Введен в действие приказом Федерального агентства по техническому регулированию и метрологии от 30 сентября 2016 г. N 1260-ст
Межгосударственный стандарт ГОСТ 27336-2016
"АВТОБЕТОНОНАСОСЫ. ОБЩИЕ ТЕХНИЧЕСКИЕ УСЛОВИЯ"
Concrete pumps on the trucks. General specifications
Дата введения - 1 мая 2017 г.
Взамен ГОСТ 27336-93
Предисловие
Цели, основные принципы и основной порядок проведения работ по межгосударственной стандартизации установлены в ГОСТ 1.0-2015 "Межгосударственная система стандартизации. Основные положения" и ГОСТ 1.2-2015 "Межгосударственная система стандартизации. Стандарты межгосударственные, правила и рекомендации по межгосударственной стандартизации. Правила разработки, принятия, обновления и отмены"
Сведения о стандарте
1 Разработан Обществом с ограниченной ответственностью "ИЦ "ЦНИП СДМ" (ООО "ИЦ "ЦНИП СДМ")
2 Внесен Межгосударственным техническим комитетом по стандартизации МТК 267 "Строительно-дорожные машины и оборудование"
3 Принят Межгосударственным советом по стандартизации, метрологии и сертификации (протокол от 29 февраля 2016 г. N 85-П)
За принятие проголосовали:
|
Краткое наименование страны
по MK (ИСО 3166) 004-97
|
Код страны по
МК (ИСО 3166) 004-97
|
Сокращенное наименование национального органа
по стандартизации
|
|
Армения
|
AM
|
Минэкономики Республики Армения
|
|
Беларусь
|
BY
|
Госстандарт Республики Беларусь
|
|
Казахстан
|
KZ
|
Госстандарт Республики Казахстан
|
|
Киргизия
|
KG
|
Кыргызстандарт
|
|
Россия
|
RU
|
Росстандарт
|
|
Таджикистан
|
TJ
|
Таджикстандарт
|
|
Узбекистан
|
UZ
|
Узстандарт
|
4 Приказом Федерального агентства по техническому регулированию и метрологии от 30 сентября 2016 г. N 1260-ст межгосударственный стандарт ГОСТ 27336-2016 введен в действие в качестве национального стандарта Российской Федерации с 1 мая 2017 г.
5 Настоящий стандарт может быть использован при ежегодной актуализации перечня стандартов, содержащих правила и методы исследований (испытаний), а также стандартов, в результате применения которых на добровольной основе обеспечивается соблюдение требований технического регламента Таможенного союза "О безопасности машин и оборудования" и "О безопасности колесных транспортных средств"
6 Взамен ГОСТ 27336-93
1 Область применения
Настоящий стандарт распространяется на бетононасосы поршневого типа с гидравлическим приводом, климатического исполнения У категории I по ГОСТ 15150, устанавливаемые на автомобильном шасси (далее - автобетононасосы), предназначенные для приема свежеприготовленной бетонной смеси марок П2, П3, П4 по ГОСТ 7473 и подачи ее по бетоноводу к месту укладки.
Требования 5.1.3, 5.3, 5.1.7, 7.3.2.9 являются обязательными, другие требования настоящего стандарта являются рекомендуемыми.
Обязательные требования к автобетононасосам, направленные на обеспечение их безопасности для жизни, здоровья оператора и охраны окружающей среды, изложены в 5.1.7, 7.3.2.9.
