ПНСТ 371-2019 ДОРОГИ АВТОМОБИЛЬНЫЕ ОБЩЕГО ПОЛЬЗОВАНИЯ С НИЗКОЙ ИНТЕНСИВНОСТЬЮ ДВИЖЕНИЯ. ДОРОЖНАЯ ОДЕЖДА. КОНСТРУИРОВАНИЕ И РАСЧЕТ
Roads of general use with low traffic. Road pavement. Design and calculation
ОКС 93.080.01
Срок действия - с 1 марта 2020 г. до 1 марта 2023 г.
Предисловие
1 Разработан Федеральным автономным учреждением "Российский дорожный научно-исследовательский институт" (ФАУ "РОСДОРНИИ")
2 Внесен Техническим комитетом по стандартизации ТК 418 "Дорожное хозяйство"
3 Утвержден и введен в действие Приказом Федерального агентства по техническому регулированию и метрологии от 19 ноября 2019 г. N 48-пнст
1.1 Настоящий предварительный национальный стандарт устанавливает требования к конструированию и методике расчета дорожных одежд.
1.2 Настоящий стандарт распространяется на проектирование дорожных одежд переходного и низшего типов автомобильных дорог общего пользования с низкой интенсивностью движения на территории Российской Федерации.
В настоящем стандарте использованы нормативные ссылки на следующие стандарты:
ГОСТ 125 Вяжущие гипсовые. Технические условия
ГОСТ 450 Кальций хлористый технический. Технические условия
ГОСТ 4201 Реактивы. Натрий углекислый кислый. Технические условия
ГОСТ 6318 Натрий сернокислый технический. Технические условия
ГОСТ 9179 Известь строительная. Технические условия
ГОСТ 10178 Портландцемент и шлакопортландцемент. Технические условия
ГОСТ 10564 Латекс синтетический СКС-65 ГП. Технические условия
ГОСТ 10834 Жидкость гидрофобизирующая 136-41. Технические условия
ГОСТ 11955 Битумы нефтяные дорожные жидкие. Технические условия
ГОСТ 22733 Грунты. Метод лабораторного определения максимальной плотности
ГОСТ 23732 Вода для бетонов и строительных растворов. Технические условия
ГОСТ 23735 Смеси песчано-гравийные для строительных работ. Технические условия
ГОСТ 25818 Золы уноса тепловых электростанций для бетонов. Технические условия
ГОСТ 28622 Грунты. Метод лабораторного определения степени пучинистости
ГОСТ 30108 Материалы и изделия строительные. Определение удельной эффективной активности естественных радионуклидов
ГОСТ 30491 Смеси органоминеральные и грунты, укрепленные органическими вяжущими, для дорожного и аэродромного строительства. Технические условия
ГОСТ 32495 Щебень, песок и песчано-щебеночные смеси из дробленого бетона и железобетона. Технические условия
ГОСТ 32703 Дороги автомобильные общего пользования. Щебень и гравий из горных пород. Технические требования
ГОСТ 32730 Дороги автомобильные общего пользования. Песок дробленый. Технические требования
ГОСТ 32804 Материалы геосинтетические для фундаментов, опор и земляных работ. Общие технические требования
ГОСТ 32824 Дороги автомобильные общего пользования. Песок природный. Технические требования
ГОСТ 32826 Дороги автомобильные общего пользования. Щебень и песок шлаковые. Технические требования
ГОСТ 32868 Дороги автомобильные общего пользования. Требования к проведению инженерно-геологических изысканий
ГОСТ 32965 Дороги автомобильные общего пользования. Методы учета интенсивности движения транспортного потока
ГОСТ 33063 Дороги автомобильные общего пользования. Классификация типов местности и грунтов
ГОСТ 33100 Дороги автомобильные общего пользования. Правила проектирования автомобильных дорог
ГОСТ 33133 Дороги автомобильные общего пользования. Битумы нефтяные дорожные вязкие. Технические требования
ГОСТ 33149 Дороги автомобильные общего пользования. Правила проектирования автомобильных дорог в сложных условиях
ГОСТ 33174 Дороги автомобильные общего пользования. Цемент. Технические требования
ГОСТ 33220 Дороги автомобильные общего пользования. Требования к эксплуатационному состоянию
ГОСТ Р 50597 Дороги автомобильные общего пользования. Требования к эксплуатационному состоянию, допустимому по условиям обеспечения безопасности дорожного движения
ГОСТ Р 55028 Дороги автомобильные общего пользования. Материалы геосинтетические для дорожного строительства. Классификация, термины и определения
ГОСТ Р 52056 Вяжущие полимерно-битумные на основе блок-сополимеров типа стирол-бутадиен-стирол. Технические условия
ГОСТ Р 52128 Эмульсии битумные дорожные. Технические условия
ГОСТ Р 55420 Дороги автомобильные общего пользования. Эмульсии битумные дорожные катионные. Технические условия
ГОСТ Р 55064 Натр едкий технический. Технические условия
ГОСТ Р 56338 Дороги автомобильные общего пользования. Материалы геосинтетические для армирования нижних слоев основания дорожной одежды. Технические требования
ГОСТ Р 56419 Дороги автомобильные общего пользования. Материалы геосинтетические для разделения слоев дорожной одежды из минеральных материалов. Технические требования
ПНСТ 265 Дороги автомобильные общего пользования. Проектирование нежестких дорожных одежд
ПНСТ 321 Дороги автомобильные общего пользования. Грунты, укрепленные органическими вяжущими. Технические условия
ПНСТ 322 Дороги автомобильные общего пользования. Грунты, стабилизированные и укрепленные неорганическими вяжущими. Технические условия
ПНСТ 325 Дороги автомобильные общего пользования. Смеси щебеночно-гравийно-песчаные, обработанные органическими вяжущими. Технические условия
ПНСТ 326 Дороги автомобильные общего пользования. Смеси щебеночно-гравийно-песчаные, обработанные неорганическими вяжущими. Технические условия
ПНСТ 327 Дороги автомобильные общего пользования. Смеси щебеночно-гравийно-песчаные. Технические условия
ПНСТ 329 Дороги автомобильные общего пользования. Смеси щебеночно-гравийно-песчаные. Технические условия
Примечание - При пользовании настоящим стандартом целесообразно проверить действие ссылочных стандартов (сводов правил и/или классификаторов) в информационной системе общего пользования - на официальном сайте федерального органа исполнительной власти в сфере стандартизации в сети Интернет или по ежегодно издаваемому информационному указателю "Национальные стандарты", который опубликован по состоянию на 1 января текущего года, и по выпускам ежемесячно издаваемого информационного указателя "Национальные стандарты" за текущий год. Если заменен ссылочный стандарт (документ), на который дана недатированная ссылка, то рекомендуется использовать действующую версию этого стандарта (документа) с учетом всех внесенных в данную версию изменений. Если заменен ссылочный стандарт (документ), на который дана датированная ссылка, то рекомендуется использовать версию этого стандарта (документа) с указанным выше годом утверждения (принятия). Если после утверждения настоящего стандарта в ссылочный стандарт (документ), на который дана датированная ссылка, внесено изменение, затрагивающее положение, на которое дана ссылка, то это положение рекомендуется применять без учета данного изменения. Если ссылочный стандарт (документ) отменен без замены, то положение, в котором дана ссылка на него, рекомендуется применять в части, не затрагивающей эту ссылку.
В настоящем стандарте применены следующие термины с соответствующими определениями:
3.1
|
геополотно: Сплошной, проницаемый, пористый геосинтетический материал, образованный из волокон, нитей, пряж, лент по текстильной технологии. [ГОСТ Р 55028-2012, пункт 2.1.5] |
3.2
|
георешетка: Плоский геосинтетический материал, имеющий сквозные ячейки правильной стабильной формы, размеры которых превышают наибольший размер поперечного сечения ребер, образованный путем экструзии, склеивания, термоскрепления или переплетения ребер, противостоящий растяжению (внешним нагрузкам) и выполняющий роль усиления конструкции. [ГОСТ Р 55028-2012, пункт 2.1.6] |
3.3
|
геосетка: Геосинтетический материал, имеющий сквозные ячейки лабильной формы, размеры которых превышают наибольший размер поперечного сечения ребер, образованный путем экструзии или переплетением ребер. [ГОСТ Р 55028-2012, пункт 2.1.7] |
3.4
|
геосотовый материал: Пространственный геосинтетический материал, образованный из геополос, которые располагаются и скрепляются в перпендикулярных плоскостях относительно плоскости материала, образуя сквозные ячейки, поперечный размер которых соизмерим с высотой ребер. [ГОСТ Р 55028-2012, пункт 2.1.8] |
3.5
|
грунт дисперсный: Грунт, состоящий из совокупности отдельных твердых частиц (зерен) разного размера, связанных друг с другом физическими, физико-химическими или механическими структурными связями. [ГОСТ 33063-2014, пункт 3.5] |
3.6 грунт повышенной плотности: Грунт, плотность которого превышает наибольшую плотность по методу стандартного уплотнения по ГОСТ 22733.
3.7
|
грунт техногенный: Грунт измененный, перемещенный или образованный (искусственно созданный) в результате инженерно-хозяйственной деятельности человека, в том числе отходы бытовые и производственные. [ГОСТ 33063-2014, пункт 3.30] |
3.8 защитный слой покрытия: Слой, толщиной не более 4 см, предназначенный для защиты нижележащего слоя покрытия от непосредственного воздействия колес автомобильного транспорта и комплекса погодно-климатических факторов (не учитывается при расчете дорожных одежд на прочность).
3.9 износ покрытия: Уменьшение толщины покрытия в процессе эксплуатации за счет истирания и потери износившегося материала в результате суммарного воздействия транспортных средств и природных факторов.
3.10 истирание: Разрушение тонкими слоями материала покрытия в полосе наката при трении об его поверхность колес автотранспортных средств.
3.11 местные дорожно-строительные материалы: Материалы естественного или искусственного происхождения, месторождения которых находятся вблизи трассы дороги, и можно обеспечить их доставку на место работы автомобильным транспортом с минимальными затратами.
3.12 модуль деформации дорожной одежды или материала ее слоя: Отношение удельного давления, передаваемого испытательной нагрузкой, к общей относительной деформации (отношение совокупности упругой и остаточной деформации к диаметру круга, равновеликого по площади отпечатку колеса расчетного автомобиля) дорожной одежды или материала ее слоя.
3.13
|
отходы производств: Твердые отходы производства, полученные в результате механических, химических и термических преобразований материалов природного происхождения. [ГОСТ 33063-2014, пункт 3.42] |
3.14 поверхностно-активные вещества (ПАВ): Химические добавки (в том числе полимерные) к органическим или минеральным вяжущим материалам или смесям для повышения адгезии вяжущего с поверхностью минерального материала.
3.15 регулирующий слой (прослойка): Слой (прослойка), улучшающий водно-тепловой режим дорожной одежды и земляного полотна и повышающий работоспособность, как всей дорожной конструкции, так и отдельных ее слоев, выполняющий одну из (или несколько сразу) функций (теплоизоляция, гидроизоляция, пароизоляция, противозаиливание, армирование и распределение нагрузки).
3.16 стабилизаторы глинистых грунтов: Водные растворы и полимерные эмульсии, содержащие активные ионы и поверхностно-активные вещества, участвующие в ионном обмене с активной частью глинистых грунтов и повышающие их плотность, прочность и морозостойкость без создания дополнительной структуры обрабатываемого грунта.
3.17 стабилизация грунтов: Мероприятия по улучшению механических качеств грунтов и их несущей способности без создания дополнительной структуры путем предохранения существующих связей между частицами и агрегатами, главным образом, от разрушения при действии влаги, что достигается применением поверхностно-активных веществ и стабилизаторов.
3.18 укрепление грунтов: Мероприятия по повышению несущей способности грунтов путем создания новых прочных и водостойких связей между частицами и агрегатами с образованием новой (дополнительной) структуры путем воздействия на грунт структурообразующих веществ (в основном вяжущих материалов).
3.19 укрепленный грунт: Искусственный материал, получаемый смешением на дороге или в смесительных установках природных дисперсных и техногенных грунтов, а также промышленных отходов с органическими, минеральными и комплексными вяжущими (далее - вяжущими) с добавками или без добавок при оптимальной влажности.
4.1 Конструирование и расчет дорожных одежд усовершенствованного типа (капитальных и облегченных) следует выполнять в соответствии с действующими нормативными требованиями ГОСТ 33100, ГОСТ 33149, документами [1-2].
4.2 Проектирование дорожной одежды должно представлять собой единый процесс конструирования и расчета дорожной конструкции (системы дорожная одежда и рабочий слой земляного полотна).
4.3 Дорожную одежду переходных и низших типов автомобильных дорог с низкой интенсивностью движения следует проектировать исходя из обеспечения круглогодичного проезда автомобилей. В период весенних распутиц допускается ограничение движения тяжелых транспортных средств категорий N2 (при нагрузке на ось более 5 т) и N3 [3].
4.4 Дорожные одежды должны быть запроектированы с учетом межремонтных сроков согласно действующим документам технического регулирования и нормативно-правовым актам.
Проектирование дорожной одежды должно быть выполнено в соответствии с требованиями к эксплуатационному состоянию допустимому по условиям обеспечения безопасности дорожного движения согласно ГОСТ Р 50597.
4.5 При проектировании дорожных одежд в районах распространения многолетнемерзлых грунтов (I дорожно-климатическая зона) наряду с учетом настоящего стандарта следует руководствоваться ГОСТ 33149 и региональными нормативно-техническими документами, утвержденными в установленном порядке и распространяющимися на автомобильные дороги на многолетнемерзлых грунтах.
