ПНСТ 403-2020 ДОРОГИ АВТОМОБИЛЬНЫЕ ОБЩЕГО ПОЛЬЗОВАНИЯ. СМЕСИ ПЕСЧАНО-ГРАВИЙНЫЕ. ТЕХНИЧЕСКИЕ УСЛОВИЯ
Automobile roads of general use. Sand-gravel mixes. Technical requirements specifications
ОКС 93.080.20
Срок действия - с 1 августа 2020 г.
до 1 августа 2023 г.
Предисловие
1 Разработан Автономной некоммерческой организацией "Научно-исследовательский институт транспортно-строительного комплекса" (АНО "НИИ ТСК")
2 Внесен Техническим комитетом по стандартизации N 418 "Дорожное хозяйство"
3 Утвержден и введен в действие Приказом Федерального агентства по техническому регулированию и метрологии от 26 мая 2020 г. N 12-пнст
Настоящий стандарт распространяется на песчано-гравийные смеси, применяемые при строительстве, ремонте, капитальном ремонте, реконструкции и содержании автомобильных дорог общего пользования.
Настоящий стандарт не распространяется на заполнители для асфальтобетонных смесей, а также тяжелого и мелкозернистого бетона.
В настоящем стандарте использованы нормативные ссылки на следующие стандарты:
ГОСТ 12.1.005 Система стандартов безопасности труда. Общие санитарно-гигиенические требования к воздуху рабочей зоны
ГОСТ 12.1.007 Система стандартов безопасности труда. Вредные вещества. Классификация и общие требования безопасности
ГОСТ 12.4.034 Система стандартов безопасности труда. Средства индивидуальной защиты органов дыхания. Классификация и маркировка
ГОСТ 17.2.3.01 Охрана природы. Атмосфера. Правила контроля качества воздуха населенных пунктов
ГОСТ 427 Линейки измерительные металлические. Технические условия
ГОСТ 28846 (ИСО 4418-78) Перчатки и рукавицы. Общие технические условия
ГОСТ 30108 Материалы и изделия строительные. Определение удельной эффективной активности естественных радионуклидов
ГОСТ 32703-2014 Дороги автомобильные общего пользования. Щебень и гравий из горных пород. Технические требования
ГОСТ 32726 Дороги автомобильные общего пользования. Песок природный и дробленый. Определение содержания глины в комках
ГОСТ 32727-2014 Дороги автомобильные общего пользования. Песок природный и дробленый. Определение гранулометрического (зернового) состава и модуля крупности
ГОСТ 32730 Дороги автомобильные общего пользования. Песок дробленый. Технические требования
ГОСТ 32824 Дороги автомобильные общего пользования. Песок природный. Технические требования
ГОСТ 33026 Дороги автомобильные общего пользования. Щебень и гравий из горных пород. Определение содержания глины в комках
ГОСТ 33029 Дороги автомобильные общего пользования. Щебень и гравий из горных пород. Определение гранулометрического состава
ГОСТ 33030 Дороги автомобильные общего пользования. Щебень и гравий из горных пород. Определение дробимости
ГОСТ 33047-2014 Дороги автомобильные общего пользования. Щебень и гравий из горных пород. Определение насыпной плотности и пустотности
ГОСТ 33048-2014 Дороги автомобильные общего пользования. Щебень и гравий из горных пород. Отбор проб
ГОСТ 33054 Дороги автомобильные общего пользования. Щебень и гравий из горных пород. Определение содержания зерен слабых пород в щебне (гравии)
ГОСТ 33055 Дороги автомобильные общего пользования. Щебень и гравий из горных пород. Определение содержания пылевидных и глинистых частиц
ГОСТ 33109 Дороги автомобильные общего пользования. Щебень и гравий из горных пород. Определение морозостойкости
ГОСТ Р 58577 Правила установления нормативов допустимых выбросов загрязняющих веществ проектируемыми и действующими хозяйствующими субъектами и методы определения этих нормативов
Примечание - При пользовании настоящим стандартом целесообразно проверить действие ссылочных стандартов в информационной системе общего пользования - на официальном сайте Федерального агентства по техническому регулированию и метрологии в сети Интернет или по ежегодному информационному указателю "Национальные стандарты", который опубликован по состоянию на 1 января текущего года, и по выпускам ежемесячного информационного указателя "Национальные стандарты" за текущий год. Если заменен ссылочный стандарт, на который дана недатированная ссылка, то рекомендуется использовать действующую версию этого стандарта с учетом всех внесенных в данную версию изменений. Если заменен ссылочный стандарт, на который дана датированная ссылка, то рекомендуется использовать версию этого стандарта с указанным выше годом утверждения (принятия). Если после утверждения настоящего стандарта в ссылочный стандарт, на который дана датированная ссылка, внесено изменение, затрагивающее положение, на которое дана ссылка, то это положение рекомендуется применять без учета данного изменения. Если ссылочный стандарт отменен без замены, то положение, в котором дана ссылка на него, рекомендуется применять в части, не затрагивающей эту ссылку.