2 Нормативные ссылки
В настоящем стандарте использованы ссылки на следующие стандарты:
ГОСТ 2.601-2013 Единая система конструкторской документации. Эксплуатационные документы
ГОСТ 9.014-78 Единая система защиты от коррозии и старения. Временная противокоррозионная защита изделий. Общие требования
ГОСТ 9.032-74 Единая система защиты от коррозии и старения. Покрытия лакокрасочные. Группы, технические требования и обозначения
ГОСТ 12.1.005-88 Система стандартов безопасности труда. Общие санитарно-гигиенические требования к воздуху рабочей зоны
ГОСТ 12.1.012-2004 Система стандартов безопасности труда. Вибрационная безопасность. Общие требования
ГОСТ 12.1.023-80 Система стандартов безопасности труда. Шум. Методы установления значений шумовых характеристик стационарных машин
ГОСТ 12.2.011-2012 Система стандартов безопасности труда. Машины строительные, дорожные и землеройные. Общие требования безопасности
ГОСТ 12.4.275-2014 Система стандартов безопасности труда. Средства индивидуальной защиты органов слуха. Общие технические требования. Методы испытаний
ГОСТ 17.2.2.01-84 Охрана природы. Атмосфера. Дизели автомобильные. Дымность отработавших газов. Нормы и методы измерений
ГОСТ 7473-2010 Смеси бетонные. Технические условия
ГОСТ 12969-67 Таблички для машин и приборов. Технические требования
ГОСТ 14192-96 Маркировка грузов
ГОСТ 15150-69 Машины, приборы и другие технические изделия. Исполнения для различных климатических районов. Категории, условия эксплуатации, хранения и транспортирования в части воздействия климатических факторов внешней среды
ГОСТ 17411-91 Гидроприводы объемные. Общие технические требования
ГОСТ 25646-95 Эксплуатация строительных машин. Общие требования
ГОСТ 27252-87 Машины землеройные. Консервация и хранение
Примечание - При пользовании настоящим стандартом целесообразно проверить действие ссылочных стандартов в информационной системе общего пользования - на официальном сайте Федерального агентства по техническому регулированию и метрологии в сети Интернет или по ежегодному информационному указателю "Национальные стандарты", который опубликован по состоянию на 1 января текущего года, и по выпускам ежемесячного информационного указателя "Национальные стандарты" за текущий год. Если ссылочный стандарт заменен (изменен), то при пользовании настоящим стандартом следует руководствоваться заменяющим (измененным) стандартом. Если ссылочный стандарт отменен без замены, то положение, в котором дана ссылка на него, применяется в части, не затрагивающей эту ссылку.
3 Термины и определения
В настоящем стандарте применены следующие термины с соответствующими определениями:
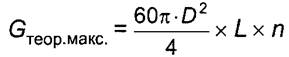
3.1 максимальная теоретическая производительность, Gтеор.макс., м3/ч: Расчетная производительность, предполагающая работу бетононасоса с полным заполнением бетонотранспортных цилиндров при всасывании, вычисляемая по формуле

,
(1)
где D - диаметр бетонотранспортного цилиндра, м;
L - ход поршня, м;
n - максимальная частота ходов поршней, мин-1.
3.2 максимальная техническая производительность, Gтехн.макс., м3/ч: Максимально достижимая фактическая производительность бетононасоса, связанная с максимальной теоретической производительностью зависимостью:
Gтехн.макс.= Gтеор.макс.×η,
(2)
где η - объемный к.п.д. - коэффициент фактического заполнения бетонотранспортных цилиндров при всасывании, вычисляемый по формуле

.
(3)
3.3 максимальное давление на бетонную смесь: Максимально достижимое давление, создаваемое бетонотранспортным поршнем, измеряемое в бетоноводе на выходе из загрузочной воронки.
3.4 полная масса автобетононасоса: Масса, состоящая из массы автобетононасоса, массы топлива, масла, охлаждающей жидкости, инструмента и принадлежности по ведомости ЗИП и массы экипажа из двух человек.
4 Основные параметры и размеры
4.1 Основные показатели автобетононасосов приведены в таблице 1.
Таблица 1 - Показатели автобетононасосов
|
Наименование показателя
|
Значение показателя
|
|
Максимальная техническая производительность, м3/ч
|
65
|
75
|
|
Максимальное давление на бетонную смесь, МПа
|
6
|
8, 5
|
|
Емкость приемного бункера, м3, не менее
|
0, 6
|
|
Вылет бетонораспределительной стрелы, м
|
17; 18
|
25
|
|
Примечание - Значение показателей зависит от мощности двигателя, диаметра бетонотранспортных цилиндров, величины хода поршня, мощности гидравлического оборудования, грузоподъемности шасси.
|
4.2 В технических условиях на автобетононасосы конкретных моделей устанавливают следующие значения показателей качества, номенклатура которых согласовывается с основным потребителем:
- максимальная техническая производительность;
- максимальное давление на бетонную смесь;
- емкость приемного бункера;
- вылет бетонораспределительной стрелы;
- диаметр бетоновода;
- длина стрелы (общая);
- объем загрузочной воронки;
- высота загрузочной воронки;
- габаритные размеры в транспортном положении:
- длина,
- ширина,
- высота;
- полная масса автобетононасоса;
- распределение полной массы автобетононасоса через переднюю ось и заднюю тележку;
- скорость движения автобетононасоса;
- тип привода автобетононасоса;
- мощность двигателя;
- наибольшая крупность заполнителя;
- 90%-ный ресурс до капитального ремонта;
- средняя наработка на отказ;
- удельная суммарная оперативная трудоемкость технического обслуживания;
- оперативная трудоемкость ежесменного технического обслуживания;
- уровень звука на рабочем месте оператора*;
- параметры вибрации на рабочих местах и органах управления*;
- дымность отработавших газов двигателя*;
- выбросы вредных веществ с отработавшими газами из системы выпуска двигателя*;
- напряженность поля радиопомех*.
