ПНСТ 449-2020 ИНТЕЛЛЕКТУАЛЬНЫЕ ТРАНСПОРТНЫЕ СИСТЕМЫ. СИСТЕМЫ ИНФОРМИРОВАНИЯ И УПРАВЛЕНИЯ НА ГРУЗОВОМ АВТОМОБИЛЬНОМ ТРАНСПОРТЕ. СЛОВАРЬ ДАННЫХ И НАБОРОВ СООБЩЕНИЙ ПО ЭЛЕКТРОННОЙ ИДЕНТИФИКАЦИИ И МОНИТОРИНГУ ОПАСНЫХ ГРУЗОВ
Intelligent Transport Systems. Information and management systems in road freight transport. Dictionary of data and message sets on electronic identification and monitoring of dangerous goods
ОКС 43.040.99
Срок действия - с 1 января 2021 г.
по 1 января 2024 г.
Предисловие
1 Разработан Обществом с ограниченной ответственностью "ТранснавиСофт"
2 Внесен Техническим комитетом по стандартизации ТК 57 "Интеллектуальные транспортные системы"
3 Утвержден и введен в действие Приказом Федерального агентства по техническому регулированию и метрологии от 17 сентября 2020 г. N 58-пнст
4 Настоящий стандарт разработан с учетом основных нормативных положений международного стандарта ИСО 17687:2007 "Системы информирования и управления на транспорте - Управление грузовыми перевозками автомобильным транспортом - Словарь данных и наборов сообщений по электронной идентификации и мониторингу опасных грузов" (ISO 17687:2007 "Transport Information and Control Systems (TICS) - General fleet management and commercial freight operations - Data dictionary and message sets for electronic identification and monitoring of hazardous materials/dangerous goods transportation", NEQ)
Введение
Настоящий предварительный национальный стандарт разработан с учетом основных нормативных положений ИСО 17687:2007 с целью гармонизации технических решений с международными стандартами в области мониторинга опасных грузов.
Настоящий стандарт касается вопросов автоматизированной идентификации опасных грузов, мониторинга грузовых автотранспортных средств, перевозящих опасные грузы и обмена информацией о чрезвычайных ситуациях, возникающих при перевозках опасных грузов. Такая информация может включать в себя идентификацию, количество и текущее состояние (например, давление и температуру) опасных грузов, а также любые данные, необходимые для эффективного устранения последствий при возникновении чрезвычайной ситуации. Передача такой информации может произойти до или во время перевозки опасного груза таким образом, чтобы все заинтересованные стороны могли получить к ней доступ и правильно ее интерпретировать. При наличии телематических устройств, датчиков состояния груза и средств связи транспортные средства, перевозящие опасные грузы, могут отвечать на запросы относительно состояния опасного груза или самостоятельно инициировать соответствующие сообщения.
Настоящий стандарт не определяет и не предполагает, что какие-либо конкретные бортовые системы должны осуществлять такой мониторинг, хранение или передачу данных. Однако, если такая возможность существует, то положения этого стандарта могут применяться.
Настоящий стандарт не предназначен влиять на законы и правила, касающиеся перевозки опасных грузов, но предлагает средства для электронной поддержки методов реагирования на чрезвычайные ситуации путем предоставления правил для электронной идентификации и сообщений при мониторинге перевозок опасных грузов автомобильным транспортом. Положения настоящего стандарта охватывают четыре контекстуальные ситуации:
а) основное требование;
б) бортовые системы;
в) дороги получателя к аварийным центрам управления;
г) центры аварийного управления.
Предполагается, что определенная здесь информация будет храниться или формироваться на борту транспортного средства и затем может передаваться заинтересованным придорожным системам любыми, подходящими для этого средствами связи.
Настоящий стандарт относится к области применения автоматизированной идентификации, мониторинга и обмена информацией при устранении последствий чрезвычайных ситуаций при перевозках опасных грузов на борту автотранспортных средств. Такая информация может включать в себя идентификацию, количество и текущее состояние (например, давление и температуру) опасных грузов, а также любую информацию, необходимую при ликвидации последствий чрезвычайных ситуаций, возникающих при перевозках опасных грузов.
При наличии соответствующего телематического оборудования и средств связи транспортные средства, перевозящие опасные грузы, могут передавать информацию по запросам или в инициативном порядке относительно состояния опасных грузов.
Информация, определенная настоящим стандартом, находящаяся в электронном виде на борту автотранспортного средства, может быть передана заинтересованным организациям любыми, подходящими для этого средствами связи.
Основной целью этого стандарта является не торговля, экономика или коммерция, а помощь в спасении жизней путем содействия мероприятиям по устранению последствий чрезвычайных ситуаций.
В настоящем стандарте использованы нормативные ссылки на следующие стандарты:
ГОСТ Р 56829 Интеллектуальные транспортные системы. Термины и определения
ГОСТ Р ИСО/МЭК 8824-1 Информационная технология. Абстрактная синтаксическая нотация версии один (АСН.1). Часть 1. Спецификация основной нотации
Примечание - При пользовании настоящим стандартом целесообразно проверить действие ссылочных стандартов в информационной системе общего пользования - на официальном сайте Федерального агентства по техническому регулированию и метрологии в сети Интернет или по ежегодному информационному указателю "Национальные стандарты", который опубликован по состоянию на 1 января текущего года, и по выпускам ежемесячного информационного указателя "Национальные стандарты" за текущий год. Если заменен ссылочный стандарт, на который дана недатированная ссылка, то рекомендуется использовать действующую версию этого стандарта с учетом всех внесенных в данную версию изменений. Если заменен ссылочный стандарт, на который дана датированная ссылка, то рекомендуется использовать версию этого стандарта с указанным выше годом утверждения (принятия). Если после утверждения настоящего стандарта в ссылочный стандарт, на который дана датированная ссылка, внесено изменение, затрагивающее положение, на которое дана ссылка, то это положение рекомендуется применять без учета данного изменения. Если ссылочный стандарт отменен без замены, то положение, в котором дана ссылка на него, рекомендуется применять в части, не затрагивающей эту ссылку.
В настоящем стандарте применены следующие термины с соответствующими определениями.
3.1 элемент адресных данных: Данные, определяющие местоположение источника исходных данных, которые должны быть переданы.
3.2 автоматическая идентификация оборудования; АИО: Процесс идентификации оборудования или сущностей, которые используют транспортную инфраструктуру с помощью бортового оборудования, в сочетании с однозначными структурами данных, определенными в настоящем стандарте.
Примечание - В рамках данной серии стандартов "оборудование" обозначает оборудование больших размеров, которое перевозится или составляет неотъемлемую часть трейлера или оборудования, смонтированного на трейлере.
3.3 беспроводной интерфейс: Среда между бортовым устройством и устройством считывания/запроса, через которую осуществляется связь между этими устройствами с помощью электромагнитных волн.
3.4 ASN.1: Абстрактная синтаксическая нотация номер 1.
3.5 автоматическая идентификация транспортных средств; АИТ: Процесс идентификации транспортных средств, использующих бортовое оборудование, подмножество идентификации оборудования АИО.
3.6 совместимость: Способность двух или более элементов или компонентов оборудования или материала существовать и/или функционировать в одной и той же системе или среде без модификации, адаптации или взаимного вмешательства.
3.7 контейнер: Многократно используемая тара для перевозки грузов, легко перемещаемая с одного вида транспорта на другой.
3.8 грузополучатель: Лицо, которому по указанию грузоотправителя должен быть выдан груз в пункте назначения.
3.9 партия груза для отправки (коносамент): Отдельно идентифицируемое количество товарных позиций, указанных в одном транспортном документе, подлежащих перевозке от одного грузоотправителя к одному грузополучателю одним или несколькими видами транспорта.
3.10 специализированная связь на короткие расстояния: Средства обмена информацией на близком расстоянии между стационарным оборудованием и бортовым оборудованием транспортных средств по эфиру с помощью электромагнитных волн.
3.11 бриллиантовые рейтинги: Цветовой код для идентификации опасных материалов.
3.12 поставщик грузов: Сторона, обеспечивающая поставку грузов для перевозки.
Примечание - Транспортная документация имеет более точную терминологию, подобно терминам "грузополучатель", "перевозчик", "грузоотправитель", определенная как "сторона, которая по договору с перевозчиком отправляет товары или передает их".
3.13 система идентификации опасных материалов; HMIS: Система маркировки продукции.
Примечание - HMIS-маркировка выглядит как прямоугольный блок из четырех цветных полос с обозначением степени опасности материала. Сверху наносится синяя полоса "влияние на здоровье". Ниже наносится красная полоса "степень воспламеняемости", под которой следует желтая полоса "степень химической активности" и ниже белая полоса для обозначения прочих опасностей.
На первых трех полосах наносится код степени опасности от "0" (не опасно) до "4" (очень опасно). На белой полосе наносится код прочих опасностей. Иногда на этикетке может быть выделено дополнительное место для другой информации, включая название продукта, дополнительные предупреждения, информацию производителя и другую дополнительную информацию.
HMIS рекламируется как "маркировка, разработанная, чтобы помочь работодателям и их сотрудникам в повседневном соблюдении требований стандарта, в связи с опасностью для окружающей среды". Рейтинги в категории "здоровье" связаны с возможностью хронических, а также острых заболеваний. Наличие звездочки указывает на опасность хронического заболевания.
Недавно маркировка была переработана, чтобы поместить звездочку в отдельный квадрат на маркировке. В старой маркировке, которая, как ожидается, будет еще применяться в течение многих лет, знак сочетается с числовым значением рейтинга.
3.14 единица товара: Продукция, предназначенная для перевозки.
Примечание - Единица товара может быть, например, письмо, упаковка из нескольких коробок или другие товары, которые объединены в единое целое для перевозки, сосуд, который будет перевозиться в специальной таре, например, в интермодальном контейнере ИСО в качестве компонента элемента автоматической идентификации оборудования (АИО).
3.15 перевозка: Физическое перемещение товара от поставщика к получателю.
3.16 груз: То, что должно быть перевезено от поставщика товаров к потребителю.
Примечание - Под грузом понимается опасный груз, пакеты, паллеты и/или контейнеры.
3.17 единица груза: Упаковка, грузовой контейнер, которые могут быть погружены на транспортные средства.
3.18 декларация: Документ/сообщение с указанием содержимого отдельных грузовых контейнеров или других объектов перевозки, подготовленное стороной, ответственной за их погрузку в контейнер или упаковку для перевозки.
3.19 бортовое оборудование: Бортовое устройство, установленное на транспортное средство для выполнения функции автоматической идентификации транспортного средства и установленного на нем оборудования (см. примечание к 3.2).
3.20 упаковка: Единица груза, контейнер, отдельные индивидуальные контейнеры, которые могут быть собраны в упаковку больших размеров.
3.21 правила упакованного кодирования данных: Правила кодирования данных в соответствии с требованиями стандарта ГОСТ Р ИСО/МЭК 8824-1 ASN.1 к обозначению данных.
Примечание - Существуют альтернативные формы кодирования, такие как основные правила кодирования.
3.22 паллета: Деревянная, пластиковая или металлическая платформа, предназначенная для размещения грузов и их перемещения с помощью вилочного погрузчика или другого подобного устройства для загрузки в тару, такую как контейнер ИСО для интермодальных перевозок, и являющаяся составным компонентом автоматической идентификации оборудования.
3.23 табличка: Графический элемент, содержащий информацию о классе или подклассе опасного груза или грузов, перевозимых в автотранспортном средстве или в железнодорожном вагоне.
