ГОСТ 24975.1-2015 ЭТИЛЕН И ПРОПИЛЕН. ХРОМАТОГРАФИЧЕСКИЕ МЕТОДЫ АНАЛИЗА
Ethylene and propylene. Chromatographic methods of analysis
Дата введения - 1 июня 2016 г.
Взамен ГОСТ 24975.1-89
Предисловие
Цели, основные принципы и порядок проведения работ по межгосударственной стандартизации установлены ГОСТ 1.0-92 "Межгосударственная система стандартизации. Основные положения" и ГОСТ 1.2-2009 "Межгосударственная система стандартизации. Стандарты межгосударственные, правила и рекомендации по межгосударственной стандартизации. Порядок разработки, принятия, применения, обновления и отмены"
Сведения о стандарте
1 Разработан Федеральным государственным унитарным предприятием "Всероссийский научно-исследовательский центр стандартизации, информации и сертификации сырья, материалов и веществ" (ФГУП "ВНИЦСМВ") и Обществом с ограниченной ответственностью "ВНИИОС-наука" (ООО "ВНИИОС-наука")
2 Внесен Межгосударственным техническим комитетом по стандартизации МТК 527 "Химия"
3 Принят Межгосударственным советом по стандартизации, метрологии и сертификации (протокол от 29 мая 2015 г N 77-П)
За принятие проголосовали:
|
Краткое наименование страны по МК (ИСО 3166) 004-97 |
Код страны по МК (ИСО 3166) 004-97 |
Сокращенное наименование национального органа по стандартизации |
|
Беларусь Киргизия Россия Таджикистан |
BY KG RU TJ |
Госстандарт Республики Беларусь Кыргызстандарт Росстандарт Таджикстандарт |
4 Приказом Федерального агентства по техническому регулированию и метрологии от 30 июня 2015 г. N 843-ст межгосударственный стандарт ГОСТ 24975.0-2015 введен в действие в качестве национального стандарта Российской Федерации с 1 июня 2016 г.
5 Взамен ГОСТ 24975.1-89
Настоящий стандарт распространяется на хроматографические методы анализа этилена и пропилена.
В настоящем стандарте использованы нормативные ссылки на следующие межгосударственные стандарты:
ГОСТ 8.010-2013 Государственная система обеспечения единства измерений. Методики выполнения измерений. Основные положения*(1)
ГОСТ 8.315-97 Государственная система обеспечения единства измерений. Стандартные образцы состава и свойств веществ и материалов. Основные положения
ГОСТ 12.0.004-90 Система стандартов безопасности труда. Организация обучения безопасности труда. Общие положения
ГОСТ 12.1.004-91 Система стандартов безопасности труда. Пожарная безопасность. Общие требования
ГОСТ 12.1.005-88 Система стандартов безопасности труда. Общие санитарно-гигиенические требования к воздуху рабочей зоны
ГОСТ 12.1.007-76 Система стандартов безопасности труда. Вредные вещества. Классификация и общие требования безопасности
ГОСТ 12.1.019-79 Система стандартов безопасности труда. Электробезопасность. Общие требования и номенклатура видов защиты*(2)
ГОСТ 12.4.009-83 Система стандартов безопасности труда. Пожарная техника для защиты объектов. Основные виды. Размещение и обслуживание
ГОСТ 1770-74 Посуда мерная лабораторная стеклянная. Цилиндры, мензурки, колбы, пробирки. Общие технические условия
ГОСТ 2222-95 Метанол технический. Технические условия
ГОСТ 2603-79 Реактивы. Ацетон. Технические условия
ГОСТ 3022-80 Водород технический. Технические условия
ГОСТ 4055-78 Реактивы. Никель (II) азотнокислый 6-водный. Технические условия
ГОСТ 6613-86 Сетки проволочные тканые с квадратными ячейками. Технические условия
ГОСТ 6709-72 Вода дистиллированная. Технические условия
ГОСТ 6995-77 Реактивы. Метанол-яд. Технические условия
ГОСТ 8136-85 Оксид алюминия активный. Технические условия
ГОСТ 9147-80 Посуда и оборудование лабораторные фарфоровые. Технические условия
ГОСТ 9293-74 Азот газообразный и жидкий. Технические условия
ГОСТ 10146-74 Ткани фильтровальные из стеклянных крученных комплексных нитей. Технические условия
ГОСТ 14921-78 Газы углеводородные сжиженные. Методы отбора проб
ГОСТ ИСО/МЭК 17025-2009 Общие требования к компетентности испытательных и калибровочных лабораторий
ГОСТ 17433-80 Промышленная чистота. Сжатый воздух. Классы загрязненности
ГОСТ 24104-2001 Весы лабораторные. Общие технические требования*(3)
ГОСТ 24555-81 Система государственных испытаний продукции. Порядок аттестации испытательного оборудования. Основные положения*(4)
ГОСТ 24975.0-89 Этилен и пропилен. Методы отбора проб
ГОСТ 25043-2013 Пропилен. Технические условия
ГОСТ 25070-2013 Этилен. Технические условия
ГОСТ 25336-82 Посуда и оборудование лабораторные стеклянные. Типы, основные параметры и размеры
ГОСТ 29227-91 Посуда лабораторная стеклянная. Пипетки градуированные. Часть 1. Общие требования
Примечание - При пользовании настоящим стандартом целесообразно проверить действие ссылочных стандартов на территории государства по соответствующему указателю стандартов, составленному на 1 января текущего года, и по соответствующим информационным указателям, опубликованным в текущем году. Если ссылочный стандарт изменен, то при пользовании настоящим стандартом следует руководствоваться измененным стандартом, а при замене на другой стандарт - стандартом, действующим вместо настоящего стандарта . Если ссылочный документ отменен без замены, то положение, в котором дана ссылка на нею. применяется в части, не затрагивающей эту ссылку.
Пробы отбирают по ГОСТ 24975.0.
Хроматограф газовый любого типа или комплекс хроматографический газовый, или комплекс аппаратно-программный (АПК) на основе газового хроматографа.
Хроматограф должен быть укомплектован:
- детектором ионизации в пламени (ДИП) с пределом детектирования не более 2·10-12 г/с (по гептану или пропану);
- системой термостатирования, обеспечивающей установку температуры термостата колонок от 40°С до 300°С, ДИП от 90°С до 300°С;
- газовым краном-дозатором для ввода пробы со стационарными металлическими дозирующими петлями с объемами, необходимыми для определения (допускается применение автоматических и термостатированных кранов-дозаторов);
- реактором гидрирования (метанатор).
Компьютер или интегратор, имеющий программное обеспечение, позволяющее производить обработку хроматограмм, или компьютеризированный блок сбора и обработки хроматографических данных (БСД), или АПК с программным обеспечением для управления хроматографом, сбора и обработки хроматографической информации.
