ГОСТ 24940-2016 ЗДАНИЯ И СООРУЖЕНИЯ. МЕТОДЫ ИЗМЕРЕНИЯ ОСВЕЩЕННОСТИ
Введен в действие приказом Федерального агентства по техническому регулированию и метрологии от 20 октября 2016 г. N 1442-ст
Межгосударственный стандарт ГОСТ 24940-2016
"ЗДАНИЯ И СООРУЖЕНИЯ. МЕТОДЫ ИЗМЕРЕНИЯ ОСВЕЩЕННОСТИ"
Buildings and structures. Methods for measuring the illuminance
Дата введения - 1 апреля 2017 г.
Введен впервые
Предисловие
Цели, основные принципы и основной порядок проведения работ по межгосударственной стандартизации установлены ГОСТ 1.0-2015 "Межгосударственная система стандартизации. Основные положения" и ГОСТ 1.2-2015 "Межгосударственная система стандартизации. Стандарты межгосударственные, правила и рекомендации по межгосударственной стандартизации. Правила разработки, принятия, обновления и отмены"
Сведения о стандарте
1 Разработан Федеральным государственным бюджетным учреждением "Научно-исследовательский институт строительной физики Российской академии архитектуры и строительных наук" (НИИСФ РААСН), Обществом с ограниченной ответственностью "ЦЕРЕРА-ЭКСПЕРТ" (ООО "ЦЕРЕРА-ЭКСПЕРТ")
2 Внесен Техническим комитетом по стандартизации ТК 465 "Строительство"
3 Принят Межгосударственным советом по стандартизации, метрологии и сертификации (протокол от 31 августа 2016 г. N 90-П)
За принятие проголосовали:
|
Краткое наименование страны по MК (ИСО 3166) 004-97
|
Код страны по MК (ИСО 3166) 004-97
|
Сокращенное наименование национального органа по стандартизации
|
|
Армения
Беларусь
Киргизия
Россия
|
AM
BY
KG
RU
|
Минэкономики Республики Армения
Госстандарт Республики Беларусь
Кыргызстандарт
Росстандарт
|
4 Приказом Федерального агентства по техническому регулированию и метрологии от 20 октября 2016 г. N 1442-ст межгосударственный стандарт ГОСТ 24940-2016 введен в действие в качестве национального стандарта Российской Федерации с 1 апреля 2017 г.
5 Настоящий стандарт соответствует следующим европейским региональным стандартам в части требований:
- EN 12464-1:2011 "Свет и освещение. Освещение рабочих мест - Часть 1. Рабочие места внутри зданий" ("Light and lighting - Lighting of work places - Part 1: Indoor work places, NEQ) в части процедуры измерения средней освещенности;
- EN 12464-2:2014 "Освещение рабочих мест - Часть 2. Рабочие места вне зданий" ("Light and lighting - Lighting of work places - Part 2: Outdoor work places", NEQ) в части процедуры измерения средней освещенности;
- EN 13201-3:2015 "Освещение дорог - Часть 3. Расчет параметров" ("Road lighting - Part 3: Calculation of performance", NEQ) в части выбора контрольных точек для измерения освещенности;
- EN 13201-4:2015 "Освещение дорог - Часть 4. Методы измерения параметров освещения" ("Road lighting - Part 4: Methods of measuring lighting performance", NEQ) в части методов измерения освещенности
6 Введен впервые
1 Область применения
Настоящий стандарт устанавливает методы определения минимальной, средней и цилиндрической освещенностей, коэффициента естественной освещенности (КЕО) в помещениях зданий и сооружений и на рабочих местах, минимальной освещенности мест производства работ вне зданий, средней освещенности улиц, дорог, площадей, полуцилиндрической освещенности пешеходных зон.
