электронный сборник нормативных документов по строительству
Обновления
26.04.2026 23:01
электронный сборник нормативных документов по строительству

ГОСТ 25094-2015 ДОБАВКИ АКТИВНЫЕ МИНЕРАЛЬНЫЕ ДЛЯ ЦЕМЕНТОВ. МЕТОД ОПРЕДЕЛЕНИЯ АКТИВНОСТИ

Введен в действие приказом Федерального агентства по техническому регулированию и метрологии от 30 ноября 2015 г. N 2078-ст
Межгосударственный стандарт ГОСТ 25094-2015
"ДОБАВКИ АКТИВНЫЕ МИНЕРАЛЬНЫЕ ДЛЯ ЦЕМЕНТОВ. МЕТОД ОПРЕДЕЛЕНИЯ АКТИВНОСТИ"

Active mineral additions for cements. Method of activity determination

Дата введения - 1 января 2017 г.

Взамен ГОСТ 25094-94

Предисловие

Цели, основные принципы и основной порядок работ по межгосударственной стандартизации установлены ГОСТ 1.0-92 "Межгосударственная система стандартизации. Основные положения" и ГОСТ 1.2-2009 "Межгосударственная система стандартизации. Стандарты межгосударственные, правила и рекомендации по межгосударственной стандартизации. Правила разработки, принятия, применения, обновления и отмены"

Сведения о стандарте

1 Разработан ООО Фирма "Цемискон"

2 Внесен Техническим комитетом по стандартизации ТК 465 "Строительство"

3 Принят Межгосударственным советом по стандартизации, метрологии и сертификации (протокол от 27 октября 2015 г. N 81-П)

За принятие проголосовали:

Краткое наименование страны по МК (ИСО 3166) 004-97

Код страны по МК (ИСО 3166) 004-97

Сокращенное наименование национального органа по стандартизации

Беларусь

Казахстан

Киргизия

Россия

Таджикистан

BY

KZ

KG

RU

TJ

Госстандарт Республики Беларусь

Госстандарт Республики Казахстан

Кыргызстандарт

Росстандарт

Таджикстандарт

5 Приказом Федерального агентства по техническому регулированию и метрологии от 30 ноября 2015 г. N 2078-ст межгосударственный стандарт ГОСТ 25094-2015 введен в действие в качестве национального стандарта Российской Федерации с 1 января 2017 г.

6 Взамен ГОСТ 25094-94

1 Область применения

Настоящий стандарт распространяется на активные минеральные добавки для цементов (далее - добавки) и устанавливает метод определения активности по прочности на сжатие.

Настоящий стандарт не распространяется на доменные гранулированные шлаки, применяемые для производства цементов.

2 Нормативные ссылки

В настоящем стандарте использованы нормативные ссылки на следующие межгосударственные стандарты:

ГОСТ 3306-88 Сетки с квадратными ячейками из стальной рифленой проволоки. Технические условия

ГОСТ 4013-82 Камень гипсовый и гипсоангидритовый для производства вяжущих материалов. Технические условия

ГОСТ 6139-2003 Песок для испытаний цемента. Технические условия

ГОСТ 6613-86 Сетки проволочные тканые с квадратными ячейками. Технические условия

ГОСТ 24104-2001* Весы лабораторные. Общие технические требования

ГОСТ 30515-2013 Цементы. Общие технические условия

ГОСТ 30744-2001 Цементы. Методы испытаний с использованием полифракционного песка

Примечание - При пользовании настоящим стандартом целесообразно проверить действие ссылочных стандартов в информационной системе общего пользования - на официальном сайте Федерального агентства по техническому регулированию и метрологии в сети Интернет или по ежегодному информационному указателю "Национальные стандарты", который опубликован по состоянию на 1 января текущего года, и по выпускам ежемесячного информационного указателя "Национальные стандарты" за текущий год. Если ссылочный стандарт заменен (изменен), то при пользовании настоящим стандартом следует руководствоваться заменяющим (измененным) стандартом. Если ссылочный стандарт отменен без замены, то положение, в котором дана ссылка на него, применяется в части, не затрагивающей эту ссылку.

3 Термины и определения

В настоящем стандарте применены термины по ГОСТ 30515.

4 Средства контроля и вспомогательное оборудование

Смеситель для приготовления раствора, трехгнездовые разъемные формы размерами 40x40x160 мм для изготовления образцов-балочек, насадка к формам, приспособления для укладки раствора в форму, встряхивающий стол для уплотнения раствора в форме, пластинки для называния формы с раствором, прибор для испытания на изгиб образцов-балочек, машина для испытания на сжатие половинок образцов-балочек - по ГОСТ 30744.

