ПНСТ 539-2021 БЕЗОПАСНОСТЬ АТТРАКЦИОНОВ. ВОЗДЕЙСТВИЯ АТТРАКЦИОНОВ НА ПАССАЖИРОВ. ИДЕНТИФИКАЦИЯ ПОТЕНЦИАЛЬНЫХ БИОМЕХАНИЧЕСКИХ РИСКОВ АТТРАКЦИОНОВ
Safety of amusement rides. Effects of amusement rides on passengers. Identification of potential biomechanical risks of amusement rides
ОКС 97.200.40
Срок действия - с 1 апреля 2021 г.
до 1 апреля 2024 г.
Предисловие
1 Разработан Обществом с ограниченной ответственностью "Пакс-Дизайн", авторы: к. т. н. В.А. Гнездилов, заслуженный конструктор РФ, проф., д. м. н. Ю.Б. Моисеев, инженер С.И. Курников
2 Внесен Техническим комитетом по стандартизации ТК 427 "Аттракционы и другие устройства для развлечений"
3 Утвержден и введен в действие Приказом Федерального агентства по техническому регулированию и метрологии от 23 марта 2021 г., N 27-пнст
Введение
При поездках в транспортных устройствах пассажиры ощущают на себе действие инерционных сил, являющихся результатом ускорений при изменении скорости или направления движения, а также ощущают воздействие сил от опор, кресел или устройств удерживания. Воздействия указанных сил на человека называют биомеханическими. Биомеханические воздействия порождают потенциальные биомеханические риски, то есть риски причинения вреда здоровью пассажиров. Пассажирские транспортные устройства проектируют так, чтобы обеспечить безопасность и комфорт пассажиров при поездках.
Аттракционы, в отличие от пассажирского транспорта, привлекают людей возможностью испытать сильные психоэмоциональные ощущения, такие как восторг, эйфория, испуг за счет механических и биомеханических воздействий: подъема на высоту или свободного падения с нее, движения с большой скоростью по изменяемой траектории, переворотов через голову и других подобных.
Аттракционами пользуются не только практически здоровые люди, но и имеющие заболевания, ослабленное здоровье или плохое самочувствие, которое может ухудшиться в результате поездки на аттракционах даже с меньшими ускорениями, чем предельно допустимые.
Для снижения биомеханических рисков на стадии проектирования и эксплуатации стандарт дает возможность учитывать возможные реакции людей на механические, биомеханические и психоэмоциональные воздействия аттракционов и применять меры по минимизации потенциальных биомеханических рисков, изложенные в настоящем стандарте.
Настоящий стандарт объясняет понятие "аттракцион" и дает лицам, деятельность которых связана с аттракционами, минимально необходимые знания о механических, биомеханических и психоэмоциональных воздействиях аттракционов на пассажиров, включая людей с ослабленным здоровьем, об их реакциях на воздействия аттракционов, дает возможность выявить, классифицировать и снизить биомеханические риски аттракционов различных уровней.
Стандарт вводит и объясняет важные для безопасности пассажиров аттракционов понятия:
- механическое воздействие;
- биомеханическое воздействие;
- психоэмоциональное воздействие;
- потенциальный биомеханический риск;
- идентификация степени потенциальных биомеханических рисков аттракционов.
Стандарт дает возможность:
а) идентифицировать аттракцион как вид продукции, на который распространяется действие национального законодательства и международных, региональных или национальных стандартов о безопасности аттракционов, даже если для развлекательных поездок людей используется спортивное оборудование, строительные подъемные краны, экскаваторы и иные нетрадиционные для аттракционов устройства;
б) идентифицировать продукт как аттракцион, при экспорте или импорте, независимо от его названия;
в) провести классификацию аттракциона по степени потенциальных биомеханических рисков для целей обязательной сертификации или декларирования соответствия, если этого требует национальное законодательство;
г) разработать рекомендации по ограничению эксплуатации аттракционов;
д) защищать производителей и владельцев аттракционов от возможных претензий пассажиров с ослабленным здоровьем, ухудшившимся в результате поездки на аттракционе,
В стандарте использован многолетний опыт результатов воздействия аттракционов на пассажиров, накопленный во всем мире.
В стандарте учтен опыт применения в Евроазиатском Экономическом Союзе (ЕАЭС) с 2018 года в качестве регионального закона [1], [2].
Настоящий стандарт предназначен для повышения безопасности пассажиров аттракционов и описывает меры, применение которых снижает биомеханические риски аттракционов. Стандарт может применяться для сертификации, декларирования соответствия, испытаний и контроля аттракционов.
Стандарт может применяться для проектирования вспомогательных и сервисных устройств, декоративно-анимационных элементов, используемых с аттракционами в парках и развлекательных центрах.
Настоящий стандарт не распространяется на транспортные устройства, а также спортивные устройства, перемещающие людей за счет их мускульной силы, а также на оборудование, используемое в цирках, шоу, театрах.
Стандарт не распространяется на аттракционы, введенные в эксплуатацию до даты его публикации.
В настоящем стандарте использованы нормативные ссылки на следующие стандарты:
ГОСТ 12.2.049 Система стандартов безопасности труда. Оборудование производственное. Общие эргономические требования
ГОСТ 33807-2016 Безопасность аттракционов. Общие требования
ГОСТ Р 56066 Безопасность аттракционов. Методы измерения ускорений, действующих на пассажиров аттракционов
Примечание - При пользовании настоящим стандартом целесообразно проверить действие ссылочных стандартов в информационной системе общего пользования - на официальном сайте Федерального агентства по техническому регулированию и метрологии в Интернете или по ежегодному информационному указателю "Национальные стандарты", который опубликован по состоянию на 1 января текущего года, и по выпускам ежемесячного информационного указателя "Национальные стандарты" за текущий год. Если заменен ссылочный стандарт, на который дана недатированная ссылка, то рекомендуется использовать действующую версию этого стандарта с учетом всех внесенных в данную версию изменений. Если заменен ссылочный стандарт, на который дана датированная ссылка, то рекомендуется использовать версию этого стандарта с указанным выше годом утверждения (принятия). Если после утверждения настоящего стандарта в ссылочный стандарт, на который дана датированная ссылка, внесено изменение, затрагивающее положение, на которое дана ссылка, то это положение рекомендуется применять без учета данного изменения. Если ссылочный стандарт отменен без замены, то положение, в котором дана ссылка на него, рекомендуется применять в части, не затрагивающей эту ссылку.
В настоящем стандарте применены следующие термины с соответствующими определениями:
3.1 аттракцион: Устройство для развлекательных поездок пассажиров не за счет их мускульной силы, включая последствия биомеханических воздействий.
3.2 аппроксимированный график импульса ускорения: Контур в виде трапеции с аппроксимированными участками нарастания и спада графика импульса ускорения.
3.3 биомеханическое воздействие: Воздействие инерционных сил и реакций от опор или препятствий на пассажира аттракциона.
3.4 биомеханический риск: Вероятность причинения вреда здоровью пассажира аттракциона воздействиями инерционных сил, устройств удержания или препятствиями.
3.5 воздействия аттракциона: Совокупность механического, биомеханического и психоэмоционального воздействий на пассажира во время развлекательной поездки.
3.6 график импульса ускорения: Линия, описывающая изменения значений импульса ускорения по времени.
3.7 декоративно-анимационные элементы аттракциона: Декорации, иллюминации, темнота, огонь, вода и брызги, ветер, звуки, запахи для усиления воздействия на органы чувств пассажира при поездках.
3.8 зона приводнения: Участок бассейна с водой, предназначенный для завершения движения по трассе пользователя водного аттракциона.
3.9 зоны рисков при поездках: Пространства, ограниченные контурами досягаемости их различными частями тела пассажира с учетом риска получения травмы при попадании в них элементов конструкций, посторонних препятствий, людей или животных.
3.10 идентификация степени потенциальных биомеханических рисков аттракциона: Процедура установления соответствия потенциальных биомеханических рисков максимальным величинам воздействий аттракциона.
Примечание - Идентификацию проводят согласно таблице 1 и рисунку 1.
3.11 импульс ускорения: Мера действия на пассажира линейного ускорения, характеризующаяся направлением, подъемом, спадом и продолжительностью по времени.
3.12 контур допустимого импульса ускорения: Линия в виде трапеций, ограничивающих величину и длительность импульса ускорения для безопасного воздействия на пассажира.
3.13 механическое воздействие: Подъем на высоту и/или движение со скоростью пассажиров в аттракционе.
3.14 ограничение пользования: Рекомендации пассажирам воздержаться от поездки на аттракционе для пассажиров с ослабленным здоровьем или плохим самочувствием и/или со значительными отклонениями веса и роста от норм.
3.15 пассажир: Лицо, перевозимое аттракционом.
3.16 потенциальный биомеханический риск высокой степени RB-1: Предполагаемая вероятность причинения вреда пассажиру или пассажирам с летальными последствиями в результате чрезмерных для него биомеханических воздействий.
3.17 потенциальный биомеханический риск средней степени RB-2: Предполагаемая вероятность причинения тяжкого вреда здоровью пассажира или пассажиров в результате чрезмерных для них биомеханических воздействий.
3.18 потенциальный биомеханический риск низкой степени RB-3: Предполагаемая вероятность причинения вреда с временной потерей трудоспособности пассажира или пассажиров в результате чрезмерных для них биомеханических воздействий.
3.19 потенциальный биомеханический риск ничтожной степени RB-4: Предполагаемая вероятность причинения вреда без какой-либо формы потери нетрудоспособности пассажира или пассажиров в результате биомеханических воздействий.
3.20 профиль ускорения: Совокупность импульсов ускорения в течение одной поездки на аттракционе.
3.21 психоэмоциональное воздействие: Воздействие на органы чувств пассажира для создания ощущений восторга, эйфории, испуга.
3.22 реакции пассажира на воздействия: Изменение функционирования организма пассажира при воздействиях на него аттракциона.
3.23 степень потенциального биомеханического риска: Возможная тяжесть последствий причинения вреда пассажиру биомеханическими воздействиями аттракциона.
3.24 уровень экстремальности аттракциона: Обозначение для посетителей, эквивалентное обозначению степени потенциального биомеханического риска в отношении скорости и ускорений аттракциона.
3.25 ускорение: Изменение значения и/или направления скорости движения, вызывающее воздействие на пассажира или кресло инерционных сил.
3.26 устройство удерживания пассажира (пассажиров): Пол, сиденья, опоры, поручни и барьеры, которые предназначены для предотвращения инерционного выброса, падения или перемещения пассажиров в опасные зоны.
3.27 устройство фиксации: Устройство, которое предназначено для обеспечения положения тела пассажира (пассажиров) для наилучшего восприятия ускорений на аттракционе.
3.28 эксплуатант: Лицо, эксплуатирующее аттракцион на законных основаниях.
4.1 Воздействия аттракционов
Реализуемые в аттракционах воздействия представляют собой совокупность механических, биомеханических и психоэмоциональных воздействий. Во всех случаях воздействия аттракционов на пассажиров превращаются в биомеханические воздействия и, в зависимости от их величины, времени и сочетаний воздействия, вызывают у пассажиров различные индивидуальные физиологические реакции на них.
Воздействия аттракционов могут быть ничтожной, низкой, средней и высокой степени в соответствии с таблицей 1.
4.2 Психоэмоциональные воздействия
Создание у пассажиров психоэмоциональных ощущений от поездки на аттракционе - восторга, эйфории, испуга и т.п. - является целью аттракциона. Для этого проектировщики увеличивают размеры, высоту аттракциона и скорость движения в нем пассажиров, применяют другие воздействия.
Для усиления психоэмоциональных ощущений от аттракциона проектировщики и эксплуатанты часто применяют декоративно-анимационные элементы. Их применение усиливает развлекательный эффект от поездок, но может повышать биомеханические риски за счет индивидуальных реакций пассажиров.
Психоэмоциональные воздействия во время поездки могут вызвать сильные физиологические реакции - стресс и/или потерю сознания у пассажиров с заболеваниями нервной системы.
4.3 Механические воздействия
Механическими воздействиями аттракционов являются подъем на высоту и/или их движение со скоростью, которые вызывают накопление кинетической и/или потенциальной энергии тела пассажира.
Виды и величины механических воздействий следует учитывать при анализе рисков, поскольку энергия тела человека при аварийном падении с относительной высоты или ударе о препятствие может создать недопустимое биомеханическое воздействие и причинить вред его здоровью.
Одним из видов механических воздействий, который необходимо учитывать при анализе потенциальных биомеханических рисков, является наклон сиденья, с которого может произойти выпадение пассажира, как показано на рисунке 1.
Для водных аттракционов к механическим воздействиям относят въезд в зону погружения в воду с рисками утопления.
Размеры в метрах

