ПНСТ 507-2020 (ISO/TS 10797:2012) НАНОТЕХНОЛОГИИ. НАНОТРУБКИ УГЛЕРОДНЫЕ ОДНОСТЕННЫЕ. ОПРЕДЕЛЕНИЕ ХАРАКТЕРИСТИК МЕТОДАМИ ПРОСВЕЧИВАЮЩЕЙ ЭЛЕКТРОННОЙ МИКРОСКОПИИ И ЭНЕРГОДИСПЕРСИОННОЙ РЕНТГЕНОВСКОЙ СПЕКТРОМЕТРИИ
Nanotechnologies. Single-wall carbon nanotubes. Characterization by using transmission electron microscopy and energy dispersive X-ray spectrometry
ОКС 07.030
07.120
Срок действия - с 1 января 2021 г.
до 1 января 2024 г.
Предисловие
1 Подготовлен Федеральным государственным унитарным предприятием "Всероссийский научно-исследовательский институт оптико-физических измерений" (ФГУП "ВНИИОФИ") на основе собственного перевода на русский язык англоязычной версии стандарта, указанного в пункте 4
2 Внесен Техническим комитетом по стандартизации ТК 441 "Нанотехнологии"
3 Утвержден и введен в действие Приказом Федерального агентства по техническому регулированию и метрологии от 23 декабря 2020 г. N 121-пнст
4 Настоящий стандарт является модифицированным по отношению к международному документу ISO/TS 10797:2012 "Нанотехнологии. Определение характеристик одностенных углеродных нанотрубок с использованием метода просвечивающей электронной микроскопии" (ISO/TS 10797:2012 "Nanotechnologies - Characterization of single-wall carbon nanotubes using transmission electron microscopy", MOD), путем изменения ссылок, расположения терминов в алфавитном порядке, исключения отдельных положений, которые дублируются по тексту стандарта, исключения из библиографии 44информации о документах, ссылки на которые не использованы при изложении настоящего стандарта.
Внесение указанных технических отклонений направлено на учет целесообразности использования ссылочных национальных стандартов вместо ссылочных международных стандартов.
Наименование настоящего стандарта изменено относительно наименования указанного международного документа для приведения в соответствие с ГОСТ Р 1.5-2012 (пункт 3.5).
Сведения о соответствии ссылочных национальных стандартов международным стандартам, использованным в качестве ссылочных в примененном международном документе, приведены в приложении ДА
5 Федеральное агентство по техническому регулированию и метрологии не несет ответственности за патентную чистоту настоящего стандарта. Патентообладатель может заявить о своих правах и направить в Федеральное агентство по техническому регулированию и метрологии аргументированное предложение о внесении в настоящий стандарт поправки для указания информации о наличии в стандарте объектов патентного права и патентообладателе
Настоящий стандарт распространяется на материал (далее - наноматериал), содержащий одностенные углеродные нанотрубки (ОУНТ), и устанавливает методы просвечивающей электронной микроскопии (метод ПЭМ) и энергодисперсионной рентгеновской спектрометрии (метод ЭДРС) для определения морфологических характеристик и химического состава.
Методы, установленные в настоящем стандарте, применимы к наноматериалам, содержащим многостенные углеродные нанотрубки (МУНТ).
В настоящем стандарте использованы нормативные ссылки на следующие документы:
ГОСТ ISO/IEC 17025 Общие требования к компетентности испытательных и калибровочных лабораторий
ГОСТ ISO/TS 80004-2 Нанотехнологии. Часть 2. Нанообъекты. Термины и определения
ГОСТ ISO/TS 80004-3 Нанотехнологии. Часть 3. Нанообъекты углеродные. Термины и определения
ГОСТ Р ИСО 22309 Государственная система обеспечения единства измерений. Микроанализ электронно-зондовый. Количественный анализ с использованием энергодисперсионной спектрометрии для элементов с атомным номером от 11 (Na) и выше
ПНСТ 508-2020 (ISO/TS 10798:2011) Нанотехнологии. Нанотрубки углеродные одностенные. Определение характеристик методами растровой электронной микроскопии и энергодисперсионной рентгеновской спектрометрии
Примечание - При пользовании настоящим стандартом целесообразно проверить действие ссылочных стандартов в информационной системе общего пользования - на официальном сайте Федерального агентства по техническому регулированию и метрологии в сети Интернет или по ежегодному информационному указателю "Национальные стандарты", который опубликован по состоянию на 1 января текущего года, и по выпускам ежемесячного информационного указателя "Национальные стандарты" за текущий год. Если заменен ссылочный стандарт, на который дана недатированная ссылка, то рекомендуется использовать действующую версию этого стандарта с учетом всех внесенных в данную версию изменений. Если заменен ссылочный стандарт, на который дана датированная ссылка, то рекомендуется использовать версию этого стандарта с указанным выше годом утверждения (принятия). Если после утверждения настоящего стандарта в ссылочный стандарт, на который дана датированная ссылка, внесено изменение, затрагивающее положение, на которое дана ссылка, то это положение рекомендуется применять без учета данного изменения. Если ссылочный стандарт отменен без замены, то положение, в котором дана ссылка на него, рекомендуется принять в части, не затрагивающей эту ссылку.
В настоящем стандарте применены термины по ГОСТ ISO/TS 80004-3, [1], а также следующие термины с соответствующими определениями:
3.1 агрегат нанотрубок (aggregate of nanotubes): Совокупность сильно связанных или сплавленных между собой частиц из отдельных нанотрубок и/или пучков нанотрубок.
Примечания
1 Как правило, ОУНТ в наноматериале образуют агрегаты. Силы, удерживающие частицы в составе агрегата, являются прочными и обусловлены, например ковалентными связями, или образованы в результате спекания или сложного физического переплетения частиц друг с другом.
2 Агрегаты также называют "вторичные частицы", а составляющие их исходные частицы - "первичные частицы".
3 Термин "агрегат" установлен в ГОСТ ISO/TS 80004-2, статья 3.5, определение термина изменено.
3.2 пучок нанотрубок; пучок ОУНТ (bundle of nanotubes): Одиночная прядь из двух или более нанотрубок, удерживаемых вместе силами взаимодействия Ван-дер-Ваальса.
3.3 светлопольный режим просвечивающего электронного микроскопа; светлопольный режим ПЭМ (bright-field ТЕМ): Режим работы просвечивающего электронного микроскопа, при котором изображение испытуемого объекта при прохождении через него прямого электронного пучка формируется только проходящей волной путем выбора волны с помощью диафрагмы объективной линзы в задней фокальной плоскости.
Примечание - Как правило, участки испытуемого объекта, которые являются более толстыми, или химические элементы, составляющие испытуемый объект, имеют более высокий атомный номер (Z) и выглядят темнее на более ярком фоне. В данном режиме контраст формируется непосредственно путем окклюзии и поглощения электронов испытуемым объектом. Более толстые участки испытуемого объекта или составляющие его химические элементы с более высоким атомным номером будут выглядеть на изображении темными, в то время как области без испытуемого объекта на пути электронного пучка будут выглядеть яркими, поэтому к таким изображениям применяют термин "светлопольные".
3.4 темнопольный режим просвечивающего электронного микроскопа; темнопольный режим ПЭМ (dark-field ТЕМ): Режим работы просвечивающего электронного микроскопа, при котором изображение испытуемого объекта при прохождении через него прямого электронного пучка формируется только дифрагированной волной путем выбора волны с помощью диафрагмы объективной линзы в задней фокальной плоскости.
Примечания
1 Кристаллические участки испытуемого объекта рассеивают электроны прямого пучка в дискретных местах в задней фокальной плоскости. Посредством размещения апертур в задней фокальной плоскости (апертур диафрагмы объективной линзы) можно выбрать области отражений таким образом, что будут отображаться только те участки испытуемого объекта, которые вызывают рассеяние электронов на выбранных отражениях. Если выбранные отражения не включают нерассеянные электроны, то изображение будет выглядеть темным везде, где отсутствует рассеяние электронов испытуемым объектом до выбранного пика, поэтому к таким изображениям применяют термин "темнопольные".
2 ПЭМ, как правило, оснащены держателями образцов, с помощью которых можно наклонять испытуемый объект для получения определенных условий дифракции. Волна, которая вызывает рассеяние и отражение (например, брэгговское отражение) в испытуемом объекте с кристаллической структурой, формирует темнопольное изображение путем выбора определенной дифракционной волны с помощью диафрагмы объективной линзы в задней фокальной плоскости.
3 Метод ПЭМ с применением высокоуглового кольцевого темнопольного детектора (ВУКТД) чувствителен к химическим элементам с различными атомными номерами, присутствующим в испытуемом материале. Данным методом получают Z-контрастные изображения, по которым можно выявить наличие частиц металлов на нанотрубках и остатков катализатора, включая мелкие металлические частицы, погруженные в аморфный углерод или носитель катализатора. При применении светлопольного режима ПЭМ выявить такие частицы невозможно.
3.5 спектр характеристических потерь энергии электронами; СХПЭЭ (electron energy loss spectrum; EELS): Энергетический спектр неупруго рассеянных электронов, испускаемых моноэнергетическим источником и потерявших фиксированные порции энергии в процессе взаимодействия с исследуемым объектом.
Примечание - Значения энергетических спектров неупруго рассеянных электронов зависят от энергии электронного пучка, угла его падения на поверхность испытуемого объекта, угла рассеяния электронов и свойств испытуемого объекта (см. [2]).
3.6 энергодисперсионный рентгеновский спектрометр; ЭДРС (energy-dispersive X-ray spectrometer; EDS): Прибор для определения зависимости интенсивности рентгеновского излучения от энергии излучения.
Примечание - Термин и определение см. в [3], статья 3.6.4.
3.7 чистота наноматериала (purity of SWCNT sample): Количество материала, отличного от ОУНТ, содержащегося в наноматериале.
Примечание - Показателем высокой степени чистоты наноматериала является незначительное содержание частиц металлического катализатора и других материалов, в том числе МУНТ, углеродных нановолокон, фуллеренов, аморфного углерода и графеновых нанолуковиц, наличие которых также можно определить методом ПЭМ.
3.8 просвечивающий электронный микроскоп; ПЭМ (transmission electron microscope; ТЕМ): Электронный микроскоп, формирующий изображение объекта или его дифракционной картины электронными пучками, проходящими сквозь этот объект и взаимодействующими с ним.
Примечание - Термин и определение см. в [4], статья 3.37, определение термина изменено.
3.9 локальная электронография; (selected area electron diffraction; SAED): Метод измерения параметров структуры вещества, основанный на дифракции электронов, с применением электронного микроскопа, формирующего дифракционную картину определенного участка объекта, ограниченного диафрагмой.
Примечание - Термин и определение см. в [5], статья 2.38, определение термина изменено.
3.10 просвечивающий растровый электронный микроскоп; ПРЭМ (scanning transmission electron microscope; STEM): Электронный микроскоп, формирующий изображения объекта или его дифракционные картины сфокусированным электронным пучком, проходящим сквозь этот объект и взаимодействующий с ним.
Для определения характеристик наноматериала (характеристик ОУНТ, наличия различных форм углерода и неуглеродных примесей) применяют просвечивающий электронный микроскоп (ПЭМ) с высоким разрешением (ПЭМ BP). Характеристики наноматериала определяют методом ПЭМ по результатам анализа полученных изображений. ОУНТ могут иметь диаметры от 1 до 5 нм, а также менее 1 нм и более 5 нм. ОУНТ могут быть различной длины, длина их может составлять более 10 мм. Благодаря силам притяжения между отдельными ОУНТ в наноматериале нанотрубки спутаны (переплетены) друг с другом и образуют так называемые "пучки" или "канаты". При выполнении измерений следует учитывать, что размеры диаметров и длин пучков ОУНТ больше, чем размеры диаметров и длин отдельных ОУНТ. Методом ПЭМ определяют структурные характеристики ОУНТ, включая диаметр, число стенок, хиральность, дефекты, ориентацию, морфологию упаковки и детальную структуру пучков. При определении длины ОУНТ методом ПЭМ в ряде случаев могут возникнуть затруднения.
Метод ПЭМ в сочетании с энергодисперсионной рентгеновской спектрометрией (метод ПЭМ/ЭДРС) применяют для определения химического состава неуглеродных примесей, содержащихся в наноматериале, в том числе имеющих размеры в нанодиапазоне. С применением измерительных систем, включающих ПЭМ и энергодисперсионный рентгеновский спектрометр (ЭДРС), можно с высокой точностью определить наличие различных форм углерода и других примесей, идентифицировать их и выполнить полуколичественный анализ, необходимый для сравнения образцов наноматериала. Показатель уровня взаимодействия электронного пучка с пробой в методе ПЭМ меньше и отношение пик-фон у системы ПЭМ/ЭДРС лучше по сравнению с растровой электронной микроскопией в сочетании с энергодисперсионной рентгеновской спектрометрией (РЭМ/ЭДРС). Методом ПЭМ/ЭДРС можно лучше выявить различие между пробами наноматериала и получить более точные результаты полуколичественного анализа в заданной точке, зоне и части пробы наноматериала.
Для выявления и определения характеристик компонентов, содержащихся в наноматериале, применяют другие аналитические методы, основанные на методе ПЭМ. Такие методы применяют для получения информации о химическом составе, кристаллической структуре, химической связи и легировании, электронных свойствах и различных материалах, находящихся внутри ОУНТ, и т.д. К таким методам относят локальную электронографию и спектроскопию характеристических потерь энергии электронами (СХПЭЭ).