4.6 При проектировании дорожных одежд для конкретных объектов и разработке типовых региональных решений по конструкциям дорожной одежды наряду с положениями настоящего стандарта следует учитывать данные научно-практического опыта (в том числе в части применения местных материалов и грунтов, уточнения расчетных значений характеристик и т.д.) на рассматриваемых территориях.
4.7 При проектировании конструкцию дорожной одежды следует определять на основе технико-экономического сравнения вариантов. При большой интенсивности 200-400 авт./сут и более 10 % тяжелых транспортных средств категории N3 [3] в составе транспортного потока необходимо повышать коэффициент прочности дорожной одежды и увеличивать строительные затраты до 20 % от среднего значения, чтобы уменьшить эксплуатационные расходы. При малой интенсивности движения менее 100 авт./сут и более 70 % легковых автомобилей категории М1 [3] в составе транспортного потока необходимо снижать коэффициент прочности дорожной одежды до минимального значения и уменьшать строительные затраты до 20 % от среднего значения, увеличивая эксплуатационные расходы. При строительстве, реконструкции и капитальном ремонте следует избегать строительных затрат, превышающих нормативные значения, при этом необходимо использовать местные дорожно-строительные материалы и грунты, а также промышленные отходы и техногенные грунты.
5.1.1 На дорогах с низкой интенсивностью движения следует устраивать дорожную одежду в соответствии с требованиями пункта 8.1.2 документа [2] с покрытиями следующих видов:
- усовершенствованные (капитальные и облегченные) *;
──────────────────────────────
* Не распространяется на данный стандарт согласно 1.2 настоящего стандарта.
──────────────────────────────
- переходные;
- низшие.
5.1.2 При конструировании дорожных одежд необходимо придерживаться следующих принципов конструирования:
- тип дорожной одежды и вид покрытия, конструкция дорожной одежды должны удовлетворять транспортно-эксплуатационным требованиям, предъявляемым к дороге соответствующей категории, а также ожидаемым в перспективе составу транспортного потока и интенсивности движения;
- конструкция дорожной одежды должна быть принята типовой или разработана индивидуально для каждого участка или ряда участков дороги, характеризующихся сходными природными условиями с одинаковыми нормативными нагрузками; при выборе конструкции одежды для данных условий предпочтение следует отдавать проверенной на практике типовой конструкции;
- в районах, недостаточно обеспеченных прочными каменными материалами, следует применять местные малопрочные каменные материалы, побочные продукты промышленности, техногенные грунты и грунты, свойства которых могут быть улучшены обработкой их различными видами вяжущих;
- конструкция должна быть технологичной и обеспечивать возможность максимальной механизации дорожно-строительных процессов; число слоев и видов материалов в конструкции должны быть минимальными;
- при конструировании необходимо учитывать реальные условия проведения строительных работ (летний или зимний период, применяемые материалы и технологии и др.).
5.1.3 Конструкцию дорожной одежды следует определять на основе технико-экономического сравнения вариантов с учетом затрат на строительство, капитальный ремонт, ремонт и содержание за срок сравнения вариантов.
В первую очередь следует рассматривать конструкции дорожной одежды с покрытиями:
- переходного вида при среднегодовой суточной интенсивности движения от 200 до 400 авт./сут при условии обязательного устройства защитного слоя;
- переходного вида при среднегодовой суточной интенсивности движения от 50 до 200 авт./сут;
- низшего вида при среднегодовой суточной интенсивности движения до 50 авт./сут.
При вышеуказанной интенсивности и не менее 10 % тяжелых транспортных средств категории N3 [3] в составе транспортного потока вид покрытия дорожной одежды следует повышать (усовершенствованный вместо переходного, переходный вместо низшего) на основании расчета дорожной одежды на прочность.
5.1.4 В целях продления сроков службы дорожной одежды следует использовать защитные слои из одиночной или двойной поверхностной обработки, органоминеральных или эмульсионно-минеральных смесей.
5.2.1 Конструирование дорожной одежды следует проводить в следующей последовательности:
- выбор вида покрытия и защитного слоя покрытия (при необходимости);
- назначение числа конструктивных слоев с выбором материалов для устройства слоев, размещение слоев в конструкции и назначение их ориентировочных толщин;
- предварительная оценка необходимости назначения дополнительных мер по морозоустойчивости с учетом дорожно-климатической зоны, типа грунта рабочего слоя земляного полотна и схемы увлажнения;
- назначение мероприятий по осушению конструкции дорожной одежды;
- оценка целесообразности укрепления или улучшения верхней части рабочего слоя земляного полотна насыпи (основания земляного полотна выемки);
- отбор конкурентоспособных вариантов.
5.2.2 Конструкцию дорожной одежды и вид покрытия следует принимать исходя из функционального назначения и категории проектируемой дороги с учетом интенсивности и состава транспортного потока, нормативной нагрузки, климатических условий, санитарно-гигиенических рекомендаций, а также обеспеченности района строительства дороги местными строительными материалами согласно пункту 8.1.2 документа [2] и таблицы 1 настоящего стандарта.
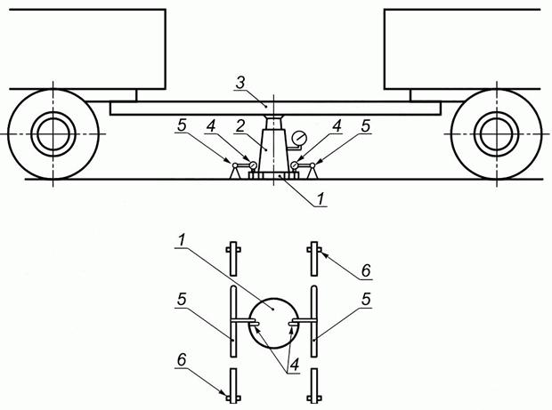
5.2.3 При технико-экономическом сравнении вариантов должны быть рассмотрены варианты с различными типами дорожных одежд и видами покрытий согласно 5.1.3. При соответствующем технико-экономическом обосновании могут быть применены типовые конструкции дорожных одежд, приведенные на рисунках 1-4, а также типовые поперечные профили конструкций дорожных одежд - на рисунках 5-6.

1 - защитный слой из одиночной поверхностной обработки; 2 - защитный слой из двойной поверхностной обработки, органоминеральной или эмульсионно-минеральной смеси; 3 - местные малопрочные материалы, укрепленные минеральным вяжущим; 4 - песок, шлак; 5 - грунт повышенной плотности; 6 - грунт или малопрочный каменный материал, укрепленные минеральным или органическим вяжущим; 7 - щебень, гравий, щебеночно-гравийно-песчаная смесь, булыжный и колотый камень; 8 - песчано-гравийные смеси, укрепленные минеральным вяжущим; 9 - пески, укрепленные минеральным вяжущим; 10 - гравийно-песчаная смесь; 11 - песчано-гравийные смеси, обработанные комплексным вяжущим; 12 - цементогрунт; 13 - грунт, укрепленный комплексным вяжущим; 14 - грунт, улучшенный вяжущим или каменными материалами
Рисунок 1 - Конструкции дорожных одежд переходного типа

1 - защитный слой из одиночной поверхностной обработки; 2 - защитный слой из двойной поверхностной обработки, органоминеральной или эмульсионно-минеральной смеси; 3 - песок, шлак; 4 - щебень, гравий, щебеночно-гравийно-песчаная смесь, булыжный и колотый камень; 5 - малопрочные каменные материалы, укрепленные минеральным вяжущим; 6 - пески, укрепленные минеральным вяжущим; 7 - гравийно-песчаная смесь; 8 - грунт, укрепленный комплексным вяжущим; 9 - регулирующая прослойка (георешетка); 10 - противозаиливающая регулирующая прослойка (геополотно); 11 - регулирующий слой (геосотовый материал)
Рисунок 2 - Конструкции дорожных одежд переходного типа с регулирующими слоями

1 - грунт, улучшенный добавками; 2 - гравийно-песчаная смесь, песчано-гравийная смесь; 3 - малопрочный каменный материал, шлак; 4 - грунт с добавлением щебня; 5 - песок
Рисунок 3 - Конструкции дорожных одежд низшего типа

1 - гравийно-песчаная смесь, песчано-гравийная смесь; 2 - песок; 3 - регулирующий слой (георешетка); 4 - противозаиливающая регулирующая прослойка (геополотно)
Рисунок 4 - Конструкции дорожных одежд низшего типа с регулирующими слоями

ПЧ - проезжая часть, КП - краевая полоса у обочины; ОБ - обочина; УО - укрепленная часть обочины; ГО - ширина грунтовой части обочины
Рисунок 5 - Типовой поперечный профиль автомобильной дороги с низкой интенсивностью движения (дорожная одежда переходного типа)

ПЧ - проезжая часть; ОБ - обочина
Рисунок 6 - Типовой поперечный профиль автомобильной дороги с низкой интенсивностью движения (дорожная одежда низшего типа)
5.2.4 Классификация дорожных одежд и материалы покрытий приведены в таблице 1.
|
Типы дорожных одежд |
Материал покрытия и способы его укладки |
|
Переходные |
Из щебня, гравия и щебеночно-гравийно-песчаных смесей; из грунтов и малопрочных каменных материалов, укрепленных вяжущими; из булыжного и колотого камня (мостовые) |
|
Низшие |
Из гравийно-песчаных и песчано-гравийных смесей; из малопрочных каменных материалов и шлаков; из грунтов, улучшенных различными местными материалами; техногенных грунтов, отходов и побочных продуктов промышленности |
5.2.5 Требования к материалам конструктивных слоев дорожных одежд переходного и низшего типов приведены в таблице 2.
|
Материал |
Конструктивный слой, в котором используется материал дорожной одежды |
Нормативный документ, регламентирующий требования | |
|
переходного типа |
низшего типа | ||
|
Битумы нефтяные дорожные вязкие |
Покрытие |
- |
ГОСТ 33133 |
|
Битумы нефтяные дорожные жидкие |
Основание |
- |
ГОСТ 11955 |
|
Эмульсии битумные дорожные |
Покрытие |
- |
ГОСТ Р 52128 ГОСТ Р 55420 |
|
Вяжущие полимерно-битумные дорожные на основе блоксополимеров типа стирол-бутадиен-стирол |
Покрытие |
- |
ГОСТ Р 52056 |
|
Цемент |
Покрытие, основание |
- |
ГОСТ 33174 |
|
Известь строительная |
Покрытие, основание |
- |
ГОСТ 9179 |
|
Фосфогипс |
Основание |
Покрытие |
ГОСТ 125 |
|
Песок |
Покрытие, основание |
Основание, земляное полотно |
ГОСТ 32730; ГОСТ 32824; ГОСТ 33063 |
|
Щебень и гравий из плотных горных пород |
Покрытие, основание |
- |
ГОСТ 32703; ГОСТ 32495 |
|
Зола уноса |
Покрытие, основание |
Покрытие |
ГОСТ 25818 |
|
Щебень и песок шлаковые |
Покрытие, основание, дополнительные слои основания |
Покрытие |
ГОСТ 32826 |
|
Смеси щебеночно-гравийно-песчаные |
Покрытие, основание, дополнительные слои основания |
- |
ПНСТ 327-2019 |
|
Смеси щебеночно-гравийно-песчаные, обработанные неорганическими вяжущими материалами |
Покрытие, основание |
- |
ПНСТ 326-2019 |
|
Смеси песчано-гравийные |
Нижние слои оснований, дренирующие слои |
Покрытие |
ГОСТ 23735 |
|
Смеси щебеночно-гравийно-песчаные, обработанные органическими вяжущими |
Покрытие, основание |
- |
ПНСТ 325 |
|
Грунты, укрепленные органическими вяжущими |
Покрытие, основание |
- |
ПНСТ 321 |
|
Грунты, стабилизированные и укрепленные неорганическими вяжущими |
Покрытие, основание |
- |
ПНСТ 322 |
|
Геосинтетические материалы (геополотно, георешетка, геосетка, геосотовый материал) |
Основание, дополнительные слои основания |
Основание, дополнительные слои основания |
ГОСТ Р 55028; ГОСТ Р 56338; ГОСТ Р 56419; ГОСТ 32804 |
5.2.6 При выборе материалов для устройства слоев дорожной одежды необходимо учитывать следующие требования:
- покрытие, защитные слои покрытия и верхние слои основания должны соответствовать воздействующим нагрузкам и быть водо-, морозо- и термоустойчивыми;
- материалы основания дорожной одежды должны передавать и перераспределять нагрузку от покрытия на грунты земляного полотна, сопротивляться сдвигающим напряжениям, обладать дренирующими свойствами и быть морозоустойчивыми;
- дополнительные слои основания должны обеспечивать необходимую морозоустойчивость и дренирующую способность.
5.2.7 Модули деформации материалов дорожной одежды должны уменьшаться сверху вниз, при этом модули деформации материалов двух смежных слоев не должны отличаться более чем в пять раз.
5.2.8 Расположение неукрепленных зернистых материалов между слоями из материалов или грунтов, обработанных вяжущим, не допускается.
5.2.9 Общую толщину дорожной одежды и толщины отдельных конструктивных слоев следует окончательно назначать по расчету на прочность, по проверкам на колееобразование, износ, морозоустойчивость и осушение в соответствии с разделами 6 и 7 настоящего стандарта.
