ПНСТ 514-2021 ИНТЕЛЛЕКТУАЛЬНЫЕ ТРАНСПОРТНЫЕ СИСТЕМЫ. ТРЕБОВАНИЯ К ТЕХНИКО-ЭКОНОМИЧЕСКОМУ ОБОСНОВАНИЮ СОЗДАНИЯ ИНТЕЛЛЕКТУАЛЬНЫХ ТРАНСПОРТНЫХ СИСТЕМ НА АВТОМОБИЛЬНЫХ ДОРОГАХ
Intelligent transport systems. Requirements for the feasibility study of the development of intelligent transport systems on highways
ОКС 35.240.60
Срок действия - с 1 марта 2021 г.
до 1 марта 2024 г.
Предисловие
1 Разработан Обществом с ограниченной ответственностью "Научно-исследовательский институт интеллектуальных транспортных систем" (ООО "НИИ ИТС")
2 Внесен Техническим комитетом по стандартизации ТК 057 "Интеллектуальные транспортные системы"
3 Утвержден и введен в действие Приказом Федерального агентства по техническому регулированию и метрологии от 13 января 2021 г. N 3-пнст
Настоящий стандарт распространяется на интеллектуальные транспортные системы (ИТС) и устанавливает требования к технико-экономическому обоснованию проектов ИТС на автомобильных дорогах.
Настоящий стандарт содержит требования и рекомендации по планированию и проведению технико-экономического обоснования проектов ИТС на автомобильных дорогах.
В настоящем стандарте использованы нормативные ссылки на следующие стандарты:
ГОСТ Р 54727 Глобальная навигационная спутниковая система. Системы диспетчерского управления специальным автомобильным транспортом муниципальных служб. Требования к архитектуре, функциям и решаемым задачам системы диспетчерского управления транспортом по уборке улиц
ГОСТ Р 56351 Интеллектуальные транспортные системы. Косвенное управление транспортными потоками. Требования к технологии информирования участников дорожного движения посредством динамических информационных табло
ПНСТ 512-2021 Интеллектуальные транспортные системы. Требования к определению сметной стоимости экспертизы проекта создания и эксплуатации интеллектуальных транспортных систем (элементов интеллектуальных транспортных систем)
Примечание - При пользовании настоящим стандартом целесообразно проверить действие ссылочных стандартов в информационной системе общего пользования - на официальном сайте Федерального агентства по техническому регулированию и метрологии в сети Интернет или по ежегодному информационному указателю "Национальные стандарты", который опубликован по состоянию на 1 января текущего года, и по выпускам ежемесячного информационного указателя "Национальные стандарты" за текущий год. Если заменен ссылочный стандарт, на который дана недатированная ссылка, то рекомендуется использовать действующую версию этого стандарта с учетом всех внесенных в данную версию изменений. Если заменен ссылочный стандарт, на который дана датированная ссылка, то рекомендуется использовать версию этого стандарта с указанным выше годом утверждения (принятия). Если после утверждения настоящего стандарта в ссылочный стандарт, на который дана датированная ссылка, внесено изменение, затрагивающее положение, на которое дана ссылка, то это положение рекомендуется применять без учета данного изменения. Если ссылочный стандарт отменен без замены, то положение, в котором дана ссылка на него, рекомендуется применять в части, не затрагивающей эту ссылку.
В настоящем стандарте применены термины по ГОСТ Р 56829, а также следующие термины с соответствующими определениями:
3.1 периферийное оборудование подсистемы: Элементы инструментальной подсистемы интеллектуальной транспортной системы, относящиеся к транспортному средству, дорожной инфраструктуре и среде поддержания их коммуникативного взаимодействия.
3.2 технико-экономическое обоснование проекта интеллектуальных транспортных систем: Процесс обоснования проекта ИТС, включающий анализ, расчет и оценку технической и экономической целесообразности (нецелесообразности) создания проекта ИТС.
Примечание - Технико-экономическое обоснование включает в себя расчет показателей эффективности работы проекта ИТС и расчет его стоимости.
3.3 натуральный индикатор эффективности: Индикатор эффективности, выраженный в натуральных единицах измерения.
3.4 сметная цена (стоимость): Сумма денежных средств, необходимых для осуществления строительства в соответствии с проектной документацией.
3.5 восстановительная стоимость: Расчетная величина затрат в текущих ценах на дату оценки, необходимых для воссоздания точной копии оцениваемого объекта, с использованием таких же материалов, стандартов, дизайна, качества работ.
3.6 стоимость замещения: Величина затрат, осуществляемых на дату оценки для производства/создания объекта, аналогичного оцениваемому по полезности.
3.7 себестоимость: Все затраты, понесенные предприятием на производство и реализацию продукции (работ, услуг).
3.8 идентичное оборудование: Оборудование, имеющее одинаковые характерные основные признаки (функциональные, технические, качественные, а также эксплуатационные характеристики).
3.9 однородное оборудование: Оборудование, имеющее сходные характеристики и состоящее из схожих компонентов, что позволяет ему выполнять одни и те же функции и (или) быть коммерчески взаимозаменяемым.
3.10 зональный центр управления: Комплекс технических средств для реализации функций управления и контроля за периферийным оборудованием комплексной подсистемой и организации коммуникационных функций по отношению к верхнему уровню ИТС.
3.11 информационное обеспечение интеллектуальных транспортных систем: Совокупность форм документов, классификаторов, нормативной базы и реализованных решений по объемам, размещению и формам существования информации, применяемой в ИТС при ее функционировании.
3.12 общесистемные решения подсистемы интеллектуальных транспортных систем: Концепция автоматизации, задачи подсистемы ИТС, автоматизируемые функции, функциональная структура подсистемы, проектная оценка надежности ИТС, локальный сметный расчет, программа и методика испытаний подсистемы ИТС.
3.13 центр обработки данных интеллектуальных транспортных систем: Программно-аппаратный комплекс, установленный в специально оборудованном помещении (здании) и предназначенный для получения информации, ее обработки и хранения, выбора режима функционирования системы и выдачи управляющих воздействий, а также взаимодействия с другими системами.
3.14 время реагирования на ДТП: Время, которое проходит с момента возникновения ДТП до момента начала действий по его устранению.
3.15 время приезда служб экстренного реагирования: Время, которое проходит с момента возникновения нештатной ситуации до момента прибытия экстренных служб на место происшествия.
В настоящем стандарте применены следующие сокращения:
АДМС - автоматическая дорожная метеостанция;
АСКЗА - автоматическая станция контроля загрязнения атмосферы;
АРМ - автоматизированное рабочее место;
АСУ - автоматизированная система управления;
АСУД - автоматизированная система управления дорожным движением;
ВПУ - выносной пульт управления;
ГЛОНАСС - глобальная навигационная спутниковая система;
ГСД - городская скоростная дорога;
ДИТ - динамическое информационное табло;
ДТП - дорожно-транспортное происшествие;
ЗП - заработная плата;
ЗПИ - знак переменной информации;
ЗЦУ - зональный центр управления;
ИТС - интеллектуальная транспортная система;
УДД - участники дорожного движения;
ПДД - правила дорожного движения;
ПО - программное обеспечение;
ТЗ - техническое задание;
ТС - транспортное средство;
ТЭО - технико-экономическое обоснование;
ФЕР - федеральные единичные расценки;
ЦОД - центр обработки данных;
ЧС - чрезвычайная ситуация.
5.1 Технико-экономическое обоснование ИТС является частью этапа обоснования проекта ИТС и входит в разработку уточненной модели ИТС.
5.2 Жизненный цикл ИТС включает в себя следующие этапы (рисунок 5.1):
- инициатива по развитию ИТС;
- разработка задания на создание ИТС;
- разработка идеалистической модели ИТС;
- разработка уточненной модели ИТС;
- разработка проектной документации ИТС;
- внедрение ИТС;
- эксплуатация ИТС;
- модернизация или вывод из эксплуатации ИТС.

- этапы в рамках обоснования ИТС;
- этапы, следующие после обоснования ИТС
Рисунок 5.1 - Последовательность этапов жизненного цикла ИТС
5.3 Обоснование ИТС включает следующие этапы:
- инициатива по развитию ИТС;
- разработка задания на создание ИТС;
- разработка идеалистической модели ИТС;
- разработка уточненной модели ИТС.
5.4 На этапе "Разработка идеалистической модели ИТС" следует проводить:
- сбор исходных данных для создания идеалистической модели ИТС;
- разработку архитектуры индикаторов эффективности ИТС;
- разработку предварительной функциональной и предварительной физической архитектуры ИТС.
5.5 На этапе "Разработка уточненной модели ИТС" следует проводить:
- сбор исходных данных для создания уточненной модели ИТС;
- подбор технологий и технических решений, в том числе с применением средств имитационного моделирования;
- проведение технико-экономического обоснования ИТС;
- разработку функциональной и физической архитектуры ИТС.
5.6 Методика ТЭО должна содержать в себе инструменты по оценке следующих параметров:
- стоимость внедрения ИТС;
- эффективность ИТС в рамках рассматриваемой сети дорог.
5.7 ТЭО ИТС необходимо выполнять на этапе обоснования создания или модернизации ИТС в рамках разработки уточненной модели проекта ИТС.
5.8 Выбор наиболее оптимального ИТС осуществляется экспертным методом путем сравнения эффективности ИТС с его расчетной стоимостью внедрения.
5.9 Оценку эффективности ИТС следует проводить с применением средств имитационного моделирования.
5.10 Оценку эффективности ИТС на этапе обоснования следует проводить путем сравнения значения индикаторов эффективности работы транспортного комплекса без внедрения ИТС, со значениями показателей, рассчитанных при проведении ТЭО.
5.11 Оценку эффективности ИТС на этапе эксплуатации следует проводить путем сравнения значений индикаторов эффективности за текущий период, со значениями показателей, рассчитанных в предыдущий период функционирования ИТС, и со значениями показателей, определенных на этапе обоснования.
5.12 Оценку эффективности ИТС на этапе эксплуатации следует проводить не реже чем раз в три года.
5.13 При проведении ТЭО ИТС, в состав которого входит подсистема КУТП, оценка эффективности подсистемы должна проходить в соответствии с требованиями ГОСТ Р 56351-2015, раздел 10.
