электронный сборник нормативных документов по строительству
Обновления
22.04.2026 11:17
электронный сборник нормативных документов по строительству

ГОСТ 22567.6-87 СРЕДСТВА МОЮЩИЕ СИНТЕТИЧЕСКИЕ. МЕТОД ОПРЕДЕЛЕНИЯ МАССОВОЙ ДОЛИ ПОВЕРХНОСТНО-АКТИВНЫХ ВЕЩЕСТВ

Утв. Постановлением государственного комитета ссср по стандартам от 23 декабря 1987 г. N 4839
Государственный стандарт Союза ССР ГОСТ 22567.6-87
"СРЕДСТВА МОЮЩИЕ СИНТЕТИЧЕСКИЕ. МЕТОД ОПРЕДЕЛЕНИЯ МАССОВОЙ ДОЛИ ПОВЕРХНОСТНО-АКТИВНЫХ ВЕЩЕСТВ"

Synthetic detergents. Method for determination of surface active agents mass percentage

Срок действия - с 1 января 1989 г.
до 1 июля 1998 г.

Ограничение срока действия снято в 1995 году

Взамен ГОСТ 22567.6-77

Информационные данные

1. Разработан и внесен Министерством химической промышленности СССР

Исполнители

Е.В. Рыльцев, канд. хим. наук (руководитель темы); Л.И. Маковецкая, канд. хим. наук; С.П. Волосович; Г.В. Заднепряная; Н.А. Котенок; Г.И. Ярыныч; Н.М. Арбузова

2. Утвержден и введен в действие Постановлением Государственного комитета СССР по стандартам от 23.12.87 N 4839

3. Срок первой проверки 1993 г. Периодичность проверки 5 лет

4. Взамен ГОСТ 22567.6-77

5. Ссылочные нормативно-технические документы

Обозначение НТД, на который дана ссылка

Номер пункта, раздела

Обозначение НТД, на который дана ссылка

Номер пункта, раздела

ГОСТ 1277-75

Разд. 2

ГОСТ 12026-76

Разд. 2

ГОСТ 1770-74

Разд. 2

ГОСТ 14919-83

Разд. 2

ГОСТ 2823-73

Разд. 2

ГОСТ 18300-87

Разд. 2

ГОСТ 4166-76

Разд. 2

ГОСТ 20015-74

Разд. 2

ГОСТ 4205-77

Разд. 2

ГОСТ 20288-74

Разд. 2

ГОСТ 4233-77

Разд. 2

ГОСТ 20292-74

Разд. 2

ГОСТ 4328-77

Разд. 2

ГОСТ 22567.1-77

1.1

ГОСТ 4459-75

Разд. 2

ГОСТ 24104-80

Разд. 2

ГОСТ 4461-77

Разд. 2

ГОСТ 24363-80

Разд. 2

ГОСТ 5072-79

Разд. 2

ГОСТ 25336-82

Разд. 2

ГОСТ 5860-72

Разд. 2

ГОСТ 25794.3-83

3.8

ГОСТ 6709-72

Разд. 2

ГОСТ 27067-86

Разд. 2

ГОСТ 9147-80

Разд. 2

Настоящий стандарт распространяется на порошкообразные, пастообразные и жидкие синтетические моющие средства и устанавливает метод определения массовой доли поверхностно-активных веществ.

1. Метод отбора проб

Отбор проб по ГОСТ 22567.1-77.

2. Аппаратура, материалы и реактивы

Весы лабораторные 2-го класса точности по ГОСТ 24104-80 с наибольшим пределом взвешивания 200 г и допускаемой погрешностью взвешивания не более 0, 5 мг.

Электропечь сопротивления лабораторная с терморегулятором, обеспечивающая регулирование температуры от 50 до 250°С, с погрешностью ±5°С, или сушильный шкаф, обеспечивающий аналогичное регулирование температуры.

Плитка электрическая закрытого типа по ГОСТ 14919-83.

Автотрансформатор лабораторный типа ЛАТР-1 или ЛАТР-2.

Баня водяная.

Термометр ТТ П 5 2 160 66 по ГОСТ 2823-73.

