ГОСТ 23452-2015 МОЛОКО И МОЛОЧНЫЕ ПРОДУКТЫ. МЕТОДЫ ОПРЕДЕЛЕНИЯ ОСТАТОЧНЫХ КОЛИЧЕСТВ ХЛОРОРГАНИЧЕСКИХ ПЕСТИЦИДОВ
Milk and milk products. Methods for determination of the hlororganic pesticides residues
Дата введения*(1) - 1 июля 2016 г.
Взамен ГОСТ 23452-79
Предисловие
Цели, основные принципы и основной порядок проведения работ по межгосударственной стандартизации установлены ГОСТ 1.0-92 "Межгосударственная система стандартизации. Основные положения" и ГОСТ 1.2-2009 "Межгосударственная система стандартизации. Стандарты межгосударственные, правила и рекомендации по межгосударственной стандартизации. Правила разработки, принятия, применения, обновления и отмены"
Сведения о стандарте
1 Разработан Государственным бюджетным учреждением Ярославской области "Ярославский государственный институт качества сырья и пищевых продуктов" (ГБУ ЯО "ЯГИКСПП")
2 Внесен Федеральным агентством по техническому регулированию и метрологии (Росстандарт)
3 Принят Межгосударственным советом по стандартизации, метрологии и сертификации (протокол от 12 ноября 2015 г. N 82-П)
За принятие проголосовали:
|
Краткое наименование страны по МК (ИСО 3166) 004-97 |
Код страны по МК (ИСО 3166) 004-97 |
Сокращенное наименование национального органа по стандартизации |
|
Азербайджан Армения Беларусь Киргизия Россия |
AZ AM BY KG RU |
Азстандарт Минэкономики Республики Армения Госстандарт Республики Беларусь Кыргызстандарт Росстандарт |
4 Приказом Федерального агентства по техническому регулированию и метрологии от 30 ноября 2015 г. N 2082-ст межгосударственный стандарт ГОСТ 23452-2015 введен в действие в качестве национального стандарта Российской Федерации с 1 июля 2016 г.
5 Взамен ГОСТ 23452-79
Настоящий стандарт распространяется на молоко и молочные продукты и устанавливает методы определения содержания хлорорганических пестицидов (альфа-, бета- и гамма-изомеров гексахлорциклогексана (ГХЦГ), 4, 4'-дихлордифенилтрихлорэтана (ДДТ), 4, 4'-дихлордифенилдихлорэтилена (ДДЭ), 4, 4'-дихлордифенилдихлорэтана (ДДД):
- методом хроматографии в тонком слое в диапазоне измерений массовой концентрации хлорорганических пестицидов 0, 05 - 5, 0 мг/кг;
- методом газожидкостной хроматографии с использованием газового хроматографа с электронозахватным детектором в диапазоне измерений массовой концентрации хлорорганических пестицидов 0, 005 - 0, 5 мг/кг.
В настоящем стандарте использованы нормативные ссылки на следующие стандарты:
ГОСТ 12.1.004-91 Система стандартов безопасности труда. Пожарная безопасность. Общие требования
ГОСТ 12.1.005-88 Система стандартов безопасности труда. Общие санитарно-гигиенические требования к воздуху рабочей зоны
ГОСТ 12.1.007-76 Система стандартов безопасности труда. Вредные вещества. Классификация и общие требования безопасности
ГОСТ 12.1.010-76 Система стандартов безопасности труда. Взрывобезопасность. Общие требования
ГОСТ 12.1.018-93 Система стандартов безопасности труда. Пожаровзрывобезопасность статического электричества. Общие требования
ГОСТ 12.1.019-2009*(2) Система стандартов безопасности труда. Электробезопасность. Общие требования и номенклатура видов защиты
ГОСТ 12.4.009-83 Система стандартов безопасности труда. Пожарная техника для защиты объектов. Основные виды. Размещение и обслуживание
ГОСТ 12.4.021-75 Система стандартов безопасности труда. Системы вентиляционные. Общие требования
ГOCT OIML R 76-1-2011 Государственная система обеспечения единства измерений. Весы неавтоматического действия. Часть 1. Метрологические и технические требования. Испытания
ГОСТ 427-75 Линейки измерительные металлические. Технические условия
ГОСТ 1277-75 Реактивы. Серебро азотнокислое. Технические условия
ГОСТ 1770-74 (ИСО 1042-63, ИСО 4788-80) Посуда мерная лабораторная стеклянная. Цилиндры, мензурки, колбы, пробирки. Общие технические условия
ГОСТ 2603-79 Реактивы. Ацетон. Технические условия
ГОСТ 3760-79 Реактивы. Аммиак водный. Технические условия
ГОСТ ISO 3890-1-2013 Молоко и молочные продукты. Определение остаточного содержания хлорорганических соединений (пестицидов). Часть 1. Общие положения и методы экстракции
ГОСТ ISO 3890-2-2013 Молоко и молочные продукты. Определение остаточного содержания хлорорганических соединений (пестицидов). Часть 2. Методы очистки экстракта и подтверждение
ГОСТ ИСО 5725-1-2003*(3) Точность (правильность и прецизионность) методов и результатов измерений. Часть 1. Основные положения и определения