Колонка хроматографическая капиллярная из плавленого кварца, длиной 50 м, внутренним диаметром 0, 53 или 0, 32 мм, с нанесенным оксидом алюминия, толщиной слоя от 8 до 15 мкм, обработанным KCI или Na2SO4.
Колонка хроматографическая насадочная из нержавеющей стали внутренним диаметром 3 мм и длиной, необходимой для каждого определения.
Секундомер механический, 2 класс точности, цена деления 0, 2 с.
Весы неавтоматического действия, обеспечивающие для навесок массой от 1 до 100 г относительную неопределенность измерения не более ±1% по ГОСТ 24104.
Микрошприц типа МШ или микрошприц фирмы Hamilton вместимостью 1, 10, 50 мм3.
Шкаф сушильный, с поддувом азота, или шкаф сушильный вакуумный с автоматическим регулированием температуры, обеспечивающий нагрев до 400°С и 200°С соответственно.
Печь муфельная или тигельная, обеспечивающая нагрев до 500°С.
Чашка выпарительная фарфоровая 4 или 5 по ГОСТ 9147.
Сита лабораторные с сетками по ГОСТ 6613.
Баня лабораторная водяная.
Склянка для промывания газов СН-1-100 по ГОСТ 25336 с фильтром ПОР-100 по ГОСТ 25336 или с насадкой из газопромывателя типа ГФП или ГФИ с таким же фильтром.
Пипетка 1-1-2-0, 5 по ГОСТ 29227.
Цилиндры 1-10-2, 1-25-2, 1-50-2, 1-100-2 по ГОСТ 1770.
Колба мерная 2-100-2 по ГОСТ 1770.
Стаканы В-1-50 ТС, В-1-100 ТС, В-1-200 ТС по ГОСТ 25336.
Счетчик газовый.
Трубка из нержавеющей стали или кварца для катализатора гидрирования по 6.2.3.
Газ-носитель: азот газообразный по ГОСТ 9293, особой чистоты или 1-го сорта повышенной чистоты или азот от генератора азота; водород технический по ГОСТ 3022 марки А или Б, или водород от генератора водорода; гелий газообразный (сжатый).
Воздух сжатый, класс загрязненности 1 по ГОСТ 17433.
Оксид алюминия по ГОСТ 8136 марки АОА-1.
Сито молекулярное СаА (5А) или NaX (13Х).
Уголь активированный СКТ.
Уголь активированный Саран.
Полисорб-1.
Носитель твердый: кирпич диатомитовый типа динохрома Н, хромосорба Р или сферохрома-2, сферохрома-3 с частицами размером от 0, 16 до 0, 315 мм, или хроматона N, размером зерен (0, 25 - 0, 315) мм, Chemapol, Прага.
Полиэтиленгликоль 400 (ПЭГ-400) или фирмы Schuchardt, Мюнхен.
Фаза неподвижная жидкая: три-н-бутилфосфат (ТБФ).
Метанол-яд по ГОСТ 6995 или по ГОСТ 2222.
Вода дистиллированная по ГОСТ 6709.
Ацетон по ГОСТ 2603, высший сорт.
Никель азотнокислый 6-водный по ГОСТ 4055.
Катализатор хромоникелевый для фильтра: готовят по 6.2.2.
Стекловолокно по ГОСТ 10146.
Стандартные образцы состава газовых смесей углеводородов C1-C4, оксида и диоксида углерода или аттестованные газовые смеси того же состава.
Конкретно применяемые для каждого определения тип хроматографа, длина колонки, газ-носитель, сорбент, твердый носитель и жидкая фаза указаны в соответствующих пунктах стандарта.
5.1 Заполнение насадочной колонки
Хроматографическую колонку заполняют готовым или специально приготовленным сорбентом. Плотность заполнения колонки диаметром 3 мм должна быть приблизительно 7 см3 на метр длины колонки.
5.2 Стабилизация колонок
5.2.1 Новую капиллярную колонку устанавливают в хроматограф, не присоединяя к детектору, продувают при комнатной температуре и объемном расходе газа-носителя через колонку 6 см3/мин в течение 30 мин и кондиционируют при температуре 200°С в течение 8 ч. Затем охлаждают термостат до комнатной температуры.
5.2.2 Заполненные насадочные колонки продувают, не присоединяя к детектору, газом-носителем, при температуре для оксида алюминия, молекулярного сита, активированного угля, полисорба-1 и хроматона N с ПЭГ-400 соответственно (250±5)°С, (290±5)°С, (180±5)°С, (150±10)°С и (120±5)°С, для сорбента с неподвижной жидком фазой (три-н-бутилфосфатом) не выше 80°С.
Продолжительность продувки колонок определяется достижением устойчивой нулевой линии в условиях проведения анализа. Ориентировочная продолжительность продувки колонок с полисорбом-1 и сорбентом с неподвижной жидкой фазой - не менее 10 - 12 ч, с другими сорбентами - 2 - 3 ч.
5.3 Подготовка прибора к анализу
5.3.1 Подготовку прибора к анализу и вывод его на рабочий режим проводят в соответствии с инструкцией, прилагаемой к прибору.
Расходы воздуха и водорода устанавливают по действующей документации на хроматограф.
5.3.2 После присоединения колонки к детектору и установления соответствующих рабочих условий должна быть достигнута стабильная нулевая линия при необходимой чувствительности.
5.3.3 Допускается изменять условия анализов. При этом должны обеспечиваться достаточное разделение компонентов и последовательность выхода компонентов в зависимости от применяемой колонки.
5.4 Ввод пробы
5.4.1 Сжиженный анализируемый продукт перед подачей в газовый кран-дозатор прибора испаряют по ГОСТ 24975.0.
5.4.2 Петлю крана-дозатора продувают не менее, чем десятикратным объемом анализируемого газа, закрывают вентиль пробоотборника и после выравнивания давления газа в петле крана-дозатора с атмосферным давлением вводят пробу в прибор.
5.4.3 Объемы проб анализируемого продукта и градуировочной смеси для градуировки прибора должны быть одинаковыми.
5.5 Градуировка прибора
5.5.1 Градуировка прибора для определения примесей, кроме метанола.
5.5.1.1 Градуировку прибора проводят с использованием градуировочных смесей. Для построения градуировочной характеристики используют не менее трех градуировочных смесей (с различными значениями объемных долей определяемых примесей) - стандартные образцы газовых смесей (ГСО-ПГС) по ГОСТ 8.315 или аттестованных смесей по [1]. Объемные доли примесей в градуировочных смесях должны соответствовать диапазону измерений.
При разногласии в оценке качества продукта между поставщиком и потребителем повторно строят градуировочную характеристику, также используя не менее трех градуировочных смесей. Оценку линейности построения градуировочной характеристики проводят по [2].
Смеси готовят объемным, объемно-манометрическим, манометрическим методами или методом динамического или экспоненциального разбавления.