5.14 Стоимость проведения технико-экономического обоснования можно определять согласно требованиям, приведенным в ПНСТ 512-2021 с коэффициентом П 2 = 1,5.
5.15 Стоимость проведения оценки эффективности ИТС можно определять согласно требованиям, приведенным в ПНСТ 512-2021, как для детальной имитационной экспертизы при проведении оценки на этапе обоснования и проектирования, или как для натурной экспертизы при проведении оценки на этапе эксплуатации.
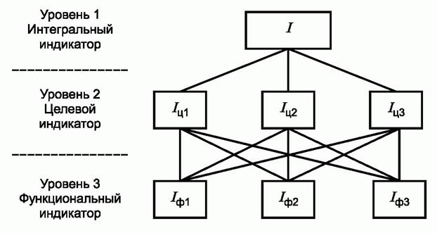
6.1 Оценку эффективности при проведении технико-экономического обоснования следует осуществлять по утвержденным в рамках проекта индикаторам эффективности.
6.2 Архитектура индикаторов оценки эффективности ИТС при проведении ТЭО должна включать три уровня индикаторов:
- уровень интегральных индикаторов по субъектам.
Примечание - Данный уровень включает в себя все субъекты пользователей проекта ИТС;
- уровень целевых индикаторов;
- уровень функциональных индикаторов.
Примечание - Примерный перечень индикаторов эффективности, применяемых в рамках проведения ТЭО, представлен в приложении А.
6.3 Уровень интегральных индикаторов по субъектам включает следующие субъекты:
- государство;
- коммерческая группа;
- социальная группа.
6.4 Оценку эффективности ИТС следует осуществлять двумя способами:
- определением натуральных показателей эффективности ИТС;
- определением интегрального индикатора эффективности ИТС.
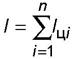
6.5 Интегральный индикатор эффективности локального ИТС рассчитывают одним из двух методов:
- критериальная оценка эффективности для получения выраженного в безразмерной величине общего интегрального индикатора эффективности, учитывающего значимость каждого функционального индикатора для каждого субъекта;
- стоимостная оценка эффективности внедрения ИТС, выражающая материальную выгоду от изменений абсолютных значений функциональных индикаторов.
6.6 Оценку эффективности проекта осуществляют в границах участка установки ИТС.
6.7 При критериальной оценке эффективности интегральный индикатор/и целевой индикатор/рассчитывают следующим способом:
,
(1)
,
(2)
где I цi - целевой индикатор эффективности внедрения ИТС;
k i - весовой коэффициент i-го целевого индикатора эффективности внедрения ИТС;
I фj - функциональный индикатор эффективности внедрения ИТС;
k j - весовой коэффициент j-го функционального индикатора эффективности внедрения ИТС.
Примечания
1 Для оценки эффективности ИТС методом весовых коэффициентов их значения могут быть получены от заказчика или рассчитаны различными математическими методами, например, методом анализа иерархий.
2 Пример критериального расчета интегрального индикатора эффективности внедрения ИТС приведен в приложении Б.
6.8 При стоимостной оценке эффективности внедрения ИТС интегральный индикатор эффективности определяется по формулам, представленным ниже, а также согласно нормативно-техническим документам РФ и выражается в денежных единицах Российской Федерации (российский рубль).
,
(3)
,
(4)
где I цi - целевой индикатор эффективности внедрения ИТС;
F j - функция перевода в денежный эквивалент j-го функционального индикатора эффективности внедрения ИТС;
I фj - функциональный индикатор эффективности внедрения ИТС.
6.9 При стоимостной оценке эффективности ИТС методы расчета функциональных индикаторов эффективности должны быть утверждены законодательными актами Российской Федерации, либо прописаны в техническом задании на разработку проекта создания ИТС, либо согласованы с заказчиком на этапе разработки технико-экономического обоснования ИТС.
7.1 Расчет стоимости ИТС включает в себя оценку стоимости элементов ИТС, подсистем ИТС и автоматизированной системы управления верхнего уровня.
7.2 Методика оценки стоимости элементов ИТС представлена в приложении В.
7.3 Методика оценки стоимости подсистем ИТС представлена в приложении Г.
7.4 Методика оценки стоимости автоматизированной системы управления верхнего уровня представлена в приложении Д.
7.5 Расчет стоимости для составного элемента подсистемы ИТС допуск выполнять для каждого вида оборудования отдельно, далее стоимость следует суммировать и определять общую стоимость элемента подсистемы ИТС.
7.6 Определение базовой стоимости осуществляют с помощью трех основных методов: сметным, затратным методами и методом сравнения с объектами-аналогами.
7.7 Определение базовой стоимости сметным методом рекомендуется на стадии разработки проектной документации.
7.8 Для определения базовой стоимости методом сравнения с аналогом должны выполняться следующие условия:
- наличие достаточных и достоверных данных о фактической цене купли-продажи объектов-аналогов;
- наличие информации, отражающей черты, свойственные этим объектам, и позволяющей установить степень сходства.
7.9 При применении метода сравнения с аналогом предпочтение при подборе аналога отдается тем объектам, которые, как и оцениваемый объект, имеют то же функциональное назначение и квалификационное подобие, а также имеют хотя бы частичное технологическое сходство.
7.10 Стоимость подсистем ИТС (инструментальных и комплексных подсистем ИТС) должна складываться из стоимости основных затрат на создание, внедрение и эксплуатацию.
7.11 На расчет стоимости автоматизированных систем управления верхнего уровня должны влиять следующие факторы:
- тип выбранной системы.
Примечание - Данный показатель характеризует область внедрения системы;
- уровень автоматизации системы;
- сложность архитектуры системы.
Примечание - Данный показатель характеризует принципы управления рассматриваемой системы;
- количество объектов управления.
Примечание - Данный показатель характеризует масштаб системы.
Приложение А
(рекомендуемое)
А.1 Примерный перечень индикаторов эффективности, рассматриваемый в рамках проведения технико-экономического обоснования внедрения ИТС, и их единицы измерения представлены в таблице А.1.
|
Целевые индикаторы |
Функциональные индикаторы |
Единицы измерения |
|
Обеспечение безопасности дорожного движения |
Количество ДТП |
ед. |
|
Число раненых при ДТП |
чел. | |
|
Число погибших при ДТП |
чел. | |
|
Суммарный ущерб транспортным средствам |
руб. | |
|
Суммарный ущерб объектам инфраструктуры |
руб. | |
|
Суммарный ущерб груза |
руб. | |
|
Время приезда служб экстренного реагирования |
ч | |
|
Время реагирования на ДТП (с момента происшествия до начала действий по ликвидации последствий ДТП) |
ч | |
|
Обеспечение экологической безопасности |
Объем выбросов загрязняющего вещества СО |
прив. т-км |
|
Объем выбросов загрязняющего вещества СO 2 |
прив. т-км | |
|
Объем выбросов загрязняющего вещества СН |
прив. т-км | |
|
Объем выбросов загрязняющего вещества NOX |
прив. т-км | |
|
Объем выбросов твердых частиц |
прив. т-км | |
|
Уровень зашумленности |
дБ | |
|
Повышение грузооборота |
Объем (количество) груза |
т, м 3, ед. |
|
Эксплуатационные расходы на транспортирование |
руб. | |
|
Средняя скорость движения грузовых ТС |
км/ч | |
|
Повышение пассажирооборота |
Количество пассажиров |
чел. |
|
Эксплуатационные расходы на транспортирование |
руб. | |
|
Средняя скорость движения ТС, осуществляющих перевозку пассажиров |
км/ч | |
|
Повышение качества работы транспортного комплекса |
Пропускная способность дороги |
авт/ч |
|
Уровень загрузки движением |
доля | |
|
Время в пути |
ч | |
|
Надежность предоставляемой информации о времени прохождения запланированного участка пути |
балл | |
|
Стоимость поездки |
руб. | |
|
Протяженность участков дорог, обслуживающих движение в режиме перегрузки |
км | |
|
Увеличение мобильности пользователей (транспортная подвижность) |
пасс-км на чел. в год | |
|
Примечание - Целевые и функциональные индикаторы, представленные в таблице А.1, являются минимальным перечнем индикаторов. Перечень индикаторов может дополняться на основании целей и требований заказчика на стадии проектирования ИТС. | ||
Приложение Б
(рекомендуемое)
Б.1 Общие положения
Данное приложение содержит пример расчета интегрального индикатора эффективности внедрения ИТС критериальным методом.
В качестве математического метода в данном примере используется метод анализа иерархий.
Б.2 Описание применяемого математического метода
Метод анализа иерархий является замкнутой логической конструкцией, которая с помощью простых и хорошо обоснованных правил обеспечивает решение многокритериальных задач, включающих как качественные, так и количественные факторы, причем количественные факторы могут иметь разную размерность. Метод основан на представлении задачи в виде иерархической структуры, что позволяет включить в иерархию все имеющиеся у принимающего решение лица знания по решаемой проблеме.
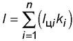
Данный метод позволяет свести выражения, приведенные в 6.6, к следующему выражению:
,
(Б.1)
где I - интегральный индикатор эффективности внедрения ИТС;
I фij - соответствующий функциональный индикатор эффективности внедрения ИТС;
k ij - весовой коэффициент соответствующего функционального индикатора эффективности внедрения ИТС.
Метод анализа иерархий состоит из следующих этапов:
Этап 1. Предусматривает представление проблемы в виде иерархии или сети. Иерархическая структура является графическим представлением проблемы в виде перевернутого дерева, у которого каждый элемент, кроме самого верхнего, зависит от одного или более элементов, расположенных выше (рисунок Б.1).
Существует несколько видов иерархий:
- доминантные иерархии, которые похожи на перевернутое дерево с целью, расположенной в вершине;
- холархии - это доминантные иерархии с обратной связью. Иерархия считается полной, если каждый элемент заданного уровня является критерием для всех элементов нижнего уровня (рисунок Б.2).
Этап 2. После иерархического представления задачи необходимо установить приоритеты критериев и оценить каждую из альтернатив по критериям, определив наиболее важную из них. В методе анализа иерархий элементы сравнивают попарно по отношению к их влиянию на общую для них характеристику. Сравнение проводят по таблице Б.1.

