ГОСТ 23061-2012 ГРУНТЫ. МЕТОДЫ РАДИОИЗОТОПНЫХ ИЗМЕРЕНИЙ ПЛОТНОСТИ И ВЛАЖНОСТИ
Soils. Methods for radioisotope measurement of density and humidity
Предисловие
Цели, основные принципы и основной порядок проведения работ по межгосударственной стандартизации установлены ГОСТ 1.0-92 "Межгосударственная система стандартизации. Основные положения" и ГОСТ 1.2-2009 "Межгосударственная система стандартизации. Стандарты межгосударственные, правила и рекомендации по межгосударственной стандартизации. Правила разработки, принятия, применения, обновления и отмены"
Настоящий стандарт распространяется на песчаные, глинистые, крупнообломочные и скальные грунты и устанавливает методы радиоизотопных измерений плотности и влажности при исследовании их свойств.
Настоящий стандарт не распространяется на крупнообломочные валунные грунты, а также грунты, в которых содержание фракций размером более 100 мм превышает 20%, и фосфоритосодержащие грунты с содержанием фосфоритов более 20%.
В настоящем стандарте использованы ссылки на следующие межгосударственные стандарты:
ГОСТ 8.009-84 Государственная система обеспечения единства измерений. Нормируемые метрологические характеристики средств измерений
ГОСТ 8.442-81* Государственная система обеспечения единства измерений. Влагомеры нейтронные. Методы и средства поверки
ГОСТ 1050-88 Прокат сортовой, калиброванный, со специальной отделкой поверхности из углеродистой качественной конструкционной стали. Общие технические условия
ГОСТ 5180-84 Грунты. Методы лабораторного определения физических характеристик
ГОСТ 8731-87 Трубы стальные бесшовные горячедеформированные. Технические условия
ГОСТ 8732-78 Трубы стальные бесшовные горячедеформированные. Сортамент
ГОСТ 9567-75 Трубы стальные прецизионные. Сортамент
ГОСТ 19611-74 Влагомеры нейтронные. Типы и основные параметры
ГОСТ 21196-75 Влагомеры нейтронные. Общие технические требования
ГОСТ 23740-79 Грунты. Методы лабораторного определения содержания органических веществ
ГОСТ 25260-82 Породы горные. Метод полевого испытания пенетрационным каротажом
ГОСТ 25932-83 Влагомеры-плотномеры радиоизотопные переносные для бетонов и грунтов. Общие технические условия
Примечание - При пользовании настоящим стандартом целесообразно проверить действие ссылочных стандартов в информационной системе общего пользования - на официальном сайте Федерального агентства по техническому регулированию и метрологии в сети Интернет или по ежегодному информационному указателю "Национальные стандарты", который опубликован по состоянию на 1 января текущего года, и по выпускам ежемесячного информационного указателя "Национальные стандарты" за текущий год. Если ссылочный стандарт заменен (изменен), то при пользовании настоящим стандартом следует руководствоваться заменяющим (измененным) стандартом. Если ссылочный стандарт отменен без замены, то положение, в котором дана ссылка на него, применяется в части, не затрагивающей эту ссылку.
В настоящем стандарте применены следующие термины с соответствующими определениями:
3.1 радиоизотопный измерительный преобразователь (РИП) (nuclear measuring probe): Устройство, включающее источник ионизирующего излучения с блоком защиты и формирования потока и детектор со схемами усиления, дискриминации и т.д., для преобразования потока ПИ в выходной электрический сигнал.
3.2 источник ионизирующего излучения (nuclear gauge); источник гамма-излучения [gamma (radiation) source]; нейтронный источник [neutron (radiation) source]: Радиоактивное вещество или устройство, испускающее или способное испускать ионизирующее излучение, - источники, продуцирующие гамма-излучение; источники, излучающие нейтроны.
3.3 детектор (detector): Устройство, определяющее величину радиации.
3.4 радиоизотопный плотномер (nuclear density gauge): Плотномер, принцип действия которого основан на регистрации рассеянного и поглощенного гамма-излучения на электронах атомов вещества - объекта измерения.
3.5 нейтронный влагомер (nuclear moisture gauge): Влагомер, принцип действия которого основан на регистрации замедленных нейтронов в процессе их рассеяния на ядрах атомов водорода, входящих в состав молекул воды, содержащихся в веществе или материале объекта измерения, т.к. замедление и рассеяние нейтронного потока происходят не только на ядрах водорода, но и на атомах других веществ.
3.6 основная погрешность плотномера (влагомера) [densimeter (moisture gauge) basic error]: Разность между показаниями плотномера (влагомера) и действительными значениями измеряемой плотности (влажности) материала.
3.7 блок обработки и управления (processing and control block) плотномера, влагомера, влагоплотномера: Составная часть прибора, управляющая приемом сигнала и выполняющая его обработку для вычисления плотности и влажности.
