ПНСТ 471-2020 РЕСУРСОСБЕРЕЖЕНИЕ. ОБРАЩЕНИЕ С ОТХОДАМИ. РАСЧЕТ ЭНЕРГОЭФФЕКТИВНОСТИ СЖИГАНИЯ ТВЕРДЫХ КОММУНАЛЬНЫХ ОТХОДОВ
Resource saving. Waste management. Calculation of energy efficiency for municipal solid waste incineration
ОКС 13.030.01
Срок действия - с 1 января 2021 г.
до 1 января 2022 г.
Предисловие
1 Разработан Техническим комитетом по стандартизации N 409 "Охрана окружающей природной среды" совместно с Федеральным государственным унитарным предприятием "Российский научно-технический центр информации по стандартизации, метрологии и оценке соответствия" (ФГУП "СТАНДАРТИНФОРМ")
2 Внесен Техническим комитетом по стандартизации N 409 "Охрана окружающей природной среды"
3 Утвержден и введен в действие Приказом Федерального агентства по техническому регулированию и метрологии от 27 октября 2020 г. N 85-пнст
Введение
Настоящий стандарт разработан на основе методических указаний [1] и директивы [2] в целях оказания помощи хозяйствующим субъектам Российской Федерации при применении формулы R1, используемой в странах - членах Европейского союза (далее - ЕС) для расчета энергоэффективности мусоросжигательных заводов, соответствующих положениям директивы [3], глава IV, и справочника ЕС [4].
Методические указания [1], являющиеся рекомендательным документом, были разработаны экспертами стран - членов ЕС, а также привлеченными специалистами. Методические указания [1] не являются окончательным документом и могут быть пересмотрены с учетом опыта их применения в странах - членах ЕС и дальнейшего развития подходов к обращению с отходами.
В свою очередь, директива [2] знаменует собой переход от восприятия отходов как нежелательного бремени к восприятию их в качестве ценных вторичных ресурсов. Директива устанавливает простую пятиступенчатую иерархию порядка обращения с отходами для принятия технических решений и законодательного регулирования политики обращения с отходами в странах - членах ЕС. Иерархия предусматривает предотвращение образования отходов в качестве приоритетного варианта. Далее следуют: повторное использование; использование в качестве вторичных материальных ресурсов; другие подходы к использованию отходов, включая рекуперацию энергии из отходов. Последним в порядке приоритетов является размещение отходов, например захоронение на полигонах. При применении иерархии страны - члены ЕС должны оказывать предпочтение вариантам обращения с отходами, которые в целом приносят наилучшие экологические результаты на протяжении всего жизненного цикла продукции.
Стимулы, установленные в директиве [2] для поощрения инновационной деятельности в области обращения с отходами и повышения энергоэффективности за счет рекуперации энергии из отходов, являются важным шагом в развитии "зеленой" экономики. В настоящее время половина энергии, производимой из вторичных энергетических ресурсов, как правило, является возобновляемой, что представляет собой выгодную альтернативу традиционным энергоресурсам, способствующую сокращению зависимости от ископаемых видов топлива, сокращению выбросов парниковых газов и диверсификации источников поставок энергоносителей.
Использование отходов в качестве вторичных материальных ресурсов обеспечивает наиболее эффективное использование ресурсно-ценных фракций, содержащихся в отходах. В том случае, если использование отходов в качестве вторичных материальных ресурсов не является наиболее предпочтительным вариантом с экологической точки зрения, оказывается технически невозможным или экономически нецелесообразным, отходы следует использовать для рекуперации содержащейся в них энергии.
В соответствии с иерархическим порядком обращения с отходами сжигание отходов в целях рекуперации энергии рассматривается как способ утилизации отходов при условии, что мусоросжигательные заводы вносят свой вклад в производство энергии.
Настоящий стандарт ставит целью обеспечение правовой определенности и обоснованного подхода в процессе оценки однородной конкурентной среды при применении пороговых значений энергоэффективности к мусоросжигательным заводам.
Настоящий стандарт предназначен для использования хозяйствующими субъектами, которые следуют требованиям действующего в Российской Федерации законодательства в области обращения с отходами. Необходимые источники информации приведены в библиографии.
Областью стандартизации является ресурсосбережение; объектом стандартизации - обращение с отходами; аспектом стандартизации - расчет энергоэффективности сжигания твердых коммунальных отходов применительно к мусоросжигательным заводам.
Настоящий стандарт устанавливает порядок применения формулы энергоэффективности R1 сжигания смешанных твердых коммунальных отходов и распространяется на мусоросжигательные заводы производительностью свыше 3 т в час.
Настоящий стандарт не распространяется на предприятия, осуществляющие сжигание отходов совместно с другими видами топлива, а также на предприятия, осуществляющие термическое обеззараживание опасных отходов, медицинских отходов, осадков сточных вод, промышленных отходов.
Положения, установленные в настоящем стандарте, рекомендуются для использования в нормативной правовой, технической и проектно-конструкторской документации, а также в научно-технической, учебной и справочной литературе применительно к вовлечению отходов в хозяйственную деятельность в качестве вторичных энергетических ресурсов с обеспечением охраны окружающей среды.
В настоящем стандарте использованы нормативные ссылки на следующие стандарты:
ГОСТ 30772 Ресурсосбережение. Обращение с отходами. Термины и определения
ГОСТ Р 53719 (ЕН 14182:2002) Ресурсосбережение. Упаковка. Термины и определения
ГОСТ Р 53905 Энергосбережение. Термины и определения
ГОСТ Р 56828.16 Наилучшие доступные технологии. Энергосбережение. Методология планирования показателей (индикаторов) энергоэффективности
ГОСТ Р 56828.19 Наилучшие доступные технологии. Энергосбережение. Методология идентификации аспектов энергоэффективности
ГОСТ Р 56828.29 Наилучшие доступные технологии. Энергосбережение. Порядок определения показателей (индикаторов) энергоэффективности
ГОСТ Р 56828.31 Наилучшие доступные технологии. Ресурсосбережение. Иерархический порядок обращения с отходами
ПНСТ 470-2020 Ресурсосбережение. Термины и определения
ГОСТ Р ИСО 9000 Системы менеджмента качества. Основные положения и словарь
ГОСТ Р ИСО 14050 Менеджмент окружающей среды. Словарь
Примечание - При пользовании настоящим стандартом целесообразно проверить действие ссылочных стандартов в информационной системе общего пользования - на официальном сайте Федерального агентства по техническому регулированию и метрологии в сети Интернет или по ежегодному информационному указателю "Национальные стандарты", который опубликован по состоянию на 1 января текущего года, и по выпускам ежемесячного информационного указателя "Национальные стандарты" за текущий год. Если заменен ссылочный стандарт, на который дана недатированная ссылка, то рекомендуется использовать действующую версию этого стандарта с учетом всех внесенных в данную версию изменений. Если заменен ссылочный стандарт, на который дана датированная ссылка, то рекомендуется использовать версию этого стандарта с указанным выше годом утверждения (принятия). Если после утверждения настоящего стандарта в ссылочный стандарт, на который дана датированная ссылка, внесено изменение, затрагивающее положение, на которое дана ссылка, то это положение рекомендуется применять без учета данного изменения. Если ссылочный стандарт отменен без замены, то положение, в котором дана ссылка на него, рекомендуется применять в части, не затрагивающей эту ссылку.