2 Нормативные ссылки
В настоящем стандарте использованы нормативные ссылки на следующие межгосударственные стандарты:
ГОСТ 8.014-72 Государственная система обеспечения единства измерений. Методы и средства поверки фотоэлектрических люксметров
ГОСТ 8.023-2003 Государственная система обеспечения единства измерений. Государственная поверочная схема для средств измерений световых величин непрерывного и импульсного излучения
ГОСТ 8.332-2013 Государственная система обеспечения единства измерений. Световые измерения. Значения относительной спектральной световой эффективности монохроматического излучения для дневного зрения. Общие положения
ГОСТ 8711-93 (МЭК 51-2-84) Приборы аналоговые показывающие электроизмерительные прямого действия и вспомогательные части к ним. Часть 2. Особые требования к амперметрам и вольтметрам
ГОСТ 26824-2010 Здания и сооружения. Методы измерения яркости
Примечание - При пользовании настоящим стандартом целесообразно проверить действие ссылочных стандартов на территории государства по действующему указателю стандартов, составленному по состоянию на 1 января текущего года, и по соответствующим информационным указателям, опубликованным в текущем году. Если ссылочный стандарт заменен (изменен), то при пользовании настоящим стандартом следует руководствоваться заменяющим (измененным) стандартом. Если ссылочный стандарт отменен без замены, то положение, в котором дана ссылка на него, применяется в части, не затрагивающей эту ссылку.
3 Термины и определения
В настоящем стандарте применены термины по ГОСТ 26824, а также следующие термины с соответствующими определениями:
3.1 аварийное освещение (emergency lighting): Освещение, предусматриваемое в случае выхода из строя питания рабочего освещения.
3.2 коэффициент естественной освещенности; КЕО (daylight factor) e, %: Отношение естественной освещенности, создаваемой в некоторой точке заданной плоскости внутри помещения светом неба (непосредственным или после отражения), к одновременному значению наружной горизонтальной освещенности, создаваемой светом полностью открытого небосвода.
3.3 коэффициент эксплуатации (maintenance factor) MF, отн. ед.: Коэффициент, равный отношению освещенности или яркости в заданной точке, создаваемой осветительной установкой в конце установленного срока эксплуатации, к освещенности или яркости в той же точке в начале эксплуатации.
Примечание - Коэффициент эксплуатации обратно пропорционален коэффициенту запаса Кз:
MF=1/Кз.
3.4 минимальная освещенность (minimum illuminance) Емин, лк: Наименьшее значение освещенности в помещении, на освещаемом участке, в рабочей зоне.
3.5 освещенность (illuminance) E, лк: Физическая величина, определяемая отношением светового потока, падающего на элемент поверхности, содержащий рассматриваемую точку, к площади этого элемента.
3.6 относительная спектральная световая эффективность монохроматического излучения с длиной волны λ (spectral luminous efficiency) V(λ), отн. ед.: Отношение двух потоков излучения с длинами волн λm и λ соответственно, вызывающих в точно определенных фотометрических условиях зрительные ощущения одинаковой силы. Длину волны λm выбирают так, чтобы максимальное значение этого отношения равнялось единице.
3.7 охранное освещение (security lighting): Разновидность рабочего освещения при отсутствии специальных технических средств охраны вдоль границ территорий, охраняемых в ночное время.
3.8 полуцилиндрическая освещенность (semi-cylindrical illuminance) Епц, лк: Характеристика насыщенности светом пространства и тенеобразующего эффекта освещения для наблюдателя, движущегося по улице параллельно ее оси.
Примечание - Определяется как средняя плотность светового потока на поверхности вертикально расположенного (на продольной линии улицы, на высоте 1,5 м) полуцилиндра, радиус и высота которого стремятся к нулю.
3.9 рабочее освещение (work lighting): Освещение, обеспечивающее нормируемые освети тельные условия (освещенность, качество освещения) в помещениях и местах производства работ вне зданий.
3.10 резервное освещение (standby lighting): Вид аварийного освещения для продолжения работ в случае отключения рабочего освещения.
3.11 средний коэффициент естественной освещенности (average daylight factor) eav, %: Среднее значение коэффициента естественной освещенности по площади помещения или части помещения.
3.12 средняя освещенность (average illuminance) Еср, лк: Освещенность, усредненная по площади освещаемого помещения, участка, рабочей зоны.
3.13 цилиндрическая освещенность (cylindrical illuminance) Ец, лк: Характеристика насыщенности помещения светом, определяемая как средняя плотность светового потока на поверхности вертикально расположенного в помещении цилиндра, радиус и высота которого стремятся к нулю.