МУНТ состоят из двух или более вложенных друг в друга концентрических или почти концентрических слоев графена. Расстояние между стенками МУНТ аналогично расстоянию между слоями графена в графите и составляет примерно 0,34 нм. В связи с тем, что стенки МУНТ состоят из нескольких слоев графена, наружные диаметры МУНТ значительно больше наружных диаметров ОУНТ. Двустенные углеродные нанотрубки (ДУНТ) относят к особому виду углеродных нанотрубок, так как их морфология и свойства аналогичны ОУНТ, а стойкость к химическим веществам значительно лучше. Данные особенности ДУНТ используют при функционализации поверхности (прививание функциональных групп химических веществ к поверхности нанотрубок) для придания новых свойств. Для наноматериалов, содержащих МУНТ, применяют методы подготовки проб и диспергирования, аналогичные методам для наноматериалов, содержащих ОУНТ.
Примечание - Дополнительную информацию о характеристиках МУНТ и методах их определения см. в [6].
При работе с наноматериалом, включая изготовление, обращение, подготовку к испытаниям/измерениям, применение и утилизацию, следует соблюдать соответствующие требования безопасности. К работе с наноматериалом допускается персонал, прошедший обучение и инструктаж по технике безопасности. При работе с наноматериалом применяют средства индивидуальной защиты, включая одноразовые перчатки, защитные очки, лабораторные защитные костюмы, респираторы и т.д. С целью предотвращения попадания наноматериала в организм человека при вдыхании отбор и подготовку проб выполняют в вытяжном шкафу или перчаточном боксе, оснащенном соответствующими фильтрами (см. [7], [8]).
Для получения сопоставимых и точных результатов измерений отбор и подготовку проб выполняют с учетом всех необходимых требований. При обработке и подготовке проб может произойти значительное изменение физических свойств наноматериала, поэтому следует, по возможности, применять способы и методы, при которых таких изменений не происходит.
Следует учитывать, что измерения с применением ПЭМ можно выполнять только на пробах небольшой толщины, так как электроны проникают в твердые вещества на малую глубину, особенно при выполнении измерений ПЭМ BP и применяемом потоке первичных электронов низких энергий. В зависимости от свойств наноматериала и требуемого для измерений разрешения ПЭМ размеры толщины пробы должны составлять от 10 до 150 нм.
Наноматериал изготавливают в форме порошка или суспензии. Следует учитывать особенности подготовки проб наноматериала для измерений методом ПЭМ. ОУНТ, как правило, образуют пучки, которые трудно разделить на отдельные ОУНТ. Разделение пучков на отдельные ОУНТ можно выполнить ультразвуковой обработкой, при этом следует учитывать возможность повреждения структуры ОУНТ, например, может произойти уменьшение их по длине и/или изменение их макроморфологии, поэтому при подготовке проб требуемой толщины рекомендуется, по возможности, наноматериал не подвергать механической обработке. При подготовке проб в виде тонких прозрачных проводящих пленок не рекомендуется применять такие способы обработки наноматериала, как ионное травление, электрополировка, измельчение, разделение/извлечение ОУНТ и селективное химическое травление.
Для выполнения измерений методом ПЭМ применяют не менее трех проб наноматериала. Число проб зависит от качества наноматериала и правильности их подготовки. Пробы предварительно проверяют. Если при проверке трех проб установлены существенные расхождения показателей, то дополнительно следует подготовить еще несколько проб. Число проб, необходимое для измерений, должно быть оптимальным и определено в целях обеспечения релевантности и точности результатов.
Сведения о процедурах отбора и подготовки проб, включая условия и время (или визуально установленный момент окончания процесса) проведения ультразвуковой обработки, любую предварительную обработку или промывание проб наноматериала, должны быть указаны в протоколе.
Примечание - Дополнительные сведения о процедурах отбора и подготовки проб для определения характеристик наноматериалов методом ПЭМ см. в [9]-[11].
Для подготовки проб, выполнения измерений и получения изображений следует выбирать сетку для ПЭМ (ПЭМ-сетка) в зависимости от испытуемого наноматериала и цели испытаний. Для определения характеристик наноматериала, в том числе чистоты наноматериала, как правило, применяют медную ПЭМ-сетку (200 меш) диаметром 3,05 мм, имеющую множество отверстий размером 97 x 97 мкм. При использовании такой ПЭМ-сетки и пробы, подготовленной должным образом, можно провести несколько измерений. Допускается применять ПЭМ-сетки, изготовленные из других материалов, при условии, что химический состав этих материалов не оказывает влияние на результаты измерений при определении химического состава примесей в наноматериале.
Для специальной обработки проб, например при нагреве, допускается применять молибденовые ПЭМ-сетки или ПЭМ-сетки (мембраны с отверстиями) из карбида кремния, выдерживающие воздействие высоких температур.
Примечания
1 Используя ПЭМ-сетку с индексными метками вдоль каждой линии, можно получать изображения и выполнять количественный анализ конкретных зон пробы или проводить несколько исследований одних и тех же зон и свойств наноматериала даже разными операторами.
2 Вследствие сложности определения макроморфологии наноматериала, необходимости выполнения измерений на пробах небольшой толщины, а также с целью обеспечения прочного закрепления пробы на ПЭМ-сетке при выполнении измерений и получения изображений требуемых контрастности и разрешения, как правило, на ПЭМ-сетку предварительно наносят поддерживающую подложку. Следует учитывать, что для некоторых форм наноматериала наличие поддерживающей подложки на ПЭМ-сетке не требуется. В качестве поддерживающей подложки для проб наноматериала рекомендуется применять пористые или перфорированные (предпочтительнее) углеродные пленки. Дополнительная информация приведена в приложении В (см. В.1.1).
5.3.1 Подготовка проб наноматериала в форме порошка
Подготовку проб наноматериала в форме порошка выполняют в следующем порядке:
a) ПЭМ-сетку помещают в держатель;
b) далее ПЭМ-сетку помещают внутрь вытяжного шкафа или перчаточного бокса;
c) контейнер с отобранной пробой наноматериала перемещают в вытяжной шкаф или перчаточный бокс, открывают контейнер;
d) небольшое количество (примерно 0,01 мг) наноматериала острой иглой или пинцетом переносят на ПЭМ-сетку и легким нажатием прикрепляют наноматериал к ее поверхности;
e) удаляют избыток наноматериала легким постукиванием держателя о твердую поверхность (допускается для этих целей применять короткий импульс слабой струи чистого азота);
f) для того чтобы "вытащить" ОУНТ на поверхность ПЭМ-сетки, можно дополнительно нанести каплю органического растворителя, например пропанола-2 (изопропилового спирта) или бутанола-2 (бутилового спирта), на пробу и дать высохнуть (это позволит "вытащить" сухие ОУНТ на поверхность ПЭМ-сетки, когда растворитель высохнет);
g) ПЭМ-сетку с пробой устанавливают в ПЭМ для выполнения измерений или помещают в контейнер для хранения.
Примечания
1 Преимуществом данного метода подготовки проб является сохранение исходной макроморфологии ОУНТ, недостатком - возможность получения пробы, размеры толщины которой затруднят проникновение электронов в наноматериал на необходимую глубину при выполнении измерений.
2 При подготовке проб данным методом следует учитывать возможность возникновения негативных последствий во время создания вакуума в ПЭМ, вызванных попаданием на магнитные элементы ПЭМ отделившегося от ПЭМ-сетки наноматериала вследствие слабой адгезии.
5.3.2 Подготовка проб наноматериала в форме пленки
В наноматериал, изготовленный в форме порошка, добавляют растворитель, получают тонкую пленку, которую затем помещают на ПЭМ-сетку. Проба, подготовленная таким методом, имеет хорошую адгезию с ПЭМ-сеткой, так как многие ОУНТ "закреплены" на одном месте. Подготовку проб наноматериала в форме пленки выполняют в следующем порядке:
a) ПЭМ-сетку помещают в держатель;
b) далее ПЭМ-сетку помещают внутрь вытяжного шкафа или перчаточного бокса;
c) контейнер с отобранной пробой наноматериала перемещают в вытяжной шкаф или перчаточный бокс, открывают контейнер;
d) небольшое количество (примерно 0,01 мг) наноматериала острой иглой или пинцетом помещают в емкость объемом 20 мл и добавляют 10 мл чистой воды или пропанола-2 (изопропилового спирта);
е) после того как наноматериал полностью впитает растворитель, каплю полученной суспензии пропускают через мембрану из гидрофильного полипропилена или поликарбоната с порами размерами от 0,2 до 0,5 мкм для формирования пленки;
f) снимают фрагмент пленки, образовавшейся на поверхности мембраны, и переносят на ПЭМ-сетку (в данном случае поддерживающая подложка не требуется), затем легким нажатием прикрепляют пленку к поверхности ПЭМ-сетки;
g) ПЭМ-сетку с пробой устанавливают в ПЭМ для выполнения измерений или помещают в контейнер для хранения.
Примечания
1 При подготовке проб данным методом следует учитывать, что многие участки пленки могут иметь толщину несоответствующих размеров или содержать чрезмерно большое число ОУНТ.
2 Также следует учитывать, что при высушивании суспензии возможно изменение исходного пространственного распределения компонентов (ОУНТ и примесей) в наноматериале. Кроме того, неправильно подобранный растворитель может удалить некоторые виды примесей, вследствие чего результаты определения чистоты наноматериала будут неточными.
Приведенным ниже методом осуществляют отбор и подготовку проб наноматериала, изготовленного в форме суспензии или порошка. Наноматериал, изготовленный в форме порошка, предварительно смешивают с растворителем для получения суспензии. С целью разделения пучков ОУНТ на отдельные ОУНТ перед нанесением на ПЭМ-сетку наноматериал обрабатывают ультразвуком при комнатной температуре. Подготовку проб наноматериала в форме суспензии выполняют в следующем порядке:
a) ПЭМ-сетку помещают в держатель;
b) далее ПЭМ-сетку помещают внутрь вытяжного шкафа или перчаточного бокса;
c) контейнер с отобранной пробой наноматериала перемещают в вытяжной шкаф или перчаточный бокс, открывают контейнер;
d) небольшое количество (примерно 0,01 мг) наноматериала острой иглой или пинцетом помещают в емкость объемом 20 мл и добавляют 10 мл пропанола-2 или хлороформа, соблюдая соответствующие меры безопасности;
е) емкость с пробой помещают в ультразвуковую ванну и выполняют обработку (при применении малогабаритной лабораторной ультразвуковой ванны обработку пробы выполняют в течение 5-30 мин);
f) каплю суспензии наносят на ПЭМ-сетку;
g) пробу высушивают на воздухе;
h) удаляют избыток наноматериала легким постукиванием держателя о твердую поверхность (допускается для этих целей применять короткий импульс слабой струи чистого азота);
i) ПЭМ-сетку с пробой устанавливают в ПЭМ для выполнения измерений или помещают в контейнер для хранения.
Примечания
1 При подготовке проб данным методом следует учитывать, что длительная ультразвуковая обработка и/или ее высокая интенсивность могут привести к значительным изменениям характеристик наноматериала, в том числе ОУНТ. Режимы ультразвуковой обработки устанавливают в зависимости от испытуемого наноматериала и типа применяемого оборудования. Режимы могут быть определены экспериментальным путем, начиная с минимальных продолжительности и интенсивности. Обработка наноматериала в ультразвуковой ванне, заполненной холодной водой, минимизирует возможные повреждения ОУНТ, возникающие вследствие воздействия тепла.
2 Также следует учитывать, что при ультразвуковой обработке и высушивании суспензии возможно изменение исходного пространственного распределения компонентов (ОУНТ и примесей) в наноматериале. Кроме того, неправильно подобранный растворитель может удалить некоторые виды примесей, вследствие чего результаты определения чистоты наноматериала будут неточными.
Подготовку проб наноматериала в форме композиционного материала (далее - нанокомпозита) выполняют путем введения наноматериала в эпоксидную или полимерную матрицу. Далее с применением ультрамикротома получают срезы наноматериала заданной толщины. Следует учитывать, что при подготовке проб данным методом может произойти повреждение и/или удаление некоторых ОУНТ, при этом сохраняется возможность определения характеристик наноматериала. Подготовку проб наноматериала в форме нанокомпозита выполняют в следующем порядке:
a) ПЭМ-сетку помещают в держатель;
b) далее ПЭМ-сетку помещают внутрь вытяжного шкафа или перчаточного бокса;
c) контейнер с отобранной пробой наноматериала перемещают в вытяжной шкаф или перчаточный бокс, открывают контейнер;
d) с помощью пинцета наноматериал массой 0,1 г добавляют в 10 г эпоксидной смолы, предварительно смешанной с отвердителем, и тщательно перемешивают;
е) полученный нанокомпозит выдерживают при комнатной температуре до полного его отверждения;
f) отвержденному нанокомпозиту придают форму стержня длиной 3 мм, далее закрепляют его в ультрамикротоме;
g) получают срезы нанокомпозита толщиной от 20 до 90 нм (оценить толщину можно по прозрачности среза на просвет), которые расправляют в водяной бане, встроенной в ультрамикротом;
h) срез нанокомпозита извлекают из ультрамикротома и легким нажатием прикрепляют к поверхности ПЭМ-сетки;
i) ПЭМ-сетку с пробой устанавливают в ПЭМ для выполнения измерений или помещают в контейнер для хранения.