В настоящем стандарте применены следующие термины с соответствующими определениями:
3.1
|
гравий из горных пород (гравий): Неорганический сыпучий природный каменный материал, состоящий из окатанных зерен крупностью более 4 мм. [ГОСТ 32703-2014, пункт 3.2] |
3.2
|
щебень из горных пород (щебень): Неорганический сыпучий каменный материал в виде зерен крупностью более 4 мм, получаемый дроблением и рассевом продуктов дробления горных пород, гравия и валунов, а также попутно добываемых пород или некондиционных отходов горных предприятий по переработке руд и неметаллических ископаемых других отраслей промышленности. [ГОСТ 32703-2014, пункт 3.1] |
3.3
|
песок дробленый: Неорганический сыпучий материал с крупностью зерен до 4 мм, полученный из отсева дробления горных пород при производстве щебня и отходов металлургической и других видов промышленности, а также при дроблении горных пород и гравия с использованием специального дробильно-размольного оборудования. [ГОСТ 32730-2014, пункт 3.1] |
3.4
|
песок природный: Неорганический сыпучий материал с крупностью зерен до 4 мм, образовавшийся в результате естественного разрушения горных пород и получаемый при разработке песчаных и песчано-гравийных месторождений. [ГОСТ 32824-2014, пункт 3.1] |
3.5 партия: Количество песчано-гравийной смеси, произведенное в течение суток и/или отгружаемое одному потребителю в течение суток.
3.6 природная песчано-гравийная смесь: Смесь, состоящая из гравия и песка, с наибольшей крупностью зерен не более 63 мм, полученная путем добычи рыхлых мелкообломочных горных пород и поставляемая без какой-либо дальнейшей переработки.
3.7 обогащенная песчано-гравийная смесь: Смесь, состоящая из гравия и песка, полученная путем добычи рыхлых мелкообломочных горных пород и поставляемая после ее обогащения: удаления или добавления тех или иных гранулометрических фракций песка и (или) гравия, удаления валунов и (или) пылевидных и глинистых частиц.
4.1 Песчано-гравийные смеси должны соответствовать требованиям настоящего стандарта и изготовляться (добываться) по технологическому регламенту, утвержденному предприятием-изготовителем.
4.2 Песчано-гравийная смесь производится и поставляется двух видов:
- природная;
- обогащенная.
4.2.1 В природной песчано-гравийной смеси содержание зерен гравия должно быть не менее 10 % и не более 90 % по массе.
4.2.2 Обогащенную песчано-гравийную смесь в зависимости от содержания зерен гравия подразделяют на пять групп в соответствии с таблицей 1.
Таблица 1
|
Группа обогащенной песчано-гравийной смеси по содержанию зерен гравия |
Содержание в обогащенной песчано-гравийной смеси зерен гравия, % |
|
1 |
От 15 до 25 |
|
2 |
Св. 25 до 35 |
|
3 |
Св. 35 до 50 |
|
4 |
Св. 50 до 65 |
|
5 |
Св. 65 до 75 |
4.2.3 Допускается производство обогащенной песчано-гравийной смеси, получаемой добавлением в смесь или удалением из нее отдельных фракций гравия или песка, или того и другого одновременно. Допускается также добавление в смесь щебня или дробленого песка, или того и другого одновременно. При этом при определении группы смеси щебень включают в гравийную составляющую, дробленый песок - в песчаную составляющую смеси. Допустимое содержание в обогащенной смеси щебня и дробленого песка определяется по согласованию с потребителем.
