электронный сборник нормативных документов по строительству
Обновления
18.04.2026 23:02
электронный сборник нормативных документов по строительству

ПНСТ 59-2015 СОСТАВЫ ПОЛИРУЮЩИЕ НА ОСНОВЕ НАНОАЛМАЗОВ. ТЕХНИЧЕСКИЕ УСЛОВИЯ

Утв. Приказом федерального агентства по техническому регулированию и метрологии от 25 декабря 2015 г. N 34-пнст
Предварительный национальный стандарт ПНСТ 59-2015
"СОСТАВЫ ПОЛИРУЮЩИЕ НА ОСНОВЕ НАНОАЛМАЗОВ. ТЕХНИЧЕСКИЕ УСЛОВИЯ"

Polishing compositions based on nanodiamonds. Specifications

Срок действия - 1 июля 2016 г. - 1 июля 2019 г.

Введен впервые

Предисловие

1 Разработан Акционерным обществом "Федеральный научно-производственный центр "Алтай" (АО ФНПЦ "Алтай") при участии Автономной некоммерческой организации "Центр сертификации продукции и систем менеджмента в сфере наноиндустрии" (АНО "Наносертифика")

2 Внесен Автономной некоммерческой организацией "Центр сертификации продукции и систем менеджмента в сфере наноиндустрии" (АНО "Наносертифика")

3 Утвержден и введен в действие приказом Федерального агентства по техническому регулированию и метрологии от 25 декабря 2015 г. N 34-пнст

4 Введен впервые

5 Федеральное агентство по техническому регулированию и метрологии не несет ответственности за патентную чистоту настоящего стандарта. Патентообладатель может заявить о своих правах и направить в Федеральное агентство по техническому регулированию и метрологии аргументированное предложение о внесении в настоящий стандарт поправки для указания информации о наличии в стандарте объектов патентного права и патентообладателе

1 Область применения

Настоящий стандарт распространяется на полирующие составы на основе наноалмазов детонационного синтеза (далее - составы) марок Н, Д, Э, Г, В, М, предназначенные для доводки, притирки и полирования поверхностей металлов, сплавов и хрупких неметаллических материалов, для получения зеркальных поверхностей из специального стекла, керамики, а также для полировки ювелирных изделий, полупроводниковых пластин и рентгенооптических элементов.

2 Нормативные ссылки

В настоящем стандарте использованы нормативные ссылки на следующие стандарты:

ГОСТ 1770 Посуда мерная лабораторная стеклянная. Цилиндры, мензурки, колбы, пробирки. Общие технические условия

ГОСТ 3885 Реактивы и особо чистые вещества. Правили приемки, отбор проб, фасовка, упаковка, маркировка, транспортирование и хранение

ГОСТ 9142 Ящики гофрированного картона. Общие технические условия

ГОСТ 9147 Посуда и оборудование лабораторные фарфоровые. Технические условия

ГОСТ 14192 Маркировка грузов

ГОСТ 14710 Толуол нефтяной. Технические условия

ГОСТ 14870 Продукты химические. Методы определения воды

ГОСТ 20477 Лента полиэтиленовая с липким слоем. Технические условия

ГОСТ 23148 Порошки, применяемые в порошковой металлургии. Отбор проб

ГОСТ 23932 Посуда и оборудование лабораторные стеклянные. Общие технические условия

ГОСТ 25336 Посуда и оборудование лабораторные стеклянные. Типы, основные параметры и размеры

ГОСТ Р 50962 Посуда и изделия хозяйственного назначения из пластмасс. Общие технические условия

ГОСТ Р 53228 Весы неавтоматического действия. Часть 1. Метрологические и технические требования. Испытания

ГОСТ Р 55878 Спирт этиловый технический гидролизный ректификованный. Технические условия