3.8 образцовая мера плотности (влажности) или стандартный образец (reference standard): Аттестованное средство измерения в виде вещества или материала, служащее для градуировки и поверки плотномера (влагомера).
3.9 база измерительного преобразователя (длина зонда) (measuring probe base): Середина расстояния между центрами источника и детектора излучения.
3.10 стандартные образцы (prepared blocks): Метрологически аттестованные образцовые меры с различными определенными инженерно-физическими свойствами материалов.
4.1 Методы радиоизотопных измерений плотности и влажности грунтов основаны на использовании закономерностей взаимодействия гамма- и нейтронного излучений с электронами и ядрами атомов вещества среды (грунта).
4.2 Метод радиоизотопного измерения плотности грунтов основан на зависимости между плотностью контролируемого грунта и характеристиками ослабления и рассеяния измеряемого потока энергии гамма-излучения.
4.3 Плотность грунта измеряют детектированием и регистрацией плотности потока:
- рассеянного первичного гамма-излучения (метод альбедо);
- ослабленного первичного гамма-излучения (метод абсорбции);
- рассеянного и ослабленного первичного гамма-излучения (альбедо-абсорбционный метод).
4.4 Метод альбедо заключается в детектировании и регистрации плотности потока гамма-квантов, рассеянных на электронах атомов вещества при взаимодействии потока энергии первичного гамма-излучения источника ионизирующего излучения с материалом грунта.
4.5 Метод абсорбции заключается в детектировании и регистрации плотности потока гамма-квантов, прошедших через слой материала между радиоактивным источником и детектором гамма-излучения.
4.6 Альбедо-абсорбционный метод заключается в детектировании и регистрации плотности потока гамма-квантов, рассеянных в объеме грунта и прошедших через слой между источником ионизирующего излучения и детектором гамма-излучения.
4.7 Метод нейтронного измерения влажности основан на зависимости между водосодержанием грунта и плотностью потока замедленных нейтронов в процессе их рассеяния на ядрах атомов водорода. Этим методом измеряют влажность грунта в исследуемом объеме между источником нейтронов и измерительным преобразователем.
4.8 Плотность грунта ρ измеряют радиоизотопным плотномером и определяют по зарегистрированной плотности потока гамма-излучения с помощью градуировочного графика радиоизотопного плотномера, приведенного в приложении Б.
4.9 Влажность грунта w измеряют нейтронным влагомером и определяют по зарегистрированной плотности потока замедленных нейтронов с помощью градуировочного графика нейтронного влагомера, приведенного в приложении В, или вычисляют по специальным формулам.
5.1 Для измерения плотности грунта применяют радиоизотопные переносные или возимые плотномеры по ГОСТ 25932.
5.2 Для измерения влажности грунта применяют нейтронные переносные или возимые влагомеры по ГОСТ 19611, ГОСТ 21196.
5.3 Для одновременного измерения плотности и влажности грунта применяют переносные влагоплотномеры по ГОСТ 25932.
5.4 Радиоизотопные плотномеры и влагоплотномеры должны обеспечивать возможность измерения плотности грунта от 0, 8 до 2, 3 г/см3 (от 800 до 2300 кг/м3) с погрешностью ±0, 2 г/см3 (±200кг/м3).
Для измерения плотности торфа, заторфованных и других рыхлых грунтов допускается применять радиоизотопные плотномеры с нижним пределом измерений плотности менее 0, 8 г/см3 (800 кг/м3) и верхним пределом измерений плотности ниже 2, 3 г/см3 (2300 кг/м3).
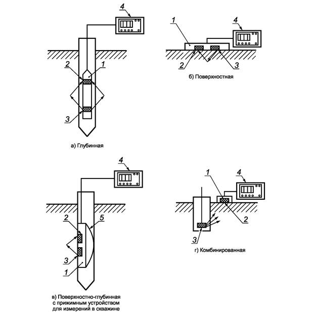
5.5 При измерении плотности грунта методом альбедо применяют следующие схемы измерений (см. рисунок 1):
- глубинную - измерительный преобразователь с источником ионизирующего излучения, помещают в скважину по ее центру на глубину более 400 мм для измерения плотности в радиусе до 100-250 мм;
- поверхностную - измерительный преобразователь и источник ионизирующего излучения помещают на поверхности грунта для измерения плотности грунта в слое толщиной до 120 мм;
- поверхностно-глубинную - измерительный преобразователь и источник ионизирующего излучения прижимают к боковой поверхности скважины или обсадной трубы для измерения плотности грунта в слое толщиной до 120 мм.
5.6 При измерении плотности грунта абсорбционным методом применяют схему измерений с расположением источника ионизирующего излучения в одной скважине, а измерительного преобразователя - в другой [см. рисунок 2а)] с расстоянием между источником ионизирующего излучения и детектором преобразователя, фиксированным с погрешностью не более ±0, 5%. Для послойного измерения плотности в объеме грунта между скважинами источник ионизирующего излучения и измерительный преобразователь могут быть размещены в жесткой конструкции [см. рисунок 2б)], погружаемой в грунт.