Рисунок 1 - Зоны А, В, С, D наклона сидений при потенциальном выпадении пассажиров
Примечания
1 Под высотой выпадения Н 1 понимается высота максимально опасного положения головы пассажира относительно препятствия падения (в зоне А). В других зонах голова находится выше от препятствия, но риски уменьшаются в связи с менее опасным углом (зоной) наклона головы к земле.
2 Высота b = 0,8 м является высотой от сиденья до верха головы.
3 Размеры зон обозначены углами.
4.4 Биомеханические воздействия
К ожидаемым биомеханическим воздействиям на пассажиров аттракционов относят расчетное воздействие инерционных сил и сил от устройств удерживания и/или фиксации в результате действия линейных ускорений, в том числе при свободном падении или торможении, переворотах пассажиров через голову, зависании вниз головой и т.п., которые не превышают допустимых норм [3], [4], [5]. Воздействия инерционных сил от ударных и угловых ускорений в стандарте не рассматриваются.
При увеличении биомеханических воздействий возрастает сила воздействия устройств удержания и/или устройств фиксации на пассажира.
Биомеханические воздействия при аварийных ситуациях могут превысить пределы их допустимости для пассажиров.
Если пассажиры движутся с рывками, раскачиваниями или тряской, неправильно спроектированные устройства удержания и/или устройства фиксации могут причинить травмы пассажирам даже при средних значениях биомеханических воздействий.
Значения биомеханических воздействий аттракционов прямо влияют на степень их потенциального биомеханического риска.
Значения предельно допустимых ускорений для пассажиров аттракционов, ограничивающих воздействие инерционных сил, и методы анализа допустимости ускорений приведены в приложении А.
В зависимости от величин воздействий, указанных в разделе 4, биомеханические риски аттракционов могут быть ничтожной, низкой, средней и высокой степени.
Аттракционы потенциального биомеханического риска RB-1, относящегося к скорости и ускорениям, не предназначены для пассажиров ростом до 1,4 м, аттракционы потенциального биомеханического риска RB-2, относящегося к скорости и ускорениям, не предназначены для пассажиров ростом до 1,2 м из-за возможных проблем с индивидуальной фиксацией или высоких психоэмоциональных воздействий.
Для выявления потенциальных биомеханических рисков необходимо провести анализ всех воздействий на пассажиров при всех режимах их перемещения с учетом неблагоприятных сочетаний. Зоны рисков при поездках указаны в приложении Б. Зоны наклона сидений с учетом высоты выпадения указаны на рисунке 1.
5.1 Потенциальный биомеханический риск высокой степени RB-1
Любое из указанных ниже воздействий на пассажиров, если принятые организационные и технические меры безопасности для пассажиров были недостаточными, может причинить вред здоровью пассажиров вплоть до летального исхода и имеет потенциальный биомеханический риск высокой степени RB-1:
- движение со скоростью более 20 м/с;
- поездка со скоростью более 10 м/с в контуре зоны риска 1 при поездках;
- подъем пассажиров на относительную высоту возможного падения Н 0 более 8 м;
- высота выпадения Н 1 от 2 до 7 м пассажира с сиденья из зон наклона А и В и высота выпадения Н 1 более 7 м - из зон С и D;
- движение с ускорением a z ≥ + 5g;
- движение с ускорением - а z ≤ - 2g;
- движение с ускорением а х ≥ 3g;
- движение с ускорением а у ≥ 1g.
5.2 Потенциальный риск биомеханический средней степени RB-2
Любое из указанных ниже воздействий на пассажиров, если принятые организационные и технические меры безопасности для пассажиров были недостаточными, может причинить тяжкий вред здоровью пассажиров и имеет потенциальный биомеханический риск средней степени RB-2:
- движение пассажиров со скоростью от 10 до 20 м/с;
- поездка пассажиров со скоростью более 10 м/с в контуре зоны риска 2 или от 3 до 10 м/с в зоне риска 1;
- подъем пассажиров на относительную высоту возможного падения Н 0 от 2 до 8 м;
- высота выпадения H 1 от 0,4 до 2 м пассажира с сиденья из зон наклона А и В и высота выпадения H 1 от 2 до 7 м - из зон С и D;
- движение с ускорением 3g ≤ + a z < 5g;
- движение пассажиров с ускорением - 2g < - a z ≤ - 1g;
- движение пассажиров с ускорением 1g ≤ а х < 3g;
- движение пассажиров с ускорением 0,5g ≤ а у < 1g.
5.3 Потенциальный риск биомеханический низкой степени RB-3
Любое из указанных ниже воздействий на пассажиров, если принятые организационные и технические меры безопасности для пассажиров были недостаточными, может причинить менее тяжкий вред здоровью пассажиров и имеет потенциальный биомеханический риск низкой степени RB-3:
- движение со скоростью от 3 до 10 м/с;
- поездка пассажиров со скоростью более 10 м/с в зоне риска 3 или от 3 до 10 м/с в зоне риска 2 или менее 3 м/с в зоне риска 1;
- подъем пассажиров на относительную высоту Н 0 возможного падения от 0,4 до 2 м;
- высота выпадения H 1 от 0 до 0,4 м пассажира с сиденья из зон наклона А и В и высота выпадения Н 1 от 0,4 до 2 м - из зон С и D;
- движение с ускорением 2g ≤ + a z < 3g;
- движение пассажиров с ускорением - 1g < - a z ≤ 0g;
- движение пассажиров с ускорением 0,4g ≤ а х < 1g;
- движение пассажиров с ускорением 0,2g ≤ а y < 0,5g.
5.4 Потенциальный риск биомеханический ничтожной степени RB-4
Любое из указанных ниже воздействий на пассажиров, как правило, не причиняет существенного вреда здоровью, имеет потенциальный биомеханический риск степени RB-4:
- движение со скоростью до 3 м/с;
- поездка пассажиров со скоростью более 10 м/с в зоне риска 4 или от 3 до 10 м/с в зоне риска 3 или менее 3 м/с в зоне риска 2;
- подъем пассажиров на относительную высоту Н 0 возможного падения до 0,4 м;
- высота выпадения H 1 от 0 до 0,4 м пассажира с сиденья из зон наклона С и D;
- движение с ускорением + a z < + 2g;
- движение пассажиров с ускорением - a z ≥ 0g;
- движение пассажиров с ускорением а х < 0,2g;
- движение пассажиров с ускорением а у < 0,2g.
5.5 Потенциальные биомеханические риски водных аттракционов
Биомеханические риски утопления могут быть ничтожной, низкой, средней и высокой степени в зависимости от глубины погружения согласно таблице 1.
Идентификация степени потенциальных биомеханических рисков аттракционов дает возможность лицам, деятельность которых связана с аттракционами, применить соответствующие меры по снижению биомеханических рисков.
