Утв. Постановлением Государственного комитета СССР по стандартам от 28 августа 1981 г. N 4099
Межгосударственный стандарт ГОСТ 24933.2-81
"СЕМЕНА ЦВЕТОЧНЫХ КУЛЬТУР. МЕТОДЫ ОПРЕДЕЛЕНИЯ ВСХОЖЕСТИ И ЭНЕРГИИ ПРОРАСТАНИЯ"
Seed of flowers. Methods for determination of germinating adility and germinative energy
Дата введения установлена - 1 июля 1982 г.
Взамен ГОСТ 11218-65 в части методов
определения всхожести, жизнеспособности
и доброкачественности семян
Настоящий стандарт распространяется на семена цветочных культур, предназначенные для посева, и устанавливает методы определения их всхожести и энергии прорастания.
1. Методы отбора проб
1.1. Отбор проб - по ГОСТ 24933.0-81.
1.2. Из семян основной культуры, выделенных при определении чистоты, или из средней пробы тех культур, для которых чистоту не определяют, отсчитывают четыре пробы по 100 семян. Семена берут подряд без выбора.
1.3. Для культур антуриум, борщевик, василек, вьюнок, гайярдия, георгина, гомфрена, диморфотека, душистый горошек, ирис, календула, клещевина, конопля, космея, лен, люпин, малопе, мальва, мирабилис, молочай, настурция, переступень, повой, подсолнечник, скабиоза, спаржа, трахикарпус, тыква, фарбитис, фасоль декоративная, финик, фрезия, хамеропс, хатьма, цикламен, цинния, шалфей в пробу берут 50 семян.
1.4. Если семена поступают только для определения всхожести, из средней пробы отбирают одну навеску массой по ГОСТ 24933.0-81 для анализа на чистоту, из которой выделяют отход, а из семян основной культуры берут пробы для анализа.
2. Аппаратура и материалы
2.1. Для проведения анализа применяют:
весы лабораторные по ГОСТ 24104-2001;
термостаты, обогреваемые и охлаждаемые;
аппарат для проращивания семян типа Якобсона;
холодильник;
цилиндр металлический с сетчатым дном диаметром 80 мм, высотой 300 мм;
цилиндры мерные по ГОСТ 1770-74;
пипетки стеклянные;
решето с размером отверстий 2 мм для просеивания песка;
растильни для проращивания семян пластмассовые или керамические;
стекла для покрытия растилен;
чашки Петри;
чашки Коха;
горшки цветочные керамические вместимостью 0, 75 и 1 л;
маркеры на 50 и 100 гнезд;
лейку с сеткой;
пульверизатор;
пинцеты;
лупу по ГОСТ 25706-83;
термометры по ГОСТ 28498-90;
термограф;
ланцеты;
шпатели;
трамбовку;
поддоны;
мешки из синтетической пленки;
марлю по ГОСТ 11109-90;
калий марганцовокислый технический по ГОСТ 5777-84;
бумагу фильтровальную по ГОСТ 12026-76;
плитку электрическую;
посуду вместимостью до 10 л;
песок кварцевый;
опилки древесные лиственных пород;
спирт этиловый ректификованный;
иглу препаровальную.
3. Подготовка к анализу
3.1 Для проращивания семян применяют кварцевый песок, марлю, белую фильтровальную бумагу и опилки.
Песок промывают, прокаливают и просеивают через решето с диаметром отверстий 2, 0 мм. Прокаливание песка заканчивают, когда полоски бумаги, помещенные в песок, обуглились. При повторном использовании песка его снова промывают, прокаливают и просеивают.
Марлю кипятят в воде не менее 10 мин, непосредственно перед раскладкой семян на проращивание. После употребления марлю несколько раз промывают в воде и дважды кипятят. После первого кипячения воду сливают, марлю заливают чистой водой и снова кипятят.
Предварительно нарезанную фильтровальную бумагу стерилизуют в сушильном шкафу при температуре 130°С в течение 1 ч,
3.2. Перед закладкой семян на проращивание растильни и другую посуду дезинфицируют этиловым спиртом или кипячением в воде.
3.3. Термостаты и аппараты для проращивания один раз в декаду промывают теплой водой и дезинфицируют спиртом или слабым (розовым) раствором марганцовокислого калия.