5.7 При измерении плотности грунта альбедо-абсорбционным методом применяют схему измерений [см. рисунок 2в)], при которой источник ионизирующего излучения погружают в грунт, а измерительный преобразователь помещают на поверхности грунта для измерения средней плотности грунта в слое между источником ионизирующего излучения и измерительным преобразователем.

1 — измерительный преобразователь; 2 — детектор; 3 — защитный экран; 4 — радиоизотопный источник; 5 — измерительный прибор; 6 — прижимное пружинное устройство
Рисунок 1 — Схемы измерений радиоизотопными плотномерами методом альбедо

1 — измерительный преобразователь; 2 — детектор; 3 — радиоизотопный (нуклид) источник; 4 — измерительный прибор
Рисунок2 — Схемы измерений радиоизотопными плотномерами
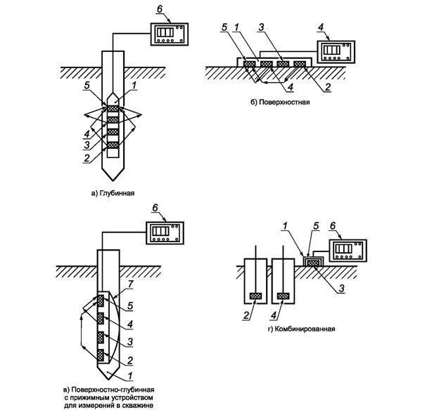
5.8 Нейтронные влагомеры и радиоизотопные влагоплотномеры должны обеспечивать возможность измерения объемной влажности в пределах от 2% до 100% при глубинных измерениях и от 2% до 40 (±10)% - в остальных случаях.
5.9 При измерениях влажности грунта нейтронным методом применяют следующие схемы измерений (см. рисунок 3):
- глубинную (скважинную) - измерительный преобразователь с источником нейтронов помещают в скважину с обсадной трубой по ее центру для измерения влажности грунта в радиусе вокруг измерительного преобразователя от 200 до 250 мм при объемной влажности wоб 40%-45% и в радиусе до 450 мм при wоб≤5%;
- поверхностную - измерительный преобразователь и источник нейтронов помещают на подготовленную поверхность грунта для измерения влажности грунта в слое толщиной до 150 мм под измерительным преобразователем;
- поверхностно-глубинную - измерительный преобразователь и источник нейтронов прижимают к боковой поверхности скважины или обсадной трубы посредством пружинного прижимного устройства для измерения влажности в слое толщиной до 150 мм под измерительным преобразователем;
- комбинированную - измерительный преобразователь помещают на поверхности грунта, а источник нейтронов в грунте - для измерения влажности грунта в слое между источником нейтронов и измерительным преобразователем.

1 — измерительный преобразователь; 2 — детектор; 3 — источник нейтронов; 4 — измерительный прибор; 5 — прижимное пружинное устройство
Рисунок 3 — Схемы измерений нейтронными влагомерами
5.10 При одновременном измерении плотности и влажности грунта радиоизотопными влагоплотномерами применяют следующие схемы измерений (см. рисунок 4):
- глубинную (скважинную) - измерительный преобразователь, содержащий детектор (детекторы) для совместной или раздельной регистрации плотности потока гамма-излучения и замедленных нейтронов и источники гамма-излучения и медленных нейтронов, помещают в скважину по ее центру. Такие измерения рекомендуется использовать для выявления разуплотненных зон и зон повышенной влажности в массивах грунтов и уточнения инженерно-геологических разрезов массивов естественного сложения;
- поверхностную, в которой измерительный преобразователь устанавливают на поверхности грунта для измерения плотности и влажности грунта в слое толщиной до 150-200 мм под измерительным преобразователем для измерения плотности грунта по 4.5, 4.8 и влажности по 4.9;
- поверхностно-глубинную, в которой измерительный преобразователь прижимают к боковой поверхности скважины или обсадной трубы для измерения плотности в слое толщиной до 120 мм и влажности грунта в слое толщиной до 150 мм под измерительным преобразователем;
- комбинированную, в которой измерительный преобразователь помещают на поверхности грунта, а источники нейтронов и гамма-излучения погружают поочередно в грунт для измерения плотности и влажности грунта в слое между измерительным преобразователем и источником ионизирующего излучения.

1 — измерительный преобразователь; 2 - источник гамма-излучения; 3 — экран; 4 — источник нейтронов; 5 — детектор гамма-излучения и нейтронов; 6 - измерительный прибор; 7 — пружинное прижимное устройство
Рисунок4 — Схемы измерений радиоизотопными влагоплотномерами
5.11 При глубинных (скважинных) измерениях в необсаженных скважинах или скважинах с переменным диаметром обсадных труб следует применять индикаторы диаметра (каверномеры и диаметромеры) в составе преобразователя плотномера, влагомера или влагоплотномера или в виде отдельных преобразователей. Индикаторы диаметра (каверномеры или диаметромеры) должны обеспечивать возможность измерения диаметра скважин до 90+5 мм с погрешностью не более ±2 мм при доверительной вероятности 0, 95.