3.1 В настоящем стандарте применены термины по ГОСТ 30772, ГОСТ Р 53719, ГОСТ Р 53905, ГОСТ Р 56828.31, ПНСТ 470, ГОСТ Р ИСО 9000, ГОСТ Р ИСО 14050, а также следующие термины с соответствующими определениями:
3.1.1
|
энергетическая эффективность [энергоэффективность]: Характеристика, отражающая отношение полезного эффекта от использования топливно-энергетических ресурсов (ТЭР) к затратам ТЭР, произведенным в целях получения такого эффекта, применительно к продукции, технологическому процессу, юридическому лицу, индивидуальному предпринимателю (хозяйствующему субъекту). Примечания 1 Энергоэффективность выражается показателями потребления энергии конкретными объектами, изделиями. 2 Энергоэффективность оценивается: - величинами коэффициентов полезного действия (КПД) и использования топлива (КИТ) (%); - использованием меньшего количества энергии для обеспечения того же уровня энергетического обеспечения зданий. 3 Энергоэффективность характеризуется уменьшением объема используемых топливно-энергетических ресурсов при сохранении соответствующего полезного эффекта от их использования, в том числе объема произведенной продукции, выполненных работ, оказанных услуг. [Адаптирован из ГОСТ Р 56828.15-2016, статья 2.219] |
Примечание - Под энергоэффективностью понимают измеримый результат функционирования системы планирования и контроля энергопотребления организации.
3.1.2 смешанные твердые коммунальные отходы: Отходы домашних хозяйств, а также отходы, образующиеся в нежилом фонде, которые по своему характеру и составу сходны с отходами домашних хозяйств, за исключением раздельно собранных фракций вторичного сырья.
Примечание - На практике отходы, поступающие на мусоросжигательные заводы, состоят из различных смешанных и разнородных фракций, которые смешиваются перед подачей в бункер с целью оптимизации процесса сгорания.
3.1.3 рекуперация энергии из отходов: Преобразование отходов в полезное тепло, электричество или топливо с помощью различных процессов, включая сжигание, газификацию, пиролиз и другие методы термической обработки, анаэробную обработку и извлечение газа.
3.1.4 произведенная энергия: Энергия или часть энергии, которая была рекуперирована из отходов и эффективно использована.
3.1.5 эффективность котельного оборудования: Соотношение между энергией, поставленной за пределы объекта, и принятой энергией.
3.1.6 обратные потоки произведенной энергии: Потоки энергии (например, тепловой), которые в замкнутом контуре возвращаются из газоохладителей, внутренних теплообменников или от внешних потребителей, например из систем централизованного тепло- или электроснабжения.
Примечание - Вода, добавленная в качестве подпиточной для компенсации продувки и потерь воды, также учитывается с обратными потоками.
3.1.7 формула энергоэффективности R1: Обобщенный показатель энергоэффективности по степени рекуперации энергии из отходов при ликвидации их на мусоросжигательном заводе путем уничтожения.
Примечания
1 Практические приложения этой формулы могут быть пересмотрены в том случае, если это будет необходимо для поддержания уровня ее соответствия техническому прогрессу.
2 Мусоросжигательному заводу может быть присвоен статус R1.
3.1.8 статус R1: Основной способ удаления отходов в качестве топлива (вторичных энергетических ресурсов) или других средств для выработки электроэнергии.
3.1.9 энергия, получаемая из отходов, E w, ГДж/год: Годовая энергия, содержащаяся в обработанных отходах и вычисляемая с использованием низшей теплотворной способности отходов.
Примечания
1 В состав отходов включаются все виды отходов, принимаемые мусоросжигательным заводом.
2 В состав энергии, получаемой из отходов, включается вторичное топливо, получаемое из отходов, до того момента, пока применительно к ним не был осуществлен вывод из статуса отходов.
3.1.10 энергия из внешних источников E i, ГДж/год: Годовое количество энергии, поступающей на мусоросжигательный завод из внешних источников, за исключением E w и E f.
3.1.11 поступающее топливо Е f, ГДж/год: Годовое поступление энергии на мусоросжигательный завод, обеспечиваемое топливом, используемым для производства пара.
Примечание - E f включает в себя только топливо.
3.1.12 топливо: Горючие вещества, не являющиеся отходами (например, дизельное топливо, природный газ), используемые для запуска и остановки процесса сжигания, включая топливо для поддержания необходимой температуры, превышающей 850 °С.
3.1.13 усовершенствование рекуперации с использованием наилучших доступных технологий и последних достижений техники: Любое мероприятие, направленное на повышение доли энергии, рекуперируемой из отходов, посредством совершенствования технологического процесса или дополнительных способов использования рекуперированной энергии.
Примечание - Наращивание производственных мощностей мусоросжигательного завода не должно рассматриваться как усовершенствование с использованием наилучших доступных технологий последних достижений техники в вышеуказанном значении.
3.1.14
|
энергия: Продукция, являющаяся средством труда для выполнения работы, оказания услуги или предметом труда для выработки энергии другого вида. Примечание - Продукция, поставляемая на рынок сбыта, является товаром, т.е. энергия (энергоресурс) - это подлинный энерготовар. При этом может быть определена жесткая связь между денежными и энергетическими единицами. [ГОСТ Р 51750-2001, статья 3.1.4] |
Примечание - Для целей настоящего стандарта энергия Е р - это показатель годового производства энергии в виде тепловой или электрической энергии, который рассчитывают с учетом энергии в виде электроэнергии и тепловой энергии, произведенных для коммерческого использования.
3.2 В настоящем стандарте использованы следующие сокращения:
КПД - коэффициент полезного действия;
НДТ - наилучшая доступная технология;
ТКО - твердые коммунальные отходы.
4.1 Мусоросжигательный завод объединяет следующие основные конструктивные элементы:
- производственную площадку, на которой расположен мусоросжигательный завод со всеми линиями сжигания;
- объект приема отходов и их складирования;
- находящиеся на предприятии объекты предварительной обработки отходов;
- системы производства топлива из отходов и воздухоподачи;
- печь (печи) для сжигания отходов, котельную(ые) установку(и);
- систему очистки образовавшихся при сжигании дымовых газов;
- находящиеся на предприятии объекты и средства обработки или хранения отходов, образующихся при сжигании, и технологической воды;
- дымовую трубу.
4.2 Технологическая единица, предназначенная для термической обработки отходов с рекуперацией образующейся энергии, является основным элементом, определяющим необходимость включения или исключения турбины для выработки электроэнергии в рассмотрение при расчете энергоэффективности.
4.3 В приложении II "Способы удаления" к директиве [2] указан основной способ удаления отходов в качестве топлива (вторичных энергетических ресурсов) или других средств для выработки электроэнергии, обозначаемый как R1.
Для данного способа удаления отходов приведена формула для расчета энергоэффективности мусоросжигательных заводов, которые соответствуют требованиям R1 (далее - формула энергоэффективности R1).
4.4 Мусоросжигательные заводы, показатели которых соответствуют пороговым значениям энергоэффективности, вычисляемым с помощью этой формулы, или превышают их, должны быть классифицированы как средства для рекуперации энергии из отходов в соответствии с иерархическим порядком обращения с отходами согласно ГОСТ Р 56828.31 (далее - статус R1).
5.1 Энергоэффективность сжигания ТКО R1 вычисляют по формуле
,
(1)
где Ep - годовое производство энергии в виде тепловой или электрической энергии. Этот показатель умножается на коэффициент 2,6 при расчетах для электроэнергии и на коэффициент 1,1 - при расчетах для тепловой энергии, произведенной для коммерческих нужд, ГДж/год;
Ef - годовые энергозатраты за счет использования топлива, затраченного на производство пара, ГДж/год;
Ei - годовое энергопотребление за вычетом E f и E w, ГДж/год;
0,97 - коэффициент, учитывающий потери энергии вследствие образования золошлаковых отходов, а также ввиду теплопередачи излучением;
Ew - годовой объем энергии, содержащийся в подготовленных для сжигания отходах и вычисляемый с использованием низшей теплотворной способности отходов, ГДж/год. Расчет E w в качестве параметра энергоэффективности R1 основывается на фактическом объеме сжигаемых отходов.
Энергию E w, получаемую из отходов, определяют путем вычитания из общей входящей энергии топлива E f, затрачиваемого на производство пара/горячей воды в тот же период времени.