Примечания
1 При выполнении методик анализа этилена и пропилена, изложенных в настоящем стандарте, в конкретной лаборатории допустимо устанавливать более узкие диапазоны измерений объемных долей примесей в пределах диапазонов измерений, приведенных в таблицах В.1 и В.2.
2 В случае, если диапазон измерений объемной доли примеси в этилене или пропилене, установленный в лаборатории, таков, что отношение верхней и нижней границ этого диапазона не превышает двух - трех, то для построения градуировочной характеристики можно использовать одну или две (при наличии подтверждающей информации о линейности градуировочной характеристики и незначимости отличия от нуля свободного члена) градуировочные смеси.
5.5.1.2 Градуировочная смесь должна содержать в основном компоненте определяемые примеси в количествах, близких к установленным в нормативно-технической документации на продукт.
5.5.1.3 В качестве основного компонента используют газ-носитель или другой инертный газ. Допускается в качестве основного компонента применять этилен или пропилен, проверенный хроматографическим методом по настоящему стандарту на отсутствие определяемых примесей.
5.5.1.4 Объемная доля основного вещества, применяемого для примесного компонента смеси, должна быть не менее 98%.
5.5.1.5 Градуировку прибора для определения углеводородных примесей допускается проводить по этилену, пропилену или любому другому углеводороду при отсутствии необратимой сорбции анализируемой примеси с пересчетом компонентов по формуле (12).
5.5.1.6 Каждую градуировочную смесь хроматографируют не менее трех раз при условиях соответствующего определения.
5.5.1.7 Расчет коэффициентов а и b градуировочной линейной зависимости между объемной долей примеси X и площадью S (или высотой h) хроматографического пика проводят методом наименьших квадратов.
Коэффициенты а и b линейных зависимостей вида X=a+b·S (1) или X=a+b·h (2) вычисляют по формулам
- для линейной зависимости (1)
,
(3)
,
(4)
- для линейной зависимости (2)
,
(5)
,
(6)
где Xi - объемная доля определяемой примеси в i-й градуировочной смеси, %;
Si - среднее значение площади пика определяемой примеси в i-й градуировочной смеси, усл. ед.;
hi - среднее значение высоты пика определяемой примеси в i-й градуировочной смеси, усл. ед.;
n - количество градуировочных смесей при построении градуировочной характеристики.
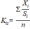
В случае, когда для градуировки использовали одну или две градуировочные смеси, градуировочный коэффициент Kis или Kih вычисляют по формуле
или 
(7)
где Xi - объемная доля определяемой примеси, %;
Si - среднее значение площади пика определяемой примеси в каждой градуировочной смеси, усл. ед.;
hi - среднее значение высоты пика определяемой примеси в каждой градуировочной смеси, усл. ед.;
n - количество градуировочных смесей при построении градуировочной характеристики.
Результат округляют не менее чем до трех значащих цифр.
5.5.2 Градуировка прибора для определения метанола в этилене
5.5.2.1 Градуировку хроматографа осуществляют методом абсолютной градуировки с использованием градуировочной смеси метанола в воде. Для построения градуировочной характеристики используют не менее трех градуировочных смесей.
Примечания
1 При выполнении методик определения метанола в этилене, изложенных в настоящем стандарте, в конкретной лаборатории допустимо устанавливать более узкие диапазоны измерений объемной доли метанола в пределах диапазона измерений, приведенного в таблице В.1.
2 В случае, если диапазон измерений объемной доли метанола в этилене, установленный в лаборатории, таков, что отношение верхней и нижней границ этого диапазона не превышает двух-трех, то для построения градуировочной характеристики можно использовать одну или две (при наличии подтверждающей информации о линейности градуировочной характеристики и незначимости отличия от нуля свободного члена) градуировочные смеси.
5.5.2.2 Для приготовления градуировочных смесей в мерную колбу вместимостью 100 см3 вносят небольшое количество дистиллированной воды, затем микрошприцем добавляют (1 - 10) мм3 метанола и содержимое мерной колбы доводят до метки дистиллированной водой. Полученные смеси хроматографируют, вводя в колонку микрошприцем дозы от 0, 2 до 1, 0 мм3 микрошприцем.
Допускается проводить градуировку хроматографа с использованием градуировочных смесей метанола в этилене (гелии).
5.5.2.3 Каждую градуировочную смесь хроматографируют не менее трех раз.
5.5.2.4 Объемную долю метанола в пересчете на газовую фазу Xм %, вычисляют по формуле
,
(8)
где V1 - объем вводимой пробы градуировочной смеси, мм3;
Xм - объем метанола, взятый для приготовления градуировочной смеси, мм3;
0, 79 - плотность метанола, г/см3;
32 - молярная масса метанола, г/моль;
V - объем градуировочной смеси, см3;
V2 - объем вводимой газовой пробы этилена, см3;
1000 - коэффициенты перевода кубических сантиметров в кубические миллиметры (в числителе), кубических сантиметров в кубические миллиметры и кубических дециметров в кубические сантиметры (в знаменателе);
22, 4 - молярный объем газа при нормальных условиях, дм3/моль;
100 - множитель для пересчета в проценты (объемная доля).
5.5.2.5 Градуировочный коэффициент Kм вычисляют по формуле
,
(9)
где Xм - объемная доля метанола в градуировочной смеси метанола в воде в пересчете на газовую фазу или в градуировочной смеси метанола в этилене (гелии), %;
S - среднее значение площади пика метанола, усл. ед.
За градуировочный коэффициент принимают среднее арифметическое значение 3 - 5 определений.
5.5.3 При использовании программы сбора и обработки хроматографической информации обработка пиков и расчет градуировочных коэффициентов проводится автоматически.
5.5.4 Проверку градуировочных коэффициентов проводят при контроле стабильности градуировочной характеристики 1 раз в квартал. Образцами для контроля стабильности являются градуировочные смеси, объемная доля примеси в которых соответствует диапазону построения градуировочной характеристики.
Градуировка признается стабильной при выполнении условия
|X-C|≤Kгр.
(10)
где С - объемная доля примеси в градуировочной смеси, %;
Х - результат измерения объемной доли примеси в градуировочной смеси, %;
Kгр. - норматив контроля стабильности градуировочной характеристики, %.
Значение Kгр. устанавливают в лаборатории при внедрении методики.
При невыполнении условия (10) процедуру проверки градуировочных коэффициентов повторяют с другой градуировочной смесью. При повторном невыполнении условия (10) выясняют и устраняют причины нестабильности градуировочной характеристики.
Примечание - Контроль стабильности градуировочных коэффициентов допускается проводить по [2]*(5).
5.6 Общие указания
5.6.1 При проведении измерений и приготовлении растворов применяют:
- посуду мерную лабораторную стеклянную не ниже 2-го класса точности по ГОСТ 1770, ГОСТ 25336, ГОСТ 29227;
- реактивы квалификации х.ч. или ч.д.а. Допускается применение реактивов более низкой квалификации при условии обеспечения ими метрологических характеристик, указанных в методах анализа.