5 Технические требования
5.1 Характеристики
5.1.1 Автобетононасосы изготавливают в соответствии с требованиями настоящего стандарта и технических условий на автобетононасосы конкретных моделей по рабочим чертежам, утвержденным в установленном порядке.
5.1.2 По требованию заказчика автобетононасосы изготавливают с бетонораспределительной стрелой (или предусматривают возможность ее установки), дополнительной кабиной, служащей для обогрева машиниста в зимнее время в перерывах в работе бетононасоса, и другими узлами.
5.1.3 Конструкция автобетононасоса должна обеспечивать:
- передвижение по дорогам в соответствии с требованиями правил дорожного движения;
- прием бетонной смеси из автобетоносмесителя или перегрузочного устройства;
- подачу бетонной смеси по бетоноводу к месту укладки.
5.1.4 Требования к конструкции гидропривода - по ГОСТ 17411.
5.1.5 В конструкции автобетононасоса рекомендуется предусматривать:
- возможность агрегатного ремонта;
- ежесменное техническое обслуживание бетононасоса одним машинистом.
5.1.6 Лакокрасочные покрытия - по ГОСТ 9.032.
5.1.7 Требования эргономики, безопасности и защиты окружающей среды
5.1.7.1 Конструкция автобетононасоса должна соответствовать требованиям ГОСТ 12.2.011 и обеспечивать безопасность при испытаниях.
5.1.7.2 Дымность отработавших газов двигателя автобетононасоса должна соответствовать нормам по ГОСТ 17.2.2.01 (подтверждается сертификатом завода - изготовителя двигателя).
5.1.7.3 В эксплуатационной документации должна быть указана защита от шума средствами индивидуальной защиты по ГОСТ 12.4.275.
5.1.7.4 Вибрационная безопасность - по ГОСТ 12.1.012.
5.1.7.5 Конкретные значения допустимых уровней вибрации и шума должны быть указаны в технических условиях на конкретные модели автобетононасосов.
5.1.7.6 Содержание вредных веществ на рабочем месте по ГОСТ 12.1.005.
5.1.7.7 Цвета сигнальные и знаки безопасности в соответствии со стандартом**, действующим на территории государств - членов Таможенного союза.
5.1.7.8 Вращающиеся части должны иметь ограждения.
5.1.7.9 Гидросистема автобетононасоса должна иметь блокирующее устройство, предотвращающее падение распределительной стрелы и проседание выносных опор.
5.1.7.10 Загрузочный бункер должен иметь решетку.
5.2 Комплектность
5.2.1 В комплект автобетононасоса входят:
- эксплуатационная документация по ГОСТ 2.601, в том числе: инструкция по эксплуатации, содержащая технические характеристики, формуляр, ведомость ЗИП;
- свидетельство о согласовании конструкции автобетононасоса с организациями, отвечающими за безопасность движения.
5.3 Маркировка
На каждом автобетононасосе должна быть прикреплена маркировочная табличка по ГОСТ 12969, содержащая следующие данные:
- наименование предприятия-изготовителя и (или) его товарный знак;
- индекс автобетононасоса и его заводской номер;
- обозначение нормативного документа, по которому изготовляется автобетононасос;
- дата изготовления.
На каждое грузовое место должна быть нанесена транспортная маркировка по ГОСТ 14192.
5.4 Упаковка
Требования к упаковке устанавливают в технических условиях на автобетононасосы конкретных моделей в соответствии с требованиями ГОСТ 27252 и ГОСТ 9.014.
6 Приемка
6.1 Для проверки качества изготовления автобетононасосов серийного производства проводят приемо-сдаточные и периодические испытания.
6.2 Приемо-сдаточным испытаниям подвергается каждый автобетононасос.
Приемо-сдаточные испытания, как правило, включают в себя:
- визуальный контроль автобетононасоса;
- проверку работоспособности на холостом ходу;
- проверку работоспособности под нагрузкой.
6.3 Периодические испытания автобетононасосов проводят с целью проверки стабильности качества изготовления и возможности продолжения их выпуска. Периодическим испытаниям подвергается один автобетононасос не реже одного раза в три года. Периодические испытания проводит пред приятие-изготовитель. Периодические испытания предусматривают подачу бетонной смеси (или аналога) общим объемом не менее 200 м3 с проверкой всех параметров и технических требований, установленных в технических условиях на автобетононасос конкретной модели. Рекомендуемый состав аналога бетонной смеси приведен в приложении А.