Примечание - Наноматериал используют для изготовления композиционных материалов с заданными свойствами и данный метод подготовки проб применяют при определении характеристик таких материалов. Следует учитывать, что информации, полученной в результате измерений на пробах в форме нанокомпозита, может быть недостаточно для определения некоторых характеристик наноматериала. Более полную информацию о характеристиках наноматериала можно получить в результате измерений, выполненных на пробах, приготовленных в других формах. Допускается применять данный метод подготовки проб при определении характеристик композиционных полимерных материалов, изготовленных с использованием нанотрубок. Дополнительная информация приведена в приложении В (см. В.1.2).
6.1.1 Выполнение измерения с применением просвечивающего электронного микроскопа с полем зрения более 1 мкм
Включают ПЭМ и устанавливают рабочий режим в соответствии с инструкцией по эксплуатации. Для получения высокого разрешения устанавливают необходимые параметры электронного пучка. Измерения выполняют при минимальном значении увеличения ПЭМ, то есть поле зрения ПЭМ должно быть более 1 мкм (далее - большое поле зрения). Минимальное значение увеличения устанавливают в зависимости от параметров ПЭМ и свойств испытуемого наноматериала.
Осматривают пробы с целью оценки качества их подготовки и определения достаточного числа (не менее трех) проб для получения требуемых результатов измерений. В зависимости от цели испытания, например, для выявления наличия частиц катализатора или других примесей в наноматериале дополнительно выполняют анализ темнопольных изображений.
Изображения крупных и мелких примесей, например частиц катализатора и металлов, углеродных волокон, МУНТ и других форм углерода получают при различных полях зрения ПЭМ. В зависимости от определяемых характеристик наноматериала и параметров ПЭМ устанавливают наилучшие для измерений поле зрения и разрешающую способность. Рабочие режимы ПЭМ выбирают таким образом, чтобы получить изображения при максимально возможном разрешении с полем зрения, обеспечивающим получение соответствующей информации.
В таблице 1 приведены рекомендуемые настройки ПЭМ с большим полем зрения для выполнения измерений.
6.1.2 Выполнение измерения с применением просвечивающего электронного микроскопа с полем зрения менее 1 мкм
Информацию о структурных характеристиках наноматериала и отдельных ОУНТ, в том числе наличии примесей размерами в нанодиапазоне, структуре стенок, дефектах, решетке и т.д., получают по анализу изображений при поле зрения ПЭМ менее 1 мкм (далее - малое поле зрения). Методом ПЭМ при малом поле зрения получают информацию об объекте, которую невозможно получить другими методами. При поле зрения ПЭМ менее 100 нм можно получить информацию о мельчайших особенностях структуры ОУНТ. С целью выявления наличия частиц катализатора или других примесей в наноматериале дополнительно выполняют анализ темнопольных изображений.
Увеличение ПЭМ должно быть откалибровано по направлениям осей х и y в установленном порядке с применением эталонного материала (см. [4]). Допускается применять эталонные материалы с установленными значениями характеристик (например, характеристики кристаллической решетки) и выполнять калибровку увеличения ПЭМ в соответствии с инструкцией, прилагаемой к эталонному материалу. При калибровке следует учитывать, что от плоскости расположения пробы в колонне ПЭМ зависит значение увеличения. Для минимизации погрешности измерений следует обеспечить воспроизводимость плоскости расположения эталонного материала в колонне ПЭМ при калибровке, например, путем расположения испытуемой пробы в плоскости эуцентрической высоты при выполнении измерений.
В таблице 1 приведены рекомендуемые настройки ПЭМ с малым полем зрения для выполнения измерений.
При выполнении измерений следует учитывать, что на качество изображений влияют наличие электрического заряда на поверхности пробы, помехи, вызванные воздействием электронного пучка и другие факторы. Примеры определения характеристик наноматериала методом ПЭМ приведены в приложении А. Дополнительная информация о подготовке проб наноматериала и применении ПЭМ для выполнения измерений приведена в приложении В. Дополнительная информация о применении метода ПЭМ для определения характеристик наноматериала приведена в приложении С. Дополнительная информация о факторах, влияющих на результаты измерений, приведена в приложении D.
Методы ПЭМ/ЭДРС и просвечивающей растровой электронной микроскопии в сочетании с энергодисперсионной рентгеновской спектрометрией (метод ПРЭМ/ЭДРС) применяют для определения химического состава примесей размерами в нанодиапазоне. Преимущество метода ПЭМ/ЭДРС - пики рентгеновского излучения элементов, входящих в состав наноматериала, получают при незначительной интенсивности фонового излучения. Для обеспечения наилучшей чувствительности метода ПЭМ/ЭДРС измерения следует выполнять на участках пробы, расположенных в местах отверстий ПЭМ-сетки.
Значения тока пучка и ускоряющего напряжения, время анализа и диапазон значений энергий рентгеновского излучения устанавливают в соответствии с ГОСТ Р ИСО 22309 и в зависимости от химического состава наноматериала. При правильном выборе значений этих параметров по полученным изображениям можно определить наличие объектов, отличных от ОУНТ.
Значения начального ускоряющего напряжения устанавливают в соответствии с нижней границей чувствительности ПЭМ или ПРЭМ. Как правило, верхнюю границу диапазона значений энергий рентгеновского излучения устанавливают 20 кэВ. При этом следует учитывать, что при выполнении измерений с целью определения химического состава наноматериала диапазон значений энергий рентгеновского излучения зависит от характеристических пиков наноматериала. При наличии в наноматериале нетипичных примесей допускается устанавливать другие значения ускоряющего напряжения и энергий рентгеновского излучения.
Для определения средних значений следует выполнить анализ всех доступных для измерений частей пробы. Следует учитывать, что точечным анализом можно определить наличие частиц конкретных химических веществ, включая частицы катализатора или примесей (при их наличии). При выполнении измерений для контроля дрейфа пробы, особенно в случае проведения длительного по времени анализа, рекомендуется использовать блок управления сканированием с программным обеспечением для коррекции дрейфа.
Получают по одному изображению трех репрезентативных частей пробы при каждом из трех полей зрения микроскопа, указанных в таблице 1. Данное число изображений является достаточным для определения характеристик очищенного наноматериала. Число изображений, которых необходимо получить для определения характеристик наноматериала, зависит от результатов предварительных измерений. Если по результатам предварительных измерений установлены значительные расхождения в относительных интенсивностях пиков в различных анализируемых частях пробы, то для получения точных и воспроизводимых результатов каждую анализируемую часть пробы изучают более подробно.
Для полуколичественного анализа определяют среднее значение результатов измерений первых трех анализируемых частей пробы. Вычисляют среднее (avg) и стандартное (stdev) отклонение. В протоколе регистрируют полученные значения, если относительное стандартное отклонение (stdev/avg, в процентах) менее 20 %. Если относительное стандартное отклонение более 20 %, то выполняют измерения еще на трех частях пробы при каждом из трех полей зрения микроскопа, указанных в таблице 1, и, при необходимости, еще на трех дополнительных анализируемых частях пробы, чтобы получить статистически значимые результаты. Если однородные значения не получены, то в протоколе регистрируют только качественные результаты (обнаруженные химические элементы).
Системы ЭДРС должны быть откалиброваны в установленном порядке с использованием поверенных (калиброванных) мер. Дополнительные сведения о калибровке систем ЭДРС см. в [12]. В таблице 1 приведены рекомендуемые настройки ПЭМ для выполнения измерений методом ЭДРС.
|
Настройки ПЭМ с большим полем зрения |
Настройки ПЭМ с малым полем зрения |
Настройки ПЭМ для выполнения измерений методом ЭДРС |
|
0,5 мм |
500 нм |
50 мкм |
|
100 мкм |
100 нм |
10 мкм |
|
50 мкм |
50 нм |
1 мкм |
|
10 мкм |
20 нм |
100 нм |
|
5 мкм |
- |
Точечный анализ |
|
1 мкм |
- |
- |
|
Примечания 1 В зависимости от цели испытаний, параметров ПЭМ, применяемой ПЭМ-сетки, в том числе размера отверстий ПЭМ-сетки, допускаются незначительные отклонения от указанных значений или пропуск полей зрения. Целью выполнения измерений является получение достоверных и статистически значимых результатов. 2 При наличии в наноматериале крупных примесей допускается увеличивать поле зрение ПЭМ для получения более точных и достоверных результатов измерений. Для увеличения поля зрения допускается объединение соседних изображений, при этом следует не допускать ухудшения их качества. 3 Для измерений с применением ПЭМ с большим полем зрения, оснащенного цифровой системой, следует получать изображения при наивысшем разрешении. Для измерений с применением ПЭМ с малым полем зрения, разрешение цифрового изображения должно удовлетворять критерию Найквиста для выборки с дополнительным запасом 50 %. Следует убедиться, что на гистограмме уровней серого минимум 80 % пикселей находятся в состоянии, отличном от минимального или максимального. При применении измерительных систем с аналоговым получением изображений следует записать и оцифровать изображения так, чтобы в конце процесса формирования изображений указанные выше требования были выполнены. 4 Измерения методом ПЭМ/ЭДРС следует выполнять на частях пробы, расположенных в местах отверстий ПЭМ-сетки. | ||
По результатам анализа изображений ПЭМ и ПРЭМ получают информацию о диаметрах, длинах и дефектах ОУНТ, а также о характеристиках примесей и посторонних включениях в наноматериале. Диаметры ОУНТ можно определить с высокой точностью при условии, что увеличение ПЭМ откалибровано в установленном порядке. По полученным изображениям можно определить чистоту наноматериала. При этом следует учитывать, что метод ПЭМ не является методом объемного анализа и с его помощью можно дать качественную оценку чистоты наноматериала. Получить количественные данные для оценки чистоты наноматериала методом ПЭМ сложно. Следует учитывать, что результаты измерений зависят от правильности отбора и подготовки проб и наличия накопленных статистических данных. При определении длины ОУНТ могут возникнуть затруднения вследствие необходимости получения и объединения большого числа изображений.
В протокол включают результаты измерений и все полученные изображения в цифровом виде. Протокол с результатами измерений должен соответствовать ГОСТ ИСО/МЭК 17025. Дополнительную информацию об обработке результатов и расчете неопределенности см. в [4]. Для обеспечения возможности цифрового увеличения и выявления отдельных деталей, необходимых для обработки результатов измерений, в протокол включают полученные изображения с исходным разрешением. При необходимости дополнительно создают файл протокола с изображениями, уменьшенными надлежащим образом.
7.2.1 Общие требования
В протокол включают по три изображения альбомной ориентации, полученные в ходе измерений при каждом поле зрения. Также в протокол дополнительно включают любые другие изображения, полученные с целью обеспечения точности и воспроизводимости результатов измерений и подтверждающие наличие ОУНТ и других компонентов в наноматериале. При необходимости в протокол включают темнопольные изображения, подтверждающие наличие в наноматериале частиц катализатора или других компонентов. Для удобства сравнения двух изображений светлопольное и темнопольное изображения помещают в протоколе рядом друг с другом. На каждом изображении должны быть указаны условия его формирования, поле зрения ПЭМ и другая необходимая информация.
7.2.2 Определение чистоты наноматериала
Примеси, присутствующие в наноматериале, состоят, как правило, из графитовых включений, аллотропных форм углерода, в том числе имеющих кристаллические решетки, аналогичные графиту, металлов, оксидов металлов и других химических элементов, например серы, хлора и т.д. Частицы примесей могут иметь размеры в нанодиапазоне, поэтому для определения чистоты наноматериала измерения следует выполнять при большом и малом полях зрения ПЭМ. Дополнительная информация представлена в приложении А (см. рисунки А.1, А.2).
В протоколе регистрируют общие сведения о чистоте наноматериала с указанием всех составляющих его компонентов, отличных от ОУНТ, и указывают их место расположения на соответствующих изображениях. Также в протоколе регистрируют сведения о наличии и месте расположения случайных частиц и/или других загрязнений, попавших на пробу в процессе подготовки или при хранении, и прикладывают соответствующие изображения.
7.2.3 Определение наличия и химического состава примесей в наноматериале
По результатам анализа изображений ПЭМ и ПРЭМ получают информацию о наличии в наноматериале углеродных примесей. Информацию о наличии в наноматериале неуглеродных примесей, например металлов, частиц катализатора и других, получают по результатам анализа темнопольных изображений. Информацию о наличии в наноматериале конкретных неуглеродных примесей получают по результатам измерений методом ЭДРС или методом ЭДРС в сочетании с СХПЭЭ. По возможности в процессе измерений регистрируют кристаллографические данные с целью определения характеристик компонентов, присутствующих в наноматериале. Дополнительная информация представлена в приложении А (см. рисунки А.1, А.2).
В протоколе регистрируют сведения о наличии, морфологии и характеристиках примесей, содержащихся в наноматериале, и указывают их место расположения на соответствующих изображениях. Также в протоколе регистрируют сведения о наличии и месте расположения случайных частиц и/или других загрязнений, попавших на пробу в процессе подготовки или при хранении, и прикладывают соответствующие изображения.
7.2.4 Определение характеристик, ориентации и морфологии упаковки пучков ОУНТ
Как правило, ОУНТ в наноматериале представлены в виде пучков. На полученных изображениях пучки ОУНТ выглядят как параллельные темные полосы. Расстояние между соседними полосами, как правило, больше, чем расстояние между соседними слоями графена, например 0,334 нм. После того как подтверждено наличие ОУНТ в пучке, определяют толщину пучка. В зависимости от ориентации пучка и морфологии упаковки ОУНТ определяют плотность упаковки, при этом пучок должен быть расположен перпендикулярно к плоскости объективной линзы ПЭМ. Дополнительная информация приведена в приложении А (см. рисунок А.4). С целью получения более точных результатов при испытании наноматериала, содержащего пучки ОУНТ большой толщины, измерения выполняют при большом поле зрения ПРЭМ.