Примечание - Существуют различные таблички для каждого класса или подкласса опасного груза. Таблички имеют цветовую маркировку и размер не менее 10,8 дюйма (273 мм) по вертикали. Они должны размещаться на всех четырех сторонах транспортного средства. В нижнем углу таблички отображается номер класса опасности. Для некоторых транспортных средств требуется размещать более одной таблички.
3.24 ридер: Устройство, взаимодействующее с бортовым оборудованием, установленным на транспортном средстве, для считывания и записи информации, определяемой в настоящем стандарте.
Примечание - Ридер может добавлять к информационной посылке данные о времени, местоположении и другие данные, и передавать эти данные менеджеру приложений, который может находиться в другом месте, например в центре по чрезвычайным ситуациям.
3.25 тара: Изделие, специально изготовленное для хранения деталей, небольших пакетов.
Примечание - Тара обычно имеет форму мешка, коробки или роликовой клетки, которые будут перевозиться в оборудовании как подкомпонент элемента автоматической идентификации оборудования (АИО).
3.26 транспорт: В контексте автоматической идентификации транспортных средств и перевозки опасных грузов (DG) транспортные средства, перевозящие партии товаров от поставщика к получателю или возвращаемые обратно через систему.
3.27 транспортная документация: Документы, касающиеся перевозки груза, легальные коммерческие документы, сопровождающие транспортные средства в процессе перевозки груза.
3.28 средство перевозки: Транспортное средство, используемое для перевозки товаров, например, судно, поезд, самолет, грузовой автомобиль.
Примечание - Средства перевозки включают грузовые автомобили, прицепы, суда, самолеты или их комбинацию для доставки грузов или возврата тары вместе с водителем, пилотом, экипажем, физически сопровождающими перевозку.
3.29 единица перевозки: Совокупность груза, средств перевозки и транспортной документации.
Примечание - Единица перевозки включает виды транспорта, а также систему хранения опасных грузов. Средство перевозки получает свой идентификатор. Транспортное средство может включать другие транспортные средства.
3.30 пользователь: Транспортное средство/оборудование или лицо, провозящее бортовое оборудование, проезжающее в зоне действия пункта идентификации с целью однозначной идентификации перевозимого бортового оборудования.
3.31 система информирования об опасных материалах на рабочем месте; WHMIS: Канадская правительственная система, аналог системы информирования об опасностях здравоохранения (США).
Примечание - Во многих аспектах система WHMIS маркировки опасных материалов аналогична системе HMIS и может рассматриваться как набор ярлыков и маркировок перевозимых товаров. Ожидается, что вследствие гармонизации на международном уровне систем WHMIS будет иметь применение во всем мире.
В настоящем стандарте использованы следующие сокращения:
AEI - автоматическая идентификация оборудования;
AVI - автоматическая идентификация транспортных средств;
ASN.1 - абстрактная синтаксическая нотация 1;
ATIS - интеллектуальные системы информирования путешественников;
BS - базовый стандарт;
CAD - автоматизированная диспетчерская система;
CFR - кодекс федеральных правил;
COFC - контейнер, устанавливаемый на платформу;
DE - элемент данных;
DF - фрейм данных;
DG - опасные грузы;
DOT - департамент транспорта;
DSRC - специализированная связь на короткие расстояния;
ERG - руководство по действиям при возникновении чрезвычайных ситуаций при перевозке опасных грузов;
ID - идентификация;
IEC - международная электротехническая комиссия (МЭК);
IDX - описание аварии;
IEEE - институт инженеров электротехники и электроники;
ITE - институт инженеров транспорта;
ITS - интеллектуальная транспортная система;
NA - Северная Америка;
NFPA (US) - Национальная ассоциация противопожарной защиты (США);
NPCA (US) - Национальная ассоциация лакокрасочных материалов (США);
ОВЕ - бортовое оборудование;
OSHA (USA) - управление по охране труда и промышленной безопасности (США);
РРЕ - оборудование персональной защиты;
PSN - надлежащее наименование отгрузки;
RTTT - телематика и телекоммуникации для дорожного транспорта;
DDS - система передачи данных по радио;
SAE - общество инженеров автомобилистов;
TICS - системы информирования и контроля на транспорте;
TOFC - контрейлер;
UN - Организация Объединенных Наций;
XML - расширяемый язык разметки.
Область применения настоящего стандарта не касается международной грузовой торговой документации. Стандарт регламентирует состав и содержание информации при реагировании на чрезвычайные ситуации, формируемой и отправляемой бортовым оборудованием в виде сообщений в центр по чрезвычайным ситуациям с помощью устройств придорожной инфраструктуры.
Источник первичной информации о грузе - электронный или бумажный - в настоящем стандарте называется манифестом. В зависимости от наличия и происхождения это может быть документ производственного предприятия, манифест отгрузки, контейнерный манифест, грузовой манифест, коносамент и др. В данном стандарте эти термины используются как синонимы.
Определения, используемые в настоящем стандарте, предназначены для использования в документации, относящейся к реагированию на чрезвычайные ситуации на автомобильном транспорте.
В области международной торговли и мультимодальных перевозок разработаны более подробные, точные определения для использования в электронной документации.
Другие усилия включают разработку организацией CEFACT/OOH так называемого ядерного компонента технической спецификации (ССТГ 2.01). Компонент разработан в рамках открытой, основанной на XML инфраструктуры для обеспечения возможностей глобального использования электронной бизнес-информации (EBXML).
Основной целью настоящего стандарта является спасение жизней путем содействия реагированию на чрезвычайные ситуации. Настоящий стандарт обеспечивает потребности в конкретном месте таким же образом, как обычные визуальные плакаты, но с опционным, комплементарным дополнением и с более универсальными электронными версиями электронных сообщений.
Информация, содержащаяся в электронной системе идентификации и мониторинга, и использование этой информации включает в себя то, что предусмотрено традиционными визуальными табличками "Опасные грузы" (DG), но может быть расширена за счет включения дополнительной информации и, таким образом, может расширить использование этой информации с течением времени.
Реализация настоящего стандарта не заменяет и не устраняет существующие информационные табло, а также не заменяет какие-либо другие существующие стандарты.
Возможны следующие уровни систем идентификации и мониторинга:
1) прямое дополнение к существующим системам идентификации продукции (которые визуально ориентированы, неэлектронные);
2) включение дополнительных данных, помимо тех, которые содержатся в существующих информационных табличках;
3) интерфейс с бортовыми системами;
4) интеллектуальные системы реагирования на характеристики продукта или товара.
Используя соответствующий интерфейс связи, транспортное средство имеет возможность обмениваться информацией с такими объектами, как системы и центры экстренной помощи. Передача информации может происходить в обычном режиме или при возникновении чрезвычайной ситуации.
Настоящий стандарт касается информации на борту транспортного средства, а не носителей, используемых для передачи данных.
Для каждого типа мобильной связи требуются системные переменные, такие как время и данные о местоположении. Последовательные сообщения помогают определить дополнительную информацию, такую как направление движения транспортного средства/груза, скорость и др.
Параметры местоположения - это данные, получаемые с помощью используемой технологии определения местоположения. В настоящем стандарте не определяются ни используемая технология определения местоположения, ни ее параметры. Это может быть ссылка на фиксированное местоположение оборудования придорожной инфраструктуры или данные, полученные с помощью спутниковой навигации, или другие данные.
Отметка времени устанавливается автоматически, она генерируется операционной системой и обычно записывается как часть любого сообщения. Время, связанное с информацией, такой как данные о грузе, передается в формате обобщенного времени с использованием нотации ASN.1. Информация об отметке времени последнего обновления этих данных представляется в формате ASN.1 (тип данных стандартный) и, как правило, является необязательной записью в настоящем стандарте.
Классы услуг, описанные в таблице 1, с использованием этой информации, могут предоставляться как в обычном, так и в аварийном режиме работы при контроле перевозок опасных грузов.
|
Услуги |
Примечания |
|
1 Сбор информации о транспортном средстве и условиях при перевозке опасных грузов. Такая информация может быть получена с помощью датчиков на борту транспортного средства |
Мониторинг или отслеживание опасного груза в обычном режиме. Могут быть использованы различные режимы отслеживания |
|
2 Сбор информации об опасном состоянии груза в режиме реального времени при возникновении чрезвычайной ситуации |
Во время чрезвычайной ситуации информация должна формироваться автоматически или по запросу. В обычной ситуации такая возможность не является обязательной |
|
3 Связь с органами реагирования на чрезвычайные ситуации |
В случае чрезвычайной ситуации с властями контакты с соответствующими органами будут установлены автоматически |
Общая концепция показана на рисунке 1.

Рисунок 1 - Концепция электронной идентификации и мониторинга транспортных средств и оборудования
Настоящий стандарт применяется к элементам, идентифицированным как "Словарь данных и наборы сообщений", которые существуют в рамках коммуникационных связей между различными источниками и пользователями информации об опасных грузах. Эта концепция не является ограничительной; она предназначена для отражения потенциального использования информации, которая будет доступна.
При установке совместимого бортового оборудования (обычно устанавливаемого перевозчиком груза) с использованием положений данного стандарта важно поддерживать совместимость со стандартами аварийно-спасательных служб (обычно устанавливаемыми властями), связывающими участки дорог и центры реагирования, а также сами эти центры.
Как правило, контролирующие органы или аварийно-спасательные службы не инвестируют в приобретение дополнительного программного или аппаратного обеспечения для обслуживания небольшого района (всегда в том случае, когда новое оборудование развернуто), но если существующее программное обеспечение может получать информацию, то процесс внедрения новой системы пройдет без затруднений.
Когда правила кодирования ASN.1 соблюдаются, это приводит к использованию бита (флаг автоматически вставляется), чтобы указать на наличие или отсутствие такого элемента данных в сообщении. При сохранении этих неиспользуемых элементов данных в сообщении этот бит сохраняется в конечном закодированном сообщении. Это позволяет напрямую передавать такие сообщения в придорожную систему, соответствующую другим стандартам. Затем система, используемая персоналом аварийно-спасательных служб, может предоставить такие дополнительные данные в сообщении перед пересылкой в центры управления. Если бы эти поля были устранены, это потребовало бы записи сообщения перед отправкой в центры управления.
Оборудование, используемое исключительно локально, может работать только в локальном режиме, в то время как оборудование, используемое как на местном, так и на международном уровне, будет иметь два режима функционирования: международный режим и местный режим.
В этом случае программное обеспечение для чтения сообщений должно быть в состоянии также читать сообщения, соответствующие режиму.
В этом контексте термин "транспортная единица" относится к транспортному средству, а также к защитной оболочке или хранилищу для опасных грузов.
Виды транспорта включают грузовики/грузовики и комбинации транспортных средств. Комбинированные транспортные средства могут иметь индивидуальные системы мониторинга и/или отчетности для силового агрегата (тягача) и для каждого прицепа и/или контейнера. Системы складирования и хранения могут включать контейнеры, поддоны и даже отдельные пакеты.
На рисунке 2 показан диапазон потенциальных транспортных единиц. Как показано, они делятся на два основных класса: грузы или перевозимые товары и сами транспортные средства. Товары могут быть упакованы в любую из разновидностей упаковки, и каждый тип упаковки может содержаться в пакетах более высокого уровня для того, чтобы сформировать полный груз для транспортирования. Затем груз перевозится одним или несколькими транспортными средствами, такими как грузовые транспортные средства или поезда.