При неудовлетворительных результатах периодических испытаний хотя бы по одному из пунктов программы проводят повторные испытания на удвоенном количестве образцов, взятых из той же партии (серии). Результаты повторных испытаний являются окончательными.
7 Методы испытаний
7.1 Требования к средствам испытаний
7.1.1 Перечень средств измерений, испытательного оборудования, необходимых для проведения испытаний, должен быть приведен в программе и методике испытаний.
7.1.2 Стандартизованные средства измерений должны иметь документ о поверке в соответствии с Правилами стандартизации***, действующими на территории государств - членов Таможенного союза.
7.2 Подготовка к испытаниям
С автобетононасосом, предъявляемым к испытаниям, представляют следующую документацию:
- программа и методика испытаний;
- инструкция по эксплуатации и формуляр по ГОСТ 2.601;
- нормативный документ на серийно выпускаемый автобетононасос;
- акт приемо-сдаточных испытаний (для периодических испытаний);
- протокол предшествующих периодических испытаний;
- комплект сборочных чертежей.
7.3 Проведение испытаний
7.3.1 Приемо-сдаточные испытания
7.3.1.1 Визуальный контроль предъявляемого к испытаниям автобетононасоса проводят с целью проверки его комплектности, качества изготовления и сборки, правильности регулировок, надежности креплений, наличия и правильности маркировки и готовности его к проведению испытаний.
Осмотру подвергают все узлы и механизмы автобетононасоса. Осмотр, проверка креплений, регулировок, количества рабочих жидкостей и смазки в узлах и сопряжениях должны проводиться без разборки и демонтажа сборочных единиц.
Комплектность автобетононасоса проверяют в соответствии с комплектной ведомостью.
Наличие и качество антикоррозийных лакокрасочных покрытий автобетононасоса проверяют совместно с осмотром на отсутствие внешних дефектов, вмятин, трещин и повреждений.
Проверку надежности крепления проводят по наличию в болтовых соединениях стопорных деталей (пружинных шайб, контргаек, шплинтов и т.д.).
Проверку регулировок гидроаппаратуры проводят по документации на комплектующие изделия.
Полноту заправки гидросистемы рабочей жидкостью проверяют по указанию уровня, установленного на масляном баке.
Наличие смазки в сопряжениях, имеющих открытый выход, проверяют визуально.
Наличие смазки в соединениях, заполненных смазкой при сборке проверяют согласно указаниям паспорта.
7.3.1.2 Перед испытанием автобетононасоса на холостом ходу проводят техническое обслуживание в соответствии с инструкцией по эксплуатации автобетононасоса.
Работу автобетононасоса в режиме холостого хода проводят при номинальном числе оборотов двигателя.
Работу бетонораспределительного механизма проверяют:
1) на плавность хода гидроцилиндров и поворота патрубка бетонораспределителя в опорах;
2) точность совмещения отверстия в стенке бункера (плиты) и патрубка в крайних положениях поршней гидроцилиндров.
Работу блока главных рабочих гидроцилиндров в гидросистеме автобетононасоса проверяют на равномерность и плавность хода бетонотранспортных поршней.
Надежность системы автоматического управления контролируют по синхронности движения и плавности торможения в конце хода бетонотранспортных поршней и по соблюдению порядка работы гидроцилиндров.
7.3.1.3 Проверку работоспособности под нагрузкой проводят на специальных стендах, обеспечивающих возможность регулирования нагрузки на бетонотранспортных поршнях и контроль зависимости производительности от изменения нагрузки или при согласовании с потребителем продукции перекачиванием аналога бетонной смеси в соответствии с методикой, утвержденной в установленном порядке.
7.3.2 Периодические испытания
7.3.2.1 На периодические испытания представляют автобетононасос, прошедший приемо-сдаточные испытания.
7.3.2.2 Возможность подачи бетонной смеси по бетоноводу к месту укладки оценивают по технической производительности и значению давления на бетонную смесь.
Максимальную техническую производительность определяют при перекачивании аналога бетонной смеси по прямому бетоноводу длиной 10 - 12 м с установкой регулятора насоса на максимальную производительность.
Мерную емкость устанавливают на выходе бетоновода. Замеряют объем перекачанной бетонной смеси (аналога) за определенный промежуток времени.
Максимальную техническую производительность, Qтехн.макс., м3/ч, вычисляют по формуле

,
(4)
где Vi- частное значение объема аналога бетонной смеси пробы, м3;
ti - частное значение времени отбора пробы, с;
n - число измерений.
7.3.2.3 Соотношение технической и теоретической производительности указано в пункте 4.
