Утв. и введен в действие приказом Федерального агентства по техническому регулированию и метрологии от 17 марта 2020 г. N 10-пнст
Предварительный национальный стандарт ПНСТ 399-2020
"ДОРОГИ АВТОМОБИЛЬНЫЕ ОБЩЕГО ПОЛЬЗОВАНИЯ. МАТЕРИАЛЫ ВЯЖУЩИЕ НЕФТЯНЫЕ БИТУМНЫЕ. МЕТОД ОПРЕДЕЛЕНИЯ ДЕФОРМАЦИЙ ПРИ СДВИГОВЫХ ВОЗДЕЙСТВИЯХ"
Automobile roads of general use. Petroleum-based bitumen binders. The method for determining the deformations at shear impacts
ОКС 93.080.20
Срок действия - с 1 мая 2020 г.
до 1 мая 2023 г.
Предисловие
1 Разработан Обществом с ограниченной ответственностью "Инновационный технический центр" (ООО "ИТЦ")
2 Внесен Техническим комитетом по стандартизации ТК 418 "Дорожное хозяйство"
3 Утвержден и введен в действие Приказом Федерального агентства по техническому регулированию и метрологии от 17 марта 2020 г. N 10-пнст
1 Область применения
Настоящий стандарт распространяется на нефтяные битумные вяжущие материалы (далее - битумные вяжущие), предназначенные для использования в качестве вяжущего материала при строительстве, ремонте, капитальном ремонте и реконструкции нежестких дорожных одежд, и устанавливает метод определения деформаций при сдвиговых воздействиях.
Метод позволяет определять необратимые деформации при многократном сдвиговом нагружении с применением различных видов реометров и различных типов испытательных систем.
Метод может быть использован для исходного битумного вяжущего, для состаренного битумного вяжущего по ГОСТ 33140, для состаренного битумного вяжущего по ГОСТ Р 58400.5 и для состаренных битумных вяжущих по альтернативным методикам.
2 Нормативные ссылки
В настоящем стандарте использованы нормативные ссылки на следующие стандарты:
ГОСТ 12.1.004 Система стандартов безопасности труда. Пожарная безопасность. Общие требования
ГОСТ 12.1.007 Система стандартов безопасности труда. Вредные вещества. Классификация и общие требования безопасности
ГОСТ 12.1.019 Система стандартов безопасности труда. Электробезопасность. Общие требования и номенклатура видов защиты
ГОСТ 12.1.044 Система стандартов безопасности труда. Пожаровзрывоопасность веществ и материалов. Номенклатура показателей и методы их определения
ГОСТ 12.4.131 Халаты женские. Технические условия
ГОСТ 12.4.132 Халаты мужские. Технические условия
ГОСТ 12.4.252 Система стандартов безопасности труда. Средства индивидуальной защиты рук. Перчатки. Общие технические требования. Методы испытаний
ГОСТ 3134 Уайт-спирит. Технические условия
ГОСТ 33137 Дороги автомобильные общего пользования. Битумы нефтяные дорожные вязкие. Метод определения динамической вязкости ротационным вискозиметром
ГОСТ 33140 Дороги автомобильные общего пользования. Битумы нефтяные дорожные вязкие. Метод определения старения под воздействием высокой температуры и воздуха (метод RTFOT)
ГОСТ Р 58400.5 Дороги автомобильные общего пользования. Материалы вяжущие нефтяные битумные. Метод старения под действием давления и температуры (PAV)
ГОСТ Р 58400.6 Дороги автомобильные общего пользования. Материалы вяжущие нефтяные битумные. Метод определения упругих свойств при многократных сдвиговых нагрузках (MSCR) с использованием динамического сдвигового реометра (DSR)
ГОСТ Р 58400.10 Дороги автомобильные общего пользования. Материалы вяжущие нефтяные битумные. Метод определения свойств с использованием динамического сдвигового реометра (DSR)
Примечание - При пользовании настоящим стандартом целесообразно проверить действие ссылочных стандартов в информационной системе общего пользования - на официальном сайте Федерального агентства по техническому регулированию и метрологии в сети Интернет или по ежегодному информационному указателю "Национальные стандарты", который опубликован по состоянию на 1 января текущего года, и по выпускам информационного указателя "Национальные стандарты" за текущий год. Если заменен ссылочный стандарт, на который дана недатированная ссылка, то рекомендуется использовать действующую версию этого стандарта с учетом всех внесенных в данную версию изменений. Если заменен ссылочный стандарт, на который дана датированная ссылка, то рекомендуется использовать версию этого стандарта с указанным выше годом утверждения (принятия). Если после утверждения национального стандарта в ссылочный стандарт, на который дана датированная ссылка, внесено изменение, затрагивающее положение, на которое дана ссылка, то это положение рекомендуется применять без учета данного изменения. Если ссылочный стандарт отменен без замены, то положение, в котором дана ссылка на него, рекомендуется применять в части, не затрагивающей эту ссылку.