Рисунок 2 - Представители типов транспортных единиц
Существует несколько вариантов бортовых транспортных систем и с различными техническими характеристиками. Транспортные средства могут быть оборудованы с одним из вариантов навигационно-связного блока и электронным тахографом, которые могут быть использованы для записи и передачи сообщений о местонахождении транспортного средства и передачи данных об аварии, включая серьезность аварии. Базовая бортовая система может состоять только из устройства хранения данных, содержащего информацию, введенную при загрузке груза. Более сложные системы могут включать в себя активные системы контроля груза, такие как датчики температуры, давления, объема или веса, в зависимости от характера груза. Настоящий стандарт не определяет и не требует наличия таких систем. Однако их использование в сочетании с основными электронными данными об опасном грузе ожидается в будущем. Настоящий стандарт применяется только к передаче такой информации в транспортную единицу или из, а не к информации, которая генерируется, хранится или используется на транспортной единице. Спецификации, представленные в настоящем стандарте, предназначены для поддержки таких будущих систем, когда они будут введены в эксплуатацию.
Транспортная единица может иметь несколько вариантов связи с системами придорожной инфраструктуры. В некоторых случаях функции местной придорожной системы могут быть реализованы человеком, стоящим в непосредственной близости от транспортного средства. Для доступа персонала службы экстренной помощи к информации на месте происшествия может быть использован прямой доступ к данным, хранящимся на борту транспортного средства, с помощью беспроводной системы связи.
С помощью передачи информации по беспроводной связи расширяется спектр доступных возможностей. Если устройство радиосвязи работает по протоколу "Специализированная связь на короткие расстояния" (DSRC), система будет локальной. Также возможно использовать устройства радиосвязи на большие расстояния, такие как сотовые телефоны или спутниковые системы связи.
В таком случае функции местной придорожной системы может исполнять диспетчер транспортного предприятия или дистанционное отделение аварийно-спасательной службы.
Несмотря на то, что основной целью настоящего стандарта является информационная поддержка на местах, поддержка информационного обмена также осуществляется на большие расстояния.
Настоящий стандарт не требует и не поддерживает какой-либо конкретный сценарий работы, хотя ниже приведены примеры применения стандарта:
- периодическая отчетность;
- запрос от диспетчера;
- фиксация события, либо ситуации, возникающей при перевозке опасных грузов (например, превышение порога температуры или давления), либо ситуации из-за аварии транспортного средства;
- сбор информации на месте происшествия сотрудниками аварийных служб;
- отклонение от маршрута, другой маршрут, потеря контакта, кража.
После того, как сообщение было получено приемным устройством придорожной инфраструктуры, оно может быть передано любому или всем соответствующим центрам мониторинга или реагирования. В обычных ситуациях это может быть диспетчер транспортного предприятия, отделение местной полиции или пожарная служба, или любой другой центр управления, который был определен как ответственный за мониторинг текущей ситуации.
Содержание таких сообщений выходит за рамки настоящего стандарта, но словарь данных и определенные в нем наборы сообщений предназначены для обеспечения совместимости с известными стандартами, которые будут применяться. Если такие стандарты не применимы к ситуации, тогда должен использоваться словарь данных и наборы сообщений, определенные в настоящем стандарте.
Существует потребность обмена информацией между центрами аварийно-спасательных служб. Кроме информации, касающейся аварийной ситуации, центры могут обмениваться информационными сообщениями, связанными с транспортированием грузов. Примером формирования таких сообщений является ситуация, когда транспортная компания должна получить разрешение и оплатить сборы правительственной организации перед транспортированием груза.
Если произошла авария, возникает необходимость передачи данных об аварии в соответствующее следственное агентство.
Такие сообщения выходят за рамки настоящего международного стандарта, но возможно применение и других стандартов.
6.1.1 Описание сообщений
Сообщения, разработанные для нескольких уровней идентификации и мониторинга:
1) прямое дополнение к существующим не электронным информационным табличкам, которые ориентированы на визуальное восприятие;
2) дополнительные данные, помимо тех, которые содержатся в существующих табличках;
3) интерфейс с бортовыми системами;
4) интеллектуальные сообщения для реагирования на груз или товар.
Существует много ситуаций, в которых желательно передавать информацию о транспортном средстве и его местоположении. Такие сообщения определены в других стандартах и не включены в сообщения, рассматриваемые в настоящем стандарте.
Рассматриваемые ниже сообщения являются нейтральными в отношении используемой технологии связи и характера систем источника и приемника информации. Определения набора сообщений созданы, чтобы использовать определения данных и сообщений, которые затем будут передаваться различными средствами связи, и применяться для многочисленных целей.
Сообщения, кадры данных и элементы данных в настоящем стандарте определяют в соответствии с ASN.1 (ГОСТ Р ИСО/МЭК 8824-1).
Когда применяются правила кодирования ASN.1, должны использоваться правила кодирования, выровненные по октету ASN.1 PER.
6.1.2 Сообщение: MSG_CargoDocs
Использование: сводная документация на грузоперевозки и данные декларации контейнера.
Коммерческие перевозчики (и некоторые другие) должны иметь при себе документы с описанием характера груза и указанием опасных грузов.
Это сообщение позволяет однозначно сформировать эту информацию. Раздел заголовка содержит ключевые данные о перевозке, в то время как раздел описания доставки позволяет построчно перечислить содержимое отправки.
Как и в других сообщениях использование полей произвольного идентификатора позволяет CAD связывать отношения между различными грузами, транспортными средствами и данными, полученными из разных источников.
Примечание - Хотя этот фрейм данных называется "Груз", он может одинаково хорошо использоваться в ситуациях, не связанных с коммерческим перевозчиком, где груз еще должен быть описан.
Формат:
CargoDocs ::= SEQUENCE {
uniqueConsignmentReference UniqueConsignmentReference OPTIONAL,
- ссылка на различные детали, относящиеся к отправке;
packageUnitID PackageUnitID OPTIONAL,
- ссылка, к какой единице упаковки относится эта информация;
- это находится ВНУТРИ грузовой единицы, описанной ниже
cargoUnitID CargoUnitID OPTIONAL,
- ссылка показывает, к какой единице груза относится эта информация;
- это требуется при перевозках в вагонах или других транспортных средствах, вмещающих много различных грузов.
powerUnitID PowerUnitID OPTIONAL,
- указывает на то, какая силовая установка используется только тогда, когда она не является отдельной грузовой единицей, например, в случае легкового автомобиля или небольшого грузового автомобиля. В этом случае не было бы CargoUnitID
cargoCondition UnitCondition OPTIONAL,
- состояние груза или силовой установки в целом shippingHeader ShippingHeader,
- общая информация, номер службы экстренного реагирования
shippingEntry SEQUENCE OF ShippingEntry OPTIONAL,
- наборы записей о грузе, содержащие данные в соответствии с требованиями для поставок
source FoundOn OPTIONAL,
- указывает на источник вышеуказанной информации
other UTF8Strings(SIZE(0.. 65000)) OPTIONAL,
- любая дополнительная информация
...
- это идентификационный номер груза или транспортного средства, который предоставляет ключ для связи информации о грузе с конкретным транспортным средством, прицепом, контейнером и т.д., и любая информация о табличках и состоянии транспортного средства или контейнера
}
cargoDocs IDX-PART-MESSAGE ::= {
&name "документы, описывающие состояние груза и условия перевозки",
&id 1000,
&Туре CargoDocs
...
}
Примечание - Содержание и маркировка согласно кодам с различными контактными номерами.
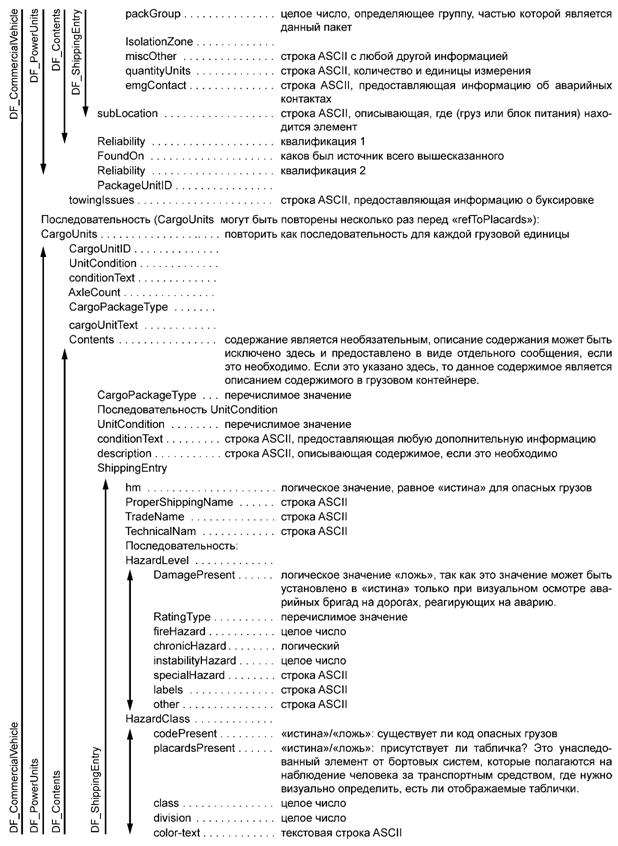
6.1.3 Сообщение: MSG_CargoUnits
Использование: данные о типе перевозимых грузовых единиц и их состоянии. Структура "содержание" позволяет выполнить комплексное описание содержания. Эта структура используется в сообщении IDX базового стандарта как новый тип связанного сообщения.
Формат:
id CargoUnitID,
- ссылочный номер для этого объекта/объекта, как правило, с подписью по CAD
condition SEQUENCE OF UnitCondition,
- общее состояние этой единицы груза
conditionText UTF8Strings(SIZE(0..255)) OPTIONAL,
- любой текст, описывающий условия поставки единицы груза
axleCount AxleCount OPTIONAL,
- количество осей
CargoTypes SEQUENCE OF CargoPackageType OPTIONAL,
- список распространенных типов грузов, включая один с указанием свободного текста в ассоциированном поле, которое следует ниже (например, Trailer, МС307, Hopper-Car и т.д.);
- одна единица груза может иметь более одного связанного с ним типа
cargoUnitText UTF8Strings(SIZE(0..30)) OPTIONAL,
- текст, описывающий тип грузовой единицы, когда вышеуказанные типы не подходят
contains SEQUENCE OF Contents OPTIONAL,
- информация о найденных упаковках и грузе
- здесь указано правильное название доставки, этикетки с опасными грузами и расположение внутри упаковки
towinglssues UTF8Strings(SIZE(0..255)) OPTIONAL,
- информация о любых особых проблемах с восстановлением или буксировкой транспортного средства будет размещена здесь
- см. коммерческое сообщение (в котором используется эта структура) о коммерческих значениях регистрации, см. связанное сообщение "Cargo" для информации о содержании груза
...
}
cargoUnits IDX-PART-MESSAGE ::= {
|
&name |
"описание груза и его содержимого", |
|
&id |
1000, |
|
&Type |
CargoUnits |
...
}
Примечание - Имеется также другое сообщение, касающееся содержимого и отгрузочных документов.
6.1.4 Сообщение: MSG_CommercialVehicle
Использование: описания транспортного средства и/или грузового контейнера, используемого в коммерческих целях. Раздел заголовка содержит общую характеристику транспортного средства. Область регистрации позволяет включить много элементов коммерческих регистрационных данных. "Силовая установка" позволяет указать одну или несколько силовых установок. Как правило, дорожное транспортное средство имеет одну силовую установку, тогда как у поезда или баржи может быть несколько. Аналогичным образом учитывается одна или несколько единиц груза. Как правило, не обязательно заполнять данную структуру до N-й степени детализации грузового пакета, если это не является соответствующим поддерживаемым приложением. Например, прикрепленный свободный текстовой раздел (который позволяет описать любые уникальные требования или план) не должен заполняться, если не требуется какая-либо особая ситуация, требующая предоставления дополнительных данных.