Независимо от результатов расчета на прочность дорожной одежды толщины конструктивных слоев в уплотненном состоянии следует принимать согласно пункт 8.1.12 документа [2], но не менее приведенных в таблице 3.
|
Материалы слоев дорожной одежды |
Толщина слоя, см |
|
Щебеночные и гравийные материалы, не обработанные вяжущим: | |
|
- на песчаном основании; |
15 |
|
- на прочном основании (каменном или из укрепленного грунта) |
8 |
|
Каменные материалы и грунты, обработанные органическими или неорганическими вяжущими |
10 |
|
Шлаки металлургические |
12 |
|
Грунт, укрепленный или улучшенный добавками |
15 |
|
Примечание - Размер наиболее крупной фракции минерального материала во всех случаях должен быть не менее чем в полтора раза меньше толщины конструктивного слоя. | |
5.2.10 В случае укладки каменных материалов на основание из связных грунтов должны предусматриваться прослойки не менее 10 см из неоднородного песка по ГОСТ 32824, отсева дробления с коэффициентом фильтрации более 1 м/сут или противозаиливающие прослойки из геополотна.
5.2.11 В районах и на участках с неблагоприятными погодно-климатическими и сложными грунтово-гидрологическими условиями по ГОСТ 32868 для ограничения миграции влаги из нижних слоев земляного полотна в верхние и основание дорожной одежды следует предусматривать мероприятия по регулированию водно-теплового режима грунтов земляного полотна.
5.2.12 В целях назначения однотипной конструкции дорожной одежды на участках большой длины следует добиваться однородности физико-механических свойств грунтов земляного полотна.
Слабые и переувлажненные грунты основания земляного полотна (насыпи в нулевых отметках, выемки), местные переувлажненные грунты земляного полотна, грунты верхней части рабочего слоя земляного полотна из местных некондиционных грунтов (при расчетной относительной влажности грунта более 0,7 от влажности на границе текучести) следует осушать, укреплять вяжущими и улучшать добавками для обеспечения работоспособности дорожной конструкции в течение жизненного цикла автомобильной дороги.
Модуль деформации на поверхности грунтов рабочего слоя земляного полотна в расчетный период при максимальной влажности грунтов (весна, осень) должен быть не менее нижеприведенных значений: I-II дорожно-климатические зоны - 15 МПа; III дорожно-климатическая зона - 14 МПа; IV и V дорожно-климатические зоны - 13 МПа. Повышение модуля деформации следует достигать заменой грунтов, осушением грунта земляного полотна, укреплением вяжущими, стабилизацией свойств и армированием грунтов.
5.2.13 Морозозащитные слои следует устраивать из стабильных материалов, не изменяющих своих свойств при увлажнении и промерзании; грунтов, укрепленных вяжущими; гидрофобизированных грунтов и других непучинистых материалов, в соответствии с требованиями документа [1].
5.2.14 Ширина морозозащитного слоя должна превышать ширину вышележащего слоя не менее чем на 0,5 м с каждой стороны. При серповидном профиле дорожной одежды морозозащитный слой устраивается на всю ширину земляного полотна.
5.2.15 В местах примыкания разных конструкций дорожной одежды необходимо предусматривать переходную зону, в пределах которой конструкция дорожной одежды должна изменяться таким образом, чтобы на концах этой зоны пучение грунтов было бы равно значениям зимнего поднятия на сопрягаемых участках.
Длину переходной зоны следует назначать по расчету, исходя из условия возникновения дополнительного продольного уклона 5 ‰, вызванного морозным пучением, то есть дополнительное изменение морозного пучения не должно быть более чем 2,5 см на 5 м длины переходной зоны.
5.2.16 На пучиноопасных участках с глубоким сезонным промерзанием грунтов (более 1,5 м), где технически невозможны или экономически нецелесообразны традиционные мероприятия по обеспечению морозоустойчивости конструкции, следует предусматривать теплоизоляционные слои из специальных материалов для частичного или полного предотвращения промерзания грунтов земляного полотна.
5.2.17 Дренирующие слои при обосновании толщины расчетом следует устраивать на участках с земляным полотном из недренирующих грунтов во всех случаях при 3 схеме увлажнения рабочего слоя земляного полотна; при 1 и 2 схемах увлажнения в районах с количеством осадков более 600 мм за год во II-III дорожно-климатических зонах, а также на участках, в основании дорожной одежды которых возможно скопление поверхностных вод.
Расчет толщины дренирующего слоя следует осуществлять на поглощение воды и на осушение по ПНСТ 265-2018 (раздел 12).
Дренирующие слои следует устраивать из фильтрующих материалов. Требуемый коэффициент фильтрации материала дренирующего слоя должен быть при максимальной плотности не менее 1 м/сут и 2 м/сут соответственно на участках дорог, проходящих в насыпи и в выемке (в том числе на участках насыпей в нулевых отметках (высотой до 1,0 м).
5.2.18 На участках с затяжными уклонами более 60 ‰, где продольный уклон больше поперечного, для перехвата и отвода воды, перемещающейся в дренирующем слое дорожной одежды вдоль дороги, следует предусматривать для осушения основания дорожной одежды устройство поперечных прорезей с большим уклоном и укладкой в них щебня с противозаиливающей изоляцией.
5.2.19 На участках со сложными грунтово-гидрогеологическими условиями по ГОСТ 32868 для уменьшения влагонакопления в верхней части земляного полотна допускается применять водонепроницаемые (гидроизолирующие) прослойки на всю ширину земляного полотна.
5.2.20 На участках со сложными грунтово-гидрогеологическими условиями по ГОСТ 32868 допускается применять капилляропрерывающие прослойки толщиной от 10 до 15 см из крупного песка по ГОСТ 32824 или гравия на всю ширину земляного полотна. Для предохранения прослойки из зернистых материалов от быстрого загрязнения, под и над ней следует предусматривать противозаиливающие прослойки.
5.2.21 Возможность применения в дорожных одеждах малопрочных известняков (с пределом прочности на одноосное сжатие от 5 до 15 МПа по ГОСТ 33063-2014 (таблица 8), опоки, гравийных материалов, дресвы, ракушечника, искусственных каменных материалов и др. без обработки вяжущими следует определять в соответствии с требованиями действующих национальных стандартов на материалы дорожной одежды и расчетами дорожной одежды на прочность.
5.2.22 При интенсивности движения более 100 авт./сут следует предусматривать обработку малопрочных материалов органическими и минеральными вяжущими.
5.2.23 Шлаковый щебень из высокоактивных и активных шлаков по ГОСТ 32826-2014 (пункт 5.4.1) следует использовать для устройства покрытий. Щебень слабоустойчивой структуры из активных шлаков по ГОСТ 32826-2014 (пункты 5.4.1 и 6.1.1) следует использовать только для устройства оснований, а щебень из слабоактивных шлаков слабоустойчивой или среднеустойчивой структуры - после приобретения ими устойчивой структуры.
5.2.24 Слой грунта повышенной плотности для дорожных одежд низшего типа следует рассматривать как самостоятельный конструктивный слой на участках дорог при 1 схеме увлажнения. При устройстве слоя повышенной плотности из связного грунта следует предусматривать мероприятия по защите его от увлажнения и разуплотнения.
5.2.25 Проектирование дорожных одежд на специфических грунтах (многолетнемерзлые, слабые, засоленные техногенные, просадочные, набухающие грунты, подвижные пески), при опасных геологических и гидрогеологических процессах (склоновые процессы, карсты, подтопляемые участки, территории развития оврагов), в особых природно-техногенных условиях (подрабатываемые, сейсмоопасные и подверженные наледеобразованию территории) следует выполнять в соответствии с требованиями ГОСТ 33149.
5.2.26 Основные виды покрытий и материалов, армированных геосотовым материалом, следующие:
- из местных каменных материалов;
- из местных песчаных грунтов;
- из местных малопрочных каменных материалов;
- из местных дисперсных грунтов по ГОСТ 33063-2014 (таблица 27).
5.2.27 Геосотовый материал следует использовать для армирования слоев дорожных одежд, сложенных из зернистых материалов (щебень, гравий, ЩГПС, промышленные отходы, песок, местный грунт), для повышения сдвигоустойчивости.
При армировании покрытий дорожных одежд в основание под геосотовым материалом следует укладывать: геотекстиль, преимущественно тканый, прочностью не менее 30 кН/м при армировании мелкодисперсных грунтов и песка; плоскую георешетку прочностью не менее 30 кН/м при армировании крупнозернистых материалов (щебень, гравий, шлак и др.).
5.2.28 В покрытии и слоях основания переходных типов дорожных одежд, на слабых грунтах, на контакте слоев из крупнозернистых материалов с песчаными слоями основания или с грунтом земляного полотна следует предусматривать устройство армирующих по ГОСТ Р 56338 и противозаиливающих по ГОСТ Р 56419 прослоек.
5.3.1 Общие требования
5.3.1.1 Конструктивные слои из укрепленных грунтов следует применять преимущественно в основаниях дорожных одежд переходного типа, конструктивные слои из улучшенных грунтов добавками в покрытиях - дорожных одежд низшего типа.
5.3.1.2 В первую очередь следует использовать местные грунты, которые непосредственно располагаются на участке строительства автомобильной дороги. При этом укрепление грунтов целесообразно проводить непосредственно на дороге.
5.3.1.3 Для укрепления несвязных грунтов подлежит применять минеральные вяжущие на основе цемента, а для укрепления связных грунтов - на основе извести. При укреплении грунтов можно также использовать органические и комплексные вяжущие. Наряду с вяжущими целесообразно применять поверхностно-активные добавки.
5.3.1.4 Комплексное вяжущее может иметь один из следующих составов:
- цемент с добавкой вязкого битума или эмульсии на вязком нефтяном битуме;
- цемент с добавкой полимерно-битумного вяжущего;
- цемент (известь) с добавкой активной золы уноса или гранулированного шлака и т.п.
5.3.1.5 Стабилизаторы грунтов следует использовать для увеличения плотности, прочности, влагостойкости и морозоустойчивости грунтов по ПНСТ 322.
5.3.1.6 Грунты, укрепленные комплексными вяжущими, имеют наиболее высокие расчетные прочностные и деформационные характеристики, повышенные работоспособность и трещиностойкость в процессе эксплуатации дорог. Их следует применять для устройства как оснований, так и покрытий.
5.3.1.7 При проектировании конструктивных слоев оснований и покрытий дорожных одежд из укрепленных грунтов не требуется предусматривать деформационные швы.
5.3.2 Требования к грунтам
5.3.2.1 Устройство дорожных оснований и покрытий из смесей, приготовленных в смесительных установках, следует осуществлять в соответствии с требованиями ПНСТ 321.
5.3.2.2 При проведении работ методом смешения на дороге помимо песков и супесей всех разновидностей по ГОСТ 33063 допускается использовать:
а) глинистые грунты с числом пластичности не более 22;
б) суглинки со следующим числом пластичности:
1) до 12 при условии введения добавок извести, цемента, золы уноса или песка из отсевов дробления карбонатных горных пород при строительстве в I-III дорожно-климатических зонах по документу [1] и без введения добавок в IV-V дорожно-климатических зонах;
2) от 12 до 17 и глины с числом пластичности до 22 при условии введения добавок извести, цемента, золы-уноса и песка из отсевов дробления карбонатных пород или природного крупнозернистого песка - во II-V дорожно-климатических зонах.
Укрепление глин битумными эмульсиями не допускается.
5.3.2.3 Засоленные грунты, содержащие легкорастворимые соли по ГОСТ 33063 не более 1 % по массе, следует укреплять жидкими органическими вяжущими по ГОСТ 11955. Применение битумных эмульсий для укрепления засоленных грунтов не допускается.
5.3.2.4 Необходимо стремиться, чтобы содержание частиц размером более 5 мм в измельченном, подготовленном к обработке вяжущими глинистом грунте не было более 25 % по массе, в том числе содержание частиц размером более 10 мм - не более 10 %.
5.3.2.5 При использовании неорганических вяжущих по ПНСТ 322 не допускается применять грунты с содержанием гумуса в количестве 2 % по массе в I и II дорожно-климатических зонах; более 4 % - в III-IV зонах; содержащие примеси гипса в количестве 10 % по массе.
5.3.2.6 Для снижения расхода вяжущего и повышения показателей физико-механических свойств укрепленных грунтов в них для оптимизации гранулометрического состава целесообразно вводить гранулометрические добавки (отходы камнедробления, золы уноса, золошлаковые смеси, естественные грунты).
5.3.3 Требования к вяжущим материалам и добавкам
5.3.3.1 При выборе вяжущего материала преимущество следует отдавать неорганическим и комплексным вяжущим.
5.3.3.2 В качестве неорганических вяжущих по ПНСТ 322 следует применять цемент по ГОСТ 33174 и шлакопортландцемент по ГОСТ 10178, золу уноса сухого отбора, известь по ГОСТ 9179, шламы нефелиновые (белитовые). Эти же материалы следует использовать в качестве активаторов при обработке грунтов органическими вяжущими в количестве не более 3 % по массе грунта.
5.3.3.3 В качестве органических вяжущих по ПНСТ 321 для приготовления укрепленных грунтов следует применять битумы нефтяные дорожные жидкие по ГОСТ 11955 с вязкостью при 60 °С не более 100 с, эмульсии битумные дорожные ЭБА-3 и ЭБК-3 по ГОСТ Р 52128, ЭБДК по ГОСТ Р 55420, вязкие и жидкие битумы в вспененном виде по ГОСТ 30491.
При необходимости следует применять также и другие органические вяжущие, удовлетворяющие требованиям действующих нормативных документов и обеспечивающие получение укрепленных грунтов в соответствии с требованиями настоящего стандарта.
Для устройства несущих слоев оснований не допускается использование жидких битумов без поверхностно-активных добавок.
5.3.3.4 В качестве активных добавок к битуму следует применять поверхностно-активные вещества или продукты, их содержащие.
Сочетание органических вяжущих материалов и поверхностно-активных добавок, применяемых для укрепленных грунтов в зависимости от вида грунта и дорожно-климатической зоны строительства, приведено в приложении А.
Для снижения расхода неорганических вяжущих материалов, повышения прочности, морозостойкости укрепленных грунтов и улучшения технологических свойств смесей следует применять химические добавки. Перечень химических добавок, применяемых при укреплении грунтов, приведен в приложении Б.