Рисунок Б.1 - Пример архитектуры индикаторов эффективности внедрения ИТС

Рисунок Б.2 - Пример иерархии индикаторов эффективности внедрения ИТС
|
Значение |
Определение |
Объяснение |
|
1 |
Равная важность |
Равный вклад двух критериев в цель |
|
3 |
Умеренное превосходство одного над другим |
Опыт и суждения дают легкое превосходство одной альтернативы над другой |
|
5 |
Существенное или сильное превосходство |
Опыт и суждения дают сильное превосходство одного критерия над другим |
|
7 |
Значительное превосходство |
Одному из критериев отдают настолько сильное предпочтение, что оно становится практически значительным |
|
9 |
Очень сильное превосходство |
Очевидность превосходства одного критерия над другим подтверждается наиболее сильно |
|
2, 4, 6, 8 |
Промежуточные решения между двумя соседними суждениями |
Применяется в компромиссных случаях |
Парные сравнения приводят к записи характеристик сравнений в виде квадратной таблицы чисел, которая называется матрицей:
.
(Б.2)
Эта матрица обратно симметричная, то есть имеет место свойство:
Iij = 1/Iji,
(Б.3)
где индексы i и j - номер строки и номер столбца, на пересечении которых стоит элемент.
При сравнении элемента с самим собой имеем равную значимость, так что на пересечение строки и столбца с одинаковыми номерами заносим единицу. Таким образом, матрица парных сравнений имеет вид:
.
(Б.4)
Когда задача представлена в виде иерархической структуры, матрица составляется для парного сравнения критериев на втором уровне по отношению к общей цели, расположенной на первом уровне. Такие же матрицы должны быть построены для парных сравнений каждой альтернативы на третьем уровне по отношению к критериям второго уровня и так далее, если количество уровней больше трех.
Таким образом, для иерархии потребуется построить четыре матрицы - одна для второго уровня и три для третьего. Матрицы представлены в таблицах Б.2, Б.3.
Ячейки матрицы заполняют в соответствии с таблицей Б.1.
Этап 3. Из групп парных сравнений формируется набор локальных критериев, которые выражают относительное влияние элементов на элемент, расположенный на уровне выше. Для определения относительной ценности каждого элемента необходимо найти геометрическое среднее и с этой целью перемножить n элементы каждой строки и из полученного результата извлечь корни n-й степени:
.
(Б.5)
После проводится нормализация полученных чисел. Для этого определяется нормирующий множитель
r = w1 + w2 + w3 + … + wn.
(Б.6)
Каждое из чисел w i делится на r.
.
(Б.7)
Результатом является получение вектора приоритетов:
q2 = (q21, q22, q23, … q2n),
где индекс 2 означает, что вектор приоритетов относится ко второму уровню иерархии.
Подобная процедура реализуется для всех матриц парных сравнений. Получившийся вектор приоритетов отражает весовой коэффициент каждого из индикаторов эффективности ИТС.
|
I |
I ц1 |
I ц2 |
I ц3 |
|
I ц1 | |||
|
I ц2 | |||
|
I ц3 |
|
I ц1 |
I ф1 |
I ф2 |
I ф3 |
|
I ф1 | |||
|
I ф2 | |||
|
I ф3 | |||
|
I ц2 |
I ф1 |
I ф2 |
I ф3 |
|
I ф1 | |||
|
I ф2 | |||
|
I ф3 | |||
|
I ц3 |
I ф1 |
I ф2 |
I ф3 |
|
I ф1 | |||
|
I ф2 | |||
|
I ф3 | |||
Б.3 Пример расчета интегрального индикатора эффективности внедрения ИТС
Пример расчета приведен для архитектуры индикаторов, представленных на рисунке Б.1. Метод анализа иерархий предполагает последовательное восходящее рассмотрение уровней иерархий. Таким образом, сначала будет рассмотрен третий уровень иерархии архитектуры индикаторов эффективности.
Третий уровень - уровень функциональных индикаторов эффективности. Данный уровень разбивается на группы, соответствующие целевым индикаторам эффективности. К целевым индикаторам эффективности, находящимся на втором уровне иерархии, в данном примере относятся: обеспечение безопасности дорожного движения, повышение качества работы транспортного комплекса, повышение пассажирооборота, обеспечение экологической безопасности.
Для целевого индикатора эффективности "обеспечение безопасности дорожного движения" составлена матрица (таблица Б.4).
|
Обеспечение безопасности дорожного движения |
Число погибших при ДТП |
Число раненых при ДТП |
Суммарный ущерб транспортным средствам |
Суммарный ущерб груза |
|
Число погибших при ДТП |
1 |
6 |
9 |
9 |
|
Число раненых при ДТП |
1/6 |
1 |
7 |
7 |
|
Суммарный ущерб транспортным средствам |
1/9 |
1/7 |
1 |
1/3 |
|
Суммарный ущерб груза |
1/9 |
1/7 |
3 |
1 |
Определение относительной ценности каждого элемента:
,
w312 = 1,69,
w314 = 0,467,
w313 = 0,269.
Определение нормирующего множителя r:
r31 = 4,695 + 1,69 + 0,269 + 0,467 = 7,121.
Нормализация полученных чисел:
,
,
,
.
Таким образом, вектор приоритетов q 31 (0,659; 0,237; 0,038; 0,066).
Проводим аналогичные действия для целевого индикатора эффективности "повышение качества работы транспортного комплекса" (таблица Б.5).
|
Повышение качества работы транспортного комплекса |
Уровень загрузки движением |
Время в пути |
Стоимость поездки |
Увеличение мобильности пользователей |
|
Уровень загрузки движением |
1 |
4 |
3 |
7 |
|
Время в пути |
1/4 |
1 |
3 |
7 |
|
Стоимость поездки |
1/3 |
1/3 |
1 |
6 |
|
Увеличение мобильности пользователей |
1/7 |
1/7 |
1/6 |
1 |
Определение относительной ценности каждого элемента:
,
w322 = 1,514,
w323 = 0,904,
w324 = 0,241.
Определение нормирующего множителя r:
r32 = 3,027 + 1,514 + 0,904 + 0,241 = 5,686.
Нормализация полученных чисел:
,
,
,
.
Таким образом, вектор приоритетов q 32 (0,532; 0,266; 0,159; 0,042).
Следующая матрица (таблица Б.6) составлена для целевого индикатора эффективности "повышение пассажирооборота".
|
Повышение пассажирооборота |
Средняя скорость движения ТС, осуществляющих перевозку пассажиров |
Количество пассажиров |
|
Средняя скорость движения ТС, осуществляющих перевозку пассажиров |
1 |
1/4 |
|
Количество пассажиров |
4 |
1 |
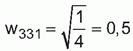
Определение относительной ценности каждого элемента:
,
w332 = 2.
Определение нормирующего множителя r:
r33 = 0,5 + 2 = 2,5.
Нормализация полученных чисел:
,
.
Таким образом, вектор приоритетов q 33 (0,2; 0,8).
Далее составлена матрица для целевого индикатора эффективности "обеспечение экологической безопасности" (таблица Б.7).
|
Обеспечение экологической безопасности |
Объем выбросов загрязняющего вещества NOx |
Объем выбросов загрязняющего вещества СН |
Объем выбросов загрязняющего вещества СО |
Объем выбросов загрязняющего вещества СO 2 |
|
Объем выбросов загрязняющего вещества NOx |
1 |
4 |
5 |
7 |
|
Объем выбросов загрязняющего вещества СН |
1/4 |
1 |
3 |
5 |
|
Объем выбросов загрязняющего вещества СО |
1/5 |
1/3 |
1 |
4 |
|
Объем выбросов загрязняющего вещества СO 2 |
1/7 |
1/5 |
1/4 |
1 |
Определяется относительная ценность каждого элемента:
,
w342 = 1,392,
w343 = 0,718,
w344 = 0,291.
Определение нормирующего множителя r:
r34 = 3,44 + 1,392 + 0,718 + 0,291 = 5,841.
Нормализация полученных чисел:
,
,
,
.
Таким образом, вектор приоритетов q 34 (0,589; 0,238; 0,122; 0,051).
Далее составлена матрица для интегрального индикатора эффективности (таблица Б.8).
|
Интегральный индикатор эффективности |
Обеспечение безопасности дорожного движения |
Повышение качества работы транспортного комплекса |
Повышение пассажирооборота |
Обеспечение экологической безопасности |
|
Обеспечение безопасности дорожного движения |
1 |
2 |
2 |
8 |
|
Повышение качества работы транспортного комплекса |
1/2 |
1 |
1 |
8 |
|
Повышение пассажирооборота |
1/2 |
1 |
1 |
8 |
|
Обеспечение экологической безопасности |
1/8 |
1/8 |
1/8 |
1 |
Определение относительной ценности каждого элемента:
,
,
,
.
Определение нормирующего множителя r:
r2 = 1 + 1 + 1 + 1 = 4.
Нормализация полученных чисел:
,
,
,
.
Таким образом, вектор приоритетов q 2 (0,415; 0,277; 0,247; 0,061).
Далее определяются весовые коэффициенты функциональных индикаторов эффективности, k ij (рисунок Б.1).
1. Обеспечение безопасности дорожного движения:
- число погибших при ДТП:
k1.1 = q21·q311 = 0,415·0,659 = 0,27349,
- число раненых при ДТП:
k1.2 = 0,415·0,237 = 0,09836,
- суммарный ущерб транспортным средствам:
k1.3 = 0,415·0,038 = 0,01577,
- суммарный ущерб груза:
k1.4 = 0,415·0,066 = 0,02739.
2. Повышение качества работы транспортного комплекса:
- уровень загрузки движением:
k2.1 = 0,277·0,532 = 0,14736,
- время в пути:
k2.2 = 0,277·0,266 = 0,07368,
- стоимость поездки:
k2.3 = 0,277·0,159 = 0,04404,
- увеличение мобильности пользователей:
k2.4 = 0,277·0,043 = 0,01191.
3. Повышение пассажирооборота:
- средняя скорость движения ТС, осуществляющих перевозку пассажиров:
k3.1 = 0,247·0,2 = 0,04940,
- количество пассажиров:
k3.2 = 0,247·0,8 = 0,19760.
4. Обеспечение экологической безопасности:
- объем выбросов загрязняющего вещества NO X:
k4.1 = 0,061·0,589 = 0,03593,
- объем выбросов загрязняющего вещества СН:
k4.2 = 0,061·0,238 = 0,01452,
- объем выбросов загрязняющего вещества СО:
k4.3 = 0,061·0,122 = 0,00744,
- объем выбросов загрязняющего вещества СO 2:
k4.4 = 0,061·0,051 = 0,00311.