На практике ожидается, что в данном разделе будут предоставлены только важные данные верхнего уровня и сообщение будет обновляться (используя методы обновления базового стандарта) с дальнейшими данными в качестве условий. Эта структура используется в IDX базового стандарта как новый тип связанного сообщения.
Формат:
CommercialVehicle ::= SEQUENCE {
header ComVehicleHeader OPTIONAL,
- различные коды ключей о типе и состоянии брутто, о транспортном средстве и грузе и наличии табличек или предупреждений (подробности в другом сообщении)
registration SEQUENCE OF ComReg OPTIONAL,
- данные коммерческой регистрации
powerUnits SEQUENCE OF PowerUnits OPTIONAL,
- данные о грузовом транспортном средстве, поезде или другом силовом агрегате
cargoUnits SEQUENCE OF CargoUnits OPTIONAL,
- данные о грузовых единицах (прицепы, контейнеры и т.д.);
- содержимое грузовых единиц и транспортные документы можно найти в другом сообщении
refToPlacards UTF8Strings(SIZE(0..15)) OPTIONAL,
- уникальный код для ссылки на любое сообщение IDX с табло или предупреждающие данные для транспортного средства
other UTF8Strings(SIZE(0..1000)) OPTIONAL,
- любая дополнительная текстовая информация
towing UTF8Strings(SIZE(0..1000)) OPTIONAL,
- любые дополнительные данные о точках буксировки или процессе восстановления
...
}
commercialVehicle IDX-PART-MESSAGE ::= {
&name "описание транспортного средства, используемого в коммерческих целях",
&id1000,
&TypeCommercialVehicle
...
}
Примечание - Указываются различные регистрационные номера, грузы, прицепы и состояние каждого из этих объектов.
6.1.5 Сообщение: MSG_PlacardsAndLabels
Использование: часть сообщения IDX, используемая для обозначения маркировки, обычно находящейся вне транспортного средства или контейнера, относящееся к его содержанию. Это довольно сложная структура, позволяющая полностью описать то, что может быть найдено на транспортном средстве или на самом грузе. Структура также предоставляет флаги для случаев, когда маркировка не кажется подходящей или правильной. Данные могут отражать класс опасности, материала.
Значения идентификатора ERG (включая PSN и торговые наименования), другие типы маркировки, могут быть связаны с другими сообщениями через поля идентификатора устройства для сложных ситуаций, связанных с несколькими грузами и событиями транспортного средства.
Многие из этих пунктов являются необязательными, чтобы позволить обновление передаваемых данных с течением времени (например, добавление или удаление товаров из грузовика на остановках вдоль маршрута следования).
Формат:
PlacardsAndLabels ::= SEQUENCE {
hazardClass SEQUENCE (SIZE (0..7)) OF HazardClass OPTIONAL,
- код, если известен, класс и деление, если известны, здесь можно указывать одно или несколько значений класса опасности без приоритета между ними (т.е. не подразумевая порядок или важность)
dangerCategoryPresent BOOLEANOPTIONAL,
- указать значение "истина", если табличка с символом опасности присутствует где-либо
doesNotMatch BOOLEAN,
- указать значение "истина", если табличка с символом опасности определена не корректно. Это предусмотрено для сообщений, которые генерируются придорожными наблюдателями, а не во время обычной загрузки товаров. Предполагается, что если это будет известно до отъезда, таблички должны быть исправлены
hazardIdentNumber UTF8Strings(SIZE(2..4)) OPTIONAL,
- используется для некоторых интермодальных контейнеров и международных перевозок (верхняя часть двухуровневой оранжевой легенды)
materialID SEQUENCE OF MaterialID OPTIONAL,
- идентификационный номер материала и формат (UN/NA), если он известен, а также названия отгрузки и торговые названия
hazardLevel SEQUENCE OF HazardLevel OPTIONAL,
- любая маркировка, такая как NFPA/HMIS, обычно она встречается на зданиях и стационарных контейнерах, а не на мобильных объектах перевозки
category SEQUENCE OF Category Types OPTIONAL,
- различные этикетки для маркировки груза (например, фумигация, отходы, горячий груз)
rail SEQUENCE OF RailMarkings (маркировка, не используемая в настоящем стандарте) OPTIONAL,
- различные метки и маркировки, нанесенные на железнодорожных вагонах
- этот элемент данных не используется в настоящем стандарте
legends SEQUENCE OF Legends OPTIONAL,
- этикетки с текстовыми предупреждениями и легенды
other UTF8Strings(SIZE(0..1000)) OPTIONAL,
- любая дополнительная текстовая информация
vehicleUnit SEQUENCE OF PowerUnitID OPTIONAL,
- обозначение любого связанного описания транспортного средства (одно или несколько)
- может содержать данные о фактическом содержании упаковки
cargoUnitIDs SEQUENCE OF CargoUnitID OPTIONAL,
- обозначения любых сопутствующих грузовых описаний
- это обозначение используется для однозначной идентификации грузовой единицы, чтобы другие сообщения, касающиеся типа, состояния и контента, могли ссылаться на него. Плакаты и данные о грузе могут быть связаны с одним или несколькими грузами или полномочиями
- требуется в более сложных событиях, может содержать данные об элементе упаковки и фактическом содержании
...
}
placardsAndLabels IDX-PART-MESSAGE ::= {
&name "описание видимой наружной маркировки",
&id1000,
&TypePlacardsAndLabels
Примечание - Контейнер или транспортное средство, на котором/в котором эта маркировка обнаружена, описывается другим сообщением.
6.2.1 Введение
Сообщения, указанные в разделе сообщений данных, должны состоять из фреймов данных, указанных в этом разделе, и элементов данных из следующего раздела.
6.2.2 Фрейм данных: DF_CargoCondition
Использование: это сообщение определяет состояние содержимого отдельной упаковки.
Формат:
CargoCondition ::= SEQUENCE {
|
id |
CargoUnitID |
|
- ссылочный номер на данную единицу груза/упаковку | |
|
volume |
CargoVolume OPTIONAL |
|
volumeUnits |
VolumeUnits OPTIONAL |
|
temp |
CargoTemperature OPTIONAL |
|
pressure |
CargoPressure OPTIONAL |
|
pressureUnits |
PressureUnits OPTIONAL |
|
percentFill |
CargoPercentFill OPTIONAL |
|
weight |
CargoWeight OPTIONAL |
|
weightUnits |
WeightUnits OPTIONAL |
|
descriptive |
UTF8Strings(SIZE(0..400)) OPTIONAL |
|
- любой текст, который необходим для описания состояния единицы груза/упаковки | |
...
}
6.2.3 Фрейм данных: DF_ComVehicleHeader
Использование: различные ключевые коды о типе брутто и состоянии транспортного средства и груза и наличии данных таблички или предупреждения.
Формат:
ComVehicleHeader ::= SEQUENCE {
hasPlacards BOOLEAN OPTIONAL,
- истина, если на транспортном средстве видны плакаты, этикетки или материалы
hasHazmat BOOLEAN OPTIONAL,
- истина, если на транспортном средстве есть какие-либо знаки о перевозке опасных грузов
hasWaste BOOLEAN OPTIONAL,
- истина, если на транспортном средстве есть какие-либо признаки перевозки продуктов с отходами
- из трех описательных флагов перевозчика опасных грузов нужно иметь как минимум два флага, hasHazmat и hasWaste, имеющие значение "истина"
numOfPowerUnits INTEGER(0..255),
- количество силовых установок
- комплект для легковых и грузовых автомобилей
- установить количество двигателей для поездов и барж
- установить 255, если количество силовых установок неизвестно
numOfCargoUnits INTEGER(0..255),
- количество грузовых единиц
- установить на ноль для легковых автомобилей и грузовиков без прицепа
- установить 2 для контейнеровоза с прицепом
- установить 1 для типичных 18-колесных седельных тягачей с одним полуприцепом
- установить количество контейнеров для судна/баржи для перевозки контейнеров
- установить количество всех вагонов для поездов (включая не грузовые вагоны)
- установить 254, если количество грузовых единиц больше 254 единиц
- установить 255, если информация отсутствует
- дополнительную информацию о силовых единицах, грузовых единицах, грузе и плакатах можно найти в других связанных сообщениях.
Использование: этот элемент используется следующей другой структурой данных в этом стандарте.
Описательное имя: DF_CommercialVehicle [ASN.1: CommercialVehicle].
Кроме того, этот элемент может быть использован структурами данных и в других стандартах ИТС.
Примечание - Предупреждения "ОПАСНЫЕ ГРУЗЫ"/этикетки и транспортные документы приведены в других сообщениях.
6.2.4 Фрейм данных: DF_ConcentrationRange
Использование: структуру "диапазон концентраций" используют для предоставления более подробного списка содержимого, составляющего материал. Эта информация может быть полезна для групп реагирования на чрезвычайные ситуации в случаях, когда содержимое недостаточно раскрыто по идентификаторам материалов, торговым наименованиям или наименованиям отгрузки.
Эта структура данных определяет диапазон (мин. и макс.) или конкретное значение процентной концентрации ингредиентов. Минимальное или максимальное значение указано с точностью 0,1 процента. Если ингредиент находится между 0,0 и 0,1, должно быть использовано значение 0,1. Следовые ингредиенты должны быть указаны как 0,1, если другой информации нет. В качестве наименования каждого ингредиента следует использовать его техническое название. Последовательность таких ингредиентов может быть установлена количеством записей, необходимых для описания материала. Эта информация может поступать из источников базы данных, к которым автоматизированная диспетчерская система имеет доступ во многих средах как грузоотправитель, и т.д.
Рекомендуется, чтобы локальные реализации устанавливали максимальное количество таких записей и чтобы они были перечислены в порядке приоритета по реагированию (т.е. наиболее часто встречающиеся по объему, если компонент не представляет большей опасности).
Сводка перечисленных количеств не обязательно будет составлять 100 %, так как часто используются приблизительные диапазоны. Если конкретное значение должно быть передано, оно будет указано в поле min, за которым следует ноль в поле max. Проценты обозначаются по объему (в отличие, например, от веса), если другой формат не является очевидным по типу материала.
Эта структура используется другими структурами, которые в свою очередь обеспечивают более высокий уровень информации о классе опасности, наименовании груза и т.д.
Формат:
ConcentrationRange ::= SEQUENCE {
ingredient SEQUENCE {
min INTEGER(1..1000),
- минимальное или конкретное значение количества ингредиента с точностью до 0,1 процента
- указать значение 1, при значении между 0,1 и 0 процента
max INTEGER(0..1000) OPTIONAL,
- максимальное количество ингредиента
name TechnicalName
- техническое наименование ингредиента
}
6.2.5 Фрейм данных: DF_Contents
Использование: данные о содержании (загрузке) грузовой единицы (прицепа) или полуприцепа.
Формат:
Contents ::= SEQUENCE {
packageType SEQUENCE OF CargoPackageType OPTIONAL,
- тип грузовой единицы/структуры/упаковки
- упаковка, не единица груза, в которой это находится (например, бочки вместимостью 55 галлонов (находятся на/в прицепе))
condition SEQUENCE OF UnitCondition OPTIONAL,
- данные о брутто и состоянии товара, наблюдаемого снаружи
conditionText UTF8Strings(SIZE(0..255)) OPTIONAL,
- любые дополнительные данные о состоянии единицы груза
description UTF8Strings(SIZE(0..400)) OPTIONAL,
- любые дополнительные данные, включаемые при необходимости
item ShippingEntry OPTIONAL,
- структура с маркировкой опасных грузов, отгрузочные записи, группы пакетов, наименование груза, количество и другие данные о товаре
subLocation UTF8Strings(SIZE(0..400)) OPTIONAL,
- описание в свободной форме о размещении предмета внутри грузовой единицы, грузового автомобиля
source FoundOn OPTIONAL,
- источник того, что описано выше
packageUnitID PackageUnitID OPTIONAL,
- уникальная строка для идентификации описания данного контента.
