Утв. и введен в действие приказом Федерального агентства по техническому регулированию и метрологии от 10 июля 2020 г. N 19-пнст
Предварительный национальный стандарт ПНСТ 410-2020
"СВЕТОКУЛЬТУРА РАСТЕНИЙ. НОРМЫ ИСКУССТВЕННОГО ОСВЕЩЕНИЯ ДЛЯ ЗЕЛЕННЫХ КУЛЬТУР"
Photoculture of plants. Requirements for green crops artificial lighting
ОКС 91.160
93.080
Срок действия - с 1 января 2021 г.
до 1 января 2024 г.
Предисловие
1 Разработан Обществом с ограниченной ответственностью "Всесоюзный научно-исследовательский светотехнический институт имени С.И. Вавилова" (ООО "ВНИСИ").
2 Внесен Техническим комитетом по стандартизации ТК 332 "Светотехнические изделия, освещение искусственное"
3 Утвержден и введен в действие Приказом Федерального агентства по техническому регулированию и метрологии от 10 июля 2020 г. N 19-пнст
1 Область применения
Настоящий стандарт устанавливает нормы искусственного освещения зеленных культур, выращиваемых в многоярусных установках стеллажного типа или при одноуровневом размещении растений на полу или столах ("салатные линии") в помещениях без естественного освещения.
Настоящий стандарт применяют при проектировании и эксплуатации осветительных установок, предназначенных для выращивания зеленных культур в условиях светокультуры растений.
Настоящий стандарт не устанавливает нормы искусственного освещения для выращивания в условиях светокультуры растений, отличных от зеленных культур, таких как томаты, огурцы, цветы, лекарственные растения и др.
Нормы освещения, установленные настоящим стандартом, обеспечивают оптимальные с точки зрения производительности и энергоэффективности условия для выращивания зеленных культур в указанных выше типах установок защищенного грунта в условиях светокультуры растений, а также создание нормальных условий для зрительной работы обслуживающего персонала.
2 Нормативные ссылки
В настоящем стандарте использованы нормативные ссылки на следующие стандарты:
ГОСТ Р 58461 Освещение растений в сооружениях защищенного грунта. Термины и определения
ГОСТ Р МЭК 62471 Лампы и ламповые системы. Светобиологическая безопасность
Примечание - При пользовании настоящим стандартом целесообразно проверить действие ссылочных стандартов в информационной системе общего пользования - на официальном сайте Федерального агентства по техническому регулированию и метрологии в сети Интернет или по ежегодному информационному указателю "Национальные стандарты", который опубликован по состоянию на 1 января текущего года, и по выпускам ежемесячного информационного указателя "Национальные стандарты" за текущий год. Если заменен ссылочный стандарт, на который дана недатированная ссылка, то рекомендуется использовать действующую версию этого стандарта с учетом всех внесенных в данную версию изменений. Если заменен ссылочный стандарт, на который дана датированная ссылка, то рекомендуется использовать версию этого стандарта с указанным выше годом утверждения (принятия). Если после утверждения настоящего стандарта в ссылочный стандарт, на который дана датированная ссылка, внесено изменение, затрагивающее положение, на которое дана ссылка, то это положение рекомендуется применять без учета данного изменения. Если ссылочный стандарт отменен без замены, то положение, в котором дана ссылка на него, рекомендуется применять в части, не затрагивающей эту ссылку.
3 Термины и определения
В настоящем стандарте применены термины по ГОСТ Р 58461, а также следующие термины с соответствующими определениями:
3.1 зеленные культуры: Листостебельные овощные растения, например все виды листовых салатов, базилик, шпинат, руккола, горчица листовая и др.
Примечание - См. [1].
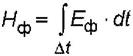
3.2 фотонная доза облучения (в точке поверхности для заданной продолжительности облучения) Нф: Интеграл по времени от фотонной облученности Еф в данной точке поверхности за данный промежуток времени Δt:
.
3.3 фотонное красно-зелено-синее отношение: Соотношение значений фотонной величины (потока фотонов, фотонной облученности и др.) в красной (Δλ, = 600-700 нм), зеленой (Δλ = 500-600 нм) и синей (Δλ = 400-500 нм) областях фотосинтетически активной радиации (ФАР).
3.4 энергетическое красно-зелено-синее отношение: Соотношение значений энергетической величины (потока излучения, энергетической облученности и др.) в красной, зеленой и синей областях ФАР.
4 Нормы
4.1 Спектр излучения
Для выращивания зеленных культур в условиях светокультуры растений предпочтительно использовать базовый спектр излучения, определяемый отношением синей и красной областей ФАР:
Еф.к : Еф.с = 80:20 (1±0,1),
(1)
Еф.к ± Еф.с = Еф,
(2)
где Еф.к и Еф.с - фотонные облученности в красной и синей областях ФАР в диапазонах длин волн 630-680 нм и 430-470 нм соответственно;
Еф - полная фотонная облученность, создаваемая облучательной установкой;
80 и 20 - процентное содержание красной и синей составляющих в полной фотонной облученности соответственно.
Примечания
1 Базовый спектр излучения может быть уточнен для конкретных зеленных культур на основе прямых фотобиологических экспериментов по типу (см. [2], [3]) с добавкой небольшой доли излучения в зеленой области ФАР.