В протоколе регистрируют информацию о характеристиках, ориентации и морфологии упаковки пучков ОУНТ. Для всех описываемых характеристик наноматериала в протокол включают соответствующие изображения с указанием их места расположения.
7.2.5 Определение качества одностенных углеродных нанотрубок
Идеальная ОУНТ представляет собой свернутый в бесшовный цилиндр слой графена. При нарушениях или помехах, возникающих в процессе изготовления наноматериала, может происходить прерывание роста ОУНТ и появление точечных дефектов в ее структуре. Особенности структуры ОУНТ определяют при максимальном значении увеличения ПЭМ. Дефектом ОУНТ является место, в котором произошло прерывание слоя графена вдоль оси волокна. Такие дефекты называют "изгиб", если у ОУНТ непрямые боковые стенки, или "дырка", если в стенке ОУНТ отсутствуют атомы углерода. В месте изгиба происходит изменение хиральности ОУНТ. Отсутствие указанных дефектов свидетельствует о хорошем качестве ОУНТ.
Следует учитывать, что если в испытуемой пробе отсутствуют отдельные не образующие пучки ОУНТ, то определение особенностей дефектов структуры ОУНТ затруднено. На рисунке 1 приведено изображение ОУНТ (в центре) с дефектами структуры.
Примечание - Изображение получено в результате измерений при поле зрения ПЭМ 27 нм.

Рисунок 1 - Изображение ОУНТ (в центре) с дефектами структуры
На полученном изображении продемонстрированы следующие дефекты ОУНТ: неровные стенки с разрывами в нескольких местах, наличие двух посторонних объектов, прикрепленных к нижней стенке ОУНТ (объект овальной формы слева от центра изображения и бесформенный объект, расположенный справа от центра). Наличие нескольких изгибов вдоль длины ОУНТ свидетельствует о возможном неоднократном изменении ее хиральности. По результатам анализа данного изображения можно предположить наличие дырок в нескольких местах стенки ОУНТ. Для сравнения, на изображении можно наблюдать ровные и не имеющие дефектов участки стенки ОУНТ. Рекомендуется применять ПЭМ BP с коррекцией сферической аберрации с целью получения изображений атомов углерода в ОУНТ и более точной информации о дефектах ОУНТ.
В протоколе регистрируют информацию о характеристиках, ориентации и морфологии упаковки пучков ОУНТ. Для всех описываемых характеристик наноматериала в протокол включают соответствующие изображения с указанием их места расположения.
7.2.6 Определение распределения одностенных углеродных нанотрубок по размерам диаметров
Распределение ОУНТ по размерам диаметров определяют как отношение измеренных диаметров ОУНТ к числу ОУНТ с такими диаметрами.
На рисунке 2 приведена гистограмма стандартного распределения ОУНТ по размерам диаметров.

X - диаметр; Y - частота; 1 - максимальный диаметр; 2 - медианный диаметр; 3 - средний диаметр
Рисунок 2 - Гистограмма стандартного распределения ОУНТ по размерам диаметров
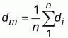
На рисунке 2 кривой и стрелками показаны параметры, необходимые для вычисления значения распределения ОУНТ по размерам диаметров, которые выражают численно и интерпретируют как результаты измерений. Максимальный диаметр - параметр, соответствующий максимальным значениям на кривой распределения. Медианный диаметр - параметр, соответствующий значениям на кривой распределения, указывающим на наличие в испытуемой пробе определенного числа ОУНТ с одинаковыми диаметрами большего и меньшего размера (относительно ОУНТ со средним диаметром). Как правило - средний диаметр, параметр, соответствующий среднему диаметру всех ОУНТ в испытуемой пробе. Средний диаметр ОУНТ d m, нм, вычисляют по формуле
,
где n - число ОУНТ;
d i - диаметр отдельной ОУНТ, нм.
Средний диаметр - среднее арифметическое значение, вычисляемое по результатам анализа изображений, полученных с применением ПЭМ, ПРЭМ или РЭМ. Результаты определения среднего диаметра ОУНТ зависят от примененного метода измерений. Если применяют другие методы измерений, то средний диаметр определяют как средневзвешенное по площади или объему значение. При сравнении этих данных с данными, полученными с применением ПЭМ или РЭМ, следует учитывать, что средневзвешенное по площади или по объему значение может быть больше, чем среднее арифметическое значение, если наблюдается широкое распределение ОУНТ по размерам диаметров.
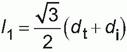
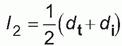
Как правило, в пучках происходит изгибание и скручивание отдельных ОУНТ. Если скручивание не слишком сильное, то при известном направлении наблюдения на основании периодичности дифракционных линий определяют параметры решетки. При скручивании пучка ОУНТ вокруг своей оси происходит постоянное изменение направления наблюдения и, следовательно, непрерывное изменение видимой линии решетки на изображении. На рисунке С.1 приведены условные изображения пучков ОУНТ, расположенных под разными углами относительно электронного пучка, на котором можно наблюдать четкую последовательность расстояний между линиями l 1, l 2. Параметр решетки а для решетки, образованной пучком ОУНТ, определяют путем измерения расстояний между разными линиями. По результатам таких измерений определяют средний диаметр ОУНТ в пределах пучка, при условии, что известно расстояние между ОУНТ.
Достоверным значением считают значение диаметра, измеренное на конце ОУНТ, расположенной параллельно электронному пучку. На рисунке А.4 приведено изображение поперечного сечения пучка ОУНТ в виде множества окружностей. Как правило, ОУНТ образуют пучки, которые расположены на поверхности ПЭМ-сетки. Если пучок ОУНТ расположен параллельно электронному пучку, то на изображении наблюдают периодическую решетку из темных окружностей с белыми точками в центрах. Данное изображение демонстрирует плотно гексагональную упаковку ОУНТ. Каждая темная окружность - это изображение атомного слоя спроецированной кромки ОУНТ. При анализе такого изображения определяют число ОУНТ и периодичность их расположения в пределах пучка. Отношение "один к одному" размеров темных окружностей и диаметров ОУНТ имеет место в том случае, если фокус близок к значению Шерцера. При отклонении фокуса от значения Шерцера на изображении наблюдают решетку из белых точек, расположенных в центрах ОУНТ. Следует учитывать, что если неизвестно точное положение фокуса, то определить точные размеры диаметров ОУНТ по анализу таких изображений невозможно.
Для получения точных и репрезентативных результатов следует измерять диаметры ОУНТ на нескольких изображениях и на множестве различных ОУНТ, выбранных случайным образом. Чем больше измерено диаметров ОУНТ, тем меньше неопределенность измерения.
Вычисляют среднее и стандартное отклонение. Далее определяют размеры диаметров дополнительных ОУНТ при условии, если относительное стандартное отклонение (отношение стандартного отклонения к среднему стандартному отклонению в процентах) менее 10 %. Требуемое число независимых измерений определяют как число, необходимое для удовлетворения данного критерия. Для получения репрезентативных результатов рекомендуется использовать для анализа несколько изображений различных частей пробы.
В протоколе регистрируют результаты измерений диаметров ОУНТ с оценкой их неопределенности, сведения о пучках ОУНТ, ориентации и морфологии упаковки пучков ОУНТ. Описывают и идентифицируют место расположения всех ОУНТ, использованных при расчетах. Для всех описываемых характеристик наноматериала в протокол включают соответствующие изображения с указанием их места расположения.
7.2.7 Определение хиральности отдельных односменных углеродных нанотрубок с методами просвечивающей электронной микроскопии высокого разрешения и локальной электронографии
Хиральность отдельных ОУНТ определяют по анализу изображений, полученных с применением ПЭМ BP с коррекцией сферической аберрации и методом локальной электронографии. С применением ПЭМ BP и компьютерного моделирования получают изображения компоновки атомов углерода в ОУНТ. Следует учитывать, что при получении изображений ОУНТ в пучках или ОУНТ с покрытием из аморфного углерода могут возникнуть трудности. Если ОУНТ имеют плотную гексагональную упаковку, при этом диаметры ОУНТ в наноматериале одинаковы, то нельзя утверждать, что хиральность всех ОУНТ одинакова. В таком случае хиральность ОУНТ определяют, используя соответствующие теоретические и геометрические методы (см. [13]).
Локальная электронография - метод, который применяют для получения данных о хиральности ОУНТ. Как правило, достоверные данные о хиральности можно получить у отдельных и прямых ОУНТ. Пучки ОУНТ и искривления вызывают наложение нескольких дифракционных картин на одном изображении, создавая значительные трудности при различении дифракционных картин отдельных ОУНТ.
В протоколе регистрируют результаты определения хиральности всех репрезентативных ОУНТ и прикладывают изображения с указанием их места расположения.
В протокол включают репрезентативные изображения всех анализируемых частей пробы, полученные при энергиях рентгеновского излучения от 0 до 20 кэВ (см. таблицу 1). В протоколе приводят перечень всех выявленных химических элементов, регистрируют наличие сигналов, источником которых может быть подложка. Если требуется, в протокол включают сводную таблицу данных полуколичественного анализа с указанием массовой доли каждого выявленного химического элемента и его атомного номера, а также средние значения, стандартное отклонение и относительное стандартное отклонение. В протоколе регистрируют сведения о наличии, морфологии и характеристиках примесей, содержащихся в наноматериале, и указывают их место расположения на соответствующих изображениях, полученных с применением ПРЭМ. Также в протоколе регистрируют сведения о наличии и месте расположения случайных частиц и/или других загрязнений, попавших на пробу в процессе подготовки или при хранении, и прикладывают соответствующие изображения.
Примечание - Дополнительная информация о применении метода ЭДРС для определения характеристик наноматериала приведена в ПНСТ 508-2020 (ISO/TS 10798).
Приложение А
(справочное)
А.1 Определение чистоты наноматериала
Подготовку проб наноматериала для метода ПЭМ выполняют следующим образом. Пробу неочищенного наноматериала массой примерно 0,01 мг помещают в сосуд, добавляют 10 мл безводного пропанола-2 и проводят обработку в ультразвуковой ванне в течение 30 с. После обработки получают суспензию светло-серого цвета. Далее каплю полученной суспензии наносят на поддерживающую подложку/медную ПЭМ-сетку (200 меш) и высушивают при комнатной температуре.
Для измерений применяют ПЭМ с автоэмиссионной электронной пушкой. Устанавливают рабочий режим в соответствии с инструкцией по эксплуатации ПЭМ. Ускоряющее напряжение ПЭМ должно быть 200 кВ (накоплены статистические данные, что при значениях ускоряющего напряжения 80 кВ, 60 кВ и менее также можно получить требуемые результаты). Пробу помещают в вакуумную систему ПЭМ. Сначала выполняют измерения при большом поле зрения ПЭМ. Затем для выполнения измерений с высоким разрешением увеличение ПЭМ доводят от 100 000 до 150 000 крат. Выполняют регистрацию изображений. По результатам анализа изображений определяют чистоту наноматериала.
На рисунке А.1 приведены изображения наноматериала, полученные в результате измерений при большом поле зрения ПЭМ.
Примечание - Изображения наноматериала получены в результате измерений при поле зрения ПЭМ 542 нм.

Рисунок А.1 - Изображения наноматериала, полученные в результате измерений при большом поле зрения ПЭМ
На изображениях (см. рисунок А.1) представлены похожие на волокна объекты, состоящие из параллельных полос, являющиеся пучками ОУНТ, и другие объекты, отличные от пучков ОУНТ. На изображениях А и D представлены большие области аморфного вещества, которое перекрывает пучки ОУНТ и может являться остатками катализатора или аморфным углеродом. Крупные частицы металла правильной гексагональной формы представлены на изображениях во многих местах, в том числе на пучках ОУНТ и аморфном веществе (см. изображение В). На изображении С в некоторых местах можно наблюдать графит в виде наностержней. Толщина пучков ОУНТ составляет от 5 до 40 нм. На изображениях представлены отдельные ОУНТ, но доля их незначительна по сравнению с долей ОУНТ, образующих пучки.
На рисунке А.2 приведены изображения наноматериала, полученные в результате измерений при малом поле зрения ПЭМ.
Примечание - Изображение, расположенное слева, получено в результате измерений при поле зрения ПЭМ 177 нм. Изображение, расположенное справа, получено в результате измерений при поле зрения ПЭМ 60 нм.

Рисунок А.2 - Изображения наноматериала, полученные в результате измерений при малом поле зрения ПЭМ
На изображениях, полученных в результате измерений при малом поле зрения ПЭМ представлены похожие на волокна пучки, состоящие из ОУНТ диаметрами от 1 до 2 нм. На поверхностях пучков расположены очень мелкие частицы металла или карбида металла, которые не видны при минимальном значении увеличения ПЭМ.
Таким образом, испытуемая проба содержит ОУНТ, в основном образующие пучки, и следующие примеси: крупные и мелкие частицы металла или карбида металла, аморфное вещество и графит в виде наностержней. При выполнении измерений методом ЭДРС в испытуемой пробе может быть выявлено наличие железа, молибдена, магния и меди, которые могут являться материалами ПЭМ-сетки.