3.14 эвакуационное освещение (escape lighting): Вид аварийного освещения для эвакуации людей или завершения потенциально опасного процесса.
4 Средства измерений
4.1 Для измерения освещенности следует использовать средства измерений - люксметры с измерительными преобразователями излучения, имеющими предел допускаемой относительной погрешности не более 10% с учетом погрешности спектральной коррекции, определяемой как отклонение относительной спектральной чувствительности измерительного преобразователя излучения от относительной спектральной световой эффективности монохроматического излучения для дневного зрения V(λ) по ГОСТ 8.332, погрешности калибровки абсолютной чувствительности и погрешности, вызванной нелинейностью световой характеристики.
4.2 Люксметры должны быть поверены и иметь действующие свидетельства о поверке средств измерений. Поверку люксметров осуществляют органы стандартизации и метрологии в соответствии с ГОСТ 8.014 и ГОСТ 8.023.
4.3 Для измерения напряжения в сети следует применять вольтметры класса точности не ниже 1,5 по ГОСТ 8711.
4.4 Перечень рекомендуемых средств измерений приведен в приложении А.
5 Подготовка к измерениям
5.1 Перед измерениями освещенности и КЕО выбирают и наносят контрольные точки для измерения освещенности и КЕО на план помещения, сооружения или освещаемого участка (или исполнительный чертеж осветительной установки) с указанием размещения светильников.
5.2 Перед измерением освещенности от искусственного освещения следует провести замену всех перегоревших ламп и чистку светильников. Измерение освещенности также допускается проводить без предварительной подготовки осветительной установки, что должно быть зафиксировано при оформлении результатов измерения.
5.3 Измерение КЕО на соответствие действующим нормам проводят в помещениях, свободных от мебели и оборудования, не затеняемых озеленением и деревьями, при вымытых и исправных светопрозрачных заполнениях светопроемов. При этом средневзвешенный коэффициент отражения стен, потолка, пола и заполнения оконных проемов в жилых помещениях должен составлять не менее 0,5.
5.4 Для измерения КЕО выбирают дни со сплошной облачностью, покрывающей весь небосвод. Искусственное освещение в помещениях на период измерений выключают.
5.5 Размещение контрольных точек при измерении минимальной освещенности помещений
5.5.1 Контрольные точки измерения минимальной освещенности от рабочего и резервного освещения размещают в центре помещения под светильниками, между светильниками и их рядами, у стен на расстоянии от 0,15L до 0,25L, но не более 1 мотстены, где L - расстояние между рядами светильников.
5.5.2 Контрольные точки для измерения минимальной освещенности от эвакуационного освещения следует размещать на полу по пути эвакуации людей из помещения.
5.5.3 Примеры расположения контрольных точек измерения освещенности в помещениях производственных и общественных зданий при использовании для освещения светильников с точечными и линейными источниками света приведены на рисунках Б.1, Б.2 приложения Б.
5.6 Размещение контрольных точек при измерении средней освещенности помещений и мест производства работ вне зданий и охранном освещении
5.6.1 Для проведения измерений средней освещенности применяют сетку контрольных точек, при которой контрольные точки размещают в узлах прямоугольной решетки в пределах зоны выполнения работ или помещения в соответствии с требованиями [1], [2]. Отношение длины ячейки решетки к ее ширине должно быть в пределах от 0,5 до 2. Максимальный размер ячейки решетки в метрах вычисляют по формуле
p=0,2·5lg(d),
(1)
где d - наибольший размер зоны выполнения работ или помещения, м.
Максимальный размер шага решетки р не должен превышать 10 м.
Полосу 0,5 м границ зоны или от стен или границ зоны производства работ исключают из измеряемой зоны, за исключением случаев, когда там расположены рабочие места.
Примечание - Например, р = 0,2 м при d = 1 м; р = 1 м при d = 10 м; р = 5 м при d = 100 м.
Типовое размещение контрольных точек в помещениях и рабочих зонах помещений, а также их число приведены в приложении Б.