Для идентификации потенциального биомеханического риска проектировщик должен занести в формуляр или технический паспорт и в эксплуатационную документацию аттракциона максимальные величины каждого вида расчетного воздействия.
|
Вид воздействий |
Воздействие и степень потенциальных биомеханических рисков | ||||
|
RB-1 |
RB-2 |
RB-3 |
RB-4 | ||
|
Механические воздействия | |||||
|
1 Скорость движения пассажира V (м/с) относительно препятствия |
V > 20 |
10 < V ≤ 20 |
3 < V ≤ 10 |
V ≤ 3 | |
|
2 Поездка в контуре зоны риска (из приложения Б) со скоростью V относительно препятствия |
V < 3 |
Зона 1 |
- |
Зона 2 |
Зона 3 |
|
3 ≤ V ≤ 10 |
Зона 1 |
Зона 2 |
Зона 3 |
- | |
|
V > 10 |
Зона 1 |
Зона 3 |
- |
- | |
|
3 Высота подъема пассажира Н 0 (м) от препятствия до центра масс пассажира 1) |
Н 0 > 8 |
2 < Н 0 ≤ 8 |
0,4 < H 0 ≤ 2 |
Н 0 ≤ 0,4 | |
|
4 Высота выпадения пассажира Н 1 (м) из сидений с учетом зон наклона сиденья "вниз головой" 2) |
Н 1 ≤ 0,4 |
- |
- |
А, В |
С, D |
|
0,4 < Н 1 ≤ 2 |
- |
А, В |
С, D |
- | |
|
2 < Н 1 ≤ 7 |
А, В |
С, D |
- |
- | |
|
Н 1 > 7 |
С, D |
- |
- |
- | |
|
Биомеханические воздействия - инерционные силы | |||||
|
5 Движение с ускорением а х(g) (положительным или отрицательным) |
а х ≥ 3g |
3g > а х ≥ 1g |
1g > а х ≥ 0,2g |
а х < 0,2g | |
|
6 Движение с ускорением а у(g) (положительным или отрицательным) |
а у ≥ 1g |
1g > а у ≥ 0,5g |
0,5g > а у ≥ 0,2g |
а у < 0,2g | |
|
7 Движение с ускорением + a z(g) (положительным) |
a z ≥ + 5g |
+ 5g > a z ≥ + 3g |
+ 3g > a z ≥ + 2g |
a z < + 2g | |
|
8 Движение с ускорением - a z(g) (отрицательным) |
- 2g ≥ - a z |
- 2g < - a z ≤ - 1g |
- 1g < - a z ≤ 0g |
- a z ≥ 0g | |
|
Биомеханические риски утопления на водном аттракционе | |||||
|
9 Глубина Н (м) возможного погружения детей ростом не более 1,3 м в зоне приводнения 3) |
Н ≥ 0,7 |
0,7 > H ≥ 0,5 |
0,5 > H ≥ 0,2 |
H < 0,2 | |
|
10 Глубина Н (м) возможного погружения детей и взрослых ростом более 1,3 м в зоне приводнения |
H ≥ 1,35 |
1,35 > H > 1,0 |
1,0 > H ≥ 0,5 |
H < 0,5 | |
|
11 Символы для информирования пассажиров об экстремальности аттракциона (рекомендуемые) |
высокая |
средняя |
низкая |
- | |
|
1) Степени потенциальных биомеханических рисков обоснованы статистическими данными о последствиях травм при падении людей с высоты с опоры или из кресла. 2) Выпадение пассажира из кресла может быть результатом ускорения или толчка для аттракционов, не предназначенных для переворотов пассажиров вниз головой или при отказе системы фиксации пассажиров. 3) Дети от 2 до 8 лет имеют рост от 0,9 до 1,3 м. | |||||
Величины ускорений для потенциального биомеханического риска RB-1 и RB-2 необходимо подтверждать испытаниями. Измерения следует выполнять по ГОСТ Р 56066 с фильтрацией 5 Гц, Результаты испытаний заносятся в формуляр или технический паспорт и в эксплуатационную документацию. Для расчетных величин воздействий биомеханических рисков RB-3, RB-4 испытания не проводят.
Каждому виду и максимальной величине воздействия необходимо присвоить степень потенциального биомеханического риска аттракциона в соответствии с таблицей 1, рисунком 1 и приложением Б и отразить их в формуляре или паспорте аттракциона.
Проектировщик присваивает аттракциону степень потенциального биомеханического риска, соответствующую максимальной степени потенциального биомеханического риска воздействий, и делает запись в формуляре или паспорте и в инструкции по эксплуатации аттракциона.
Идентификацию степени рисков утопления проводят в соответствии с таблицей 1 и рисунком 1 на основании технических характеристик и глубины зоны приводнения водного аттракциона и разрешенного контингента пассажиров водного аттракциона - детей или взрослых. Наибольшую степень потенциального риска утопления пассажиров водных аттракционов записывают в формуляр или паспорт аттракциона и в инструкцию по эксплуатации.
Психоэмоциональные воздействия при идентификации степени потенциальных биомеханических рисков не учитывают.
7.1 Уменьшение величин ускорений для снижения воздействия инерционных сил
Ускорения в аттракционах можно рассматривать как нежелательные, но неизбежные биомеханические воздействия. Уменьшение в аттракционах величины и продолжительности импульсов воздействующих ускорений повышает комфортность и снижает риски травм при поездках для всех категорий пассажиров [3]. Создание аттракциона с высоким уровнем психоэмоционального воздействия на пассажира может быть реализовано применением умеренных ускорений, особенно по осям X и Y.
Указанные требования не относятся к ускорениям аварийного торможения, так как практически все люди удовлетворительно переносят предельно допустимое однократно воздействующее ускорение по оси Х при наличии правильно спроектированных устройств удерживания и фиксации.
7.2 Применение устройств фиксации
При поездках пассажиров с ускорениями уровня RB-1, RB-2 и RB-3 требуется применение устройств фиксации, которые поддерживают положение тела пассажира. При поездках пассажиров с ускорениями, сравнимыми с предельно допустимыми, необходимо фиксировать тело пассажира для наилучшего восприятия им воздействующих ускорений с учетом таблицы В.1 приложения В и ГОСТ 33807-2016 (пункт 5.8.7). Устройства фиксации могут включать удерживающие устройства.
7.3 Применение удерживающих устройств
При поездках пассажиров с высокой скоростью (более 3 м/с) по извилистому пути и/или с перепадами высот, переворотами вниз головой и т.п. риски могут быть уменьшены применением эффективных устройств удерживания тела пассажира, предотвращающих падение или возможный выброс пассажиров с учетом инерционных сил.
Когда пассажиры находятся на относительной высоте 0,4 м и более, необходимо применять надежные удерживающие устройства и ограждения с устойчивостью к воздействию нормативных нагрузок.
При возможном наклоне кресел с пассажирами с рисками выпадения необходимо применять устройства для удержания пассажира. На рисунке 2 приведен пример зоны контакта устройства удержания типа перекладины с телом пассажира. Для случаев переворота пассажира в положении "вниз головой" могут быть также использованы другие системы удерживания пассажиров. Эти рекомендации применимы для пассажиров ростом от 1,2 до 2 м.