5.6.2 Все применяемые средства измерений должны иметь действующие свидетельства о поверке и (или) сертификаты калибровки, испытательное оборудование должно быть аттестовано по ГОСТ 24555. При проведении испытаний соблюдают условия эксплуатации средств измерения.
5.6.3 Допускается применение других средств измерений с метрологическими характеристиками и оборудования с техническими характеристиками не хуже, а также реактивов по качеству не ниже, указанных в настоящем стандарте.
5.6.4 Результаты измерений округляют до того количества значащих цифр, которому соответствует норма по данному показателю (примеси). По согласованию с потребителем допускается округлять результаты измерений до количества значащих цифр, установленных требованиями договора (контракта).
5.6.5 Требования к безопасности, квалификации операторов, условиям измерений приведены в приложении А.
6.1 Определение углеводородных примесей в этилене
Определение проводят методами газовой хроматографии с применением капиллярной хроматографической колонки - по 6.1.1 (объемной доли метана, этана, пропилена, ацетилена, пропадиена и бутадиена-1, 3) или соответствующих насадочных хроматографических колонок - по 6.1.2 (объемной доли метана, этана, пропилена), 6.1.3 (объемной доли ацетилена), 6.1.4 (объемной доли диеновых углеводородов).
6.1.1 Определение углеводородов (объемной доли метана, этана, пропилена, ацетилена, пропадиена и бутадиена-1, 3)
6.1.1.1 Для определения применяют: газовый хроматограф с пламенно-ионизационным детектором; хроматографическую капиллярную колонку длиной 50 м с Al2O3/KCl; газ-носитель - азот.
6.1.1.2 Условия определения:
начальная температура термостата колонки, °С .............................. 50
время выдержки начальной температуры, мин .................................. 2
скорость нагрева термостата колонки на 1 этапе, °С/мин ................. 5
промежуточная температура термостата колонки, °С .................... 145
скорость нагрева термостата колонки на 2 этапе, °С/мин ................ 30
конечная температура термостата колонки, °С ............................... 190
время выдержки конечной температуры, мин ................................... 20
температура термостата детектора, °С ............................................. 200
температура крана-дозатора, °С ........................................................ 100
деление потока газа-носителя, см3/мин ........................................... 1:12
объемный расход газа-носителя (азот)через колонку, см3/мин …... 6, 9
объемный расход газа-носителя на сброс, см3/мин ........................ 83, 1
объемный расход азота для поддува в ДИП, см3/мин ....................... 27
объем пробы, см3 ............................................................................. 0, 125
6.1.1.3 Типовая хроматограмма этилена с объемной долей метана - 0, 00014%, этана - 0, 00623%, ацетилена - 0, 00006% приведена на рисунке 1.

"Рисунок 1 - Типовая хроматограмма этилена на капиллярной колонке с Al2O3/KCl "
6.1.1.4 Порядок выхода углеводородных примесей этилена приведен на хроматограмме градуировочной смеси с объемной долей метана - 0, 048%, этана - 0, 057%, пропилена - 0, 0042%, пропадиена - 0, 0019%, ацетилена - 0, 00094%, бутадиена-1, 3 - 0, 00093% (рисунок Б.1, Приложение Б).
6.1.2 Определение объемной доли метана, этана и пропилена
6.1.2.1 Для определения применяют: газовый хроматограф с пламенно-ионизационным детектором; насадочную хроматографическую колонку длиной 3 м; газ-носитель - азот; сорбент - оксид алюминия любой фракции с частицами размером от 0, 2 до 0, 5 мм.
6.1.2.2 Условия определения:
температура термостата колонки, °С .................................. 50 - 100
время изотермического режима при 50°С, мин ....................... 0 - 2
скорость нагрева, °С/мин ....................................................... 10 - 25
объемный расход газа-носителя, дм3/ч ................................ 2, 0±0, 3
объем пробы, см3 ........................................................... не более 0, 5
После выхода пропилена температуру термостата колонки поднимают до 250°С для регенерации сорбента.
6.1.2.3 Типовая хроматограмма этилена с объемной долей метана - 0, 0001%, этана - 0, 0057%. пропилена - 0, 0018% приведена на рисунке 2.

"Рисунок 2 - Типовая хроматограмма этилена на насадочной колонке с Al2O3 "
6.1.3 Определение объемной доли ацетилена
6.1.3.1 Для определения применяют: газовый хроматограф с пламенно-ионизационным детектором; насадочную хроматографическую колонку длиной (1-2) м; газ-носитель - азот; сорбент - активированный уголь СКТ или уголь Саран, любой фракции с частицами размером от 0, 2 до 0, 5 мм, предварительно прокаленный при (400±10)°С в токе азота в течение 4 ч.
6.1.3.2 Условия определения:
температура термостата колонки, °С ......................... 120 - 150
объемный расход газа-носителя, дм3/ч .......................... 2, 0±0, 3
объем пробы, см3 ............................................................ 1, 0 - 2, 0
6.1.3.3 Типовая хроматограмма этилена с объемной долей ацетилена 0, 0004% приведена на рисунке 3.

"Рисунок 3 - Типовая хроматограмма ацетилена в этилене на колонке с углем СКТ"
6.1.4 Определение объемной доли диеновых углеводородов
6.1.4.1 Для определения применяют: газовый хроматограф с пламенно-ионизационным детектором; насадочную хроматографическую колонку длиной 9 м; газ-носитель - азот или гелий; твердый носитель - диатомитовый кирпич типа динохрома Н и хромосорба Р любой фракции с частицами размером от 0.25 до 0, 5 мм, или сферохрома-3 с частицами размером от 0, 25 до 0, 315 мм, предварительно высушенный при (200±5)°С в течение 4 ч; сорбент, приготовленный по 6.1.4.2.
6.1.4.2 Приготовление сорбента
Взвешивают в стаканах высушенный твердый носитель (масса расчетная) и неподвижную жидкую фазу (три-н-бутилфосфат), масса которой должна составлять 25% от массы твердого носителя (результаты взвешивания записывают с точностью до второго десятичного знака). Жидкую фазу растворяют в ацетоне, в полученный раствор вносят твердый носитель и оставляют на 2 ч. Ацетон берут в таком объеме, чтобы весь твердый носитель был покрыт раствором. Затем испаряют ацетон на водяной бане при температуре от 60°С до 70°С при периодическом перемешивании. Сорбент переносят в фарфоровую чашку, сушат в течение 4 ч при температуре (70±3)°С в сушильном шкафу, с поддувом азота, или вакуумном сушильном шкафу, охлаждают до комнатной температуры и отсеивают от пыли.
