Утв. Приказом федерального агентства по техническому регулированию и метрологии от 25 декабря 2015 г. N 38-пнст
Предварительный национальный стандарт ПНСТ 63-2015
"МАТЕРИАЛЫ ИЗ МНОГОСТЕННЫХ УГЛЕРОДНЫХ НАНОТРУБОК. ТЕХНИЧЕСКИЕ УСЛОВИЯ"
Materials from multiwall carbon nanotubes. Specifications
Срок действия - с 1 июля 2016 г.
по 1 июля 2019 г.
Введен впервые
Предисловие
1 Разработан Обществом с ограниченной ответственностью "НаноТехЦентр" (ООО "НаноТехЦентр"), при участии Федерального государственного бюджетного образовательного учреждения высшего профессионального образования "Тамбовский государственный университет" (ФГБОУ ВПО "ТГТУ"), Автономной некоммерческой организации "Центр сертификации продукции и систем менеджмента в сфере наноиндустрии" (АНО "Наносертифика")
2 Внесен Автономной некоммерческой организацией "Центр сертификации продукции и систем менеджмента в сфере наноиндустрии" (АНО "Наносертифика")
3 Утвержден и введен в действие приказом Федерального агентства по техническому регулированию и метрологии от 25 декабря 2015 г. N 38-пнст
4 Введен впервые
5 Федеральное агентство по техническому регулированию и метрологии не несет ответственности за патентную чистоту настоящего стандарта. Патентообладатель может заявить о своих правах и направить в Федеральное агентство по техническому регулированию и метрологии аргументированное предложение о внесении в настоящий стандарт поправки для указания информации о наличии в стандарте объектов патентного права и патентообладателе
1 Область применения
Настоящий стандарт распространяется на материалы из многостенных углеродных нанотрубок (далее - материалы из МУНТ), полученные методом химического осаждения из газовой фазы углеводородов на катализаторах при атмосферном давлении и повышенной температуре.
Материалы из МУНТ предназначены для использования в качестве модификаторов при производстве полимерных композиционных материалов, высокопрочных резин, красок, адсорбентов, бетонов, теплопроводных паст, герметиков, катодов и электродов, металл-углеродных материалов, катализаторов.
2 Нормативные ссылки
В настоящем стандарте использованы нормативные ссылки на следующие стандарты:
ГОСТ 12.1.005 Система стандартов безопасности труда. Общие санитарно-гигиенические требования к воздуху рабочей зоны
ГОСТ 12.1.044 Система стандартов безопасности труда. Пожаровзрывоопасность веществ и материалов. Номенклатура показателей и методы их определения
ГОСТ 12.4.004 Система стандартов безопасности труда. Респираторы фильтрующие противогазовые РПГ-67. Технические условия
ГОСТ 12.4.011 Система стандартов безопасности труда. Средства защиты работающих. Общие требования и классификация
ГОСТ 12.4.021 Система стандартов безопасности труда. Системы вентиляционные. Общие требования
ГОСТ 12.4.028 Система стандартов безопасности труда. Респираторы ШБ-1 "Лепесток". Технические условия
ГОСТ 12.4.103 Система стандартов безопасности труда. Одежда специальная защитная, средства индивидуальной защиты ног и рук. Классификация
ГОСТ 12.4.121 Система стандартов безопасности труда. Противогазы промышленные фильтрующие. Технические условия
ГОСТ 12.4.253 Система стандартов безопасности труда. Средства индивидуальной защиты глаз. Общие технические требования
ГОСТ 12.4.279 Система стандартов безопасности труда. Одежда специальная для защиты от химических веществ. Классификация, технические требования, методы испытаний и маркировка
ГОСТ 427 Линейки измерительные металлические. Технические условия
ГОСТ 3757 Реактивы. Алюминий азотнокислый 9-водный. Технические условия
ГОСТ 3765 Реактивы. Аммоний молибденовокислый. Технические условия
ГОСТ 4055 Реактивы. Никель (II) азотнокислый 6-водный. Технические условия
ГОСТ 4233 Реактивы. Натрий хлористый. Технические условия
ГОСТ 4461 Реактивы. Кислота азотная. Технические условия
ГОСТ 4528 Реактивы. Кобальт (II) азотнокислый 6-водный. Технические условия
ГОСТ 5860 Реактивы. Кислота аминоуксусная. Технические условия
ГОСТ 6709 Вода дистиллированная. Технические условия
ГОСТ 9147 Посуда и оборудование лабораторные фарфоровые. Технические условия
ГОСТ 10157 Аргон газообразный и жидкий. Технические условия
ГОСТ 11088 Реактивы. Магний нитрат 6-водный. Технические условия
ГОСТ 11125 Кислота азотная особой чистоты. Технические условия
ГОСТ 20010 Перчатки резиновые технические. Технические условия
