электронный сборник нормативных документов по строительству
Обновления
18.04.2026 21:23
электронный сборник нормативных документов по строительству

ПНСТ 69-2015 ВЯЖУЩЕЕ НАНОСТРУКТУРИРОВАННОЕ СИЛИКАТНОЕ. ТЕХНИЧЕСКИЕ УСЛОВИЯ

Утв. и введен в действие приказом Федерального агентства по техническому регулированию и метрологии от 25 декабря 2015 г. N 44-пнст
Предварительный национальный стандарт ПНСТ 69-2015
"ВЯЖУЩЕЕ НАНОСТРУКТУРИРОВАННОЕ СИЛИКАТНОЕ. ТЕХНИЧЕСКИЕ УСЛОВИЯ"

Silica nanostructured binder. Specifications

ОКС 91.100.01
ОКП 57 4440

Срок действия - с 1 июля 2016 г.
по 1 июля 2019 г.
Введен впервые

Предисловие

1 Разработан Автономной некоммерческой организацией "Центр сертификации продукции и систем менеджмента в сфере наноиндустрии" (АНО "Наносертифика") при участии Дирекции стандартизации Фонда инфраструктурных и образовательных программ

2 Внесен Автономной некоммерческой организацией "Центр сертификации продукции и систем менеджмента в сфере наноиндустрии" (АНО "Наносертифика")

3 Утвержден и введен в действие Приказом Федерального агентства по техническому регулированию и метрологии от 25 декабря 2015 г. N 44-пнст

4 Введен впервые

5 Федеральное агентство по техническому регулированию и метрологии не несет ответственности за патентную чистоту настоящего стандарта. Патентообладатель может заявить о своих правах и направить в Федеральное агентство по техническому регулированию и метрологии аргументированное предложение о внесении в настоящий стандарт поправки для указания информации о наличии в стандарте объектов патентного права и патентообладателе

1 Область применения

Настоящий стандарт распространяется на наноструктурированное силикатное вяжущее (далее - нановяжущее), полученное методом механохимической активации кремнеземсодержащего сырья и предназначенное для использования в качестве модифицирующей добавки и компонента смеси для приготовления растворов и бетонов.

2 Нормативные ссылки

В настоящем стандарте использованы нормативные ссылки на следующие стандарты:

ГОСТ 310.4 Цементы. Методы определения предела прочности при изгибе и сжатии

ГОСТ 1770 Посуда мерная лабораторная стеклянная. Цилиндры, мензурки, колбы, пробирки. Общие технические условия

ГОСТ 6259 Реактивы. Глицерин. Технические условия

ГОСТ 6613 Сетки проволочные тканые с квадратными ячейками. Технические условия

ГОСТ 8736 Песок для строительных работ. Технические условия

ГОСТ 9147 Посуда и оборудование лабораторные фарфоровые. Технические условия

ГОСТ 13078 Стекло натриевое жидкое. Технические условия

ГОСТ 13493 Натрия триполифосфат. Технические условия

ГОСТ 23732 Вода для бетонов и растворов. Технические условия

ГОСТ 23932 Посуда и оборудование лабораторные стеклянные. Общие технические условия

ГОСТ 30108 Материалы и изделия строительные. Определение удельной эффективной активности естественных радионуклидов

ГОСТ Р 53228 Весы неавтоматического действия. Часть 1. Метрологические и технические требования. Испытания

Примечание - При пользовании настоящим стандартом целесообразно проверить действие ссылочных стандартов в информационной системе общего пользования - на официальном сайте Федерального агентства по техническому регулированию и метрологии в сети Интернет или по ежегодному информационному указателю "Национальные стандарты", который опубликован по состоянию на 1 января текущего года, и по выпускам ежемесячного информационного указателя "Национальные стандарты" за текущий год. Если заменен ссылочный стандарт, на который дана недатированная ссылка, то рекомендуется использовать действующую версию этого стандарта с учетом всех внесенных в данную версию изменений. Если заменен ссылочный стандарт, на который дана датированная ссылка, то рекомендуется использовать версию этого стандарта с указанным выше годом утверждения (принятия). Если после утверждения настоящего стандарта в ссылочный стандарт, на который дана датированная ссылка, внесено изменение, затрагивающее положение, на которое дана ссылка, то это положение рекомендуется применять без учета данного изменения. Если ссылочный стандарт отменен без замены, то положение, в котором дана ссылка на него, рекомендуется применять в части, не затрагивающей эту ссылку.

3 Термины и определения

В настоящем стандарте применен следующий термин с соответствующим определением:

3.1 наноструктурированное силикатное вяжущее: Неорганическая полидисперсная, минеральная вяжущая система, имеющая преимущественно силикатный состав и обладающая высокой концентрацией активной твердой фазы.

4 Технические требования

4.1 Нановяжущее изготавливают в соответствии с требованиями настоящего стандарта по технологическому регламенту, утвержденному в установленном порядке.

4.2 Плотность - 2, 00-2, 25 г/см3.