...}
Примечания
1 Эта информационная структура вложена в структуры грузовых или силовых агрегатов для описания внутреннего содержимого, когда оно известно.
Следует использовать эту структуру в случае, когда необходимо описать содержимое груза (внутри структуры груза) или при описании объекта/содержимого, найденного в основной кабине силового агрегата (например, внутри автомобиля или транспортного средства без прицепленного грузового агрегата). Например, ящике опасным грузом, размещенный на заднем сиденье автомобиля, будет описан как находящийся на заднем сиденье, поле "тип упаковки" будет иметь значение "ящик", а поле "элемент" будет заполнено текстовыми предупреждениями и ярлыками.
2 Эта структура подходит как для перевозок с доставкой документов, так и без них.
6.2.6 Фрейм данных: DF_HazGoods
Использование: определяет наличие опасных грузов в составе грузов транспортного средства путем простых истинных или ложных предложений.
Формат:
HazGoods ::= SEQUENCE {
hasPlacards BOOLEAN OPTIONAL,
- указать значение "истина", если на транспортном средстве имеются видимые таблички, ярлыки или идентификационные номера материала (UN, NA, ..)
hasHazmat BOOLEAN OPTIONAL,
- указать значение "истина", если транспортное средство осуществляет перевозку опасных грузов
hasWaste BOOLEAN OPTIONAL,
- указать значение "истина", если транспортное средство осуществляет перевозку отходов производства
- перевозка будет считаться перевозкой опасных отходов, если из трех описательных флагов выше, по крайней мере два флага, hasHazmat и hazWaste, будут иметь значение "истина".
...
}
6.2.7 Фрейм данных: DF_HazardClass
Использование: классификация типа материала, кода (если известно), класса и подкласса (если известно). Флаги для кода и таблички также предоставляются.
Формат:
HazardClass ::= SEQUENCE {
codePresent BOOLEAN OPTIONAL,
- указать значение "истина", если код опасных грузов присутствует
placardsPresent BOOLEAN OPTIONAL,
- указать значение "истина", если табличка или ярлык имеются
class INTEGER (0..9),
division INTEGER (0..9),
- указать значение "ноль", если подкласс не известен или не используется
color-text UTF8String(SIZE(0..200)) OPTIONAL
- это поле должно быть использовано в случаях, когда применяется только основной цвет или рисунок
- отчеты по цвету и рисунку могут сильно варьироваться
...}
6.2.8 Фрейм данных: DF_HazardLevel
Использование: данная структура используется для хранения информации, касающейся уровня опасности груза. Такая информация может быть или может не быть доступна в разных странах в зависимости от местных кодов. В случае, если какие-либо элементы данных недоступны, соответствующее поле не заполняется.
Формат:
HazardLevel ::= SEQUENCE {
damagePresent BOOLEAN OPTIONAL,
- указать значение "истина", если этикетка не видна или повреждена (обычно поле заполняется специалистами аварийно-спасательных служб, выполняющих работы по ликвидации последствий аварии)
codeSystem RatingType,
- NFPA, HMIS или WHMIS
fireHazard INTEGER (0..4),
- в NFPA верхний красный "бриллиант"
- в HMIS второй сверху красный прямоугольник
healthHazard INTEGER (0..4),
- в NFPA левый голубой "бриллиант"
- в HMIS верхний голубой прямоугольник
- NFPA и HMIS не используют одинаковые рейтинги и значения для этого поля
chronicHazard BOOLEAN OPTIONAL,
- используют в HMIS, обозначают звездочкой
instabilityHazard INTEGER (0..4),
- в некоторых текстах также называется "реактивность"
- в NFPA желтый "бриллиант" справа
- в HMIS третий сверху желтый прямоугольник
specialHazard UTF8Strings(SIZE(0..200)),
- в NFPA белый "бриллиант" снизу
- в HMIS белый прямоугольник снизу
labels UTF8Strings(SIZE(0..200)),
- любая другая маркировка, размещенная рядом
other UTF8Strings(SIZE(0..200)),
- любые другие комментарии, касающиеся этих данных
...}
6.2.9 Фрейм данных: DF_MaterialID
Использование: эта структура описывает материал и состав грузов. Она содержит идентификационный номер опасного груза и информацию о системе нумерации, т.е. UN или NA, если известно. Может содержать описание правильного названия отгрузки, присваиваемого департаментом транспорта, а также торговое наименование производителя и состав ключевых химических ингредиентов. Часть этой информации берется непосредственно из товаросопроводительных документов, когда речь идет о коммерческом грузе. В других случаях может использоваться название продукта производителя.
Формат:
MaterialID ::= SEQUENCE {
|
value |
INTEGER(0..10000) |
OPTIONAL, |
|
- идентификатор продукта (по кодам ERG или ООН) | ||
|
type |
MaterialIDReferenceSource |
OPTIONAL, |
|
- коды ООН или нумерация, используемая в примере выше | ||
|
psn |
ProperShippingName |
OPTIONAL, |
|
- правильное наименование отгрузки (PSN) в соответствии с установленными правилами | ||
|
techName |
SEQUENCE OF TechnicalName |
OPTIONAL, |
|
- техническое наименование продукта (основных ингредиентов), одно наименование для каждого ингредиента, при этом не следует добавлять "содержит:" или "добавлено:". Используют данный формат, когда концентрации ингредиентов неизвестны или не имеют значения и нижеследующее содержимое не заполняют | ||
|
contents |
ConcentrationRange |
OPTIONAL, |
|
- техническое наименование продукта с указанием концентрации в процентах - используют данный формат, когда указание концентрации является важным, и не заполняют поле techName | ||
|
packGroup |
INTEGER(0..10) |
OPTIONAL, |
|
- группа упаковки, если известна | ||
|
tradeName |
TradeName |
OPTIONAL, |
|
- торговое наименование продукта или наименование, данное производителем | ||
|
where |
FoundOn |
OPTIONAL |
|
- источник данной информации | ||
...
}
6.2.10 Фрейм данных: DF_PowerUnits
Использование: эта структура данных содержит данные о грузовом автомобиле, поезде или другом силовом агрегате. Силовой агрегат в этом контексте - любой тип транспортного средства с двигателем (а не пассивная единица груза). Некоторые силовые агрегаты могут иметь постоянную грузоподъемность или груз, такой как пассажирское транспортное средство или фургон.
Это дополнительно описано в разделе "тип транспортного средства" во фрейме данных, который включает в себя общую классификацию транспортных средств с акцентом на транспортные средства для коммерческих грузоперевозок. Часть данных транспортного средства позволяет включать юридическую информацию (право собственности, регистрации и т.д.). Связанный текстовый раздел для дополнительной информации позволяет описать любые уникальные требования или план, который должен быть выполнен.
Наконец, в разделе содержимого можно указывать описание груза, включая как дополнительную текстовую информацию, так и грузовую декларацию с правильным названием груза.
Формат:
PowerUnits ::= SEQUENCE {
id PowerUnitID,
- идентификатор для данного устройства/объекта
- (обычно назначается автоматизированной диспетчерской системой)
condition SEQUENCE OF UnitCondition OPTIONAL,
- текущее состояние этого транспортного средства
- помещают наиболее релевантное описание состояния первым в списке
conditionText UTF8Strings(SIZE(0..255)) OPTIONAL,
- любая дополнительная текстовая информация, описывающая состояние данного груза
axleCount AxleCount OPTIONAL,
vehicleType PowerUnitType OPTIONAL,
- список распространенных типов силовых агрегатов
vehicleTypeText UTF8Strings(SIZE(0..100)) OPTIONAL,
- дополнительная текстовая информация, формируемая в случае, если вышеизложенный текст не подходит
towing UTF8Strings(SIZE(0..1000)) OPTIONAL,
- любые дополнительные данные о точках буксировки или процессе восстановления
vehicleData VehicleData OPTIONAL,
- различные данные о транспортном средстве, такие как государственный регистрационный номер, VIN и т.д.
- данные о транспортном средстве могут также быть отправлены в его собственном сообщении
contains SEQUENCE OF Contents OPTIONAL,
- информация о любых конкретных упаковках и грузе, находящихся на транспортном средстве, включает в себя правильное название доставляемых опасных грузов, метки и расположение внутри грузового блока
towingissues UTF8Strings(SIZE(0..255)) OPTIONAL,
- любые особые условия, касающиеся восстановления или буксировки, должны размещаться здесь
- см. CommercialVehicle submessage (в котором используется эта структура)
- для дополнительной информации о коммерческих данных регистрации
...}
6.2.11 Фрейм данных: DF_ShippingEntry
Использование: представление ключевых данных из каждой строки товаросопроводительного документа. Эта структура повторяет информацию, найденную в построчной декларации, которую должен иметь любой коммерческий перевозчик. В сочетании со структурой заголовка отгрузки, используемой в структурах описания груза или содержимого, она обеспечивает средства для отражения документов доставки коммерческого перевозчика. Независимо от этого, он может использоваться для описания груза, "найденного" ответчиком на месте происшествия, а также груза, найденного без транспортных документов.
Формат:
ShippingEntry ::= SEQUENCE {
hm BOOLEAN OPTIONAL,
- установить значение "истина" для опасных грузов
psn ProperShippingName OPTIONAL,
- правильное название отгрузки, присваиваемое департаментом транспорта, правила, изложенные в документах
tradeName TradeName OPTIONAL,
- название продукта, данное производителем, или общепринятое название продукта
nametechName TechnicalName OPTIONAL,
- техническое наименование, добавляемое в случае необходимости
hazardLevel SEQUENCE OF HazardLevel OPTIONAL,
- любая маркировка, в основном наносится на строения и стационарные контейнеры, а не на мобильные средства доставки грузов
hazClass HazardClass,
- класс и подкласс опасного груза
idenNumber MaterialID,
- идентификатор и используемая система ссылок (ERG или ООН)
- при использовании этого фрейма данных элементы данных нижнего уровня должны быть заполнены для установления соответствия, особенно с ProperShippingName, packGroup и TradeName. Технические ингредиенты также должны быть указаны здесь
packGroup INTEGER(0..10) OPTIONAL,
- группа упаковки, в которую входит данная единица
zone IsolationZone OPTIONAL,
- в соответствии с ERG
Other UTF8Strings(SIZE(0..200)) OPTIONAL,
- любая другая информация, которая может быть полезна аварийно-спасательным службам при устранении последствий аварии
quantityUnits UTF8Strings(SIZE(0..20)),
- количество в единицах измерения этого груза (например, 20 фунтов). Это можно указать, используя текст и единицы измерения, взятые из кодов ITIS для единиц измерения
emgContact UTF8Strings(SIZE(0..100)) OPTIONAL,
- любая построчная контактная информация
...}
6.2.12 Фрейм данных: DF_ShippingHeader
Использование: часть "заголовка" комплекта документов на упаковку. Эта структура копирует определенную информацию из декларации. В сочетании со структурой данных о перевозке, она используется в структурах данных о грузе для формирования документов на доставку коммерческого перевозчика.