3.4. Перед закладкой семян на проращивание кварцевый песок, фильтровальную бумагу и марлю увлажняют. Песок увлажняют до 60% от полной влагоемкости, а для проращивания настурции и семян семейства бобовых до 80%. Фильтровальную бумагу увлажняют до полной влагоемкости, для чего ее опускают в воду, вынимают и дают стечь избытку воды.
3.5. Подготовка ложа для проращивания семян
3.5.1. Растильни на 2/3 заполняют подготовленным песком, а керамический горшок - слоем 10 мм. Если используют комбинированное ложе (песок + фильтровальная бумага), то песок накрывают одним - двумя слоями увлажненной фильтровальной бумаги и на нее помещают семена. В чашки Петри или Коха кладут в один - два слоя марлю, увлажненную до полной влагоемкости, а сверху марлю накрывают смоченной фильтровальной бумагой или кладут два слоя фильтровальной бумаги. Если используют опилки, то в горшок их насыпают слоем 12 см.
3.6. Определение влагоемкости песка
3.6.1. Влагоемкость песка определяют, используя металлический цилиндр высотой 30 см и диаметром 8 см с сетчатым дном. На дно сосуда кладут смоченный кружок фильтровальной бумаги и взвешивают сосуд. Затем сосуд наполняют на 3/4 песком и взвешивают. Разность между второй и первой массой цилиндра составит массу песка. После этого цилиндр с песком ставят в сосуд с водой так, чтобы вода в сосуде была на уровне песка. Когда вода смочит поверхность песка, цилиндр вынимают из сосуда, дают стечь излишней воде, снизу и с боков его просушивают фильтровальной бумагой и взвешивают. По разности масс цилиндра с влажным и с сухим песком определяют количество поглощенной песком воды.
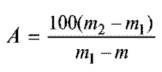
Влагоемкость песка (А) в процентах вычисляют по формуле

,
где m - масса цилиндра без песка, г;
m1 - масса цилиндра с песком до погружения его в воду, г;
m2 - масса цилиндра с песком после насыщения его водой, г.
Пример. Масса пустого цилиндра - 187 г, масса цилиндра с песком до погружения его в воду - 1823 г, после насыщения песка водой - 2232 г.

.
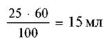
Если для увлажнения песка до полной влагоемкости на каждые 100 г сухого песка необходимо 25 мл воды, то для увлажнения его до 60% от полной влагоемкости необходимо

.
4. Проведение анализа
4.1. Энергию прорастания и всхожесть определяют путем проращивания семян в условиях, указанных в ГОСТ 24933.0-81.
Семена проращивают в растильнях, чашках Петри, чашках Коха, керамических горшках, помещаемых в термостат, или в специальных аппаратах для проращивания семян на свету.
Семена раскладывают на ложе равномерно. При раскладке семян в песок используют маркеры на 50 или 100 гнезд в зависимости от размера семян и посуды.
Семена, проращиваемые в песке, заделывают вровень с песком. Семена фигурной тыквы и декоративного подсолнечника заделывают в песок острым концом вниз.
Семена адониса, аконита, василистника, ветреницы, лютика, морозника проращивают в керамических горшках в песке, заделывая семена на глубину 1, 5 - 2, 0 см или закрывая их двумя слоями фильтровальной бумаги.
Семена пальм (трахикарпус, хамеропс, финик) проращивают в опилках в керамических горшках. В горшок с опилками раскладывают по 25 семян и засыпают их опилками слоем 3 см. Горшок ставят в поддон с водой слоем 2 см и помещают в термостат,
4.2. В каждую пробу семян помещают заполненную этикетку с указанием регистрационного номера пробы, даты закладки семян на проращивание, учета энергии прорастания и всхожести. Растильни с семенами накрывают сверху стеклами. Допускается ставить растильни одну на другую и только верхнюю накрывать стеклом.
4.3. При проращивании семян необходимо соблюдать следующие условия:
поддерживать требуемую температуру в термостатах и аппаратах;
проверять и регистрировать ее три раза - в начале, середине и конце рабочего дня;
проращивание семян при переменной температуре проводить с резкой ее сменой;
не допускать подсыхания и переувлажнения ложа;
для полива использовать пипетку, лейку или пульверизатор;
на дне термостата иметь противень с водой для увлажнения воздуха сменяемой через каждые трое суток;
обеспечивать вентиляцию семян в термостатах и в аппаратах для проращивания, ежедневно на несколько секунд приоткрывать крышки чашек Петри, чашек Коха;
пробы, в которых свыше 5% семян покрываются плесенью, промывают слабым (розовым) раствором марганцовокислого калия и перекладывают в другую посуду.