А.2 Определение распределения одностенных углеродных нанотрубок по размерам диаметров
ПЭМ применяют для определения диаметров ОУНТ. Следует учитывать, что ОУНТ в наноматериале представлены, как правило, в виде пучков, поэтому определить диаметр каждой ОУНТ в пучке, расположенном параллельно подложке, достаточно сложно. Если треугольная решетка упорядоченного пучка ОУНТ расположена определенным образом относительно электронного пучка, то расстояние между линиями l (l 1 или l 2), наблюдаемыми на изображении, полученном с применением ПЭМ (см. рисунок С.1), вычисляют по формуле

(А.1)
или
,
(А.2)
где d t - диаметр ОУНТ, нм;
d i - расстояние между стенками соседних ОУНТ, удерживаемых в пучке силами взаимодействия Ван-дер-Ваальса, нм.
На рисунке А.3 приведено изображение одного и того же пучка ОУНТ под углом 0° и 30° относительно своей оси соответственно.
Примечание - Изображения получены в результате измерений при поле зрения ПЭМ 16 нм.

Рисунок А.3 - Изображение одного и того же пучка ОУНТ под углом 0° и 30° относительно своей оси
Расстояние между линиями вычисляют по формуле (А.1) или (А.2) (см. [14]). Если проба не содержит множества хорошо разделенных между собой отдельных ОУНТ, то получить точные и достоверные результаты при определении распределения ОУНТ по размерам диаметров в наноматериале методом ПЭМ невозможно.
Если пучок ОУНТ расположен относительно фокальной плоскости ПЭМ так, что нанотрубки параллельны электронному пучку, то получают изображение поперечного сечения пучка ОУНТ в виде множества окружностей (см. [15]). На рисунке А.4 приведено изображение поперечного сечения пучка ОУНТ в виде множества окружностей.
Примечание - Изображения получены в результате измерений при поле зрения ПЭМ 43 нм.

Рисунок А.4 - Изображение поперечного сечения пучка ОУНТ в виде множества окружностей
При анализе таких изображений можно легко различать ОУНТ и определить размеры диаметров большого числа ОУНТ с требуемой достоверностью. С целью получения таких изображений ОУНТ отбор и подготовку проб наноматериала рекомендуется выполнять методом, приведенным ниже.
Небольшое количество неочищенного наноматериала в форме порошка помещают на поддерживающую подложку, расположенную на куске ткани. С целью прочного закрепления пробы на подложке добавляют каплю метанола. При такой обработке ОУНТ сжимаются под действием капиллярных сил и после высыхания растворителя ОУНТ прилипают к подложке. При этом пучки ОУНТ по краям заворачиваются, образуя петли. Большинство этих петель расположены в плоскости или под некоторым углом относительно электронного пучка, небольшая часть петель, как правило, параллельна электронному пучку. Если невозможно получить такой результат расположения петель относительно электронного пучка, то подложку с пробой следует наклонить так, чтобы добиться нужного результата. Выполняют измерения. Размеры диаметров ОУНТ определяют посредством наложения окружностей на полученное изображение поперечного сечения пучка ОУНТ до достижения наилучшего соответствия. Наилучшее соответствие диаметров ОУНТ и окружностей определяют визуально. Для определения размеров диаметров ОУНТ применяют соответствующее программное обеспечение (см. [14]-[18]). На рисунке А.5 приведены результаты определения распределения ОУНТ по размерам диаметров в наноматериале, изготовленном методом лазерной абляции, полученные указанным методом (см. [14]).

X - диаметры ОУНТ, нм; 1 - наноматериал, 10 см
Рисунок А.5 - Результаты определения распределения ОУНТ по размерам диаметров в наноматериале, изготовленном методом лазерной абляции
В примере, приведенном на рисунке А.5, продемонстрировано равномерное распределение ОУНТ по размерам диаметров в наноматериале, изготовленном методом лазерной абляции. При выполнении измерений на пробах наноматериала, изготовленного методом химического осаждения из газовой фазы (ХОГФ), получают изображения отдельных ОУНТ и пучков, содержащих небольшое число ОУНТ. На рисунке А.6 приведено изображение наноматериала, изготовленного методом ХОГФ.
Примечание - Изображение, расположенное вверху слева, получено в результате измерений при поле зрения ПЭМ 1,8 мкм, изображение, расположенное вверху справа, - при поле зрения ПЭМ 109 нм, изображения, расположенные снизу, - при поле зрения ПЭМ 145 нм.

Рисунок А.6 - Изображение наноматериала, изготовленного методом ХОГФ
Данные результаты свидетельствуют о больших значениях распределения ОУНТ по размерам диаметров и хиральности. В таком наноматериале большинство ОУНТ представлены в виде отдельных нанотрубок и хорошо различимы на изображении, поэтому трудности при анализе изображений, связанные с перекрытием или скручиванием ОУНТ внутри пучка, минимальны. На рисунке А.7 приведены результаты определения распределения ОУНТ по размерам диаметров в наноматериале, изготовленном методом ХОГФ.

X - диаметры ОУНТ, нм; Y - число ОУНТ, %
Рисунок А.7 - Результаты определения распределения ОУНТ по размерам диаметров в наноматериале, изготовленном методом ХОГФ
Приложение В
(справочное)
В.1 Подготовка проб
В.1.1 Материалы поддерживающей подложки на сетке просвечивающего электронного микроскопа для проб наноматериала
Для подготовки проб и выполнения измерений следует выбирать ПЭМ-сетку в зависимости от испытуемого наноматериала и цели испытаний. Для ПЭМ-сетки в качестве поддерживающей подложки для проб рекомендуется применять пористую или перфорированную пленку из аморфного углерода. Наличие поддерживающей подложки на ПЭМ-сетке обеспечивает более удобное выполнение операций по настройке ПЭМ, в том числе коррекцию астигматизма объективной линзы, прочное закрепление испытуемой пробы в форме порошка при выполнении измерений и возможность получать изображения отдельных частей пробы без фона, находящихся в "чистых" зонах (то есть в отверстиях пленки). При этом следует учитывать следующие недостатки: возможность дрейфа системы формирования изображений ПЭМ и хрупкость углеродной пленки. Как правило, скорость дрейфа достаточно мала и незначительно влияет на разрешение формируемых изображений. Следует учитывать, что некоторые части пробы будут расположены на поверхности аморфного углерода, ухудшая таким образом контраст изображения. Для увеличения контраста при необходимости получения изображений с высоким разрешением допускается применять в качестве поддерживающей подложки для пробы на ПЭМ-сетке пленки из неорганических материалов.
В.1.2 Подготовка проб в форме нанокомпозита
Одной из основных областей применения наноматериала является его использование при изготовлении композиционных материалов с заданными свойствами. Следует учитывать, что информации, полученной в результате измерений на пробах в форме нанокомпозита, может быть недостаточно для определения некоторых характеристик наноматериала. При подготовке проб в форме нанокомпозита применяют процессы резания и деформирования наноматериала, в результате которых происходит изменение исходных характеристик ОУНТ, в том числе структурных. Метод подготовки проб в форме нанокомпозита используют в том случае, если не требуется информации о следующих исходных данных: структуре ОУНТ, состоянии агрегации, распределении ОУНТ по длине. При подготовке проб в форме нанокомпозита следует применять ультрамикротом с алмазным ножом.
В.2 Конструктивные элементы просвечивающего электронного микроскопа
В.2.1 Источник электронов
В ПЭМ и ПРЭМ используют электронные пушки с термоэмиссионными и автоэмиссионными источниками электронов. Термоэмиссионным источником в электронной пушке является катод, генерирующий электроны под действием высокой температуры, автоэмиссионным источником - катод, генерирующий электроны под действием интенсивного электрического поля. Следует учитывать, что электроны, генерируемые автоэмиссионным источником, являются в большей степени моноэнергетическими, чем электроны, генерируемые термоэмиссионным источником. Характеристики электронного пучка зависят от типа источника электронов и конструкции пушки. Основные параметры, влияющие на характеристики электронного пучка: работа выхода, рабочая температура, плотность тока эмиссии, размер кроссовера, яркость, разброс электронов по энергиям, стабильность источника электронов, параметры рабочего вакуума и срок эксплуатации источника электронов.
Наиболее распространенными источниками электронов в термоэмиссионных электронных пушках ПЭМ являются катоды из вольфрама и гексаборида лантана (LaB 6). Катод из вольфрама по сравнению с катодом из гексаборида лантана обладает рядом преимуществ - при невысокой стоимости это прочный, легкозаменяемый, эксплуатируемый при более низких значениях рабочего вакуума источник электронов. ПЭМ, оснащенный электронной пушкой с катодом из вольфрама, рекомендуется применять для выполнения рутинных операций по определению характеристик наноматериала, в том числе для получения предварительной информации о чистоте наноматериала. Электронная пушка с катодом из гексаборида лантана по сравнению с электронной пушкой с катодом из вольфрама обеспечивает лучшую разрешающую способность ПЭМ, имеет лучшие характеристики плотности тока эмиссии и яркости, более длительный срок эксплуатации источника электронов. ПЭМ, оснащенный электронной пушкой с катодом из гексаборида лантана, рекомендуется применять для определения чистоты наноматериала.
Автоэмиссионный источник генерирует пучок высокой интенсивности с низким разбросом электронов по энергиям. Следует учитывать, что при применении ПЭМ с автоэмиссионной электронной пушкой для рутинных операций по определению чистоты наноматериала можно получать изображения только небольших участков испытуемого образца.
Автоэмиссионная электронная пушка обеспечивает лучшую по сравнению с термоэмиссионной электронной пушкой разрешающую способность ПЭМ и возможность его работы в специальных режимах, например ПРЭМ или электронной голографии, а также лучшее разрешение при определении химического состава примесей в наноматериале методом СХПЭЭ.
В.2.2 Конденсаторные линзы
Конденсаторные линзы, расположенные между электронной пушкой и предметной плоскостью, предназначены для фокусировки электронного пучка, выходящего из электронной пушки и освещающего образец, в соответствии с заданными параметрами, необходимыми для формирования и регистрации изображений. С целью предотвращения избыточного нагрева при выполнении большинства рутинных операций конденсаторные линзы должны быть настроены на рассеяние электронного пучка (несфокусированный кроссовер).
Назначение конденсаторных линз, расположенных между электронной пушкой и предметной плоскостью, заключается в фокусировании электронного пучка, выходящего из электронной пушки, на пробе для обеспечения оптимальных условий освещения, требуемых для формирования и регистрации изображения. Во время большинства рутинных операций, конденсаторные линзы должны быть настроены так, чтобы рассеивать электронный пучок (не сфокусированный на кроссовере) для предотвращения избыточного нагрева.
В.2.3 Объективная линза и предметный столик микроскопа
Изображающая система ПЭМ включает объективную, промежуточные и проекционную линзы. Объективная линза является одним из основных конструктивных элементов ПЭМ, так как от параметров объективной линзы зависит разрешение и контраст формируемого изображения. Объективная линза формирует первое увеличенное изображение образца, которое далее увеличивается промежуточными линзами.
Аберрация, сформированная объективной линзой, далее увеличивается проекционной линзой и фиксируется регистрирующей системой. Промежуточные и проекционная линзы не вносят существенных погрешностей в формируемое изображение (за исключением случаев выполнения измерений при минимальных значениях увеличения), так как значение апертуры электронного пучка, проходящего сквозь проекционную линзу, настолько мало, что сферическую аберрацию не учитывают. При выполнении измерений при минимальных значениях увеличения (менее 10 000 крат) могут возникнуть подушкообразные, бочкообразные и анизотропные искажения вследствие того, что на проекционную линзу попадает большой участок изображения, сформированного промежуточными линзами.
Объективная линза формирует на относительно большом расстоянии увеличенное изображение объекта, помещенного на предметном столике вблизи передней фокальной плоскости. Так как исследуемый объект расположен вблизи передней фокальной плоскости объективной линзы, то лучи, выходящие из одной и той же точки, почти параллельны, покидая линзу (пренебрежимо малая сферическая аберрация), и соединяются в плоскости изображения на относительно большом расстоянии за линзой. В отсутствие апертуры объектива, электроны, рассеянные с углами, гораздо большими, чем эффективная апертура, достигают плоскости изображения так далеко от надлежащей точки изображения, что образуют фоновый "туман". Поэтому область на объективе с относительно высокой способностью рассеивания будет значительно более темной, чем ее окружение на изображении, при том, что поглощением можно пренебречь. Блокировка интенсивности за пределами апертуры помогает улучшить контраст изображения.
В.2.4 Проекционная линза
Проекционная линза является одним из элементов изображающей системы ПЭМ, в которую также входят объективная линза и промежуточные линзы. Проекционная линза формирует увеличенное конечное изображение испытуемого объекта, которое можно наблюдать на экране ПЭМ.
В.2.5 Экран и регистрирующая система просвечивающего электронного микроскопа
Экран ПЭМ, как правило, покрывают фосфоресцирующим материалом, например сульфидом цинка (ZnS), с целью создания изображений в зеленом цвете, удобном для зрительного восприятия человека (спектральная чувствительность глаза человека максимальна для зеленого света с длиной волны примерно 550 нм). С помощью фотокамеры ПЭМ осуществляют регистрацию изображения с заданным разрешением на фотопленку (фотопластинку). Как правило, современные ПЭМ оснащены двумерным матричным электронным устройством регистрации (например, CCD камерой), формирующим цифровые изображения, которые далее выводят на экран монитора и записывают в память компьютера виде файла изображения.