5.3.3.5 Вода для приготовления укрепленных грунтов и растворов активных добавок должна соответствовать требованиям ГОСТ 23732.
5.3.4 Требования к стабилизаторам
5.3.4.1 При применении технологии стабилизации следует обрабатывать глинистые грунты теми видами стабилизаторов, которые не содержат вяжущих как структурообразующих элементов: катионные (катионоактивные), анионные (анионоактивные), универсальные, биологические и наноструктурированные стабилизаторы.
5.3.4.2 При применении технологии комплексной стабилизации следует обрабатывать глинистые грунты структурированными стабилизаторами, содержащими в своем составе вяжущее, либо любыми другими стабилизаторами в количестве, не превышающем 2 % по массе грунта, либо всеми другими видами стабилизаторов (рисунок 7), с дополнительным внесением в грунт вяжущего в тех же количествах.
5.3.4.3 Для обработки стабилизаторами следует применять при оптимальной влажности: суглинки и глины с числом пластичности от 1 до 22, а также все разновидности песчаных грунтов, содержащих в своем составе пылеватые и глинистые частицы в количестве не менее 15 % по массе. Допускается отклонение от оптимальной влажности от 1 % до 3 % в зависимости от погодных условий.
5.3.4.4 Перечень стабилизаторов, улучшающих физико-механические свойства грунтов, приведен в приложении В.

Рисунок 7 - Дорожная классификация стабилизаторов по целевым функциям обработки грунтов
5.3.5 Характеристики укрепленных грунтов
5.3.5.1 Физико-механические показатели укрепленных грунтов в зависимости от используемых вяжущих материалов должны соответствовать значениям, указанным в таблицах 4 и 5.
|
Марка |
Предел прочности, МПа, не менее | |
|
на сжатие |
на растяжение при раскалывании | |
|
М10 |
1,0 |
0,1 |
|
М20 |
2,0 |
0,2 |
|
М40 |
4,0 |
0,4 |
|
М60 |
6,0 |
0,6 |
|
М80 (М75) |
8,0 |
0,8 (0,75) |
|
М100 |
10,0 |
1,0 |
|
Наименование показателя |
Значение показателя | |
|
для слоя основания |
для слоя покрытия | |
|
Предел прочности при непрямом растяжении S, МПа, не менее |
0,20 |
0,30 |
|
Водостойкость, не менее |
0,5 |
0,6 |
|
Водонасыщение, % об.: | ||
|
- для образцов, изготовленных в лаборатории |
От 3 до 12 |
От 2 до 8 |
|
- для вырубок (кернов), не более |
12 |
8 |
|
Набухание, % по об., не более |
2,0 |
2,0 |
|
Слеживаемость (для смесей только с жидкими органическими вяжущими), число ударов, не более |
10 |
10 |
|
Примечание - Допускается в обрабатываемую смесь добавлять минеральный порошок или иные заменяющие порошок материалы для повышения качества физико-механических показателей. | ||
Все грунты перед уплотнением должны иметь оптимальную влажность. Во время производства работ отклонение от оптимальной влажности не должно превышать предела от 1 % до 3 % в зависимости от погодных условий.
5.3.5.2 Значение коэффициента морозостойкости укрепленных грунтов, определяемое по ПНСТ 322-2019 (приложение Е), должно быть не менее 0,75 согласно п. 4.1.3 ПНСТ 322-2019.
5.3.5.3 Суммарная удельная эффективная активность естественных радионуклидов в укрепляемых грунтах и смесях согласно ПНСТ 321 не должна превышать следующих значений:
- 740 Бк/кг - для дорожного строительства без ограничений;
- 1500 Бк/кг - для дорожного строительства вне населенных пунктов и зон эффективной застройки.
6.1 Расчет прочности дорожных одежд капитального и облегченного типов на автомобильных дорогах с низкой интенсивностью движения следует проводить по ГОСТ 33100, ПНСТ 265 и документа [2] с учетом требований ГОСТ 33220, ГОСТ Р 50597.
6.2 Дорожные одежды переходного типа следует рассчитывать по методике, изложенной в настоящем стандарте.
Дорожные одежды низшего типа следует назначать по региональным типовым конструктивным решениям, разрабатываемым на основе практического опыта.
6.3 Дорожные одежды переходного типа согласно пунктам 5.1.3, 8.1.2 документа [2] следует предусматривать на подъездах к жилой застройке, коттеджным и дачным поселкам, малым транспортным терминалам, к рекреационным зонам (категории IVБ-п, VА и VБ), к фермам, промышленным предприятиям и месторождениям полезных ископаемых (категории VА и VБ), к сельскохозяйственным угодьям (категория УБ).
Дорожные одежды низшего типа согласно пунктов 5.1.3, 8.1.2 документа [2] следует устраивать на подъездах к жилой застройке, коттеджным и дачным поселкам, малым транспортным терминалам, фермам, промышленным предприятиям, сельскохозяйственным угодьям и рекреационным зонам (категории VБ).
Выбор типа дорожной одежды (переходный, низший) для автомобильных дорог категории VБ следует определять с учетом состава транспортного потока на основе технико-экономического сравнения вариантов дорожных одежд.
6.4 В качестве нормативной нагрузки следует принимать для автомобильных дорог категории IVБ-п (дорожные одежды переходного типа) осевую статическую нагрузку Q = 100 кН (10 т), категорий VА и VБ (дорожные одежды низшего типа) - Q = 60 кН (6 т). Расчетные параметры нормативных нагрузок (давление на покрытие р; диаметр круга, равновеликого площади следа колеса, D) приведены в таблице 6.
|
Нормативная статическая нагрузка на ось, кН |
Тип дорожной одежды |
Расчетные параметры нагрузки | |
|
Р, МПа |
D, см | ||
|
60 |
Низший |
0,6 |
25 |
|
100 |
Переходный |
0,6 |
33 |
Если на дорогах категории VА и VБ в составе транспортного потока тяжелых транспортных средств категории N3 не менее 10 %, то расчет следует выполнять на расчетную нагрузку на ось 100 кН и устраивать дорожные одежды переходного типа.
6.5 Толщина отдельных конструктивных слоев дорожной одежды должна определяться расчетом. При этом должно быть достигнуто неравенство между общим модулем деформации проектируемой конструкции и требуемым модулем деформации одежды, установленным с учетом интенсивности и перспективного состава транспортного потока, в соответствии с условием (1):
Ед.общ≥Ед.трКпр,
(1)
где Ед.общ - общий модуль деформации, МПа;
Ед.тр - требуемый модуль деформации, МПа;
Кпр - требуемый коэффициент прочности дорожной одежды, назначаемый в зависимости от категории автомобильной дороги, предельного коэффициента разрушения и заданного коэффициента надежности (см. таблицу 7).
|
Категория автомобильной дороги |
IVБ-П |
VА, VБ | ||||
|
Тип дорожной одежды |
Переходный |
Переходный, низший | ||||
|
Предельный коэффициент разрушения |
0,40 |
0,40 | ||||
|
Коэффициент надежности |
0,82 |
0,80 |
0,77 |
0,65 |
0,60 |
0,58 |
|
Требуемый коэффициент прочности |
1,05 |
1,03 |
1,0 |
1,00 |
1,0 |
1,0 |
6.6 Превышение общего модуля относительно требуемого модуля деформации, умноженного на коэффициент прочности, может быть не ограничено, если толщины слоев дорожной одежды имеют минимально допустимые значения. В дорожной одежде, имеющей слои толщиной больше минимально допустимых значений, общий модуль деформации при расчете по накоплению остаточных деформаций не должен превышать требуемый модуль деформации, умноженный на коэффициент прочности, более чем на 10 %.
6.7 Общий модуль деформации многослойной конструкции следует определять по номограмме (рисунок 8).
Приведение многослойной конструкции к эквивалентной однослойной должно вестись послойно, начиная с подстилающего грунта.
6.8 Расчетные значения модулей деформаций грунтов и материалов допускается принимать в соответствии с приложением Г.
6.9 Расчет по требуемому модулю деформации необходимо вести в следующей последовательности:
- определяют требуемый модуль деформации конструкции;
- назначают модули деформации и предварительные толщины слоев конструкции;
- определяют с помощью номограммы (рисунок 8) общие модули деформации на каждом конструктивном слое, начиная с грунта, получая в результате последовательных расчетов общий модуль деформации конструкции.
6.10 Требуемый модуль деформации одежды следует устанавливать исходя из условия, чтобы накапливаемая под действием повторных нагрузок деформация одежды не достигала критической величины, при которой покрытие разрушается либо образуются недопустимые по условиям движения по дороге неровности.
Требуемый модуль деформации одежды следует назначать с учетом состава транспортного потока, перспективной интенсивности движения и рассчитывать по формуле (2):
,
(2)
где Ед.тр - требуемый модуль деформации одежды, МПа;
р - давление на покрытие от нормативной нагрузки, МПа;
λ - допустимое вертикальное относительное перемещение покрытия, выражаемое в относительных величинах (отношение вертикального смещения к диаметру круга, равновеликого по площади следу колеса при воздействии нормативной нагрузки (таблица 8);
K - коэффициент, учитывающий повторность воздействий нагрузки, следует определять в соответствии с 6.12.
6.11 Воздействие на одежду автомобилей разных видов с различными нагрузками на колесо и давлениями на покрытие следует учитывать путем приведения фактических состава транспортного потока и интенсивности движения N (авт./сут) к интенсивности движения нормативной нагрузки Nр (ед./сут).
Величину интенсивности движения нормативной нагрузки Nр на последний год срока службы следует определять по формуле (3):
,
(3)
где fпол - коэффициент, учитывающий число полос движения: fпол = 1 - для однополосной проезжей части дороги; fпол = 0,80 - для двухполосной;
n - общее число различных видов транспортных средств в составе транспортного потока;
Nm - число проездов в сутки в обоих направлениях транспортных средств m-го вида;
Sm сум - суммарный по всем осям коэффициент приведения воздействия на дорожную одежду транспортного средства m-го вида к нормативной нагрузке Q, определяемый по таблице 9.

Рисунок 8 - Номограмма для определения общего модуля деформации двухслойной системы Ед.общ (цифры на кривых означают отношение модулей деформации
)
|
Наименование покрытия |
Допустимое вертикальное перемещение | |
|
относительное |
абсолютное, см | |
|
Щебеночное/гравийное из смесей непрерывного гранулометрического состава (ГОСТ 32703, ГОСТ 32826) при максимальном размере зерен до 45 мм, а также из грунта, обработанного жидким битумом |
0,08/0,06 |
2,0 |
|
Из щебня фракционированного от 45 до 63 (от 63 до 90) мм (ГОСТ 32703, ГОСТ 32826) с заклинкой фракционированным мелким щебнем, мелким известняком, активным или высокоактивным мелким шлаком |
0,07/0,05 |
1,75 |
|
Грунтовое, обработанное цементом |
0,05/0,04 |
1,25 |
|
Примечание - Числитель при нормативной статической нагрузке на ось - 60 кН, знаменатель - 100 кН. | ||
|
Вид транспортного средства в зависимости от схемы расположения осей и полной массы |
Грузоподъемность, т |
Суммарный коэффициент приведения к нормативной нагрузке на ось (числитель - 6 т; знаменатель - 10 т) |
|
Легковые автомобили (категория М1) |
0,2-0,5 |
0,01/0,005 |
|
Полная масса: менее 3,5 т |
0,5-2,0 |
0,11/0,08 |
|
Полная масса: свыше 3,5 т до 12 т |
1,5-8,0 |
1,73/0,97 |
|
Полная масса: свыше 12 т |
5,0-10,0 |
4,47/1,22 |
|
|
5,0-20,0 |
6,23/2,93 * |
|
|
9,0-30,0 |
5,02/3,03 |
|
|
6,0-16,0 |
5,49/3,25 |
|
|
10,0-30,5 |
9,29/4,84 ** |
|
* Средние расстояния между сближенными осями 1,38 м. ** Средние расстояния между сближенными осями 1,76 м. Примечание - При других транспортных средствах по ГОСТ 32965 расчет коэффициентов приведения к расчетной нагрузке следует выполнять по ПНСТ 265 (формула 4). | ||
6.12 Коэффициент, учитывающий повторность воздействия и динамичность нагрузки K, следует принимать в соответствии с формулой (4):
K=0,5+0,65lg(Np),
(4)
где Nр - интенсивность движения нормативной нагрузки на последний год службы, ед./сут.
6.13 Интенсивность движения нормативной нагрузки следует устанавливать с учетом перспективных размеров и состава транспортного потока, определяемых на основании данных экономических изысканий (анализа) для дорожных одежд переходного типа на межремонтный срок службы дорожной одежды.
Для расчета необходимо принимать среднесуточную интенсивность движения в неблагоприятный в отношении увлажнения земляного полотна расчетный период года (обычно весенний).
На автомобильных дорогах с ярко выраженной сезонностью (например, уборка сельскохозяйственных культур) необходимо также проверять дорожную одежду на перспективную интенсивность движения в период наибольших перевозок.
Если невозможно достоверно установить сезонную интенсивность на перспективный период, расчет следует вести на перспективную суточную интенсивность движения на конец срока службы, среднюю за весь год.
6.14 Защитный слой в расчете на прочность не учитывается.
7.1.1 Глубину колеи следует рассчитывать на воздействие нормативной нагрузки на покрытие за период межремонтного срока службы дорожной одежды. Полученное значение колеи следует сравнивать с допустимым значением по условиям эксплуатации на автомобильных дорогах с покрытиями переходного типа категории IV/Б-п - 30 мм, на дорогах категории VА и VБ - 35 мм.