4.3 Предел прочности при сжатии - не менее 3 МПа.

4.4 Предел прочности при изгибе - не менее 1, 5 МПа.

4.5 Доля нановяжущего дисперсностью не более 63 мкм - не более 1%.

4.6 Вязкость - не более 25 Па·с.

4.7 Влажность - от 12% до 20%.

4.8 Удельная эффективность естественных радионуклидов - 370 Бк/кг.

4.9 Показатель активности водородных ионов - 7-10 рН.

4.10 Требования к сырью

При изготовлении нановяжущего используют:

- кварцевый песок по ГОСТ 8736 с содержанием: диоксида кремния не менее 95% и модулем крупности не более 1, 25; оксида железа (III) не более 3%; глинистых не более 2%;

- воду по ГОСТ 23732;

- комплексную добавку, состоящую из суперпластификатора СБ-5, триполифосфата натрия по ГОСТ 13493, глины с содержанием: оксида алюминия с диоксидом титана до 37, 1%, диоксида кремния - до 49, 9%;

- жидкое стекло по ГОСТ 13078.

5 Правила приемки

5.1 Для контроля соответствия нановяжущего требованиям настоящего стандарта проводят приемо-сдаточные испытания.

5.2 Нановяжущее принимают партиями. За партию принимают количество нановяжущего, полученного из сырья одного месторождения, изготовленного в течение одной смены на одном помольном оборудовании.

Каждую партию сопровождают документом о качестве, содержащим:

- наименование предприятия-изготовителя и его товарный знак;

- наименование продукции;

- номер и дату выдачи документа;

- результаты испытаний;

- номер партии;

- дату изготовления (месяц, год);

- массу нетто;

- обозначение настоящего стандарта.

5.3 Для проведения испытаний от каждой партии нановяжущего, подлежащей испытанию, отбирают пробу массой до 5 кг. Отбор проводят преимущественно из потока материала перед отгрузкой готовой продукции или дальнейшим транспортированием по технологической линии.

Пробу отбирают непосредственно из помольного агрегата или из транспортируемых емкостей. Затем ее делят на две части и хранят в герметичных сосудах.

5.4 Приемо-сдаточным испытаниям подвергают каждую партию нановяжущего на соответствие требованиям 4.2 - 4.9.

При получении неудовлетворительных результатов приемо-сдаточных испытаний хотя бы по одному из показателей проводят повторные испытания по этому показателю на удвоенном числе проб. В случае неудовлетворительных результатов повторных испытаний партию бракуют.

6 Методы испытаний

6.1 Определение плотности

При испытании используют:

- пикнометр вместимостью (100±5)см3;

- весы лабораторные по ГОСТ Р 53228, класса точности 2.

Перед испытанием пикнометр калибруют, затем заполняют нановяжущим до верхнего уровня канала в крышке и закрывают его крышкой. Избыток нановяжущего, выступивший из отверстия в крышке, удаляют влажной тканью, затем взвешивают пикнометр.

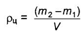
Плотность нановяжущего ρц, г/см3, вычисляют по формуле

image001.jpg,

где m1 - масса пустого пикнометра, г;

m2 - масса пикнометра с нановяжущим, г;

V - вместимость пикнометра, см3. Результат округляют до второго знака после запятой.

Полученное значение ρц для каждой партии должно соответствовать требованиям 4.2.

6.2 Определение предела прочности при сжатии и изгибе проводят по ГОСТ 310.4.

6.3 Определение дисперсности и влажности

6.3.1 Определение дисперсности

Метод основан на количественном определении нановяжущего ситовым анализом с расчетом веса полученного остатка и вычислением процента от массы образца. При испытании используют:

- весы лабораторные по ГОСТ Р 53228 класса точности 2;

- шкаф сушильный, обеспечивающий температуру нагрева от 105°С до 110°С;

- сетки N 0063 по ГОСТ 6613;

- эксикатор, бюксы по ГОСТ 23932;

- мерную емкость по ГОСТ 1770;

- установку для сушки с инфракрасной зеркальной лампой мощностью 500 Вт, обеспечивающей нагрев до 110°С;

- термометр угловой с пределом измерения до 160°С.

Предварительно взвешенную навеску нановяжущего объемом 100 мл порциями переносят на смоченное водой сито и промывают. Промывку нановяжущего осуществляют до тех пор, пока вода, проходящая сквозь сито, не будет содержать частиц нановяжущего.

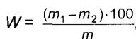
После промывки остаток нановяжущего сушат при температуре от 105°С до 110°С до постоянной массы. Затем высушенную пробу переносят на глянцевую бумагу и взвешивают. Содержание остатка нановяжущего X, %, вычисляют по формуле

image002.jpg,

где m1 - масса бумаги с остатком нановяжущего на сите;

m2 - масса бумаги без навески нановяжущего;

m3 - масса мерной емкости с нановяжущим;

m4 - масса мерной емкости без нановяжущего.

Результат округляют до целого числа.