ГОСТ ИСО 5725-3-2002*(4) Точность (правильность и прецизионность) методов и результатов измерений. Часть 3. Промежуточные показатели прецизионности стандартного метода измерения
ГОСТ ИСО 5725-4-2003*(5) Точность (правильность и прецизионность) методов и результатов измерений. Часть 4. Основные методы определения правильности стандартного метода измерений
ГОСТ ИСО 5725-6-2003*(6) Точность (правильность и прецизионность) методов и результатов измерений. Часть 6. Использование значений точности на практике
ГОСТ 5867-90*(7) Молоко и молочные продукты. Методы определения жира
ГОСТ 6709-72 Вода дистиллированная. Технические условия
ГОСТ 9293-74 Азот газообразный и жидкий. Технические условия
ГОСТ 14919-83 Электроплиты, электроплитки и жарочные электрошкафы бытовые. Общие технические условия
ГОСТ 25336-82 Посуда и оборудование лабораторные стеклянные. Типы, основные параметры и размеры
ГОСТ 26809.1-2014 Молоко и молочная продукция. Правила приемки, методы отбора и подготовка проб к анализу. Часть 1. Молоко, молочные, молочные составные и молокосодержащие продукты
ГОСТ 26809.2-2014 Молоко и молочная продукция. Правила приемки, отбор проб и подготовка их к анализу. Часть 2. Масло из коровьего молока, спреды, сыры и сырные продукты, плавленые сыры и плавленые сырные продукты
ГОСТ 29227-91 (ИСО 835-1-81) Посуда лабораторная стеклянная. Пипетки градуированные. Часть 1. Общие требования
Примечание - При пользовании настоящим стандартом целесообразно проверить действие ссылочных стандартов и классификаторов на территории государства по соответствующему указателю стандартов и классификаторов, составленному по состоянию на 1 января текущего года, и по соответствующим информационным указателям, опубликованным в текущем году. Если ссылочный заменен (изменен), то при пользовании настоящим стандартом следует руководствоваться заменяющим (измененным) стандартом. Если ссылочный стандарт отменен без замены, то положение, в котором дана ссылка на него, применяется в части, не затрагивающей эту ссылку.
В настоящем стандарте применены термины в соответствии с [1] и [2], а также следующие термины с соответствующими определениями:
3.1 тонкослойная хроматография: Метод разделения и анализа смеси веществ, основанный на использовании тонкого слоя адсорбента в качестве неподвижной фазы, где разделяемые вещества, в зависимости от сорбционной способности, по-разному распределяются между сорбирующим слоем и протекающим через него элюентом.
3.2 газожидкостная хроматография: Метод разделения и анализа смеси веществ, основанный на их различных температурах кипения и взаимодействия с неподвижной жидкой фазой в потоке газа-носителя.
В настоящем стандарте использованы следующие сокращения:
α-ГХЦГ-альфа-изомер гексахлорциклогексана.
β -ГХЦГ-бета-изомер гексахлорциклогексана.
γ-ГХЦГ-гамма-изомер гексахлорциклогексана.
ДДТ - 4, 4'-дихлордифенилтрихлорэтан.
ДДЭ - 4, 4'-дихлордифенилдихлорэтилен.
ДДД - 4, 4'-дихлордифенилдихлорэтан.
5.1 Метод тонкослойной хроматографии
Метод основан на предварительной экстракции хлорорганических пестицидов, очистке экстракта, разделении аналитов в тонком слое адсорбента хроматографической пластины и их количественном определении путем визуального сопоставления интенсивности окраски пятен и измерения площади пятна на пластине испытуемого экстракта и площади пятна рабочего градуировочного раствора.
5.2 Метод газожидкостной хроматографии
Метод основан на предварительной экстракции хлорорганических пестицидов, очистке экстракта и последующем количественном определении пестицидов с помощью газожидкостной хроматографии с электронозахватным детектором методом абсолютной калибровки.
Отбор и подготовка проб к анализу - по ГОСТ 26809.1, ГОСТ 26809.2.
До начала проведения измерений пробы всех молочных продуктов, за исключением молочных консервов и других молочных продуктов в запаянных или закатанных банках, хранят при температуре от 4°С до 8°С, пробы мороженого - при температуре не выше 2°С.
При выполнении измерений в лаборатории следует соблюдать следующие условия:
температура окружающего воздуха ............. (20±5)°С;
относительная влажность воздуха ............. (55±25)%;
атмосферное давление ........................ (95±10) кПа;
8.1 Средства измерения, вспомогательное оборудование, посуда, реактивы и материалы
Камера для хроматографирования: сосуд с плоским дном, закрывающийся пришлифованной крышкой.