7.1.2 В зависимости от полученных результатов должны приниматься решения по корректировке конструкции дорожной одежды (укладка в покрытие более прочных материалов, устройство защитных слоев поверхностной обработки) или выполнению обязательных запланированных восстановительных работ в процессе содержания дорожной одежды.
7.1.3 Глубина колеи будет складываться из остаточных деформаций слоев дорожной одежды и грунта земляного полотна (S), а также истирания материала верхнего слоя покрытия в полосе наката за срок службы дорожной одежды (hн) по формуле (5):
hk=S+hн.
(5)
7.1.4 Остаточную деформацию слоев дорожной одежды и грунта земляного полотна (S), м следует определять по формуле (6):
S=1,57PDK/Ед.общ,
(6)
где Р - удельное давление на покрытие от нормативной нагрузки, МПа;
D - диаметр отпечатка колеса расчетного автомобиля, м;
K - коэффициент, отражающий агрессивность повторных нагрузок, вызывающих нарастание остаточных деформаций, определяемый по формуле (4);
Ед.общ - общий модуль деформации на поверхности покрытия, МПа.
7.1.5 Истирание материала верхнего слоя покрытия в полосе наката (hн) следует определять по формуле (7):
,
(7)
где kШ - коэффициент, учитывающий эксплуатацию дорог автомобилями с шинами с металлическими шипами, kШ = 2-3 при нормативной осевой нагрузке 60 кН (для укрепленных грунтов и малопрочных каменных материалов kШ = 3; для прочных каменных материалов, при наличии поверхностной обработки kШ = 2); при нормативной осевой нагрузке 100 кН коэффициент kШ увеличивается на 25 %;
T - межремонтный срок службы, для дорожных одежд переходного типа - 5 лет;
а - коэффициент, зависящий в основном от погодоустойчивости покрытия и климатических условий;
b - коэффициент, зависящий от качества (в основном прочности) материала покрытия, степени его увлажнения, состава и скорости движения;
KИ - коэффициент, учитывающий изменение в составе транспортного потока (при увеличении в составе транспортного потока количества легковых автомобилей KИ = 1,05; количества грузовых автомобилей KИ = 1,07);
q1 - показатель ежегодного роста интенсивности движения, q1 > 1,0;
Nро - величина интенсивности движения нормативной нагрузки Nр на первый год эксплуатации дорожной одежды, которую следует определять по формуле (8):
,
(8)
где fпол - коэффициент, учитывающий число полос движения: fпол = 1 - для однополосной проезжей части дороги; fпол = 0,8 - для двухполосной;
n - общее число различных видов транспортных средств в составе транспортного потока;
Nm - число проездов в сутки в обоих направлениях транспортных средств m-го вида в первый год эксплуатации дорожной одежды;
Sm сут - суммарный по всем осям коэффициент приведения воздействия на дорожную одежду транспортного средства m-го вида к нормативной нагрузке Q, определяемый по таблице 9 при соответствующей нормативной осевой статической нагрузке.
Значения коэффициентов а и b приведены в таблице 10.
|
Покрытия |
а, мм |
b, мм/млн. брутто-тонн в зависимости от нормативной осевой нагрузки | |
|
60 кН |
100 кН | ||
|
Щебеночные: | |||
|
из прочных каменных материалов |
4,5-5,5 |
15,0-17,5 |
17,5-20,0 |
|
из малопрочных каменных материалов |
5,5-6,5 |
19,0-22,0 |
22,0-25,0 |
|
Гравийные: | |||
|
из прочного гравия |
3,0-4,0 |
16,0-19,0 |
19,0-22,0 |
|
из малопрочного гравия |
4,0-6,0 |
20,0-25,0 |
25,0-30,0 |
|
Примечания 1 Средние значения а и b принимают для дорог, расположенных в зоне умеренного увлажнения (III дорожно-климатическая зона) и построенных из каменных материалов. 2 Для дорог с щебеночными и гравийными покрытиями, расположенных в зоне избыточного увлажнения, принимают нижние пределы, а в районах с сухим климатом - верхние пределы а и b. 3 Если ширина проезжей части меньше 6,0 м, то b увеличивают на 15 %. | |||
7.2.1 Расчет на износ материала покрытия следует выполнять на период межремонтного срока службы дорожной одежды.
При расчете должно быть определено уменьшение толщины покрытия из-за износа в процессе эксплуатации. Уменьшенная толщина покрытия должна быть сравнена с расчетным значением толщины покрытия по прочности.
7.2.2 В зависимости от полученных результатов следует принимать решения по корректировке конструкции дорожной одежды (увеличение толщины покрытия на дополнительную величину, равную толщине слоя износа; укладка в покрытие более прочных материалов; устройство защитных слоев поверхностной обработки) или выполнению периодических плановых работ по регулярному восстановлению защитного слоя в процессе содержания дорожной одежды.
7.2.3 Средняя величина износа по всей площади покрытия, мм, должна быть определена по формуле (9):
hср=khн,
(9)
где k - коэффициент неравномерности износа (при однополосной дороге следует принимать k = 0,7; при двухполосной - 0,6);
hн - величина истираемости в полосе наката, мм, определяется по формуле (7).
7.2.4 При отсутствии слоев поверхностной обработки проектная толщина покрытия дорожной одежды (hп) должна быть равна сумме толщины покрытия по условиям прочности (hпр) и средней величины износа покрытия, рассчитанной на срок службы до следующего ремонта (hср) по формуле (10):
hп=hпр+hср.
(10)
7.3.1 Проверку на морозоустойчивость следует выполнять только для дорожных одежд переходного типа. Проверка дорожных одежд низшего типа на морозоустойчивость не производится.
7.3.2 Проверка на морозоустойчивость дорожных одежд переходного типа не должна выполняться в следующих случаях:
а) в районах с глубиной промерзания менее 0,6 м;
б) при земляном полотне, сложенном на всю глубину промерзания из непучинистых грунтов или слабопучинистых грунтов;
в) в случаях, когда общая толщина дорожной одежды превышает 2/3 от глубины промерзания.
7.3.3 Конструкцию дорожной одежды следует считать морозоустойчивой, если соблюдено условие (11):
lпуч≤lдоп,
(11)
где Iпуч - расчетное (ожидаемое) пучение грунта земляного полотна;
Iдоп = 10 см - допускаемое пучение грунта дорожной одежды переходного типа.
7.3.4 Проверка дорожной одежды переходного типа на морозоустойчивость должна сводиться к определению толщины слоев из стабильных материалов (дорожная одежда + морозозащитные слои) (Zст), при которых морозное пучение на поверхности покрытия не превысит допускаемое значение.
7.3.5 Для определения толщины слоев из стабильных материалов необходимо определить допустимую глубину промерзания грунта земляного полотна по формуле (12):
Zдоп=lдоп/εfh,
(12)
где εfh - относительная деформация морозного пучения, определяемая как отношение деформации морозного пучения к глубине промерзания по ГОСТ 28622.
7.3.6 При отсутствии результатов лабораторных испытаний по ГОСТ 28622 допускается принимать относительную деформацию морозного пучения по таблице 11.
|
Разновидность грунта |
Среднее значение относительной деформации морозного пучения грунта (при промерзании 1,5 м), % |
|
Песчаные грунты: гравелистый, крупный и средней крупности с содержанием частиц мельче 0,05 мм до 2 % |
1 1 |
|
Песчаные грунты: гравелистый, крупный и средней крупности с содержанием частиц мельче 0,05 мм до 15 %; мелкий с содержанием частиц мельче 0,05 мм до 2 % |
1 1-2 |
|
Песчаный грунт мелкий с содержанием частиц мельче 0,05 мм менее 5 %; супесь легкая крупная песчанистая |
1-2 2-4 |
|
Супесь пылеватая; суглинок тяжелый пылеватый; песчаный грунт мелкий с содержанием частиц мельче 0,05 мм до 15 % |
2-4 7-10 |
|
Супесь легкая песчанистая; песчаный грунт мелкий с содержанием частиц мельче 0,05 мм до 8 % |
1-2 4-7 |
|
Супесь тяжелая пылеватая; суглинок легкий пылеватый; песчанистый грунт пылеватый |
4-7 10 |
|
Суглинок тяжелый пылеватый; суглинок тяжелый песчанистый; глина |
2-4 4-7 |
|
Примечание - В числителе - при 1 расчетной схеме увлажнения, в знаменателе - при 2 и 3 схемах. | |
7.3.7 Глубину промерзания следует определять по данным натурных измерений. Если данные натурных наблюдений отсутствуют, глубину промерзания дорожной конструкции допускается определять по формуле (13):
Zпр=Zпр(ср)·1,38,
(13)
где Zпр(ср) - средняя глубина промерзания для данного района, устанавливаемая при помощи карт изолиний (рисунок 9).
Рисунок 9 - Карта изолиний глубины промерзания Zпр(ср) грунтов
7.3.8 Толщину слоев из стабильных материалов (дорожная одежда по прочности + морозозащитный слой) для дорожной одежды переходного типа следует определять по формуле (14):
Zст=Zпр-Zдоп.
(14)
7.3.9 Толщину дополнительного морозозащитного слоя (Zд) следует вычислять по формуле (15):
Zд=Zст-Zд.о.,
(15)
где Zд.о. - толщина дорожной одежды по условиям прочности с учетом изменения толщины по проверкам на колееобразование и износ покрытия.
Если по результатам расчета толщина дополнительного морозозащитного слоя будет отрицательной или равна 0, то морозозащитный слой не должен устраиваться. Толщина дорожной одежды должна быть равна толщине, определяемой по условиям прочности с учетом изменения толщины по проверкам на колееобразование и износ покрытия.
Проверку по осушению дорожной одежды следует осуществлять как расчет толщины дренирующего слоя на поглощение воды и на осушение по ПНСТ 265-2018 (раздел 12).
Пример расчета дорожной одежды приведен в приложении Д.
Приложение А
(рекомендуемое)
Сочетание органических вяжущих материалов и активных добавок для укрепления грунтов приведено в таблице А.1.
Таблица А.1
|
Разновидность грунта |
Вяжущий материал и добавка |
Расход органического вяжущего, % массы смеси |
Дорожно-климатическая зона |
|
Песчаные грунты: гравелистый, крупный, средней крупности, неоднородный |
Жидкий и вспененный нефтяной битум совместно с цементом, жидкий битум |
3-5 |
IV, V |
|
Жидкий битум с активными добавками |
I, II, III, IV, V | ||
|
Песчаные грунты: крупный, средней крупности и мелкий, однородный |
Битумная эмульсия совместно с карбамидной смолой |
3-5 |
I, II, III |
|
Жидкий (вспененный) нефтяной битум с активной добавкой |
IV, V | ||
|
Битумная эмульсия совместно с добавкой извести или цемента |
I, II, III, IV, V | ||
|
Песчаный грунт пылеватый, все разновидности супеси с числом пластичности менее 3 |
Битумная эмульсия с цементом или добавкой извести или цемента |
4-6 |
I, II, III, IV, V |
|
Жидкий нефтяной битум с активной добавкой |
IV, V | ||
|
Супесь крупная песчанистая, супесь легкая песчанистая |
Битумная эмульсия совместно с добавкой извести или цемента |
4-6 |
I, II, III, IV, V |
|
Жидкий битум с активной добавкой |
I, II, III | ||
|
Жидкий нефтяной битум совместно с цементом |
IV, V | ||
|
Супесь пылеватая, суглинок легкий песчанистый, суглинок легкий пылеватый |
Битумная эмульсия совместно с добавкой извести или цементом |
5-8 |
I, II, III, IV, V |
|
Жидкий битум с активной добавкой |
IV, V | ||
|
Битумная эмульсия совместно с карбамидной смолой |
I, II, III | ||
|
Жидкий битум совместно с цементом |
IV, V | ||
|
Суглинок тяжелый песчанистый, суглинок тяжелый пылеватый |
Жидкий битум с добавкой извести (цемента), поверхностно-активного вещества |
5-8 |
II, III, IV, V |
|
Жидкий битум |
IV, V | ||
|
Глина легкая песчанистая, глина легкая пылеватая с числом пластичности не более 22 |
Жидкий битум с добавкой извести (цемента) и поверхностно-активного вещества |
8-10 |
III, IV, V |
Приложение Б
(рекомендуемое)
Перечень химических добавок, применяемых при укреплении грунтов, приведен в таблице Б.1.
Таблица Б.1
|
Назначение добавки |
Добавка (условное обозначение) |
Нормативный документ |
|
Повышение водо- и морозостойкости грунтов, укрепленных цементом |
Лигносульфонаты технические (ЛСТ). Лигносульфонаты технические, модифицированные (ЛСТМ-2) | |
|
Повышение деформативности, прочности и морозостойкости грунтов, укрепленных цементом |
Кислый гудрон, нейтрализованный аммиаком (ГНД) Кислый гудрон, нейтрализованный едким натром (ВНГ) Подмыльный щелок (ПЩ) Кубовый остаток производства синтетических жирных кислот (КОСЖК) Синтетическая поверхностно-активная добавка (СПАД) | |
|
Жидкость гидрофобизирующая (ГЖ-136-41) Глицериновый гудрон (ГП) Алкилсульфатная паста (АСП) |
ГОСТ 10834 | |
|
Ускорение процессов твердения, повышение прочности, водо- и морозостойкости грунтов (в т.ч. кислых, гумусированных, засоленных, переувлажненных), укрепленных цементом или известью |
Этилсиликонат натрия (ГКЖ-10) Госсиполовая смола (хлопковый гудрон) | |
|
Дивинилстирольный латекс (СКС-65ГП) Пипериленстирольный латекс (СКПС-50) марки Б Суперпластификатор С-3 Суперпластификатор СД-2А Суперпластификатор Н-1 |
ГОСТ 10564 | |
|
Хлорид кальция Сульфат железа |
ГОСТ 450 | |
|
Сульфат натрия |
ГОСТ 6318 | |
|
Едкий натр (каустическая сода) |
ГОСТ Р 55064 | |
|
Углекислый натрий Двууглекислый натрий Силикат натрия (жидкое стекло) Сернокислый аммоний |
ГОСТ 4201 |
Приложение В
(рекомендуемое)
Перечень отечественных стабилизаторов для различных разновидностей грунтов приведен в таблице В.1.
