Утв. Постановлением государственного комитета ссср по стандартам от 1 сентября 1978 г. N 2416
Государственный стандарт Союза ССР ГОСТ 23268.14-78
"ВОДЫ МИНЕРАЛЬНЫЕ ПИТЬЕВЫЕ ЛЕЧЕБНЫЕ, ЛЕЧЕБНО-СТОЛОВЫЕ И ПРИРОДНЫЕ СТОЛОВЫЕ. МЕТОДЫ ОПРЕДЕЛЕНИЯ ИОНОВ МЫШЬЯКА"
Drinking medicinal, medicinal-table and natural-table mineral waters. Methods of determination of arsenic ions
Срок действия установлен - с 1 января 1980 г.
до 1 января 1985 г.
Ограничение срока действия снято в 1993 г.
Настоящий стандарт распространяется на питьевые лечебные, лечебно-столовые и природные столовые минеральные воды и устанавливает колориметрический и броматометрический методы определения ионов мышьяка.
1. Отбор проб
1.1 Отбор проб - по ГОСТ 23268.0-78.
1.2. Объем пробы воды для определения массовой концентрации ионов мышьяка при колориметрическом методе - не менее 100 мл; при броматометрическом - от 0, 1 до 4, 0 дм3.
2. Колориметрический метод
2.1. Сущность метода
Метод основан на восстановлении соединений мышьяка до гидрида мышьяка и образовании цветного комплексного соединения при взаимодействии полученного гидрида мышьяка с хлорной ртутью.
Чувствительность метода составляет от 5·10-4 до 6·10-3 мг ионов мышьяка в пробе.
2.2. Аппаратура, материалы и реактивы
Прибор для определения мышьяка приведен на чертеже.
Прибор для определения мышьяка состоит из стеклянной конической колбы вместимостью 100 см3 и насадки, состоящей из двух трубок, соединенных при помощи шлифов. Внутренний диаметр верхней трубки равен 6 мм.
Посуда мерная лабораторная стеклянная по ГОСТ 1770-74, вместимостью: цилиндры 25, 50, см3; колбы 500, 1000 см3.
Приборы мерные лабораторные стеклянные по ГОСТ 10292-74, пипетки вместимостью 0, 5; 1; 2; 5; 10; 25 см3.
Стаканы и колбы стеклянные лабораторные по ГОСТ 25336-82, вместимостью 50, 100, 150, 200, 250 см3.
Колбы конические с притертой пробкой по ГОСТ 25336-82, вместимостью 150, 250 см3.
Посуда лабораторная фарфоровая по ГОСТ 9147-80, чашки выпарные N 3, вместимостью 100 см3.
Воронка Бюхнера.
Насос водоструйный по ГОСТ 25336-82.
Бумага фильтровальная беззольная по ГОСТ 12026-76, "голубая лента" или "белая лента".
Бумага индикаторная универсальная.
Часы песочные на 3 мин по ГОСТ 10576-74.
Весы лабораторные аналитические.
Весы технические типа ВЛТ-200.
Кислота соляная по ГОСТ 3118-77.
Калий йодистый по ГОСТ 4232-74.
Ангидрид мышьяковистый по ГОСТ 1973-77.
Цинк металлический гранулированный по ГОСТ 989-75.
Ртути окись желтая по ГОСТ 5230-74.
Олово хлористое (II) по ГОСТ 36-78.
Свинец уксуснокислый по ГОСТ 1027-67.
Натр едкий улучшенный по ГОСТ 11078-78.
Парафин нефтяной для пищевой промышленности по ГОСТ 23683-79.
Эфир петролейный.
Вода дистиллированная по ГОСТ 6709-72.
Спирт этиловый ректификованный по ГОСТ 5962-67.
Все реактивы должны быть квалификации х.ч. или ч.д.а.
2.3. Подготовка к анализу
2.3.1. Приготовление разбавленного раствора соляной кислоты (1:2)
К 340 см3 дистиллированной воды приливают 170 см3 концентрированной соляной кислоты.