1 - высота бедра (самая высокая точка бедра над поверхностью сиденья); 2 - глубина тела, сидя - горизонтальное расстояние от спинки сиденья до наиболее выступающей вперед точки на передней поверхности тела; 3 - высота бедра над сиденьем для антропометрической модели ростом 1200 мм; 4 - горизонтальное расстояние от спинки сиденья до наиболее выступающей вперед точки на передней поверхности тела для антропометрической модели ростом 1200 мм
Примечание - Полная система удерживания пассажира должна быть спроектирована и проверена путем эргономических испытаний.
Рисунок 2 - Пример размеров и положения валика для удержания пассажиров при переворотах вниз головой
7.4 Применение зон рисков при поездках
Риски получения травмы пассажирами при поездках возникают в результате возможного попадания препятствий в соответствующую зону риска вокруг пассажира. Размеры зоны риска зависят от антропометрических данных пассажиров, устройств удерживания и скорости относительного перемещения. Препятствия в виде конструкций и механизмов, декоративно-анимационных устройств, тентов, деревьев, людей, животных и т.п. могут причинить травму, поэтому необходимо предусмотреть меры по удалению препятствий на необходимое расстояние из зон рисков на основе анализа риска.
Когда в аттракционе применяются декоративно-анимационные элементы, проектировщики и эксплуатанты должны учитывать их габариты и работу аниматоров в зоне рисков при поездках.
Применение проектировщиком устройств для ограничения смещения пассажира в зоны риска с учетом скорости поездки пассажиров снижают потенциальные биомеханические риски. Размеры зон рисков при поездках пассажиров приведены в приложении Б.
Иные размеры контуров безопасности приведены в 6.6.4 [6].
7.5 Ограничение пользования с учетом роста и отклонений от нормы массы пассажиров
При поездках на аттракционах с большими ускорениями возможны травмы пассажиров с дефицитом массы тела или избыточной массой.
Фиксация в виде перекладины может не удержать в кресле людей с ожирением третьей и более степени, особенно при переворотах "вниз головой".
Проектировщики должны учитывать антропометрические размеры ожидаемого контингента пассажиров и при ускорениях, сравнимых с предельно допустимыми, применять индивидуально регулируемые устройства.
Рекомендации по ограничению пользования с учетом роста и массы приведены в приложении В.
7.6 Меры при аварийном зависании пассажиров "вниз головой"
При возможных переворотах пассажиров "вниз головой" необходимо применить средство удержания от выпадения. Проектировщики должны предусмотреть конструктивную возможность эвакуации пассажиров за минимальное время - не более 30 мин. Положение "вниз головой" распространяется на угол до 30 град. отклонения от вертикали.
Количество времени, в течение которого пассажиры могут зависать вниз головой, должно быть ограничено временем в соответствии с графиком допустимых ускорений по оси "- Z" для достижения развлекательного эффекта, а в аварийной ситуации - временем, необходимым для эвакуации, которое указывает проектировщик аттракциона.
Проектировщик должен определить возможные зоны остановки пассажирского модуля в перевернутом вниз головой состоянии пассажиров и предусмотреть конструктивные меры для быстрой и безопасной эвакуации пассажиров из таких модулей. Необходимо предусмотреть конструктивными мерами блокировку движения пассажирских модулей на период эвакуации пассажиров.
Эксплуатант должен обучить персонал способам эвакуации пассажиров из зон возможного зависания "вниз головой" и поддерживать средства эвакуации в постоянной готовности к использованию.
Аттракционы с возможностью переворота пассажиров "вниз головой" должны иметь предупреждение об ограничениях пользования для людей с сердечно-сосудистыми заболеваниями.
7.7 Уменьшение рисков предупреждением об экстремальности аттракциона
Людей с ослабленным здоровьем или плохим самочувствием необходимо предупредить об уровне экстремальности аттракциона символами, указанными в таблице 1, в соответствии с приложением Г.
7.8 Уменьшение биомеханических рисков другими методами
Для обеспечения безопасности проектируемых аттракционов к проектированию аттракционов RB-1 и RB-2 рекомендуется привлечь организацию-проектировщика, имеющую положительный опыт создания аттракционов с похожими воздействиями.
Для исключения аварийных ситуаций с чрезмерными биомеханическими воздействиями конструкция аттракциона должна соответствовать требованиям [7].
Принятые в проекте аттракциона меры безопасности следует постоянно поддерживать и контролировать на всех стадиях проектирования, производства и эксплуатации аттракциона.
Приложение А
(обязательное)
В настоящем приложении изложены методы анализа допустимых ускорений [8], [9], [10] для пассажиров аттракционов с воздействиями потенциального биомеханического риска степени RB-1, RB-2, RB-3. Для аттракционов с воздействиями биомеханического риска RB-3 допускается анализировать профили ускорений, полученных расчетным путем без испытаний. Для аттракционов с воздействиями биомеханического риска RB-4 допускается анализ допустимости ускорений не проводить.
Контуры допустимых импульсов ускорений в настоящем приложении не противоречат профилям предельной продолжительности ускорений, приведенных в приложении А ГОСТ 33807-2016 (см. также приложение I [11]).
А.1 Физиологические реакции организма человека на воздействие инерционных сил при ускорениях
В результате воздействия инерционных сил на пассажиров аттракциона при ускорениях может происходить мобилизация организма для восприятия допустимых воздействий [4], [9], [10] или расстройство работы некоторых органов пассажира.
Тело человека представляет собой многофазную систему, в состав которой входят твердые тела с различными модулями упругости (костно-опорный аппарат), мягкие ткани, жидкости (кровь, лимфа) и газы, поэтому органы человека под воздействием инерционных сил от ускорений по-разному деформируются, что приводит к возникновению напряжений на границах сред, а также к перемещению одних тканей относительно других (например, отток крови к нижней части тела при действии сил + G z).
Превышение пороговых величин таких напряжений может вызывать повреждения в виде разрывов мягких тканей, переломов костей, нарушение кровоснабжения тканей и органов, перевозбуждение нервных центров с развитием шоковых реакций. Костно-опорный аппарат имеет сложную кинематику со многими степенями свободы, что способствует инерционному смещению его элементов друг относительно друга под влиянием инерционных сил, создавая риск соударения с устройствами удерживания, окружающими пассажира.
При действии на пассажиров значительных инерционных сил могут возникнуть нарушения работы системы кровообращения, сопровождающиеся ухудшением кровоснабжения различных тканей и органов. При этом может происходить расстройство работы органа зрения ("серая и черная пелена", вплоть до обратимой потери зрения), головного мозга, вплоть до потери сознания, сердечного ритма, вплоть до кратковременной остановки сердечных сокращений. Из-за механического сдавливания и перевозбуждения нервной системы возможны ухудшение дыхания, нарушение регуляции работы всего организма при практически полном сохранении механической целостности основных органов и структур, вплоть до развития шоковых реакций.
Поскольку аттракционами пользуются люди без специальной физической подготовки, с ослабленным здоровьем и без ограничения возраста и веса, то при проектировании аттракционов необходимо учитывать возможные неблагоприятные физиологические реакции организма пассажира на воздействия инерционных сил (см. таблицу А.1).
|
Чрезмерные для человека воздействия |
Возможные физиологические реакции организма | |
|
1 |
Инерционные силы при ускорении по оси + Z |
Потеря сознания (отток крови от головы). Нарушения кровообращения и кровоснабжения различных тканей и органов. Расстройство зрения. Деформация мягких тканей и позвоночника |
|
2 |
Инерционные силы при ускорении по оси - Z |
Деформация сосудов мозга. Прилив крови к голове, сетчатке глаза. Расстройства кровообращения различных тканей и органов |
|
3 |
Инерционные силы при ускорении по оси + Х |
Нарушение работы сердечно-сосудистой системы и системы дыхания |
|
4 |
Инерционные силы при ускорении по оси - X |
Травмы позвоночника и травма головы при кивке. Разброс/травма конечностей. Тошнота, укачивание |
|
5 |
Инерционные силы при ускорении по оси +/- Y |
Деформация поясничного и шейного отделов позвоночника, растяжение связок и мышц шеи. Тошнота, укачивание |
А.2 Предельно допустимые ускорения для пассажиров аттракционов
На основании анализа потенциальных биомеханических рисков проектировщик должен избегать применения предельно допустимых ускорений [1], [4], [5], поскольку они могут создавать дискомфорт для пассажиров без отклонения здоровья от нормы и ухудшать самочувствие людей с ослабленным здоровьем.
Критерием допустимости воздействия инерционных сил на пассажиров принимается такое воздействие, после которого человек без отклонения здоровья от нормы (пассажир аттракциона) сохраняет самоконтроль, работоспособность и субъективно оценивает перенесенное воздействие как комфортное или близкое к комфортному.
Предельно допустимые величины ускорений нормируются прилагаемыми графиками допустимости импульсов.
На пассажиров с выраженным дефицитом веса тела или с ожирением более третьей степени ожирения воздействия инерционных сил от предельно допустимых ускорений могут привести к травмам опорно-двигательного аппарата или внутренних органов (см. приложение В). При ускорениях и скоростях риска RB-1 и RB-2 такие пассажиры должны быть обеспечены индивидуальными устройствами фиксации или удерживания.
А.3 Анализ ускорений
Ускорения пассажиров в аттракционах проявляются в виде единичных или повторяющихся импульсов на протяжении нескольких десятков или сотен секунд.
Поскольку затруднительно измерять инерционные силы, действующие на каждого пассажира с учетом его массы тела, в качестве меры инерционных сил принимаются импульсы ускорений по каждой из осей X, Y, Z. Воздействия импульсов ускорений на пассажиров рассматриваются по каждой оси в связанной системе координат (см. рисунок А.1).