Облучатель хроматографический типа УФС 254/365 по нормативной документации.
Весы по ГОСТ OIML R 76-1, обеспечивающие точность взвешивания с пределом допускаемой абсолютной погрешности ±0, 0005 г.
Шкаф сушильный лабораторный любого типа, поддерживающий температуру до 200°С с погрешностью ±5°С по ГОСТ 14919.
Микрошприц вместимостью 10 мм3 с относительной погрешностью дозирования не более 5%.
Линейка 300 по ГОСТ 427.
Пластины для тонкослойной хроматографии Сорбфил (тип сорбента - силикагель СТХ-1А, зернение 5 - 17 мкм, толщина слоя 90 - 130 мкм, связующее - силиказоль, УФ индикатор-254, тип подложки - ПЭТФ, размер пластины 100 х 100 мм).
Груша резиновая медицинская вместимостью 100 см3.
Шпатель металлический.
Пипетки 1-2-2-1, 1-2-2-2, 1-2-2-5, 1-2-2-10 по ГОСТ 29227.
Колба мерная с притертой пробкой 2-100-2 по ГОСТ 1770.
Колбы круглодонные К-25-29/32 по ГОСТ 25336.
Вода дистиллированная по ГОСТ 6709.
Аммиак водный по ГОСТ 3760, ч.д.а.
н-Гексан х.ч. или ч.д.а.
Ацетон ч.д.а. по ГОСТ 2603.
Серебро азотнокислое по ГОСТ 1277, ч.д.а.
α -ГХЦГ массовой долей основного вещества не менее 97, 0%.
β -ГХЦГ массовой долей основного вещества не менее 97, 0%.
γ -ГХЦГ массовой долей основного вещества не менее 97, 0%.
ДДТ массовой долей основного вещества не менее 97, 0%.
ДДД массовой долей основного вещества не менее 97, 0%.
ДДЭ массовой долей основного вещества не менее 97, 0%.
Допускается применение других средств измерения и вспомогательного оборудования, не уступающих вышеуказанным по метрологическим и техническим характеристикам и обеспечивающим необходимую точность измерения, а также реактивов и материалов по качеству не хуже вышеуказанных.
8.2 Подготовка к проведению измерений
8.2.1 Приготовление градуировочных растворов хлорорганических пестицидов
8.2.1.1 Приготовление градуировочных растворов пестицидов массовой концентрацией 100 мкг/см3
Градуировочные растворы готовят объемно-весовым способом для каждого пестицида отдельно.
В мерную колбу вместимостью 100 см3 вносят (0, 010±0, 001) г пестицида и добавляют 10 - 15 см3 н-гексана, растворяют содержимое и доводят объем в колбе н-гексаном до метки.
Срок хранения градуировочных растворов пестицидов в склянках с плотно завинчивающимися крышками при температуре (4±2)°С - не более 6 мес.
8.2.1.2 Приготовление проявляющего реактива
В мерной колбе вместимостью 100 см3 растворяют 0, 5 г азотнокислого серебра в 5 см3 дистиллированной воды, добавляют 7 см3 раствора аммиака и доводят объем в колбе ацетоном до метки.
Проявляющий реактив готовят непосредственно перед проведением анализа.
8.2.2 Подготовка пластины для хроматографирования
Пластину для хроматографирования помещают в хроматографическую камеру, на дно которой налито небольшое количество аммиака, и оставляют. После подъема фронта аммиака до конца пластины ее вынимают из камеры и сушат в вытяжном шкафу до исчезновения запаха аммиака.
Перед использованием пластину активируют в сушильном шкафу при температуре (65±2)°С в течение 4 мин.
Пластину для хроматографирования готовят непосредственно перед проведением анализа.
8.2.3 Подготовка хроматографической камеры
В хроматографическую камеру наливают смесь подвижных растворителей н-гексана-ацетона в соотношении 6:1 по объему для насыщения ее парами. Объем подвижного растворителя должен находиться на высоте не более, чем 0, 5 см от уровня дна камеры.
Хроматографическую камеру готовят за 1 ч до начала хроматографирования.
8.2.4 Подготовка пробы продукта
Подготовку пробы продукта, экстракцию хлорорганических пестицидов и очистку экстракта осуществляют по ГОСТ ISO 3890-1, ГОСТ ISO 3890-2.
8.3 Проведение измерений
Сухой очищенный остаток, полученный по 8.2.4 непосредственно перед проведением измерений, растворяют в круглодонной колбе вместимостью 25 см3, вносят пипеткой 1 см3 н-гексана и перемешивают. Отбирают 0, 01 см3 полученного раствора и наносят на линию старта хроматографической пластины, находящуюся от края на расстоянии 2, 0 см. Слева и справа от пробы на расстоянии не менее 10 мм наносят по 0, 02 см3 градуировочных растворов хлорорганических пестицидов, приготовленных по 8.2.1.1, массовой концентрации 2 мкг/см3 каждого пестицида соответственно.