4.2.4 Наибольшая крупность зерен гравия D (где D - это размер ячеек сита, соответствующее наибольшему размеру зерен в смеси) в природной песчано-гравийной смеси должна быть не менее 8 мм и не более 63 мм.
4.2.5 Наибольшая крупность зерен гравия D в обогащенной песчано-гравийной смеси должна иметь одно из следующих значений: 8,0; 11,2; 16,0; 22,4; 31,5; 45,0 или 63,0 мм.
4.2.6 По соглашению сторон допускается поставка песчано-гравийной смеси с наибольшей крупностью зерен D свыше 63 мм, но не более 125 мм.
4.2.7 Содержание в природной песчано-гравийной смеси зерен крупностью D должно соответствовать требованиям, приведенным в таблице 2.
Таблица 2
|
Размер ячеек контрольного сита, мм |
2D |
D |
|
Полный проход через сито, % по массе |
100 |
85-100 |
4.2.8 Содержание в обогащенной песчано-гравийной смеси зерен крупностью 1,4D, D и D/1,4 (где D - это размер ячеек сита соответствующее 4 мм) должно соответствовать требованиям, приведенным в таблице 3.
Таблица 3
|
Размер ячеек контрольного сита, мм |
1,4D |
D |
D/1,4 |
|
Полный проход через сито, % по массе |
100 |
90-100 |
20-70 |
4.3 Содержание пылевидных и глинистых частиц и глины в комках в песчано-гравийной смеси должно соответствовать требованиям таблицы 4.
Таблица 4
|
Вид песчано-гравийной смеси |
Содержание пылевидных и глинистых частиц не более, % |
Содержание глины в комках не более, % |
|
Природная |
5 |
1 |
|
Обогащенная |
3 |
0,5 |
4.4 Область применения песчано-гравийных смесей определяют в зависимости от значений суммарной удельной эффективной активности естественных радионуклидов (Аэфф, Бк/кг) в соответствии с таблицей 5.
Таблица 5
|
Суммарная удельная эффективная активность естественных радионуклидов Аэфф, Бк/кг |
Область применения смесей |
|
До 740 |
Для дорожного строительства в пределах территории населенных пунктов и зон перспективной застройки |
|
До 1500 |
В дорожном строительстве вне населенных пунктов |
4.5 Гравий, входящий в состав природной и обогащенной песчано-гравийной смеси, по дробимости, содержанию зерен слабых пород, морозостойкости должны соответствовать требованиям ГОСТ 32703.
4.6 Пески, входящие в состав природной песчано-гравийной смеси, по модулю крупности должны соответствовать требованиям ГОСТ 32824 крупным, средним, мелким и очень мелким пескам. Содержание частиц, проходящих через сито с размером ячеек 0,125 мм, не должно превышать 14 % по массе.
4.7 Природный песок, входящий в состав обогащенной песчано-гравийной смеси, должен по модулю крупности соответствовать требованиям ГОСТ 32824 к крупным, средним и мелким пескам. Дробленый песок, входящий в состав обогащенной песчано-гравийной смеси, должен по модулю крупности соответствовать требованиям ГОСТ 32730 к крупным, средним и мелким пескам. Содержание частиц, проходящих через сито с размером ячеек 0,125 мм, не должно превышать 7 % по массе.
5.1 При производстве песчано-гравийных смесей помещения, имеющие рабочие места, должны быть оснащены системами очистки воздуха.
5.2 На месте производства работ предельно допустимая концентрация (ПДК) пыли неорганической с содержанием диоксида кремния менее 20 % в воздухе рабочей зоны не должна превышать 2 мг/м3 по ГОСТ 12.1.005, класс опасности 3 по ГОСТ 12.1.007.
5.3 Лица, занятые при производстве и применении песчано-гравийных смесей, должны быть обеспечены средствами индивидуальной защиты, в том числе костюмами по ГОСТ 12.4.034, перчатками и рукавицами по ГОСТ 28846, прошедшие инструктаж по безопасным приемам и методам выполнения работ.