5.12 При глубинных измерениях плотности (влажности) в процессе зондирования (пенетрации) следует учитывать требования ГОСТ 25260.
5.13 При поверхностно-глубинных измерениях плотности, влажности в скважинах следует применять прижимные пружинные устройства, обеспечивающие надежный контакт измерительного преобразователя со стенкой скважины (обсадной трубы), а также экранирующие устройства в составе измерительного преобразователя, обеспечивающие снижение влияния излучений, рассеянных от стенок скважины (трубы), до фоновых значений.
6.1 При глубинных (скважинных) радиоизотопных измерениях для определения плотности и (или) влажности следует пробурить скважину и (или) погрузить трубу (ГОСТ 8731, ГОСТ 8732, ГОСТ 9567). Диаметр скважины должен быть не более 90 мм, и скважина не должна быть заполнена водой. При соединении отрезков труб не допускается применять муфтовые или ниппельные соединения.
Отклонение диаметра скважины от принятого при градуировке прибора не должно превышать 2 мм при измерении плотности и 5 мм - при измерении влажности. Отклонения толщины стенки трубы от принятого при градуировке для стальных и титановых труб не должны быть более 0, 5 мм; для дюралевых и керамических труб - не более 1 мм.
Диаметр труб, погружаемых в грунт, должен быть не более 90 мм.
Толщина стенок стальных и титановых труб должна быть не более 6 мм; толщина стенок дюралевых и керамических труб - не более 10 мм.
Трубы и их стыки должны быть водонепроницаемыми.
При погружении обсадных труб в скважины зазор между стенкой скважины и трубой должен быть не более 1 мм.
При измерениях следует применять обсадные трубы, материал и толщина стенки которых не отличаются от принятых при градуировке приборов, в соответствии с приложением А.
6.2 Диаметр скважины (трубы) при поверхностно-глубинных радиоизотопных измерениях в скважинах (обсадных трубах) для определения плотности или влажности должен быть не более 146 мм. Скважины (трубы) не должны быть заполнены водой.
При определении плотности грунта альбедо и альбедо-абсорбционным методами, а также при поверхностных и комбинированных определениях влажности измерительный преобразователь, содержащий источник гамма-излучения или замедленных нейтронов, следует устанавливать на расчищенную и выровненную поверхность грунта. Опорная плоскость измерительного преобразователя должна быть плотно (без зазора) прижата к поверхности грунта.
При определениях плотности альбедо-абсорбционным методом и влажности по комбинированной схеме блок источника ионизирующего излучения помещают (внедряют) в грунт на глубину, фиксируемую с погрешностью не более ±0, 5 см.
При проведении измерений вблизи сооружений или выработок расстояние между измерительным преобразователем плотномера (влагомера) и стенкой сооружения или выработки с целью исключения их влияния должно быть не менее 50 см.
6.3 Градуировку и метрологическую аттестацию радиоизотопных плотномеров, влагомеров и влагоплотномеров проводят в заводских или лабораторных условиях по образцовым мерам (стандартным образцам) плотности и влажности, метрологически аттестованными в установленном порядке, а в полевых условиях - в соответствии с приложением А.
6.4 При глубинной (скважинной) схеме измерений преобразователь плотномера (влагомера, влагоплотномера) помещают в скважину на заданную глубину свыше 0, 4 м, центрируют по оси скважины посредством фиксаторов и проводят отсчеты по табло прибора.
В необсаженной скважине или скважине, обсаженной трубами переменного диаметра, диаметр труб измеряют при помощи диаметромера (или каверномера) на глубине, совпадающей с точкой отсчета радиоизотопного плотномера и нейтронного влагомера, с погрешностью не более ±1, 0 см.
6.5 Метрологическую аттестацию средств измерений: радиоизотопных плотномеров, влагомеров и влагоплотномеров проводят в соответствии с требованиями ГОСТ 8.009.
Поверку радиоизотопных плотномеров проводят по соответствующей методической инструкции, а нейтронных влагомеров - по ГОСТ 8.442*. Периодичность поверки определяют в зависимости от типа применяемого прибора.
6.6 Относительная основная погрешность плотномеров при определении плотности грунта должна быть не более ±3% при доверительной вероятности 0, 95.
6.7 Абсолютная основная погрешность влагомеров при определении объемной влажности грунта должна быть не более ±3% при доверительной вероятности 0, 95.
7.1 Плотность грунта определяют по градуировочной зависимости радиоизотопного плотномера (влагоплотномера), выраженной в виде графика, приведенного в приложениях Б и В, таблицы или формулы для принятых условий измерений.
Объемную влажность грунта wоб определяют по градуировочной зависимости нейтронного влагомера (радиоизотопного влагоплотномера), построенной с учетом влияния плотности сухого грунта ρd.