Среднюю низшую теплотворную способность отходов определяют путем деления энергии E w, получаемой из отходов, на количество отходов, поступающих в печи для сжигания (камеры сгорания) за соответствующий период времени. Энергия E w равна средней низшей теплотворной способности потока отходов.
В обоснованных случаях допускается также использовать формулу расчета низшей теплотворной способности отходов, если она была адаптирована для конкретного мусоросжигательного завода с учетом исходного энергетического баланса и пересчитана на стандартный кислород. В соответствии с [1] низшую теплотворную способность отходов NCV, ГДж/т, вычисляют по формуле
,
(2)
где m - масса отходов, подвергнутых сжиганию в определенный период времени, например в год, т/год;
cstx - нетто-теплосодержание (энтальпия) пара, а именно: теплосодержание (энтальпия) пара за минусом теплосодержания (энтальпии) воды для питания паровых котлов, ГДж/т;
Tb - температура газа, отходящего от парового котла, при наличии от 4 % до 12 % O 2 в отходящем газе, °С;
0,008 - содержание удельной энергии в отходящем газе, ГДж/т·°С,
1,133 и 1,085 - постоянные значения, полученные из корреляционного уравнения;
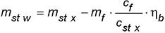
mstw - количество пара, произведенного из отходов, в тот же период времени по отношению к количеству произведенного пара m st, например в год, т/год, вычисляемое по формуле
,
(3)
где mstx - общее количество пара, произведенного в определенный период времени, например в год, т/год;
mf - количество дополнительного топлива, использованного в тот же период времени, например в год, т/год;
cf - нетто-теплотворная способность дополнительного топлива, которое добавляется при производстве пара, ГДж/т;
ηb - эффективность теплообмена котла (приблизительно 0,80).
Хотя E w и NCV учитывают отдельно, на практике нет необходимости специально определять E w и NCV, потому что в знаменателе формулы энергоэффективности R1 находится сумма E w + E f, соответствующая общей энергии, поступающей к котлу, которая рассчитана по методу, предполагающему использование котла в качестве калориметра.
Информация о взаимосвязи формулы энергоэффективности R1 с формулой, приведенной в методических указаниях [1], представлена в приложении Б.
5.2 Коэффициенты пересчета, используемые при применении формулы расчета энергоэффективности
Коэффициенты пересчета, используемые для формулы энергоэффективности R1, применяют к электрической и тепловой энергии независимо от того, производятся ли эти виды энергии на мусоросжигательном заводе, поступают из внешних источников, потребляются самостоятельно или возвращаются в систему в качестве обратного потока произведенной энергии. Коэффициенты пересчета не применяют по отношению к традиционному топливу (дизельному топливу, газу и др.), т.е. применительно к такому топливу коэффициент пересчета равен 1.
Коэффициент пересчета для электрической энергии составляет 2,6. Коэффициент пересчета для тепловой энергии (пара или горячей воды) составляет 1,1.
Величину коэффициентов пересчета для электрической и тепловой энергии, взятых из методических указаний [1], можно объяснить следующим образом:
- коэффициент 2,6 для производимой электроэнергии базируется на основе среднеевропейского КПД угольных электростанций, составляющего 38 %, что означает энергопотребление 2,6 кВт·ч для производства одного киловатт-часа электроэнергии;
- коэффициент 1,1 для производимой тепловой энергии основывается на среднеевропейском КПД производства тепловой энергии, составляющем 91 %.
Коэффициенты 1,1 и 2,6 следует применять независимо от того, используется производимая энергия за пределами или внутри границ применения формулы энергоэффективности.
6.1 Соблюдение природоохранных требований
Соблюдение природоохранных требований является необходимым условием для эксплуатации мусоросжигательных заводов, к которым применима формула энергоэффективности R1.
Действующие природоохранные разрешения, на основании которых работает мусоросжигательный завод, невозможно изменить с целью включения/исключения производства электроэнергии из отходов, предусматривающего применение формулы энергоэффективности R1, без проведения его усовершенствования с использованием НДТ и последних достижений техники.
6.2 Границы применения формулы для расчета энергоэффективности
Определение границ применения формулы энергоэффективности R1 оказывает значительное воздействие на расчет энергоэффективности мусоросжигательного завода, поскольку влияет на потоки энергии, которые рассчитывают как E i, E f и E w и которые должны быть взаимосвязаны с формулой расчета энергоэффективности, приведенной в методических указаниях [1] (см. приложение А).
Границы применения формулы энергоэффективности R1 включают только основные элементы оборудования технологического процесса сжигания и рекуперации энергии, в т. ч.:
- камеру(ы) сгорания и котельную(ые) установку(и);
- газовую турбину;
- систему очистки дымовых газов;
- оборудование рекуперации энергии, например теплообменники, используемые для обеспечения централизованного теплоснабжения или охладительной сети;
- электрооборудование (например, насосы, моторы, вентиляторы, компрессоры и т.д.);
- системы теплопотребления, необходимые для нормального функционирования других элементов технологического процесса.
Включение газовой турбины в границы применения формулы энергоэффективности R1 основывается на обязательности когенерации тепла и электроэнергии из отходов.
Включение системы газоочистки в границы применения формулы энергоэффективности R1 дает стимул к использованию низкотемпературного тепла.
Опасные отходы, как правило, обрабатывают наиболее подходящим способом в печах, специально предназначенных для обработки опасных отходов, но не подпадающих под действие формулы энергоэффективности R1.
В целях обеспечения правильного расчета формулы энергоэффективности R1 точки измерения должны быть установлены внутри границ, установленных для применения формулы энергоэффективности R1. Схема границ применения формулы энергоэффективности R1 и энергетических потоков по справочнику ЕС [4] приведена на рисунке 1.

Рисунок 1 - Границы применения формулы энергоэффективности R1 и энергетических потоков по методическим указаниям [1]
7.1 В формулу энергоэффективности R1 не следует включать энергию, затрачиваемую на предварительную обработку отходов, обработку остатков, образующихся при сжигании отходов, на эксплуатацию котла и комбинированные процессы, по следующим причинам:
- предварительная обработка отходов (демонтаж, сортировка, дробление, уплотнение, гранулирование, сушка, резка, обработка реагентами, переупаковка, разделение, смешивание и перемешивание), предназначенных для сжигания, как правило, не включается в природоохранное разрешение на эксплуатацию мусоросжигательного завода и не является существенной частью процесса сжигания;
- обработка остатков, образующихся при сжигании отходов, например золошлаковых отходов, также не включается в природоохранное разрешение на эксплуатацию мусоросжигательного завода и не является существенной частью процесса сжигания;
- при эксплуатации котлов и использовании комбинированных процессов (например, предполагающих объединение мусоросжигательной установки с газовой турбиной) применяют не отходы, а традиционные виды топлива.
7.2 Турбогенераторы, находящиеся за пределами мусоросжигательного завода, на эксплуатацию которого выдано природоохранное разрешение, не учитывают при расчете формулы энергоэффективности R1, как и традиционные котлы и комбинированные процессы (например, если мусоросжигательная установка соединена с газовой турбиной), в которых используют традиционные виды топлива, даже если эти котлы установлены на том же предприятии.
7.3 Формулу энергоэффективности R1 следует применять в соответствии с методическими указаниями [1].
7.4 Расчет формулы энергоэффективности R1 проводят на основе морфологического состава отходов, фактически сжигаемых на предприятии.
7.5 В том случае, если на мусоросжигательном заводе эксплуатируют две отдельные линии (одну - для опасных отходов и другую - для ТКО), формула энергоэффективности R1 применима только к линии для сжигания ТКО.
7.6 Оценка энергетической эффективности мусоросжигательного завода должна быть основана на годовых показателях производства энергии и энергопотребления предприятия. Это следует понимать как реальную практическую производительность, а не как теоретически достижимое максимальное значение, не учитывающее периоды низкой эффективности.