2 Информация о фотобиологической безопасности излучения в синем диапазоне области ФАР приведена в приложении А.
Значения входящих в отношения (1) и (2) параметров Еф.к, Еф.с и Eф определяют прямым измерением при помощи измерительных приборов, проградуированных в фотонных единицах измерения, или рассчитывают по формулам:
,
(3)
,
(4)
,
(5)
где K - нормирующий множитель;
φ(λ) - относительное спектральное распределение потока излучения облучательной установки, отн. ед.;
λ - длина волны, нм.
Примечание - Соотношения фотонных величин, определенных для разных спектральных диапазонов, отличаются от определенных для этих же спектральных диапазонов соотношений энергетических величин, применительно к которым определяют спектры излучения фитооблучателей. Примеры различия соотношений фотонных и энергетических величин приведены в приложении Б.
4.2 Облученность
При выращивании зеленных культур в условиях светокультуры уровень фотосинтетической облученности в плоскости посадки растений в многоярусных установках стеллажного типа и в установках для облучения растений сверху (традиционная технология выращивания растений) должен составлять от 160 до 180 мкмоль/(с·м2).
4.3 Режим освещения
4.3.1 Фотопериод
При выращивании зеленных культур в условиях светокультуры продолжительность "светового дня" должна составлять от 18 до 20 ч.
Примечание - В отдельных случаях продолжительность "светового дня" может быть увеличена.
4.3.2 Суточная доза облучения
При выращивании зеленных культур в условиях светокультуры суточная фотонная доза облучения должна составлять от 10 до 13 моль/м2.
Примечание - В отдельных случаях суточная фотонная доза облучения может быть увеличена.
Приложение А
(справочное)
Информация о фотобиологической безопасности излучения в синем диапазоне области ФАР
Излучение в синем диапазоне области ФАР является необходимым для жизнедеятельности растений и должно присутствовать в спектре фитооблучателей для светокультуры растений. Однако это же излучение, по современным представлениям, может являться опасным для зрения человека (см. ГОСТ Р МЭК 62471).
Рекомендуемый базовый вариант красно-синего излучения (4.1) не может расцениваться как благоприятный для зрения персонала, обслуживающего фитоустановки.
Облучатель с красно-синим спектром не должен находиться длительное время в поле зрения персонала, обслуживающего фитоустановки. Для защиты глаз целесообразно использовать очки с красными светофильтрами.
Для исключения неблагоприятного воздействия синего излучения рекомендуется экспериментальным путем по процедуре, описанной в [2], [3], выбирать для применения в фитоустановках со светокультурой зеленных культур альтернативные варианты спектра, приближенные к белому свету, также обеспечивающие высокую продуктивность растений.
Приложение Б
(справочное)
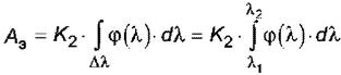
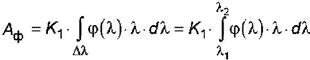
Примеры различия соотношений фотонных и энергетических величин
Применительно к спектральному диапазону Δλ = λ1 – λ2 фотонные Аф и энергетические Аэ величины (облученность, поток и т.д.) рассчитывают по формулам:
,
(А.1)
,
(А.2)
где K - нормирующий множитель;
φ(λ) - относительное спектральное распределение потока излучения, отн. ед.;
λ - длина волны, нм.
Соответственно соотношения фотонных (К:З:С)ф и энергетических (К:З:С)э величин для красной, зеленой и синей спектральных областей ФАР можно записать следующим образом:
,
(A.3)
.
(A.4)
Примеры соответствующих разным спектрам излучения различий между соотношениями фотонных и энергетических величин для красной, зеленой и синей спектральных областей ФАР приведены в таблице А.1. Относительные спектральные распределения энергетического потока φ(λ), использовавшиеся при проведении расчетов, приведены на рисунках А.1а). А.2а), А.3а) и А.4а), а на рисунках А.1б), А.2б), А.3б) и А.4б) для сравнения приведены соответствующие относительные спектральные распределения потока фотонов φф(λ).
Таблица А.1 - Соотношения фотонных и энергетических величин для нескольких характерных спектров излучения фитооблучателей (в процентах по отношению ко всей области ФАР)
|
Спектр излучения
|
(К:З:С)э *, %
|
(К:З:С)ф **, %
|
|
Базовый (красно-синий) спектр излучения (рисунок А.1)
|
70:0:30
|
80:0:20
|
|
Эффективный для растений и благоприятный для зрения персонала спектр с излучением в красной, зеленой и синей областях ФАР (рисунок А.2)
|
55:20:25
|
62:18:20
|
|
Спектр излучения натриевой лампы высокого давления мощностью 1000 Вт в области ФАР (рисунок А.3)
|
48:46:6
|
51:44:5
|
|
Спектр излучения в области ФАР стандартного источника D65 Международной комиссии по освещению (рисунок А.4)
|
28:35:37
|
34:36:30
|
|
* Приведенные значения соответствуют процентному содержанию красной, зеленой и синей составляющих в полном фотосинтетическом потоке излучения.
** Приведенные значения соответствуют процентному содержанию красной, зеленой и синей составляющих в полном фотосинтетическом потоке фотонов.
|
|