5.6.2 При размещении контрольных точек на плане помещения их сетка не должна совпадать с сеткой размещения светильников. В случае совпадения сеток число контрольных точек на плане помещения целесообразно увеличить в соответствии с таблицей Б.1 приложения Б. При размещении в помещении крупногабаритного оборудования контрольные точки не допускается располагать на оборудовании. Если контрольные точки совпадают с оборудованием, то сетку контрольных точек следует сделать более частой и исключить точки, попадающие на оборудование.
5.6.3 При охранном освещении контрольные точки располагают по периметру освещаемой территории, число контрольных точек по периметру освещаемой территории должно быть не менее пяти.
5.7 Размещение контрольных точек при измерении цилиндрической освещенности помещений
5.7.1 Контрольные точки измерения цилиндрической освещенности следует размещать равномерно по помещению под светильниками, между светильниками и на центральной продольной оси помещения на высоте 1,5 м над полом и на расстоянии не менее 1,0 м от стены.
5.7.2 Число контрольных точек для измерения цилиндрической освещенности должно быть не менее пяти.
5.8 Размещение контрольных точек при измерении средней освещенности улиц, дорог, площадей
5.8.1 На освещаемом объекте определяют расчетное поле или контрольный участок. Для объектов со стандартной геометрией контрольный участок представляет собой часть прямолинейного горизонтального полотна дороги, ширина которого равна ширине всей проезжей части Wr (при проезде в одну сторону), а длина - шагу S между осветительными приборами, расположенными по одной стороне дороги или по центру при установке осветительных приборов по осевой линии. При определении освещенности для шахматной схемы расположения осветительных приборов длина контрольного участка S определяется проекцией на продольную ось дороги расстояния между двумя соседними осветительными приборами, расположенными на противоположных сторонах проезжей части. Контрольные точки для измерения средней освещенности улиц, дорог и площадей должны быть расположены равномерно на участке дорожного покрытия, ограниченном шагом светильников, на расстоянии D = S/N, где S - шаг между осветительными приборами.
При шаге между осветительными приборами S≤30 м N = 10, при шаге между осветительными приборами S>30 м D≤3 м.
d - расстояние между контрольными точками в поперечном направлении, d = Wr/n, где n - количество расчетных точек в поперечном направлении, n ≥ 3 (n = 3 при d ≤ 1,5 м). Расстояние крайних контрольных точек на контрольном участке - D/2 в продольном направлении и d/2 в поперечном направлении, как показано на рисунке Б.3 приложения Б.
5.8.2 Число контрольных точек должно быть не менее десяти. Примеры расположения контрольных точек при различном расположении светильников, а также в местах закругления и пересечения при ведены на рисунках Б.4 - Б.6 приложения Б.
5.9 Размещение контрольных точек при измерении коэффициента естественной освещенности помещений
5.9.1 Контрольные точки размещают на пересечении вертикальной плоскости характерного разреза помещения и условной рабочей поверхности (или пола). Первую и последнюю точки принимают на расстоянии 1 м от поверхности наружных стен и внутренних перегородок (или оси колонн).
5.9.2 Число контрольных точек должно быть не менее пяти. В число контрольных точек должна входить точка, в которой нормируется освещенность.
5.10 Размещение контрольных точек при измерении вертикальной освещенности окон зданий
5.10.1 Контрольные точки размещают на внешней поверхности окна.
5.10.2 Число контрольных точек должно быть не менее пяти для каждого измеряемого окна. Пример расположения контрольных точек приведен на рисунке Б.7 приложения Б.
6 Проведение измерений
6.1 Измерение освещенности от искусственного освещения
6.1.1 Измерение освещенности при рабочем и аварийном освещении, а также вертикальной освещенности на окнах при засветке помещений наружным освещением следует проводить в темное время суток, когда отношение естественной освещенности к искусственной составляет не более 0,1, измерение освещенности при эвакуационном освещении - когда значение естественной освещенности не превышает 0,1 лк.
При измерениях освещенности помещений от искусственного освещения в дневное время допускается занавешивание окон темной, не пропускающей свет тканью.
6.1.2 В начале и в конце измерений следует измерить напряжение на щитках распределительных сетей освещения. Результаты измерения заносят в протоколы, форма которых приведена в приложении В.
6.1.3 Измерения следует проводить после стабилизации светового потока осветительной установки.