7.7 Практические расчеты должны быть основаны на данных, полученных при регулярной эксплуатации мусоросжигательного завода. Регулярная эксплуатация должна также включать возможность снижения поставок электрической и тепловой энергии из-за уменьшения спроса.
7.8 Для действующих предприятий формулу энергоэффективности R1 определяют на основе реальных данных годовой отчетности.
7.9 На действующем предприятии, где в целях повышения энергоэффективности проведены усовершенствования с использованием НДТ, следует использовать процедуры, применяемые для нового предприятия.
7.10 Сбор данных для расчета энергоэффективности следует проводить в течение полного года, который не обязательно является календарным (т.е. период измерения не должен обязательно начинаться 1 января). Некоторые данные следует считывать непосредственно со счетчиков, например расходы топлива и электроэнергии. Некоторые данные требуют непрерывного вычисления и суммирования, например энергия потоков пара.
7.11 Пороговое значение энергоэффективности считается достигнутым при условии, что:
- энергоэффективность рассчитана с использованием измеренных, оцененных и откорректированных данных;
- пороговое значение энергоэффективности составляет 0,6 для действующих предприятий и 0,65 - для новых предприятий.
7.12 Расчет формулы энергоэффективности R1 на основе годовых данных о входящих и исходящих потоках должен следовать примерному формату расчета, приведенному в приложении Б.
7.13 Несколько технологических линий сжигания отходов следует рассматривать как несколько отдельных объектов для сжигания отходов, каждый из которых следует оценивать на соответствие статусу R1 в том случае, если эти линии работают независимо друг от друга или энергетические потоки каждой линии возможно четко различить и рассчитать отдельно друг от друга.
7.14 Применяют два подхода к расчету формулы энергоэффективности R1:
- расчет формулы энергоэффективности R1, производимый хозяйствующим субъектом, который эксплуатирует мусоросжигательный завод;
- расчет формулы энергоэффективности R1, производимый сторонним сертифицированным экспертом или экспертом уполномоченного органа.
7.15 До того, как хозяйствующий субъект, эксплуатирующий мусоросжигательный завод, представит в компетентный орган формулу энергоэффективности R1 в целях получения статуса R1, эта формула должна быть проверена независимым третьим лицом.
7.16 В пределах обычного эксплуатационного года хозяйствующий субъект рассчитывает формулу энергоэффективности R1 и представляет в компетентный орган вместе с детализированным расчетом.
7.17 Компетентный орган получает расчетный лист и, при необходимости, может осуществить проверку представленной формулы энергоэффективности R1. При необходимости компетентный орган может запросить дополнительную информацию или назначить проверку, которая должна быть проведена независимым экспертом. Если производительность действующего предприятия (согласно первоначальной заявке хозяйствующего субъекта на получение для мусоросжигательного завода статуса R1) близка к пороговой, хозяйствующий субъект должен продемонстрировать компетентному органу, что пороговое значение энергоэффективности достигалось в течение последних трех лет, используя среднее значение за весь период с двумя знаками после запятой.
8.1 Статус R1 применительно к предприятию должен быть официально подтвержден компетентным органом на основании данных, необходимых для расчета энергоэффективности, и рассчитанного показателя энергоэффективности, предоставляемых хозяйствующим субъектом, эксплуатирующим мусоросжигательный завод.
8.2 Расчет формулы энергоэффективности R1 и заявление о придании мусоросжигательному заводу статуса R1 должны быть представлены в компетентный орган хозяйствующим субъектом на основе данных предыдущего года.
8.3 Классификация мусоросжигательного завода, как соответствующего статусу R1 в текущем году, должна быть в установленный срок подтверждена документом, выданным хозяйствующему субъекту, эксплуатирующему мусоросжигательный завод, компетентным органом.
8.4 В целях обеспечения четкости и правовой определенности процедуры выдачи документа, подтверждающего соответствие мусоросжигательного завода статусу R1, рекомендуется выдать этот документ в течение трех месяцев, следующих после даты представления хозяйствующим субъектом соответствующего заявления в компетентный орган.
8.5 Документ, подтверждающий соответствие мусоросжигательного завода статусу R1, должен быть действительным в течение одного года после периода, за который были представлены данные.
8.6 Хозяйствующий субъект ежегодно представляет в компетентный орган отчет об энергоэффективности мусоросжигательного завода, используя типовые формы, приведенные в приложении Б, и осуществляя расчет энергоэффективности на основе результатов регулярного мониторинга, включающего:
- количество сжигаемых отходов;
- количество топлива;
- количество электрической и тепловой энергии, потребляемой из внешних источников;
- количество произведенной электроэнергии;
- количество тепловой энергии, использованной за пределами мусоросжигательного завода.
8.7 Отчетность предприятия должна быть включена в статистическую отчетность и представлена компетентному органу не позднее чем через месяц после расчетного периода, согласованного при первой классификации мусоросжигательного завода на соответствие статусу R1.
8.8 Для новых предприятий статус R1, обозначающий применение в качестве основного способа удаления отходов в качестве топлива (вторичных энергетических ресурсов) или других средств для выработки электроэнергии, присваивают на основании проектной документации с учетом наличия договоров энергоснабжения и посредством определения их общей энергоэффективности. Процесс присвоения статуса R1 осуществляют и по результатам проведения приемочных испытаний, определения КПД котла после его ввода в эксплуатацию, а также на основе расчетов по отчетным данным первого года работы при нормальных условиях эксплуатации.
8.9 Процедуры идентификации мусоросжигательных заводов, претендующих на получение статуса R1, должны иметь достаточную правовую и экономическую определенность.
Энергоэффективность сжигания ТКО во многом зависит от технических характеристик мусоросжигательного завода, заложенных на этапе его проектирования и подлежащих ограниченным изменениям в процессе эксплуатации.
8.10 Соответствие мусоросжигательного завода статусу R1 следует идентифицировать до начала его эксплуатации.
8.11 Учитывая, что основные характеристики мусоросжигательного завода незначительно меняются с течением времени, отчет хозяйствующего субъекта (включая результаты мониторинга за год), дополненный данными обо всех структурных изменениях, которые произошли на предприятии за последний год (например, технические усовершенствования с использованием НДТ и последних достижений техники, смена клиентов и т.д.), позволяет компетентному органу проводить плановую проверку и выявлять необходимость полного пересчета энергоэффективности. Если выясняется, что необходимость в новом полном пересчете энергоэффективности отсутствует, мусоросжигательный завод сохраняет прежний статус R1.
8.12 Ежегодный отчет о функционировании мусоросжигательного завода и мониторинге его деятельности, представляемый хозяйствующим субъектом в компетентный орган, следует сделать общедоступным. Этот отчет должен, как минимум, содержать данные о технологическом процессе, выбросах в атмосферу и сбросах в водную среду.
8.13 Новый полный пересчет энергоэффективности мусоросжигательного завода в сочетании со сторонним надзором или при участии стороннего эксперта следует проводить максимум через пять лет после получения статуса R1 или в случае существенного изменения основных условий (усовершенствования с использованием НДТ и последних достижений техники или при замене котлов, турбогенераторов, изменении договора теплоснабжения, замене системы очистки дымовых газов), на которых основывалось первичное получение статуса R1. В случае необходимости компетентные органы имеют право направлять инспекторов или запрашивать любые дополнительные необходимые расчеты и результаты измерений.
8.14 В обязанности хозяйствующего субъекта, эксплуатирующего мусоросжигательный завод, входит достижение пороговых значений формулы энергоэффективности R1 даже при изменениях условий работы предприятия.
8.15 В случае изменения параметров энергетических потоков в связи с обстоятельствами, на которые хозяйствующий субъект, эксплуатирующий мусоросжигательный завод, не может оказать воздействия (форс-мажорные обстоятельства, потеря промышленного потребителя тепла, неожиданные климатические изменения, аварии или иные периоды отключения), и при этом требования соответствия статусу R1 невозможно вновь подтвердить и отразить в годовой отчетности, то прежний статус предприятия не меняется в течение времени, необходимого для оформления соответствующих документов.