Секундомер механический по ГОСТ 5072-79.

Штатив металлический лабораторный.

Прибор для определения массовой доли веществ, растворимых в петролейном эфире или н-гексане (см. чертеж).

Печь муфельная.

Прибор для определения массовой доли веществ, растворимых в петролейном эфире или н-гексане
image0001.jpg

Ступка 4 по ГОСТ 9147-80.

Эксикатор 2-250 по ГОСТ 25336-82, заполненный хлористым кальцием обезвоженным, чистым.

Вставка для эксикатора 2-175 по ГОСТ 9147-80

Холодильники ХПТ-1-200-14/23 ХС, ХШ-1-300-29/32 ХС по ГОСТ 25336-82.

Насадка H1-29/32-14/23-14/23 ТС по ГОСТ 25336-82.

Алонж АКП-14/23-29/32 ТС по ГОСТ 25336-82.

Колбы Кн-2-100-34 ТХС, Кн-2-250-34 ТХС, Кн-1-250-29/32 ТХС по ГОСТ 25336-82.

Колбы 1-200-2, 1-1000-2 по ГОСТ 1770-74.

Бюретки 2-2-10-0, 05; 2-2-25-0, 05; 6-2-5 по ГОСТ 20292-74.

Стакан Н-2-250 ТХС по ГОСТ 25336-82.

Воронка В-56-80 ХС по ГОСТ 25336-82.

Воронки делительные ВД-1-250-ХС или ВД-3-250-ХС по ГОСТ 25336-82.

Чашка выпарительная 3 по ГОСТ 9147-80.

Цилиндры 2-25, 2-100 и 3-250 по ГОСТ 1770-74.

Пипетки 2-2-25, 2-2-50, 7-2-5, 2-2-20 по ГОСТ 20292-74.

Спирт этиловый ректификованный технический по ГОСТ 18300-87, высший сорт, 96%-ный, нейтрализованный по фенолфталеину спиртовым раствором гидроокиси натрия или спиртовым раствором гидроокиси калия, и водный раствор с массовой долей 50%.

Натрия гидроокись по ГОСТ 4328-77, х.ч., спиртовой раствор концентрации c (NaOH)=0, 1 моль/дм3.

Калия гидроокись по ГОСТ 24363-80, х.ч., спиртовой раствор концентрации c (КОН) =0, 1 моль/дм3.

Фенолфталеин по ГОСТ 5850-72, ч.д.а., спиртовой раствор с массовой долей фенолфталеина 1%.

Эфир петролейный, ч., фракция, выкипающая до 55°С, или н-гексан, ч.

Натрий сернокислый безводный по ГОСТ 4166-76, х.ч., свежепрокаленный при температуре 400 - 450°С,

Серебро азотнокислое по ГОСТ 1277-75, х.ч., раствор концентрации c (AgNO3)=0, 1 моль/дм3 или фиксанал.

Аммоний роданистый по ГОСТ 27067-86, х.ч., раствор концентрации c (NH4SCN)=0, 1 моль/дм3 или фиксанал.

Кислота азотная по ГОСТ 4461-77, х.ч., концентрированная и водный раствор 1:1,

Квасцы железоаммонийные по ГОСТ 4205-77, х.ч.

Углерод четыреххлористый по ГОСТ 20288-74, ч.д.а., или хлороформ по ГОСТ 20015-74.

Натрий хлористый по ГОСТ 4233-77, х.ч., предварительно прокаленный до постоянной массы в муфельной печи при 500 - 600°С, раствор концентрации c (NaCl)=0, 1 моль/дм3 или фиксанал.

Калий хромовокислый по ГОСТ 4459-75, х.ч., водный раствор с массовой долей хромовокислого калия 5%.

Бумага фильтровальная по ГОСТ 12026-76 или фильтры обеззоленные ("белая лента" или "красная лента").

Картон асбестовый.

Вода дистиллированная по ГОСТ 6709-72.

Примечание. Допускается использовать аппаратуру, посуду и материалы другого типа с аналогичными техническими и метрологическими характеристиками.