6.1 При производстве песчано-гравийных смесей возникают следующие виды основных воздействий на окружающую среду:
- пылеобразование и шум;
- технологические и эксплуатационные выбросы газов от строительно-дорожных машин и оборудования в атмосферу.
6.2 Мероприятия по охране окружающей среды при производстве и применении песчано-гравийных смесей осуществляют в соответствии с ГОСТ 17.2.3.01 и ГОСТ Р 58577.
6.3 ПДК в атмосферном воздухе в зоне населенных мест, пыли неорганической не должна превышать 0,5 мг/м3, диоксида азота - 0,085 мг/м3, сернистого ангидрида - 0,5 мг/м3, пентаксида ванадия - 0,002 мг/м3, углеводородов - 1 мг/м3.
6.4 Складирование песчано-гравийных смесей следует осуществлять за пределами водоохранных зон водоемов.
7.1 Песчано-гравийные смеси должны быть приняты службой технического контроля предприятия-изготовителя.
7.2 Приемку и поставку песчано-гравийных смесей проводят партиями.
7.3 Отбор и подготовку проб песчано-гравийных смесей для контроля качества проводят в соответствии с ГОСТ 33048.
Примечание - Минимальную массу пробы с размерами зерен, не указанными в ГОСТ 33048-2014 (пункт 5.5, таблица 2), рассчитывают методом интерполяции по массе согласно приведенным значениям.
7.4 Для проверки соответствия качества песчано-гравийных смесей требованиям настоящего стандарта проводят приемо-сдаточные и периодические испытания.
Приемо-сдаточные испытания проводят ежесуточно с целью обеспечения контроля соответствия песчано-гравийных смесей требованиям настоящего стандарта и определения возможности их приемки.
Периодические испытания проводят для периодического подтверждения качества песчано-гравийных смесей, а также стабильности технологического процесса их производства.
Периодичность испытаний и определяемые показатели при приемо-сдаточных и периодических испытаниях приведены в таблице 6.
Таблица 6
|
Показатель |
Вид испытаний | ||
|
Приемо-сдаточные (ежесуточно) |
Периодические | ||
|
1 раз в 3 мес |
1 раз в год | ||
|
Гранулометрический состав |
+ |
- |
- |
|
Содержание пылевидных и глинистых частиц |
+ |
- |
- |
|
Содержание глины в комках |
+ |
- |
- |
|
Дробимость |
- |
+ |
- |
|
Содержание зерен слабых пород |
- |
+ |
- |
|
Насыпная плотность |
- |
+ |
- |
|
Морозостойкость |
- |
- |
+ |
|
Удельная эффективная активность естественных радионуклидов |
- |
- |
+ |
|
Примечание - "+" - испытание проводят; "-" - испытание не проводят. | |||
При приготовлении смеси на объекте отбор проб необходимо проводить из приобъектного склада или до уплотнения конструктивного слоя.
7.5 Результаты приемо-сдаточных и периодических испытаний приводят в документе о качестве, в котором указывают:
- наименование предприятия-изготовителя и его адрес;
- номер и дату выдачи документа;
- номер партии и количество материала;
- вид песчано-гравийной смеси;
- гранулометрический состав смеси;
- наибольшую крупность зерен гравия;
- группу по содержанию гравия (для обогащенной песчано-гравийной смеси);
- содержание пылевидных и глинистых частиц в смеси;
- содержание глины в комках в смеси;
- марку по дробимости гравия;
- содержание зерен слабых пород;
- насыпную плотность смеси;
- марку по морозостойкости гравия;
- модуль крупности песка, проход через сито с размером ячеек 0,125 мм;
- удельную эффективную активность естественных радионуклидов;
- обозначение настоящего стандарта.
8.1 Определение гранулометрического состава
8.1.1 Основной метод определения гранулометрического состава песчано-гравийной смеси
Гранулометрический состав песчано-гравийной смеси определяют следующим образом:
- лабораторную пробу песчано-гравийной смеси высушивают при температуре (110 ± 5) °С до постоянной массы и взвешивают;
- из лабораторной пробы песчано-гравийной смеси готовят мерную пробу массой в соответствии с таблицей 7;
Таблица 7
|
Максимальный размер зерен, мм |
Масса мерной пробы, кг, не менее |
|
63 и более |
40,0 |
|
31,5 |
20,0 |
|
16 |
10,0 |
|
8 |
5,0 |
- мерную пробу просеивают в соответствии с ГОСТ 33029 на ситах с квадратной формой ячеек размерами: 125; 90; 63; 45; 31,5; 22,4; 16; 11,2; 8; 5,6; 4; 2,8; 2; 1; 0,5, 0,250, 0,125 мм.