3 Термины и определения
В настоящем стандарте применены термины по ГОСТ 33137, ГОСТ Р 58400.10 и ГОСТ Р 58400.6, а также следующий термин с соответствующим определением:
3.1
|
битумное вяжущее: Органический вяжущий материал, производимый из продуктов переработки нефти с добавлением при необходимости органических модифицирующих добавок.
[ГОСТ Р 58400.1-2019, пункт 3.1]
|
4 Требования к средствам измерений, вспомогательным устройствам, материалам и реактивам
4.1 При выполнении испытаний применяют следующие средства измерений, вспомогательные устройства и реактивы:
- реометр динамического сдвига (DSR) или вискозиметр;
- шпатель для обрезки образца при использовании испытательных систем типа "плита - плита";
- растворитель уайт-спирит для очистки элементов испытательной системы по ГОСТ 3134.
Примечание - Допускается использовать другой растворитель, обеспечивающий удаление остатков битумного вяжущего с элементов испытательной системы;
- сушильный шкаф, способный обеспечивать поддержание необходимой температуры с погрешностью не более 5 °С;
- формы из силикона для подготовки образцов битумного вяжущего, выполненные в форме цилиндра высотой (6 ± 1) мм и внешним диаметром не менее 35 мм при использовании испытательных систем типа "плита - плита". В форме должно быть предусмотрено цилиндрическое углубление диаметром (18,0 ± 0,5) мм и глубиной (2,0 ± 0,1) мм для испытательной системы с диаметром 25 мм; (8,0 ± 0,5) мм и глубиной (2,5 ± 0,1) мм для испытательной системы с диаметром 8 мм.
Примечание - Допускается использование форм размерами, отличными от указанных выше.
4.1.1 Реометр динамического сдвига (DSR), или ротационный вискозиметр, состоит из следующих элементов:
- испытательная система типа "плита - плита" либо типа "цилиндр в цилиндре" при использовании реометра динамического сдвига (DSR);
- испытательная система типа "цилиндр в цилиндре" при использовании ротационного вискозиметра.
Испытательная система типа "плита - плита" (рисунок 1) состоит из плит в виде двух дисков одинакового диаметра из нержавеющей стали или алюминия высотой не менее 1,5 мм. Применяются плиты диаметром (25,00 ± 0,05) мм, (8,00 ± 0,02) мм и (4,00 ± 0,01) мм.

1 - верхний диск (подвижный); 2 - нижний диск (неподвижный)
Рисунок 1 - Схема испытательной системы
Испытательная система типа "цилиндр в цилиндре", состоящая из соосно расположенных подвижного цилиндрического валика (шпинделя) внутри неподвижного цилиндрического контейнера (цилиндра), обеспечивает отношение радиусов 1,3 ≥ R2/R1 ≥ 1,07, зазор между рабочими поверхностями валика и контейнера (испытательный зазор) от 0,4 до 6 мм и высоту рабочей поверхности валика не менее R2. Пример испытательной системы (тип "цилиндр в цилиндре") представлен на рисунке 2.