а) Базовое относительное спектральное распределение энергетического потока φ(λ)
|

б) Базовое относительное спектральное распределение потока фотонов φф(λ)
|
Рисунок А.1 - Характеристики спектров базового излучения
|

а) Относительное спектральное распределение энергетического потока φ(λ)
|

б) Относительное спектральное распределение потока фотонов φф(λ)
|
Рисунок А.2 - Характеристики спектров излучения, эффективных для растений и благоприятных для зрения персонала
|

а) Относительное спектральное распределение энергетического потока φ(λ)
|

б) Относительное спектральное распределение потока фотонов φф(λ)
|
Рисунок А.3 - Спектр излучения натриевой лампы высокого давления мощностью 1000 Вт в области ФАР
|

а) Относительное спектральное распределение энергетического потока φ(λ)
|

б) Относительное спектральное распределение потока фотонов φф(λ)
|
Рисунок А.4 - Спектр излучения в области ФАР стандартного источника D65 Международной комиссии по освещению (дневной свет)
Библиография
|
[1]
|
Гиш Р.А. Овощеводство защищенного грунта. - Краснодар: Кубанский государственный университет, 2018. - 462 с.
|
|
[2]
|
Прикупец Л.Б., Боос Г.В., Терехов В.Г., Тараканов И.Г. Исследование влияния излучения в различных диапазонах области ФАР на продуктивность и биохимический состав биомассы салатно-зеленных культур//Светотехника. - 2018. - N 5 - С. 6-12.
|
|
[3]
|
Прикупец Л.Б., Боос Г.В., Терехов В.Г., Тараканов И.Г. Оптимизация светотехнических параметров при светокультуре салатно-зеленных растений с использованием светодиодных излучателей//Светотехника. - 2019. - N 4. - С. 6-13
|