Рисунок А.1 - Система осей координат, связанных с телом пассажира
Для аттракционов, имеющих биомеханические воздействия ускорений степени риска RB-1 и RB-2, необходимо провести проверку (испытания) их величин датчиками ускорения на изготовленном аттракционе. Для анализа необходимо использовать профиль измеренных величин ускорений.
А.4 Импульс ускорения
Импульс ускорения для всех осей характеризуется максимальным значением ускорения, участками нарастания и спада ускорения во времени и представляется в виде графика (как показано на рисунке А.2). Импульс может состоять из локальных импульсов меньшей амплитуды, чем анализируемый импульс.

1 - график импульса ускорения; 2 - участок нарастания ускорения; 3 - участок спада ускорения
Рисунок А.2 - Пример характеристик единичного импульса ускорения
А.5 Контур допустимого импульса ускорения
Контур допустимого импульса ускорения представляет из себя трапецию с наклонными прямыми линиями нарастания и спада ускорения величиной 1 g/с и горизонтальной линией, равной максимальному значению ускорения.
Контур допустимого ускорения предназначен для оценки единичного и/или нескольких импульсов ускорений.

1 - линия нарастания ускорения со скоростью а/t нар = 1 g/c; 2 - линия максимального действующего ускорения а длительностью t max; 3 - линия спада ускорения со скоростью a/t сп = 1 g/c; 4 - линия измерения максимального значения ускорения: а = 1g (для оси Z), а = 0g (для осей X, Y)
Рисунок А.3 - Контур допустимого импульса ускорения
Ниже приведены контуры допустимости для дискретного значения величин ускорений. Для промежуточных значений амплитуд применяют графики с линейным интерполированием.
А.6 Аппроксимированный график единичного импульса ускорения
Для сравнения импульса ускорения с допустимым необходимо аппроксимировать участки нарастания и спада графика импульса ускорения наклонными прямыми линиями методом наименьших квадратов от линии измерения (как показано на рисунке А.4). Горизонтальная линия графика соответствует максимальному значению импульса ускорения.