1 - цилиндр; 2 - шпиндель; 3 - испытательный зазор; 4 - образец; R1 - радиус шпинделя; R2 - внутренний радиус цилиндра; h - высота рабочей поверхности шпинделя
Рисунок 2 - Пример испытательной системы (тип "цилиндр в цилиндре")
Примечание - Размеры испытательной системы типа "цилиндр в цилиндре" (R1, R2, h) должны быть определены с погрешностью не более 0,1 мм;
- устройство, способное воспроизводить и поддерживать необходимую температуру в области испытаний (предельно допустимая погрешность воспроизведения и поддержания температуры - 0,3 °С);
- устройство деформации, способное создавать необходимые сдвиговые напряжения с погрешностью не более 1 %, данное устройство также должно позволять работать в режиме без приложения сдвиговых напряжений.
Устройство деформации должно обеспечивать:
а) достижение необходимого напряжения сдвига за время не более 3 % продолжительности фазы цикла;
б) отсутствие периодов релаксации более 0,05 с и принудительных изменений напряжений сдвига между фазами ползучести и восстановления;
в) система сбора и регистрации данных, обеспечивающая определение и регистрацию:
- значений напряжения сдвига не реже чем через каждые 0,1 с во время фазы ползучести и не реже чем через каждые 0,45 с во время фазы восстановления;
- значений деформации (γ, %) с разрешением до 0,1 % не реже чем через каждые 0,1 с во время фазы ползучести и не реже чем через каждые 0,45 с во время фазы восстановления, а также деформации в конце фазы ползучести и фазы восстановления каждого цикла;
- температуры испытаний с абсолютной погрешностью измерений не более 0,3 °С;
- углов отклонения с абсолютной погрешностью измерений не более 100 мкрад;
- вращающих моментов с погрешностью измерений не более 1 %;
- времени с погрешностью 0,03 с.
Примечание - Если система сбора и регистрации данных не фиксирует значение деформации в конце фазы ползучести и фазы восстановления цикла, допускается определять данные значения с помощью программного обеспечения методом экстраполяции. Экстраполированные данные должны включать в себя результат измерений, полученный не ранее чем за 0,05 с до требуемого времени в фазе ползучести и не ранее чем за 0,30 с до требуемого времени в фазе восстановления.
Допускается подтверждение метрологических характеристик устройства нагружения и системы сбора и регистрации данных реометра динамического сдвига (DSR) или вискозиметра с применением стандартных образцов вязкости. Расхождение измеренных значений динамической или комплексной вязкости и аттестованных значений стандартного образца вязкости не должно превышать 3 %. Оценку проводят с использованием не менее двух различных стандартных образцов вязкости. Испытания каждого образца проводят не менее чем при двух температурах испытаний.
Оценку метрологических характеристик следует проводить не реже чем один раз в год.
5 Требования безопасности и охраны окружающей среды
Битумы согласно ГОСТ 12.1.007 относятся к 4-му классу опасности, являются малоопасными веществами по степени воздействия на организм человека.
При работе с битумами используют специальную защитную одежду по ГОСТ 12.4.131 или ГОСТ 12.4.132. Для защиты рук используют перчатки по ГОСТ 12.4.252.
При выполнении измерений соблюдают правила по электробезопасности по ГОСТ 12.1.019 и инструкции по эксплуатации оборудования.
Битумы согласно ГОСТ 12.1.044 относятся к трудногорючим жидкостям. Работы с применением битумов следует проводить с соблюдением требований пожарной безопасности по ГОСТ 12.1.004.
Испытанный материал утилизируют в соответствии с рекомендациями предприятия-изготовителя, указанными в стандарте организации на материал.
6 Требования к условиям испытаний
При выполнении измерений соблюдают следующие условия для помещений, в которых испытывают образцы:
- температура (23 ±3) °С;
- относительная влажность (55 ± 15) %.
7 Подготовка к проведению испытаний
7.1 При подготовке к проведению испытаний проводят следующие работы:
- подготовка к испытаниям;
- подготовка образцов.