3. Подготовка к испытанию

3.1. Подготовка навесок для определения массовой доли веществ, растворимых в спирте

Среднюю пробу порошкообразного моющего средства растирают в ступке. Навеску растертого порошка массой (2, 0±0, 5) г помещают в коническую колбу со шлифом вместимостью 250 см3, прибавляют 8 см3 нагретой до кипения воды и растворяют.

Навеску пасты массой (2, 0±0, 5) г (для паст с массовой долей триполифосфата натрия менее 10%, масса навески (5, 0±0, 5) г) помешают в коническую колбу со шлифом вместимостью 250 см3, прибавляют 7 см3 нагретой до кипения воды и растворяют.

Навеску жидкого моющего средства массой (4, 5±0, 5) г помещают в коническую колбу со шлифом вместимостью 250 см3.

Результаты взвешивания навесок записывают в граммах с точностью до четвертого десятичного знака.

3.2. Приготовление раствора железоаммонийных квасцов

В 100 см3 воды, нагретой до кипения, растворяют (50, 0±0, 1) г хорошо измельченных квасцов. Раствор охлаждают. При этом часть квасцов выкристаллизовывается. Выпавшие кристаллы отделяют фильтрованием или декантацией.

Для уменьшения гидролиза цилиндром добавляют 5 см3 концентрированной азотной кислоты.

3.3. Приготовление раствора хромовокислого калия

К навеске хромовокислого калия массой (5, 0±0, 1) г приливают 95 см3 воды. Раствор тщательно перемешивают.

3.4. Приготовление раствора азотнокислого серебра концентрации с (AgNO3) =0, 1 моль/дм3

Раствор азотнокислого серебра готовят из фиксанала или навески азотнокислого серебра.

Навеску азотнокислого серебра массой (16, 980±0, 003) г растворяют в воде, переносят в мерную колбу вместимостью 1000 см3, доводят объем раствора до метки водой и тщательно перемешивают.

Раствор азотнокислого серебра хранят в банке из темного стекла или в склянке, закрытой темной бумагой.

3.5.Приготовление раствора хлористого натрия концентрации с (NaCl)=0, 1 моль/дм3

Раствор хлористого натрия готовят из фиксанала или из навески хлористого натрия.

Навеску хлористого натрия массой (5, 8443±0, 0005) г растворяют в воде, переносят в мерную колбу вместимостью 1000 см3, доводят объем раствора до метки водой и тщательно перемешивают.

3.6. Приготовление раствора роданистого аммония концентрации с (NH4SCN)=0, 1 моль/дм3

Раствор роданистого аммония готовят из фиксанала или из навески роданистого аммония.

Навеску роданистого аммония массой (7, 612±0, 003) г растворяют в воде, переносят в мерную колбу вместимостью 1000 см3 доводят объем раствора до метки водой и тщательно перемешивают.

3.7. Определение коэффициента поправки раствора азотнокислого серебра концентрации с (AgNO3)=0, 1 моль/дм3 по хлористому натрию по ГОСТ 25794.3-83.

3.8. Определение коэффициента поправки раствора роданистого аммония концентрации с (NH4SCN)=0, 1 моль/дм3 по азотнокислому серебру по ГОСТ 25794.3-83.

4. Проведение испытаний

4.1. Определение массовой доли веществ, растворимых в этиловом спирте

Для определения массовой доли веществ, растворимых в этиловом спирте, в порошкообразных и пастообразных моющих средствах в коническую колбу вместимостью 250 см3 с навеской испытуемого средства, подготовленной согласно п. 3.1, цилиндром прибавляют 130 см3 96%-ного спирта небольшими порциями при энергичном перемешивании и тщательном измельчении палочкой выпадающего осадка.

Для определения массовой доли веществ, растворимых в этиловом спирте, в жидких синтетических моющих средствах в коническую колбу со шлифом вместимостью 250 см3 с навеской испытуемого средства, подготовленной согласно п. 3.1, цилиндром небольшими порциями при энергичном перемешивании прибавляют 90 см3 96%-ного спирта.

Колбу присоединяют к обратному холодильнику и кипятят на водяной бане 30 мин. Спиртовой раствор декантируют в мерную колбу вместимостью 200 см3 через фильтр таким образом, чтобы осадок не попадал на фильтр. Время отстаивания при декантации должно составлять не менее 5 мин.