Примечание - При пользовании настоящим стандартом целесообразно проверить действие ссылочных стандартов в информационной системе общего пользования - на официальном сайте Федерального агентства по техническому регулированию и метрологии в сети Интернет или по ежегодному информационному указателю "Национальные стандарты", который опубликован по состоянию на 1 января текущего года, и по выпускам ежемесячного информационного указателя "Национальные стандарты" за текущий год. Если заменен ссылочный стандарт, на который дана недатированная ссылка, то рекомендуется использовать действующую версию этого стандарта с учетом всех внесенных в данную версию изменений. Если заменен ссылочный стандарт, на который дана датированная ссылка, то рекомендуется использовать версию этого стандарта с указанным выше годом утверждения (принятия). Если после утверждения настоящего стандарта в ссылочный стандарт, на который дана датированная ссылка, внесено изменение, затрагивающее положение, на которое дана ссылка, то это положение рекомендуется применять без учета данного изменения. Если ссылочный стандарт отменен без замены, то положение, в котором дана ссылка на него, рекомендуется применять в части, не затрагивающей эту ссылку.

3 Технические требования

3.1 Составы изготавливают в соответствии с требованиями настоящего стандарта по технологическому регламенту, утвержденному в установленном порядке.

3.2 Составы, в зависимости от функционального назначения, изготавливают в базовых средах согласно таблице 1.

Таблица 1

Назначение состава

Марка состава /наименование базовой среды

Для ручной и механической доводки и притирки поверхностей точных деталей из металлов, сплавов, керамики

Н/вода дистиллированная

Для ручного и механического полирования поверхностей хрупких неметаллических материалов, полупроводников, поверхностей из специального стекла, многослойных оптических зеркал и дифракционных решеток, монокристаллов для лазерной техники

Д/вода деионизованная

Для полировки полупроводниковых пластин кремния и германия; изготовление оптики, стекол и зеркал специального назначения

Э/этиленгликоль

Г/глицерин

Для полировки бриллиантов и ювелирных изделий из искусственных и полудрагоценных камней

В /вазелин

Улучшение микроструктуры поверхностей трения и их микрогеометрии

М/масла индустриальные

3.3 Внешний вид состава - однородная паста от светло-серого до черного цвета.

Твердые включения, видимые невооруженным глазом, не допускаются.

3.4 Массовая доля твердой фазы не более 5, 0%.

3.5 Физико-химические характеристики составов должны соответствовать указанным в таблице 2

Таблица 2

Марка состава

Массовая доля общего углерода, %, не более

Размер алмазных агрегатов, нм

Массовая доля воды, %, не более

Н

95, 0

10 - 1500

95, 5

Д

99, 0

10 - 550

Э

3, 0

Г

В

91, 0

20 - 2000

М

70

4 - 600

5, 0

4 Правила приемки

4.1 Для контроля соответствия составов требованиям настоящего стандарта проводят приемо-сдаточные испытания.

4.2 Составы принимают партиями. За партию принимают количество состава одной марки, изготовленного в течение одного технологического цикла и оформленного одним документом о качестве.

Документ о качестве должен содержать:

- название предприятия-изготовителя и его товарный знак;

- юридический адрес предприятия-изготовителя;

- марку состава;

- номер партии;

- результаты испытаний;

- массу нетто;

- дату изготовления (месяц, год);

- обозначение настоящего стандарта;

- подпись ответственного лица и штамп отдела технического контроля.

4.3 Приемо-сдаточным испытаниям подвергают каждую партию составов на соответствие требованиям 3.3 - 3.5.

Для проведения приемо-сдаточных испытаний от каждой партии составов отбирают объединенную пробу массой не менее 10 г, которая состоит из точечных проб массой не менее 2 г.

Для этого отбирают выборочно точечную пробу из любых пяти тарных мест данной партии щупом по ГОСТ 23148 или шпателем по ГОСТ 9147. При малом числе тарных мест в партии, пробу отбирают из любого тарного места данной партии в пяти точках.

Примечание - На предприятии-изготовителе допускается проводить отбор проб из технологической емкости перед или во время расфасовки продукта.

Затем отобранные точечные пробы объединяют в чистой сухой банке с притертой пробкой по ГОСТ 1770 или бюксе по ГОСТ 23932, тщательно перемешивают и полученную объединенную пробу делят на две равные части: проба для анализа и арбитражная проба. Арбитражную пробу хранят в течение гарантийного срока хранения.