6.1.4.3 Условия определения:
температура термостата колонки, °С .................................... 40
объемный расход газа-носителя (гелия), дм3/ч........... 1, 0 - 1, 5
объем пробы, см3 ........................................................... 0, 5 - 1, 0
6.1.4.4 Типовая хроматограмма этилена с объемной долей пропадиена - 0, 00048%, бутадиена-1, 3 - 0, 00032% приведена на рисунке 4 (газ-носитель - гелий).

"Рисунок 4 - Типовая хроматограмма диеновых углеводородов в этилене на колонке с 25% ТБФ на динохроме Н"
6.2 Определение объемной доли оксида и диоксида углерода
6.2.1 Метод основан на разделении оксида и диоксида углерода, гидрировании их в метан и детектировании метана.
6.2.2 Для определения применяют: газовый хроматограф с пламенно-ионизационным детектором; хроматографическую колонку длиной 6 - 9 м: реактор гидрирования с катализатором гидрирования (6.2.3), присоединенный после разделительной колонки; газ-носитель - водород марки А, очищенный с помощью фильтров, установленных последовательно перед вводом газа-носителя в хроматограф, с очистителями (по ходу тока газа): хромоникелевым катализатором, восстановленным в токе водорода при (500±20)°С в течение 5 ч; оксидом алюминия с частицами размером от 4 до 5 мм, прокаленным при
(250±10)°С в течение 4 ч; молекулярным ситом СаА (5А) с частицами размером от 1 до 5 мм, прокаленным при (400 - 500)°С в течение 4 ч. Объем очистителей в фильтрах должен быть не менее 100 см3. Наполнение фильтров меняют при сильном увеличении фонового тока. Сорбент - полисорб-1 с частицами размером от 0, 1 до 0, 3 мм. который продувают газом-носителем при (150 - 180)°С не менее 12 ч, или уголь СКТ.
6.2.3 Приготовление катализатора гидрирования
Взвешивают в стакане необходимую для заполнения реактора гидрирования массу сферохрома-2 (результат взвешивания в граммах записывают с точностью до второго десятичного знака). В другом стакане взвешивают азотнокислый никель, масса которого в пересчете на никель должна составлять 10% от массы сферохрома-2 (результат взвешивания в граммах записывают с точностью до четвертого десятичного знака).
Азотнокислый никель растворяют в небольшом объеме воды, равном приблизительно половине объема, занимаемого сферохромом-2.
Раствор выливают в фарфоровую чашку и высыпают в него сферохром-2, затем выпаривают воду, периодически помешивая, до получения сыпучей массы.
Пропитанный сферохром-2 прокаливают в трубке из нержавеющей стали или кварца при (450 - 500)°С в токе воздуха в течение 4 ч. Затем восстанавливают в токе водорода при (500±20)°С в течение 10 ч. Расход водорода - (0, 3 - 0, 5) дм3/ч на квадратный сантиметр сечения трубки.
Допускается применение других катализаторов гидрирования при конверсии оксида и диоксида углерода не менее 90%.
6.2.4 Условия определения:
температура термостата колонки, °С ................................... 40 - 50
температура реактора, °С .................................................. 300 - 330
объемный расход газа-носителя (водорода), дм3/ч ............ 2, 0±0, 3
объемный расход вспомогательных газов:
азота на поддув в детектор, дм3/ч ......................... 2, 0±0, 3
воздуха, дм3/ч ............................................................. 20±2
объем пробы, см3 ................................................... 1, 0 - 2, 0
6.2.5 Типовая хроматограмма градуировочной смеси с объемной долей оксида углерода - 0, 0010%, диоксида углерода - 0, 0016% в этилене приведена на рисунке 5.

"Рисунок 5 - Типовая хроматограмма градуировочной смеси оксида и диосида углерода в этилене на колонке с полисорбом-1"
6.3 Определение объемной доли метанола
6.3.1 Определение проводят с предварительным поглощением метанола путем пропускания этилена через дистиллированную воду и сравнении высот пиков метанола на хроматограммах проб анализируемого раствора и раствора сравнения.
Допускается непосредственное определение метанола в пробе (без предварительного пропускания этилена через воду) по 6.3.2.
6.3.1.1 Для определения применяют: газовый хроматограф с пламенно-ионизационным детектором и обогреваемым испарителем; насадочную хроматографическую колонку длиной 2 м; газ-носитель - азот; сорбент - полисорб-1 с частицами размером от 0, 1 до 0, 3 мм.
6.3.1.2 Приготовление анализируемого раствора
Через две склянки для промывания газов, содержащие по (40 - 45) см3 дистиллированной воды, из линии потока пропускают около (100±5) дм3 газообразного этилена с объемным расходом (36±4) дм3/ч. Объем пропущенного этилена измеряют с помощью газового счетчика.
Водные растворы количественно переносят в мерную колбу и доводят объем раствора до метки дистиллированной водой.
При необходимости отдувают поглощенный этилен пропусканием азота через водный раствор в течение (10 - 15) мин с объемным расходом (10±2) дм3/ч.
6.3.1.3 Приготовление раствора сравнения
В мерную колбу вместимостью 100 см3 наливают (10 - 20) см3 дистиллированной воды, прибавляют с помощью микрошприца 18 мм3 метанола и доводят объем раствора до метки дистиллированной водой.
100 см3 полученного раствора соответствуют 100 дм3 этилона с объемной долей метанола 0, 01%.
6.3.1.4 Условия определения:
температура термостата колонки, °С ................................... 70 - 75
температура испарителя, °С .............................................. 100 - 120
объемный расход газа-носителя, дм3/ч ............................... 2, 0±0, 3
объем пробы анализируемого раствора и раствора сравнения, мм3 ........... по 5
6.3.1.5 Типовая хроматограмма этилена с объемной долей метанола 0, 00043% (при предварительном пропускании этилена через воду) приведена на рисунке 6.

"Рисунок 6 - Типовая хроматограмма метанола в этилене (при пропускании этилена через воду)"
6.3.2 Определение метанола в газовой пробе (без предварительного пропускания этилена через воду)
6.3.2.1 Для определения применяют: газовый хроматограф с пламенно-ионизационным детектором; насадочную хроматографическую колонку длиной 3 м; газ-носитель - азот; сорбент - 15% ПЭГ-400 на хроматоне N с частицами размером от 0, 25 до 0, 315 мм.
6.3.2.2 Приготовление сорбента
Взвешивают 30 см3 твердого носителя - хроматона N (результат взвешивания в граммах записывают с точностью до второго десятичного знака). С точностью до четвертого десятичного знака взвешивают ПЭГ-400 из расчета 15% от массы хроматона N. Навеску полиэтиленгликоля-400 растворяют в (60 - 80) см3 ацетона и в полученный раствор высыпают взвешенный хроматом N, оставляют для пропитки на 1 ч, периодически осторожно перемешивая. Затем испаряют ацетон на водяной бане при температуре от 60°С до 70°С при постоянном осторожном перемешивании. Досушивают сорбент при температуре (90±3)°С в сушильном шкафу, с поддувом азота, или вакуумном сушильном шкафу до исчезновения запаха ацетона.