Пластины с нанесенными растворами пестицидов помещают в камеру для хроматографирования.
После того, как фронт растворителя поднимется на 1 см, пластину вынимают из камеры и оставляют на несколько минут до исчезновения запаха. Затем пластину орошают проявляющим реактивом и подвергают действию ультрафиолетового света в течение 10 - 15 мин на расстоянии 20 см от источника света.
При наличии хлорорганических пестицидов на белом фоне пластинки появляются пятна серо-черного цвета, которые располагаются в следующем порядке (снизу вверх): γ -ГХЦГ (Rf*(8) = 0, 21), β-ГХЦГ (Rf = 0, 26), α -ГХЦГ (Rf = 0, 30), ДДД (Rf = 0, 32), ДДЭ (Rf = 0, 66), ДДТ (Rf = 0, 89).
По значениям соответствующих Rf определяют наличие хлорорганических пестицидов, присутствующих в продукте.
Для количественного определения пестицидов каждый образец анализируют не менее двух раз, проведя предварительную оценку содержания пестицидов пробы и градуировочных растворов. Объемы градуировочных растворов и их концентрации подбираются в зависимости от интенсивности окраски сравниваемых пятен и их площадей.
8.4 Обработка результатов измерений
Расчет массовой концентрации пестицидов в пробе проводят путем сопоставления площади пятна испытуемого экстракта и площади пятна градуировочного раствора, наиболее близкого по интенсивности окраски к пятну экстракта.
Массовую концентрацию каждого из хлорорганических пестицидов в анализируемой пробе X, мг/кг, вычисляют по формуле
,
(1)
где m - количество пестицида в 1 см3 стандартного раствора пестицида, мкг;
m1 - масса анализируемой пробы по 8.2.4 продукта, г;
S1 - площадь пятна, полученного при нанесении анализируемого экстракта, см2;
S2 - площадь пятна, полученного при нанесении градуировочного раствора, см2;
V1 - объем экстракта, в котором перерастворен сухой остаток, см3;
V2 - объем анализируемого экстракта, нанесенного на пластину, см3;
k - коэффициент извлечения.
Коэффициент извлечения k для каждого хлорорганического пестицида определяют отдельно с использованием контрольной пробы, в которую заранее вносят известное количество пестицида и проводят через все стадии анализа.
Коэффициент извлечения k рассчитывают по формуле
,
(2)
где X - массовая концентрация пестицида в пробе с добавкой, мг/кг;
Xпр - массовая концентрация пестицида в пробе, мг/кг;
Xдоб - массовая концентрация добавки пестицида, мг/кг.
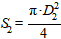
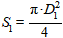
Площади пятен, мм2, полученных при нанесении анализируемого экстракта S1 и полученных при нанесении стандартного раствора S2 вычисляют по формулам
и
(3)
,
(4)
где D1 - диаметр пятна, полученного при нанесении анализируемого экстракта, см;
D2 - диаметр пятна, полученного при нанесении стандартного раствора, см.
При нанесении всей пробы V1=V2.
В случае, когда необходимо определить массовую концентрацию хлорорганических пестицидов в пересчете на массовую долю жира, вычисляют по формуле
,
(5)
где 100 - коэффициент пересчета на 1 кг жира.
В - массовая доля жира в продукте, %.
Массовую долю жира продукта определяют по ГОСТ 5867.
Вычисление массовой концентрации хлорорганических пестицидов в анализируемой пробе проводят до третьего десятичного знака. Окончательный результат округляют до второго десятичного знака.
8.5 Метрологические характеристики
Метод тонкослойной хроматографии обеспечивает получение результатов измерения с метрологическими характеристиками (при Р = 0, 95), не превышающими значений, приведенных в таблице 1.
|
Диапазон массовой концентрации, мг/кг |
Предел повторяемости rотн., % |
Предел воспроизводимости Rотн., % |
Расширенная неопределенность* Uотн., % |
|
От 0, 05 до 5, 0 включ. |
22 |
30 |
35 |
|
* Значение расширенной неопределенности измерений) при коэффициенте охвата k = 2, установленное в соответствии с ГОСТ ИСО 5725-1 и ГОСТ ИСО 5725-4 (систематическая составляющая погрешности 8%, случайная составляющая погрешности 27%). | |||
8.6 Обработка результатов определения
Результат определения представляют в виде
X=(X̅±U), мг/кг,
(6)
где X̅ - среднеарифметическое значение результатов двух параллельных определений, (мг/кг);
U - абсолютная расширенная неопределенность измерений при коэффициенте охвата k = 2, %, рассчитываемая по формуле
U=0, 01·Uотн·X̅,
(7)
где Uотн - относительная расширенная неопределенность измерений (в относительных единицах) при коэффициенте охвата k = 2, определенная по таблице 1, %.