В.2.6 Аберрации линз и факторы, влияющие на их возникновение
В ПЭМ применяют стеклянные, электростатические и магнитные линзы, в которых в разной степени возникают аберрации следующих видов: сферическая аберрация, дисторсия, кривизна поля, астигматизм и кома. Магнитным линзам из-за эффекта вращения электронов в магнитных полях также свойственны анизотропные дисторсия, астигматизм и кома. В линзах ПЭМ также могут возникать хроматическая аберрация, хроматическая аберрация, вызванная вращением плоскости поляризации, и дисторсия, вызванная пространственным зарядом.
Сферическая аберрация - один из основных факторов, влияющих на разрешающую способность ПЭМ. Сферическая аберрация возникает из-за несовпадения фокусов для лучей, проходящих на разных расстояниях от оптической оси, вследствие чего электронные лучи, проходящие через какую-нибудь точку испытуемого объекта, не пересекаются в соответствующей точке изображения в плоскости изображения.
Дисторсия - один из видов сферической аберрации. Как правило, дисторсия возникает в проекционной линзе, формирующей увеличенное конечное изображение испытуемого объекта (изображение, сформированное объективной и промежуточными линзами). Дисторсия характеризуется тем, что лучи от каждой точки объекта соединяются в "изображение" в соответствующих точках плоскости изображения, при этом происходит изменение увеличения в пределах плоскости изображения.
Хроматическая аберрация возникает вследствие того, что электроны с различной длиной волны (скоростью), проходя через испытуемый объект, не фокусируются в одной и той же точке плоскости изображения. При возникновении сферической и/или хроматической аберраций происходит ухудшение разрешающей способности ПЭМ. При выполнении измерений следует учитывать, что чем меньше толщина испытуемого объекта, тем меньше возможность возникновения хроматической аберрации. При прохождении электронного пучка через объект толщиной менее 100-200 нм происходит минимальное поглощение пучка. При поглощении электрон теряет всю свою энергию. Электроны, которые теряют часть своей энергии, относят к неупруго рассеянным, электроны, которые не теряют свою энергию, - к упруго рассеянным.
Степень рассеяния электронов в конкретной точке объекта зависит от его плотности и толщины и относительно независима от атомного числа, химического состава или других свойств материала испытуемого объекта. Рассеяние электронов в конкретной части объекта прямо пропорционально его поверхностной плотности. Поверхностная плотность - отношение массы объекта к площади его поверхности. Поверхностную плотность также можно определить путем умножения плотности испытуемого объекта на его толщину. Следует учитывать, что чем больше значение поверхностной плотности объекта, тем больше степень рассеяния электронов. Электрон, проходящий вблизи ядра атома испытуемого объекта, притягивается в направлении положительного заряда. Движение электрона вблизи ядра атома происходит по гиперболической траектории, далее - по прямой линии под некоторым углом относительно первоначальной траектории. Чем ближе электрон к ядру атома объекта, тем сильнее его притягивает к положительному заряду, и, следовательно, далее при движении происходит отклонение его траектории на больший угол. При этом скорость движения электрона достаточна для того, чтобы не произошел его захват ядром атома испытуемого объекта. Угол отклонения траектории упруго рассеянных электронов составляет примерно 10 -2 рад. На траектории движения электронов пучка вблизи электронов атома объекта оказывают влияние силы отталкивания. Чем ближе электрон пучка к электрону атома объекта, тем больше угол отклонения траектории электрона пучка. В случае электростатических взаимодействий и столкновений между электронами пучка и электронами атома объекта, электрон пучка, как правило, теряет энергию, то есть происходит уменьшение его скорости и увеличение длины волны. При прохождении через испытуемый объект толщиной менее 100 нм и однократном рассеянии значения потери энергии электронами составляет, как правило, от 10 до 20 эВ, угол отклонения траектории электронов пучка составляет примерно 10 -4 рад, вследствие чего почти все электроны проходят через отверстие апертурной диафрагмы.
Пропорциональная потеря энергии электронами вследствие неупругих столкновений соответствует колебаниям ускоряющего напряжения в диапазоне от 10 4 до 10 5 при однократном рассеянии. Таким образом, изменение длины волны электрона при однократном рассеянии несущественно. При выполнении измерений следует учитывать, что чем больше толщина испытуемый пробы, тем выше возможность многократных рассеяний электронов при прохождении через пробу и вероятность возникновения существенных хроматических аберраций.
Астигматизм - один из видов аберраций. Астигматизм проявляется в виде нарушения осевой симметрии линзы и характеризуется зависимостью углов преломления лучей пучка от углов их падения. Изготовить линзы с высокой степенью осевой симметрии достаточно сложно. Астигматизм возникает из-за недостатков в изготовлении линз или вследствие наличия неоднородностей в мягком железе полюсных наконечников. Астигматизм можно устранить, используя стигматоры. Стигматор - электронно-оптический элемент ПЭМ, предназначенный для исправления приосевого астигматизма.
В.2.7 Формирование фазово-контрастных изображений
Контраст изображения зависит от свойств и степени взаимодействия между электронным пучком и испытуемой пробой, характеристик материала пробы и параметров ПЭМ. Контраст изображения - отношение яркости некоторой точки изображения к яркости рядом расположенного фона.
Как правило, понятие "фазово-контрастное изображение" является синонимом понятия "изображение, полученное с применением ПЭМ ВР". Формирование фазово-контрастных изображений происходит в ПЭМ при минимальных значениях увеличения. Фазово-контрастные изображения в ПЭМ формируют не менее двух электронных пучков. При выполнении измерений следует учитывать, что формирование фазово-контрастного изображения происходит в зависимости от периодичности кристаллической структуры испытуемого материала.
Примечание - Изображение с "контрастом Френеля" возникает в результате фазового контраста. Интерференционные полосы Френеля являются следствием фазового контраста, который возникает за счет интерференции рассеянных электронов с нерассеянными электронами. Изображение, как правило, изменяется с небольшими вариациями в зависимости от толщины, ориентации или коэффициента рассеяния испытуемой пробы, фокусирования или астигматизма объективной линзы. Следует учитывать, что при анализе изображений пробы материала с кристаллической структурой возможно получение неточных и недостоверных результатов. В связи с этим требуется более тщательно выполнять измерения на пробах большой толщины или в расфокусированной области. Вследствие более высокой когерентности полосы Френеля сильнее выражены в ПЭМ, оснащенном электронной пушкой с автоэмиссионным источником электронов, по сравнению с ПЭМ, оснащенном электронной пушкой с термоэмиссионным источником электронов.
В.3 Дополнительные режимы просвечивающего электронного микроскопа
В.3.1 Энергодисперсионная рентгеновская спектрометрия
При взаимодействии высокоэнергетических электронов с испытуемым объектом происходит испускание электромагнитного излучения (в виде рентгеновских лучей и видимого света). Применяют два источника индуцированного электронами электромагнитного излучения. В первом источнике излучение возникает вследствие потери энергии, переданной от бомбардирующего электрона к наиболее удаленной электронной оболочке атомов испытуемого объекта, вследствие замедления скорости электрона при прохождении через объект. Данная энергия снова появляется в виде кванта мягкого рентгеновского излучения. Так как процесс замедления непрерывный, а не ступенчатый, то испускается непрерывный или "белый" спектр мягкого рентгеновского излучения. Длины волн испускаемых рентгеновских лучей находятся в диапазоне от 10 до 100 нм.
При увеличении энергии бомбардирующих электронов более 1 кэВ электроны могут взаимодействовать с внутренними оболочками атомов испытуемого объекта. При этом орбитальный электрон переходит с оболочки более низкого энергетического уровня на оболочку более высокого энергетического уровня. Когда электрон падает обратно, то испускается квант энергии в виде "жесткого" или коротковолнового рентгеновского излучения. Переходы электронов от одной оболочки к другой предполагают точные кванты энергии, поэтому испускаемое рентгеновское излучение является прецизионной характеристикой длины волны или энергии. Так как энергии переходов электронов разные для атомов различных химических элементов, то испускаемые длины волн являются характеристиками атомов конкретного химического элемента. Измеряя длины волн или энергии испускаемых рентгеновских лучей с применением ЭДРС, выполняют качественный анализ атомов испытуемого наноматериала. Если измерить относительную интенсивность рентгеновского излучения, соответствующего атомам конкретного химического элемента, то можно выполнить количественный анализ испытуемого наноматериала.
ЭДРС применяют в режиме точечного анализа или в режиме сканирования. ЭДРС в режиме точечного анализа применяют для выполнения измерений на пробах малого объема. ЭДРС в режиме сканирования настраивают на рентгеновскую спектральную линию или на энергию, соответствующую выбранному химическому элементу, зондирующим пучком выполняют сканирование по растру в требуемой части пробы. Компьютеризированной системой сбора данных одновременно генерируется, отображается и записывается информация в виде изображения "карты" пробы в "свете" выбранного химического элемента. Затем настраивают электронную пушку таким образом, чтобы получить освещающий с широким углом пучок. Далее в ПЭМ происходит формирование и регистрация изображений обычным способом. Затем два полученных изображения накладывают друг на друга. По полученному изображению определяют распределение интересующего химического элемента в испытуемом наноматериале.
Пределы обнаружения химических элементов (от бериллия до урана) - объекты диаметрами от 100 до 200 нм, количество химических элементов - от 10 -14 до 10 -19 г. Вследствие бокового рассеяния электронного пучка при прохождении через испытуемую пробу рентгеновское излучение генерируется от большего объема пробы, чем можно ожидать исходя из размеров пятна зонда. Методы РЭМ и ПЭМ рекомендуется применять в сочетании с методом ЭДРС.
В.3.2 Темнопольный режим просвечивающего электронного микроскопа
Светлопольное изображение в ПЭМ формируют электронные пучки, содержащие электроны, не рассеянные в испытуемой пробе, соединенные с электронами, рассеянными в пределах апертурного угла объективной линзы. Темные области на изображении возникают вследствие наличия в пробе зон, которые рассеивают электроны по ширине и в пределах апертурного угла объективной линзы ПЭМ. Если нерассеянные электроны удалены, то изображение формируется только в рассеянных электронах (тех, которые взаимодействуют с пробой), т.е. формируется темнопольное изображение. Данный режим формирования изображений ПЭМ называют "темнопольным", так как проекционный экран остается темным, за исключением зон пробы, в которых происходит рассеивание электронов. Темнопольные изображения, как правило, имеют значительно больший контраст по сравнению с светлопольными изображениями, при этом интенсивность уменьшается, вследствие чего требуется более длительная фотографическая экспозиция.
Преимущество темнопольного режима ПЭМ заключается в том, что при выполнении измерений на материалах с кристаллической структурой можно выбрать конкретные дифракционные пятна для формирования темнопольного изображения только в электронах, рассеянных плоскостями кристаллов. Таким образом, с применением темнопольного режима ПЭМ выявляют мелкие частицы, недоступные для анализа в других режимах ПЭМ. При этом следует учитывать сложности, возникающие при фокусировании и коррекции астигматизма вследствие отсутствия фазового контраста. Апертура диафрагмы объективной линзы пропускает небольшую часть рассеянного пучка, при этом яркость изображения очень низкая и необходима более длительная экспозиция для получения изображений требуемого качества. В результате испытуемая проба подвергается большим уровням радиационного воздействия, что приводит к ее повреждению.
При выполнении измерений методом ПЭМ с применением кольцевого темнопольного детектора (КТД) или ВУКТД в режиме ПРЭМ контраст формируемых изображений основан на различиях атомных номеров химических элементов в наноматериале. Указанный метод наиболее эффективен при сборе информации о характеристиках испытуемого наноматериала, т.к. при его применении будет учтено наличие частиц очень малых размеров, которые ориентированы так, что при традиционном темнопольном режиме ПЭМ у них имеются только отражения за пределами апертурного угла объективной линзы. Данным методом получают информацию о наличии в наноматериале металлических частиц очень малых размеров, которые невозможно обнаружить при применении других режимов ПЭМ.
В.3.3 Локальная электронография
Методом локальной электронографии выполняют калибровку масштаба ПЭМ с помощью дифракционной картины, полученной от материалов с известными параметрами кристаллической решетки. Для этого вычисляют постоянную камеры Lλ, (где L - длина камеры, выраженная в миллиметрах, и λ - длина волны электронного пучка, выраженная в нанометрах). Другой параметр - расстояние между прямыми и дифрагированными пучками, измеренное на экране ПЭМ или на изображении, R, выраженное в миллиметрах. Если известна постоянная камеры, то путем измерения R можно вычислить расстояние d в кристалле, выраженное в нанометрах, используя формулы:
,
(В.1)
из уравнения Брэгга,
,
(В.2)
следовательно,
Rd=λL,
(В.3)
где L - длина камеры, мм;
R - расстояние между прямыми и дифрагированными пучками, измеренное на экране ПЭМ или на изображении, мм;
λ - длина волны электронного пучка, нм;
d - расстояние между плоскостями в кристалле, нм;
θ - угол дифракции в градусах.
Следует учитывать, что когда значение ускоряющего напряжения уменьшается (а значение λ возрастает), то масштаб дифракционной картины увеличивается.
Если геометрические параметры измерительной системы и длина волны электронного пучка известны, то можно вычислить постоянную камеры и расстояние между плоскостями в кристалле на основе измерений пятен или колец на дифракционной картине. Прямыми измерениями сложно точно определить длину волны электронного пучка, при этом следует учитывать, что длина волны может изменяться с течением времени. Как правило, невозможно измерить высокое напряжение с достаточной точностью, чтобы вычислить длину волны. Для калибровки ПЭМ применяют дифрагирующий материала с известной структурой. Так как постоянная камеры одновременно зависит от токов объективной линзы и положения испытуемой пробы, то калибровочную дифракционную картину можно получить в тот же момент, что и дифракционную картину испытуемой пробы. Как правило, это происходит вследствие испарения дифрагирующего материала с известной структурой на ПЭМ-сетке до или после нанесения испытуемой пробы.