6.3.2.3 Условия определения:
температура термостата колонки, °С ....................................... 65 - 75
температура испарителя, °С ......................................................... 70±2
объемный расход газа-носителя (азота), дм3/ч ....................... 2, 0±0, 2
объем пробы, см3 ........................................................... (1, 0 - 2, 0) ±0, 1
6.3.2.4 Типовая хроматограмма анализа градуировочной смеси с объемной долей метанола 0, 0019% в этилене (по методу при непосредственном определении метанола в пробе этилена) приведена на рисунке 7.

"Рисунок 7 - Типовая хроматограмма градуировочной смеси метанола в этилене (при непосредственном определении метанола в этилене)"
7.1 Определенно углеводородных примесей в пропилене
Определение проводят методами газовой хроматографии с применением капиллярной хроматографической колонки - по 7.1.1 (объемной доли этана, этилена, пропана, ацетилена, метилацетилена, пропадиена, бутадиена-1, 3, изобутана, н-бутана и бутиленов) или с применением соответствующих насадочных хроматографических колонок - по 7.1.2 (объемной доли этана, этилена, пропана), 7.1.3 (объемной доли ацетилена, метилацетилена и пропадиена), 7.1.4 (объемной доли углеводородов C4), 7.1.5 (объемной доли диеновых углеводородов, метилацетилена, бутиленов и бутанов).
7.1.1 Определение углеводородов (объемной доли этана, этилена, пропана, ацетилена, метилацетилена, пропадиена, бутадиена-1, 3, изобутана, н-бутана и бутиленов)
7.1.1.1 Для определения применяют: газовый хроматограф с пламенноионизационным детектором; капиллярную хроматографическую колонку длиной 50 м с Al2O3/Na2SO4, работающую в режиме без деления потока, газ-носитель - азот.
7.1.1.2 Условия определения:
температура термостата колонки, °С .......................................... 65
температура детектора, °С ......................................................... 150
объемный расход газа-носителя, см3/мин ................................... 30
объем пробы, см3 ....................................................................... 0, 02
7.1.1.3 Типовая хроматограмма пропилена с объемной долей этана - 0, 0130%, этилена - 0, 0003%, пропана - 0, 0941% приведена на рисунке 8.

"Рисунок 8 - Типовая хроматограмма пропилена на капиллярной колонке с Al2O3/Na2SO4"
7.1.1.4 Порядок выхода углеводородных примесей пропилена приведен на хроматограмме анализа градуировочной смеси с объемной долей этана - 0, 0001%, этилена - 0, 0426%, пропана - 0, 9626%, изобутана - 0, 0043%, н-бутана - 0, 0160%, пропадиена - 0, 0102 %, транс-бутилена - 0, 0008%, альфа-бутилена - 0, 0028%, изобутилена - 0, 0041%, цис-бутилена - 0, 0002%, метил-ацетилена - 0, 0087%, бутадиена-1, 3 - 0, 0016% (рисунок Б.2, Приложение Б).
7.1.2 Определение объемной доли этана, этилена и пропана
7.1.2.1 Для определения применяют: газовый хроматограф с пламенно-ионизационным детектором; насадочную хроматографическую колонку длиной 3 м; газ-носитель - азот; сорбент - оксид алюминия любой фракции с частицами размером от 0, 2 до 0, 5 мм. Стабилизацию колонки проводят при (250±5)°С в течение 3 ч.
7.1.2.2 Условия определения:
температура термостата колонки, °С ................................... 50 - 60
объемный расход газа-носителя, дм3/ч ............................... 2, 0±0, 3
объем пробы, см3 .......................................................... не более 0, 5
После выхода пропана температуру термостата колонки поднимают до 250°С для регенерации сорбента.
7.1.2.3 Типовая хроматограмма пропилена с объемной долей этана - 0, 0034%, этилена - 0, 00002%, пропана - 0, 0772% приведена на рисунке 9.

"Рисунок 9 - Типовая хроматограмма пропилена на насадочной колонке с Al2O3 "
7.1.3 Определение объемной доли ацетилена, метилацетилена и пропадиена
7.1.3.1 Для определения применяют: газовый хроматограф с пламенно-ионизационным детектором; насадочную хроматографическую колонку длиной (1 - 2) м; газ-носитель - азот; сорбент - активированный уголь СКТ или уголь Саран, любой фракции с частицами размером от 0, 2 до 0, 5 мм, прокаленные при (400±10°С в токе азота в течение 4 ч.
7.1.3.2 Условия определения:
температура термостата колонки, °С ................................ 130 - 160
объемный расход газа-носителя, дм3/ч ................................. 2, 0±0, 3
объем пробы, см3 ................................................................... 0, 5 - 1, 0
7.1.3.3 Типовая хроматограмма градуировочной смеси с объемной долей ацетилена - 0, 0010%, метилацетилена - 0, 0017%, пропадиена - 0, 0015% приведена на рисунке 10.
7.1.3.4 Допускается определять объемную долю метилацетилена и пропадиена по 7.1.5.

"Рисунок 10 - Типовая хроматограмма градуировочной смеси ацетилена, метилацетилена, пропадиена в пропилене на колонке с углем СКТ"
7.1.4 Определение объемной доли углеводородов C4
7.1.4.1 Определение проводят с предварительным гидрированием непредельных углеводородов C4 в изо- и н-бутаны.
Допускается непосредственное определение объемной доли углеводородов C4 (без гидрирования) по 7.1.5.
7.1.4.2 Для определения применяют: газовый хроматограф с пламенно-ионизационным детектором; насадочную хроматографическую колонку длиной 9 м; реактор гидрирования с катализатором гидрирования (например, с платиной на оксиде алюминия), присоединенный перед хроматографической колонкой: газ-носитель - водород; твердый носитель - диатомитовый кирпич типа динохрома Н и хромосорба Р любой фракции с частицами размером от 0, 25 до 0, 5 мм или сферохрома-3 с частицами размером от 0, 25 до 0, 315 мм, предварительно высушенный при (200±5)°С в течение 4 ч; сорбент, приготовленный по 6.1.4.2.
7.1.4.3 Условия определения:
температура термостата колонки, °С ........................................ 40
температура реактора, °С ..................................................... 100±2
объемный расход газа-носителя, дм3/ч .............................. 1, 0-1, 5
объемный расход вспомогательных газов:
азота, дм3/ч ...................................................... 2, 0±0, 3
воздуха, дм3/ч ...................................................... 30±2
объем пробы, см3 ................................................... 0, 5
7.1.4.4 Типовая хроматограмма градуировочной смеси с объемной долей изо-бутана - 0, 00009%, пропадиена - 0, 0840%, н-бутана - 0, 0401%, метил-ацетилена - 0, 0122%, цис-бутилена - 0, 0040%, бутадиена-1, 3 - 0, 1490% приведена на рисунке 11.