Экстракцию повторяют еще один раз при определении поверхностно-активных веществ в порошкообразных и пастообразных синтетических моющих средствах и три раза при определении поверхностно-активных веществ в жидких моющих средствах, расходуя по 20 см3 96%-ного спирта и нагревая содержимое колбы 5 - 10 мин. Затем раствор с осадком фильтруют в ту же мерную колбу, тщательно промывают осадок в колбе и на фильтре три раза горячим 96%-ным спиртом порциями по 20 см3. Доводят объем раствора до метки спиртом и перемешивают. Отбирают пипеткой 50 см3 полученного спиртового экстракта, помещают в фарфоровую чашку, доведенную до постоянной массы, и полностью упаривают спирт на электроплитке, покрытой асбестовым картоном и вставкой для эксикатора при температуре (90±5)°С или на кипящей водяной бане.

Остаток в чашке высушивают в сушильном шкафу при температуре (80±5)°С.

При испытаниях порошкообразных синтетических моющих средств, изготовленных на основе сульфонатов, высушивание остатка допускается проводить при температуре 100 - 105°С.

Первое взвешивание проводят через 30 мин высушивания, последующие - через 15 мин. Высушивание заканчивают при изменении массы между двумя последующими взвешиваниями не более, чем на 0, 002 г.

4.2. Определение массовой доли хлористого натрия

В коническую колбу отбирают пипеткой 20 см3 спиртового экстракта, полученного по п. 4.1, добавляют 25 - 30 см3 воды и 5 см3 раствора азотной кислоты 1:1.

Затем из бюретки приливают 5 см3 раствора азотнокислого серебра, добавляют 2 см3 раствора железоаммонийных квасцов и 3 см3 хлороформа или четыреххлористого углерода. Избыток азотнокислого серебра оттитровывают раствором роданистого аммония до появления коричнево-розовой окраски, не исчезающей в течение 30 с.

Примечание. Для синтетических моющих средств, содержащих биодобавки, определяют массовую долю суммы хлористого натрия и хлористого кальция аналогичным способом.

4.3. Определение массовой доли веществ, растворимых в петролейном эфире или н-гексане

Навеску синтетического моющего средства массой (30±10) г (в зависимости от количества веществ, растворимых в петролейном эфире или н-гексане, масса которых в пробе должна быть не менее 0, 1 г) помещают в колбу или химический стакан вместимостью 250 см3, растворяют в 48 см3 воды и прибавляют небольшими порциями при энергичном перемешивании 52 см3 96%-ного этилового спирта. Раствор нагревают на водяной бане до 30 - 35°С, охлаждают до комнатной температуры и переливают в мерный цилиндр с притертой пробкой.

Допускается использовать отогнанный спирт, полученный по п. 4.1, после предварительной перегонки экстракта спирторастворимых веществ.

Колбу или химический стакан промывают 15 см3 50%-ного спирта, который сливают в цилиндр, а затем ополаскивают колбу небольшим количеством петролейного эфира, который сливают также в цилиндр. Затем в цилиндр приливают 50 см3 эфира, закрывают пробкой, перемешивают и оставляют стоять до тех пор, пока слой эфира не станет прозрачным. Открывают пробку, обмывают ее небольшим количеством эфира и вставляют в цилиндр пробку с сифонной трубкой. Конец сифонной трубки в цилиндре устанавливают на 1 - 2 мм выше отметки границы раздел фаз, чтобы при сливе не переливался нижний слой. Эфирный слой сливают в делительную воронку, создавая давление в цилиндре при помощи резиновой груши. После слива эфирного слоя пробку с сифонной трубкой приподнимают, следя за тем чтобы остатки жидкости полностью стекали в цилиндр и в делительную воронку, и помещают ее на кольцо штатива.

Экстракцию повторяют еще три раза (порциями по 25 см3 эфира). Собранные эфирные вытяжки промывают в делительной воронке 50%-ным спиртом три раза порциями по 20 см3 и фильтруют в доведенную до постоянной массы колбу вместимостью 250 см3 через двойной бумажный фильтр, на который предварительно помещают 4 - 5 г прокаленного сернокислого натрия.