Давление на бетонную смесь измеряют в бетоноводе на выходе из загрузочной воронки.
7.3.2.4 Внутренний диаметр бетоновода измеряют штангенциркулем.
7.3.2.5 Объем загрузочной воронки определяют заполнением его водой (до момента начала слива через задний борт) с определением объема воды объемным способом. При этом бетонотранспортные гильзы должны быть заглушены.
Допускается определение объема загрузочной воронки расчетным способом.
7.3.2.6 Возможность приема бетонной смеси из автобетоносмесителя или перегрузочного устройства оценивают высотой загрузочной воронки. Высоту загрузочной воронки измеряют от уровня площадки, на которой стоит автобетононасос в транспортном положении, до верхней точки металлического борта воронки на задней стенке.
7.3.2.7 Габаритные размеры автобетононасоса в транспортном положении измеряют при соблюдении следующих условий:
а) автобетононасос устанавливают на ровной горизонтальной площадке, с уклоном не более 1%;
б) положение габаритных точек проектируют на площадку отвесами;
в) высоту определяют проездом под Г- или П-образным устройствам заданной высоты. Измерения проводят по максимально выступающим элементам автобетононасоса.
7.3.2.8 Полную массу определяют взвешиванием на весах автомобильного типа.
7.3.2.9 Проверку выполнения требований безопасности, эргономики и охраны окружающей среды следует проводить как для стационарной машины, с учетом условий выполнения технологических операций. При этом проверяют:
- уровень виброскорости в вертикальной и горизонтальной плоскостях в конце платформы автобетононасоса у приемной воронки - по методике ГОСТ 12.1.012;
- уровень шума на рабочем месте машиниста в зоне действия пульта дистанционного управления автобетононасоса (определяют на расстоянии максимальной длины кабеля дистанционного управления) - по ГОСТ 12.1.023.
В случае установки на автобетононасосе дополнительной кабины машиниста для обогрева машиниста в зимнее время в перерывах в работе бетононасоса, уровень шума в кабине измеряют только при работе двигателя базового шасси на минимальных оборотах;
- уровень внешнего шума должен соответствовать [1].
8 Транспортирование и хранение
8.1 Транспортирование автобетононасоса осуществляется любым видом транспорта в соответствии с правилами перевозки грузов, действующими на данном виде транспорта.
8.2 Требования к хранению автобетононасосов устанавливают в технических условиях на автобетононасосы конкретных моделей.
8.3 Требования к консервации устанавливают в технических условиях на автобетононасосы в соответствии с ГОСТ 9.014.
9 Указания по эксплуатации
Требования к эксплуатации автобетононасосов - по ГОСТ 25646.
10 Гарантии изготовителя
10.1 Изготовитель гарантирует соответствие автобетононасосов требованиям настоящего стандарта при соблюдении условий эксплуатации, хранения, транспортирования.
10.2 Гарантийный срок автобетононасоса 12 мес со дня ввода в эксплуатацию.
_____________________________
* Показатель следует обязательно включать в технические условия.
** На территории Российской Федерации действует ГОСТ Р 12.4.026-2001 "Система стандартов безопасности труда. Цвета сигнальные, знаки безопасности и разметка сигнальная. Назначение и правила применения. Общие технические требования и характеристики. Методы испытаний".
*** На территории Российской Федерации действуют ПР 50 2.006-94 "Правила по метрологии. Государственная система обеспечения единства измерений. Порядок проведения поверки средств измерений".
Приложение А
(справочное)
Рекомендуемый состав аналога бетонной смеси для испытания автобетононасосов
Состав аналога бетонной смеси приводят в % от общей массы заполнителя на 1 м3.
Песок 45% - 65%
по фракциям: 0 - 0, 1 мм - 12%;
0, 14 - 1, 25 мм - 10%;
1, 25 - 2, 5 мм - 15%;
2, 5 - 5 мм - 12%.
Крупный заполнитель (гравий, щебень) 35% - 55%
по фракциям: 5 - 10 мм - 22%;
10 - 20 мм - 19%;
20 - 40 мм - 10%.
Глина - не менее 400 кг на 1 м3 смеси. В зависимости от свойств применяемых материалов состав аналога должен уточняться на пробных замесах путем проверки осадки конуса свежеприготовленной смеси. Осадка конуса должна быть в пределах 6 - 12 см.
В процессе испытаний необходимо доливать воду с тем, чтобы осадка конуса оставалась в приведенных выше пределах.
Библиография
|
[1]
|
Правила
ЕЭК ООН N 51
|
Единообразные предписания, касающиеся сертификации транспортных средств, имеющих не менее четырех колес в связи с производимым ими шумом
|