В таких случаях хозяйствующий субъект, эксплуатирующий мусоросжигательный завод, имеет возможность (на основе годовых показателей за последние три года) представить в компетентный орган обоснованное заявление, поясняющее, почему пороговые значения для подтверждения статуса R1 не достигнуты. Хозяйствующему субъекту, эксплуатирующему мусоросжигательный завод, компетентный орган предоставляет возможность провести необходимые мероприятия в целях достижения пороговых значений энергоэффективности в следующем году. При достижении этих значений статус R1 мусоросжигательного завода сохраняется.
8.16 В случае длительных сбоев или нарушений работы, значительно влияющих на энергоэффективность (например, аварии турбины или банкротство потребителей), после проведения экспертизы и оценки продолжительности существования проблем хозяйствующий субъект может:
- отказаться от статуса R1 (и, соответственно, информировать об этом компетентный орган) и восстановить его, как только сбои или нарушения будут ликвидированы (вычисляя при этом годовое значение энергоэффективности R1, начиная с момента возврата мусоросжигательного завода к нормальным условиям эксплуатации);
- продолжать стремиться к достижению пороговых значений энергоэффективности R1.
8.17 В тех случаях, когда мусоросжигательный завод не имеет возможности достичь статуса R1 или теряет его вследствие неспособности достичь пороговых значений энергоэффективности в течение двух последующих отчетных лет, хозяйствующий субъект (после документирования изменений в технологических процессах или изменения договоров энергоснабжения) должен обратиться в компетентный орган с повторным заявлением о присвоении статуса R1 на основе проведения новых испытаний.
8.18 Хозяйствующий субъект, эксплуатирующий мусоросжигательный завод, которому присвоен статус R1, должен сообщать своим клиентам о статусе своего предприятия посредством предоставления соответствующей документации (официального сертификата или декларации о соответствии).
8.19 В случае возникновения сомнений другие заинтересованные органы и потенциальные партнеры предприятия должны запросить у компетентного органа подтверждение статуса, заявленного конкретным мусоросжигательным заводом.
8.20 Руководства по применению НДТ для повышения энергоэффективности в промышленном производстве установлены в ГОСТ Р 56828.16, ГОСТ Р 56828.19, ГОСТ Р 56828.29.
8.21 Рекомендуемые для мусоросжигательных заводов НДТ приведены в приложении В.
9.1 Принцип достаточности производственных мощностей (для ликвидации отходов путем удаления) и их близости к источникам образования отходов относится к смешанным ТКО, образовавшихся у населения и предназначенных для сжигания. Принцип относится к классификации отходов, используемых в качестве вторичных энергетических ресурсов. Сходные по морфологическому составу отходы из других источников включают в тех случаях, когда они были собраны совместно со смешанными ТКО, образовавшимися у населения.
9.2 Одновременно с введением статуса R1 применение принципа достаточности производственных мощностей было расширено: к предприятиям по удалению (путем захоронения) отходов были добавлены предприятия по утилизации смешанных ТКО, собранных у населения (включая отходы из других источников, собираемые в рамках тех же систем сбора отходов).
9.3 На мусоросжигательном заводе, претендующем на получение статуса R1, использование ТКО в качестве вторичных энергетических ресурсов следует считать наилучшим вариантом с учетом иерархического порядка обращения с отходами.
9.4 Некоторые потоки отходов, такие как отходы бумаги, стекла, полимерные отходы, лом и отходы цветных и/или черных металлов, могут быть использованы с большей ресурсоэффективностью путем их ликвидации в том случае, когда они собраны отдельно от других ТКО и использованы целенаправленно в качестве вторичных материальных ресурсов, а не для удаления путем сжигания.
9.5 Для отходов, использование которых в качестве вторичных материальных ресурсов является предпочтительным вариантом их ликвидации, должны быть реализованы следующие предварительные мероприятия:
- введение систем раздельного сбора отходов:
- установление целевых показателей переработки отходов;
- предотвращение строительства избыточных мусоросжигательных заводов;
- другие сопутствующие мероприятия.
10.1 Энергетические потоки и отдельные составляющие формулы энергоэффективности (E w, E f, E i и Е exp) следует определять как потоки энергии в границах применения формулы энергоэффективности R1. В этом контексте E w, E f, E i представляют собой входящие потоки, тогда как поток, направляемый третьим лицам и/или в энергетическую сеть из мусоросжигательного завода, представляет собой исходящий поток Е ехр.
10.2 Производимая энергия Е р, являющаяся важным показателем формулы энергоэффективности R1, не относится к границам ее применения, однако четко определяется посредством самой формулы.
10.3 Формула энергоэффективности R1 не охватывает все потоки энергии, которые должны быть учтены для формирования полного энергетического баланса системы, и не предусматривает расчет КПД котла, но учитывает часть энергии, сгенерированную котлом, которая была рекуперирована из отходов и использована.
10.4 Примеры энергетических потоков, обладающих различными параметрами, приведены в приложении Г.
10.5 Производимая энергия Е р включает рекуперированную из отходов тепловую и электрическую энергии, которые выводят за пределы мусоросжигательного завода, соответствующего статусу R1, и направляют третьим лицам или используют для других целей на предприятии, а также энергию, которую используют на самом мусоросжигательном заводе, соответствующем статусу R1, например, для подогрева дымовых газов перед их выводом в дымовую трубу, но не включают энергию, используемую для производства пара/тепла. Это различие необходимо принимать во внимание в целях предотвращения двойного учета энергетических потоков.
10.6 Для учета использования на предприятии рекуперированной энергии Е р хозяйствующие субъекты должны доказать, что:
- использование такой энергии находится в границах применения формулы R1;
- мусоросжигательные заводы соответствуют современному уровню научно-технического прогресса;
- сжигание производится в соответствии с НДТ (в тех случаях, когда этот подход применим).
Примечание - Для того чтобы рекуперированное тепло было учтено в Е р, оно должно быть использовано в коммерческих целях. Тепло, выведенное за пределы мусоросжигательного завода, может быть учтено в показателе Е р только в том случае, если хозяйствующий субъект сможет доказать факт коммерческого использования посредством предоставления действующих договоров с третьими сторонами. Внутреннее потребление тепла (в пределах границ, определенных природоохранным разрешением) также следует рассматривать как коммерческое использование, поскольку оно непосредственно заменяет первичную энергию, которая в противном случае должна была быть приобретена. Все варианты внутрипроизводственного использования энергии должны быть задокументированы (в форме расчетов).
10.7 В целях предотвращения двойного учета энергетических потоков:
- не следует учитывать в качестве производимой тепловой энергии энергию пара, преобразуемого на мусоросжигательном заводе в электрическую энергию, которую учитывают в качестве произведенной энергии;
- электроэнергию, вырабатываемую третьими лицами, использующими пар, поступающий из мусоросжигательного завода, следует учитывать как тепловую, а не электрическую энергию.
10.8 При расчете формулы энергоэффективности R1 не следует принимать во внимание неэффективное использование энергии третьими лицами и ее потери при транспортировании.
10.9 Обратные потоки производимой энергии, поступающей из внешних источников (например, из системы централизованного теплоснабжения), следует вычитать из Е р, поскольку они снижают уровень рекуперации энергии из отходов. Обратные потоки энергии, производимой за счет внутренних источников (например, газоохладителей, внутренних теплообменников), следует вычитать из Е р в том случае, если энергетические потоки, из которых они происходят, уже учитывались в Е р.
10.10 Показатель E f включает в себя только энергию поступающего топлива.
Энергию, рекуперированную из отходов (включая топливо, произведенное из твердых отходов и отходящих газов), следует учитывать в показателе E w. Это же относится и к отработанным маслам, которые идентифицируют в качестве отходов.