Формат:
ShippingHeader ::= SEQUENCE {
foundIn CargoUnitID OPTIONAL,
- единица груза, к которой относится этот заголовок, т.е. к какой единице груза могут относиться записи (которые следуют)
- нет данных, привязывающих группу пакетов к местоположению
- место, где находится груз
foundIn2 PowerUnitID OPTIONAL,
- используется, когда груз находится в транспортном средстве. Эта ситуация часто возникает с пассажирскими транспортными средствами
- используется при перевозке медицинских образцов (биологическая опасность) или различных торговых материалов
shipperName UTF8Strings(SIZE(0..200)) OPTIONAL,
- имя и контактный номер грузоотправителя и любой номер аварийно-спасательной службы
haulerName UTF8Strings(SIZE(0..200)) OPTIONAL,
- имя и контактный номер автоперевозчика
miscOther UTF8Strings(SIZE(0..1000)) OPTIONAL,
- любая другая информация, полезная для аварийно-спасательных служб
...}
6.2.13 Data frame: DF_VehicleData
Использование: общие данные, найденные в установках автомобиля.
Формат:
VehicleData ::= SEQUENCE {
vin Identity-VIN OPTIONAL,
- VIN номер транспортного средства
- VIN транспортного средства. Изготовитель, модель и другие данные кодируются серийными номерами
make UTF8Strings(SIZE(0..30)) OPTIONAL,
model UTF8Strings(SIZE(0..30)) OPTIONAL,
Colour Vehicle-Color OPTIONAL,
year INTEGER(1900..3000) OPTIONAL,
plate Identity-plate OPTIONAL,
type Identity-plate-type OPTIONAL,
- тип регистрационного номера транспортного средства
origin Identity-plate-origin OPTIONAL,
- происхождение регистрационного номера штат/регион/страна
id Identity-carrier-id OPTIONAL,
- идентификатор владельца/оператора
fleetnum Identity-number OPTIONAL,
- любой идентификатор или номер транспортного средства
text UTF8Strings(SIZE(0..4000)) OPTIONAL,
- прочая информация
axleCount AxleCount,
driverNameFirst UTF8Strings(SIZE(0..40)) OPTIONAL,
- может измениться на использование имен ITS/ITE
driverNameLast UTF8Strings(SIZE(0..40)) OPTIONAL,
driverLic UTF8Strings(SIZE(0..30)) OPTIONAL,
driverLicType UTF8Strings(SIZE(0..30)) OPTIONAL,
- тип и одобрение
driverLiclssuingState UTF8Strings(SIZE(2)) OPTIONAL,
- использовать коды ANSI D20
driverContactNumber UTF8Strings(SIZE(0..20)) OPTIONAL,
...}
6.3.1 Введение
Сообщения, указанные в предложении Data messages, должны состоять из фреймов данных из предыдущего предложения и элементов данных, указанных в этом пункте. В некоторых случаях элемент данных адаптируется или определяется в другом стандарте. В этом случае следует обращаться к указанному стандарту.
6.3.2 Элемент данных: DE_AxleCount
Использование: Количество осей, которые имеет транспортное средство. Обычно используется при описании грузовых единиц или силовых агрегатов.
Формат:
AxleCount ::= INTEGER (0..16)
- использовать ноль, если значение не известно
6.3.3 Data element: DE_CargoPackageType
Использование: общие типы грузовых единиц и типов упаковки (объединены в один список). Наиболее распространенные типы грузовых контейнеров и единиц классифицируются здесь. Когда тип не найден, можно использовать описание в произвольном формате. Другие системы автоматизированного диспетчерского управления могут фильтровать и отвечать на основе этих кодов; поэтому ввод данных кодов предпочтительнее свободного текстового описания. Список также содержит распространенные типы единиц упаковки (часто встречающиеся внутри единицы груза). В этом контексте единица упаковки представляет собой тип контейнера, внутреннее содержимое которого может быть или может не быть известным. Ответственность за проектирование системы автоматизированного диспетчерского управления заключается в том, чтобы предотвратить ввод данных "бессмысленного" заказа грузовых мест внутри упаковочных материалов.
Формат:
CargoPackageType ::= ENUMERATED {
|
unknown |
(0), |
|
freeText |
(1) - текстовое описание, |
|
none |
(2) - грузовые единицы не используются, |
|
aerosolCan |
(3) - одна или более, |
|
automotiveTransporter |
(4) - используется для грузовиков или прицепов, |
|
bobtailTank |
(5), |
|
bottlerBody |
(6) - для перевозки напитков, |
|
boxCar |
(7) - универсальный смешанный груз, |
|
boxTrailer |
(8), |
|
bulkPackage |
(9), |
|
cargoTank |
(10), |
|
chassisTrailer |
(11), |
|
compressedGasCylinder |
(12), |
|
compressedLiquefiedGases |
(13), |
|
container |
(14) - универсальные контейнеры (не на колесах), |
|
corrosiveLiquidTank1 |
(15) - МС-312 или DOT-412, |
|
cryogenicLiquidTank2 |
(16) - МС-338, |
|
dromedaryTractor |
(17), |
|
drum-1a1 |
(18) - (250 л, прочие), |
|
drum-1a2 |
(19) - (250 л, прочие), |
|
dryBulkCargoTanker |
(20), |
|
earthenwareReceptacle |
(21), |
|
fiberboardBox |
(22), |
|
fiberboardBoxes |
(23), |
|
fiberDrumsNonRemoveableHead |
(24), |
|
fiberDrumsRemoveableHead |
(25), |
|
fiberPailsNonRemoveableHead |
(26), |
|
fiberPailsRemoveableHead |
(27), |
|
furnitureVanBody |
(28) - стиль падения движущегося фургона, |
|
glassReceptacle |
(29), |
|
hCNtankcar |
(30) - (цианистый водород) и DOT105a500, |
|
highPressureTank |
(31) - МС330 или МС-331, |
|
hopper |
(32) - используется только сухогрузами, |
|
horseVanBody |
(33) - используется для седельных лошадей, |
|
intermediateBulkContainer |
(34), |
|
intermediateBulkPackage |
(35), |
|
interModalFreightContainer |
(36), |
|
interModalPortableTank |
(37), |
|
jerryCanMetal |
(38) - 68 литров или меньше, |
|
jerryCanPlastic |
(39) - 68 литров или меньше, используется также для перевозки прочих грузов, |
|
largePackages |
(40), |
|
livestockTrailer |
(41), |
|
logBody |
(42) - также используется для прицепов, перевозящих длинномерные грузы, |
|
lowPressureChemicalTank |
(43) - МС307 или DOT-407, |
|
lowPressureTankCar |
(44) - для различных жидкостей, |
|
metalBox |
(45), |
|
metalDrumsNonRemoveableHead |
(46), |
|
metalDrumsRemoveableHead |
(47), |
|
metalPailsNonRemoveableHead |
(48), |
|
metalPailsRemoveableHead |
(49), |
|
metalReceptacle |
(50), |
|
michiganTrailer |
(51) - транспортное средство вместимостью до 140,000 фунтов, |
|
mixedCargo |
(52), |
|
nonpressureLiquidTank |
(53) - MC306/DOT-406, |
|
nursetank |
(54), |
|
plasticDrumsNonRemoveableHead |
(55), |
|
plasticDrumsRemoveableHead |
(56), |
|
plasticPailsNonRemoveableHead |
(57), |
|
plasticPailsRemoveableHead |
(58), |
|
plasticReceptacle |
(59), |
|
poleTrailer |
(60), |
|
portableTank |
(61), |
|
pressurizedTankCar |
(62), |
|
rrBoxCar |
(63), |
|
rrContainerOnFlatCar |
(64) - также известен под обозначением COFC, |
|
rrFlatCar |
(65), |
|
rrTankCar |
(66), |
|
rrTrailerOnFlatCar |
(67) - также известен под обозначением TOFC, |
|
stakeBodyTrailer |
(68), |
|
stakeBodyTruck |
(69) - подсоединяется к силовой установке |
|
tankTrailer |
(70), |
|
tanktruck |
(71) - для различных жидкостей, тип не известен, |
|
tubeTrailer |
(72) - используется для перевозки различных сжатых газов, |
|
unPortableTank |
(73), |
|
woodBox |
(74) - один или более, |
|
woodenBarrel |
(75) - одна или более |
- коды от 100 до 180 могут использоваться для маркировки упаковки ООН, от 180 до 255 местными реализациями...}
6.3.4 Элемент данных: DE_CargoPercentFill
Использование: количество груза, содержащегося в упаковке (контейнере), в процентах от общего объема. Это обычно используется для жидкой или сухой насыпной упаковки, но может использоваться и тогда, когда такая мера уместна.
Формат:
CargoPercentFill ::= INTEGER (SIZE(0..250))
- количество груза в процентах от общего объема (не максимальный уровень заполнения)
- разрешение 1 % на бит.
6.3.5 Элемент данных: DE_CargoPressure
Использование: измеренное давление газа или газожидкостной смеси, заключенных/содержащихся в упаковке (контейнере).
Формат:
CargoPressure ::= INTEGER (SIZE(0..65535))
- давление в грузовом контейнере, измеренное в единицах, определенных элементом данных PressureUnits
- разрешение составляет 1 единицу на бит.
6.3.6 Элемент данных: DE_CargoTemperature
Использование: измеренная температура груза в упаковке (контейнере).
Формат:
CargoTemperature ::= INTEGER (SIZE(0..65535))
- температура груза в градусах Кельвина с разрешением 1 градус на бит.
6.3.7 Элемент данных: DE_CargoUnitID
Использование: строка, указывающая на грузовую единицу (например, прицеп, контейнер). Элемент данных определяет буквенно-цифровую строку, используемую для отслеживания и ссылки на различные описания, созданные при использовании этого набора сообщений. Крайне важно, чтобы организации, использующие набор сообщений, соглашались следовать общим правилам при создании и использовании таких идентификаторов. Сам набор сообщений не устанавливает каких-либо ограничений. Однако поддерживается концепция вложенности для создания "полностью квалифицированного пути", а также просто обеспечение того, чтобы все созданные строки были уникальными внутри используемых агентств на протяжении жизни и любой аварийной ситуации. Стандарт не устанавливает никаких ограничений в отношении "глубины" любого такого вложения, однако в практическом плане местные учреждения должны устанавливать такие ограничения. Ограничение в восемь элементов, как правило, будет достаточным для всех потребностей. В качестве примера рассмотрим идентификатор сообщения, состоящий из последовательности путей, таких как: агентство/оператор, номер аварии, номер подсообщения, единица транспортного средства, единица груза и единица упаковки. В качестве альтернативы, установление правил для создания набора уникальных значений каждым поставщиком данных часто может оказаться более простым в управлении для нескольких учреждений. (т.е. Event-100-Veh_12-Cargo_34-Pack_67 будет действительным с определениями, приведенными ниже).
Формат:
CargoUnitID ::= UTF8Strings (SIZE(0..50))
Примечание - Как правило, генератором назначается CAD для отслеживания каждого задействованного грузового блока.
6.3.8 Элемент данных: DE_CargoVolume
Использование: объем груза.
Формат:
CargoVolume ::= INTEGER (SIZE(0..65535))
- объем груза с разрешением в 1 бит на единицу измерения
- единицы измерения определяются в элементе данных DE_CargoUnits
6.3.9 Элемент данных: DE_CargoWeight
Использование: относится к весу нетто содержимого упаковки, а не к упаковке
Формат:
CargoWeight ::= INTEGER (SIZE(0..65535))
- вес груза с разрешением 1 единица веса на бит.
- единицы измерения определяются в элементе данных DE_CargoUnits
6.3.10 Элемент данных: DE_CategoryTypes
Использование: различные метки, обычно встречающиеся в маркировке упаковки, которые используются для определения подходящего ответа в случае чрезвычайной ситуации.