Пропарочная камера любой конструкции, обеспечивающая создание в ней среды насыщенного пара заданной температуры.

Лабораторная мельница для помола материалов. Лабораторную мельницу используют также для смешивания материалов при замене мелющих тел на резиновые шарики, пробки и аналогичные тела, не вызывающие дополнительного измельчения материалов.

Сито с контрольной сеткой N 008 по ГОСТ 6613.

Прибор для определения удельной поверхности методом воздухопроницаемости по ГОСТ 30744.

Весы по ГОСТ 24104.

Сушильный лабораторный электрошкаф.

5 Подготовка к испытанию и проведение испытания

5.1 Общие положения

Погрешность средств контроля при взвешивании материалов при приготовлении смесей не должна превышать ±1 г.

Общие положения при определении тонкости помола материалов и испытании смесей на прочность - по ГОСТ 30744.

5.2 Подготовка материалов

5.2.1 Для проведения испытаний от каждой партии добавки отбирают не менее пяти точечных проб.

5.2.2 Из точечных проб составляют объединенную пробу. Масса объединенной пробы должна быть не менее 12 кг. Масса объединенной пробы кусковой дробленой добавки должна быть не менее 12 кг, недробленой - не менее 30 кг.

Объединенную пробу недробленой добавки дробят до кусков размером не более 50 мм.

Объединенную пробу дробят так, чтобы проба без остатка прошла через сито N 10 по ГОСТ 3306.

5.2.3 Из объединенной пробы сокращением получают среднюю лабораторную пробу массой ≈6 кг.

5.2.4 Пробу добавки массой 6 кг высушивают в сушильном электрошкафу при температуре (100±5)°С до постоянной массы и измельчают в лабораторной мельнице. Тонкость помола должна быть такой, чтобы остаток на сите с сеткой N 008 составлял не менее 13% и не более 15% массы просеиваемой пробы.

Добавки, обладающие высокой исходной дисперсностью и имеющие остаток на сите с сеткой N 008 менее 13% и удельную поверхность более 300 м2/кг, могут быть использованы без предварительного помола.

Подготовленную пробу добавки хранят до испытаний в герметичной таре.

5.2.5 Портландцементный клинкер, предназначенный для испытаний, стандартный песок по ГОСТ 6139 и гипсовый камень по ГОСТ 4013 раздельно измельчают в лабораторной мельнице. Тонкость помола должна быть такой, чтобы остаток на сите с сеткой N 008 составлял:

- для портландцементного клинкера не менее 6% и не более 8% массы просеиваемой пробы;

- для стандартного песка не менее 13% и не более 15% массы просеиваемой пробы;

- для гипсового камня не менее 4% и не более 6% массы просеиваемой пробы.

Допускается измельчать гипсовый камень растиранием в фарфоровой ступке до требуемой тонкости помола.

5.3 Определение прочности

5.3.1 Из материалов, подготовленных по 5.2, путем перемешивания в лабораторной мельнице в течение 2 ч готовят смеси, соответствующие по составам, приведенным в таблице 1.

Таблица 1

В граммах

Наименование смеси

Состав смеси

Портландцементный клинкер

Минеральная добавка

Песок

Гипсовый камень в пересчете на CaSO4·2H2O

Смесь 1

600

1400

-

100

Смесь 2

600

-

1400

100

5.3.2 Из смесей, полученных по 5.3.1, изготовляют по ГОСТ 30744 шесть образцов-балочек размерами 40x40x160 мм. Формы с образцами-балочками накрывают пластинкой и помещают в пропарочную камеру, где выдерживают в течение (120±10) мин при температуре (20±2)°С (при отключенном подогреве).

5.3.3 Применяют следующий режим пропарки:

- равномерный подъем температуры до (85±5)°С - (180±10) мин;

- изотермический прогрев при температуре (85±5)°С - (360±10) мин;

- остывание образцов-балочек при отключенном подогреве - (120±10) мин.

После пропарки открывают крышку камеры.

5.3.4 Испытания образцов для определения прочности на сжатие проводят по ГОСТ 30744 через (24±2) ч с момента их изготовления.

5.4 Обработка результатов

5.4.1 Прочность на сжатие отдельной половинки образца-балочки Rсж мегапаскалях вычисляют по ГОСТ 30744.

Результат вычисления округляют до 0, 1 МПа.