Градуировку радиоизотопного плотномера, нейтронного влагомера и радиоизотопного влагоплотномера проводят в соответствии с приложением А.
7.2 При измерении объемной влажности грунтов, содержащих растительные остатки в количестве, превышающем 5% по массе, при определении значения wоб по 7.1 следует вводить поправку wоб.испр, рассчитываемую по формуле
wоб.испр≈wоб.изм-mФоргρd, (1)
где wоб.изм - измеренная объемная влажность грунта, %;
Форг - среднее содержание по массе органического вещества, определяемое по ГОСТ 23740, %;
m - коэффициент, принимаемый равным 5·10-4;
ρd - плотность сухого грунта, г/см3.
7.3 Результаты радиоизотопных измерений и вычисленные значения плотности и объемной влажности грунта фиксируют в журнале измерений, форма которого приведена в приложениях Г и Д.
7.4 По результатам определений плотности ρ и объемной влажности wоб, %, вычисляют плотность сухого грунта ρd, г/см3, по формуле
, (2)
где ρв - плотность воды (1, 0 г/см3).
Влажность грунта по массе w, %, определяют по формуле
. (3)
Результаты вычисления w и ρd фиксируют в журнале измерений.
7.5 К журналу измерений прилагают схему расположения пунктов измерения или скважин.
При проведении измерений радиоизотопными плотномерами, нейтронными влагомерами и радиоизотопными влагоплотномерами соблюдают требования [1]-[3].
______________________________
* В Российской Федерации действует ГОСТ Р 8.666-2009.
Приложение А
(обязательное)
А.1 Градуировку радиоизотопных приборов проводят на метрологически аттестованных образцовых мерах (стандартных образцах) плотности и влажности грунта для наиболее распространенных условий измерений.
А.2 При построении градуировочной зависимости радиоизотопного плотномера для рабочих условий измерений (например, для обсадной трубы, заданных материалов, диаметра и толщины стенки) в диапазоне значений плотности 0, 8-2, 3 г/см3 (800-2300 кг/м3) должны быть изготовлены и метрологически аттестованы не менее пяти образцовых мер плотности номинальными значениями в следующих поддиапазонах 0, 8-1, 0; 1, 0-1, 3; 1, 3-1, 6; 1, 6-2, 0; 2, 0-2, 3 г/см3.
А.3 При построении градуировочной зависимости нейтронного влагомера для рабочих условий измерений в диапазоне объемной влажности 0%-100% должны быть изготовлены и метрологически аттестованы образцовые меры объемной влажности wоб, номинальными значениями в следующих поддиапазонах: 0%-5%; 5%-20%; 20%-35%; 35%-60%; 60%-100%; 100% (вода). Одновременно эти же образцовые меры могут быть аттестованы по массовой (весовой) влажности.
По крайней мере две из указанных образцовых мер объемной влажности должны быть изготовлены с постоянным значением плотности сухого грунта ρd, определенным с погрешностью не более 200 кг/м3.
А.4 Образцовые меры плотности (ОМП) и объемной влажности (ОМВ) должны быть изготовлены из материала, аналогичного по химическому составу алюмосиликатным грунтам с суммарным содержанием химических элементов с атомным номером более 50 (железо, марганец), не превышающим 10%.
Для изготовления образцовых мер объемной влажности не должны применяться материалы, содержащие нейтронопоглощающие химические элементы: хлор - в количестве более 0, 1%; бор - более 0, 001%; редкоземельные - более 1·10-4%.
А.5 Материал образцовой меры (стандартного образца) должен быть однородным по плотности и влажности.
Однородность изготовленной образцовой меры определяют с помощью специальных измерений преобразователями плотномера, влагомера, влагоплотномера, погружением измерительного преобразователя в трубу, установленную по центру образцовой меры.
При изготовлении образцовой меры однородность по объемной влажности оценивают путем отбора образцов и определения в них влажности по ГОСТ 5180. Из каждой меры должно быть отобрано не менее 25-30 образцов. Коэффициент вариации показаний плотномера и влагомера Nρ, w (в единицах отсчетов) в образцовых мерах не должен быть более 0, 05 и должен определяться по формуле
, (A.1)
где Nρ, w, N̅ρ, w - средние значения показаний (в единицах отсчетов) плотномера, влагомера при каждом i-м положении измерительного преобразователя и в средней мере соответственно;
n - число измерений.
Коэффициент вариации средней объемной влажности материала в мере Vw̅ не должен быть более 0, 025 и должен определяться по формуле
, (A.2)
где wi, w̅ - значения влажности по ГОСТ 5180 в i-м образце грунта и в среднем в образцовой мере;
n - число образцов.
А.6 Образцовые меры плотности могут одновременно быть образцовыми мерами объемной влажности.