Числовое значение результата определения должно оканчиваться цифрой того же разряда, что и значение расширенной неопределенности измерений.
Допускается результат измерений представлять в виде
X=(X̅±Uлаб), мг/кг.
(8)
При условии Uлаб≤U, где Uлаб - значение расширенной неопределенности измерений, установленное при реализации настоящего метода в лаборатории и обеспечиваемое контролем стабильности результатов измерений в лаборатории.
Числовое значение результата определения должно оканчиваться цифрой того же разряда, что и значение расширенной неопределенности измерений.
9.1 Средства измерений, вспомогательное оборудование, посуда, реактивы и материалы
Вспомогательное оборудование, посуда, реактивы и материалы - по 8.1 со следующим дополнением:
Хроматограф газовый, оснащенный электронозахватным детектором, и программным обеспечением для сбора и обработки данных.
Колонки капиллярные кварцевые для хроматографического разделения длиной 25 - 50 м и внутренним диаметром от 0, 25 мм до 0, 50 мм с нанесенной неподвижной фазой средней полярности типа (95%)-диметил-(5%)-дифенилполисилоксана и толщиной пленки 0, 25 - 0, 5 мкм.
Допускается использование набивных колонок длиной 1 - 3 м и внутренним диаметром 3 - 4 мм с использованием в качестве сорбента хроматон зернением 0, 16 мм - 0, 20 мм с нанесенной неподвижной фазой типа SE или OV и толщиной пленки 0, 5 мкм.
Подготовка набивной колонки приведена в приложении А.
Колбы мерные с притертыми пробками 2-10-2, 2-25-2 по ГОСТ 1770.
Насос вакуумный.
Стекловата или стекловолокно.
Азот газообразный по ГОСТ 9293, ос.ч.
Емкости для жидких проб стеклянные (виалы), вместимостью 2 см3, снабженные крышками с силиконовой мембраной.
9.2 Подготовка к проведению измерений
9.2.1 Подготовка реактивов и материалов
9.2.1.1 Приготовление основных градуировочных растворов хлорорганических пестицидов массовой концентрации 100 мкг/см3
Приготовление основных градуировочных растворов хлорорганических пестицидов массовой концентрации 100 мкг/см3 - по 8.2.1.1.
9.2.1.2 Приготовление промежуточных градуировочных растворов хлорорганических пестицидов N 1 массовой концентрации 10 мкг/см3
Промежуточный градуировочный раствор N 1 для каждого пестицида готовят отдельно.
В мерную колбу вместимостью 25 см3 пипеткой вносят 2, 5 см3 основного градуировочного раствора пестицида по 9.2.1.1 и доводят до метки н-гексаном и перемешивают.
Срок хранения промежуточных градуировочных растворов пестицидов N 1 в склянках с плотно завинчивающимися крышками при температуре (4±2)°С - не более 2 мес.
9.2.1.3 Приготовление промежуточных градуировочных растворов хлорорганических пестицидов N 2 массовой концентрации 1 мкг/см3
Промежуточный градуировочный раствор N 2 для каждого хлорорганического пестицида готовят отдельно.
В мерную колбу вместимостью 25 см3 пипетками вносят 2, 5 см3 промежуточного градуировочного раствора N 1 по 9.2.1.2 и доводят до метки н-гексаном и перемешивают.
Срок хранения промежуточных градуировочных растворов пестицидов N 2 в склянках с плотно завинчивающимися крышками при температуре (4±2)°С - не более 2 мес.
9.2.1.4 Приготовление рабочих градуировочных растворов хлорорганических пестицидов
Для приготовления рабочих градуировочных растворов пестицидов массовой концентрации 0, 02 мкг/см3, 0, 05 мкг/см3, 0, 1 мкг/см3, 0, 2 мкг/см3 и 2, 0 мкг/см3 отбирают пипетками по 0, 2 см3, 0, 5 см3, 1 см3, 2 см3 промежуточного раствора N 2 соответственно для каждого пестицида и переносят в мерные колбы на 10 см3, а для раствора массовой концентрации 2, 0 мкг/см3 отбирают пипеткой 2 см3 промежуточного раствора N 1 в мерную колбу на 10 см3, доводят н-гексаном до метки и перемешивают.
Срок хранения рабочих градуировочных растворов пестицидов в склянках с плотно завинчивающимися крышками при температуре (4±2)°С - не более одного месяца.
9.2.2 Подготовка хроматографа
Подготовку хроматографа к работе проводят в соответствии с руководством (инструкцией) по эксплуатации.
Условия хроматографирования, обеспечивающие наилучшее разделение пиков, для конкретного хроматографа и колонки подбираются индивидуально.