"Рисунок 11 - Типовая хроматограмма градуировочной смеси углеводородов C4 в пропилене на насадочной колонке с 25% ТБФ на динохроме Н"
7.1.5 Определение объемной доли диеновых углеводородов, метилацетилена, бутиленов и бутанов
7.1.5.1 Определение проводят по 6.1.4.
Типовая хроматограмма градуировочной смеси с объемной долей н-бутана - 0, 0160%, пропадиена - 0, 0103%, метилацетилена - 0, 0061% приведена на рисунке 12.

"Рисунок 12 - Типовая хроматограмма градуировочной смеси диеновых углеводородов, метилацетилена и бутанов в пропилене"
8.1 Обработку результатов измерений выполняют с помощью программного обеспечения персонального компьютера или интегратора.
При использовании программы сбора и обработки хроматографической информации производится автоматическое обнаружение, измерение площадей, идентификация хроматографических пиков и расчет объемной доли каждой примеси.
8.2 Объемную долю каждой примеси, кроме метанола, Xi, %, вычисляют по формуле
Xi=Kis·Si или Xi=Kih·hi,
(11)
где Kis или Kih - градуировочный коэффициент, определяемый по 5.5.1.7;
Si - площадь пика, усл. ед.;
hi - высота пика, усл. ед.
При использовании для приготовления градуировочных смесей углеводорода с числом атомов углерода в молекуле, отличающимся от числа атомов углерода в молекуле примеси, объемную долю определяемой примеси Xi, %, вычисляют по формуле
,
(12)
где Kns - градуировочный коэффициент для углеводорода, взятого для приготовления градуировочной смеси, определяемый по 5.5.1.7;
Si - площадь пика примеси, усл. ед.;
n - число атомов углерода в молекуле углеводорода, взятого для приготовления градуировочной смеси;
ni - число атомов углерода в молекуле примеси.
При автоматическом обсчете хроматограмм отношение n/ni вводят в программу расчета как поправочный коэффициент для компонента относительно стандарта.
8.3 Вычисление объемной доли метанола в этилене
8.3.1 При определении метанола по методу, изложенному в 6.3.1, высоту пика метанола при анализе раствора сравнения определяют не менее трех раз и вычисляют среднее арифметическое значение.
Объемную долю метанола в этилене Xм, %, вычисляют по формуле
,
(13)
где 0, 01 - объемная доля метанола в растворе сравнения, рассчитанная на 100 дм3 этилена, %;
hм - высота пика метанола в пробе анализируемого раствора, усл. ед;
h - среднее арифметическое значение высоты пика метанола в пробе раствора сравнения, усл. ед.;
V - объем пропущенного этилена, дм3;
100 - 100 дм3 этилена.
Допускается вычислять результаты измерений по площадям пиков.
8.3.2 При определении метанола по методу, изложенному в 6.3.2, объемную долю метанола Xм, %, вычисляют по формуле
Xм=Kм·S,
(14)
где Kм - градуировочный коэффициент метанола, определяемый по 5.5.2.5;
S - площадь пика метанола, усл. ед.
8.4 Проверку приемлемости результатов параллельных определений, полученных в условиях повторяемости, проводят при получении каждого результата измерений объемной доли примесей в этилене и пропилене. За результат измерений объемной доли определяемой примеси принимают среднеарифметическое значение результатов двух параллельных определений X1 и X2, полученных в условиях повторяемости, при выполнении следующего условия
,
(15)
где X1 и X2 - результаты параллельных определений, % (объемная доля);
r - предел повторяемости, приведенный в таблицах В.1 и В.2 для каждой определяемой примеси, %.
При невыполнении условия (15) используют методы проверки приемлемости результатов параллельных определений и установления окончательного результата измерений согласно [3].
8.5 Расхождение между результатами измерений, полученными в двух лабораториях, не должно превышать критической разности CD0, 95.
,
(16)
где X1 и X2 - результаты измерений объемных долей примесей в этилене или пропилене, полученные в двух лабораториях, %;
CD0, 95 - критическая разность, %.
Значения CD0, 95 приведены в таблицах В.1 и В.2 для каждой определяемой примеси.
При выполнении условия (16) приемлемы оба результата измерений и в качестве окончательного может быть использовано их общее среднее значение.
При превышении критической разности используют способы оценки приемлемости результатов измерений согласно [3].
8.6 Объемную долю этилена или пропилена X, %, вычисляют по формуле
X=100-∑Xn,
(17)
где ∑Xn - сумма объемных долей примесей в продукте, %.
8.7 Контроль показателей качества результатов измерений
Контроль показателей качества результатов измерений в лаборатории должен предусматривать проведение контроля стабильности результатов измерений с учетом требований [4].
Результаты измерений регистрируют в протоколе испытаний, который оформляют в соответствии с требованиями ГОСТ ИСО/МЭК 17025, при этом протокол испытаний должен содержать ссылку на настоящий стандарт.
Результаты измерений объемных долей примесей в этилене и пропилене представляют в виде
X̅±U, к = 2,
(18)
где X̅ - результат измерения объемной доли примеси, полученный в соответствии с методом анализа, %;
U - расширенная абсолютная неопределенность измерений, %, вычисляемая по формуле
U=0, 01·Uотн·X̅
(19)
где Uотн - расширенная относительная неопределенность, %.
Значения Uотн приведены в таблицах В.1 и В.2.
Примечание - Результаты измерений суммы объемных долей примесей в пропилене по ГОСТ 25043 или этилене по ГОСТ 25070, например, объемных долей пропадиена и бутадиена представляют в виде
X̅∑±U∑,
(20)
где X̅∑ - сумма объемных долей примесей, %;
U∑ - расширенная абсолютная неопределенность измерений суммы объемных долей примесей, %, вычисляемая по формуле
,
(21)
где X̅1, X̅2 - результаты измерений объемных допей примесей, %;
Uотн1, Uотн2 - значения расширенной относительной неопределенности, %.
Значения Uотн1, Uотн2 приведены в таблицах В.1 или В.2 для значений X̅1 и X̅2 соответственно.
Значения показателей прецизионности и расширенной неопределенности (коэффициент охвата равен 2) результатов измерения объемной доли примесей в анализируемых пробах этилена и пропилена приведены в таблицах В.1 и В.2.
_____________________________
*(1) На территория Российской Федерации действует ГОСТ Р 8.563-2009 "Государственная система обеспечения единства измерений. Методики (методы) измерений".
*(2) На территории Российской Федерации действует ГОСТ Р 12.1.019-2009 "Система стандартов безопасности труда. Электробезопасность. Общие требования и номенклатура видов защиты".
*(3) На территории Российской Федерации действует ГОСТ Р 53228-2008 "Весы неавтоматического действия. Часть 1. Метрологические и технические требования".