Калибровку выполняют путем получения дифракционной картины испытуемой пробы, у которой значения d известны. Измеряя радиальные расстояния между пятнами, полученные с помощью дифрагированного пучка, например, порядков 1, 2 и 3, для некоторого числа известных значений d, определяют зависимость расстояний R от расстояния d.
Рекомендуется применять в качестве дифрагирующего материала золото, оксид магния и хлорид талия, т.к. методом локальной электронографии у этих материалов можно определить значения d с заданной точностью.
В.3.4 Спектроскопия характеристических потерь энергии электронами
Когда в ПЭМ электронный пучок проходит сквозь испытуемую пробу, то для каждой характеристической K-оболочки генерируется рентгеновский квант и имеется электрон, потерявший характеристическую энергию E kab. Измеряя потери энергии в ограниченной части пробы, можно получить данные о химическом составе испытуемого наноматериала.
Метод СХПЭЭ применяют к относительно тонким испытуемым пробам, пригодным для просвечивания, и легким химическим элементам (например, натрий). Термин "тонкий" означает достаточно тонкий для того, чтобы электроны претерпевали только одно неупругое рассеивание. Изображения, полученные с применением СХПЭЭ, можно использовать для определения потерь энергии электронами в химических элементах с высоким атомным номером. Изображения с применением СХПЭЭ получают с высокой степенью количественной точности и высоким пространственным разрешением в режиме энергетически отфильтрованного изображения.
Анализатор энергии, установленный в нижней части колонны ПЭМ под проекционным экраном, определяет спектр распределения энергий излученных электронов относительно первоначальной энергии пучка. Большая часть электронов в спектре располагаются в начальном пике нулевых потерь и в пиках потерь, относящихся к взаимодействиям с валентными электронами или электронами проводимости, до потерь примерно 50 эВ. На ионизационные границы атомов, у которых достигнуты энергии поглощения в рентгеновской области спектра, накладывается плавно снижающийся фон. По данным пикам определяют химический состав наноматериала.
Примечание - Информацию о химических связях, молекулярном строении и диэлектрической постоянной можно получить по результатам анализа кривых потерь энергии. Разрешающая способность спектрометра в отношении микроструктуры зависит от его конструкции и разброса энергии первичного электронного пучка. У термоэмиссионного источника разброс энергии первичного электронного пучка более широкий (1,5 эВ), чем у автоэмиссионного источника (0,3 эВ). Применяя фильтр энергетического спектра для улучшения разброса энергии первичного электронного пучка, можно дополнительно улучшить разрешающую способность измерительного оборудования.
Приложение С
(справочное)
С.1 Изображения, получаемые с применением просвечивающего электронного микроскопа высокого разрешения
Изображение ОУНТ, полученное с применением ПЭМ BP, - фазово-контрастное изображение атомов углерода ОУНТ, спроецированное на плоскость изображения, перпендикулярную к электронному пучку. По результатам анализа изображений можно получить информацию о характеристиках наноматериала, включая сведения о самоорганизации, числе и диаметрах ОУНТ. Указанные характеристики определяют по анализу изображений, полученных в результате измерений с применением ПЭМ в соответствии с методиками, аттестованными в установленном порядке.
Следует учитывать, что при применении в качестве поддерживающей подложки углеродной пленки можно получить изображения атомов углерода ОУНТ с низким контрастом. Для получения изображений с лучшим контрастом рекомендуется испытуемый наноматериал помещать на ПЭМ-сетку с поддерживающей подложкой из пористой или перфорированной пленки, так как наилучший контраст изображения получают при выполнении измерений на частях пробы, расположенных в зонах отверстий углеродной пленки.
Также возникают трудности при получении изображений ОУНТ, расположенных внутри аморфных материалов или перекрытых ими. К аморфным материалам относят материалы поддерживающей подложки для пробы на ПЭМ-сетке, остатки катализатора и различные формы углерода, отличные от ОУНТ. В данном случае следует учитывать, что сигнал от ОУНТ будет значительно слабее, чем сигнал от аморфных материалов.
На рисунке С.1 приведены условные изображения пучков ОУНТ, расположенных под разными углами относительно электронного пучка.

1 - электронный пучок; 2 - изображение пучков ОУНТ; d t - диаметр ОУНТ, нм; l (l 1 и l 2) - расстояние между линиями, наблюдаемыми на изображении, полученном с применением ПЭМ, нм
Рисунок С.1 - Условные изображения пучков ОУНТ, расположенных под разными углами относительно электронного пучка
Если на полученных изображениях пучок ОУНТ представлен в виде полос, расположенных на одинаковом расстоянии друг от друга, то пучок имеет упорядоченную гексагональную упаковку ОУНТ. Диаметры отдельных ОУНТ в пучке примерно одинаковы. Наличие на изображении изменений контраста полос, то есть ухудшение контраста и/или отсутствие изображений полос, свидетельствует об изгибе и скручивании пучка по аналогии с настоящим канатом. При изгибе и скручивании пучка происходит смещение ОУНТ внутри пучка и как следствие - его отклонение от гексагональной симметричности (см. рисунок С.1). Отсутствие полос на полученных изображениях также свидетельствует об отклонении от гексагональной симметричности.
Формирование изображений в ПЭМ зависит от расположения пучков ОУНТ и/или отдельных ОУНТ в пробе относительно падающего электронного пучка. Как правило, пучки ОУНТ и/или отдельные ОУНТ расположены в плоскости объективной линзы ПЭМ перпендикулярно к электронному пучку. В этом случае при анализе светлопольных изображений можно определить характеристики отдельных ОУНТ и/или пучков ОУНТ. На изображении ПЭМ BP отдельные ОУНТ представлены в виде темных и белых полос Френеля (две белые полосы - края отдельной ОУНТ). При анализе изображений ОУНТ, получаемых методами моделирования, также наблюдают аналогичные результаты. Как правило, расстояние между ОУНТ, d, зависит от диаметра ОУНТ, d t, при этом следует учитывать систематическую погрешность измерения. Следует учитывать, что на формирование изображения толщины и расположения темных полос относительно краев ОУНТ влияют настройки и дефокусировка ПЭМ. Допускается выполнять анализ изображений пучков ОУНТ, расположенных параллельно относительно падающего электронного пучка. Если пучок ОУНТ расположен перпендикулярно относительно электронного пучка, то на изображении пучок ОУНТ представлен в виде чередующихся полос. На изображениях, полученных методами моделирования, темные полосы, как правило, расположены в центре ряда ОУНТ или между ними в зависимости от дефокусировки (см. рисунок С.1).
Для получения и анализа изображений металлических примесей (частиц катализатора и подложки) в наноматериале рекомендуется выполнять измерения в светлопольном режиме ПЭМ при условии, что получаемые изображения будут иметь требуемый контраст. В этом случае металлические частицы считают остатками катализатора, применяемого при изготовлении наноматериала. Как правило, металлические частицы расположены на поверхностях пучков ОУНТ и на концах ОУНТ. В данном случае следует учитывать, что на изображениях, полученных при больших значениях увеличения, трудно обнаружить металлические примеси вследствие их размеров и ограниченного поля зрения ПЭМ. Для получения и анализа изображений металлических частиц (частиц металла, оксида или карбида металла) размером от 1 до 2 нм рекомендуется выполнять измерения в темнопольном режиме ПЭМ.
Аморфный углерод - материал неупорядоченной структуры. Следует учитывать, что изображения аморфного углерода по контрасту аналогичны изображениям углеродной пленки, применяемой в качестве поддерживающей подложки для пробы на ПЭМ-сетке, или графеновых стенок УНТ. Как правило, аморфный углерод расположен на поверхностях пучков ОУНТ и частиц катализатора. Также в наноматериале в зависимости от способов его изготовления и очистки могут присутствовать отличные от ОУНТ формы углерода, например, МУНТ, нановолокна, графеновые нанолуковицы и др. МУНТ - нанотрубка, состоящая из вложенных друг в друга слоев графена в форме цилиндрических трубок, расположенных вдоль продольной оси волокна. На изображениях ПЭМ BP слои графена в МУНТ представлены в виде параллельных темных полос, расстояние между соседними полосами составляет примерно 0,334 нм. Углеродное нановолокно - волокно, состоящее из многослойных структур графена, расположенных перпендикулярно к оси волокна, с различной морфологией, например в виде "рыбьего скелета". Графеновая нанолуковица - наночастица, образованная несколькими графеновыми сфероподобными концентрическими оболочками. Как правило, в наноматериале графеновые нанолуковицы присутствуют в виде отдельно расположенных объектов или оболочек металлических частиц.
С.2 Алгоритм определения характеристик наноматериала
Выполняют отбор и подготовку проб наноматериала. Далее характеристики наноматериала определяют в следующем порядке. На первом этапе выполняют измерения при минимальных значениях увеличения ПЭМ, например при 5 000-кратном увеличении. На данном этапе определяют характеристики крупных металлических примесей в наноматериале, выявляют наличие пучков ОУНТ. На полученных изображениях, как правило, пучки ОУНТ представлены в виде волокон, состоящих из параллельных и расположенных на одинаковом расстоянии друг от друга полос. С целью получения более точных результатов при определении химического состава примесей и количественных данных для оценки чистоты наноматериала дополнительно на данном этапе применяют методы ЭДРС и СХПЭЭ. На следующем этапе увеличение ПЭМ постепенно доводят до 400 000 крат и более, определяют характеристики ОУНТ и пучков ОУНТ, наличие и характеристики других форм углерода и металлических примесей размером в нанодиапазоне. С целью получения более точных результатов дополнительно на данном этапе применяют методы ЭДРС и СХПЭЭ, при необходимости, выполняют анализ темнопольных изображений ПЭМ. На следующем этапе методами ПЭМ BP и локальной электронографии, при необходимости, определяют дополнительные характеристики интересующих объектов, содержащихся в наноматериале.
Если на первом этапе в испытуемой пробе не обнаружены крупные металлические примеси, то характеристики наноматериала определяют по анализу изображений заданного числа ОУНТ. Число ОУНТ, необходимое для анализа, должно быть оптимальным и определено в целях обеспечения релевантности и точности результатов.
На рисунке С.2 приведен алгоритм определения характеристик наноматериала.

Рисунок С.2 - Алгоритм определения характеристик наноматериала
Приложение D
(справочное)
D.1 Общие требования
При обработке результатов определения характеристик наноматериала, полученных методом ПЭМ, следует учитывать ряд воздействующих факторов. Подготовка проб для выполнения измерений методом ПЭМ - достаточно сложный и трудоемкий процесс, например, подготовка проб наноматериала в форме суспензии с заданными размерами толщины. Следует учитывать, что при подготовке образцов может произойти изменение структуры наноматериала, в том числе структуры ОУНТ, при ультразвуковой обработке - разъединение пучков и изменение длины ОУНТ. При анализе изображений, полученных при малом поле зрения ПЭМ, результаты могут быть неточными из-за вероятности того, что характеристики анализируемой части пробы могут не совпадать с характеристиками пробы в целом. Также следует учитывать, что при выполнении измерений может произойти повреждение наноматериала, в том числе ОУНТ, электронным пучком.
D.2 Помехи
При выполнении измерений следует учитывать возможные помехи, влияющие на работу ПЭМ и качество получаемых изображений, и по возможности, минимизировать эти помехи.
D.3 Загрязнения
При выполнении измерений с применением ПЭМ следует учитывать возможность возникновения астигматизма, дрейфа и ухудшения контраста вследствие загрязнения электронной оптической колонны, апертур и пробы материалами с низкой электрической проводимостью. Электрический заряд таких материалов происходит при их облучении рассеянными электронами, вследствие чего возникает электростатическое поле, напряженность которого может изменяться вследствие заряжения и разряжения загрязняющего материала. Источником таких загрязнений, как правило, являются летучие материалы, находящиеся внутри ПЭМ. Загрязняющее вещество, в зависимости от рабочих параметров, может медленно распространяться из колонны и оседать на испытуемой пробе. Для удаления потенциальных загрязнений применяют низкотемпературную плазму или избирательную конденсацию.
D.4 Механическая неустойчивость
ПЭМ является тяжелым прибором. Вибрации от конструкции здания могут вызвать неустойчивость ПЭМ и нестабильность его работы, включая раскачивание ПЭМ и, как следствие, затруднения при фокусировке. Для устранения вибраций колонны микроскопа следует выбирать правильное месторасположение ПЭМ и выполнять его установку должным образом. Следует изолировать ПЭМ от вибраций механического насоса. Следует применять антивибрационную платформу (демпфирующую подкладку), которая, как правило, является оптимальным решением.
D.5 Электрическая и магнитная нестабильность
Токи объективной линзы изменяются на уровне примерно одной части от 10 5. Данные изменения вызывают соответствующие колебания оптической силы объективной линзы (фокусного расстояния). Так как эти колебания происходят быстро, то возникает наложение изображений с различными увеличениями и угловыми смещениями. Использование сверхпроводящих линз, у которых один импульс напряжения заставляет ток протекать неограниченное время, снижает такие флуктуации тока. Уровень тока, полученного таким образом, не зависит от изменений уровня напряжения питания.