Таким образом, функция расчета интегрального индикатора эффективности имеет следующий вид:
I = 0,27349Iф1.1 + 0,09836Iф1.2 + 0,01577Iф1.3 + 0,02739Iф1.4 + 0,14736Iф2.1 +
+ 0,07368Iф2.2 + 0,04404Iф2.3 + 0,01191Iф2.4 + 0,04940Iф3.1 + 0,19760Iф3.2 +
+ 0,03593Iф4.1 + 0,01452Iф4.2 + 0,00744Iф4.3 + 0,00311Iф4.4,
где I фij - соответствующее долевое изменение функционального индикатора эффективности по сравнению с его базовым значением (рисунок Б.1).
Приложение В
(рекомендуемое)
В.1 Область применения
В.1.1 Настоящая методика устанавливает рекомендации к выполнению оценки стоимости элементов интеллектуальных транспортных систем (далее - ИТС) с целью установления единого порядка расчетов на территории Российской Федерации.
В.1.2 Методика применяется для определения базовой стоимости элементов ИТС на этапе проектирования ИТС.
В.1.3 Методика определения базовой стоимости предназначена для определения затрат на закупку оборудования, входящего в состав инструментальных подсистем ИТС.
В.1.4 Положения методики предназначены для применения широким кругом организаций при выполнении работ по созданию ИТС.
В.1.5 Базовая стоимость, полученная с использованием рекомендуемой методики, должна быть уточнена на этапе строительства ИТС, при выполнении закупки оборудования подсистем.
В.2 Общие положения
В.2.1 Базовая стоимость определяется по номенклатуре инструментальных подсистем ИТС в соответствии с [1].
В.2.2 Базовая стоимость определяется по номенклатуре материальных ресурсов - элементов подсистем ИТС, представляющих собой периферийное оборудование инструментальных подсистем ИТС.
В.2.3 Базовая стоимость элементов ИТС определяется в территориальном разрезе для каждого субъекта Российской Федерации по номенклатуре материальных ресурсов, производство (реализация) которых осуществляется преимущественно производителями (поставщиками) материальных ресурсов на территории субъекта Российской Федерации.
В.3 Порядок определения базовой стоимости элементов подсистем ИТС
В.3.1 Определение базовой стоимости сметным методом
В.3.1.1 В целях определения базовой стоимости периферийного оборудования инструментальной подсистемы ИТС требуется установить наличие/отсутствие искомого оборудования на функционирующем рынке. При отсутствии идентичного оборудования необходимо определить наличие однородного оборудования.
В.3.1.2 Базовую стоимость периферийного оборудования подсистемы ИТС сметным методом определяют с использованием сметной цены.
В.3.1.3 Расчет сметной цены выполняется согласно [2].
В.3.1.4 Сметная цена рассчитывается как средневзвешенный по объему реализации показатель отпускных цен (цен реализации) на соответствующий вид оборудования, сложившийся на территории субъектов Российской Федерации.
В.3.1.5 Отпускная цена оборудования отечественного производства включает в себя стоимость тары и упаковки, стоимость комплекта запасных частей на гарантийный срок эксплуатации (для оборудования), затраты на погрузку продукции на ТС у производителя.
В.3.1.6 Отпускная цена на оборудование зарубежного производства содержит стоимость тары, упаковки, стоимость комплекта запасных частей на гарантийный срок эксплуатации, затраты на погрузочно-разгрузочные работы, доставку продукции до склада поставщика и погрузку на ТС у склада поставщика, а также затраты на уплату пошлин, налогов и сборов, другие таможенные расходы в установленном порядке.
В.3.1.7 Информация об отпускных ценах и объемах реализации, применяемая для определения сметной цены, может быть получена из Федеральной государственной информационной системы ценообразования в строительстве [3].
В.3.1.8 Информация об отпускных ценах и объемах реализации, применяемая для определения сметной цены, может быть получена из других источников согласно пункту 3.7 [4].
В.3.1.9 Сметную цену х с.ц, руб., рассчитывают по формуле
,
(В.1)
где x 1, х 2, х n - отпускные цены (цены реализации) производителей (поставщиков) за отчетный период, руб.;
v 1, v 2, v n - объемы реализации продукции производителей (поставщиков) за отчетный период в натуральном выражении, ед.
В.3.1.10 В случае если на рынке отсутствует идентичное или однородное оборудование, кроме оборудования производителя (поставщика), осуществляющего производство (реализацию) на территории Российской Федерации, то сметная цена принимается равной отпускной цене (цене реализации).
В.3.1.11 В случае, когда в отчетном периоде не представлена информация об отпускной цене (цене реализации) производителей (поставщиков), в расчете сметной цены используется информация, представленная за предыдущий отчетный период.
В.3.1.12 Цены предыдущих периодов, используемые в расчетах, могут быть приведены к текущему уровню цен путем применения коэффициента k n, рассчитанного в соответствии с формулой
,
(В.2)
где t n - срок формирования ценовой информации, используемой для расчета;
t м - месяц проведения расчетов;
I tм - индекс потребительских цен на месяц в процентах к предыдущему месяцу, соответствующий месяцу в интервале от t n до t м включительно, установленный Федеральной службой государственной статистики (официальный сайт www.gks.ru).
В.3.1.13 Сметный метод определения базовой стоимости элементов рекомендуется для использования в случае закупки оборудования с привлечением средств бюджетов бюджетной системы Российской Федерации, средств юридических лиц, созданных Российской Федерацией, субъектами Российской Федерации, муниципальными образованиями, юридических лиц, доля в уставных (складочных) капиталах которых Российской Федерации, субъектов Российской Федерации, муниципальных образований составляет более 50 процентов.
В.3.2 Определение базовой стоимости затратным методом
В.3.2.1 Затратный метод применяется в случае невозможности применения иных методов, предусмотренных частью 1 статьи 22 [5], или в дополнение к иным методам.
В.3.2.2 Базовая стоимость периферийного оборудования инструментальной подсистемы ИТС затратным методом определяется исходя из величины затрат, необходимых для производства/создания оборудования в условиях, сложившихся на дату определения стоимости и прибыли в размере не более 10 % от суммарной величины затрат.
В.3.2.3 В случае необходимости и возможности используют деление рассматриваемого оборудования на составные части и применяют к каждой из них соответствующие приемы определения стоимости.
В.3.2.4 При затратном подходе используют методы прямой калькуляции и целостной оценки себестоимости.
В.3.2.5 Метод прямой калькуляции определения себестоимости оборудования
В.3.2.5.1 По методу прямой калькуляции вычисляют сумму прямых затрат, зависящих от конструкции изделия и технологии его получения, управленческих, хозяйственных, общезаводских и внепроизводственных затрат.
В.3.2.5.2 Для вычисления суммы прямых затрат на изготовление оцениваемого оборудования или его аналога затраты в себестоимости изготовления группируют по элементам (материалы, энергоносители, оплата труда, отчисления на социальные нужды, амортизация и пр.). Исходные данные по этим элементам себестоимости берут из статистических сборников или из данных предприятий-изготовителей.
В.3.2.5.3 Выполняется суммирование материальных затрат на одно готовое изделие по статьям калькуляции:
- сырье и материалы;
- покупные комплектующие изделия и полуфабрикаты;
- возвратные расходы;
- транспортно-заготовительные расходы.
Сумма материальных затрат рассчитывается путем сложения всех статей материальных затрат, за исключением статьи "Возвратные расходы".
В.3.2.5.4 Выполняется суммирование трудовых затрат на одно изделие:
- основная заработная плата;
- нормированная зарплата с учетом региональных коэффициентов;
- отчисления от зарплаты на соцстрахование;
- премиальные и пр.
В.3.2.5.5 Также должны быть учтены и просуммированы:
- возмещение износа инструментов и приспособлений целевого назначения;
- расходы по содержанию и эксплуатации оборудования;
- цеховые, общезаводские и прочие производственные расходы;
- внепроизводственные расходы.
В.3.2.6 Метод целостной оценки себестоимости является косвенным методом и заключается в выявлении зависимости между себестоимостью оборудования, его техническими параметрами и характеристиками, определяющими потребительские качества оборудования.
В.3.2.7 Для расчета величины затрат используется либо восстановительная стоимость (расчетная величина затрат в текущих ценах на дату оценки, необходимых для воссоздания точной копии оцениваемого оборудования, с использованием таких же материалов, стандартов, дизайна, качества работ), либо стоимость замещения (величина затрат, осуществляемых на дату оценки для производства/создания оборудования, аналогичного оцениваемому по полезности).
В.3.2.8 Расчет восстановительной стоимости методом анализа и индексации затрат на изготовление
В.3.2.8.1 Стоимость оцениваемого оборудования определяют путем индексации затрат по видам с помощью корректирующих индексов (коэффициентов), утвержденных Госкомстатом Российской Федерации, которые приводят к современному уровню цен (берется процент роста за определенный период по конкретному виду используемых в оборудовании материалов, энергоносителей, оплаты труда, амортизации).
Затраты на энергоносители индексируют по индексу цен на продукцию электроэнергетики. Затраты на оплату труда индексируют по среднемесячной заработной плате в промышленности. Для индексации амортизации применяют комплексный индекс, который объединяет ценовой индекс на строительные материалы (L стр. м.) и ценовой индекс на продукцию машиностроения (L маш.).
Особенностью метода является то, что индексированию подвергают не стоимость (цену) оборудования в целом, а затраты, из которых складывается его себестоимость.
В.3.2.8.2 Проиндексированные затраты суммируют и определяют исходную стоимость оборудования (х и), далее вычисляют восстановительную стоимость оцениваемого оборудования по формуле
,
(В.3)
где х пр - ставка налога на прибыль;
k р - показатель рентабельности, то есть доля чистой прибыли и торговой наценки по отношению к цене, зависит от рыночного спроса на объект-аналог. Практика показывает, что:
k р = 0,25 - 0,35, когда повышенный рыночный спрос;
k р = 0,10 - 0,25, когда средний рыночный спрос;
k р = 0,05 - 0,10, когда малый рыночный спрос.