4.4. Энергию прорастания и всхожесть устанавливают в сроки, указанные в ГОСТ 24933.0-81.
День закладки семян на проращивание и день подсчета энергии прорастания или всхожести считают за одни сутки.
Для семян из семейств сложноцветных, крестоцветных и кипрейных допускается предварительный подсчет проросших семян до срока определения энергии прорастания.
У культур со сроком проращивания семян свыше 10 сут проводят промежуточный подсчет проросших семян между сроками определения энергии прорастания и всхожести.
4.5. Срок проращивания семян удлиняют до 10 сут, если на ложе останется 15% и более непроросших набухших здоровых семян, для следующих культур: вербена, водосбор, гелиотроп, кальцеолярия, кореопсис, кохия, лен, первоцвет, портулак, смолевка, синнингия, табак, флокс, хризантема, цикламен, цинерария, чернушка, эшшольция.
4.6. При определении энергии прорастания подсчитывают и удаляют с ложа семена нормально проросшие и загнившие.
4.7. При подсчете всхожести отдельно учитывают нормально проросшие, твердые, набухшие, загнившие и ненормально проросшие семена.
4.8. Всхожими считают семена нормально проросшие, т.е. имеющие при проращивании нормально развитый проросток или корешок размером не менее длины семени, а у круглых семян не менее диаметра семени, а также твердые семена адониса, аконита, вечерницы, водосбора, гелиотропа, душистого горошка, ириса, люпина, качима, кореопсиса крупноцветкового, сальпиглоссиса, схизантуса, фарбитиса, флокса, целозии, чернушки, шпорника Аякса, шток-розы.
4.9. К невсхожим семенам относят:
а) ненормально проросшие:
имеющие проростки, у которых первичный корень отсутствует или короткий остановившийся в росте, или тонкий, слабый;
подсемядодьное колено с перетяжкой или короткое и толстое, или закрученное, водянистое;
семядоли отсутствуют или одна семядоля с признаками повреждения или две увеличенные семядоли с коротким подсемядольным коленом, но без первичного корня, или семядоли, у которых больше половины площади обломана;
имеющие проростки со сгнившими семядолями, подсемядольным коленом, первичным корнем или поврежденной верхушкой побега;
проростки, имеющие корешки со вздутиями, которые к моменту учета не дали нормальных для культуры дополнительных корешков;
б) загнившие:
семена с мягким разложившимся эндоспермом, с загнившим зародышем, с частично или полностью загнившими корешками;
в) набухшие:
семена, которые при проращивании к установленному сроку не проросли.
4.10. При подсчете энергии прорастания и всхожести отмечают степень поражения семян плесневыми грибами:
слабая - плесень покрывает до 5% семян;
средняя " " от 6 до 25% семян;
сильная " " " 26% семян и выше.
Поражение плесневыми грибами устанавливают отдельно по каждой пробе и в среднем по четырем пробам.
4.11. Энергию прорастания свежеубранных семян амбербоа, васильков, календулы, качима изящного и метельчатого, космоса, лобулярии приморской, львиного зева, малопе, резеды, флокса Друммонда, флокса метельчатого, хатьмы, шпорника Аякса определяют на сутки позднее установленного по ГОСТ 24933.0-81 срока, проращивая семена до учета энергии прорастания при температуре 8 - 10°С.
Свежеубранные семена мака самосейки, мака снотворного и льнянки марокканской проращивают при температуре 8 - 10°С и определяют энергию прорастания и всхожесть на двое суток позднее установленного по ГОСТ 24933.0-81 срока.
(Измененная редакция, Изм. N 1).
4.12. Допускается семена портулака перед проращиванием прогревать 7 сут при температуре 30°С.
4.13. Семена люпина многолетнего перед проращиванием накалывают и замачивают в воде в течение 4 - 6 ч. Семена вечерницы накалывают препаровальной иглой на 5 сут. после начала проращивания. У семян мирабилиса перед проращиванием семенную оболочку раздвигают скальпелем, затем намачивают в воде при комнатной температуре в течение 16 ч.
4.14. Для ускорения проращивания допускается семена канн и калоникциона перед проращиванием помещать в марлевый мешочек и опускать в горячую воду 90 - 100°С на 1 - 3 с, затем в воду комнатной температуры 16 - 25°С, повторяя операцию 2 - 3 раза.