А.7 Образцовые меры плотности и объемной влажности (более 5%) для испытаний и градуировки глубинных радиоизотопных плотномеров, нейтронных влагомеров и радиоизотопных влагоплотномеров размещают в цилиндрических емкостях (баках) диаметром D≥800 мм, изготовленных из стального листа по ГОСТ 1050, образцовые меры объемной влажности менее 5% - в емкостях диаметром D≥1000 мм. Высота емкости (бака) для образцовой меры должна быть не менее расстояния от детектора до нижнего конца измерительного преобразователя плюс 300 мм.
Образцовые меры плотности и влажности для испытаний и градуировки поверхностных радиоизотопных плотномеров, нейтронных влагомеров и радиоизотопных влагоплотномеров должны изготавливаться в зависимости от типа прибора.
А.8 Исходными материалами для изготовления образцовых мер плотности и влажности могут быть:
- песок однородной фракции;
- однородный глинопорошок (из местных глин);
- керамзитовый мелкий гравий (фракции диаметром 5 мм), плотностью в сухом состоянии ρd≥0, 800 г/см3 (800 кг/м3);
- гравий и щебень однородных фракций;
- стекло (в виде листов или гранул), не содержащее примесей тяжелых и нейтронопоглощающих элементов;
- вода, не содержащая примесей тяжелых и нейтронопоглощающих элементов.
А.9 Образцовые меры плотности и влажности могут быть метрологически аттестованы как временные и постоянные. Временные меры метрологически аттестуют на период испытаний радиоизотопного плотномера, нейтронного влагомера, радиоизотопного влагоплотномера или на срок не более 3 мес.; постоянные меры - на срок более года.
А.10 Поверхность образцовых мер после их изготовления должна быть герметизирована для предотвращения их высыхания и повреждения.
А.11 На наружной поверхности емкости (бака), содержащей образцовую меру, должны быть нанесены номер меры и номинальные значения плотности и объемной влажности.
А.12 В емкостях для образцовых мер или в изготовленные меры плотности и влажности, предназначенные для испытаний и градуировки глубинных радиоизотопных плотномеров, устанавливают обсадные трубы необходимого номинала способом, соответствующим методике полевых испытаний.
А.13 При градуировке глубинных радиоизотопных приборов измерительный преобразователь прибора помещают на заданную глубину в обсадную трубу, установленную в образцовой мере плотности (влажности), и проводят не менее 10 измерений плотности потока гамма-излучения (замедленных нейтронов). Измерения повторяют при расположении преобразователя в трех-четырех точках по глубине меры для определения коэффициента вариации
по формуле (А.1).
А.14 ОМП аттестуют по результатам измерения объема емкостей для ОМП и массы помещенного в них материала.
А.15 ОМВ грунта аттестуют по результатам определения средней влажности образцов материала в мере по ГОСТ 5180 и измерения плотности материала в образцовой мере по А.14.
А.16 По результатам измерений средней плотности потока гамма-излучения (медленных нейтронов) и определения средней плотности (объемной влажности) материала в образцовых мерах строят градуировочные зависимости радиоизотопного плотномера, приведенные в приложении Б, нейтронного влагомера - в приложении В.
Градуировочные зависимости влагомера следует строить в виде серии графиков для различных значений ρd в рабочем диапазоне измерений; в том числе в двух мерах с различными значениями объемной влажности, отличающихся не менее чем на 20% wоб (при постоянном значении плотности сухого материала).
А.17 Допускается представлять градуировочные зависимости плотномера и влагомера в виде формул (алгоритмов).
А.18 Пределы погрешности градуировки при построении градуировочных зависимостей плотномера и влагомера
оценивают по формуле
, (А.3)
где
,
,
- пределы суммарной, систематической и случайной погрешностей градуировки прибора по значениям плотности и влажности в аттестованных ОМП и ОМВ соответственно. Пределы относительной погрешности измерения плотности в ОМП и абсолютной погрешности в ОМВ не должны быть более указанных в 6.6 и 6.7.
А.19 Градуировочные зависимости радиоизотопного плотномера, нейтронного влагомера, радиоизотопного влагоплотномера, построенные по метрологически аттестованным образцовым мерам плотности и влажности применительно к рабочим условиям измерений, являются основными для проведения измерений в этих условиях; для условий измерений, отличающихся от принятых при градуировке, указанные выше градуировочные зависимости являются опорными.
А.20 Градуировку (параметрическое опробование) радиоизотопных плотномеров, нейтронных влагомеров, радиоизотопных влагоплотномеров в полевых условиях проводят сравнением показаний приборов с результатами определения плотности, влажности образцов по ГОСТ 5180, отобранных на участке градуировки.
А.21 Для построения градуировочных зависимостей плотномера, влагомера, влагоплотномера выбирают однородные участки, плотность грунта которых находится в поддиапазонах 0, 8-1, 0; 1, 0-1, 3; 1, 3-1, 6; 1, 6-2, 0; 2, 0-2, 3; (2, 5) г/см3; объемная влажность - в поддиапазонах 0%-5%; 2%-20%; 20%-35%; 35%-60%; 60%-100%.