В.3.2.9 Расчет восстановительной стоимости по цене объекта-аналога
В.3.2.9.1 Выбор объекта-аналога основывается на сходстве с оцениваемым объектом по конструкции, используемым при производстве материалам, технологии изготовления и пр. Должна быть известна рыночная цена объекта-аналога.
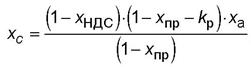
В.3.2.9.2 Себестоимость изготовления объекта-аналога (х с) вычисляют по формуле
,
(В.4)
где х а - рыночная цена объекта-аналога, включая НДС;
х НДС - ставка НДС;
В.3.2.9.3 Полную себестоимость оборудования Х с рассчитывают по формуле
,
(В.5)
где n - количество технических параметров оборудования, определяющих его потребительские качества;
M i - технический параметр оцениваемого оборудования, определяющий его потребительские качества;
М iа - технический параметр конструкции аналога, определяющий его потребительские качества.
В.3.2.9.4 Восстановительную стоимость Х в оцениваемого оборудования рассчитывают по формуле
.
(В.6)
Примечание - Если оценивается объект, который не пользуется спросом, то стоимость объекта принимается равной себестоимости его изготовления.
В.3.2.10 Расчет восстановительной стоимости поэлементным (поагрегатным) методом
В.3.2.10.1 Поэлементный (поагрегатный) метод расчета используется в том случае, когда оцениваемый объект (оборудование) состоит из нескольких составляющих частей и рыночные цены на них известны, сборка технических частей объекта несложна и может быть выполнена самим потребителем (например, определение стоимости компьютеров по их собираемым частям).
В.3.2.10.2 Расчет полной себестоимости оборудования проводят следующим образом:
Хс = (1 + хз)·∑хэ,
(В.7)
где х з - стоимость произведенных работ;
∑хз - суммарная стоимость комплектующих изделий оборудования, которая рассчитана по рыночным ценам.
Далее рассчитывают восстановительную стоимость по формуле (В.6).
В.3.2.11 Расчет восстановительной стоимости оборудования на основе укрупненных нормативов затрат
В.3.2.11.1 Укрупненные нормативы рассчитывают по затратам, которые составляют около 70 % себестоимости оборудования. Полную себестоимость изготовления в данном случае рассчитывают по формуле
хс = хз.м + хз.к + хз.з.п + хз.н,
(В.8)
где х з.м, х з.к, х з.з.п, х з.н - затраты на основные материалы, комплектующие оборудования, заработную плату при производстве оборудования и накладные расходы в производстве, соответственно.
В.3.2.11.2 Фактором, который может оказывать влияние на стоимость оборудования, может быть масса конструкции, мощность, размер рабочей площади и другие показатели оборудования.
В.3.3 Определение базовой стоимости методом сравнения с аналогами
В.3.3.1 Базовую стоимость периферийного оборудования подсистемы ИТС методом сравнения с аналогами определяют на основе фактической цены, по которой совершались сделки купли-продажи похожего оборудования, скорректированной с учетом выявленных отличий в характеристиках оцениваемого оборудования и аналога.
В.3.3.2 Необходимые условия применения сравнительного метода:
а) наличие достаточных и достоверных данных о фактической цене купли-продажи аналогичного оборудования;
б) наличие информации, отражающей черты, свойственные сравниваемому оборудованию, и позволяющей установить степень сходства.
В.3.3.3 Достоверные данные о фактической цене купли-продажи аналогичного оборудования могут быть получены из Федеральной государственной информационной системы ценообразования в строительстве [6] и включает, в том числе:
- реестр единственных поставщиков товара, производство которого создается или модернизируется и (или) осваивается на территории Российской Федерации;
- результаты мониторинга закупок, аудита в сфере закупок, а также контроля в сфере закупок;
- каталоги товаров, работ, услуг для обеспечения государственных и муниципальных нужд;
- информацию о складывающихся на товарных рынках ценах товаров, работ, услуг, закупаемых для обеспечения государственных и муниципальных нужд, а также о размещаемых заказчиками в соответствии с частью 5 статьи 22 [7].
В.3.3.4 Достоверные данные о фактической цене купли-продажи объектов-аналогов могут быть получены из федеральных, региональных и муниципальных информационных систем в сфере закупок, интегрированных с единой информационной системой Российской Федерации.
Примечание - Официально опубликованная информация точно отражает тип объекта, комплектацию и другие технические параметры, однако не учитывает возможные скидки, которые могут быть достигнуты в процессе купли-продажи объекта. Поэтому ценовые характеристики, полученные из этих источников, могут использоваться лишь как базовые цены, в которые следует вносить коррективы.
В.3.3.5 Сравнительный метод оценки стоимости оборудования включает процедуру сопоставления технических и производственных характеристик.
В.3.3.6 Расчеты по методу прямого сравнения базируются на рыночных ценах оборудования, абсолютно идентичного оцениваемому, а по методу косвенного сравнения - на рыночных ценах оборудования, способного заменить оцениваемое оборудование по выполняемым функциям.
В.3.3.7 Критерии сопоставимости (сравнения) аналогичного оборудования с оцениваемым зависят от целей и задач, выполняемых подсистемой ИТС, в которую входит оборудование и других факторов. Например, существенную роль играют такие показатели сравнения, как физические характеристики, конструктивные особенности, уникальность, сложность конструкции, наличие дополнительных улучшений и т.д.
В.3.3.8 При выборе аналога предпочтение отдается тем объектам, которые, как и оцениваемый объект, выпущены тем же изготовителем и в той же стране, имеют то же функциональное назначение и квалификационное подобие, а также имеют хотя бы частичное технологическое сходство.
В.3.3.9 Алгоритм определения стоимости методом сравнения с аналогами:
- подбирают три - пять объектов-аналогов, сравнивают их технико-экономические параметры и фиксируют различия;
- зафиксированные различия оценивают в стоимостном выражении и вносят поправки в цену продажи (поправки вносят на техническую сопоставимость и на различия в условиях продажи) согласно формуле (В.5);
- выполняется расчет восстановительной стоимости оборудования или частей оборудования по формуле
,
(В.9)
где х а - цена аналогичного оборудования на момент продажи;
k п - коэффициент приведения цены аналога на момент определения стоимости, отношение индексов цен на момент определения стоимости и на момент действия цены объекта-аналога;
k и.а - коэффициент физического износа аналога за период эксплуатации с момента выпуска до момента определения стоимости;
k 1, ..., k i - корректирующие параметрические коэффициенты, учитывающие отличия в значениях технических параметров у оцениваемого и аналогичного оборудования. Корректирующий коэффициент представляет собой отношение значения выделенного параметра в степени, характеризующей зависимость цены оборудования от технического параметра;
k k - коэффициент различия коммерческой привлекательности оборудования и его аналога;
х д - цена дополнительных устройств, наличием которых отличается сравниваемое оборудование (на момент определения стоимости).
В.3.3.10 Расчет поправок в цену продажи
В.3.3.10.1 Поправки на техническую сопоставимость включают поправки:
- на технические характеристики сравниваемого оборудования (мощность, точность, производительность и т.п.). Выбираются технические характеристики, которые в наибольшей степени влияют на цену оборудования. Технические характеристики должны быть по возможности независимы друг от друга;
- комплектацию (наличие дополнительных приспособлений и устройств);
- качество исполнения изделия и пр.
В.3.3.10.2 Для определения поправки рассчитывают соотношения между ценами (затратами на изготовление) и техническими параметрами сравниваемых объектов-аналогов по формуле
,
(В.10)
где Х 1 и Х 2 - цены сопоставимых объектов (затраты);
N 1 и N 2 - технический параметр сопоставимых объектов.
В.3.3.10.3 Поправки на различия в условиях продажи необходимы для того, чтобы привести цены всех объектов-аналогов к единым коммерческим условиям продаж. В состав данных поправок входят поправки:
- на уторгование;
- сроки поставки и дату продажи;
- серийность поставок;
- условия платежа.
В.3.3.10.4 Точность метода зависит от "степени аналогичности" оборудования, степени детализации данных по аналогу, а также глубины анализа и сопоставления исходных данных по сравниваемому оборудованию. Чем больше использовано объектов-аналогов, тем больше достоверность расчета.
Приложение Г
(рекомендуемое)
Г.1 Область применения
Г.1.1 Настоящая методика предназначена для определения стоимости комплектации инструментальных и комплексных подсистем ИТС с целью установления единого порядка определения стоимости на территории РФ.
Г.1.2 Методика применяется для определения базовой стоимости подсистем ИТС на этапе проектирования ИТС.
Г.1.3 Положения методики предназначены для применения широким кругом организаций при выполнении работ по созданию ИТС.
Г.2 Общие положения
Г.2.1 Перед определением базовой стоимости:
- должна быть определена потребность в оборудовании;
- установлен перечень требований к оборудованию, закупка которого планируется, а также требований к условиям поставки товара;
- сформировано описание объекта закупки в соответствии с требованиями статьи 33 [5].
Г.2.2 Стоимость проекта создания подсистем ИТС определяется в территориальном разрезе для каждого субъекта Российской Федерации по номенклатуре материальных ресурсов, производство (реализация) которых осуществляется преимущественно производителями (поставщиками) материальных ресурсов на территории субъекта Российской Федерации.
Г.3 Порядок определения базовой стоимости подсистемы ИТС
Г.3.1 Основные затраты на создание и внедрение подсистем ИТС подразделяют:
- на предпроектные,
- проектные,
- капитальные;
- эксплуатационные.
Эксплуатационные затраты в данной методике не рассматриваются.
Г.3.1.1 Предпроектные затраты З пред рассчитывают по формуле
Зпред = Зоб + ЗНИР,
(Г.1)
где З об - предварительное обследование объекта внедрения подсистем ИТС;
З НИР - затраты на научно-исследовательские работы.
Г.3.1.2 Проектные затраты включают в себя затраты на проведение проектно-изыскательских работ, разработку проектной и сметной документации. На данном этапе должны быть предусмотрены дополнительные затраты на обследование объекта внедрения подсистем ИТС.
Проектные работы включают разработку эскизного, технического проектов и рабочей документации. Цены устанавливают по государственным сметным нормативам на разработку каждой из следующей частей на документацию подсистем ИТС:
- общесистемные решения;
- организационное обеспечение;
- информационное обеспечение;
- техническое обеспечение;
- математическое обеспечение.
