию с заказчиком изделия (или комплекта ЗИП) с учетом имеющихся в ЭД на изделие (или ЗИП) указаний о порядке восстановления изделия при отказе СЧ данного типа. Если на момент проектирования ЗИП такие указания в ЭД отсутствуют, то они должны быть внесены туда после согласования с заказчиком.
5.4.11 При выборе состава комплектов ЗИП по показателям достаточности оценка достаточности и расчеты оптимальных запасов в комплектах ЗИП по методикам настоящего стандарта могут проводиться при использовании любого из двух ПД (∆tЗИП или Кг.ЗИП) и любого из четырех (для ЗИП-О) или только первых трех (для ЗИП-Г) типов стратегий пополнения запасов, установленных в разделе 7.
Оценка проверяемого на испытаниях (или ранее разработанного) комплекта ЗИП может проводиться по любому из указанных ПД и при любых стратегиях пополнения запасов независимо от того, какой ПД использовался при его проектировании и какие при этом использовались стратегии пополнения запасов.
5.4.12 Оценка суммарных затрат на 3Ч в комплектах ЗИП может проводиться по одному или последовательно нескольким типам затрат на 3Ч, и независимо от типа затрат на ЗЧ затраты по всем запасам должны задаваться (измеряться) в одних и тех же единицах.
5.4.13 СЧ, заменяемые согласно ЭД по выработке назначенного ресурса независимо от технического состояния, в оценках и расчетах по методикам настоящего стандарта не учитывают. Запасы таких СЧ рассчитывают по отношению расчетного значения средней наработки изделия в целом за заданный (принятый) период пополнения их в комплекте ЗИП к ресурсу СЧ, а затраты на них добавляют к суммарным затратам на запасы всех остальных типов после расчета последних.
5.4.14 Количество контрольно-измерительных приборов, инструментов, принадлежностей и материалов, входящих в комплекты ЗИП, а также запасы плавких предохранителей, крепежных изделий, монтажных проводов и других составных частей изделий, для которых не установлена (или не может быть определена) интенсивность замены (или интенсивность спроса), по методикам настоящего стандарта не оценивают и не рассчитывают. Потребность в этих элементах ЗИП определяют экспериментальным методом, исходя из назначения и условий эксплуатации изделия, для которого проектируется (оценивается) ЗИП, с учетом опыта эксплуатации его аналогов или прототипов.
5.4.15 Для оценки ПД и расчета оптимальных запасов по критерию достаточности в стандарте используют математические модели (формулы), изложенные в [1]. В них приняты следующие допущения и ограничения:
а) поток заявок на ЗЧ в комплекты ЗИП является простейшим, то есть случайное время между заявками распределено по экспоненциальному закону;
б) приемлемая точность вычисления ПД комплектов ЗИП в целом по характеристикам отдельных запасов обеспечивается при условии, что требуемые значения ПД комплекта удовлетворяют неравенствам:

(5.1)
или

(5.2)
Если ограничения (5.1) или (5.2) для какого-либо конкретного случая не выполняются, но пересматривать требования к ПД в сторону их ужесточения (увеличения
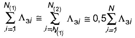
или уменьшения
) по технико-экономическим соображениям не представляется возможным, рекомендуется разделить проектируемый комплект на два одинаковых по интенсивности спроса полукомплекта (1) и (2) и рассчитывать каждый из них самостоятельно. При этом исходные данные по полукомплектам должны удовлетворять равенствам:
,
(5.3)
,
(5.4)

(5.5)
5.4.16 Для оценки ПН и расчета оптимальных запасов по критерию надежности в стандарте используют математические модели (формулы), изложенные в [2]. В них приняты следующие допущения и ограничения:
а) поток заявок на ЗЧ в комплекты ЗИП является простейшим, то есть случайное время между заявками распределено по экспоненциальному закону;
б) при вычислении ПН изделия состав и характеристики комплектов ЗИП по отдельным запасам и по всей номенклатуре в целом учитываются путем прямого их включения в модель надежности наряду с другими видами ресурсов, в том числе схем структурного резервирования по отдельным видам СЧ или их группам.
5.4.17 Для нахождения оптимальных решений в методиках расчета запасов, принятых в настоящем стандарте, используется метод наискорейшего покоординатного спуска, реализуемый в виде алгоритма "пошаговой" оптимизации, при которой на каждом следующем "шаге" расчета добавляется только одна запасная часть и только в тот запас, увеличение которого на этом "шаге" дает наибольший прирост показателей достаточности в расчете на единицу затрат.
5.4.18 Методики настоящего стандарта могут применяться и в тех случаях, когда отсутствуют данные по затратам на 3Ч. В этих случаях по всем запасам затраты принимаются равными единице (Ci=const=1; i = 1, ..., N), а рассчитанные запасы будут минимизированы по общему (суммарному) количеству ЗЧ в комплекте ЗИП.
5.4.19 Методики настоящего стандарта, предназначенные для ЗИП-Г, могут быть использованы также для оценки и расчета оптимальных запасов, придаваемых ремонтным органам для обеспечения ремонта восстанавливаемых составных частей изделия, так как относительно этих СЧ указанные комплекты ЗИП являются групповыми. Расчеты в этом случае следует проводить при условии, что интенсивность спроса в комплекте ЗИП ремонтного органа на ЗЧ i-типа
определяется суммарным потоком отказов узлов (деталей) этого типа в СЧ всех типов, где они применяются, и во всех образцах изделий, обслуживаемых данным ремонтным органом.
Аналогичным образом указанные методики могут быть использованы (при соответствующей интерпретации исходных данных) для оценки или расчета запасов в ремонтных комплектах ЗИП, предназначенных для обеспечения плановых ремонтов определенного количества изделий одного типа. Однако чаще ремонтные органы обеспечиваются запасными частями не с помощью комплектов ЗИП, а путем создания складских запасов, формируемых по нормам расхода 3Ч на ремонт.
5.4.20 При проведении расчетов ЗИП (имеющих, как правило, многовариантный характер) по методикам настоящего стандарта с целью сокращения их трудоемкости и исключения вычислительных ошибок целесообразно использовать ПЭВМ. При расчетах и оптимизации по критерию достаточности рекомендуется использовать пакеты прикладных программ [3, 4]. При использовании критерия надежности расчеты рекомендуется проводить с помощью пакета прикладных программ [5].
Примеры расчета оптимальных запасов в комплектах ЗИП-О, ЗИП-Г и в двухуровневой системе ЗИП на ПЭВМ с помощью пакетов прикладных программ [3, 4, 5] приведены в приложении А.
В случае отсутствия у пользователей ПЭВМ и (или) при небольшой номенклатуре ЗЧ (не более 50 типов) расчеты по методикам настоящего стандарта могут быть выполнены и без ПЭВМ. При этом общий алгоритм расчетов остается неизменным, а именно тем, который описан в настоящем стандарте. Однако при расчете промежуточных показателей "недостаточности" отдельных запасов Ri по формулам (9.4), (9.12) и (9.13), содержащих бесконечные суммы, суммирование следует прекращать при достижении уровня Ri≤ε/2N, где ε - заданная (или выбранная) точность вычисления ПД комплекта ЗИП в целом (∆tЗИП), а N - количество типов 3Ч в комплекте ЗИП.
5.4.21 Регламентированные настоящим стандартом типовые методики основаны на математических моделях, приведенных в [1], [2], и апробированы при разработке комплектов (систем) ЗИП для технических изделий.