Формат:
CategoryTypes ::= ENUMERATED {
|
unknown |
(0), |
|
noneArePresent |
(1), |
|
danger |
(2) - при использовании в сообщении должно быть задано соответствующее логическое значение, |
|
dangerousWastes |
(3), |
|
elevatedTemperature |
(4), |
|
empty |
(5) |
|
environmentallyHazardous |
(6), |
|
environmentalWaste |
(7), |
|
forAircraft |
(8), |
|
fumigation |
(9), |
|
hazardousSubstance |
(10), |
|
hazardousWaste |
(11), |
|
hot |
(12), |
|
inhalationHazard |
(13), |
|
innerPackagesComply |
(14), |
|
irritant |
(15), |
|
marinePollutant |
(16), |
|
molten |
(17), |
|
oRMD |
(18) - другие регламентирующие материалы, |
|
packageOrientation |
(19), |
|
subsidiaryRiskLabel |
(20), |
...
}
6.3.11 Элемент данных: DE_ComReg
Использование: коммерческие регистрационные значения, полученные на коммерческих транспортных средствах от регистрационного органа, в котором зарегистрировано транспортное средство.
Формат:
ComReg ::= UTF8Strings (SIZE(0..200))
- текстовый формат строки коммерческой регистрации
- например "US DOT 123456" "ICC 123456" "СА 12345" "ON-1234"
- следует избегать цифр без буквенных обозначений
- существует большое разнообразие в обозначении
- CAD-система отвечает за сортировку
- классификация входных данных в любые необходимые структуры
Примечание - Номерные знаки и типы транспортных средств можно найти на силовых установках автомобиля.
6.3.12 Элемент данных: DE_FoundOn
Использование: где номер материала может быть визуально найден и/или проверен. В отсутствие квалифицированного первого участника на месте может обеспечить уровень проверки и качества для информации, передаваемой обратно в CAD и обменивающейся с другими. Неизвестное значение должно использоваться, если в качестве стандартной рабочей процедуры реализация CAD не запрашивает или не получает этот элемент данных.
Формат:
FoundOn ::= ENUMERATED {
|
unknown |
(0), |
|
orangePanel |
(1) - на панели стандартного оранжевого цвета отображается номер, указывающий на идентификационный номер ООН, |
|
insidePlacard |
(2) - номер отображается внутри таблички класса/подразделения или метки, |
|
printedNum |
(3) - номер отображается в виде текста (возможно, с присутствием ООН или НС), |
|
printedText |
(4) - появится напечатанный текст (возможно, название продукта или торговой марки), |
|
shippingPapers |
(5) - информация, из отгрузочных или иных документов (декларации, документов отгрузки), |
|
shipperFirm |
(6) - информация, предоставленная фирмой, которая осуществляет отгрузку (как правило, предоставляется корпоративным офисом), |
|
haulerFirm |
(7) - информация, предоставленная фирмой, которая осуществляет отгрузку (как правило, предоставляется корпоративным офисом), |
|
verbalReport |
(8) - информация, полученная от водителя или другого устного источника, |
|
identByPlumes |
(9) - информация, полученная от водителя или другого устного источника, полученная по цвету дыма/пламени, запаху или другим наблюдаемым характеристикам, |
|
other |
(10) - номер/данные, найденные в другом месте (могут быть подозрением, что это не номер материала) |
6.3.13 Элемент данных: DE_Legends
Использование: ярлыки и заявления относительно опасности или содержания.
Формат:
Legends ::= UTF8Strings (SIZE(0..200))
6.3.14 Элемент данных: DE_ITIScodes
Использование: коды ITIS - это широко распространенный набор фраз, закодированных общим номером во всей отрасли ITIS и ее наборах сообщений. Эти коды равномерно используются как для обеспечения перекрестной связи между различными наборами сообщений, так и для обеспечения более автоматизированной сортировки и фильтрации того, что в противном случае было бы свободным текстовым описанием событий. Часто коды могут быть использованы совместно со свободным текстом, чтобы обеспечить полное описание, которое полностью сортируется для автоматизированного процесса.
Формат:
ITIScodes ::= INTEGER (0..65535)
- прототип для значений кода
- это большой набор общих кодов и фраз, используемых в ИТС
6.3.15 Элемент данных: DE_PackageUnitID
Использование: строка, однозначно указывающая на единицу упаковки (одну единицу груза). Элемент данных определяет альфа-строку, используемую для отслеживания и ссылки на различные описания, созданные при использовании этого набора сообщений. Крайне важно, чтобы учреждения, использующие набор сообщений, соглашались следовать общим правилам при создании и использовании таких идентификаторов. Набор сообщений сам по себе не накладывает никаких таких ограничений, но концепция вложенности для создания "полного пути" поддерживается, а также просто гарантирует, что все созданные строки уникальны в пределах используемых агентств в течение жизни и любого данного инцидентного события. Стандарт не устанавливает никаких ограничений в отношении "глубины" любого такого вложения, однако в практическом плане местные учреждения должны устанавливать такие ограничения. Ограничение в восемь элементов, как правило, будет достаточным для всех потребностей. В качестве примера рассмотрим идентификатор сообщения, состоящий из последовательности путей, таких как: агентство/оператор, номер аварии, номер подсообщения, единица транспортного средства, единица груза и единица упаковки. В качестве альтернативы, установление правил для создания набора уникальных значений каждым поставщиком данных часто может оказаться более простым в управлении для нескольких учреждений, (т.е. Event-100-Veh_12-Cargo_34-Pack_67 будет действительным с определениями приведенными ниже).
Формат:
PackageUnitID ::= UTF8Strings (SIZE(0..50))
Примечание - Как правило, они назначаются формирующим CAD для отслеживания каждой задействованной единицы упаковки.
6.3.16 Элемент данных: DE_PowerUnitID
Использование: строка для однозначного обозначения силового агрегата (транспортное средство, вагон, полуприцеп, поезд, баржа). Элемент данных определяет альфа-строку, используемую для отслеживания и ссылки на различные описания, созданные при использовании этого набора сообщений. Крайне важно, чтобы учреждения, использующие набор сообщений, соглашались следовать общим правилам при создании и использовании таких идентификаторов. Набор сообщений сам по себе не накладывает никаких таких ограничений, но концепция вложенности для создания "полного пути" поддерживается, а также просто гарантирует, что все созданные строки уникальны в пределах используемых агентств в течение жизни и любого данного инцидентного события. Стандарт не устанавливает никаких ограничений в отношении "глубины" любого такого вложения, однако в практическом плане местные учреждения должны устанавливать такие ограничения. Ограничение в восемь элементов, как правило, будет достаточным для всех потребностей. В качестве примера рассмотрим идентификатор сообщения, состоящий из последовательности путей, таких как: агентство/оператор, номер аварии, номер подсообщения, единица транспортного средства, единица груза и единица упаковки. В качестве альтернативы, установление правил для создания набора уникальных значений каждым поставщиком данных часто может оказаться более простым в управлении для нескольких учреждений.
Формат: PowerUnitID ::= UTF8Strings (SIZE(0..50))
Примечание - Они обычно назначаются генерирующим CAD для отслеживания каждого задействованного грузового блока.
6.3.17 Элемент данных: DE_PowerUnitType
Использование: распространенные типы классификаций силовых агрегатов. Набор перечисленных типов применяется для описания типа используемого транспортного средства. Это может повлиять на тип ответа, которым ответят на событие (размер эвакуатора или буксира, количество отправленных транспортных средств и т.д.). Этот перечень ориентирован на потребности ответчиков в понимании задействованных транспортных средств. Другие системы отчетности (например, тип приложения базы данных отчетов о несчастных случаях на дорогах) должны будут разрабатывать сопоставления с другими списками в рамках внутреннего проектирования CAD, когда это необходимо. Значение "none" должно использоваться, когда этот элемент не применяется. Значение "unknown" должно использоваться, когда элемент применяется, но точное значение (пока) неизвестно. Значение "freeText" следует использовать только в том случае, если текст содержит подходящую запись, присутствующую в сопроводительном сообщении. Это обычно происходит во время события, когда правильный тип транспортного средства не входит в список.
Формат:
PowerUnitType ::= ENUMERATED {
|
unknown |
(0) - данные недоступны или еще не известны, |
|
none |
(1) - силовой агрегат не задействован, используется при нахождении грузового агрегата в свободном положении, |
|
freeText |
(2) - текст использует сообщение, когда имеет описание, |
|
dumpTruck |
(3), |
|
endDumpTrailer |
(4), |
|
farmTractor |
(5), |
|
farmTractorAndTrailer |
(6), |
|
hazMatCargoTankTrailer |
(7), |
|
hazMatTankTruck |
(8), |
|
passengerCarAndTrailer |
(9), |
|
semiTractor |
(10), |
|
straightTruck |
(11), |
|
straightTruckAndFullTrailer |
(12), |
|
tractorAndDoubleTrailers |
(13), |
|
tractorAndTripleTrailers |
(14), |
|
tractorTrailerCombination |
(15), |
|
bellyDumpTrailer |
(16), |
|
bicycle |
(17), |
|
busSchool |
(18), |
|
busTransit |
(19), |
|
busArticulated |
(20), |
|
fixedCargoTruck |
(21), |
|
helicopter |
(22), |
|
limo |
(23), |
|
moped |
(24), |
|
motorCoach |
(25), |
|
motorcycle |
(26), |
|
passengerCar |
(27), |
|
passengerVan |
(28), |
|
pickupTruck |
(29), |
|
pickupTruckAndTrailer |
(30), |
|
private-plane |
(31) - используется для всех самолетов, одиночных или многоопорных, вместимостью менее 10 человек, |
|
commercial-plane |
(32) - используется для всех самолетов вместимостью более 10 человек, |
|
rrTrain |
(33) - механизм, |
|
sideDumpTrailer 1 |
(34), |
|
smallTruck |
(35), |
|
agitatorBody |
(36) - автобетоносмеситель, |
|
bobTailTruckFxd |
(37) - при обнаружении фиксированного (прикрепленного) груза (это также грузовой термин), |
|
vanTruck |
(38), |
|
wrecker |
(39) - для локальных элементов могут использоваться значения всех типов и размеров от 128 до 255 |
6.3.18 Элемент данных: DE_PressureUnits
Использование: единицы измерения, используемые элементом данных о давлении груза. Поскольку существует экстремальный диапазон возможных давлений, предпочтительно иметь несколько блоков, а не один блок с необходимым диапазоном и разрешением, требуемым для всех возможных сценариев.
Формат:
PressureUnits ::= ENUMERATED {
|
pascals |
(0), |
|
kilopascals |
(1), |
|
bar |
(2), |
|
mmHg |
(3) |
6.3.19 Элемент данных: DE_ProperShippingName
Использование: надлежащее отгрузочное наименование (PSN) для рассматриваемого материала, определенное авторитетным источником (обычно ООН). Многие продукты имеют коммерческие или торговые названия, продвигаемые производством. Как правило, они переводятся в общий PSN в качестве требования для подготовки коммерческих товаросопроводительных документов. Такие имена также используются сообществом респондентов.
Формат:
ProperShippingName ::= UTF8Strings (SIZE(0..255)) - надлежащее отгрузочное наименование (PSN)
6.3.20 Элемент данных: DE_RatingType
Использование: Тип используемой системы оценки меток. Как правило, это либо "бриллиантовый" рейтинг, либо "прямоугольники" системы WHMIS. Важно знать, какая рейтинговая система используется, поскольку рейтинги категорий не совпадают. Критерии оценки для категорий маркировки воспламеняемости и реактивности.