Общую базовую цену разработки документации на ИТС рассчитывают по формуле
Зд = Зо.р + Зорг.о + Зи.о + Зт.о + Зм.о + Зп.о,
(Г.2)
где З о.р - затраты на разработку документации общесистемных решений;
З орг.о - затраты на разработку документации по организационному обеспечению;
З и.о - затраты на разработку документации по информационному обеспечению;
З т.о - затраты на разработку документации по техническому обеспечению;
З м.о - затраты на разработку документации по математическому обеспечению;
З п.о - цена разработки документации по программному обеспечению.
При определении цены разработки документации трудоемкость работ должна соответствовать заданию на проектирование объекта, оснащаемого подсистемой ИТС, или заявке заказчика на разработку (создание) подсистемы ИТС и прилагаемым к ним исходным требованиям к системе, а в случае недостаточности данных, содержащихся в указанных документах, - другим документам, имевшимся на момент определения цены его разработки, включая проекты-аналоги, определяемые по согласованию между разработчиком и заказчиком.
Определение базовой цены разработки документации на комплексную подсистему ИТС осуществляется путем суммирования базовых цен разработки документации на инструментальные подсистемы.
Г.3.1.3 Капитальные затраты на создание и внедрение подсистем ИТС включают:
- подготовку объекта автоматизации к вводу АСУ в действие;
- приобретение периферийного оборудования, в том числе ПО;
- строительно-монтажные работы;
- выполнение пусконаладочных работ;
- проведение предварительных и приемочных испытаний;
- проведение опытной эксплуатации;
- сопровождение АС, включая выполнение работ в соответствии с гарантийными обязательствами и послегарантийное обслуживание.
Базовую стоимость оценки затрат рассчитывают по формуле
Зкап = Зобор + Зм + Зпуск + Зпр + Зэ,
(Г.3)
где З кап - капитальные затраты;
З обор - затраты на закупку оборудования;
З м - затраты на монтаж;
З пуск - затраты на пусконаладочные работы;
З пр - проведение предварительных и приемочных испытаний;
З э - затраты на опытную эксплуатацию.
Стоимость подсистем ИТС зависит от типа, территории охвата, уровней сложности подсистемы, ее архитектуры и иерархии.
Г.3.2 Методы расчета текущих затрат зависят от того, на каком этапе жизненного цикла проводят расчет. На проектных стадиях, когда отсутствуют окончательно сформированные конструкторские решения, используют укрупненные методы расчета (сметный, затратный, аналоговых сравнений и др.).
Г.3.3 По каждой составляющей затрат определяют сметную стоимость на основании имеющихся нормативов на включаемые работы. Основные средства, временно используемые в процессе осуществления проекта, учитывают по остаточной стоимости; арендную плату за время использования основных средств включают в состав текущих затрат.
Г.3.4 Сметную документацию составляют в текущем уровне цен. Допускается указывать стоимость работ в двух уровнях цен:
- в базисном уровне, определяемом на основе действующих сметных норм и цен 2001-го года;
- в текущем уровне, определяемом на основе цен, сложившихся ко времени составления сметной документации.
Г.3.5 Оценку стоимости элементов ИТС выполняют тремя методами (сметным и затратным методами, а также сравнением с аналогами) в соответствии с приложением В.
Г.3.6 Оценку стоимости затрат на строительство/подключение ЦОД ИТС выполняют в соответствии с приложением Д.
Г.3.7 Затраты на выполнение пусконаладочных работ по вводу в эксплуатацию автоматизированных систем управления определяют по государственным сметным нормативам. К началу пусконаладочных работ комплексы программно-технических средств переданы под наладку - серийные, укомплектованные, загруженные с системным или прикладным программным обеспечением, передана проектная документация, включающая части проекта: математическое, информационное, программное, организационное обеспечения.
Г.3.8 Затраты на монтаж оборудования определяются по государственным сметным нормативам.
Г.3.9 Сметные цены и цены услуг на автомобильные перевозки определяются в территориальном разрезе для каждого субъекта Российской Федерации по номенклатуре материальных ресурсов, производство (реализация) которых осуществляется производителями (поставщиками) материальных ресурсов на территории субъекта Российской Федерации.
Г.4 Оценка стоимости инструментальных подсистем ИТС
Г.4.1 Стоимость инструментальных подсистем ИТС складывается из предпроектных, проектных затрат, стоимости оборудования, его монтажа и пусконаладочных работ.
Г.4.2 Основные затраты на внедрение каждой инструментальной подсистемы ИТС складываются из затрат, приведенных в таблице Г.1. Инструментальные подсистемы ИТС в таблице Г.1 приведены в соответствии с [1].
|
Наименование подсистемы |
Основные статьи затрат на внедрение подсистемы ИТС |
|
Подсистема метеомониторинга |
Предпроектные затраты (обоснование целесообразности внедрения, выбор функционала и предварительного состава оборудования, вида связи); проектные затраты; закупка периферийных комплексов АДМС, транспортирование; монтаж; пусконаладочные работы по запуску подсистемы, опытная эксплуатация |
|
Подсистема мониторинга состояния дороги и дорожной инфраструктуры |
Предпроектные затраты (обоснование целесообразности внедрения, выбор функционала и предварительного состава оборудования, вида связи); проектные затраты; закупка, транспортировка оборудования; монтаж; пусконаладочные работы по запуску подсистемы, опытная эксплуатация |
|
Подсистема обеспечения противогололедной обстановки |
Предпроектные затраты (обоснование целесообразности внедрения, выбор функционала и предварительного состава оборудования, вида связи); проектные затраты; затраты на закупку АРМ; закупка оборудования (насосная станция, датчики покрытия, метеостанция, форсунки), транспортировка; монтаж; проведение/подключение разбрызгивающей линии магистрального трубопровода и линий связи, пусконаладочные работы по запуску подсистемы, опытная эксплуатация |
|
Подсистема диспетчерского управления транспортом служб содержания дорог |
Предпроектные затраты (обоснование целесообразности внедрения, выбор функционала и предварительного состава оборудования, вида связи); проектные затраты; затраты на закупку АРМ; закупка оборудования (комплект бортового навигационно-связного оборудования, программно-технические комплексы по ГОСТ Р 54727), транспортировка; монтаж; пусконаладочные работы по запуску подсистемы, опытная эксплуатация |
|
Подсистема автоматизированного сбора платы за проезд |
Предпроектные затраты (обоснование целесообразности внедрения, выбор функционала и предварительного состава оборудования, вида связи); проектные затраты; затраты на закупку АРМ; закупка оборудования пункта оплаты проезда (шлагбаум, датчики, детекторы, терминал оплаты и т.д.), транспортировка; затраты на закупку бортового оборудования на ТС; монтаж; пусконаладочные работы по запуску подсистемы, опытная эксплуатация |
|
Подсистема видеонаблюдения, детектирования ДТП и ЧС |
Предпроектные затраты (обоснование целесообразности внедрения, выбор функционала и предварительного состава оборудования, вида связи); проектные затраты; закупка периферийного оборудования (поворотные и стационарные видеокамеры), транспортировка; монтаж; пусконаладочные работы по запуску подсистемы, опытная эксплуатация |
|
Подсистема мониторинга параметров транспортного потока |
Предпроектные затраты (обоснование целесообразности внедрения, выбор функционала и предварительного состава оборудования, вида связи); проектные затраты; закупка периферийных комплексов - пункты учета интенсивности движения, транспортировка; монтаж; пусконаладочные работы по запуску подсистемы, опытная эксплуатация |
|
Подсистема весогабаритного контроля транспортных средств |
Предпроектные затраты (обоснование целесообразности внедрения, выбор функционала и предварительного состава оборудования, вида связи); проектные затраты; затраты на передвижной/стационарный пост весогабаритного контроля; монтаж; пусконаладочные работы по запуску подсистемы, опытная эксплуатация |
|
Подсистема информирования УДД с помощью ДИТ и ЗПИ |
Предпроектные затраты (обоснование целесообразности внедрения, выбор функционала и предварительного состава оборудования, вида связи); проектные затраты; закупка периферийного оборудования, транспортировка; монтаж; пусконаладочные работы по запуску подсистемы, опытная эксплуатация |
|
Подсистема информирования пользователей подсистемы ИТС с помощью бортовых устройств ТС и персональных устройств |
Предпроектные затраты (обоснование целесообразности внедрения, выбор функционала и предварительного состава оборудования, вида связи); проектные затраты; подключение системы, опытная эксплуатация |
|
Подсистема светофорного управления |
Предпроектные затраты (обоснование целесообразности внедрения, выбор функционала и предварительного состава оборудования, вида связи); проектные затраты; закупка периферийных комплексов, транспортировка; монтаж; пусконаладочные работы по запуску подсистемы, опытная эксплуатация |
|
Подсистема управления выездом и въездом на парковки |
Предпроектные затраты (обоснование целесообразности внедрения, выбор функционала и предварительного состава оборудования, вида связи); проектные затраты; затраты на специализированные детекторы, парковочного табло; монтаж; пусконаладочные работы по запуску подсистемы, опытная эксплуатация |
|
Подсистема управления выездом на автомагистраль |
Предпроектные затраты (обоснование целесообразности внедрения, выбор функционала и предварительного состава оборудования, вида связи); проектные затраты; затраты на периферийное оборудование (дорожный контроллер, выносной пульт управления, дорожное табло, видеокамеры, ЗПИ и т.д.), транспортировка; монтаж; пусконаладочные работы по запуску подсистемы, опытная эксплуатация |
|
Подсистема регистрации нарушений ПДД |
Предпроектные затраты (обоснование целесообразности внедрения, выбор функционала и предварительного состава оборудования, вида связи); проектные затраты; затраты на комплекс фотовидеофиксации, транспортировка; монтаж пусконаладочные работы по запуску подсистемы, опытная эксплуатация |
|
Подсистема детектирования опасных грузов |
Предпроектные затраты (обоснование целесообразности внедрения, выбор функционала и предварительного состава оборудования, вида связи); - проектные затраты; - затраты на создание автоматического пункта контроля; - пусконаладочные работы по запуску подсистемы, опытная эксплуатация |
|
Подсистема полосного управления |
Предпроектные затраты (обоснование целесообразности внедрения, выбор функционала и предварительного состава оборудования, вида связи); проектные затраты; затраты на периферийное оборудование (светофор, ДК, ЗПИ), транспортировка; монтаж; пусконаладочные работы по запуску подсистемы, опытная эксплуатация |
|
Подсистема мониторинга экологических параметров |
Предпроектные затраты (обоснование целесообразности внедрения, выбор функционала и предварительного состава оборудования, вида связи); проектные затраты; затраты на периферийное оборудование (АДМС, АСКЗА, метеоматчта), транспортировка; монтаж; пусконаладочные работы по запуску подсистемы, опытная эксплуатация |
|
Подсистема обеспечения приоритета движения ТС |
Предпроектные затраты (обоснование целесообразности внедрения, выбор функционала и предварительного состава оборудования, вида связи); проектные затраты; затраты на периферийное оборудование (бортовой электронный модуль ТС, ДТ, светофор, ДК, ВПУ) затраты на оборудование связи и передачи данных; затраты на ПО; пусконаладочные работы по запуску подсистемы, опытная эксплуатация |
Г.4.3 Стоимостную оценку базовых затрат (З) на создание и эксплуатацию в течение первого года комплексных подсистем ИТС рассчитывают по формуле
З = (Зиi + ЗЗЦУ + ЗПО + Зм + Зтр + Зпуск + Зэк)·kпр,
(Г.4)
где З иi - сумма затрат на все инструментальные подсистемы ИТС, входящие в состав комплексной;
З ЗЦУ - затраты на создание/подключение к ЗЦУ/ЦОД;
З ПО - затраты на разработку/приобретение ПО;
З м - затраты на монтажные работы, относящиеся к объединению инструментальных подсистем в комплексную;
З тр - затраты на транспортные расходы дополнительного оборудования для объединения инструментальных подсистем в комплексную;
З пуск - затраты на пусконаладочные работы по запуску комплексной подсистемы;
З эк - эксплуатационные затраты одного года эксплуатации (определяют на основании коммерческих предложений);
k пр - коэффициент, учитывающий затраты на проектные и предпроектные работы, определяемый государственным сметным нормативом.