Рекомендуемые условия хроматографирования приведены ниже:
а) при работе с капиллярными колонками:
температура детектора - от 270°С до 290°С;
температура испарителя - 230°С;
программирование температуры - двухступенчатое: начальная температура колонки - 150°С и время анализа при этой температуре - 2 мин; скорость повышения температуры - 5°С/мин, конечная температура колонки - 250°С и время поддержания конечной температуры - 20 мин:
газ-носитель - азот;
давление газа-носителя - 0, 8 кгс/см2;
скорость прохождения газа-носителя через колонку - 1 - 2 см3/мин;
скорость потока газа-носителя на сбросе - от 38 см3/мин до 39 см3/мин;
скорость газа-поддува в детектор - 40 см3/мин;
инжектируемый объем пробы - 1 мм3;
б) при работе с набивными стеклянными колонками:
температура детектора - 250°С;
температура испарителя - 230°С;
температурный режим - изотермический;
температура колонки - 200°С;
газ носитель - азот;
скорость газа-носителя - 30 см3/мин;
инжектируемый объем пробы - 1 мм3.
9.2.3 Градуировка хроматографа
Градуировка хроматографа заключается в определении времен удерживания и площадей пиков анализируемых пестицидов и выполняется путем анализа рабочих градуировочных растворов пестицидов по 9.2.1.4 в порядке возрастания массовой концентрации компонентов и условий, приведенных в 9.2.2. Каждый из градуировочных растворов анализируют не менее трех раз.
Расхождение между максимальным и минимальным значениями времен удерживания определяемых компонентов не должны отличаться друг от друга более чем на 1%.
На основании полученных результатов с помощью компьютерной системы сбора и обработки данных методом наименьших квадратов устанавливается уравнение градуировочного графика, и определяются градуировочные коэффициенты для каждого хлорорганического пестицида отдельно.
Примечание - Градуировочные коэффициенты для каждого хлорорганического пестицида признаются приемлемыми, если они получены с коэффициентом корреляции не ниже 0, 99.
Периодическую проверку градуировочных характеристик проводят, анализируя 1 - 2 градуировочных раствора не менее одного раза в две недели.
Градуировочная зависимость признается стабильной, если выполняется условие
|Ck-C|≤0, 10·C,
(9)
где C̅k - среднеарифметическое значение полученных массовых концентраций пестицида, мкг/см3;
С - заданное значение массовой концентрации пестицида в растворе, используемом для контроля стабильности градуировочной характеристики, мкг/см3.
Если условие стабильности градуировочной характеристики не выполняется, то выясняют причины полученного отрицательного результата и процедуру контроля повторяют.
9.2.4 Подготовка пробы продукта
Подготовку пробы продукта, экстракцию хлорорганических пестицидов и очистку экстракта осуществляют по ГОСТ ISO 3890-1, ГОСТ ISO 3890-2.
9.3 Проведение измерений
Для оценки фона (чистоты аналитической системы) каждый раз перед началом измерения инжектируют в прибор 1 мм3 чистого растворителя (н-гексана) и записывают хроматограмму, на которой не должны присутствовать посторонние пики.
Сухой очищенный остаток, полученный по 9.2.4, непосредственно перед проведением измерений, растворяют в круглодонной колбе вместимостью 25 см3, вносят пипеткой 2 см3 н-гексана и перемешивают. Переносят в виалу и отбирают 1 мм3 анализируемой пробы продукта, вводят ее в испаритель газового хроматографа и выполняют хроматографическое разделение в условиях, приведенных в 9.2.3.
По каждой анализируемой пробе проводят два параллельных измерения в условиях повторяемости.
9.4 Обработка результатов измерений
Идентификацию хлорорганического пестицидов на полученной хроматограмме, из очищенного экстракта анализируемой пробы, проводят, сравнивая время удерживания полученных пиков с временем удерживания пиков, полученных по градуировочным растворам хлорорганических пестицидов.
Массовую концентрацию каждого хлорорганического пестицида в анализируемой пробе, X, мг/кг, вычисляют по формуле
,
(11)
где С - массовая концентрация хлорорганического пестицида в анализируемой пробе, найденная по градуировочному графику мкг/см3;
V - конечный объем экстракта пробы, см3;
m - масса пробы, используемой для экстракции, г;
k - коэффициент извлечения.
Коэффициент извлечения k для каждого пестицида определяется исполнителем отдельно с использованием контрольной пробы, в которую заранее вносят известное количество пестицида и проводят через все стадии анализа.
Коэффициент извлечения k рассчитывают по формуле
,
(12)
где Х - массовая концентрация пестицида в пробе с добавкой, мг/кг;
Xпр - массовая концентрация пестицида в пробе, мг/кг;
Xдоб - массовая концентрация добавки пестицида в пробу, мг/кг.
В случае, когда необходимо определить массовую концентрацию хлорорганических пестицидов в пересчете на массовую долю жира, применяют формулу
,
(13)
где 100 - коэффициент пересчета на 1 кг жира.
В - массовая доля жира в продукте, %.