1 - график импульса ускорения; 2 - линия измерения; 3 - линия нарастания импульса; 4 - линия спада импульса; 5 - аппроксимированный график
Рисунок А.4 - Аппроксимированный график единичного импульса ускорения
Скорость нарастания и спада ускорения на аппроксимированном графике должна быть не менее 1 g/c и не более 15 g/c (1 g/c ≤ a max/t нар ≤ 15 g/c, 1 g/c ≤ a max/t сп ≤ 15 g/c).
Пики ускорений, продолжительность которых составляет менее 0,2 с, не учитываются.
А.7 Метод анализа допустимости профиля ускорений
Метод анализа допустимости профиля ускорений заключается в сравнении аппроксимированных графиков импульсов расчетных ускорений аттракциона с контурами допустимых импульсов ускорений, приведенных для каждого направления осей, и допустимости последующего импульса.
Если аппроксимированный график не выходит за пределы контура допустимого ускорения, построенного от одной линии измерения, то импульс ускорения считается допустимым (как показано на рисунке А.5).
Условия допустимости последующего импульса рассматриваются для каждого направления осей отдельно.

1 - график импульса ускорения; 2 - линия измерения; 3 - аппроксимированный график; 4 - допустимый график импульса
Рисунок А.5 - Сравнение аппроксимированного графика импульса с контуром допустимого ускорения
А.8 Примеры профилей ускорений на популярных аттракционах
Ниже приведены профили ускорений для наиболее популярных крупных механизированных аттракционов по осям X, Y, Z.
Наибольшие по величине и времени ускорения в виде импульсов действуют на катальных горах по оси Z.
А.8.1 Ускорения по осям X и Y
Импульсы ускорений меньшей интенсивности, чем на катальных горах и традиционных качелях, создаются для пассажиров при поездке на каруселях сложного движения и преимущественно по оси Y.

Рисунок А.6 - Пример профиля ускорений по оси X, действующих на пассажиров карусели

Рисунок А.7 - Пример профиля ускорений по оси Y, действующих на пассажиров карусели
А.8.2 Ускорения по оси Z
Интенсивные импульсы ускорений создаются для пассажиров при поездке на катальных горах с "мертвыми петлями" преимущественно по оси Z.

Рисунок А.8 - Пример профиля ускорений по оси Z, действующих на пассажиров катальной горы "Кобра" с двумя "мертвыми петлями"
Импульсы ускорений несколько меньшей интенсивности, чем на катальных горах, создаются для пассажиров при поездке на качелях и преимущественно по оси Z, однако количество импульсов может быть значительно больше, чем на катальных горах.

Рисунок А.9 - Пример профиля ускорений по оси Z, действующих на пассажиров качелей
А.9 Анализ допустимости профиля ускорений по оси X
А.9.1 Анализ допустимости импульсов ускорений по направлению + Х
Анализ допустимости импульсов ускорений в направлении + Х проводится с учетом контуров допустимых импульсов, показанных на рисунке А.9. Графики выстраиваются от линии измерения а х = 0g.

Рисунок А.10 - Контуры допустимых импульсов ускорений в направлении + Х
Примечание - Наибольшие значения импульсов ускорений по оси + Х достигаются при поездках на катальных горах с положением тела вдоль траектории движения. Меньшие значения ускорений, но большей длительности, достигаются при поездках на центробежных каруселях.
Пример анализа допустимости единичного импульса ускорения на катальной горе показан на рисунке А.11.

1 - график импульса ускорения; 2 - линия измерения; 3 - линия нарастания ускорения; 4 - линия спада ускорения; 5 - аппроксимированный график; 6 - допустимый график импульса
Рисунок А.11 - Пример выполнения анализа допустимости единичного импульса ускорения на катальной горе в направлении + Х
Последующий импульс допускается, если предыдущий импульс завершился величиной ускорения менее + 1g (как показано на рисунке А.12). В ином случае импульсы не разделяются и считаются единичными.

1 - график первого импульса; 2 - график второго импульса
Рисунок А.12 - Пример выполнения анализа последовательности импульсов ускорений на катальной горе
А.9.2 Анализ допустимости импульсов ускорений по направлению - X
Анализ допустимости импульсов ускорений в направлении - X проводится с учетом контуров допустимых импульсов, показанных на рисунке А.13. Графики выстраиваются от линии измерения ах = 0g.

а)

б)
Примечание - Графики а) и б) допустимы с учетом применения индивидуального устройства фиксации тела пассажира.

в)

г)
Примечание - Графики в) и г) допустимы с учетом применения плечевой фиксации и индивидуального устройства фиксации тела пассажира.
Рисунок А.13 - Контуры допустимых импульсов ускорений в направлении - X. Лист 1
|
|
|
|
д) |
е) |
Примечание - Графики д) и е) допустимы с учетом применения плечевой фиксации и индивидуального устройства фиксации тела пассажира в позе лежа с обмягчением.
Рисунок А.13 - Лист 2
А.9.3 Анализ допустимости знакопеременных импульсов по оси X
Знакопеременные импульсы по оси X считаются допустимыми в течение 300 с, если положительные аппроксимированные графики импульсов меньше контура допустимого импульса, показанного на рисунке А.10 е), а отрицательные - показанного на рисунке А.13 в).
У пассажиров со слабым вестибулярным аппаратом может возникнуть тошнота при длительном воздействии знакопеременных импульсов.

1 - график импульсов ускорений в направлении + Х; 2 - аппроксимированный график импульсов ускорений в направлении + Х; 3 - график импульсов ускорений в направлении - X; 4 - аппроксимированный график импульсов ускорений в направлении - X
Примечание - Знакопеременные импульсы ускорений по оси X, как правило, имеют небольшие амплитуды до 2g.
Рисунок А.14 - Пример выполнения анализа допустимости знакопеременных импульсов ускорения по оси X (на карусели)
При движении в направлении оси + Х (или - X) с ускорением менее 0,2g индивидуальные средства фиксации не требуются, при ускорениях от 0,2g до 0,5g рекомендуется применять пассивные средства безопасности (упоры, ручки, поручни).
А.10 Анализ допустимости профиля ускорений по оси Y
Различные зоны тела (поясница и шея) человека по-разному воспринимают действующие ускорения. Приведенные ниже контуры допустимы при наличии опоры (фиксации) для плеч и головы.
При движении в направлении оси Y с ускорением менее 0,2g индивидуальные средства фиксации не требуются. При ускорениях от 0,2g до 0,5g рекомендуется применять пассивные средства безопасности (упоры, ручки, поручни).
Для безопасного восприятия ускорений по оси Y более 0,5g длительностью более 30 с требуется применять активную фиксацию таза, плеч.
А.10.1 Анализ допустимости импульсов ускорений по направлению +/- Y
Анализ допустимости импульсов ускорений в направлении +/- Y проводится с учетом контуров допустимых импульсов, показанных на рисунке А.15. Графики выстраиваются от линии измерения а y = 0g.

а)

б)

в)
Примечание - Графики а), б), в) допустимы с учетом применения плечевого устройства индивидуальной фиксации тела пассажира.
Рисунок А.15 - Контуры допустимых импульсов ускорений в направлении Y
А.10.2 Метод анализа допустимости знакопеременных импульсов
Знакопеременные импульсы по оси Y считаются допустимыми в течение 300 с, если положительные аппроксимированные графики импульсов меньше положительного контура допустимого импульса, а отрицательные - меньше отрицательного контура, которые показаны на рисунке А.15 а).
У пассажиров со слабым вестибулярным аппаратом может возникнуть тошнота при длительном воздействии знакопеременных импульсов.