Таблица В.1
|
Вид стабилизатора |
Разновидность грунта |
Получаемые результаты | |||
|
Марка по прочности |
Водонасыщение, % |
Набухание, % |
Марка по морозостойкости | ||
|
Стабилизаторы отечественного производства |
песок, супесь |
М40-М60 |
3,3-5,9 |
0,8-2,1 |
F10-F25 |
|
Стабилизаторы отечественного производства |
Глинистые грунты |
М40-М60 |
2,7-4,4 |
0,6-1,3 |
F10-F25 |
|
Стабилизаторы отечественного производства |
Суглинки |
М40-М60 |
1,5-8,0 |
0,13-1,05 |
F10-F25 |
|
Шлаки |
Любой |
М15-М35 |
6,2 |
1,8 |
F10-F25 |
|
Цемент |
Любой |
М60 |
4,6 |
0,9 |
F10-F25 |
|
Известь |
Любой |
М60 |
7,7 |
2,6 |
F10-F25 |
|
Зола уноса |
Любой |
М15-М35 |
5,9 |
2,1 |
F10-F25 |
|
Силикат натрия (жидкое стекло) |
Любой |
М15-М35 |
3,3 |
1,1 |
F10-F25 |
|
Битумы |
Любой |
М35-М50 |
4,2 |
1,2 |
F10-F25 |
|
Битумные эмульсии |
Любой |
М35-М50 |
6,8 |
1,8 |
F10-F25 |
|
Дегти |
Любой |
М35-М50 |
4,7 |
1,25 |
F10-F25 |
|
Полимерные смолы |
Любой |
М35-М50 |
3,1 |
0,7 |
F10-F25 |
|
Древесные пески |
Любой |
М15-М35 |
2,9 |
0,6 |
F10-F25 |
|
Хлористый кальций, хлористый натрий |
Любой |
М15-М35 |
3,0 |
0,3 |
F10-F25 |
Приложение Г
(рекомендуемое)
|
Разновидность грунта |
Вид земляного полотна |
Дорожно-климатические зоны |
Расчетная схема увлажнения |
Модуль деформации грунтов **, Ед, МПа |
|
Супеси легкие и легкие крупные |
В насыпях |
I |
1 |
11-16 |
|
2 |
9-13 | |||
|
3 |
8-12 | |||
|
В нулевых отметках и выемках |
1 |
10-12 | ||
|
2 |
6-8 | |||
|
3 |
- | |||
|
В насыпях |
II |
1 |
15-20 | |
|
2 |
12-15 | |||
|
3 |
11,5-14 | |||
|
В нулевых отметках и выемках |
1 |
12-15 | ||
|
2 |
6-8 | |||
|
3 |
- | |||
|
В насыпях |
III |
1 |
17-22 | |
|
2 |
13-16,5 | |||
|
3 |
12-15 | |||
|
В нулевых отметках и выемках |
1 |
15-17 | ||
|
2 |
8-11 | |||
|
3 |
- | |||
|
В насыпях |
IV |
1 |
20-22,5 | |
|
2 |
14-17 | |||
|
3 |
13-16 | |||
|
В нулевых отметках и выемках |
1 |
17-20 | ||
|
2 |
10-14 | |||
|
3 |
- | |||
|
В насыпях |
V |
1 |
24-26 | |
|
2 |
15-20 | |||
|
3 |
14-18 | |||
|
В нулевых отметках и выемках |
1 |
22-25 | ||
|
2 |
12-15 | |||
|
3 |
- | |||
|
Пески пылеватые Супеси тяжелые |
В насыпях |
I |
1 |
10-14 |
|
2 |
8-9,5 | |||
|
3 |
7-9 | |||
|
В нулевых отметках и выемках |
1 |
8-12 | ||
|
2 |
5-8 | |||
|
3 |
- | |||
|
В насыпях |
II |
1 |
12-16 | |
|
2 |
8-10 | |||
|
3 |
7,5-9,5 | |||
|
В нулевых отметках и выемках |
1 |
9-12 | ||
|
2 |
- | |||
|
3 |
- | |||
|
В насыпях |
III |
1 |
15-18 | |
|
2 |
10-12,5 | |||
|
3 |
9-12 | |||
|
В нулевых отметках и выемках |
1 |
12-15 | ||
|
2 |
6,5-8 | |||
|
3 |
- | |||
|
В насыпях |
IV |
1 |
16-20 | |
|
2 |
12-14 | |||
|
3 |
10-13 | |||
|
В нулевых отметках и выемках |
1 |
15-18 | ||
|
2 |
9-12 | |||
|
3 |
- | |||
|
В насыпях |
V |
1 |
19-22 | |
|
2 |
13-16 | |||
|
3 |
12-16 | |||
|
В нулевых отметках и выемках |
1 |
16-19 | ||
|
2 |
10-12 | |||
|
3 |
- | |||
|
Суглинки легкие и тяжелые, глины |
В насыпях |
I |
1 |
9-13 |
|
2 |
6,5-8 | |||
|
3 |
6-8 | |||
|
В нулевых отметках и выемках |
1 |
7-11 | ||
|
2 |
- * | |||
|
3 |
- | |||
|
В насыпях |
II |
1 |
11-15 | |
|
2 |
7,5-8,5 | |||
|
3 |
7-9 | |||
|
В нулевых отметках и выемках |
1 |
8-11 | ||
|
2 |
- * | |||
|
3 |
- | |||
|
В насыпях |
III |
1 |
14-16 | |
|
2 |
9-11,5 | |||
|
3 |
8,5-11 | |||
|
В нулевых отметках и выемках |
1 |
11-14 | ||
|
2 |
- | |||
|
3 |
- | |||
|
В насыпях |
IV |
1 |
15-19 | |
|
2 |
11-13 | |||
|
3 |
9-12 | |||
|
В нулевых отметках и выемках |
1 |
13-16 | ||
|
2 |
7,5-9 | |||
|
3 |
- | |||
|
В насыпях |
V |
1 |
19-22 | |
|
2 |
13-15 | |||
|
3 |
12-14 | |||
|
В нулевых отметках и выемках |
1 |
15-18 | ||
|
2 |
9-12 | |||
|
3 |
- | |||
|
Суглинки легкие пылеватые Суглинки тяжелые пылеватые Супеси пылеватые Супеси тяжелые пылеватые |
В насыпях |
I |
1 |
8-10 |
|
2 |
6-7,5 | |||
|
3 |
5-7 | |||
|
В нулевых отметках и выемках |
1 |
5-9 | ||
|
2 |
- | |||
|
3 |
- | |||
|
В насыпях |
II |
1 |
9-11 | |
|
2 |
7-8 | |||
|
3 |
6-7,5 | |||
|
В нулевых отметках и выемках |
1 |
7,5-9 | ||
|
2 |
- | |||
|
3 |
- | |||
|
В насыпях |
III |
1 |
12-15 | |
|
2 |
8,5-10,5 | |||
|
3 |
8-9 | |||
|
В нулевых отметках и выемках |
1 |
10-12 | ||
|
2 |
- | |||
|
3 |
- | |||
|
В насыпях |
IV |
1 |
13-16 | |
|
2 |
9-12 | |||
|
3 |
8,5-11 | |||
|
В нулевых отметках и выемках |
1 |
12-13 | ||
|
2 |
- | |||
|
3 |
- | |||
|
В насыпях |
V |
1 |
16-19 | |
|
2 |
12,5-14 | |||
|
3 |
11-13,5 | |||
|
В нулевых отметках и выемках |
1 |
14-18 | ||
|
2 |
8,5-11 | |||
|
3 |
- | |||
|
* При проектировании должны быть предусмотрены мероприятия для обеспечения устойчивости одежды и предупреждения опасного зимнего вспучивания. ** Модуль деформации грунтов выбирают в зависимости от местных условий, влажности и консистенции грунта. | ||||
|
Материал слоя |
Нормативные значения модуля деформации, Ед *, МПа |
|
1 Щебеночно-гравийно-песчаные смеси и крупнообломочные грунты (оптимального/неоптимального состава) обработанные: | |
|
- жидкими органическими вяжущими или вязкими, в т.ч. эмульгированными органическими вяжущими |
130/120 |
|
- жидкими органическими вяжущими совместно с минеральными или эмульгированными органическими вяжущими совместно с минеральными |
280/240 |
|
2 Пески гравелистые, крупные, средние/пески мелкие, супесь легкая и пылеватая, суглинки легкие обработанные: | |
|
- жидкими органическими вяжущими или вязкими, в т.ч. эмульгированными органическими вяжущими |
130/90 |
|
- жидкими органическими вяжущими совместно с минеральными или эмульгированными органическими вяжущими совместно с минеральными |
210/200 |
|
* Модули деформации могут быть уточнены по результатам выполнения работ с учетом свойств применяемых местных материалов | |
|
Материал |
Нормативные значения модуля деформации, Ед *, МПа |
|
1 Щебеночно-гравийно-песчаные смеси, крупнообломочные грунты (оптимальные/неоптимальные), обработанные цементом, соответствующие марке: | |
|
- М20 |
180/160 |
|
- М40 |
200/190 |
|
- М60 |
220/190 |
|
- М75 |
240/220 |
|
2 То же, обработанные зольным или шлаковым вяжущим, соответствующие марке: | |
|
- М20 |
160/140 |
|
- М40 |
180/160 |
|
- М60 |
210/180 |
|
- М75 |
220/210 |
|
3 Пески гравелистые, крупные, средние/пески мелкие и пылеватые, супесь легкая и тяжелая, суглинки легкие, обработанные цементом, соответствующие марке: | |
|
- М20 |
140/100 |
|
- М40 |
190/170 |
|
- М60 |
240/230 |
|
- М75 |
300/280 |
|
- М100 |
330/300 |
|
4 То же, обработанные зольным или шлаковым вяжущим, соответствующие марке: | |
|
- М20 |
110/80 |
|
- М40 |
160/120 |
|
- М60 |
210/180 |
|
- М75 |
260/240 |
|
* В пункте 4 модули деформации приведены в возрасте 90 суток. | |
|
Материал |
Нормативные значения модуля деформации, Ед, МПа |
|
1 Основание из подобранных оптимальных смесей из высокоактивных материалов с максимальной крупностью зерен до 40 мм, уплотненных при оптимальной влажности |
90-120 |
|
2 То же, из активных материалов |
70-100 |
|
3 Основание из рядовых неоптимальных смесей из высокоактивных материалов с максимальной крупностью 70 мм |
60-70 |
|
4 То же, из активных материалов |
50-60 |
|
Примечания 1 К высокоактивным материалам относятся материалы, имеющие прочность при сжатии от 5 до 10 МПа в возрасте 90 сут. 2 К активным материалам - материалы, имеющие прочность при сжатии от 2,5 до 5 МПа в том же возрасте. 3 Большие нормативные значения модулей упругости следует принимать для материалов, имеющих большую прочность при сжатии в возрасте 90 сут (см. примечания 1, 2) | |
|
Материал слоя |
Нормативные значения модуля деформации, Ед, МПа |
|
Щебеночные/гравийные смеси (С) для покрытий непрерывная гранулометрия (ПНСТ 327) | |
|
с наибольшей крупностью зерен: | |
|
- 45 мм |
90/80 |
|
- 22,4 мм |
80/70 |
|
Шлаковая щебеночно-песчаная смесь из неактивных и слабоактивных шлаков (ГОСТ 32826) при размерах фракций: | |
|
от 63,0 до 90,0 мм |
82 |
|
от 31,5 до 63 мм |
78 |
|
от 16,0 до 31,5 мм |
75 |
|
от 8,0 до 16 мм |
63 |
|
Материал слоя |
Нормативные значения модуля деформации, Ед, МПа |
|
Щебень фракционированный 45-90 (90-120) мм с заклинкой: | |
|
- фракционированным мелким щебнем |
130 100 |
|
- известняковой мелкой смесью или активным мелким шлаком |
120 90 |
|
- мелким высокоактивным шлаком |
130 120 |
|
- асфальтобетонной смесью |
140 130 |
|
- цементопесчаной смесью М75 при глубине пропитки 0,25-0,75 h слоя |
130-200 100-180 |
|
Примечание - Для слоя: в числителе - из легкоуплотняемого щебня; в знаменателе - из трудноуплотняемого щебня. | |
|
Песчаные грунты по ГОСТ 33063 |
Модуль деформации, Ед, МПа, в зависимости от дорожно-климатической зоны | |
|
I-III |
IV-V | |
|
Крупные |
35 |
40 |
|
Средней крупности |
25 |
30 |
|
Мелкие |
15 |
20 |
Приложение Д
(справочное)
Д.1 Пример расчета дорожной одежды переходного типа
Пример:
Требуется запроектировать дорожную одежду переходного типа на автомобильной дороге с низкой интенсивностью движения на подъезде к жилой застройке категории IVБ-п, устраиваемой в Вологодской области (II дорожно-климатическая зона). Коэффициент надежности дорожной одежды 0,82. Прогнозируемая на срок службы дорожной одежды среднесуточная интенсивность движения в весенний период года равна 300 авт./сут.
Состав движения следующий:
- легковые автомобили - 70 %;
- автомобили с полной массой менее 3,5 т - 5 %;
- автомобили с полной массой свыше 3,5 до 12 т - 16 %;
- автомобили с полной массой свыше 12 т, включая автобусы, - 8 %;
- седельные двухосные тягачи с полуприцепом - 1 %.