Примечание - Допускается проводить просеивание мерной пробы после определения содержания пылевидных и глинистых частиц. В этом случае масса мерной пробы для определения содержания пылевидных и глинистых частиц должна соответствовать таблице 7. Содержание пылевидных и глинистых частиц включают при расчете результатов рассева в массу частиц, проходящих через сито с ячейкой 0,063, и в общую массу;
- результат испытаний рассчитывают в соответствии с ГОСТ 33029.
8.1.2 Альтернативный метод определения гранулометрического состава
Гранулометрический состав песчано-гравийной смеси определяют следующим образом:
- лабораторную пробу песчано-гравийной смеси высушивают при температуре (110 ± 5) °С до постоянной массы и взвешивают;
- из лабораторной пробы песчано-гравийной смеси готовят мерную пробу массой в соответствии с таблицей 7;
- мерную пробу просеивают в соответствии с ГОСТ 33029 на ситах с квадратной формой ячеек размерами: 125; 90; 63; 45; 31,5; 22,4; 16; 11,2; 8; 5,6; 4 мм;
- фиксируют массу песчаной составляющей прошедшей через сито 4 мм, входящей в состав песчано-гравийной смеси;
- из песка, прошедшего через сито 4 мм, отбирают мерную пробу массой не менее 1000 г и просеивают через набор сит с квадратными ячейками размерами 2; 1; 0,5; 0,25; 0,125 мм;
- по результатам просеивания определяют гранулометрический состав и модуль крупности песка, входящего в состав песчано-гравийной смеси;
- вычисляют коэффициент перевода К массы навески песка к общей массе песка в составе песчано-гравийной смеси по формуле
(1)
где Мп.с - масса песчаной составляющей песчано-гравийной смеси, прошедшей через сито 4 мм, г;
Мн - масса навески песка для рассева через сита с квадратными ячейками размерами 2; 1; 0,5; 0,25; 0,125 мм, г;
- вычисляют массу частиц размерами 2; 1; 0,5; 0,25; 0,125 мм в составе песчано-гравийной смеси по формуле
Ai = К · ai,
(2)
где К - коэффициент перевода;
аi - масса остатка песка на ситах с размерами ячеек 2; 1; 0,5; 0,25; 0,125 мм;
- результат испытаний рассчитывают в соответствии с ГОСТ 33029.
8.2 Определение содержания пылевидных и глинистых частиц выполняют в соответствии с ГОСТ 33055, масса мерной пробы должна соответствовать требованиям, приведенным в таблице 8.
Таблица 8
|
Максимальный размер зерен, мм |
Масса мерной пробы, кг, не менее |
|
31,5 и более |
10,0 |
|
16 |
5,0 |
8.3 Содержание глины в комках в песчано-гравийной смеси определяют раздельно для гравия по ГОСТ 33026 и песка по ГОСТ 32726. Для проведения испытания смесь просеивают через сито с размером ячеек 4 мм.
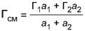
Общее количество глины в комках в смесях Гсм, % масс, вычисляют как средневзвешенное значение содержания глины в комках в гравии и песке по формуле
(3)
где Г1, Г2 - содержание глины в комках в гравии, определяемое как средневзвешенное в смеси фракций, и песке, % масс;
а1, а2 - содержание в смеси соответственно гравия и песка по результатам определения гранулометрического состава, % масс.
8.4 Содержание зерен слабых пород в гравии, входящего в состав песчано-гравийной смеси, определяют по ГОСТ 33054.
Содержание зерен слабых пород в гравии определяют на широких фракциях, не более D и не менее 4 мм. Масса мерной пробы каждой фракции должна соответствовать требованиям ГОСТ 33054.
Результат испытаний рассчитывается по средневзвешенному содержанию каждой фракции в смеси.