Во время запуска мусоросжигательного завода началом периода, во время которого топливо используется для производства пара и учитывается как E f, считают подключение парогенератора к паровой сети до достижения установленной минимальной температуры дымовых газов. Окончанием периода, во время которого топливо используется для производства пара и учитывается как E f, считают отключение парогенератора от паровой сети.
10.11 Другая энергия E i, поступающая из внешних источников, включает:
- электроэнергию;
- пар;
- горячую воду;
- топливо, используемое во время процессов запуска и останова перед подключением к паровой сети и после отключения от нее, т.е. той части, которая учитывается как E f;
- энергию, используемую для повторного нагрева дымовых газов перед поступлением в каталитические нейтрализаторы или после систем очистки дымовых газов;
- другие виды энергии, поступившие из внешних источников на мусоросжигательный завод и не используемые для производства пара.
В целях предотвращения двойного учета энергетических потоков конденсат (или холодная вода) из охладителей или обратные потоки выведения пара (или горячей воды) за пределы мусоросжигательного завода не учитывают в показателе Е i, а вычитают из показателя Е р.
Циркуляционное тепло и электрическая энергия, используемые для собственных нужд мусоросжигательного завода, являются частью Е р и не учитываются в показателе E i.
Данный подход стимулирует хозяйствующих субъектов, эксплуатирующих мусоросжигательные заводы, к использованию на своем предприятии производимой тепловой энергии, что позволяет повысить эффективность сложной обработки дымовых газов в целях минимизации загрязненных выбросов в атмосферу.
Собственное энергопотребление мусоросжигательных заводов ограничивается технологическими решениями.
Тепловую и электрическую энергии, используемые для собственных нужд мусоросжигательного завода и исключаемые из показателя Е р, не следует учитывать в качестве E i.
10.12 Различие между показателями E f и Е i
Различие между показателями E f и E i следует устанавливать для топлива, используемого в запуске и при останове печи. Потребление топлива в печи во время ее запуска и останова составляет примерно 50 % без учета парообразования и 50 % - с учетом парообразования.
Хотя каждый из данных показателей указывают в формуле отдельно, на практике нет необходимости делать различия между E f и E i при оценке расхода поступившего топлива, поэтому в числителе формулы R1 используют сумму E f + Е t, соответствующую всей поступившей энергии, данные о которой доступны хозяйствующим субъектам.
10.13 Повседневные замеры, производимые хозяйствующими субъектами, дают прямой доступ к элементам формулы R1: E w + E f и E f + E t.
10.14 Энергия E w, содержащаяся в отходах
Поток энергии E w следует рассчитывать для отходов, подвергнутых предварительной обработке и поступающих на мусоросжигательный завод, соответствующий статусу R1.
В целях определения энергетической ценности отходов не следует применять анализ отдельных образцов отходов, потому что количество отходов, которые следует анализировать, и частота отбора проб будут слишком велики для достижения нужной достоверности.
Лучшим методом определения содержания энергии в отходах с оценкой их низшей теплотворной способности является расчет энергетического баланса на основе технологических данных, собранных и проверенных в течение длительных периодов времени.
Количество выделяющейся энергии, содержащейся в отходах, равно сумме выработанной энергии и потерь энергии в дымовых газах, золошлаковых отходах, а также теряемых за счет конвекции и излучения. Основные исходящие энергетические потоки (например, расход пара) измеряют в процессе приемо-сдаточных испытаний, проводимых в начале жизненного цикла существования мусоросжигательного завода. КПД котла представляет собой соотношение между выходящей энергией и общей входящей энергией.
10.15 Подробности расчетов и измерений приведены в приложении Д.
Приложение А
(справочное)
Формула, приведенная в директиве [2], связана с формулой эффективности мусоросжигательного завода PL ef, приведенной в методических указаниях [1]:
,
(А.1)
где Oexp - годовые поставки энергии сторонним потребителям (совокупность эквивалентов тепла и электричества), ГДж/год или МВт·ч/год;
Ef - годовое поступление энергии в форме топлива для производства пара, ГДж/год;
Eimp - годовое поступление энергии из внешних источников, ГДж/год или МВт·ч/год;
Ecirc - годовые затраты энергии, ГДж/год или МВт·ч/год.
Примечания
1 Энергия E w, произведенная из переработанных отходов, не учитывается.
2 Если результат больше единицы, то это показывает, что предприятие (за вычетом энергии, поступающей при производстве пара) поставляет сторонним потребителям или производит больше энергии, чем требуется для поддержания всего процесса сжигания отходов.
Согласно [1] все количественные значения энергии (Е р, Е f, E i и E w) измеряют в ГДж/год или в МВт·ч/год; для тепловой и электрической энергии используются эквивалентные значения. Первичные виды топлива учитывают без эквивалентной ценности (т.е. с коэффициентом 1), поскольку преобразование энергии в данном случае отсутствует.
Формула энергоэффективности R1 может быть выведена из формул расчета энергии, представленных в [1] следующим образом.
Знаменатель энергетической эффективности котла при производстве тепла/пара соотносится с общим поступлением энергии для производства тепла/пара, принимая во внимание энергетические потери вследствие образования золошлаковых отходов, излучения, содержания углерода в образовавшихся при сжигании отходах (коэффициент 0,97).

(А.2)
где ηb - эффективность теплообмена котла, %;
Ehst boiler - КПД котла.
Методические указания [1] использованы для выведения знаменателя формулы R1: "0,97·(Ef + Ew) ".
Числитель формулы энергоэффективности R1 связан с числителем - КПД котла (E hl st boiler). Однако вместо общей тепловой энергии (E hl st boiler), произведенной котлом, учитывается только энергия (тепловая и/или электрическая), которая фактически была рекуперирована, или, другими словами, выработана из отходов и использована, поскольку сумма энергии, переданной третьим лицам, и энергии, использованной на мусоросжигательном заводе, образует основу для расчета Е р. Числитель формулы энергоэффективности R1 также может быть выведен из показателя энергоэффективности мусоросжигательного завода (Pl ef) формулы
Plef = Oexp – (Ef + Eimp).
(А.3)
Однако, в отличие от Pl ef, энергетическая эффективность использования отходов в качестве вторичных энергетических ресурсов на мусоросжигательном заводе в соответствии с формулой, приведенной в приложении II к директиве [2], основывается на данных о фактически потребленной тепловой и электрической энергии, выработанной в котле (O prod), и об энергии, поставленной за пределы предприятия (О ехр). Для унификации наименование O prod было изменено на Е р, а Е imp - на E i.
Энергоэффективность = Oprod – (Ef + Eimp) ≥ Ep – (Ef + Ei).
(А.4)
Это означает, что формула энергоэффективности в директиве [2] относится к "рекуперации энергии из отходов", а не к потенциальной энергетической эффективности предприятия.
Вычисленный показатель энергоэффективности R1 демонстрирует связь между:
- энергией, рекуперированной из отходов (энергией, поставленной за пределы мусоросжигательного завода, плюс энергия, использованная для внутреннего потребления мусоросжигательного завода), за вычетом энергии из внешних источников, потребленной мусоросжигательным заводом, и
- энергией, полученной из отходов, в сумме с энергией из внешних источников, потребленной мусоросжигательным заводом для производства пара.