Колонны ПЭМ изготавливают из материалов, защищающих электронный пучок от внешних электромагнитных полей. При этом сильные паразитные поля могут привести к значительному ухудшению качества изображения. ПЭМ должен быть расположен как можно дальше от линий энергоснабжения и источников электромагнитных помех, например таких, которые используют для оборудования ядерного магнитного резонанса (ЯМР). Воздействие внешних электромагнитных полей будет равномерным по всему полю зрения ПЭМ и внешне будет подобно воздействию механических вибраций. Если источником помех является электромагнитное поле, то размытие изображения может быть уменьшено за счет применения больших значений ускоряющего напряжения. При воздействии механических вибраций размытие изображения остается на том же уровне вне зависимости от значений ускоряющего напряжения.
D.6 Электрический заряд пробы
Низкая электрическая проводимость пробы может являться причиной значительного неупругого рассеяния электронного пучка, приводящего к нагреву и заряду пробы. Тепловое воздействие также может повредить подложку на ПЭМ-сетке. Температурный дрейф пробы, возникающий вследствие расширения или сжатия подложки на ПЭМ-сетке или держателя ПЭМ-сетки при воздействии электронного пучка, как правило, является причиной размытия изображений. Температурный дрейф может появиться, если подложка слишком тонкая или на ней в пределах освещенной области имеются загрязняющие частицы, или между подложкой и ПЭМ-сеткой установлен недостаточный контакт. Чтобы минимизировать температурный дрейф следует уменьшить размеры участка пробы, подвергаемого воздействию электронного пучка (таким образом снизив нагрев пробы). Применение в качестве поддерживающих подложек для проб наноматериала углеродных пленок минимизирует тепловой дрейф пробы. Применение медных ПЭМ-сеток, которые являются хорошими проводниками тепла, также минимизирует тепловой дрейф пробы.
Электропроводящее покрытие (например, золото), нанесенное на испытуемую пробу, обеспечивает хорошую электрическую проводимость. Следует учитывать, что данная проблема, как правило, не возникает при выполнении измерений на пробах наноматериала, вследствие высокой электрической проводимости ОУНТ. В случае применения для измерений проб в форме нанокомпозита (подготовленных с применением микротома) рекомендуется наносить на них электропроводящее покрытие.
D.7 Дрейф фокуса
Если на изображении наблюдают небольшие изменения фокуса, то, как правило, эти изменения вызваны загрязнением электронной пушки и не связаны с подачей электропитания. Любые загрязнения (даже самые незначительные) могут привести к возникновению микроразрядов в электронной пушке, и, следовательно, к изменению значений ускоряющего напряжения и, как следствие, к изменению фокуса. Элементы ПЭМ, которые следует подвергать периодической очистке (как правило, при замене нити накала): узел нити накала, анод и корпус электронной пушки.
D.8 Подготовка проб
Пробы должны быть изготовлены заданной толщины, то есть при выполнении измерений должно быть обеспечено проникновение электронов в наноматериал на необходимую глубину. В настоящем стандарте приведены несколько методов подготовки проб на ПЭМ-сетке. При этом следует учитывать, что каждый метод имеет недостатки в части возможности изменения характеристик наноматериала и повреждения ОУНТ в процессе подготовки проб.
При подготовке проб наноматериала в форме порошка удаляют избыток наноматериала постукиванием держателя о твердую поверхность, что может привести к получению образца толщиной, не пригодной для выполнения измерений методом ПЭМ, вследствие образования агрегатов и пучков ОУНТ. Также следует учитывать, что в процессе подготовки проб данным методом может произойти попадание примесей в наноматериал и высвобождение ОУНТ из наноматериала во время создания вакуума в ПЭМ вследствие их слабой адгезии.
В процессе подготовки проб в форме суспензии при ультразвуковой обработке может произойти загрязнение наноматериала растворителем, удаление ОУНТ и примесей (металлических частиц, аморфного углерода), вследствие чего результаты определения характеристик наноматериала будут неточными. Следует учитывать, что при несоответствующих режимах ультразвуковой обработки (длительное время и высокая интенсивность) может произойти повреждение (появление дефектов) и изменение длины ОУНТ.
Подготовку проб в форме нанокомпозита выполняют с применением ультрамикротома, получая срезы наноматериала заданной толщины. Следует учитывать, что при подготовке проб данным методом может произойти изменение длины, структурных и морфологических характеристик ОУНТ, а также показателей чистоты наноматериала.
При подготовке проб следует выбирать методы, обеспечивающие возможность выполнения простых операций и минимального изменения характеристик наноматериала, с учетом наличия в наноматериале пучков и агрегатов ОУНТ. Для получения проб наноматериала требуемого качества персоналу необходимо внимательно и тщательно выполнять соответствующие операции.
D.9 Взаимодействие проба-электронный пучок
Эффект дифракции и конечный контраст изображения, получаемого с применением ПЭМ BP, зависят от упругого рассеяния электронов в испытуемой пробе. Эффекты неупругого рассеяния возникают и приводят, например, к генерированию рентгеновского излучения и Оже-электронов, вызывая изменения в микроструктуре пробы, обусловленные воздействием электронного пучка.
При выполнении измерений методом ПЭМ на пробах наноматериала в состоянии "как изготовлен" могут возникнуть определенные трудности вследствие взаимодействия между частицами катализаторами и высокоэнергетичными электронными пучками. Например, пробы наноматериала, изготовленного на подложке с применением катализатора, могут содержать материалы, такие как диоксид кремния (SiO 2) или оксид алюминия (Al 2O 3), которые являются как электрическими, так и тепловыми изоляторами. Данное свойство таких наноматериалов делает их непригодными для исследований методом ПЭМ. Прямое фокусирование электронного пучка на эти частицы может привести к сильному нагреву пробы. Если теплоотвод происходит недостаточно быстро, то соседние металлические частицы или некоторые формы углерода с низким содержанием графена могут расплавиться или испариться. Также может произойти рекристаллизация некоторых металлов. Следует учитывать, что это необязательно повлияет на оценку чистоты наноматериала.
ОУНТ структурно менее стабильны, чем другие графеновые структуры, например МУНТ или высокоориентированный пиролитический графит (ВОПГ). При выполнении измерений методом ПЭМ под воздействием электронного пучка может происходить ухудшение характеристик испытуемого наноматериала, трансформация или разрушение содержащихся в нем цилиндрических графеновых структур. Вследствие этого, как правило, происходит преобразование нанотрубок в аморфный углерод или графеновые структуры, аналогичные луковицам. Также выявлен эффект сваривания или соединения нескольких ОУНТ под воздействием электронного пучка.
С целью исключения или минимизации повреждений пробы следует оптимизировать настройки и рабочие параметры измерительного оборудования.
D.10 Размеры и число испытуемых проб
Одной из основных трудностей в измерениях, выполняемых с применением ПЭМ, является малое количество испытуемого материала (малые размеры пробы). При отборе и подготовке проб для измерений методом ПЭМ следует обеспечивать получение репрезентативных проб наноматериала.
Число проб, необходимое для измерений, должно быть оптимальным и заранее определено в целях обеспечения релевантности и точности результатов.
D.11 Определение размеров объектов, содержащихся в наноматериале, на проецируемых изображениях
Получение изображений трехмерных объектов с применением ПЭМ влечет за собой проблему интерпретации двухмерных проекций трехмерных объектов. Данная проблема менее серьезна при определении характеристик отдельных ОУНТ, так как они обычно представлены как двухмерные объекты. Для пучков ОУНТ существует другая проблема, связанная с характером и плотностью упаковки ОУНТ. При проецировании пучков ОУНТ может произойти перекрытие нанотрубок меньшего диаметра нанотрубками большего диаметра. Если диаметр ОУНТ менее 0,7 нм, то следует с осторожностью использовать пары темных линий для определения диаметров ОУНТ. При таких малых диаметрах ОУНТ расстояние между парами темных линий может быть меньше, чем истинный диаметр ОУНТ, в зависимости от параметров изображения и ориентации ОУНТ. Если диаметр ОУНТ очень мал, то положение темных линий не обязательно может совпасть с крайними атомами на проекции, характеризующими диаметр. Изображение темных линий может быть сдвинуто слегка внутрь, в результате чего пары темных линий на изображении будут более узкими.
D.12 Контраст изображения и интерпретация результатов
Взаимодействия различных эффектов, определяющих контраст, являются одним из многих факторов, влияющих на качество получаемых изображений при определении характеристик наноматериала методом ПЭМ. При недофокусировке или перефокусировке другие нанотрубки, такие как МУНТ, имеющие две или три стенки, могут быть приняты за ОУНТ.
Контраст изображения может также повлиять на выявление и определение аморфных материалов, таких как подложка оксидного катализатора, аморфного углерода и т.д.
Приложение ДА
(справочное)
Таблица ДА.1
|
Обозначение ссылочного межгосударственного стандарта |
Степень соответствия |
Обозначение и наименование ссылочного международного стандарта |
|
ГОСТ ISO/TS 80004-3-2014 |
IDT |
ISO/TS 80004-3:2010 "Нанотехнологии. Словарь. Часть 3. Углеродные нанообъекты" |
|
ГОСТ ISO/IEC 17025-2019 |
IDT |
ISO/IEC 17025:2017 "Общие требования к компетентности испытательных и калибровочных лабораторий" |
|
Примечание - В настоящей таблице использовано следующее условное обозначение степени соответствия стандартов: - IDT - идентичные стандарты. | ||
Библиография
|
[1] |
ИСО 22493 |
Анализ с использованием микропучка. Растровая электронная микроскопия. Словарь (Microbeam analysis - Scanning electron microscopy - Vocabulary) |
|
[2] |
ИСО 13322-1 |
Гранулометрический анализ. Методы анализа изображений. Часть 1. Методы анализа статических изображений (Particle size analysis - Image analysis methods - Part 1: Static image analysis methods) |
|
[3] |
ИСО 23833:2006 |
Анализ с использованием микропучка. Электронный микроанализ пробы. Словарь [Microbeam analysis - Electron probe microanalysis (EPMA) - Vocabulary] |
|
[4] |
ИСО 29301:2010 |
Анализ с использованием микропучка. Аналитическая просвечивающая электронная микроскопия. Методы калибровки увеличения изображений с использованием эталонных материалов, имеющих периодическую структуру (Microbeam analysis - Analytical transmission electron microscopy - Methods for calibrating image magnification by using reference materials having periodic structures) |
|
[5] |
ИСО 13794:1999 |
Воздух окружающий. Определение концентрации асбестовых волокон. Метод электронной микроскопии с непрямым просвечиванием (Ambient air - Determination of asbestos fibres - Indirecttransfer transmission electron microscopy method) |
|
[6] |
ISO/TR 10929 |
Нанотехнологии. Характеристика образцов многостенных углеродных нанотрубок (МУНТ) [Nanotechnologies - Characterization of multiwall carbon nanotube (MWCNT) sample] |
|
[7] |
ISO/TR 12885 |
Нанотехнологии. Методы обеспечения охраны труда (Nanotechnologies - Health and safety practices in occupational settings) |
|
[8] |
A document about Occupational Exposure to Carbon Nanotubes and Nanofibres is available from the National Institute for Occupational Safety and Health (NIOSH) of the Centers for Disease Control and Prevention (CDC) of the United States of America | |
|
[9] |
"Specimen Preparation for Transmission Electron Microscopy of Materials IV", Anderson R.M. and Walck S.D. eds. Materials Research Society, (1997) | |
|
[10] |
Mansfield E., Geiss R. and Fagan J.A., "Methods for TEM analysis of NIST's single-walled carbon nanotube Standard Reference Material" Proc. SPIE, Vol. 7405, 74050A, (2009) | |
|
[11] |
Decker J.E., Height-Walker A.R., Bosnick K., Clifford C.A., Dai L., Fagan J., Hooker S., Jakubek Z.J., Kingston C., Makar J., Mansfield E., Postek M.T., Simard В., Sturgeon R., Wise S., Vladar A.E., Yang L. and Zeisler R., "Sample Preparation Protocols for Realization of Reproducible Characterization of Single-Walled Carbon Nanotubes" Metrologia, 46 (6), pp. 682-692, (2009) | |
|
[12] |
ИCO 14595 |
Анализ с использованием микропучка. Электронно-зондовый микроанализ. Руководящие указания по подробному описанию аттестованных стандартных образцов [Microbeam analysis - Electron probe microanalysis - Guidelines for the Specification of certified reference materials (CRMs)] |
|
[13] |
Thess, A. et al, "Crystalline ropes of metallic carbon nanotubes", Science, 273, pp. 483-487, (1996) | |
|
[14] |
Rinzler, a.g. et al, "Large-scale purification of SWCNTs: process, product, and characterizations, Applied Physics a-Materials Science & Processing, 67, pp. 29-37, (1998) | |
|
[15] |
Carver, r.l. et al, "A model for nucleation and growth of single wall carbon nanotubes via the HiPco process: A catalyst concentration study", Journal of Nanoscience and Nanotechnology, 5, pp. 1035-1040, (2005) | |
|
[16] |
Fang, s.l. et al, "Raman scattering study of coalesced single-walled carbon nanotubes", Journal of Materials Research, 13, pp. 2405-2411, (1998) | |
|
[17] |
Nikolaev P. et al, "Gas-phase catalytic growth of single-walled carbon nanotubes from carbon monoxides, Chemical Physics Letters, 313, pp. 91-97, (1999) | |
|
[18] |
Nikolaev P. et al, "Diameter doubling of single-wall nanotubes", Chemical Physics Letters, 266, pp. 422-426, (1997) | |