2.3.2. Приготовление раствора хлорной ртути
20 г желтой окиси ртути взвешивают с погрешностью не более 0, 01 г, растирают в фарфоровой чашке с водой до жидкой кашицы, которую осторожно растворяют в 75 см3 раствора соляной кислоты (1:2). Полученный раствор фильтруют. Фильтрат упаривают в фарфоровой чашке до выпадения кристаллов. Кристаллы отсасывают на воронке Бюхнера, промывают холодной водой и сушат.
2.3.3. Приготовление 5%-ного спиртового раствора хлорной ртути
1, 25 г хлорной ртути (II) взвешивают с погрешностью не более 0, 01 г и растворяют в 25 см3 этилового спирта.
2.3.4. Приготовление индикаторной сулемовой бумаги
Беззольные фильтры "голубая лента" размером 30×25 мм погружают на 1 ч в раствор хлорной ртути (II), приготовленный по п. 2.3.3, и сушат на стекле. Приготовленную бумагу хранят в банке из темного стекла с притертой пробкой.
2.3.5. Приготовление 10%ного раствора уксуснокислого свинца
10 г уксуснокислого свинца взвешивают с погрешностью не более 0, 01 г и растворяют в 90 см3 дистиллированной воды.
2.3.6. Приготовление 15%-ного раствора едкого натра
15 г едкого натра взвешивают с погрешностью не более 0, 01 г и растворяют в 85 см3 дистиллированной воды.
2.3.7. Приготовление щелочного раствора плюмбита натрия
В коническую колбу с притертой пробкой вместимостью от 150 до 250 см3 вводят 50 см3 10%-ного раствора уксуснокислого свинца и приливают постепенно 15%-ный раствор едкого натра до полного растворения образующегося осадка при энергичном взбалтывании.
2.3.8. Приготовление плюмбитной (свинцовой) бумаги
Фильтровальную бумагу "белая лента" размером 80×60 мм погружают на 3 мин в щелочной раствор плюмбита натрия, затем отжимают между листьями фильтровальной бумаги и сушат на стекле.
Хранят плюмбитную (свинцовую) бумагу в банке с притертой пробкой не более 6 месяцев.
2.3.9. Приготовление раствора серной кислоты (1:2)
К 50 см3 дистиллированной воды осторожно приливают 25 см3 концентрированной серной кислоты.
2.3.10. Приготовление основного стандартного раствора мышьяковистой кислоты
1, 32 г мышьяковистого ангидрида взвешивают с погрешностью не более 0, 002 г растворяют в 8 см3 15%-ного едкого натра в мерной колбе вместимостью 1000 см3, приливают дистиллированную воду до половины объема колбы, нейтрализуют раствором серной кислоты (1:2) до рН 5, контролируя рН по универсальной индикаторной бумаге. Объем раствора доводят дистиллированной водой до метки. 1 мл раствора содержит 1 мг ионов мышьяка (III).
2.3.11. Приготовление рабочего стандартного раствора мышьяковистой кислоты
В мерную колбу вместимостью 1000 см3 вносят 1 см3 основного стандартного раствора и объем раствора доводят дистиллированной водой до метки.
1 см3 раствора содержит 0, 001 мг ионов мышьяка (III).
2.3.12. Приготовление 10%-ного раствора йодистого калия
10 г йодистого калия взвешивают с погрешностью не более 0, 01 г и растворяют в 90 см3 дистиллированной воды.
2.3.13. Приготовление раствора парафина в петролейном эфире
5 г измельченного парафина при непрерывном взбалтывании растворяют 100 см3 петролейного эфира в колбе вместимостью 250 см3.
2.3.14. Подготовка прибора.
Перед проведением анализа в нижнюю трубку насадки вкладывают свинцовую бумагу, сложенную по ширине листа в виде гофры, используемую для поглощения H2S. Индикаторную сулемовую бумагу закрепляют резиновым кольцом на верхней трубке насадки.