Существенными условиями, влияющими на стоимость подсистем ИТС, являются:
- сложность ИТС (количество и состав подсистем, территория охвата ИТС);
- надежность системы;
- регион строительства.
4.5 На стоимость АСУД влияют следующие факторы:
а) тип выбранной системы:
- АСУД "Город";
- АСУД "ГСД";
- АСУД "Магистраль".
б) уровень автоматизации системы:
- АСУД первого уровня (АСУД 1) управляют движением на отдельных перекрестках по различным локальным алгоритмам;
- АСУД второго уровня (АСУД 2) управляют движением на участках УДС (магистралях, в небольших районах) на основе смены заранее рассчитанных ПК (допускается местная коррекция планов на отдельных перекрестках);
- АСУД третьего уровня (АСУД 3) управляют в сложных районах УДС на основе гибкой смены режимов управления, их общей и местной коррекции в зависимости от текущей транспортной ситуации.
в) сложность архитектуры системы:
- система с центральным интеллектом, в которой управление периферийным оборудованием осуществляется из ЦОД;
- система с распределенным интеллектом, в которой управление осуществляют мастер-контроллеры, установленные на дорожной сети и соединенные линиями связи с другими ДК;
- система с центрально-распределенным интеллектом, сочетающая в себе достоинства первых двух.
г) количество объектов управления. Можно выделить следующие типы объектов управления:
- центр;
- зона;
- группа (район);
- точка (перекресток).
Коэффициенты, влияющие на стоимость АСУД, приведены в таблице Г.2.
|
Наименование |
Основные факторы, определяющие стоимость разработки |
Обозначение коэффициента |
Значение коэффициента |
|
1 Тип выбранной системы |
АСУД "Город" |
К 1 |
1,3-1,5 |
|
АСУД "ГСД" |
1,1-1,3 | ||
|
АСУД "Магистраль" |
1 | ||
|
2 Уровень сложности |
АСУД 1 |
К 2 |
1 |
|
АСУД 2 |
1,2-1,4 | ||
|
АСУД 3 |
1,4-1,6 | ||
|
3 Уровни построения архитектуры системы |
Система с центральным интеллектом |
К 3 |
1 |
|
Система с распределенным интеллектом |
0,8 | ||
|
Система с центрально-распределенным интеллектом |
1,2 | ||
|
4 Количество перекрестков |
1 < n < 10, где n - количество перекрестков |
К 4 |
1 |
|
10 < n |
0,9 | ||
|
5 Количество инструментальных подсистем, входящих в состав комплексной АСУД |
1 < Х < 3, где X - количество подсистем |
К 5 |
Х·1 |
|
3 < Х |
Х·0,9 |
Понижающие коэффициенты (К 4 и К 5) приведены в методике с целью оценки поправок на снижение издержек производства и роста производительности труда при увеличении объема поставки.
Цена продукции раскладывается на составные части: доля в цене материальных затрат; доля в цене трудовых затрат; неизменная часть цены (прибыль, накладные расходы и т.д.). Снижение издержек производства определяется делением издержек производства при единичной закупке на издержки производства при большом объеме партии продукции.
Коэффициент, учитывающий рост производительности труда при увеличении объема поставки, определяется делением производительности труда рабочего (выпуска продукции) при единичной закупке на производительность труда при увеличении размера импортируемой партии.
Итоговую стоимость затрат на создание и внедрение АСУД рассчитывают по формуле
ЗАСУД = З·К1·К2·К3·К4·К5,
(Г.5)
где З АСУД - затраты на создание и внедрение АСУД;
З - затраты на комплексную подсистему, рассчитанные по формуле (Г.4);
К 1 - К 5 - коэффициенты, указанные в таблице Г.2.
Приложение Д
(рекомендуемое)
Д.1 Область применения
Д.1.1 Настоящая методика устанавливает рекомендации к выполнению оценки стоимости автоматизированной системы управления (АСУ) верхнего уровня с целью установления единого порядка расчетов на территории Российской Федерации.
Д.1.2 Настоящая методика предназначена для формирования базовой стоимости создания (строительства) центра обработки данных (ЦОД) интеллектуальной транспортной системы (ИТС).
Д.1.3 Методика предназначена для применения государственными заказчиками, проектными и другими заинтересованными организациями при расчете базовых цен и определении стоимости работ по созданию ЦОД ИТС. Положения, приведенные в методике, рекомендуются для использования государственными заказчиками, проектными и другими заинтересованными организациями независимо от форм собственности, осуществляющими создание (строительство) ЦОД ИТС с привлечением средств государственного бюджета всех уровней и государственных внебюджетных фондов, а также внебюджетных источников финансирования.
Д.1.4 Методика применяется для определения базовой стоимости АСУ верхнего уровня на этапе проектирования ИТС.
Д.1.5 Базовая стоимость, полученная с использованием рекомендуемой методики, должна быть уточнена на этапе строительства ИТС.
Д.2 Общие положения
Д.2.1 Перед определением базовой стоимости:
должна быть определена потребность в оборудовании;
установлен перечень требований к оборудованию, закупка которого планируется, а также требований к условиям поставки товара;
сформировано описание объекта закупки в соответствии с требованиями статьи 33 [5].
Д.2.2 Стоимость проекта создания ЦОД ИТС определяется в территориальном разрезе для каждого субъекта Российской Федерации по номенклатуре материальных ресурсов, производство (реализация) которых осуществляется преимущественно производителями (поставщиками) материальных ресурсов на территории субъекта Российской Федерации.
Д.3 Определение базовой стоимости АСУ верхнего уровня
Д.3.1 Основные затраты на создание ЦОД ИТС подразделяют:
- на предпроектные,
- проектные,
- капитальные,
- эксплуатационные (за первый год эксплуатации, определяются на основании анализа коммерческих предложений).
Д.3.2 Предпроектные затраты
Д.3.2.1 Предпроектные работы включают:
- обследование объекта и обоснование необходимости создания АСУ;
- проведение научно-исследовательских работ, в том числе формирование требований пользователя к АСУ, разработка концепции АСУ, удовлетворяющей требованиям пользователя;
- предварительное обоснование инвестиций в создание АСУ верхнего уровня;
- разработку технического задания (ТЗ) на создание АСУ верхнего уровня.
Стадии создания АСУ и виды работ по стадиям приведены в ГОСТ 34.601.
Д.3.2.2 Перечень предпроектных затрат:
- затраты на оплату труда исполнителей работ;
- затраты на привлечение дополнительных специалистов;
- затраты на организацию и проведение обследований;
- затраты на разработку научно-технической документации;
- затраты на разработку предварительных проектных решений по системе и ее частям.
Д.3.2.3 Общая формула для расчета предпроектных затрат З пп (Д.1):
Зпп = Ззп + Здоп + Зд + Зо,
(Д.1)
где З зп - затраты на заработную плату исполнителей работ;
З доп - затраты на привлечение дополнительных специалистов;
З д - затраты на разработку научно-технической документации;
З о - затраты на организацию и проведение обследований.
Д.3.3 Проектные затраты
Д.3.3.1 Проектные работы включают:
- проведение проектно-изыскательских работ;
- разработку проектной и сметной документации, включая: эскизный проект, технический проект, рабочую документацию, ТЭО.
Виды работ на стадии проектных работ приведены в ГОСТ 34.601.
Д.3.3.2 Перечень проектных затрат:
- затраты на оплату труда исполнителей работ;
- затраты на привлечение дополнительных специалистов;
- затраты на организацию и проведение дополнительных обследований;
- затраты на разработку научно-технической документации, включая проектную и рабочую документацию.
Д.3.3.3 Общие затраты на разработку научно-технической документации определяются по формуле (Г.2):
Д.3.3.4 Общие затраты на выполнение предпроектных и проектных работ могут быть определены оценочно в соответствие с [7].
Примечание - Расчет стоимости проектирования, включающий предпроектные и проектные работы базируется на полной стоимости проекта и составляет 6-12 % в зависимости от сложности объекта. Общая категория сложности АСУ верхнего уровня установлена - IV (архитектурно сложный, технически - особо сложный).