Осадок на воронке промывают эфиром, эфир отгоняют на водяной бане при температуре (80±5)°С, а остаток в колбе высушивают в сушильном шкафу при температуре (60±5)°С.

Первое взвешивание проводят через 1 ч, последующие - через 30 мин. Высушивание заканчивают при изменении массы между двумя последними взвешиваниями не более, чем на 0, 002 г.

При отсутствии мерного цилиндра с притертой пробкой испытание проводят в делительной воронке. При этом мешающие определению нерастворившиеся минеральные соли отфильтровывают перед перенесением навески в делительную воронку. Воронку с осадком промывают спиртом, подсушивают при комнатной температуре и промывают эфиром.

5. Обработка результатов

5.1. Массовую долю поверхностно-активных веществ (X) в процентах вычисляют по формуле

X=X1-X2-X3,

(1)

где X1 - массовая доля веществ, растворимых в этиловом спирте, %;

X2 - массовая доля хлористого натрия или хлористого кальция, %;

X3 - массовая доля веществ, растворимых в петролейном эфире или н-гексане, %.

За результат испытания принимают среднее арифметическое результатов двух параллельных определений, допускаемое расхождение между которыми не должно превышать 0, 5%.

Пределы допускаемого значения суммарной погрешности результата испытания ±0, 74% при доверительной вероятности Р = 0, 95.

Массовую долю веществ, растворимых в этиловом спирте (X1) в процентах вычисляют по формуле

image0002.jpg,

(2)

где m1 - масса чашки с остатком после высушивания до постоянной массы, г;

m2 - масса чашки после высушивания до постоянной массы, г;

m3 - масса колбы с навеской испытуемого средства, г;

m4 - масса колбы, г;

200 - объем спиртового экстракта в колбе, см3;

50 - объем спиртового экстракта, взятый для удаления спирта, см3.

За результат испытания принимают среднее арифметическое результатов двух параллельных определений, допускаемое расхождение между которыми не должно превышать 0, 5%.

Пределы допускаемого значения суммарной погрешности результата испытания ±0, 5% при доверительной вероятности Р = 0, 95.

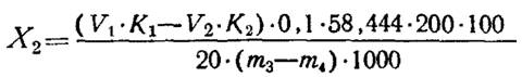
Массовую долю хлористого натрия (X2) в процентах вычисляют по формуле

image0003.jpg,

(3)

где V1 - объем раствора азотнокислого серебра, взятый для титрования, см3;

V2 - объем раствора роданистого аммония, израсходованный на титрование пробы, см3;

K1 - коэффициент поправки раствора азотнокислого серебра;

K2 - коэффициент поправки раствора роданистого аммония;

58, 444 - молекулярная масса хлористого натрия, г.

Примечание. При определении массовой доли суммы хлористого натрия и хлористого кальция в синтетических моющих средствах, содержащих биодобавки, берут среднюю молекулярную массу, вычисленную исходя из доли вклада каждого компонента в рецептуру синтетического моющего средства;

m3 - масса колбы с навеской испытуемого средства, г;

m4 - масса колбы, г.

За результат испытания принимают среднее арифметическое результатов двух параллельных определений, допускаемое расхождение между которыми не должно превышать 0, 1%.

Пределы допускаемого значения суммарной погрешности результата испытания ±0, 19% при доверительной вероятности Р = 0, 95.

Массовую долю веществ, растворимых в петролейном эфире или н-гексане (X3) в процентах вычисляют по формуле

image0004.jpg,

(4)

где m5- масса колбы с остатком после высушивания до постоянной массы, г;

m6 - масса колбы после высушивания до постоянной массы, г;

m7 - масса колбы с навеской испытуемого средства, г;

m8 - масса колбы, г.

За результат испытания принимают среднее арифметическое результатов двух параллельных определений, допускаемое расхождение между которыми не должно превышать 0, 2%.

Пределы допускаемого значения суммарной погрешности результата испытания ±0, 18% при доверительной вероятности Р = 0, 95.

Яндекс.Метрика