Конструкция дорожной одежды переходного типа согласно рисунку 1 стандарта представлена в таблице Д.1.
|
Схема |
Материалы слоев |
Модуль деформации, МПа |
Толщина, см | |
|
|
1 - поверхностная обработка |
- |
В расчете не учитывается | |
|
2 - щебень фракционированный с заклинкой фракционированным мелким щебнем |
130 |
15 | ||
|
3 - песок крупный |
35 |
30 | ||
|
4 - супесь легкая |
15 |
- |
Д.2 Расчет интенсивности движения нормативной нагрузки и требуемого модуля деформации для заданных конструкций
Согласно 6.4 стандарта осевая статическая нагрузка Q = 100 кН, Р = 0,6 МПа, D = 33 см.
Определяем по формуле (3) стандарта величину интенсивности движения нормативной нагрузки Nр на последний год срока службы:
.
Коэффициент, учитывающий повторность воздействия и динамичность нагрузки K в соответствии с формулой (4) стандарта:
K=0,5+0,65·lg(γ·Np)=0,5+0,65·lg(104)=1,81.
Требуемый модуль деформации дорожной одежды с учетом состава и интенсивности перспективного движения по формуле (2) стандарта:
МПа.
Д.3 Расчет конструкции дорожной одежды по модулю деформации
Общий модуль деформации дорожной одежды по рисунку 8 стандарта:
- общий модуль деформации дорожной одежды на поверхности песка крупного:
;
МПа;
- общий модуль деформации дорожной одежды на поверхности щебеночного слоя:
;
МПа.
Ед.трКпр=28·1,05=29,4 МПа
Ед.общ = 43 МПа > 29,4 МПа на 32 %, поэтому следует уменьшить толщину слоев до минимально возможных толщин.
Для второй итерации расчета следующие толщины слоев: слой щебень фракционированный с заклинкой фракционированным мелким щебнем - 15 см; слой песок крупнозернистый - 15 см.
Определим общий модуль деформации дорожной одежды:
;
МПа;
;
МПа.
Ед.общ = 34 МПа > 29,4 МПа, что больше на 13,5 %. При минимальной толщине щебеночного и песчаного слоя дальнейшая оптимизация (уменьшение толщины слоев) невозможна, осуществляется переход к проверке эксплуатационной надежности.
Конструкция дорожной одежды, определенная по условиям прочности (таблица Д.2), проверяется на эксплуатационную надежность.
|
Схема |
Материалы слоев |
Толщина, см | |
|
|
1 - поверхностная обработка |
В расчете не учитывается | |
|
2 - щебень фракционированный с заклинкой фракционированным мелким щебнем |
15 | ||
|
2 - песок крупный |
15 | ||
|
4 - супесь легкая |
Проверка на эксплуатационную надежность выполняется по следующим условиям: колееобразования, износа покрытия, морозоустойчивости и осушения дорожной одежды.
Д.4 Проверка на колееобразование
Интенсивность движения различных типов автомобилей (N0) на первый год эксплуатации дорожной одежды определяется по формуле:
:
1) легковых автомобилей:
ед./сут;
2) автомобилей с полной массой менее 3,5 т:
ед./сут;
3) автомобилей с полной массой свыше 3,5 до 12 т:
ед./сут;
4) автомобилей с полной массой свыше 12 т, включая автобусы:
ед./сут;
5) седельных двухосных тягачей с полуприцепом:
ед./сут.
Интенсивность движения нормативной нагрузки Nр на первый год эксплуатации дорожной одежды Npo по формуле (8) стандарта:
Npo=0,8·(181·0,005+13·0,08+41·0,97+21·2,93+3·3,25)=90 ед./сут.
Толщина истирания материала покрытия в полосе наката hн по формуле (7) стандарта:
- при Т = 1: hн=2,5·(5·1+(20·90/1000)·((1,07·1,03)-1)/(1,07·1,03-1))=17 мм;
- при Т = 2: hн=2,5·(5·2+(20·90/1000)·((1,07·1,03)2-1)/(1,07·1,03-1))=34 мм;
- при Т = 3: hн=2,5·(5·3+(20·90/1000)·((1,07·1,03)3-1)/(1,07·1,03-1))=52 мм;
- при Т = 4: hн=2,5·(5·4+(20·90/1000)·((1,07·1,03)4-1)/(1,07·1,03-1))=71 мм;
- при Т = 5: hн=2,5·(5·5+(20·90/1000)·((1,07·1,03)5-1)/(1,07·1,03-1))=90 мм.
Вычислим значение общей толщины износа материала покрытия hср по формуле (9) стандарта:
- при T = 1: hcp=khн=0,6·17=10 мм;
- при T = 2: hcp=khн=0,6·34=20 мм;
- при T = 3: hcp=khн=0,6·52=31 мм;
- при T = 4: hcp=khн=0,6·71=43 мм;
- при T = 5: hcp=khн=0,6·90=54 мм.
Остаточная деформация слоев дорожной одежды и грунта земляного полотна по формуле (6) стандарта:
S=1,57PDK/Ед.общ=1,57·0,6·0,33·1,81/34=0,0165 м=17 мм.
Глубина колеи по формуле (5) стандарта:
hк=S+hн:
- при Т = 1: hk = S + hн = 17 + 17 = 34 мм;
- при T = 2: hk = S + hн = 17 + 34 = 51 мм;
- при T = 3: hk = S + hн = 17 + 52 = 69 мм;
- при T = 4: hk = S + hн = 17 + 71 = 88 мм;
- при T = 5: hk = S + hн = 17 + 90 = 107 мм.
Толщины истирания материала покрытия в полосе наката, общей толщины износа покрытия, глубины колеи за годы эксплуатации рассчитываемой дорожной одежды (таблица Д.3, рисунок Д.1).
|
Расчетные характеристики |
Годы эксплуатации дорожной одежды | ||||
|
1 |
2 |
3 |
4 |
5 | |
|
Толщина истирания материала покрытия в полосе наката, мм |
17 |
34 |
52 |
71 |
90 |
|
Общая толщина износа покрытия, мм |
10 |
20 |
31 |
43 |
54 |
|
Глубина колеи, мм |
34 |
51 |
69 |
88 |
107 |
Рисунок Д.1 - Изменение толщины истирания полосы наката, износа покрытия и глубины колеи в процессе эксплуатации дорожной одежды
Результаты расчета на колееобразование показывают (см. рисунок Д.2), что при отсутствии защитного слоя шероховатой поверхностной обработки глубина колеи уже в течение первого года службы превысит допустимое значение (согласно ГОСТ 33220 для дорог IV при 1-2 уровнях содержания - 30 мм). Поэтому согласно 5.1.3 стандарта логично в конструкции дорожной одежды был предусмотрен защитный слой одиночной шероховатой поверхностной обработки с двойным распределением щебня общей толщиной 30 мм.
Слой поверхностной обработки толщиной 30 мм не позволит образоваться колее, превышающей по глубине допустимое значение, в течение эксплуатации более 2 лет.
Для обеспечения межремонтного срока службы 5 лет по колееобразованию на основе технико-экономического сравнения вариантов могут быть выбраны следующие проектные решения с учетом работ по содержанию в процессе эксплуатации:
- единовременные строительные затраты, а именно: предусмотреть в проектной документации конструкции дорожной одежды помимо защитного слоя дополнительно устройство слоя износа из щебня на толщину 30 мм (проектная толщина будет равна 15 + 3 = 18 см) для обеспечения поперечной ровности в процессе эксплуатации до следующего межремонтного срока;
- разновременные эксплуатационные расходы, а именно: устройство на 3-й год эксплуатации (2,4 года) и, при обосновании необходимости, на 5-й год (4,2 года) эксплуатации по профилированию покрытия нового защитного слоя поверхностной обработки толщиной 30 мм;
- выполнение работ по содержанию в процессе эксплуатации (профилирование покрытия, устранение колеи, досыпка щебня (при необходимости) и т.д.).
Сплошная линия - глубина колеи с учетом устройства поверхностной обработки после 2,4 года службы, пунктирная - без устройства поверхностной обработки после 2,4 года службы
Рисунок Д.2 - Изменение глубины колеи в процессе эксплуатации
Д.5 Проверка на износ
Износ щебеночного слоя покрытия при отсутствии защитного слоя шероховатой поверхностной обработки на конец межремонтного срока службы (5 лет) составит 54 мм (см. рисунок Д.3), то есть в этом случае толщина щебеночного покрытия будет равна 150 - 54 = 96 мм и конструкция не будет отвечать требованиям прочности по допустимым остаточным деформациям.
Сплошная линия - толщина слоя покрытия с устройством поверхностной обработки после 2,8 года службы, пунктирная - без устройства поверхностной обработки после 2,8 года службы
Рисунок Д.3 - Изменение толщины покрытия дорожной одежды в процессе эксплуатации
Для обеспечения межремонтного срока службы 5 лет по износу на основе технико-экономического сравнения вариантов могут быть выбраны следующие проектные решения с учетом работ по содержанию в процессе эксплуатации:
- единовременные строительные затраты, а именно: предусмотреть в проектной документации конструкции дорожной одежды устройство помимо защитного слоя дополнительного слоя износа из щебня на толщину 20 мм (проектная толщина будет равна: 15 + 2 = 17 см) для обеспечения требований по условиям износа покрытия;
- разновременные эксплуатационные расходы, а именно: необходимо устроить после 3-го года службы защитный слой одиночной шероховатой поверхностной обработки с общей достаточной толщиной 20 мм, слой поверхностной обработки по условиям износа покрытия с толщиной 30 мм, и на 3-й год (2,8 года) службы вновь устроенный слой поверхностной обработки с достаточной толщиной 20 мм позволит сохранить проектную толщину щебеночного слоя до 4,7 года эксплуатации и тем самым практически обеспечить требования по износу покрытия;
- выполнение работ по содержанию в процессе эксплуатации (профилирование покрытия, устранение колеи, досыпка щебня (при необходимости) и т.д.).
Таким образом, для предотвращения колееобразования больше допустимого значения и износа слоя покрытия до значения, при котором снижается проектируемая прочность дорожной одежды, необходимо на основе технико-экономического сравнения выбрать эффективное проектное решение с учетом обеспечения эксплуатационной надежности. Определяющим критерием из двух вышеперечисленных будет условие колееобразования.
Д.6 Проверка на морозоустойчивость
Глубина промерзания грунта земляного полотна по формуле (12) стандарта:
Zдоп=lдоп/εfh:
Zдоп=lдоп/εfh=10/0,06=167 см.
Относительная деформация морозного пучения принята по результатам лабораторных работ по ГОСТ 28622 как средняя для супеси легкой.
Глубина промерзания определена по формуле (13) стандарта:
Zпр=Zпр(ср)·1,38:
Zпр=Zпр(ср)·1,38=150·1,38=207 см,
где Zпр(ср) - средняя глубина промерзания для данного района, устанавливаемая при помощи карт изолиний (рисунок 9 ПНСТ).
Толщина слоев из стабильных материалов (дорожная одежда по прочности + морозозащитный слой) для дорожной одежды переходного типа по формуле (14) стандарта:
Zст=Zпр-Zдоп:
Zст=Zпр-Zдоп=207-167=40 см.
Общая толщина слоев из стабильных материалов для конструкции дорожной одежды составляет: 15 + 15 = 30 см (таблица Д.2).
Толщина дополнительного морозозащитного слоя по формуле (15) стандарта будет равна: 40 - 30 = 10 см.
При этом целесообразно из технологических соображений два песчаных слоя выполнить из одного материала (песка крупного) толщиной слоя 25 см, тогда конструкция дорожной одежды, обеспечивающая условия морозоустойчивости, примет следующий вид (таблица Д.4).
|
Схема |
Материалы слоев |
Толщина, см |
|
|
1 - поверхностная обработка |
В расчете не учитывается |
|
2 - щебень фракционированный с заклинкой фракционированным мелким щебнем |
15 | |
|
3 - песок крупный |
25 | |
|
4 - супесь легкая |
Д.7 Проверка на осушение
Результаты расчета на осушение для конструкции дорожной одежды (таблица Д.4) показали следующее:
- полная толщина дренирующего слоя, работающего по принципу осушения, по формуле (31) стандарта 265 равна 21 см;
- полная толщина дренирующего слоя, работающего по принципу поглощения, по формуле (35) стандарта 265 равна 22 см.
Следовательно, проверка на осушение выполняется, толщина дренирующего слоя равна максимальному значению 22 см, что меньше толщины слоя из песка крупного, равной 25 см (см. таблицу Д.4).
Приложение Е
(рекомендуемое)
Модуль деформации грунта или материала дорожной одежды следует определять, располагая полученными экспериментальными данными об осадках штампа при разных значениях удельных давлений, по формуле (Е.1):
кг/см2,
(Е.1)
где р - удельное давление на штамп при относительной деформации λ;
λ - относительная деформация,
(I - полная осадка штампа диаметром D).
Зависимость между величиной вертикального давления на штамп и его погружением в грунт или одежду, как правило, не бывает линейной. Поэтому значения модулей деформации получаются неодинаковыми для разных нагрузок на штамп и осадок последнего.
В зависимости от типа и конструкции одежды, а также расположения в ней испытываемого материала величину относительной деформации λ при определении расчетного модуля деформации следует принимать для дорожных одежд (таблица 8) - 0,04-0,08; грунтов земляного полотна - 0,010-0,020.
Е.1 Непосредственное определение модулей деформации в полевых условиях
Модули деформации грунтов и материалов дорожной одежды на существующих дорогах следует определять посредством пробных нагружений с помощью передвижного пресса. В этом случае значения модулей деформации устанавливаются на момент испытания, поэтому для получения расчетных значений модулей испытания следует проводить в весенний (осенний) период, наиболее неблагоприятный для работы дорожной конструкции.