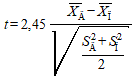
5.4.2 Активность добавки определяют статистической оценкой значимости различий прочности на сжатие образцов из смеси 1 с добавкой и образцов из смеси 2 с песком (12 результатов испытаний для каждой смеси) на основании расчета t-критерия при принятии гипотезы об однородности и симметричности распределения результатов определения прочности образцов.

5.4.3 Значение t-критерия вычисляют по формуле

image001.gif,

(1)

где X̅Ä и X̅Ï - средние арифметические значения пределов прочности на сжатие образцов, изготовленных из смесей 1 и 2 соответственно;

image002.gif и image003.gif- квадраты средних квадратических отклонений предела прочности на сжатие образцов, изготовленных из смесей 1 и 2 соответственно.

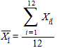
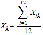
Средние арифметические значения пределов прочности на сжатие образцов вычисляют по формулам:

image004.gif,

(2)

image005.gif,

(3)

где XiÄ, XiÏ - единичные значения пределов прочности на сжатие образцов, изготовленных из смесей 1 и 2 соответственно;

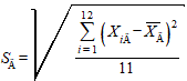
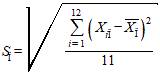
Средние квадратические отклонения пределов прочности на сжатие образцов вычисляют по формулам:

image006.gif,

(4)

image007.gif.

(5)

5.4.4 Значение t-критерия следует вычислять при выполнении следующего условия:

SÄ≈SÏ ≤ 2, 0 МПа,

(6)

Условие SÄ≈SÏ считают выполненным, если image008.gif или image009.gif≤ 2, 82, где 2, 82 - табличное значение критерия Фишера (F-критерия) при 5%-ном уровне значимости и 11 степенях свободы для обеих дисперсий, при этом в числителе помещают одну из двух величин SÄ или SÏ, значение которой выше.

Если хотя бы одно из этих условий не выполняется, то следует считать, что гипотеза об однородности и симметричности распределения результатов определения прочности образцов неверна, испытания выполнены неудовлетворительно и их следует повторить.

5.4.5 При значении t-критерия, равном или превышающем 15, 0, добавку считают активной по прочности на сжатие, при значении t-критерия менее 15 добавку считают неактивной.

Пример расчета t-критерия приведен в приложении А.

_______________________________

* В Российской Федерации действует ГОСТ Р 53228-2008 "Весы неавтоматического действия. Часть 1. Метрологические и технические требования. Испытания".

Приложение А
(справочное)

Пример расчета t-критерия

В настоящем приложении приведен пример расчета t-критерия для двух сравнительных смесей: "клинкер + зола" и "клинкер + песок".

Таблица А.1

Номер образца

X

|X-X̅Ä|

 (X-X̅Ä)2

XiÏ

|XiÏ-X̅Ï|

 (XiÏ-X̅Ï)2

1

10, 5

0, 2

0, 04

8, 1

0, 1

0, 01

2

9, 8

0, 5

0, 25

7, 3

0, 7

0, 49

3

11, 0

0, 7

0, 49

7, 7

0, 3

0, 09

4

9, 9

0, 4

0, 16

8, 1

0, 1

0, 01

5

10, 5

0, 2

0, 04

7, 7

0, 3

0, 09

6

10, 7

0, 4

0, 16

8, 4

0, 4

0, 16

7

9, 9

0, 4

0, 16

8, 1

0, 1

0, 01

8

10, 4

0, 1

0, 01

8, 1

0, 1

0, 01

9

10, 2

0, 1

0, 01

8, 1

0, 1

0, 01

10

10, 6

0, 3

0, 09

8, 1

0, 1

0, 01

11

9, 7

0, 6

0, 36

7, 7

0, 3

0, 09

12

10, 4

0, 1

0, 01

8, 5

0, 5

0, 25

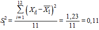
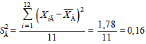
image010.gif

123, 6

-

1, 78

95, 9

-

1, 23


image011.gifimage012.gif;

image013.gif;

image014.gifimage015.gif;

image016.gif.

Проверяют выполнение условий SÄ≈SÏ ≤ 2, 0 МПа, при этом image008.gif должно быть ≤ 2, 82:

image017.gif; 0, 40≈0, 33≤2, 0 МПа.

Так как условия выполнены, рассчитывают значение t-критерия:

image018.gif.

Так как значение t-критерия превышает 15, 0, добавка золы является активной по прочности на сжатие.

Яндекс.Метрика