Д.3.4 Капитальные затраты
Д.3.4.1 Капитальные затраты на создание АСУ верхнего уровня включают затраты на:
- строительно-монтажные работы, включая строительство здания и оснащение его инженерной инфраструктурой;
- выполнение пусконаладочных работ;
- проведение предварительных и приемочных испытаний;
- проведение опытной эксплуатации;
- приобретение оборудования, в том числе ПО, необходимого для функционирования ЦОД ИТС (серверное оборудование, оборудование АРМ, технические средства защиты информации, сетевое оборудование, оргтехника и др.);
- разработку необходимого уникального ПО;
- сопровождение АСУ, включая выполнение работ в соответствии с гарантийными обязательствами и послегарантийное обслуживание.
Виды работ по созданию АСУ приведены в ГОСТ 34.601.
Д.3.4.2 Стоимость строительства здания определяется сметным методом или методом сравнения с объектами-аналогами. Для расчета стоимости рекомендуется применять [6]. Исходными данными для определения сметной стоимости являются проектная и рабочая документация, в составе которых содержатся параметры здания и его инженерно-технологическое оснащение в зависимости от сложности системы.
Д.3.4.3 Оценка стоимости закупки оборудования, мебели, инвентаря, необходимого для функционирования ЦОД ИТС (серверное и сетевое оборудование, оборудование связи, технические средства АРМ и пр.), выполняется сметным, затратным методами или методом сравнения с аналогами по методике оценки стоимости элементов ИТС.
Д.3.4.4 Затраты на закупку необходимого ПО включают:
- стоимость лицензий на базовое ПО (включая базовое ПО);
- стоимость покупки (или разработки) прикладного ПО для каждой подсистемы с учетом перечня входящего подключаемого оборудования согласно проектной документации на разработку ИТС.
Д.3.4.5 Оценка затрат на разработку уникального ПО соответствует оценке трудозатрат на выполнение данной работы и включает:
- расходы по оплате труда разработчиков программ и отчислений на социальные нужды;
- расходы по оплате машинного времени при разработке программ.
Д.3.4.6 Определение стоимости монтажа оборудования ЦОД ИТС производится сметным методом. Сметная стоимость монтажных работ в текущем уровне цен рассчитывается базисно-индексным методом на основе единичных расценок [8] и [9] с использованием текущих и прогнозных индексов по отношению к затратам, исчисленным в базисном уровне цен по состоянию на 1 января 2000 года.
Д.3.4.7 Определение стоимости пусконаладочных работ ЦОД ИТС производится сметным методом. Сметная стоимость пусконаладочных работ в текущем уровне цен рассчитывается базисно-индексным методом на основе единичных расценок [10] с использованием текущих и прогнозных индексов по отношению к затратам, исчисленным в базисном уровне цен по состоянию на 1 января 2000 года.
Д.3.4.8 В соответствии с [10] стоимость пусконаладочных работ ЦОД ИТС (З пуск) любой категории технической сложности в общем виде определяется применением к базовой расценке в зависимости от общего количества каналов связи формирования входных и выходных сигналов по формуле
Зпуск = Зб·(Фим·Фу),
(Д.2)
где З б - базовые расценки на пусконаладочные работы для систем I, II и III категории технической сложности в зависимости от общего количества каналов в данной системе;
Фим - коэффициент, учитывающий два фактора: "метрологическую сложность" и "развитость информационных функций" системы;
Ф у - коэффициент, учитывающий "развитость управляющих функций".
Д.3.4.9 Существенными условиями, влияющими на величину капитальных затрат, является:
- сложность ИТС (количество и состав подсистем, территория охвата ИТС и пр.);
- уровень надежности ЦОД ИТС не менее 3 согласно стандарта TIA-942;
- регион строительства (учитывается применением ТЕР - территориальных расценок, привязанных к местным условиям строительства в пределах территории административного образования Российской Федерации (региона)).
Примечание - Уровень надежности 3 - ЦОД обладает возможностью параллельной реализации основных функций и проведения ремонтно-профилактических работ (коэффициент постоянной готовности 99,982 %):
- допускает плановую деятельность без нарушения нормального хода работы оборудования машинного зала, однако внеплановые события все же могут привести к нарушению его работы;
- имеет несколько путей (каналов) для распределения электропитания и охлаждения, но лишь один из них активен; имеет резервированные компоненты (N+1);
- время развертывания - от 15 до 20 месяцев;
- годовое время простоя - 1,6 часов;
- имеет достаточно мощности и распределительных возможностей для того, чтобы при загруженности одного пути (канала) можно было одновременно осуществлять обслуживание или тестирование другого пути.
Д.3.4.10 Капитальные затраты рассчитывают по формуле
Зкап = (Зст + Зо + ЗПО1 + З ПО2 + Зм + Зпуск)·kсл·kн,
(Д.3)
где З ст - затраты на строительство здания ЦОД ИТС, в том числе оснащение инженерной инфраструктурой;
З о - затраты на приобретение оборудования;
З по - затраты на приобретение ПО, необходимого для функционирования ЦОД ИТС, а также затраты на разработку уникального ПО;
З м - затраты на монтажные работы;
З пуск - затраты на пусконаладочные работы;
k сл - коэффициент, учитывающий сложность ИТС (kсл ≡ К1·К2·К3·К4);
k н - коэффициент надежности ЦОД ИТС (kн = К5·К6).
Д.3.4.11 Значение коэффициентов, учитывающих сложность ЦОД ИТС и уровень надежности приведены в таблице Д.1.
Д.3.5 Эксплуатационные затраты
Д.3.5.1 Эксплуатационные затраты включают в себя затраты:
- заработную плату персонала ЦОД с начислениями;
- заработную плану привлекаемых специалистов с начислениями;
- амортизационные отчисления на оборудование ЦОД;
- затраты на закупку запасных частей, инструментов и принадлежностей (ЗИП);
- затраты на ремонт и техническое обслуживание оборудования и инженерных коммуникаций ЦОД;
- затраты на потребляемые ресурсы (электроэнергию, воду и пр.) для штатного функционирования ЦОД;
- затраты, связанные с использованием глобальных вычислительных сетей.
|
N п/п |
Наименование |
Основные факторы, определяющие стоимость разработки |
Обозначение коэффициента |
Значение коэффициента |
|
1 |
2 |
3 |
4 |
5 |
|
1 |
Территория охвата [количество подключенных перекрестков (n)] |
1 < n < 10 |
k 1 |
1 |
|
10 < n < 20 |
0,9 | |||
|
20 < n < 50 |
0,8 | |||
|
50 < n < 100 |
0,7 | |||
|
100 < n |
0,65 | |||
|
2 |
Количество подсистем ИТС (с) |
1 < с < 3 |
k 2 |
с·1 |
|
3 < х < 5 |
с·0,9 | |||
|
Более 5 |
с·0,8 | |||
|
3 |
Количество АРМ (а) |
1 < а < 5 |
k 3 |
1 |
|
Более 5 |
1,05 | |||
|
4 |
Сложность системы охлаждения |
Без гермозоны |
k 4 |
1 |
|
С гермозоной |
1,5 | |||
|
5 |
Уровень резервирования |
Возможность параллельного выполнения ремонта и тестирования |
k 5 |
1 |
|
Производительность и масштабируемость (возможность наращивания без перерыва или с небольшим перерывом в предоставлении услуг) |
1,1 | |||
|
Изолированность (использование только по прямому назначению) |
1,2 | |||
|
6 |
Уровень надежности (m) |
3 (ЦОД с возможностью параллельного проведения ремонтов) |
k 6 |
1 |
|
4 (отказоустойчивый) |
1,2 |
Д.3.5.2 Годовые текущие затраты на эксплуатацию рассчитывают по формуле
Зэк = ЗЗП + За + ЗЗИП + ЗТО + Зр,
(Д.4)
где З ЗП - фонд заработной платы (все привлекаемые к работам сотрудники и специалисты);
З а - амортизационные отчисления на оборудование ЦОД;
З ЗИП - затраты на закупку запасных частей, инструментов и принадлежностей (ЗИП);
З ТО - затраты на ремонт и техническое обслуживание оборудования и инженерных коммуникаций ЦОД.
З р - годовые затраты на потребляемые ресурсы (включая использование вычислительных сетей).
Д.3.6 Базовую стоимостную оценку затрат (З) на создание и внедрение АСУ верхнего уровня рассчитывают по формуле
З = Зпр + Зп + Зкап + Зэк = (Зкап + Зэк)·kпр.
(Д.5)
Библиография
|
[1] |
ОДМ 218.9.011-2016 |
Рекомендации по выполнению обоснования интеллектуальных транспортных систем |
|
[2] |
Методика определения сметных цен на материалы, изделия, конструкции, оборудование и цен услуг на перевозку грузов для строительства (приложение к приказу Министерства строительства и жилищно-коммунального хозяйства Российской Федерации от 20 декабря 2016 г. N 1001/пр) | |
|
[3] |
fgiscs.minstroyrf.ru согласно приказу Министерства строительства и жилищно-коммунального хозяйства РФ от 14 ноября 2016 г. N 814/пр "Об определении официального сайта федеральной государственной информационной системы ценообразования в строительстве" | |
|
[4] |
Методические рекомендации по применению методов определения начальной (максимальной) цены контракта, цены контракта, цены контракта, заключаемого с единственным поставщиком (подрядчиком, исполнителем), (приложение к приказу Минэкономразвития России от 2 октября 2013 г. N 567) | |
|
[5] |
Федеральный закон от 5 апреля 2013 г. N 44-ФЗ "О контрактной системе в сфере закупок товаров, работ, услуг для обеспечения государственных и муниципальных нужд" | |
|
[6] |
МДС 81-35.2004 |
Методика определения стоимости строительной продукции на территории Российской Федерации |
|
[7] |
Правила определения стоимости проектирования; утверждены приказом Госкомархитектуры от 29 ноября 1991 г. N 161 | |
|
[8] |
ФЕРм 81-03-11-2001 |
Государственные сметные нормативы. Федеральные единичные расценки на монтаж оборудования. Часть 11. Приборы, средства автоматизации и вычислительной техники |
|
[9] |
ФЕРм 81-03-10-2001 |
Государственные сметные нормативы. Федеральные единичные расценки на монтаж оборудования. Часть 10. Оборудование связи |
|
[10] |
ФЕРп 81-04-02-2001 |
Федеральные единичные расценки на пусконаладочные работы. Сборник 2. Автоматизированные системы управления |