1 - график импульсов ускорений в направлении + Y; 2 - аппроксимированный график импульсов ускорений в направлении + Y; 3 - график импульсов ускорений в направлении - Y; 4 - аппроксимированный график импульсов ускорений в направлении - Y
Рисунок А.16 - Пример выполнения анализа допустимости знакопеременных импульсов ускорения по оси Y (на карусели)
А.11 Анализ допустимости профиля ускорений по оси Z
А.11.1 Анализ допустимости импульсов ускорений по направлению + Z
Анализ допустимости импульсов ускорений в направлении + Z проводится с учетом контуров допустимых импульсов, показанных на рисунках А.17 и А.22.
Графики выстраиваются от линии измерения a z = + 1g.
|
|
|
|
а) |
б) |
Рисунок А.17 - Контуры допустимых импульсов ускорений в направлении + Z. Лист 1
|
в) |
г) |
|
д) | |
Рисунок А.17 - Лист 2
Пример выполнения анализа приведен на рисунке А.18. Если аппроксимированный график импульса a z не выходит за пределы контура допустимого ускорения, построенного от одной линии измерения az = + 1g, то импульс ускорения считается допустимым.

1 - график импульса ускорения; 2 - линия измерения; 3 - линия нарастания ускорения; 4 - линия спада ускорения; 5 - аппроксимированный график; 6 - допустимый график импульса для значения + 4,5 g
Рисунок А.18 - Пример выполнения анализа допустимости единичного импульса ускорения на катальной горе в направлении + Z

1 - график импульса ускорения; 2 - линия измерения; 3 - линия нарастания ускорения; 4 - линия спада ускорения; 5 - аппроксимированный график; 6 - допустимый график импульса для значения + 4,5 g
Рисунок А.19 - Пример допустимых единичных импульсов ускорения по оси Z на катальной горе
Совокупность импульсов считается допустимой, если аппроксимированный график для совокупности локальных импульсов расположен под графиком допустимости (как показано на рисунке А.19) и для каждого локального импульса скорость нарастания и спада не превышает 15 g/c.
Последующий импульс допускается, если предыдущий импульс завершился величиной ускорения в интервале от - 1g до + 2g (как показано на рисунке А.20).

1 - график импульса ускорения; 2 - линия измерения; 3 - линия нарастания ускорения; 4 - линия спада ускорения; 5 - аппроксимированный график; 6 - допустимый график импульса для значения + 5 g; 7 - предыдущий импульс; 8 - последующий импульс
Рисунок А.20 - Пример выполнения анализа допустимости последующего импульса ускорений на катальной горе
Для импульса, следующего после предыдущего отрицательного импульса ускорения по оси - Z продолжительностью более 3 с (как показано на рисунке А.21), необходимо применять контуры допустимых импульсов, показанные на рисунке А.22.

1 - график импульса ускорения; 2 - линия измерения; 3 - предыдущий отрицательный импульс; 4 - допустимый график импульса по рисунку А.22
Рисунок А.21 - Пример выполнения анализа импульса ускорений на катальной горе после длительных отрицательных значений ускорения

Рисунок А.22 - Контуры допустимых импульсов ускорений в направлении + Z после воздействия продолжительного отрицательного значения импульса
В аттракционе для каждого пассажира следует указать требования прижать спину к спинке кресла и голову к подголовнику. При движении в направлении оси + Z с ускорением менее 0,2g индивидуальные средства фиксации не требуются, при ускорениях от 0,2g до 0,5g рекомендуется применять пассивные средства безопасности (упоры, ручки, поручни).
А.11.2 Анализ допустимости импульсов ускорений по направлению - Z
Анализ допустимости отрицательных импульсов ускорений (от - 1g до - 2g) в направлении - Z проводится с учетом контуров допустимых импульсов, показанных на рисунке А.23. Графики выстраивают от линии измерения a z = + 1g.
Пример анализа отрицательного единичного импульса показан на рисунке А.23.

1 - график импульса ускорения; 2 - линия измерения; 3 - линия нарастания ускорения; 4 - линия спада ускорения; 5 - аппроксимированный график; 6 - допустимый график импульса для значения - 1,5g
Рисунок А.23 - Пример анализа отрицательного единичного импульса ускорения на катальной горе в направлении - Z

Рисунок А.24 - Контуры допустимых импульсов ускорений в направлении - Z
Для безопасного восприятия ускорений и предотвращения выпадения в направлении оси - Z требуется устройство фиксации, прижимающее пассажира к креслу со спинкой.
А.12 Комбинации импульсов ускорений по осям
Как указано в приложении А ГОСТ 33807-2016 (см. также приложение D [1]), если имеют место одновременные (или имеющие незначительный сдвиг по времени) ускорения а х, а у или a z, то необходимо проверить комбинацию ускорений.
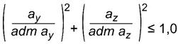
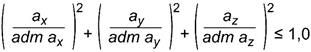
На основании допущения, что графики являются совокупностью эллиптических кривых, можно проверить, допустимо ли комбинированное воздействие ускорений, используя формулы (А.1)-(А.3):

(А.1)

(A.2)

(A.3)
В случае, если имеет место одновременное действие ускорений по всем трем осям, то необходимо проверить их комбинацию по формуле (А.4):

(А.4)
Допустимые ускорения (adm а х, adm а у или adm a z) для выбранной продолжительности необходимо взять из графиков допустимых импульсов ускорений. Комбинированные ускорения длительностью менее 0,2 с исключены.
А.13 Рекомендуемые ограничения
При создании аттракционов проектировщику необходимо уменьшать действие расчетных ускорений на пассажиров до минимально необходимого значения, особенно по осям Y и X. Это позволит увеличить время физиологически комфортной поездки до нескольких минут.
Для аттракционов, в том числе катальных гор, с импульсами от 5g до 6g по оси + Z рекомендуется ограничить их количество в одной поездке до 3 и общее время активной поездки до 60 с; с импульсами от 4g до 5g по оси + Z рекомендуется ограничить их количество в одной поездке до 10 и общее время активной поездки до 90 с; с импульсами от 3g до 4g по оси + Z рекомендуется ограничить их количество в одной поездке до 20 и общее время активной поездки до 120 с; с импульсами до 3g по оси + Z рекомендуется ограничить их количество в одной поездке до 40 и общее время активной поездки до 180 с.
Приложение Б
(обязательное)
Б.1 Размеры пассажиров ростом до 2 м
Манекен для построения рисунков Б.1 - Б.6 получен пропорциональным масштабированием исходного манекена [7], [12], [13] ростом 1900 мм (99-й перцентиль по ГОСТ 12.2.049) до роста 2000 мм.
Обозначения к рисункам Б.1 - Б.6:
1 - значение угла поворота головы (по ГОСТ 12.2.049, угол γ3, рисунок 1с), таблица 1);
2 - значение угла поворота голени (по ГОСТ 12.2.049, угол γ6, рисунок 1с), таблица 1);
3 - поворот тела до положения максимальной высоты поднятой вверх руки;
4 - поворот до соприкосновения с боковой стенкой сиденья высотой 200 мм;
5 - максимальная ширина тела (плеч) - горизонтальная ширина по плечам, измеренная по выступам дельтовидных мышц при свободно опущенных руках (размер 17 по ГОСТ 12.2.049);
6 - максимальное горизонтальное расстояние от дельтовидной мышцы левой опущенной руки до кончиков пальцев вытянутой в сторону правой руки (размер 14 по ГОСТ 12.2.049);
7 - высота в положении сидя - вертикальное расстояние от поверхности сиденья до верхушечной точки (размер 22 по ГОСТ 12.2.049);
11 - вертикальная досягаемость руки, стоя (размер 21 по ГОСТ 12.2.049);
12 - рост (высота тела) (размер 1 по ГОСТ 12.2.049);
16 - угол поворота плечевого сустава (см. по ГОСТ 12.2.049, угол β4, рисунок 1b), таблица 1);
17 - размах рук (размер 13 по ГОСТ 12.2.049);
18 - угол поворота кисти по ГОСТ 12.2.049, угол β1, рисунок 1b), таблица 1).
Б.2 Зоны рисков при поездках
На рисунках Б.1 - Б.6 приведены размеры (в миллиметрах) зон рисков при поездках для пассажиров аттракционов.
Зона 1 - обязательная зона, имеющая потенциальный биомеханический риск высокой степени (RB-1) при любой скорости поездки пассажира.
Зона 2 - обязательная зона, имеющая потенциальный биомеханический риск средней степени (RB-2) при скорости перемещения 3 м/с ≤ V ≤ 10 м/с, потенциальный биомеханический риск низкой степени (RB-3) при скорости перемещения V < 3 м/с.
Зона 3 - обязательная зона, имеющая потенциальный биомеханический риск средней степени (RB-2) при скорости перемещения V > 10 м/с, потенциальный биомеханический риск низкой степени (RB-3) при скорости перемещения 3 м/с ≤ V ≤ 10 м/с, потенциальный биомеханический риск незначительной степени (RB-4) при скорости перемещения V < 3 м/с.
Б.2.1 Размеры зон рисков при поездках сидя