Полученное значение X для каждой партии должно соответствовать требованиям 4.5.

6.3.2 Определение влажности

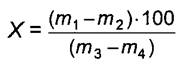
Навеску нановяжущего массой 25 г помещают в предварительно высушенную до постоянной массы бюксу, ставят на асбестовую прокладку под лампу инфракрасного излучения и сушат до постоянной массы при температуре от 105°С до 110°С в течение 10 мин. Температуру контролируют термометром, помещенным на асбестовую прокладку рядом с бюксой. Затем закрывают крышкой, охлаждают в эксикаторе и взвешивают.

Массовую долю влаги W, %, вычисляют по формуле

image003.jpg,

где m1 - масса навески нановяжущего с бюксой до высушивания, г;

m2 - масса навески нановяжущего с бюксой после высушивания, г;

m - масса навески нановяжущего, г.

Результатом измерений является среднеарифметическое значение двух вычислений, округленное до целого числа.

Расхождение между результатами двух вычислений не более 0, 1%. При превышении расхождения испытания повторяют.

6.4 Определение вязкости

Метод основан на определении динамической вязкости суспензии ротационным вискозиметром. При испытании используют:

- ротационный вискозиметр с диаметром внешнего цилиндра 60 мм, диаметром подвесного цилиндра 40 мм и частотой вращения внешнего цилиндра 1 с-1;

- лабораторную мешалку с насадкой в виде пропеллера и универсальным двигателем с частотой вращения 2200 мин-1;

- лабораторные весы по ГОСТ Р 53228 класса точности 2;

- мерный цилиндр вместимостью 250 см3 по ГОСТ 1770;

- фарфоровый стакан вместимостью 400 см3 по ГОСТ 9147;

- водные растворы глицерина концентрацией 800, 850, 900, 950, 980 г/дм3 по ГОСТ 6259. Подготовку прибора к работе проводят согласно инструкции по эксплуатации. Для измерения вязкости используют подвесную нить сечением 0, 5 мм.

Градуировку вискозиметра проводят по водным растворам глицерина, вязкость которых при температуре 20°С указана в таблице 1.

Таблица 1

Концентрация водных растворов глицерина, г/дм3

Вязкость, мПа·с

800

62, 0

850

112, 9

900

235, 0

950

545, 0

980

1117, 0

Измеряют угол закручивания подвесной нити в градусах в водных растворах глицерина. Затем строят градуировочный график в прямоугольных координатах: по оси абсцисс откладывают вязкость водных растворов глицерина, мПа·с, по оси ординат - угол закручивания подвесной нити в градусах.

Градуировочный график проверяют не реже одного раза в квартал и обязательно при замене подвесной нити.

Навеску нановяжущего массой 150 г помещают в фарфоровый стакан, добавляют 150 см3 воды.

Содержимое стакана перемешивают 2-3 мин стеклянной палочкой, а затем 15 мин лабораторной мешалкой. Суспензию нановяжущего вливают в установленный на вращающемся столике прибора внешний цилиндр.

Подвесной цилиндр с нитью погружают во внешний цилиндр и подвешивают на пробку. Подвесной цилиндр должен быть погружен в суспензию точно до верхнего края.

Стрелку прибора устанавливают на нулевое значение шкалы прибора. Через 1 мин включают электродвигатель и наблюдают за движением подвесного цилиндра по шкале прибора. Когда подвесной цилиндр остановится, отсчитывают угол закручивания в градусах. Затем осторожно за трубку поворачивают подвесную систему, устанавливают стрелку шкалы на нулевое значение и еще раз измеряют угол закручивания.

Вязкость нановяжущего определяют по градуировочному графику.

Допускаемое расхождение между результатами двух измерений не должно превышать 15 мПа·с.

6.5 Удельную эффективность активности естественных радионуклидов определяют по ГОСТ 30108.

6.6 Водородный показатель определяют рН-метром.

Предварительно проводят проверку шкалы прибора по буферному раствору, значение водородного показателя рН которого близко ожидаемому значению рН.

За результат испытания принимают среднеарифметическое значение трех параллельных измерений, допустимое расхождение между которыми должно быть не более 0, 1 абсолютного значения рН.

7 Транспортирование и хранение

7.1 Нановяжущее в упакованном виде транспортируют всеми видами крытых транспортных средств в соответствии с правилами перевозки грузов, действующими на соответствующем виде транспорта.

При транспортировании используют герметичные мягкие контейнеры и резинотканевые резервуары. После длительного транспортирования проводят стабилизацию нановяжущего перемешиванием.

7.2 Нановяжущее хранят в закрытых складских помещениях, исключая возможность попадания влаги.

8 Гарантии изготовителя

8.1 Предприятие-изготовитель гарантирует соответствие нановяжущего требованиям настоящего стандарта при соблюдении условий транспортирования и хранения.

8.2 Срок хранения нановяжущего в упаковке предприятия-изготовителя не ограничен.

Последние добавленные документы

Самые популярные документы

Яндекс.Метрика