7.2 Подготовка к испытаниям
Включают оборудование и устанавливают настройки, необходимые для проведения испытаний согласно инструкции предприятия - изготовителя оборудования.
7.3 Подготовка образцов
Подготовку образца выполняют в соответствии с ГОСТ Р 58400.10 при использовании испытательных систем типа "плита - плита" или в соответствии с ГОСТ 33137 при испытаниях с применением испытательных систем типа "цилиндр в цилиндре".
8 Порядок выполнения испытаний
Для испытаний применяется испытательная система типа "плита - плита" диаметром 25 мм и испытательным зазором 1 мм. Продолжительность фазы ползучести каждого цикла 1 с, а фазы восстановления - 9 с.
Примечание - Допускается применение испытательных систем типа "плита - плита" других типоразмеров, испытательных систем типа "цилиндр в цилиндре", а также применение других испытательных зазоров, если это предписано требованиями соответствующих нормативных документов. Допускается также использование иных продолжительностей фазы ползучести и фазы восстановления, если требуется проведение испытаний при этих условиях.
Для проведения испытаний оборудование и образец подготавливают в соответствии с разделом 7.
Устанавливают необходимую температуру испытания и выдерживают образец в течение (10,0 ± 0,1) мин при использовании испытательной системы типа "плита - плита" или (45,0 ± 15) мин при использовании испытательной системы типа "цилиндр в цилиндре" для установления температурного равновесия.
Подготовленный образец испытывают при температуре испытания в два последовательных этапа (первый этап и второй этап).
На первом этапе образец испытывают в течение 10 циклов. В каждом цикле необходимо сначала приложить к образцу в течение фазы ползучести постоянное напряжение сдвига 0,1 кПа, которая должна достигаться в течение 3 % от времени данной фазы от начала цикла, а затем прекратить приложение напряжения и позволить образцу свободно восстанавливать деформацию в течение 9 с (фаза восстановления). В течение испытания значения напряжения сдвига и деформации фиксируют не реже чем через каждые 0,10 с во время фазы ползучести и не реже чем через каждые 0,45 с во время фазы восстановления. Также фиксируют значения деформации образца в конце каждой фазы. После завершения каждого цикла необходимо сразу начинать следующий цикл.
На втором этапе к образцу битумного вяжущего необходимо приложить в течение 10 циклов аналогично первому этапу, используя вместо постоянного сдвигового напряжения 0,1 кПа, сдвиговое напряжение 3,2 кПа.
Общее время испытания, состоящего из двух последовательных этапов, должно составлять 200 с.
Примечание - Допускается проводить испытания, состоящие из одного или более последовательных этапов, используя необходимые заданные постоянные напряжения сдвига в фазе ползучести, если это предписано техническими требованиями, или испытания проводят в исследовательских целях.
9 Обработка результатов испытаний
Для каждого из проведенных циклов необходимо рассчитать значение деформации (ε1) за время фазы ползучести по следующей формуле:
ε1=εc-ε0,
(1)
где εc - значение деформации в конце фазы ползучести цикла, %;
ε0 - значение деформации в момент начала цикла и фазы ползучести, %.
Для каждого из проведенных циклов необходимо рассчитать значение деформации (ε10) за время всего цикла по следующей формуле:
ε10=εr-ε0,
(2)
где εr - значение деформации в конце цикла и фазы восстановления, %;
ε0 - значение деформации в момент начала цикла и фазы ползучести, %.
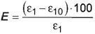
Для каждого цикла необходимо рассчитать упругое восстановление E, %, по следующей формуле:
,
(3)
где ε1 - значение деформации, %, за время фазы ползучести цикла;
ε10 - значение деформации, %, за время всего цикла.
Далее необходимо рассчитать среднее упругое восстановление (R0,1) для циклов первого этапа и среднее упругое восстановление (R3,2) для циклов второго этапа.
Среднее упругое восстановление для первого этапа (R0,1) рассчитывается как среднеарифметическое 10 значений упругого восстановления (E), полученных для циклов первого этапа.