Рисунок Б.1 - Размеры зон потенциальных биомеханических рисков при поездках пассажиров сидя в направлении оси X (вперед - назад)
Б.2.2 Размеры зон рисков при поездках стоя

Рисунок Б.2 - Размеры зон потенциальных биомеханических рисков при поездках пассажиров стоя в направлении оси X (вперед - назад)
Б.2.3 Размеры зон рисков при поездках лежа

Рисунок Б.3 - Размеры зон потенциальных биомеханических рисков при поездках пассажиров лежа в направлении оси Z
Б.2.4 Интервалы между зонами пассажирских модулей

Рисунок Б.4 - Интервал между зоной пассажирского модуля и стоящими людьми

Рисунок Б.5 - Интервал между зонами пассажирских модулей при встречном движении

Рисунок Б.6 - Интервал между зонами пассажирских модулей при попутном движении
Приложение В
(справочное)
Выраженный дефицит массы тела пассажира в соответствии с рекомендациями ВОЗ по индексам массы тела (ИМТ) менее 16, в том числе при анорексических состояниях, при воздействии инерционных сил от значительных ускорений может вызвать травму опорно-двигательного аппарата.
Нерегулируемые системы фиксации одного типоразмера, применяемые на современных аттракционах, ставят пассажиров разного роста и телосложения в неравные условия по уровню комфорта и безопасности при воздействии на них ускорений. Пассажиры с дефицитом массы тела могут иметь существенно различающиеся зазоры между верхней частью туловища и элементами системы фиксации, что может привести к нежелательным ударным нагрузкам, например ударам головой о подголовник или дуги устройства фиксации при знакопеременных ускорениях "спина - грудь" и "бок - бок".
Устройства фиксации или устройства для удерживания пассажиров должны проектироваться с учетом данных таблицы В.1.
|
Рост пассажира, м |
Вес пассажира, кг |
|
1,2-1,29 |
30-60 |
|
1,3-1,39 |
35-70 |
|
1,4-1,49 |
40-80 |
|
1,5-1,59 |
45-90 |
|
1,6-1,69 |
50-100 |
|
1,7-1,79 |
55-115 |
|
1,8-1,89 |
60-130 |
|
1,9-2,0 |
65-140 |
Проектировщик должен учитывать нормы веса и роста [8], [13] при проектировании кресел, фиксации и устройств удерживания для аттракционов, особенно высокой степени потенциального биомеханического риска RB1 и RB2.
Проектировщик и эксплуатант вправе допустить другие нормы веса и роста пассажиров для аттракционов биомеханических рисков RB3 и RB4.
Если аттракцион высокой степени потенциального биомеханического риска скорости, ускорений или выпадения вниз головой RB1 и RB2 не оборудован устройствами удержания или фиксации с возможностью индивидуальной регулировки, необходимо размещать соответствующее предупреждение об ограничениях пользования для пассажиров с дефицитом массы или избыточной массой тела с соответствующими знаками (рисунок В.1 и В.2), а также таблицу В.1, ростомер и взвешивающее оборудование.

Рисунок В.1 - Ограничения по весу

Рисунок В.2 - Ограничения по росту
Приложение Г
(справочное)
При ослабленном здоровье или плохом самочувствии аттракционы предельных значений воздействий могут причинить вред здоровью пассажиров.
Эксплуатант аттракциона не всегда сможет определить состояние здоровья посетителя и оградить его от возможности поездки, поэтому он должен разместить на входе на аттракцион легко читаемую табличку с письменными предупреждениями и/или знаками об ограничениях пользования аттракционом. Табличка разрабатывается проектировщиком или эксплуатантом аттракциона.
Табличка может содержать информацию об уровне экстремальности аттракциона и предупреждение беременным женщинам, больным сердечно-сосудистыми заболеваниями, заболеваниями опорно-двигательного аппарата и/или нервно-психическими расстройствами, лицам, находящимся в состоянии алкогольного или наркотического опьянения.
Аттракционы с круговыми вращениями могут влиять на вестибулярный аппарат пассажиров и ухудшать их самочувствие во время и после поездки. Людей с ослабленным вестибулярным аппаратом следует предупредить об ограничениях пользования.
На аттракционах с переворотами пассажиров "вниз головой" должно быть предупреждение об ограничениях пользования людей с болезнями сердца и сосудов. Табличка может содержать ограничения по росту и весу пассажиров.
Табличка с предупреждениями возлагает на пассажира ответственность за последствия пользования аттракционом в случае его ослабленного здоровья или при алкогольном либо наркотическом опьянении.
Примеры ограничивающих знаков безопасности для беременных женщин и лиц, находящихся под действием алкоголя, наркотиков или медикаментов, приведены на рисунках Г.1 и Г.2. Эксплуатант может применить другие понятные публике предупреждающие знаки.

Рисунок Г.1 - Не использовать беременным женщинам

Рисунок Г.2 - Не использовать под воздействием алкоголя, наркотиков или медикаментов
Библиография
|
[1] |
ISO TS 17929-2014 Биомеханические воздействия аттракционов |
|
[2] |
Технический регламент Евроазиатского экономического союза ЕАЭС 038/2016 "О безопасности аттракционов" |
|
[3] |
Авиационно-космическая медицина (Проблемы безопасности полетов). Ред. Гюрджиан А.А. Москва, 1975 |
|
[4] |
Барер А.С. Проблемы ускорений в космической физиологии. Космическая биология и медицина. 1967, N 1 |
|
[5] |
Рабинович Б.А. Безопасность человека при ускорениях (Биомеханический анализ). Москва, 2007 |
|
[6] |
ASTM F2137-19 Стандартная практика измерения динамических характеристик аттракционов и устройств |
|
[7] |
DIN 33408-1-2008, Шаблоны-графики тела человека. Часть 1. Проектирование мест для сидения. Примеры применения |
|
[8] |
Котовская А.Р., Виль-Вильямс И.Ф., Лукьянюк В.Ю. Переносимость перегрузок + Gz лицами нелетных профессий различного возраста. Космическая биология и медицина. 1986, N 4, с. 25 |
|
[9] |
Сергеев А.А. Физиологические механизмы действия ускорений. Л. Наука. 1967 |
|
[10] |
Петрухин В.Г., Маркарян С.С. Патоморфологические изменения при действии радиальных ускорений в направлении "голова - ноги". Проблемы космической биологии и медицины. М. Наука. 1967 |
|
[11] |
ISO 17842-1:2015 Безопасность аттракционов и устройств для развлечений. Часть 1. Проектирование и изготовление |
|
[12] |
ISO 15534-3:2000 Эргономическое проектирование для безопасности машин и механизмов. Часть 3. Антропометрические данные |
|
[13] |
ISO/TR 7250-2:2010 Основные антропометрические измерения для технического проектирования. Часть 2. Статистические итоги антропометрических измерений по отдельным популяциям по ISO |