Пробы снабжают этикетками с указанием:

- марки состава;

- номера партии;

- даты отбора пробы;

- фамилии сотрудника, отбиравшего пробы.

При получении неудовлетворительных результатов приемо-сдаточных испытаний хотя бы по одному из показателей, проводят повторные испытания по этому показателю на удвоенном числе проб, отобранных из тех же тарных мест.

В случае неудовлетворительных результатов повторных испытаний партию бракуют и отправляют на переработку согласно технологической документации, утвержденной в установленном порядке.

5 Методы испытаний

5.1 Контроль внешнего вида составов полирующих проводят визуально

Несколько капель тщательно перемешанной пробы наносится одним пятном тонким слоем на стеклянную пластинку и рассматривается сначала в падающем свете для определения цвета, а затем в проходящем свете для определения наличия комков, крупинок и абразивных примесей. Освещенность рабочего места при проведении данного анализа должна быть не менее 1000 люкс.

5.2 Определение массовой доли твердой фазы

При испытании используют:

- весы лабораторные класса точности 2 по ГОСТ Р 53228;

- эксикатор по ГОСТ 25336;

- стаканчики для взвешивания (бюксы) диаметром 50 или 60 мм и высотой 30 мм по ГОСТ 23932;

- стакан B-I-400 ТС или B-I-600 ТС и Н-1-50 по ГОСТ 25336;

- стеклянные воронки В-56-110 ХС по ГОСТ 25336;

- мерный цилиндр по ГОСТ 1770;

- обеззоленный фильтр "красная лента" диаметром 9, 11 см;

- вакуум-сушильный шкаф с автоматической регулировкой температуры, позволяющий поддерживать ее в пределах (190±2)°С;

- лабораторную центрифугу с центробежным нагружением до 15000g и набором термостойких стеклянных пробирок объемом не менее 50 см3;

- стеклянную палочку;

- этиловый спирт по ГОСТ Р 55878;

- фарфоровую ступку, агатовую или фторопластовую;

- хлористый кальций;

- гексан;

- фильтровальную бумагу;

- нефтяной толуол по ГОСТ 14710;

- нефрас С 3-80/120.

5.2.1 Определение массовой доли твердой фазы для марок Н, Д

Навеску образца массой до 10 г равномерно размещают в бюксе, предварительно высушенном до постоянной массы. Бюкс с навеской ставят в вакуум-сушильный шкаф и выдерживают в течение 3 ч при температуре (150±2)°С. Затем бюксы закрывают крышкой, охлаждают в эксикаторе в течение 40 мин и взвешивают.

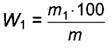
Массовую долю твердой фазы W1, %, вычисляют по формуле

image001.jpg,

где m1 - масса сухого остатка, г;

m - масса навески, г.

Результатом измерений является среднеарифметическое значение двух параллельных измерений, округленное до первого знака после запятой.

Расхождение между вычисленными значениями должно быть не более 0, 5%.

5.2.2 Определение массовой доли твердой фазы для марок Э, В и Г

Метод основан на вымывании растворителем базовых сред по 3.2 для составов марок Э, В, Г с последующим высушиванием остатка до постоянной массы в вакуум-сушильном шкафу при постоянной температуре:

- (105±2)°С - для марки В;

- (140±2)°С - для марки Э;

- (190±2)°С - для марки Г.

В качестве растворителей используют:

- гексан - для марки В;

- этиловый спирт - для марок Э, Г.

Стеклянные пробирки 2 раза промывают растворителем, объемом по 20 мл. В промытые пробирки помещают бумажный фильтр и высушивают до постоянной массы.

Из пробирки удаляют фильтр. Навеску образца массой до 3 г помещают в пробирку. Наливают растворитель и стеклянной палочкой перемешивают до растворения базовой среды. Палочку вынимают из пробирки, затем пробирку помещают в центрифугу на 30 мин и нагружают:

- 3000g - для марки В;

- 8000g - для марки Э;

- 15000g - для марки Г.

Прозрачную надосадочную жидкость декантируют, стеклянную палочку тщательно вытирают бумажным фильтром, который помещают затем в пробирку. Пробирку с осадком и фильтром высушивают до постоянной массы и взвешивают.