ГОСТ 20448 Газы углеводородные сжиженные топливные для коммунально-бытового потребления. Технические условия
ГОСТ 21119.1 Общие методы испытаний пигментов и наполнителей. Определение массовой доли воды и летучих веществ
ГОСТ 25336 Посуда и оборудование лабораторные стеклянные. Типы, основные параметры и размеры
ГОСТ 25699.1 Ингредиенты резиновой смеси. Методы отбора проб технического углерода
ГОСТ 25699.6 Углерод технический для производства резины. Методы определения рН водной суспензии
ГОСТ 25699.8 Углерод технический для производства резины. Метод определения зольности
ГОСТ 25699.14 Ингредиенты резиновой смеси. Углерод технический (гранулированный). Определение насыпной плотности
ГОСТ Р 53228 Весы неавтоматического действия. Часть 1. Метрологические и технические требования. Испытания
Примечание - При пользовании настоящим стандартом целесообразно проверить действие ссылочных стандартов в информационной системе общего пользования - на официальном сайте Федерального агентства по техническому регулированию и метрологии в сети Интернет или по ежегодному информационному указателю "Национальные стандарты", который опубликован по состоянию на 1 января текущего года, и по выпускам ежемесячного информационного указателя "Национальные стандарты" за текущий год. Если заменен ссылочный стандарт, на который дана недатированная ссылка, то рекомендуется использовать действующую версию этого стандарта с учетом всех внесенных в данную версию изменений. Если заменен ссылочный стандарт, на который дана датированная ссылка, то рекомендуется использовать версию этого стандарта с указанным выше годом утверждения (принятия). Если после утверждения настоящего стандарта в ссылочный стандарт, на который дана датированная ссылка, внесено изменение, затрагивающее положение, на которое дана ссылка, то это положение рекомендуется применять без учета данного изменения. Если ссылочный стандарт отменен без замены, то положение, в котором дана ссылка на него, рекомендуется применять в части, не затрагивающей эту ссылку.
3 Термины и определения
В настоящем стандарте применены следующие термины с соответствующими определениями:
3.1
|
нанотрубка: Полое нановолокно.
[ГОСТ Р 55417 (ISO/TS 80004-3:2010), статья 2.6]
|
3.2
|
углеродная нанотрубка: Нанотрубка состоящая из углерода.
[ГОСТ Р 55417 (ISO/TS 80004-3:2010), статья 4.3]
|
3.3
|
многостенная углеродная нанотрубка: Углеродная нанотрубка состоящая из вложенных друг в друга концентрических или почти концентрических слоев графена с межслоевыми расстояниями, аналогичными межслоевым расстояниям в графите.
[ГОСТ Р 55417 (ISO/TS 80004-3:2010), статья 4.6]
|
4 Технические требования
4.1 Материалы из МУНТ изготавливают в соответствии с требованиями настоящего стандарта по технологическому регламенту, утвержденному в установленном порядке.
4.2 Материалы из МУНТ изготавливают в виде сыпучего порошка черного цвета следующих марок:
- М с наружным диаметром не более 20 нм;
- МД с наружным диаметром не более 100 нм.
4.3 Характеристики материалов из МУНТ приведены в таблице 1.
Таблица 1
|
Наименование показателя
|
Материалы из МУНТ марки
|
|
М
|
МД
|
|
Массовая доля неуглеродных примесей, %, не более
|
1, 5
|
|
Насыпная плотность, г/см3
|
0, 015 - 0, 025
|
|
Массовая доля воды, %, не более
|
1, 0
|
|
Удельная геометрическая поверхность, м2/г
|
300 - 320
|
180 - 200
|
|
рН водной суспензии
|
7, 0
|
4.4 Требования к сырью, материалам
При изготовлении материалов из МУНТ используют:
- никель азотнокислый 6-водный по ГОСТ 4055;
- магний азотнокислый 6-водный по ГОСТ 11088;
- кобальт азотнокислый 6-водный по ГОСТ 4528;
- аммоний молибденовокислый по ГОСТ 3765;
- алюминий азотнокислый 10-водный по ГОСТ 3757;
- железо азотнокислое 9-водное;
- кислота азотная по ГОСТ 11125, ГОСТ 4461;
- вода дистиллированная по ГОСТ 6709;
- смесь пропан-бутановая техническая по ГОСТ 20448;
- кислота аминоуксусная по ГОСТ 5860;
- аргон по ГОСТ 10157.
5 Требования безопасности и охраны окружающей среды
5.1 Материалы из МУНТ относятся к горючим веществам по ГОСТ 12.1.044. Температура само возгорания - свыше 250°С.
Материалы из МУНТ относятся к классу опасности 3 по ГОСТ 12.1.007. При работе сними применяют средства индивидуальной защиты: резиновые перчатки по ГОСТ 20010, одежду по ГОСТ 12.4.279, средства защиты глаз и лица по ГОСТ 12.4.121, респираторы по ГОСТ 12.4.004.