6.1.4 При измерениях освещенности на измерительный фотометрический датчик не должны падать тень человека, деревьев, посторонних предметов, а также свет от других источников света.
6.1.5 Освещенность на рабочем месте определяют прямыми измерениями на рабочей поверхности, указанной в нормативных документах.
При комбинированном освещении рабочих мест освещенность измеряют сначала от светильников общего освещения, затем включают светильники местного освещения в их рабочем положении и измеряют суммарную освещенность от светильников общего и местного освещения.
6.1.6 Измерение цилиндрической освещенности проводят люксметром, снабженным специальной насадкой. Измерение цилиндрической освещенности в каждой контрольной точке допускается также проводить путем проведения четырех измерений вертикальной освещенности во взаимно перпендикулярных плоскостях.
6.1.7 Результаты измерения освещенности оформляют в соответствии с приложением В.
6.2 Измерение коэффициента естественной освещенности
6.2.1 При определении коэффициента естественной освещенности проводят одновременные измерения освещенности в контрольных точках внутри помещений Евн и наружной освещенности Енар на горизонтальной площадке, освещаемой всем светом небосвода (например, снаружи на кровле здания или на другом возвышенном месте), с учетом требований 5.3.
6.2.2 Результаты измерений заносят в протокол, форма которого приведена в приложении В.
6.3 Измерение полуцилиндрической освещенности
6.3.1 Измерение полуцилиндрической освещенности выполняют люксметром, снабженным специальной насадкой. Измерение полуцилиндрической освещенности в каждой контрольной точке допускается также проводить путем проведения трех измерений вертикальной освещенности во взаимно перпендикулярных плоскостях: одно измерение по направлению преимущественного движения Ев1 и два измерения в плоскости, перпендикулярной плоскости движения Ев2 и Ев3. При измерении полуцилиндрической освещенности центр фотометрической головки люксметра должен быть расположен на высоте 1,5 м над уровнем дорожного покрытия. Светочувствительная поверхность фотометрической головки должна быть расположена в плоскости основания вертикально ориентированного полуцилиндра.
6.4 Измерение вертикальной освещенности на окнах зданий
6.4.1 Измерение вертикальной освещенности на окнах зданий при засветке всеми видами установок наружного освещения проводят люксметром, измерительную головку которого размещают вертикально с внешней стороны окна на остеклении или импостах окна.
Искусственное освещение в помещении на время проведения измерений отключают.
7 Обработка результатов измерений
7.1 Определение параметров искусственного освещения
7.1.1 Минимальную освещенность в помещениях и вне зданий вычисляют как минимальные измеренные значения освещенности из последовательности их значений в контрольных точках Емин по формуле
,(2)
где Еi - измеренные значения освещенности в контрольных точках.
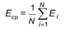
7.1.2 Среднюю освещенность в помещении Еср, лк, вычисляют как среднеарифметическое значение измеренных освещенностей в контрольных точках помещения по формуле
,(3)
где N - число точек измерения;
Еi - измеренные значения освещенности в контрольных точках помещения, лк.
7.1.3 Среднюю освещенность улиц, дорог, площадей определяют как среднеарифметическое значение измеренных освещенностей Еi в контрольных точках дорожного покрытия по формуле (3).
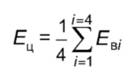
7.1.4 Цилиндрическую освещенность Ец, лк, в контрольной точке вычисляют как среднеарифметическое значение освещенностей, измеренных в четырех взаимно перпендикулярных вертикальных плоскостях, по формуле
,(4)
где Евi - измеренные значения освещенности во взаимно перпендикулярных вертикальных плоскостях, лк.
7.1.5 Полуцилиндрическую освещенность Епц, лк, рассчитывают по формуле
(5)
где Ев1, Ев2 и Ев3 - измеренные значения вертикальной освещенности, лк, определенные в 6.3.1.
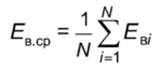
7.1.6 Среднюю вертикальную освещенность на внешней поверхности окна при измерении уровня засветки окон зданий, создаваемых всеми видами установок наружного освещения, включая уличное, архитектурное, рекламное и витринное, Ев.ср, лк, вычисляют как среднеарифметическое значение измеренных вертикальных освещенностей в контрольных точках по формуле
,(6)
где N - число точек измерения;
Евi - измеренные значения освещенности в контрольных точках поверхности окна (см. рисунок Б.7 приложения Б), лк.