Приложение Б
(рекомендуемое)
Таблица Б.1
|
Тип энергетического потока |
Отчетный год | ||
|
Количество, мг (т) |
Низшая теплотворная способность, кДж/кг |
Энергетический поток E x, МВт·ч | |
|
1 E w: энергообеспечение системы за счет отходов, МВт·ч |
1999148 | ||
|
1.1 Количество сожженных отходов (без учета 1.2 и 1.3) |
701182 |
10264 |
1999148 |
|
1.2 Например, количество сожженного осадка сточных вод |
0 |
0 | |
|
1.3 Например, количество сожженного использованного активированного угля |
0 |
0 | |
|
2 S E f: энергия, поступающая из внешних источников с учетом энергии, необходимой для производства пара, МВт·ч |
6613 | ||
|
2.1 E f1: количество легкого дистиллятного топлива для запуска (после соединения с паровой сетью), л 1) |
335834 |
42000 |
3370 |
|
2.2 E f2: количество легкого дистиллятного топлива для поддержания температуры сжигания, л 2) |
323193 |
42000 |
3243 |
|
2.3 Е f3: количество природного газа для запуска и поддержания температуры сжигания, Н·м3 |
0 | ||
|
3 S E i: поступление энергии из внешних источников без учета энергии, необходимой для производства пара, МВт·ч |
1123 | ||
|
3.1 E i1: количество легкого дистиллятного топлива, используемое для запуска и остановки процесса (в отсутствие связи с паровой сетью), л 3) |
111945 |
42000 |
1123 |
|
3.2 E i2: например, природный газ для нагрева дымовых газов для процесса избирательного каталитического восстановления и при запуске/остановке процесса, Н·м3 |
0 |
0 | |
|
3.3 E i3: электроэнергия, поступившая из внешних источников (умножается на коэффициент пересчета 2,6) |
0 |
0 | |
|
3.4 E i4: тепло, поступившее из внешних источников (умножается на коэффициент пересчета 1,1) |
0 |
0 | |
|
4 S Ер el produced = Eр el internal used + E pel exported |
422789 | ||
|
4.1 EPelmtemalused: произведенная электроэнергия, использованная для процесса сжигания, МВт·ч |
82807 | ||
|
4.2 EPelexported: электроэнергия, поставленная сторонним потребителям, МВт·ч |
339982 | ||
|
5 S EPheat exported = EPheat exp.1 + EPheat exp.2 |
81312 | ||
|
5.1 EPheatexp1: пар, поставленный сторонним потребителям без обратного потока в виде конденсата 4) |
11750 |
3023 |
9867 |
|
5.2 EPheatexp2: централизованное теплоснабжение, обеспечиваемое для сторонних потребителей с обратным потоком в виде конденсата (горячей воды) 5) |
71445 | ||
|
6 S EPheat int-used = S EPheat int-used/1-9 |
169409 | ||
|
6.1 EPheatmt-used1: на турбонасосы с паровым приводом, противоток в виде пара 6) |
42831 |
397 |
4723 |
|
6.2 EPheatmt-used2: на подогрев дымовых газов паром, противоток в виде конденсата 7) |
120404 |
2225 |
74416 |
|
6.3 EPheatmt-used4: на концентрацию вновь образовавшихся жидких отходов, образовавшихся в системе очистки загрязнения воздуха паром, противоток в виде конденсата 8) |
23863 |
2730 |
18097 |
|
6.4 EPheat-used5: на сажеобдувку без противотока в виде пара или конденсата 9) |
38026 |
2918 |
30822 |
|
6.5 EPheatint-used7: на отопление зданий/оборудования/бункеров, противоток в виде конденсата 10) |
23638 |
2490 |
16351 |
|
6.6 EPheatint-used8: на деаэрацию-деминерализацию конденсатом в качестве поступающей в котел воды 11) |
21972 |
2699 |
16475 |
|
6.7 EPheatused9: на впрыск NH 4OH в воду без противотока в виде пара или конденсата 12) |
10517 |
2918 |
8525 |
|
R1 = (Ep – (Ef + Ei))/(0,97·(Ew + Ef)) | |||
|
EP = 2,6·(S·EPel int.used + S·EPel exported) + 1,1×(S·EPheat int.used + S·EPheat exported) |
1375044,5 | ||
|
R1 = ((2,6·422789 + 1,1·250721) – (6613 + 1123)/(0,97·(1999148 + 6613)) |
0,703 | ||
|
1) Количество легкого дистиллятного топлива (p lfoil = 0,86 кг/литр) во время запуска/останова технологического процесса для производства пара, определенное из потребления легкого дистиллятного топлива в течение соответствующего периода времени: подключение к паровой сети уже произведено, но отходы в печь еще не поступают. 2) Количество легкого дистиллятного топлива (p lfoil = 0,86 кг/литр) для производства пара, определенное из потребления легкого дистиллятного топлива в течение соответствующего периода времени: поддержание температуры сжигания. 3) Определяют как разность между общим потреблением легкого дистиллятного топлива и потреблением, учитываемым в 2.1 и 2.2. 4) В этом примере нет обратного потока конденсата, поэтому разница энтальпии равна энтальпии пара среднего давления (рекомендация: в случае наличия обратного потока конденсата Dc представляет собой разность между энтальпией поставленного пара и энтальпией конденсата). 5) Количественную оценку централизованного теплоснабжения проводят по количеству перемещаемой горячей воды (отклонение относительно количества пара составляет около 3 %). 6) Турбонасосы с паровым приводом для котловой воды, использующие пар высокого давления, превращающие его в пар низкого давления; Δc = 397 кДж/кг. 7) Теплообменники для нагрева дымовых газов работают на паре среднего давления (13 бар). Зависит от загрязнения теплообменников и, соответственно, пропускной способности; таким образом, давление пара варьируется в диапазоне 9-12 бар. Только разность энтальпий, т.е. энтальпия пара среднего давления (в среднем 10 бар) с обратным потоком конденсата, уходящим в резервуар сбора конденсата (3,2 бар), и, следовательно, потери учитываемой энергии принимают во внимание (в резервуаре сбора конденсата давление пара снижается до низкого и пар попадает в паропровод низкого давления). 8) Отходы в жидкой фазе, образовавшиеся в системе газоочистки, обрабатываются паром среднего давления; конденсат с температурой в 70 °С поступает обратно в водный резервуар котла. 9) Пар высокого давления, используемый для продувки сажи, с энергопотреблением Δc = 3211 - 293 = 2918 кДж/кг. Количество энергии, используемой для сажеобдувки, принимающее участие в производстве пара, не учитывалось. 10) Отопление зданий, например административных, зданий котельных и других участков предприятий по переработке отходов с целью рекуперации энергии, а также подготовка теплой воды для санитарных нужд осуществляются теплообменниками с паром низкого давления. Противоток конденсата температурой 70 °С. 11) Температура пресной воды, поступающей из установки деминерализации, составляет около 20 °С. Эту энергию следует принимать во внимание только в том случае, если она не увеличивает прямо или косвенно температуру питательной воды, используемой для производства энергии. 12) Впрыскивание NH 4OH в пар высокого давления. | |||
Приложение В
(справочное)
В.1 В справочнике ЕС [4], раздел 5, приведен рекомендуемый перечень существующих НДТ для мусоросжигательных заводов.
В.1.1 В дополнение к общепринятым мероприятиям и технологиям для мусоросжигательных заводов к специальным НДТ относят следующие:
а) размещение новых установок таким образом, чтобы комбинированное производство энергии и/или тепла, и/или пара можно было увеличить таким образом, чтобы в целом превысить общий суммарный уровень поставляемой на стороны энергии до 1,9 МВт·ч/т ТКО исходя из средней низшей теплотворной способности ТКО, равной 2,9 МВт·ч/т;
б) в тех случаях, когда сторонним потребителям может быть поставлено менее 1,9 МВт·ч/т ТКО (на основе средней низшей теплотворной способности, равной 2,9 МВт·ч/т), достигается наибольший из следующих показателей:
1) среднегодовое производство электроэнергии составляет от 0,4 до 0,65 МВт·ч/т электроэнергии, полученной из предварительно обработанных ТКО (на основе средней низшей теплотворной способности ТКО, равной 2,9 МВт·ч/т с дополнительной подачей тепла/пара, насколько это практически возможно в местных условиях), или
2) производится, по меньшей мере, такое же количество электроэнергии из отходов, как среднегодовое энергопотребление всей установки, включая (в случае использования) предварительную обработку отходов на предприятии и обработку вновь образовавшихся отходов на предприятии;
в) снижение среднего потребления энергии предприятием (за исключением операций предварительной обработки ТКО и обработки отходов, образовавшихся при сжигании) до уровня ниже 0,15 МВт·ч/т обработанных ТКО на основе средней низшей теплотворной способности ТКО, равной 2,9 МВт·ч/т.