Е.1.1 Испытания дорожных одежд пробным нагружением следует выполнять с помощью специального передвижного пресса, либо для этой цели может быть использовано более простое оборудование, состоящее из гидравлического или механического домкрата, манометра (или мездозы - в случае применения механического домкрата), набора штампов и индикаторов для замера осадок штампа. В процессе испытаний домкрат упирают в раму груженого автомобиля или прицепа либо в балку, подведенную под раму двух автомобилей или прицепов (рисунок Е.1) На период испытаний необходимо блокировать рессоры автомобилей. Применяемая для испытания установка должна иметь мощность пресса, достаточную для нагрузок, превышающих расчетные в 2-3 раза.
1 - штамп; 2 - домкрат; 3 - упорная балка; 4 - мессуры; 5 - балки для крепления мессур; 6 - опоры балок
Рисунок Е.1 - Схема передвижного пресса
Осадку штампа следует замерять с помощью двух индикаторов (обычно мессур), установленных вдоль диаметра штампа на равном расстоянии от его центра. За истинное вертикальное смещение центра штампа следует принимать полусумму отсчетов по индикаторам. Индикаторы должны быть надежно закреплены на жесткой реперной балке, точки опоры которой должны быть удалены не менее чем на два диаметра от штампа. Опоры установки (колеса автомобиля или прицепов) должны быть удалены от опор реперной балки и штампа не менее чем на два диаметра последнего.
Е.1.2 Пробные нагружения с помощью передвижного пресса. Штамп расчетного диаметра устанавливают на поверхности покрытия и нагружают ступенями до тех пор, пока не будет достигнута относительная деформация, не меньшая расчетной для одежд с покрытием данного типа (таблица 8). Расчетный диаметр штампа следует выбирать по таблице 6. Величину каждой ступени нагрузки необходимо выбирать таким образом, чтобы для достижения расчетной деформации требовалось 3-4 ступени нагрузки. Каждую ступень нагрузки выдерживают до практически полной стабилизации осадки (не более 0,05 мм за пятиминутный интервал), при этом записывают показания индикаторов, после чего передается нагрузка следующей ступени.
На основании полученных данных строят кривую зависимости относительной осадки от удельного давления и по ней устанавливают величину удельного давления, соответствующую расчетной относительной деформации. Эквивалентный модуль деформации одежды вычисляют по формуле (Е.2):
кг/см2,
(Е.2)
где р - удельное давление на штамп, кг/см2, соответствующее расчетной относительной деформации;
- коэффициент, учитывающий многослойность конструкции.
Рядом с местом, где производилось испытание (на расстоянии примерно 1,5-2,0 м от него) одежду вырубают до подстилающего грунта. В образовавшийся шурф диаметром около 1,25 м непосредственно на грунт земляного полотна устанавливают штамп диаметром 50-75 см (учитывают распределение нагрузки вышележащими слоями по большей площади). Штамп нагружают ступенями до достижения относительной осадки λ0 = 0,01 - 0,02. Величину каждой ступени выбирают с таким расчетом, чтобы для достижения необходимой относительной осадки требовалось 3-4 ступени нагрузки. На основании полученных данных строят кривую зависимости относительной осадки от удельного давления (рисунок Е.2) и по ней устанавливают величину удельного давления р0, соответствующую расчетной относительной осадке λ0. Модуль деформации грунта земляного полотна вычисляют по формуле (Е.3):
кг/см2.
(Е.3)
Рисунок Е.2 - Кривая зависимости относительной осадки от удельного давления
Е.1.3 На основании результатов испытаний одежды пробным нагружением могут быть получены также приближенные значения модулей деформации материалов отдельных конструктивных слоев. Для этого одежду испытывают штампом расчетного диаметра послойно. После испытания на поверхности покрытия последнее удаляют и штамп устанавливают на верхний слой основания и т.д. - до подстилающего слоя.
На основании полученных данных по формуле (Е.2) вычисляют эквивалентные модули деформации на поверхности каждого конструктивного слоя одежды. Зная эквивалентный модуль деформации нижележащих слоев ЕД.О и эквивалентный модуль на поверхности выше лежащего слоя ЕД.экв, а также толщину этого слоя h, можно подбором по номограмме (рисунок 8) найти приблизительное значение модуля деформации материала данного конструктивного слоя.
При испытании пробным нагружением штамп должен плотно прилегать по всей площади к поверхности испытываемого конструктивного слоя или грунта. Поэтому перед установкой штампа поверхность следует тщательно выровнять, не нарушая структуры материала. В отдельных случаях может потребоваться подливка под штамп быстротвердеющего цементного раствора, россыпь тонким слоем (1-2 мм) просеянного через сито с отверстиями в 1 мм песка и др.
При испытаниях одежд и грунтов пробным нагружением должны подробно фиксироваться толщина, состав и свойства материалов отдельных конструктивных слоев одежды, а также состав, свойства, состояние и условия увлажнения грунта земляного полотна.
Е.2 Определение модулей деформации путем испытания грунтов и материалов в лаборатории и на полигонах
Е.2.1 Определение модулей деформации грунтов в лаборатории. Образцы грунтов для определения модуля деформации испытывают в лаборатории путем вдавливания штампа на рычажном прессе с фиксацией получающейся зависимости деформации от давления.
Расчетные значения модулей деформации могут быть получены этим методом только в том случае, если грунт или материал испытывают при той влажности и структуре, которые они будут иметь в дорожной конструкции в наиболее неблагоприятный период ее службы.
Образцы приготавливают путем послойного уплотнения до расчетной плотности при расчетной влажности (либо до принятых для сопоставления плотностей и влажностей) грунта в металлической цилиндрической форме, диаметр которой должен быть не менее четырех, а высота слоя грунта - не менее трех диаметров штампа.
Так как штамп для испытания применяется диаметром 4-5 см, то размеры формы должны быть 15 х 15 - 20 х 15 см.
Грунт, находящийся в форме, уплотняют либо трамбованием (в 3-4 приема), либо под прессом до достижения расчетной плотности в каждом слое. После приготовления образца форму с грунтом выдерживают во влажном эксикаторе не менее суток, чтобы обеспечить более равномерное распределение влаги в образце и восстановление структуры пленок связанной воды, в той или иной степени нарушенной в процессе уплотнения грунта.
Перед испытанием образца верхний слой грунта толщиной 1-2 см удаляют. Для этого должна быть форма со съемной, разрезанной по образующей надставкой (рисунок Е.3). Образец уплотняют на 1-2 см выше поверхности основной формы и вместе с надставкой выдерживают в эксикаторе.
1 - форма; 2 - надставка
Рисунок Е.3 - Форма со съемной надставкой
Перед испытанием надставку снимают и излишек грунта срезают заподлицо с поверхностью основной формы туго натянутой тонкой проволокой.
Посередине образца устанавливают круглый штамп с заплечиками, в которые упираются ножки мессур, фиксирующих осадки (рисунок Е.4). При этом штамп должен плотно прилегать к поверхности образца.
1 - штамп; 2 - форма с образцом грунта; 3 - мессуры
Рисунок Е.4 - Схема установки штампа и мессур
Штамп на рычажном прессе следует нагружать ступенями с выдерживанием каждой ступени нагрузки до практически полной стабилизации осадки (разница отсчетов по мессурам должна быть не более 0,01 мм за 5 мин). После этого делают отсчеты по мессурам и дают следующую ступень нагрузки. За величину осадки штампа следует принимать полусумму разностей отсчетов по двум мессурам. Количество ступеней нагрузки должно быть 3-4 до достижения относительной деформации, равной 0,03. По данным испытания строят зависимость величины относительной деформации от удельного давления (рисунок Е.2) и на основании этой зависимости по формуле (Е.3) вычисляют значения модулей деформации при относительной осадке штампа λ = 0,01, 0,02 или 0,03. Проводят два или более параллельных испытаний.
Аналогичным образом могут быть определены в лаборатории модули деформации гравийных, грунтощебеночных и других материалов, имеющих размер зерен не крупнее 15-20 мм, из которых в лабораторных условиях могут быть приготовлены образцы, приближающиеся по структуре к состоянию материала в конструктивных слоях одежды.
При испытании вдавливанием штампа несвязных грунтов нужно давать пригрузку вокруг штампа около 0,005 МПа.
При испытании материалов, содержащих крупные зерна, диаметр штампа должен не менее чем в 4 раза превышать размер зерна. Соответственно необходимо увеличить размеры формы для приготовления образцов и применять штампы большего диаметра.
Е.2.2 Определение модулей деформации материалов на полигонах. Модули деформации крупноскелетных материалов, а также материалов, для надлежащего формирования которых необходимо применять катки и другие специальные уплотняющие средства, вдавливанием штампа можно определить лишь путем проведения испытания на крупных монолитах, создаваемых в условиях, приближающихся к производственным.
Послойным уплотнением материала необходимо получать монолит высотой 1,0-1,2 м с размерами в плане не менее 1,5 x 1,5 м, который, будучи соответствующим образом увлажненным, испытывают вдавливанием штампа расчетного диаметра, с фиксацией получающейся зависимости деформации от давления.
Если специальной установки нет, необходимый для испытания монолит может быть получен путем послойного уплотнения материала в котловане, отрытом в плотном грунте. В этом случае нагрузку на штамп передают с помощью передвижного пресса для испытания покрытий либо передвижной испытательной установки.
Испытываемый материал укладывают и уплотняют в котловане послойно. По окончании загрузки котлована материал при необходимости увлажняют и на его выровненную поверхность устанавливают круглый штамп расчетного диаметра. Штамп должен плотно прилегать к поверхности испытываемого материала. При испытании крупнопористых каменных материалов, особенно прочных пород, целесообразно поверхность смазать жестким цементным раствором с применением глиноземистого цемента. Штамп устанавливают на цементную смазку. В этом случае испытание может быть начато не ранее чем через сутки, когда цементный раствор в достаточной степени затвердеет. Поверхность может быть выровнена также песком, рассыпаемым слоем небольшой толщины.
Штамп нагружают ступенями, с выдерживанием каждой ступени нагрузки до практически полной стабилизации осадки (разность отсчетов по мессурам не более 0,05 мм за 5 мин), после чего дают следующую ступень нагрузки.
Осадку штампа замеряют мессурами, укрепленными на реперной балке, опоры которой должны быть удалены от штампа на расстояние не менее двух диаметров.
Величину каждой ступени нагрузки выбирают таким образом, чтобы для достижения расчетной относительной осадки требовалось 3-4 ступени.
По данным испытания строят зависимость относительной осадки от удельного давления (рисунок Е.2) и на основании этой зависимости по формуле (Е.2) рассчитывают значение модуля деформации испытываемого материала при расчетной для данных условий величине относительной деформации λ.
Е.3 Установление модулей деформации грунта земляного полотна расчетным путем на основании данных о службе дорожной одежды под движением
Этим методом могут быть получены предельные значения модулей деформации грунта земляного полотна, а также дорожной одежды на эксплуатируемых дорогах в тех случаях, когда имеются данные за ряд лет об условиях работы одежды под воздействием движения в неблагоприятные периоды года.
Значения модулей деформации на отдельных участках устанавливают в данном случае с использованием основных зависимостей существующего метода расчета нежестких одежд. На основании данных о работе одежды на отдельных участках при имеющемся движении устанавливают предельную величину эквивалентного модуля деформации существующей одежды по формуле (Е.4):
,
(Е.4)
где N - приведенная к расчетному автомобилю интенсивность движения на дороге в неблагоприятный период года;
р - удельное давление на одежду от расчетного автомобиля;
λ - расчетная относительная деформация, принимаемая по таблице 8;
γ - коэффициент, учитывающий повторяемость нагрузок, при однополосной проезжей части - 2, при двухполосной - 1.
Фактические значения модуля деформации одежды на отдельных участках будут больше модулей, полученных расчетом по формуле (Е.4), если на этих участках за период службы одежды не отмечено каких-либо деформаций, обусловленных недостаточной прочностью конструкций, и, в свою очередь, будут меньше модулей, полученных расчетом по формуле (Е.4), если в отдельные годы имелись деформации, указывающие на недостаточную прочность конструкции при существующем движении.
После того как установлены предельные значения эквивалентных модулей деформации одежды для имеющихся на отдельных участках конструкций одежды, назначают расчетные модули деформации материалов конструктивных слоев с учетом состава и свойств материалов и условий увлажнения их в конструкции, после чего модуль деформации подстилающего одежду грунта Е0 определяют по номограмме, приведенной на рисунке 8.
Чем за большее число лет имеются данные, характеризующие состояние одежды и условия ее работы под движением в неблагоприятные периоды года, а также состав и интенсивность движения в эти периоды, тем надежнее получаемые расчетом предельные значения модулей деформации одежды и грунта земляного полотна. При этом для расчета следует использовать данные за год (или годы), когда одежда работала хуже всего при наименьшем движении.
Нельзя использовать значения модулей деформации, когда эти данные относятся к годам с заведомо благоприятным водно-тепловым режимом земляного полотна в данной местности.
Библиография
|
[1] |
Свод правил СП 34.13330.2012 |
Автомобильные дороги. Актуализированная редакция СНиП 2.05.02-85* |
|
[2] |
Свод правил СП 243.1326000.2015 |
Проектирование и строительство автомобильных дорог с низкой интенсивностью движения |
|
[3] |
Технический регламент Таможенного союза N ТР ТС 018/2011 "О безопасности колесных транспортных средств" (утвержден решением Комиссии Таможенного союза от 9 декабря 2011 года N 877) | |
(категория N1)
(категория N2)
(категория N3)