7.1.7 При отклонении напряжения сети от номинального значения более чем на 5% фактическое значение освещенности Еф, лк, вычисляют по формуле
,(7)
где Е - минимальная, средняя, цилиндрическая освещенности, определенные по 7.1.1 - 7.1.6, лк;
Uном - номинальное напряжение сети, В;
К - коэффициент, равный 0 для светодиодов с импульсными блоками питания, 1 - для люминесцентных ламп при использовании емкостного балластного сопротивления и электронных пускорегулирующих аппаратов, 2 - для люминесцентных ламп при использовании индуктивного балластного сопротивления и дуговых ртутных ламп, 3 - для металлогалогенных ламп, дуговых ртутных ламп с излучающими добавками, натриевых ламп высокого давления, 4 - для ламп накаливания и светодиодов с мостовыми схемами включения;
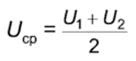
Uср - среднее значение напряжения, вычисляемое по формуле
,(8)
здесь U1 - напряжение сети в начале измерения, В;
U2 - напряжение сети в конце измерения, В.
7.2 Определение параметров естественного освещения
Коэффициент естественной освещенности е, %, вычисляемое по формуле
,(9)
где Евн - значение естественной освещенности внутри помещения, лк;
Енар - значение естественной освещенности вне помещения, лк.
8 Оценка результатов измерений
8.1 Оценку результатов измерений искусственной освещенности следует проводить в соответствии с таблицей 1.
Таблица 1 - Оценка результатов измерений
|
Вид контроля
|
Соотношение между измеренными и нормируемыми значениями освещенности
|
Оценка результатов измерений
| ||
|
Система общего освещения
|
Система комбинированного освещения
| |||
|
Общее
|
Суммарно общее и местное
| |||
| Приемка осветительной установки в эксплуатацию |
Е ≥ 0,9 Ен/MF
|
Е ≥ 0,9 Ен /MF
|
Е ≥ Ен
| Соответствует нормам |
|
Е < 0,9 Ен /MF
|
Е < 0,9 Ен/MF
|
Е < Ен
| Не соответствует нормам | |
| Инспекторский контроль |
Е ≥ Ен
|
Е ≥ Ен.о
|
Е ≥ Ен
| Соответствует нормам |
|
Е < Ен
|
Е < Ен.о
|
Е < Ен
| Не соответствует нормам | |
|
Примечание - Ен - нормируемая освещенность (минимальная, средняя, цилиндрическая); Ен.о - нормируемая освещенность от общего освещения в системе комбинированного освещения; Кз - коэффициент запаса.
| ||||
8.2 Естественное освещение помещений соответствует нормам [1] - [3], если в точке нормирования КЕО е≥ ен, где ен - нормированное значение КЕО.
Приложение А
(справочное)
(справочное)
Перечень рекомендуемых средств измерений
Люксметр-яркомер-пульсметр "Эколайт-01".
Люксметр-яркомер-пульсметр "Эколайт-02".
Люксметр типа "Аргус 01".
Люксметр-пульсметр типа "Аргус 07".
Люксметр типа ТКА-Люкс.
Люксметр типа ТКА-ПКМ, модель 02.
Люксметр типа ТКА-ПКМ, модель 08.
Люксметр типа ТКА-ПКМ, модель 31.
Люксметр типа TESTO 0500 (Германия).
Люксметр типа "Pocket-Lux2" фирмы LMT (Германия).
Многоканальный радиометр "Аргус".
Люксметр-яркомер типа ТЕС-0693 (Украина).
Люксметр-яркомер типа ТКА, модель 04/3.
Люксметр-яркомер "Аргус 12".
Приложение Б
(рекомендуемое)
(рекомендуемое)
Расположение контрольных точек при проведении измерений
Б.1 Расположение контрольных точек при измерениях минимальной освещенности
Рисунок Б.1 - Расположение контрольных точек при измерении минимальной освещенности помещения от светильников, принимаемых за точечные излучатели
Рисунок Б.2 - Расположение контрольных точек при измерении минимальной освещенности помещения от светильников, принимаемых за линейные излучатели
Б.2 Расположение контрольных точек при измерениях средней освещенности помещения и рабочей зоны
Типовые параметры сетки контрольных точек при измерениях средней освещенности в помещениях и рабочих зонах приведены в таблице Б.1.