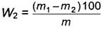
Массовую долю твердой фазы W2, %, вычисляют по формуле

image002.jpg,

где m1 - масса пробирки с осадком и фильтром, г;

m2 - масса пробирки с фильтром, г;

m - масса навески, г.

Результатом измерений является среднеарифметическое значение двух параллельных измерений, округленное до первого знака после запятой.

Расхождение между вычисленными значениями должно быть не более 0, 5%.

5.2.3 Определение массовой доли твердой фазы для марки М

Метод основан на отделении в центрифуге твердой фазы от раствора масла в бензине, переносе осадка на фильтр "красная лента", промывании твердой фазы на фильтре бензином с последующим высушиванием и взвешиванием фильтра с осадком.

Фильтр "красная лента" кипятят в течение 3 мин в бензине на водяной бане, подсушивают на воздухе и помещают в чистый сухой стаканчик для взвешивания (бюксу) и сушат в вакуум-сушильном шкафу при температуре (105±2)°С в течение 30 мин. Затем стаканчик (бюксу) закрывают крышкой, охлаждают в эксикаторе в течение 40 мин и взвешивают.

Пробу состава перед взятием навески тщательно перемешивают интенсивным встряхиванием сверху вниз и круговыми движениями в течение 5 мин в закрытой таре, заполненной не более чем на 3/4 ее объема.

Навеску массой до 2 г помещают в пробирку для центрифугирования и взвешивают. Затем в пробирку приливают бензин на 2/3 ее объема и центрифугируют 10 мин при нагружении 1200g. Раствор масла в бензине осторожно сливают, стараясь не взмутить осадок. В пробирку приливают бензин на 1 /2 ее объема, центрифугируют 5 мин и бензин сливают. В пробирку приливают 30 - 35 мл спирто-толуольной смеси, центрифугируют 5 мин и смесь сливают.

В стеклянную воронку вставляют подготовленный фильтр. В пробирку приливают 2 - 3 мл бензина, перемешивают палочкой и осторожно количественно переносят содержимое на фильтр по стеклянной палочке. Остатки со стенок пробирки счищают палочкой и смывают на фильтр добавочными порциями бензина. Один или два раза пробирку очищают с помощью палочки и 2 - 3 мл спирта.

Особо тщательно обмывают бензином края фильтра, чтобы не оставалось масляных пятен. Общий объем бензина должен быть не менее 100 мл. При таком объеме бензина капля фильтрата, помещенная на фильтровальную бумагу, не оставляет масляного пятна после испарения.

По окончании промывки фильтр с осадком переносят в бюксу, в которой сушился чистый фильтр, и сушат в сушильном шкафу при температуре (105±2)°С в течение 45 мин. Затем бюксу закрывают крышкой, охлаждают в эксикаторе в течение 40 мин и взвешивают.

Массовую долю твердой фазы W3, %, вычисляют по формуле

image003.jpg,

где m1 - масса стаканчика для взвешивания (бюксы) с бумажным фильтром и твердой фазой, г;

m2 - масса стаканчика для взвешивания (бюксы) с чистым фильтром, г;

m - масса навески, г.

Результатом измерений является среднеарифметическое значение двух параллельных измерений, округленное до первого знака после запятой.

Расхождение между вычисленными значениями должно быть не более 0, 15%.

5.3 Определение массовой доли общего углерода

Для определения массовой доли общего углерода используют приборы, материалы, реактивы по 5.2, а также:

- установку для определения массовой доли общего углерода с электропечами для микроанализа (аппарат Прегля);

- ступку из сверхтвердого материала, тип любой;

- аскарит.

Сухой остаток по 5.2 для соответствующей марки состава растирают в агатовой ступке. Затем навеску 7 мг помещают в предварительно взвешенный аппарат Прегля с аскаритом и сжигают. После чего взвешивают аппарат Прегля с аскаритом.

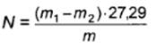
Массовую долю общего углерода N, %, вычисляют по формуле

image004.jpg,

где m1 - масса аппарата Прегля с навеской, г;

m2 - масса аппарата Прегля без навески, г;

27, 29 - коэффициент пересчета двуокиси углерода на углерод;

m - масса навески, г.