2.4. Проведение анализа
2.4.1. В колбу прибора, приведенного на чертеже, приливают от 1 до 25 см3 анализируемой воды, содержащей от 5·10-4 до 6·10-3 мг ионов мышьяка, объем пробы доводят дистиллированной водой до 25 см3, добавляют 50 см3 раствора соляной кислоты, приготовленного по п. 2.3.1, 0, 1 г кристаллического хлористого олова (II), 1, 0 г йодистого калия и 5, 0 г металлического цинка, взвешенного с погрешностью не более 0, 01 г и быстро закрывают колбу насадкой, подготовленной по п. 2.3.14.
Содержимое колбы перемешивают. Через 1 ч 30 мин снимают сулемовую индикаторную бумагу и проявляют ее в 10%-ном растворе йодистого калия в течение 5 мин для усиления цвета. Прополаскивают индикаторную сулемовую бумагу в дистиллированной воде и высушивают между листами фильтровальной бумаги. Для защиты пятна от влаги индикаторную бумагу помещают на 30 с в раствор парафина в петролейном эфире.
Одновременно готовят эталонные растворы со следующим содержанием ионов мышьяка: 0, 0; 5·10-4; 1·10-3 ; 2·10-3 ; 3·10-3 ; 4·10-3, 5·10-3 и 6·10-3 мг. Для этого в колбу каждого прибора вводят соответственно по 10 см3 дистиллированной воды и 0, 0; 0, 5; 1, 0; 2, 0; 3, 0; 4, 0; 5, 0 и 6, 0 см3 рабочего стандартного раствора, объем раствора доводят до 25 см3 и обрабатывают, как анализируемую воду. Сравнивают интенсивность цвета пятна, полученного при обработке анализируемой воды, с интенсивностью цвета пятен, полученных при обработке эталонных растворов. Цветные пятна на индикаторной бумаге предохраняют от прямого солнечного цвета.
2.5. Обработка результатов
Массовую концентрацию ионов мышьяка (X), мг/дм3, вычисляют по формуле

,
где С - массовая концентрация ионов мышьяка, определенная по шкале эталонных растворов, мг;
V - объем исследуемой воды, взятый на анализ, см3.
За окончательный результат принимают среднее арифметическое двух параллельных определений, допускаемые расхождения между которыми не должны превышать 1·10-3 мг.
3. Броматометрический метод
3.1. Сущность метода
Метод основан на окислении ионов мышьяка (III) до ионов мышьяка (V) раствором бромид-бромата в сильно кислой среде. Эквивалентную точку устанавливают по обесцвечиванию метилового красного.
Метод позволяет определять от 0, 5 до 3, 0 мг суммы ионов мышьяка (III) и (V) в пробе и применяется при разногласиях в оценке качества продукции.
3.2. Аппаратура, материалы и реактивы
Посуда мерная стеклянная лабораторная по ГОСТ 1770-74, вместимостью: колбы 100, 1000 см3; цилиндры 10, 50, 100, 200, 500, 1000, 2000 см3.
Приборы мерные лабораторные стеклянные по ГОСТ 20292-74 вместимостью: пипетки 1, 2, 5, 10, 50, 100 см3; бюретки 50 см3.
Стаканы и колбы стеклянные лабораторные по ГОСТ 9147-80 вместимостью: стаканы 100, 200, 1000 см3; колбы конические 250 см3.
Воронки стеклянные по ГОСТ 25336-82
Фарфор пористый.
Термометр стеклянный ртутный по ГОСТ 13646-68 до 360°С.
Весы лабораторные аналитические.
Весы технические типа ВЛТ-200.
Калий бромноватокислый по ГОСТ 4457-74.
Калий бромистый по ГОСТ 4160-74.
Кислота серная по ГОСТ 4204-77.
Кислота азотная по ГОСТ 4461-77.
Гидразина сульфат кристаллический.
Метиловый красный по ГОСТ 5853-51.
Аммиак жидкий синтетический по ГОСТ 6221-82.
Вода дистиллированная по ГОСТ 6709-72.
Плитка электрическая по ГОСТ 306-76.
Все реактивы должны быть квалификации х.ч. или ч.д.а.