Таблица Б.1
|
Длина помещения или рабочей зоны, м
|
Максимальное расстояние между контрольными точками, м
|
Минимальное число контрольных точек
|
|
0,40
|
0,15
|
3
|
|
0,60
|
0,20
|
3
|
|
1,00
|
0,20
|
5
|
|
2,00
|
0,30
|
6
|
|
5,00
|
0,60
|
8
|
|
10,00
|
1,00
|
10
|
|
25,00
|
2,00
|
12
|
|
50,00
|
3,00
|
17
|
|
100,00
|
5,00
|
20
|
Б.3 Расположение контрольных точек при измерениях средней освещенности улиц
Рисунок Б.3 - Расположение контрольных точек на участке при измерении средней освещенности улиц
Рисунок Б.4 - Расположение контрольного участка при измерении средней освещенности улиц
Рисунок Б.5 - Расположение контрольных точек при измерении средней освещенности улиц на перекрестке
Рисунок Б.6 - Расположение контрольных точек при измерении средней освещенности улиц в местах закругления
Рисунок Б.7 - Расположение контрольных точек на внешней поверхности окна при измерении вертикальной освещенности (засветки окон)
Приложение В
(рекомендуемое)
(рекомендуемое)
Протоколы измерений
Протокол измерений освещенности в производственных,
общественных и жилых помещениях
Наименование (номер) помещения _____________________________________
Геометрические параметры помещения _________________________________
Индекс помещения ___________________________________________________
Дата проведения измерений __________________________________________
Наименование и номер прибора для измерений _________________________
Номер и дата свидетельства о поверке _______________________________
Напряжение сети: U1 = ___________________, U2 = ___________________
(в начале измерений) (в конце измерений)
Наименование действующего нормативного документа ___________________
Состояние осветительной установки __________________________________
|
Номера контрольных точек
|
Место измерений, наименование рабочей поверхности
|
Плоскость измерений (горизонтальная, вертикальная, наклонная) - высота от пола, м
|
Освещенность, лк
|
Заключение о степени соответствия освещенности на рабочем месте действующим нормам
| ||||||||
|
Измеренная
|
Фактическая
|
Нормируемая
| ||||||||||
|
Комбинированное освещение
|
Общее освещение
|
Комбинированное освещение
|
Общее освещение
|
Комбинированное освещение
|
Общее освещение
| |||||||
|
Общее
|
Общее и местное
|
Общее
|
Общее и местное
|
Общее
|
Общее и местное
| |||||||
|
1
|
2
|
3
|
4
|
5
|
6
|
7
|
8
|
9
|
10
|
11
|
12
|
13
|
|
|
|
|
|
|
|
|
|
|
|
|
|
|
Заключение по обследованию осветительной установки ______________________
Протокол измерений цилиндрической освещенности
в помещениях общественных зданий
Наименование (номер) помещения __________________________________________
Геометрические параметры помещения ______________________________________
Индекс помещения ________________________________________________________
Дата проведения измерений _______________________________________________
Название и номер прибора для измерений __________________________________
Номер и дата свидетельства о поверке ____________________________________
Напряжение сети: U1 = ________________________, U2 = ___________________
(в начале измерений) (в конце измерений)
Наименование действующего нормативного документа ________________________
Состояние осветительной установки _______________________________________
|
Номера контрольных точек
|
Цилиндрическая освещенность, лк
| ||||||
|
Измеренная
|
Средняя Еср
|
Фактическая Еф
|
Нормируемая Ен
| ||||
|
Е1
|
Е2
|
Е3
|
Е4
| ||||
|
1
|
2
|
3
|
4
|
5
|
6
|
7
|
8
|
|
|
|
|
|
|
|
|
|
Заключение по обследованию осветительной установки
Протокол измерений освещенности в
установках наружного освещения
Наименование освещаемого пространства ___________________________________
Адрес обследуемого объекта ______________________________________________
Категория улицы по СП 52.1330 ___________________________________________
Дата проведения измерений _______________________________________________
Название и номер прибора для измерений __________________________________
Номер и дата свидетельства о поверке ____________________________________
Напряжение сети: U1 = ________________________, U2 = ___________________
(в начале измерений) (в конце измерений)
Наименование действующего нормативного документа ________________________
Состояние осветительной установки _______________________________________
|
Номера контрольных точек
|
Освещенность, лк
| ||||||
|
Измеренная
|
Средняя Еср
|
Фактическая Еф
|
Нормируемая Ен
| ||||
|
Е1
|
Е2
|
......