8.5 Дробимость гравия, входящего в состав песчано-гравийной смеси, определяют по ГОСТ 33030. Дробимость гравия определяют на широких фракциях, полученных на ситах с размерами ячеек не более D и не менее 4 мм. Результаты испытаний рассчитывают по средневзвешенному содержанию каждой фракции в смеси.
Примечание - Если в состав песчано-гравийной смеси входит щебень из осадочных горных пород, марку по дробимости определяют в водонасыщенном состоянии и предъявляют требования в соответствии с ГОСТ 32703-2014 (таблица 6). В остальных случаях испытание проводят в сухом состоянии и предъявляют требования в соответствии с ГОСТ 32703-2014 (пункт 5.6, таблица 5).
8.6 Морозостойкость гравия, входящего в состав песчано-гравийной смеси, определяют по ГОСТ 33109.
8.7 Насыпную плотность песчано-гравийной смеси определяют по ГОСТ 33047 и приложению А.
8.8 Модуль крупности песка определяют отдельно на пробе песчано-гравийной смеси, просеянной на сите 4 мм в соответствии с ГОСТ 32727.
Модуль крупности песка допускается определять расчетным путем по результатам гранулометрического состава песчано-гравийной смеси, полученного в соответствии с 8.1. Расчет модуля крупности песка проводят по формулам (3)-(5), приведенным в ГОСТ 32727-2014 (раздел 11), при этом за массу единичной пробы принимают массу материала, прошедшего сквозь сито 4 мм.
8.9 Удельную эффективную активность естественных радионуклидов песчано-гравийной смеси определяют по ГОСТ 30108.
9.1 При транспортировании песчано-гравийных смесей допускается использовать железнодорожный, морской (речной) и автомобильный транспорт в соответствии с правилами перевозки грузов, действующими на соответствующий вид транспорта (утвержденными в установленном порядке правилами перевозки грузов).
Песчано-гравийные смеси транспортируют железнодорожным транспортом в открытых вагонах. С целью предотвращения загрязнения при транспортировании песчано-гравийных смесей рекомендуется их укрывать или транспортировать в закрытых контейнерах.
9.2 Склады для хранения песчано-гравийных смесей должны быть обустроены таким образом, чтобы предохранять их от загрязнения и зерновой сегрегации.
При хранении песчано-гравийных смесей в зимний период необходимо принять меры по предотвращению смерзаемости (перелопачивание, обработка специальными растворами и т.п.).
Приложение А
(справочное)
А.1 Насыпную плотность определяют путем определения массы песчано-гравийной смеси, полностью заполнившей объем стандартного мерного сосуда.
А.2 Требования к средствам измерений и вспомогательным устройствам
При проведении испытания применяют следующие средства измерений и вспомогательные устройства:
- весы, обеспечивающие измерение массы пробы с относительной погрешностью не более 1 % от определяемой величины;
- сита с размером ячеек 4; 5,6; 11,2; 16; 22,4; 31,5; 45; 63 мм;
- поддон и крышка для сит;
- шкаф сушильный, обеспечивающий циркуляцию воздуха и поддержание температуры в интервале (110 ± 5)°С;
- совок металлический или пластмассовый;
- линейки металлические по ГОСТ 427;
- сосуды цилиндрические мерные, отношение внутреннего диаметра которых к внутренней глубине должно составлять 0,5 : 0,8. Минимальные объемы мерных сосудов приведены в таблице А.1.
Таблица А.1
|
Мерный сосуд |
Наибольший размер зерен, мм |
Минимальный объем сосуда, л |
|
Цилиндр |
16,0 |
10 |
|
31,5 |
20 | |
|
63,0 |
50 | |
|
Св. 63 |
100 |
А.3 Проведение испытания
Испытание проводят в соответствии с ГОСТ 33047-2014 (подраздел 7.3) без разделения на гравий и песок.
А.4 Обработка результата испытания
Насыпную плотность песчано-гравийной смеси определяют в соответствии с ГОСТ 33047-2014 (подраздел 7.4).
Примечание - Значение насыпной плотности песчано-гравийной смеси с наибольшим размером зерен 31,5 мм и более, определенное указанным выше способом, для расчета насыпной плотности песчано-гравийной смеси в транспортных средствах грузоподъемностью более 10 т должно быть увеличено на 5 %.