У семян квамоклита, повоя и фарбитиса перед проращиванием семенную оболочку надрезают со стороны, противоположной расположению зародыша. У семян подсолнечника и тыквы перед проращиванием срезают до 1/3 части семени со стороны, противоположной зародышу.
4.15. Если свежеубранные семена при анализе не дают всхожести, соответствующей установленным требованиям, то определение всхожести у них повторяют после послеуборочного дозревания семян:
с января по май - гелиотропа, кальцеолярии, мака однолетнего, портулака, первоцвета оранжерейного, синнингии, спаржи, схизантуса;
в январе - феврале - ветреницы, вечерницы, зорьки, кохии, льнянки, периллы, смолевки, табака;
не ранее марта - амаранта, амбербоа, арктотиса, бархатцев, бегонии, бурачка, васильков, вербены, диморфотеки, календулы, качима, космеи, куколя, лобулярии, львиного зева, настурции, недотроги, немезии, петунии, рудбекии, чернушки, эшшольции.
5. Обработка результатов
5.1. Всхожесть, энергию прорастания вычисляют как среднее арифметическое результатов проращивания четырех проб и выражают в процентах. Вычисления производят до десятых долей процента с последующим округлением результата до целого числа.
5.2. При вычислении результата анализа у крупносеменных культур, для которых в пробу берут по 50 шт. семян, до вычисления среднего арифметического результат по каждой из четырех проб удваивают, далее вычисляют как в остальных случаях.
5.3. Анализ считается законченным, если расхождение результатов анализа отдельных проб со средним арифметическим не превышает значений, указанных в таблице. Сравнение с допускаемыми расхождениями проводят до округления результата. Если всхожесть одной из 4 проб отличается от среднего арифметического результата на величину большую, чем допускаемое расхождение, то результат анализа вычисляют как среднее арифметическое результатов анализа трех оставшихся проб.
|
Среднее арифметическое всхожести, %
|
Допускаемое расхождение, %
|
|
От 99 до 100
|
±1, 4
|
|
" 98 " 98, 9
|
±2, 0
|
|
" 97 " 97, 9
|
±2, 4
|
|
" 96 " 96, 9
|
±2, 8
|
|
" 95 " 95, 9
|
±3, 0
|
|
" 94 " 94, 9
|
±3, 4
|
|
" 93 " 93, 9
|
±3, 6
|
|
" 92 " 92, 9
|
±3, 8
|
|
" 91 " 91, 9
|
±4, 0
|
|
" 90 " 90, 9
|
±4, 2
|
|
" 89 " 89, 9
|
±4, 4
|
|
" 87 " 88, 9
|
±4, 7
|
|
" 85 " 86, 9
|
±5, 0
|
|
" 83 " 84, 9
|
±5, 3
|
|
" 81 " 82, 9
|
±5, 5
|
|
* 79 " 80, 9 или от 19, 0 до 21, 0
|
±5, 7
|
|
" 77 " 78, 9 " " 21, 0 " 23, 0
|
±5, 9
|
|
" 75 " 76, 9 " " 23, 0 " 25, 0
|
±6, 1
|
|
" 72 " 74, 9 " " 25, 0 " 28, 0
|
±6, 3
|
|
" 69 " 71, 9 " "28, 0 " 31, 0
|
±6, 5
|
|
" 65 " 68, 9 " " 31, 0 " 35, 0
|
±6, 7
|
|
" 58 " 64, 9 " " 35, 0 " 42, 0
|
±6, 9
|
|
" 50 " 57, 9 " " 42, 0 " 50, 0
|
±7, 0
|
5.4. Определение всхожести повторяют:
при расхождении результатов двух проб со средним арифметическим на величину большую, чем допускаемое расхождение;
если всхожесть ниже предельной нормы, установленной стандартом на посевные качества семян, но отклоняется от нее не более чем на 5%.
Если при повторном анализе семян расхождения двух проб снова оказываются выше допускаемых, или семена оказались некондиционными, то всхожесть вычисляют как среднее арифметическое результатов двух определений, т.е. восьми проб семян.
Если при повторном определении всхожести семена окажутся кондиционными, то процент энергии прорастания и всхожести вычисляют по данным последнего определения.
5.5. Результаты анализа записывают в рабочий бланк установленной формы.