В.1.2 В случаях сжигания предварительно обработанных или отсортированных ТКО (включая топливо, полученное из ТКО) к специальным НДТ относят следующие:
а) на новых и действующих мусоросжигательных заводах к НДТ относят выработку электроэнергии, превышающую:
1) по меньшей мере среднегодовое производство от 0,6 до 1,0 МВт·ч электроэнергии из 1 т отходов (на основе средней низшей теплотворной способности ТКО, равной 4,2 МВт·ч/т), или
2) среднегодовую потребность в электроэнергии всей установки, включая (в тех случаях, когда используется) предварительную обработку отходов на установке и обработку вновь образовавшихся отходов на установке;
б) предусматривают размещение новых мусоросжигательных заводов таким образом, чтобы:
1) наряду с производством электроэнергии от 0,6 до 1,0 МВт·ч/т тепло и/или пар также возможно использовать (для объединенной выработки тепловой и электрической энергии) таким образом, чтобы общий уровень поставок тепла сторонним потребителям составлял от 0,5 до 1,25 МВт·ч/т отходов исходя из средней низшей теплотворной способности, равной 4,2 МВт·ч/т, или
2) в тех случаях, когда электричество не производится, общий уровень поставок тепла сторонним потребителям составлял 3 МВт·ч/т отходов исходя из средней низшей теплотворной способности, равной 4,2 МВт·ч/т;
в) добиваются сокращения энергопотребления мусоросжигательных заводов и достижения среднего энергопотребления (за исключением энергозатрат на предварительную обработку отходов и обработку вновь образовавшихся отходов) ниже 0,2 МВт·ч/т обрабатываемых отходов исходя из средней низшей теплотворной способности ТКО, равной 4,2 МВт·ч/т.
Приложение Г
(рекомендуемое)
Таблица Г.1
|
E p |
E f |
E j |
|
Произведенная электроэнергия (собственное потребление и передача внешним потребителям). Произведенное тепло для централизованного теплоснабжения (собственное потребление и передача внешним потребителям). Произведенный технологический пар (собственное потребление и передача внешним потребителям). Другие виды тепла (местное тепло, мобильный теплоаккумулятор). Собственное потребление электричества, пара/тепла и пр. на объекте для сжигания отходов: - энергия, расходуемая на испарение или впрыскивание, например впрыскивание NH 4OH с паром, водой для очистки или сточных вод из скрубберов с водяным орошением; - энергия, расходуемая в сажеобдувочных аппаратах; - устройства с паровым приводом, такие как насосы, компрессоры, вакуумные насосы; - энергия, расходуемая на обогрев паровых трубопроводов; - электричество, используемое для всех электрических систем (насосов, двигателей, вентиляторов, компрессоров, обогрева трубопроводов, систем управления и т.д.), зданий и инфраструктуры (например, освещения, кондиционирования воздуха и т.д.); - энергия, используемая для повторного нагрева дымовых газов (перед каталитическим реактором, перед фильтром); - использование энергии конденсации пара в дымовых газах; - тепло для процесса выпаривания (выпаривание соли, распылительная сушилка). Энергия, расходуемая на обогрев аппаратуры, силосохранилищ и зданий, включая подачу теплой воды (административных и общественных зданий, других сооружений) |
Поддержка горения топливом для поддержания минимальных температурных условий или условий сгорания. Запуск процесса с использованием топлива, начинающийся, когда парогенератор соединен с сетью паропроводов. Завершение процесса с использованием топлива до момента разъединения парогенератора с сетью паропроводов |
Поддержка горения топливом при прохождении процессов запуска и завершения без соединения парогенератора с сетью паропроводов. Энергия из внешних источников для повторного нагрева дымовых газов, например, в канальной горелке (нефть, газ) перед каталитическим реактором (избирательное каталитическое восстановление) или скруббером. Электроэнергия из внешних источников (например, предприятия без турбины) |
|
Примечание - Под собственным потреблением энергии и передачей энергии внешним потребителям подразумеваются энергия, потребленная объектом сжигания отходов, и энергия, потребленная на предприятии в иных целях, а также энергия, поставленная потребителям, находящимся за пределами предприятия. | ||
Приложение Д
(рекомендуемое)
Отношение энергии, поставленной за пределы объекта, к принятой энергии представляет собой энергетическую эффективность котельного оборудования. Определение входящих энергетических потоков проводят по формуле:
E w + E f = (энергия пара или горячей воды - энергия питательной воды)/КПД котла - энергия воздуха, поступающего в зону горения.
Необходимые количественные показатели и соответствующие инструменты:
- поток и энтальпия пара или горячей воды (измерение расхода пара, давления, температуры) на выходе из котла (обычное местонахождение; можно подобрать более удобное расположение в другом месте);
- потоки и энтальпии пара (F, Р, T), получаемого до момента поступления в места основного расхода пара (если таковые имеются), например из коллектора котла, если устройство-потребитель является внешним по отношению к "калориметрической системе" и если эти потоки не могут быть рассчитаны исходя из нормативных характеристик оборудования или согласованных значений;
- расход питательной воды и энтальпия (расходомер, если поток не рассчитывается, температура), как правило, на входе в теплообменник;
- удельная теплота первичного и вторичного воздуха, поступающего в зону горения. Эти данные могут быть взяты из методических указаний [1] или согласованных значений, составляя обычно 7 % - 8 % (E w + E f) в том случае, если первичный и вторичный воздух предварительно нагревается, и 5 %, если предварительно нагревается только первичный воздух. Если это невозможно, осуществляют измерение расхода пара и его температуры после предварительного нагрева.
Измерение физических величин:
- физические величины, которые не пересчитываются с использованием других данных, не принимаются как согласованные значения, и их, как правило, измеряют непрерывно;
- соответствующие показатели потоков энергии возможно снимать непрерывно соответствующими датчиками или системой управления предприятия и усреднять за весь период наблюдений.
Библиография
|
[1] |
Методические указания Генерального директората по вопросам окружающей среды Европейской комиссии по интерпретации формулы энергоэффективности R1 применительно к предприятиям по сжиганию отходов, специализирующимся на переработке твердых коммунальных отходов, в соответствии с приложением II Директивы Европейского парламента и Совета ЕС 2008/98/ЕС "Об отходах". Июнь 2011 года (European Commission. Directorate General Environment. Guidelines on the interpretation of the Rl energy efficiency formula for incineration facilities dedicated to the processing of municipal solid waste according to Annex II of Directive 2008/98/EC on waste. June 2011) | |
|
[2] |
Директива 2018/851/ЕС Европейского парламента и Совета Европейского союза от 30 мая 2018 г., изменяющая Директиву 2008/98/ЕС "Об отходах" (Directive (EU) 2018/851 of the European Parliament and of the Council of 30 May 2018 amending Directive 2008/98/EC on waste) | |
|
[3] |
Директива Европейского парламента и Совета 2010/75/ЕС от 24 ноября 2010 года "О промышленных эмиссиях (комплексное предупреждение и контроль)" (Directive 2010/75/EU of the European Parliament and of the Council of 24 November 2010 on industrial emissions (integrated pollution prevention and control)) | |
|
[4] |
Европейская комиссия. Справочник по наилучшим доступным технологиям (НДТ) сжигания отходов. 2019 г., с. 764 (European Commission. Best Available Techniques (BAT). Reference Document for Waste Incineration. 2019, P. 764) |