Массовую долю жира продукта определяют по ГОСТ 5867.
Вычисление массовой концентрации хлорорганических пестицидов в анализируемой пробе проводят до третьего десятичного знака.
9.5 Метрологические характеристики
Метод газожидкостной хроматографии обеспечивает получение результатов измерения с метрологическими характеристиками (при Р = 0, 95), не превышающими значений, приведенных в таблице 2.
|
Диапазон массовой концентрации, мг/кг |
Предел повторяемости rотн., % |
Предел воспроизводимости Rотн., % |
Расширенная неопределенность* Uотн., % |
|
От 0, 005 до 0, 100 включ. |
11 |
19 |
27 |
|
Св. 0, 1 до 0, 5 включ. |
6 |
12 |
18 |
|
* Значение расширенной неопределенности измерений при коэффициенте охвата kox = 2, установленное в соответствии с ГОСТ ИСО 5725-1 и ГОСТ ИСО 5725-4 (для диапазона массовой концентрации 0, 005 - 0, 100 мг/кг систематическая составляющая погрешности 5%, случайная составляющая погрешности 22%, для диапазона массовых концентраций 0, 1 - 0, 5 мг/кг систематическая составляющая погрешности 3%, случайная составляющая погрешности 15%). | |||
9.6 Оформление результатов определения
Результаты определения представляют в виде
X=(X̅±U), мг/кг,
(14)
где X̅ - среднеарифметическое значение результатов двух параллельных определений, (мг/кг);
U - абсолютная расширенная неопределенность измерений при коэффициенте охвата k = 2, %, рассчитываемая по формуле
U=0, 01·Uотн·X̅,
(15)
где Uотн - относительная расширенная неопределенность измерений (в относительных единицах) при коэффициенте охвата k = 2 определенная по таблице 2, %.
Допускается результат измерений представлять в виде
X=(X̅±Uлаб), мг/кг,
(16)
при условии Uлаб≤U, где Uлаб - значение расширенной неопределенности измерений, установленное при реализации настоящего метода в лаборатории и обеспечиваемое контролем стабильности результатов измерений в лаборатории.
Числовое значение результата измерений должно оканчиваться цифрой того же разряда, что и значение расширенной неопределенности измерений.
9.7 Контроль качества результатов измерений
Контроль качества результатов измерений предусматривает:
- оценку погрешности измерений при реализации отдельной контрольной процедуры проводят методом добавок с использованием стандартных образцов для контроля, сравнивая результат контрольной процедуры с нормативом контроля по [3];
- контроль стабильности результатов измерений проводят на основе контроля стандартного отклонения промежуточной прецизионности и контроля стабильности показателя правильности по ГОСТ ИСО 5725-6 с применением контрольных карт Шухарта.
При неудовлетворительных результатах контроля качества результатов измерений выясняют и устраняют причины отклонений.
9.8 Проверка приемлемости результатов измерений
9.8.1 Проверка приемлемости результатов измерений, полученных в условиях повторяемости
Проверку приемлемости результатов измерений хлорорганических пестицидов, полученных в условиях повторяемости, проводят с учетом требований ГОСТ ИСО 5725-6.
Результаты измерений, выполненные в условиях повторяемости, считаются приемлемыми, если выполняется условие:
|X1-X2|≤0, 01·r·X̅.
(17)
Если данное условие не выполнено, то проводят повторные измерения и проверку приемлемости результатов измерений в условиях повторяемости в соответствии с требованиями ГОСТ ИСО 5725-6.
При повторном превышении указанного норматива выясняют причины, приводящие к неудовлетворительным результатам анализа.
9.8.2 Проверка приемлемости результатов измерений, полученных в условиях воспроизводимости
Проверку приемлемости результатов измерений массовой концентрации хлорорганических пестицидов в анализируемой пробе, полученных в условиях воспроизводимости (в двух лабораториях), проводят с учетом требований ГОСТ ИСО 5725-6.
Результаты измерений, выполненные в условиях воспроизводимости, считаются приемлемыми, если выполняется условие
|X1-X2|≤0, 01·R·X̅.
(18)
В случае если предел воспроизводимости превышен, необходимо выяснить, обусловлено ли расхождение в результатах низкой прецизионностью метода измерений и/или различием в анализируемых пробах. Для проверки прецизионности в условиях повторяемости каждая из лабораторий должна следовать процедурам, описанным в ГОСТ ИСО 5725-6.