*(4) На территории Российской Федерации действует ГОСТ Р 8.568-97 "Государственная система обеспечения единства измерений. Аттестация испытательного оборудования. Основные положения".
*(5) На территории Российской Федерации действует ГОСТ Р ИСО 11095-2007 "Статистические методы. Линейная калибровка с использованием образцов сравнения".
Приложение А
(обязательное)
А.1 Требования безопасности
При выполнении измерений соблюдают следующие требования:
А.1.1 Требования техники безопасности при работе с химическими реактивами по ГОСТ 12.1.007.
А.1.2 Требования электробезопасности при работе с электроустановками по ГОСТ 12.1.019*.
А.1.3 Требования, изложенные в эксплуатационной документации на средства измерений, испытательное и вспомогательное оборудование.
А.1.4 Помещение, в котором проводятся работы, должно быть оборудовано общей приточно-вытяжной вентиляцией по ГОСТ 12.4.021. Содержание вредных веществ в воздухе рабочей зоны не должно превышать норм, установленных в ГОСТ 12.1.005**.
А.1.5 Помещение лаборатории должно соответствовать требованиям пожаробезопасности по ГОСТ 12.1.004 и иметь средства пожаротушения по ГОСТ 12.4.009.
А.1.6 Работающие должны быть обучены правилам безопасности труда согласно ГОСТ 12.0.004.
А.2 Требования к квалификации операторов
К выполнению измерений и обработке их результатов могут быть допущены специалисты, имеющие высшее или среднее специальное образование, владеющие техникой газохроматографического анализа.
Специалисты должны быть знакомы с устройством средств измерений, операциями, проводимыми при подготовке, выполнения измерений и обработке результатов.
А.3 Условия измерений
При выполнении измерений соблюдают следующие условия:
- температура окружающего воздуха (20±5)°С:
- относительная влажность воздуха не более 80% при 25°С;
- частота переменного тока (50±1, 0) Гц;
- напряжение в сети (220±22) В.
_____________________________
* На территории Российской Федерации действует ГОСТ Р 12.1.019-2009 "Система стандартов безопасности труда. Электробезопасность. Общие требования и номенклатура видов защиты".
** На территории Российской Федерации действуют ГН 2.2.5.1313-03 "Гигиенические нормативы "Предельно допустимые концентрации (ПДК) вредных веществ в воздухе рабочей зоны".
Приложение Б
(обязательное)

"Рисунок Б.1 - Типовая хроматограмма градуировочной смеси углеводородных примесей этилена в азоте на капиллярной колонке с Al2O3/KCl "

"Рисунок Б.2 - Типовая хроматограмма градуировочной смеси углеводородных примесей пропилена на капиллярной колонке с Al2O3/Na2SO4"
Приложение В
(обязательное)
|
Наименование примеси и диапазон измерений (объемная доля), % |
Расширенная относительная неопределенность (при коэффициенте охвата k = 2), Uотн, % |
Предел повторяемости (относительное значение допускаемого расхождения между двумя результатами параллельных определений при Р = 0, 95), r, % |
Критическая разность* (относительное значение допускаемого расхождения между двумя результатами, полученными в разных лабораториях при Р=0, 95), CD0, 95, % |
|
Метан: от 0, 0001 до 0, 2 включ. |
25 |
14 |
28 |
|
Этан: от 0, 0001 до 0, 2 включ. |
25 |
14 |
28 |
|
Пропилен: от 0, 0001 до 0, 04 включ. |
23 |
14 |
24 |
|
Ацетилен: от 0, 0001 до 0, 006 включ. |
23 |
14 |
24 |
|
Пропадиен: от 0, 0001 до 0, 001 включ. |
28 |
16 |
32 |
|
Бутадиен-1, 3: от 0, 0001 до 0, 001 включ. |
28 |
16 |
32 |
|
Окись углерода: от 0, 0001 до 0, 001 включ. |
26 |
14 |
28 |
|
Двуокись углерода: от 0, 0001 до 0, 03 включ. |
30 |
18 |
36 |
|
Метанол: от 0, 0001 до 0, 002 включ. |
30 |
18 |
36 |
|
Наименование примеси и диапазон измерений (объемная доля), % |
Расширенная относительная неопределенность (при коэффициенте охвата k = 2), Uотн, % |
Предел повторяемости (относительное значение допускаемою расхождения между двумя результатами параллельных определений при Р = 0, 95), r, % |
Критическая разность* (относительное значение допускаемого расхождения между двумя результатами, полученными о разных лабораториях при Р = 0, 95), CD0, 95, % |
|
Этан: от 0, 0001 до 1, 4 включ. |
25 |
15 |
28 |
|
Этилен: от 0, 0001 до 0, 02 включ. |
26 |
15 |
28 |
|
Пропан: от 0, 001 до 1, 4 включ. |
23 |
15 |
24 |
|
Метилацетилен: от 0, 0001 до 0, 07 включ. |
30 |
18 |
36 |
|
Изобутан: от 0, 0001 до 0, 1 включ. |
23 |
15 |
24 |
|
н-Бутан: от 0, 0001 до 0, 1 включ. |
28 |
16 |
32 |
|
Пропадиен: от 0, 0001 до 0, 03 включ. |
28 |
16 |
32 |
|
Бутадиен-1, 3: от 0, 0001 до 0, 03 включ. |
28 |
16 |
32 |
|
Изобутилен: от 0, 0001 до 0, 01 включ. |
23 |
15 |
24 |
|
Ацетилен: от 0, 0001 до 0, 01 включ. |
28 |
16 |
32 |
|
н-Бутилен: от 0, 0001 до 0, 01 включ. |
23 |
15 |
24 |
|
Цис-бутилен: от 0, 0001 до 0, 01 включ. |
28 |
16 |
32 |
|
Транс-бутилен: от 0, 0001 до 0, 01 включ. |
28 |
16 |
32 |
_____________________________
* Соответствует пределу воспроизводимости по [5].
Библиография
|
[1] |
РМГ 60-2003 |
Рекомендации по межгосударственной стандартизации "Государственная система обеспечения единства измерений. Смеси аттестованные. Общие требования к разработке" |
|
[2] |
РМГ 54-2002 |
Рекомендации по межгосударственной стандартизации "Государственная система обеспечения единства измерений. Характеристики градуировочных средств измерений состава и свойств веществ и материалов. Методики выполнения измерений с использованием стандартных образцов" |
|
[3] |
ИСО 5725-6-1994 |
Точность (правильность и прецизионность) методов и результатов измерений. Часть 6. Использование значений точности на практике |
|
[4] |
РМГ 76-2004 |
Рекомендации по межгосударственной стандартизации "ГСИ. Внутренний контроль качества результатов количественного химического анализа" |
|
[5] |
РМГ 61-2010 |
Рекомендации по межгосударственной стандартизации "Государственная система обеспечения единства измерений. Показатели точности, правильности, прецизионности методик количественного химического анализа. Методы оценки" |