|
Е15
| ||||
|
1
|
2
|
3
|
4
|
16
|
17
|
18
|
19
|
|
|
|
|
|
|
|
|
|
Заключение по обследованию осветительной установки ______________________
Протокол измерений коэффициентов
естественной освещенности
Адрес обследуемого объекта ______________________________________________
Дата измерений _______________ Время измерений __________________________
Наименование действующего нормативного документа ________________________
Наименование и номер прибора для измерений ______________________________
Номер и дата свидетельства о поверке ____________________________________
1 Характеристика помещения:
- этаж(высота над уровнем земли) ________________________________________
- расположение светопроемов (ссылка на прилагаемый план, разрез
помещения), ориентация __________________________________________________
2 Характеристики светопроемов:
- светопрозрачное заполнение, его состояние _____________________________
- наличие и наименование солнцезащитных устройств _______________________
3 Отделка поверхностей помещения ________________________________________
4 Наличие в помещении оборудования, мебели ______________________________
5 Наличие озеленения, противостоящих зданий _____________________________
6 План участка с указанием этажности противостоящих зданий ______________
Результаты измерений КЕО
|
Номера точек в помещении
|
Время измерения
|
Евн (внутри помещения), лк
|
Енар (вне помещения), лк
|
Значение е, %
| |
|
для каждого измерения
|
среднее для каждой точки
| ||||
|
1
|
2
|
3
|
4
|
5
|
6
|
|
|
|
|
|
|
|
Заключение о естественном освещении помещения ___________________________
Протокол измерений вертикальной
освещенности на окнах зданий
Наименование освещаемого объекта ________________________________________
Адрес обследуемого объекта ______________________________________________
Характеристика установки ________________________________________________
Наименование и номер прибора для измерений ______________________________
Номер и дата свидетельства о поверке ____________________________________
Дата проведения измерений _______________________________________________
Время проведения измерений ______________________________________________
Напряжение сети: U1 = ________________________, U2 = ___________________
(в начале измерений) (в конце измерений)
Наименование действующего нормативного документа ________________________
|
Номера контрольных точек
|
Вертикальная освещенность в точках измерения Ев, лк
|
Средняя вертикальная освещенность Ев.ср, лк
| ||||
|
1
|
2
|
3
|
4
|
5
| ||
|
1
|
2
|
3
|
4
|
5
|
6
|
7
|
|
|
|
|
|
|
|
|
Заключение по обследованию осветительной установки ______________________
Библиография
| [1] |
EH 12464-1:2011*
| Свет и освещение. Освещение рабочих мест. Часть 1. Рабочие места в помещениях (Light and lighting - Lighting of work places - Part 1: Indoor work places) |
| [2] |
EH 12464-2:2014*
| Свет и освещение. Освещение рабочих мест. Часть 2. Рабочие места вне зданий (Light and lighting - Lighting of work places - Part 2: Outdoor work places) |
| [3] | EH 12665:2011 | Свет и освещение. Основные термины и критерии, устанавливающие требования к освещению (Light and lighting - Basic terms and criteria for specifying lighting requirements) |
| [4] | EH 13201-3:2015 | Освещение дорог. Часть 3. Расчет нормируемых параметров (Road lighting - Part 3: Calculation of performance) |
| [5] | EH 13201-4:2015 | Освещение дорог. Часть 4. Методы измерения параметров освещения (Road lighting - Part 4: Methods of measuring lighting performance) |
_______________________________
* Переводы данных европейских региональных стандартов находятся в Федеральном информационном фонде стандартов.