3.3. Подготовка к анализу
3.3.1. Приготовление раствора индикатора метилового красного
В цилиндр вместимостью 500 см3 приливают 40 см3 дистиллированной воды, добавляют 2 - 3 капли 25%-ного раствора аммиака, 0, 1 г метилового красного, взвешенного с погрешностью не более 0, 01 г, и объем раствора доводят дистиллированной водой до метки.
15 г бромистого калия взвешивают с погрешностью не более 0, 01 г, растворяют в небольшом количестве дистиллированной воды в цилиндре вместимостью 250 см3, прибавляют 30 см3 приготовленного раствора метилового красного и объем раствора доводят дистиллированной водой до 200 см3.
Раствор хранят в темной склянке.
3.3.2. Приготовление 0, 1 н. раствора бромноватокислого калия (бромата калия)
2, 784 г бромноватокислого калия взвешивают с погрешностью не более 0, 0002 г, помещают в мерную колбу вместимостью 1000 см3, растворяют в дистиллированной воде и объем раствора доводят дистиллированной водой до метки.
3.3.3. Приготовление раствора бромид-бромата
В мерную колбу вместимостью 1000 см3 вносят 20 см3 0, 1 н. раствора бромноватокислого калия, 1, 2 г бромистого калия, взвешенного с погрешностью не более 0, 01 г, перемешивают до полного растворения и доводят объем раствора дистиллированной водой до метки.
1 см3 раствора соответствует 0, 07492 мг мышьяка.
3.3.4. Подготовка пористого фарфора
Кусочки фарфора кипятят в концентрированной серной кислоте в течение 10 - 15 мин, охлаждают и несколько раз промывают дистиллированной водой.
3.4. Проведение анализа
Отбирают от 100 до 1500 см3 минеральной воды, содержащей от 0, 5 до 3 мг ионов мышьяка. К пробе приливают 5 см3 концентрированной азотной кислоты и порциями по 100 - 200 см3 упаривают в химическом стакане вместимостью 1000 см3 до объема 15 - 20 см3. Упаренную воду количественно переносят в коническую колбу вместимостью 250 см3. Стакан 2 - 3 раза тщательно ополаскивают 10 см3 дистилированной воды и добавляют ее к упаренной пробе. Содержимое колбы снова упаривают до 20 см3 и охлаждают. К остатку добавляют 30 см3 концентрированной серной кислоты, в раствор погружают термометр и вносят для равномерного кипения 2 - 3 кусочка пористого фарфора, нагревают под тягой до температуры 280 - 300°С, кипятят в течение 30 мин и охлаждают.
Через воронку вносят, не попадая на стенки колбы, 0, 3 г сернокислого гидразина, взвешенного с погрешностью не более 0, 01 г, содержимое колбы нагревают до 300°С и охлаждают. Термометр обмывают дистиллированной водой и вынимают из колбы. Объем раствора в колбе доводят дистиллированной водой до 150 см3, приливая воду небольшими порциями и тщательно перемешивая. Содержимое колбы нагревают до кипения, вносят 1 см3 индикатора, приготовленного по п. 3.3.1, и горячий раствор титруют раствором, приготовленным по п. 3.3.3. до обесцвечивания.
Параллельно в тех же условиях проводят холостой опыт с 30 см3 дистиллированной воды.
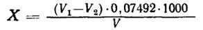
3.5. Обработка результатов
Массовую концентрацию ионов мышьяка (X), мг/дм3, вычисляют по формуле

,
где V - объем минеральной воды, взятый для анализа, см3;
V1- объем 0, 002 н. раствора бромид-бромата, израсходованный на титрование пробы, см3;
V2 - объем 0, 002 н. раствора бромид-бромата, израсходованный на титрование холостой пробы, см3;
0, 7492 - количество мышьяка, соответствующее 1 см3 0, 002 н. раствора бромид-бромата, мг.
За окончательный результат принимают среднее арифметическое двух параллельных определений, допускаемые расхождения между которыми не должны превышать 3%.