Должны быть выбраны по крайней мере два участка, грунты которых имеют объемную влажность, отличающуюся более чем на 20% при постоянной плотности сухого грунта, определенной с погрешностью не более ±0, 2 г/см3.
А.22 Размеры участков, выбранных для градуировки, должны быть не менее:
- для схем измерений [см. рисунки 1а), 1в); 3а), 3в); 4а), 4б)] - в плане 1000х1000 мм, по глубине при wоб<5% - ≈1000 мм, wоб>5% - ≈800 мм;
- для схем измерений [см. рисунки 1б); 2б); 3б); 4в); 4г)] - в плане 600х600 мм, по глубине - 400-500 мм.
А.23 Градуировку приборов следует проводить при тех же условиях, что и производственные измерения (вид грунта, материал и размеры обсадных труб, диаметр скважины).
А.24 Предварительную оценку однородности участка, выбранного для градуировки, проводят по результатам измерений радиоизотопным плотномером, нейтронным влагомером (радиоизотопным влагоплотномером), проведенных по А.25.
Коэффициент вариации
показаний (в единицах отсчетов) радиоизотопного плотномера, нейтронного влагомера, определяемый по формуле (А.1), не должен быть более 0, 05.
При этом Niρ, w, N̅ρ, w - средние значения показаний (в единицах отсчетов) плотномера, влагомера при каждом i-м положении измерительного преобразователя и в среднем на участке соответственно;
n - число однократных измерений.
Коэффициент вариации средних значений плотности и влажности грунта не должен быть более 0, 025.
А.25 Градуировку радиоизотопных плотномеров, нейтронных влагомеров, радиоизотопных влагоплотномеров проводят в следующем порядке.
При измерениях по глубинной схеме [см. рисунок 3а)] по центру выбранного участка проводят бурение скважины или погружение трубы (на глубину более 1 м), измеряют диаметр скважины в каждой точке радиоизотопных измерений, помещают измерительный преобразователь на заданные глубины (с интервалом по глубине не более 10 см), центрируют его и проводят не менее 10 отсчетов на каждой глубине. При измерениях в скважине с прижимным устройством измерительный преобразователь помещают на заданной глубине, фиксируют положение преобразователя при прижатии к стенке скважины последовательно в трех положениях относительно оси скважины и проводят не менее пяти отсчетов по прибору в каждом положении.
При измерениях по поверхностной схеме [см. рисунок 3б)] проводят измерения не менее чем в 10 точках участка (не менее пяти отсчетов по прибору в каждой точке).
При измерениях по поверхностной комбинированной схеме [см. рисунок 4г)] блок источника ионизирующего излучения помещают на заданную глубину в грунт и проводят измерения не менее чем в трех положениях детектора относительно источника ионизирующего излучения (не менее пяти отсчетов в каждом положении). Измерения повторяют не менее чем в трех пунктах участка.
А.26 На каждом участке градуировки по завершении измерений плотномером (влагомером, влагоплотномером) отбирают не менее 15-20 образцов грунта для определения плотности и объемной влажности грунта, не менее двух образцов для определения плотности частиц грунта по ГОСТ 5180, в грунтах с возможным присутствием органического вещества - не менее трех образцов для определения его содержания по ГОСТ 23740.
Образцы отбирают послойно, с интервалом по глубине 100-150 мм.
Среднюю плотность
, среднюю влажность по массе w̅ (весовую) и плотность сухого грунта ρd вычисляют для каждого участка градуировки.
Среднюю объемную влажность грунта w̅об вычисляют по формуле
, (A.4)
где w̅ - средняя влажность грунта, %;
- средняя плотность сухого грунта, г/см3;
ρв - плотность воды, равная 1, 0 г/см3.
Для глинистых грунтов и грунтов, содержащих гипс, дополнительно определяют содержание связной воды в образцах:
- для глинистых грунтов - при сушке образцов при температуре 105°С до постоянной массы и при температуре 250°С - в течение 1-2 ч;
- для грунтов, содержащих гипс, - при сушке образцов при температуре 65°С и 180°С до постоянной массы.
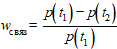
Содержание связанной воды по массе в образце wсвяз, %, определяют по формуле
, (A.5)
где p(t1) и p(t2) - соответственно масса образца грунта после сушки при температурах:
- для глинистых грунтов t1=105°C и t2=250°C;
- для грунтов, содержащих гипс, t1=65°C и t2=180°C.
Среднее объемное содержание связанной воды вычисляют по формуле (А.4).
Содержание органических веществ Форг определяют по ГОСТ 23740.
Среднюю суммарную объемную влажность wоб∑, %, вычисляют по формуле
w̅об∑=w̅об.своб+ w̅об.связ+5·10-4Форгρd. (A.6)
Среднеквадратическую погрешность определения объемной влажности грунта
вычисляют по формуле
. (A.7)
Среднеквадратическую погрешность определения плотности грунта Sp вычисляют по формуле
. (A.8)
А.27 Градуировочную зависимость плотномера строят по средним значениям показаний прибора и результатам определения средней плотности грунта на участках градуировки.