При выполнении работ следует соблюдать следующие требования:
- помещение, в котором проводят анализ, должно быть оборудовано приточно-вытяжной вентиляцией в соответствии с ГОСТ 12.4.021. Работу с реактивами необходимо проводить в вытяжном шкафу. Содержание вредных веществ в воздухе рабочей зоны не должно превышать норм, установленных требованиями ГОСТ 12.1.005;
- требования электробезопасности - по ГОСТ 12.1.019 и инструкцией по эксплуатации приборов;
- требования взрывобезопасности - по ГОСТ 12.1.010;
- помещение лаборатории должно соответствовать требованиям пожаробезопасности в соответствии с ГОСТ 12.1.004, ГОСТ 12.1.018 и быть оснащено средствами пожаротушения - по ГОСТ 12.4.009;
- при работе с концентрированными кислотами и щелочами необходимо использовать спецодежду, защитные очки и резиновые перчатки. При выполнении анализов соблюдают требования безопасности при работе с химическими реактивами по ГОСТ 12.1.007.
К выполнению работ допускаются лица, имеющие квалификацию инженер, техник или лаборант, владеющие знаниями в области газовой хроматографии, навыками проведения анализа и изучившие инструкцию по эксплуатации используемой аппаратуры.
_____________________________
*(1) Дату введения стандарта в действие на территории государств устанавливают их национальные органы по стандартизации.
*(2) В Российской Федерации действует ГОСТ Р 12.1.019-2009 "Система стандартов безопасности труда. Электробезопасность. Общие требования и номенклатура видов защиты".
*(3) В Российской Федерации действует ГОСТ Р ИСО 5725-1-2003 "Точность (правильность и прецизионность) методов и результатов измерений. Часть 1. Основные положения и определения".
*(4) В Российской Федерации действует ГОСТ Р ИСО 5725-3-2002 "Точность (правильность и прецизионность) методов и результатов измерений. Часть 3. Промежуточные показатели прецизионности стандартного метода измерения".
*(5) В Российской Федерации действует ГОСТ Р ИСО 5725-4-2003 "Точность (правильность и прецизионность) методов и результатов измерений. Часть 4. Основные методы определения правильности стандартного метода измерений".
*(6) В Российской Федерации действует ГОСТ Р ИСО 5725-6-2003 "Точность (правильность и прецизионность) методов и результатов измерений. Часть 6. Использование значений точности на практике".
*(7) В Российской Федерации действуют ГОСТ Р 51331-99 "Йогурты. Общие технические условия", ГОСТ 29247-91 "Консервы молочные. Методы определения жира", ГОСТ Р ИСО 2446-2011 "Молоко. Метод определения содержания жира".
*(8) Rf - отношение расстояния от линии старта до центра зоны вещества к расстоянию от линии старта до фронта растворителя. Величина Rf величина постоянная для соответствующего пестицида и описанной выше системы и зависит от ряда условий: способа элюирования, качества и активности сорбента, толщины слоя, качества растворителей, количества нанесенного вещества, длины пробега растворителей, положения стартовой линии и пр.
Приложение А
(справочное)
Стеклянную колонку длиной 1 - 3 м и внутренним диаметром 3 - 4 мм последовательно промывают этиловым спиртом, ацетоном и хлороформом, сушат при температуре 100°С - 120°С в сушильном шкафу и заполняют носителем Хромосорб W-HP или Хроматон N-AW-DMCS (N-AW-HMDS или N-Super) (фракция 0, 125 - 0, 16 мм или 0, 16 - 0, 20 мм) с нанесенной неподвижной фазой SE-30, SE-54, OV-17 или SE-60.
Для заполнения хроматографической колонки один ее конец, который в дальнейшем будет подсоединяться к детектору, закрывают тампоном из стекловолокна, промытого последовательно ацетоном и н-гексаном, и присоединяют к вакуумному насосу. Затем включают насос и заполняют колонку носителем с фазой, добавляя последний небольшими порциями и постукивая колонку палочкой с резиновым концом при постоянно работающем насосе, следя за тем, чтобы носитель заполнял колонку равномерно без разрывов.
Заполненную сорбентом колонку устанавливают в термостат колонок и прогревают в потоке газа носителя для удаления летучих соединений, присоединяя один ее конец к устройству ввода пробы. Во избежание загрязнения детектора другой конец колонки к детектору не подсоединяют. Кондиционирование колонки целесообразно проводить следующим образом. Установив расход азота через колонку 35 - 45 см3/мин, выдерживают колонку при температуре 60°С - 70°С в течение 20 - 30 мин. Затем поднимают температуру термостата колонок со скоростью 2 - 3 град/мин от 230°С до 250°С и при такой температуре кондиционируют колонку в течение 8 ч.
Библиография
|
[1] |
Технический регламент Таможенного союза ТР ТС 021/2011 "О безопасности пищевой продукции", принятый Решением Совета Евразийской Экономической комиссии N 880 от 9 декабря 2011 г. |
|
[2] |
Технический регламент Таможенного союза ТР ТС 033/2013 "О безопасности молока и молочной продукции", принятый Решением Совета Евразийской Экономической комиссии N 67 от 9 октября 2013 г. |
|
[3] |
РМГ 76-2014 Государственная система обеспечения единства измерений. Внутренний контроль качества результатов количественного химического анализа |