Формат:
RatingType ::= ENUMERATED {
|
unknown |
(0) - использовать, когда рейтинговые системы не известны, |
|
NFPA |
(1) - использовать "бриллиантовый" рейтинг |
|
whmis |
(2) - использовать при "прямоугольном" рейтинге |
|
ghs |
(3) - использовать при внедрении глобальной системы гармонизации в 2008 году |
|
} |
- значения свыше 127 могут использоваться локальными реализациями |
6.3.21 Элемент данных: DE_MaterialIDReferenceSource
Использование: Формат идентификатора материала (ООН/НС), если он известен.
Формат:
MaterialIDReferenceSource ::= ENUMERATED {
|
unknown |
(0), |
|
na |
(1) - система нумерации NA, например, североамериканская, |
|
un |
(2) - нумерации счисления ООН, |
|
lc |
(3) - локальные кодовые номера LC |
6.3.22 Элемент данных: DE_refToPlacards
Использование: уникальный код для ссылки на любое сообщение IDX с табло или предупреждающие данные для транспортного средства.
Формат:
refToPlacards ::= UTF8Strings(SIZE(0..15))
Примечание - Обычно назначаются генерирующим CAD для связывания каждого груза с его табло информации.
6.3.23 Элемент данных: DE_TechnicalName
Использование: наименование материала, предоставленного изготовителем или грузоотправителем. Это может быть то же самое, что и PSN, и в этом случае его не нужно повторять (это необязательно при использовании в сообщениях). Как правило, оно отражает главные используемые компоненты. Следует избегать использования здесь торговых названий. См. также: DE_TradeName.
Формат:
TechnicalName ::= UTF8Strings (SIZE(0..250))
- техническое наименование продукта
6.3.24 Элемент данных: Data element: DE_TradeName
Использование: название продукта или общее торговое наименование материала. Часто такое имя может использоваться совместно с внешними базами данных участников для определения содержания продукта и, следовательно, подходящего ответа. Зарегистрированные или авторские знаки не должны использоваться при вводе этого имени (© или ®). Это отличается от ключевых ингредиентов (обычно состоящих из химических названий) или надлежащего отгрузочного наименования (регламентированного набора терминов для описания аспектов опасности материала). См. также DE_ProperShippingName и DE_TechnicalName.
Формат:
TradeName ::= UTF8Strings (SIZE(0..250))
- продукт или фирменное наименование изготовителя
6.3.25 Элемент данных: DE_UniqueConsignmentReference
Использование: уникальный консигнационный справочник - это уникальный идентификатор Всемирной таможенной организации для взаимосвязанных поддоменов цепочки поставок.
Формат:
UniqueConsignmentReference ::= UTF8String (SIZE(0..35)) OPTIONAL
6.3.26 Элемент данных: DE_UnitCondition
Использование: общее состояние силового агрегата, грузовой единицы или груза в целом. Этот элемент используется для отражения общего состояния устройства и обычно не вводится в бортовые данные. Этот элемент данных используется главным образом в тех случаях, когда наблюдатели на дорогах, такие как полиция или аварийные группы реагирования, прибывают на место и направляют данные в центральный центр управления. Может применяться более одного кода. Значение "unknown" следует использовать, когда условие не может быть установлено. Значение "intact" следует использовать, когда условия кажутся нормальными.
Формат: UnitCondition ::= ENUMERATED {
|
unknown |
(0) | |
|
seeText |
(1) - текстовое сообщение содержит дополнительную информацию помимо этих элементов, | |
|
abandoned |
(2) - используется для силового агрегата и груза, найденного без явного владельца и дающего указание на длительное нахождение в одном положении (а не просто отключенного на обочине дороги), | |
|
blownTire |
(3) - один или несколько, включая шины, поврежденные ударом и огнем, | |
|
contaminated |
(4), | |
|
damaged |
(5) - любая форма повреждения к блоку, улавливает все для кода повреждения не определенного здесь, | |
|
derailed |
(6) - использование для поездов и любых грузов, требующих замены/возврата оборудования в надлежащее положение для буксировки, | |
|
disabled |
(7) - неспособный передвигаться самостоятельно, не способный буксировать груз, | |
|
evidence |
(8) - использованный для любого вида места преступления, где нарушать блок нельзя, | |
|
intact |
(9) - нет видимого повреждения и предполагается, что он работает правильно, - используйте это значение, если предполагается, что никакого повреждения не произошло | |
|
knownOperational |
(10) - когда блок подтвержден компетентным источником как функциональный (т.е. без повреждений) и может быть использован/перемещен - это может потребовать процесса проверки | |
|
- Утечки | ||
|
leakingFluidsFromUnit |
(11) - утечка либо силового агрегата, либо грузового агрегата, а не самого груза, | |
|
leakingFluidsFromCargo |
(12) - утечка из содержимого груза, | |
|
multipleLeaksFromUnit |
(13) - утечка из нескольких точек либо силового агрегата, либо грузового агрегата, а не из самого груза, | |
|
multipleLeaksFromCargo |
(14) - утечка из нескольких точек содержимого груза, | |
|
leakingCorrosives |
(15) - утечка агрессивных жидкостей (например, кислоты) | |
|
- Температура и окружающая среда | ||
|
mustNotAllowToFreeze |
(16), | |
|
lossOfRefrigerationGeneral |
(17) - используется для холодильных установок в целом и продовольственных транспортных единиц | |
|
lossOfRefrigerationChemical |
(18) - используется для "контроля температуры" химических веществ | |
|
magneticMaterials |
(19) - использованный с сильными магнитными полями или когда ярлык "намагниченного материала" присутствует | |
|
- Иные | ||
|
onFire |
(20) - используется при пожаре и после пожара, | |
|
hasGasTank |
(21) - блок (как правило, грузовой) имеет собственный источник подачи газа/топлива, встроенный в него, не используется для энергоблоков, | |
|
overturnedOnSide |
(22) - любое условие, кроме вертикального или перевернутого наверх, | |
|
overturnedOnTop |
(23), | |
|
requiresCrane |
(24) - любой вид повреждений, при которых для удаления потребуется кран или другое оборудование (а не просто опрокидывание), | |
|
requiresUnloading |
(25) - содержимое должно быть выгружено, | |
|
unloadBeforeMove |
(26) - содержимое должно быть выгружено перед любым перемещением, | |
|
shedLoad |
(27) - грузовая единица (например, контейнерный трейлер) потеряла нагрузку или нагрузка стала нестабильной для движения, | |
|
sinking |
(28) - установка находится в воде (и не является лодкой) или активно набирает воду, | |
|
submerged |
(29) - установка осела в воду (больше не тонет, больше нет никакой возможности предотвратить дальнейшее затопление) | |
6.3.27 Элемент данных: DE_VolumeUnits
Использование: единицы измерения объема, используемые элементом данных CargVolume.
Формат:
VolumeUnits ::= ENUMERATED {
|
литры |
(0), | |
|
кубические метры |
(1) |
6.3.28 Элемент данных: DE_WeightUnits
Использование: Единицы измерения веса, используемые элементом данных CargWeight.
Формат:
WeightUnits ::= ENUMERATED {
|
килограммы |
(0), | |
|
фунты |
(1) |
Приложение А
(справочное)
А.1 Общие положения
Для поддержания совместимости с другими стандартами, в некоторых сообщениях есть случайные элементы данных, которые включены, но не используются. В каждом случае эти элементы данных определяются как "OPTIONAL". Когда в ASN.1 соблюдаются правила кодирования, то используется бит (автоматически вставляется флаг) для указания наличия или отсутствия этого элемента данных в сообщении. Сохраняя эти неиспользуемые элементы данных в сообщении, этот бит сохраняется в конечном закодированном сообщении. Это позволит напрямую передавать такие сообщения в придорожную систему, соответствующую другим стандартам. Затем система, которую использует персонал аварийного реагирования, может предоставлять такие дополнительные данные в сообщение до его передачи в центры управления. Если бы эти поля были устранены, то потребовалось бы перекодировать сообщение до его передачи в центры управления.
Груз может быть определен как любая комбинация транспортных грузов, пакетов, поддонов и/или контейнеров. Каждый из них может быть вложен в любую комбинацию, как показано на рисунке А.1. Грузы более высокого порядка (пакеты, поддоны и контейнеры) могут содержать любое количество элементов.

Рисунок А.1 - Транспортный груз, упаковка, поддоны и/или контейнеры
Приведены три примера использования сообщений и элементов данных, содержащихся в настоящем стандарте. Первый относится к простой электронной информации для размещения информационных табло. Второй определяет всю транспортную единицу (коммерческий грузовик) и ее содержимое, хотя нет разбивки на несколько последовательностей, которые обычно происходят, когда несколько грузовых единиц включены в груз. В третьем примере показано, как использовать последовательность сообщений и элементов для определения нагрузки, состоящей из нескольких элементов.
А.2 Только данные табличек
На рисунке А.2 показано, как использовать элементы сообщения и данных для определения информации, относящейся к табличкам и этикеткам опасных грузов. Это сообщение содержит только информацию о табличке/этикетке и не содержит ничего о упаковке или состоянии товара. Это следует повторить для каждой эквивалентной таблички, которая может существовать. Если имеется несколько прицепов, то для каждого прицепа должна быть установлена одна табличка.

Рисунок А.2 - Вложение сообщений и элементов данных для определения данных
Ниже приводится общее содержание сообщения PlacardsAndLabels. Это не отражает фактические закодированные поля, которые вставляются как часть ASN.1-кодировки.


А.3 Идентификация транспортного средства и данные о нагрузке
Это сообщение может содержать полный набор данных о транспортном средстве, всех прицепах, которые оно может буксировать, и описание груза. Для идентификации самого транспортного средства, а не его содержимого (груза), опция DF_Contents не используется.

1 - силовой агрегат; 2 - грузовая единица (силовой агрегат с грузом); 3 - грузовая единица (прицеп с грузом); а - заголовок предназначен для всей транспортной единицы; б - может быть любое количество грузовых единиц, используя последовательность DF_CargoUnits для описания каждого; в - описывает нагрузку блока питания; г - описывает нагрузку единицы груза; д - с помощью различных опций, доступных с возможностью Sequence, можно определить иерархический набор упаковок и поддонов в пределах одной грузовой единицы
Рисунок А.3 - Идентификация транспортного средства, которое может включать несколько единиц нагрузки
Следующее сообщение коммерческого транспортного средства может происходить как один экземпляр или как последовательность, что позволяет описывать серию транспортных единиц в одном сообщении.




А.4 Содержание/идентификация загрузки
Груз может быть определен как любая комбинация транспортных грузов, упаковок (пакетов), поддонов и/или контейнеров. Каждый из них может быть вложен в любую комбинацию, как показано на рисунке А.4. В грузах более высокого порядка упаковок (пакетов), поддонов и контейнеров может быть любое количество подэлементов.

Рисунок А.4 - Содержание/идентификация загрузки
Примечание - Товары могут быть упакованы в любое из различных средств, и каждый тип упаковки может содержаться в упаковках более высокого уровня, чтобы составить полный груз, подлежащий перевозке.

Рисунок А.5 - Пример транспортного груза, включающего несколько подэлементов
В следующем примере акцент делается на том, как определить более сложную нагрузку, такую как изображена в примере. Таким образом, будет дана только информация, показывающая это. Те элементы данных, которые не поддерживают этот пример, не будут детализированы. Кроме того, для упрощения примера предполагается, что опасные грузы отсутствуют.



Приложение Б
(справочное)
Б.1 Перевозка опасных грузов от места отправления до места назначения может осуществляться интермодально или оставаться в рамках одного вида транспорта. Рисунок Б.1 иллюстрирует системную конфигурацию системы для перевозки опасных грузов в нормальных и аварийных условиях.

Рисунок Б.1 - Системная конфигурация системы для перевозки опасных грузов в нормальных и аварийных условиях