Градуировочную зависимость влагомера строят по средним значениям показаний приборов и результатам определения средней объемной влажности с учетом средней плотности сухого грунта на участках градуировки.
На графики наносят средние значения плотности: сухого грунта участков градуировки, по которым строят градуировочные зависимости показаний влагомера от объемной влажности для различных (с интервалом 100-200 кг/м3). На градуировочных графиках или в таблицах также указывают плотность частиц грунта на каждом участке градуировки.
А.28 Основную погрешность радиоизотопных плотномеров, нейтронных влагомеров оценивают сравнением показаний приборов и результатов определения плотности и объемной влажности образцов однородного грунта, отобранных на участке измерений в условиях, соответствующих условиям градуировки и массовых измерений радиоизотопными плотномерами, влагоплотномерами, нейтронными влагомерами.
Оценку основной погрешности приборов при измерении плотности и влажности проводят на участках (в слоях грунта, размеры и степень однородности которых соответствуют А.22-А.24).
Измерения плотномером, влагомером, влагоплотномером, отбор образцов и определения плотности и влажности грунта проводят в соответствии с А.25-А.26.
А.29 Обработку результатов измерений нейтронным влагомером, радиоизотопным влагоплотномером проводят с учетом известных (измеряемых плотномером или по ГОСТ 5180) значений плотности грунта, если обработка не проводится автоматически на месте испытаний.
Обработку проводят в следующей последовательности:
1) По показаниям влагомера определяют приблизительное значение объемной влажности w'об (в долях единицы) с использованием графика градуировки для произвольного значения плотности сухого грунта ρ'd.
2) Вычисляют приблизительное значение плотности сухого грунта ρ'd по формуле
ρ'd=ρ-w'обρв, (A.9)
где ρ - измеренная прибором плотность грунта, г/см3;
ρd - плотность воды, равная 1, 0 г/см3.
3) По показаниям влагомера и интерполированному графику градуировки, соответствующему вычисленному значению ρd, определяют значение объемной влажности
(во втором приближении). Интерполяцию завершают, когда вычисленные значения объемной влажности в двух последовательных приближениях отличаются не более чем на 1% абс.
4) В результаты измерений вводят поправки на содержание связанной воды и органического вещества.
А.30 Обработку результатов однократных измерений при оценке основных погрешностей приборов проводят в следующей последовательности:
- с учетом плотности сухого грунта определяют объемную влажность непосредственно по табло прибора;
- в результаты измерений объемной влажности вводят поправки на среднее содержание связанной воды и органического вещества на участке измерений;
- вычисляют влажность по массе (весовую) в слое грунта по формуле (3), которую сравнивают с результатами определенных значений влажности образцов по ГОСТ 5180. Пределы основных погрешностей плотномеров и влагомеров не должны быть более значений, указанных в 6.6 и 6.7.
В противном случае следует переградуировать каждый прибор.
Приложение Б
(рекомендуемое)

Приложение В
(рекомендуемое)

Рисунок В.1
Приложение Г
(рекомендуемое)
Организация _____________________________________________________________
Экспедиция ______________________________________________________________
Партия (отряд) __________________________________________________________
Тема (заказ) ____________________________________________________________
Объект __________________________________________________________________
Участок _________________________________________________________________
Абсолютная отметка ______________________________________________________
Местоположение __________________________________________________________
Тип радиоизотопного плотномера __________________________________________
Номер радиоизотопного плотномера ________________________________________
Тип нейтронного влагомера _______________________________________________
Номер нейтронного влагомера _____________________________________________
Дата градуировки радиоизотопного плотномера _____________________________
Дата градуировки нейтронного влагомера __________________________________
Дата поверки радиоизотопного плотномера _________________________________
Дата поверки нейтронного влагомера ______________________________________
Начат ______________ 20_______ г. Окончен _____________________ 20____ г.
Приложение Д
(рекомендуемое)
Число ___________________
Месяц ___________________
Год _____________________
|
Номер пункта измерения или скважины |
Глубина, погонный метр |
Вид грунта |
Время измерения, с, мин |
Диаметр скважин, мм |
Отсчет радиоизотопного плотномера |
Плотность грунта, кг/м3 |
Отсчет нейтронного влагомера |
Объемная влажность, % |
Плотность сухого грунта, кг/м3 |
Объемная влажность грунта, %, с поправкой на Форг |
Примечание | ||
|
Единичные измерения |
Среднее |
Единичные измерения |
Среднее | ||||||||||
Библиография
|
[1] ОСПОРБ-99 |
Основные санитарные правила обеспечения радиационной безопасности, утвержденные Минздравом России |
|
[2] НРБ-99 |
Нормы радиационной безопасности |
|
[3] НП-053-2004 |
Правила безопасности при транспортировании радиоактивных веществ |