Результатом измерений является среднеарифметическое значение двух параллельных измерений, округленное до первого знака после запятой.

Относительное расхождение между результатами вычислений при доверительной вероятности 0, 95 должно быть не более 3%.

5.4 Определение размера алмазных агрегатов

Определение размера алмазных агрегатов проводят по методике [1].

5.5 Определение массовой доли воды

5.5.1 Массовую долю воды составов для марок Э и Г определяют по ГОСТ 14870 (метод Фишера). В качестве растворителя используют хлороформ.

5.5.2 Массовую долю воды для составов марки В определяют по ГОСТ 14870 (метод Дина и Старка).

В качестве растворителя используют бензол.

5.5.3 Массовую долю воды для составов марки М определяют по ГОСТ 14870 (метод Фишера) со следующими дополнениями:

- пробу перед взятием навески перемешивают встряхиванием сверху вниз и круговыми движениями в течение 3 - 5 мин в закрытой таре, заполненной на 3/4 ее объема;

- массовую долю воды X, %, вычисляют по формуле

image005.jpg,

где V - объем реактива Фишера, израсходованный на титрование навески, см3;

T - титр реактива Фишера, г/см3;

m - масса навески, г.

6 Маркировка, упаковка, транспортирование и хранение

6.1 Маркировка

6.1.1 На каждую единицу потребительской тары наклеивают этикетку по ГОСТ 3885, на которой должны быть указаны:

- наименование и марка состава;

- номер партии;

- масса нетто в г (мл);

- дата изготовления;

- обозначение настоящего стандарта.

6.1.2 Транспортная тара должна иметь маркировку с указанием:

- наименования предприятия-изготовителя;

- наименования марки состава;

- номера партии;

- даты изготовления;

- обозначения настоящего стандарта;

- числа единиц потребительской тары;

- массы нетто продукта в кг;

- гарантийного срока хранения.

6.1.3 Транспортную маркировку осуществляют по ГОСТ 14192 с нанесением манипуляционного знака "Верх".

6.2 Упаковка

6.2.1 Составы упаковывают в герметичную потребительскую тару по ГОСТ Р 50962 или другую тару, обеспечивающую их сохранность.

6.2.2 Тару с составами плотно укладывают в картонные коробки по ГОСТ 9142 с перегородками или прокладками или другую тару, пригодную для транспортирования и обеспечивающую целостность продукта.

В каждую коробку упаковывают тару с составами одной марки и вкладывают упаковочный лист с указанием:

- наименования и марки продукта;

- наименования предприятия-изготовителя;

- номера партии;

- массы нетто, кг или объема, л;

- даты изготовления;

- условий хранения.

6.2.3 Коробку заклеивают клеевой лентой по ГОСТ 20477.

6.3 Транспортирование и хранение

6.3.1 Составы транспортируют всеми видами транспорта в крытых транспортных средствах в условиях, обеспечивающих защиту от атмосферных осадков и целостность упаковки при температуре не менее плюс 5°С, в соответствии с правилами перевозок грузов, действующими на данном виде транспорта.

6.3.2 Составы хранят на стеллажах в закрытых помещениях при температуре не менее плюс 5°С, не нарушая целостность упаковки.

6.3.3 Не допускается ставить посторонние предметы поверх коробок с составами.

6.3.4 Не допускается применение открытого огня в местах хранения составов марок Э, Г, В, М.

7 Гарантии изготовителя

7.1 Предприятие-изготовитель гарантирует соответствие составов требованиям настоящего стандарта при соблюдении условий транспортирования и хранения.

7.2 Гарантийный срок хранения - 2 года со дня изготовления.

7.3 По истечении гарантийного срока хранения составы подвергают проверке на соответствие требованиям 3.3 - 3.5. При подтверждении соответствия составы могут быть использованы по назначению.

Библиография

[1]

ФР.1.27.2009.06761

Методика выполнения измерений геометрических размеров наночастиц с помощью просвечивающей электронной микроскопии

Самые популярные документы

Яндекс.Метрика