Среднее упругое восстановление для второго этапа (R3,2) рассчитывается как среднеарифметическое 10 значений упругого восстановления (E), полученных для циклов второго этапа.
Далее необходимо рассчитать изменение упругого восстановления R, %, между первым и вторым этапом по следующей формуле:
,
(4)
где R0,1 - среднее упругое восстановление для первого этапа, %;
R3,2 - среднее упругое восстановление для второго этапа, %.
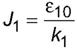
Далее необходимо рассчитать относительную необратимую деформацию J1, кПа-1 для каждого цикла первого этапа по следующей формуле:
,
(5)
где ε10 - значение деформации за время каждого цикла;
k1 - напряжение, равное 0,1 кПа.
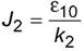
Далее необходимо рассчитать относительную необратимую деформацию J2, кПа-1, для каждого цикла второго этапа по следующей формуле:
,
(6)
где ε10 - значение деформации за время каждого цикла, %;
k2 - напряжение, равное 3,2 кПа.
Далее необходимо рассчитать среднюю относительную необратимую деформацию (J0,1) как среднеарифметическое 10 значений относительной необратимой деформации (J1), полученных для циклов первого этапа.
Далее необходимо рассчитать среднюю относительную необратимую деформацию (J3,2) как среднеарифметическое 10 значений относительной необратимой деформации (J2), полученных для циклов второго этапа.
Далее необходимо рассчитать изменение относительной необратимой деформации J, %, между первым и вторым этапом по следующей формуле:
,
(7)
где J0,1 - средняя относительная необратимая деформация для циклов первого этапа, %;
J3,2 - средняя относительная необратимая деформация для циклов второго этапа, %.
Примечание - При обработке результатов испытаний с заданными значениями постоянной нагрузки m и n, отличными от 0,1 кПа и 3,2 кПа, расчеты проводят аналогично вышеприведенным, только значения k1 и k2 соответственно принимаются равными заданным напряжениям m и n в кПа, средние упругие восстановления для этапов обозначают Rm и Rn соответственно, средние относительные необратимые деформации для этапов обозначают Jm и Jn соответственно. Изменение упругого восстановления между двумя этапами обозначают Rm-n. Изменение относительной необратимой деформации между двумя этапами обозначают Jm-n.
10 Оформление результатов испытаний
По результатам испытания оформляют документ, который должен содержать следующую информацию:
- идентификацию испытуемого образца;
- дату проведения испытания;
- название организации, проводившей испытание;
- ссылку на настоящий стандарт и отклонения от его требований;
- идентификацию испытательного оборудования;
- тип и геометрические размеры применяемых испытательных систем, мм;
- испытательный зазор, мм;
- температуру испытания, °С;
- продолжительность фазы ползучести и фазы восстановления в каждом цикле;
- среднее упругое восстановления R0,1;
- среднее упругое восстановления R3,2;
- изменение упругого восстановления R между первым и вторым этапом, %;
- среднюю относительную необратимую деформацию J0,1, кПа-1, с точностью до 0,01 кПа-1;
- среднюю относительную необратимую деформацию J3,2, кПа-1, с точностью до 0,01 кПа-1;
- изменение относительной необратимой деформации J, %, с точностью до 0,1 %;
- среднее упругое восстановление для первого этапа Rm;
- среднее упругое восстановление для второго этапа Rn;
- изменение упругого восстановления Rm-n между этапами, %;
- среднюю относительную необратимую деформацию для первого этапа Jm, кПа-1, с точностью до 0,01 кПа-1;
- среднюю относительную необратимую деформацию для первого этапа Jn, кПа-1, с точностью до 0,01 кПа-1;
- изменение относительной необратимой деформации Jm-n, %, с точностью до 0,1 %.
Примечание - В отчете указывают только результаты проведенных испытаний.
11 Контроль точности результата испытания
Точность результата испытания обеспечивается:
- соблюдением требований настоящего стандарта;
- проведением периодической аттестации оборудования.
Лицо, проводящее испытания, должно быть ознакомлено с требованиями настоящего стандарта.