5.2 Все работы, связанные с изготовлением материалов из МУНТ, проводят при работающей в помещениях общеобменной приточно-вытяжной и местной вентиляции по ГОСТ 12.4.021 в специальной одежде и обуви по ГОСТ 12.4.011 с применением средств индивидуальной защиты рук по ГОСТ 12.4.103, противопылевых респираторов по ГОСТ 12.4.028 и защитных очков по ГОСТ 12.4.253.
5.3 Контроль содержания вредных веществ в воздухе рабочей зоны осуществляют по ГОСТ 12.1.005 и гигиеническим нормам [1].
5.4 Накопление, хранение и обезвреживание отходов осуществляют по санитарным правилам и нормам [2].
6 Правила приемки
6.1 Для контроля соответствия материалов из МУНТ требованиям настоящего стандарта проводят приемо-сдаточные и периодические испытания.
6.2 Материалы из МУНТ принимают партиями. За партию принимают количество материалов из МУНТ, изготовленное в течение одного производственного цикла.
Каждую партию сопровождают документом о качестве, содержащим:
- наименование предприятия-изготовителя;
- наименование продукта и марку;
- дату изготовления (месяц, год);
- номер партии;
- число тарных мест в партии;
- массу нетто;
- результаты испытаний;
- обозначение настоящего стандарта;
- штамп отдела технического контроля.
6.3 Для проведения испытаний от партии отбирают один мешок. Отбор проб осуществляют по ГОСТ 25699.1.
6.4 Приемо-сдаточным испытаниям подвергают каждую партию материалов из МУНТ на соответствие требованиям 4.3.
При получении неудовлетворительных результатов приемо-сдаточных испытаний хотя бы по одному из показателей проводят повторные испытания по этому показателю на удвоенном числе проб.
В случае неудовлетворительных результатов повторных испытаний партию бракуют.
6.5 Периодические испытания проводят не реже одного раза в год на соответствие требованиям 4.2. Периодические испытания проводят на партии материалов из МУНТ, прошедшей приемосдаточные испытания.
6.6 При получении неудовлетворительных результатов периодических испытаний проводят повторные испытания на удвоенном числе проб, отобранных из тех же мест партии.
При получении неудовлетворительных результатов повторных испытаний партию бракуют и переводят испытания по данному показателю в приемо-сдаточные до получения положительных результатов не менее чем на двух партиях подряд.
7 Методы испытаний
7.1 Внешний вид материалов из МУНТ определяют визуально.
7.2 Определение наружного диаметра отдельных трубок
При испытании используют:
- просвечивающий электронный микроскоп типа ЭМВ-100-А;
- универсальный вакуумный напылитель типа ВУП5, УВР-3М или УВН71Р-1;
- установку диспергирования образцов в жидких средах типа УЗГ-1;
- линейку по ГОСТ 427;
- биологическую чашку (Петри) с крышкой ЧБН-1-100 ТС по ГОСТ 25336;
- стеклянные или ситалловые подложки типа СТ50-1;
- бюксы типа СВ или СН по ГОСТ 25336;
- монокристаллы поваренной соли (NaCI) по ГОСТ 4233 или фторида лития (LiF);
- дистиллированную воду по ГОСТ 6709.
Для испытания из пробы отбирают 0, 5 г образца и тщательно перемешивают. Перед подготовкой пробы к испытанию получают основу в виде углеродной пленки.
Пробу помещают в бюксу с 10 мл дистиллированной воды. Бюксы помещают в установку для диспергирования образцов в течение 15 мин. Затем в бюксы помещают углеродные пленки размером от 2 х 2 до 6 х 6 мм и проводят дополнительное диспергирование в течение 10 мин. После чего пленки извлекают объективной сеткой и сушат под инфракрасной лампой в течение 15 мин.
Примечание - Углеродную пленку получают напылением углерода на монокристалл соли в вакуумном напылителе. Толщину углеродной пленки контролируют в процессе напыления по цвету потемнения ситалловой пластинки, установленной на одинаковом расстоянии с монокристаллом соли. Полученная углеродная пленка отделяется подтравливанием соли в дистиллированной воде. Затем пленку переносят в чашку Петри с дистиллированной водой.
Высушенные пленки помещают на предметный стол электронного микроскопа. Затем проводят поиск нанотрубок на поле объекта при увеличении 104 или 1, 5·104. Далее осуществляют их фотосъемку при увеличении 105, при обнаружении крупных нанотрубок допускается снижение увеличения до 7·104 или 4·104. После получения электронно-микроскопических фотографий на каждую из них крепят бирку с указанием масштабного коэффициента увеличения.
На полученных фотографиях проводят секущие линии перпендикулярно к оси нанотрубок. В местах пересечения секущих линий с нанотрубками измеряют их диаметр линейкой с учетом масштабного коэффициента, указанного на бирке.
7.3 Массовую долю неуглеродных примесей определяют по ГОСТ 25699.8.
Метод заключается в сжигании пробы нанотрубок в тигле при температуре от 800°С до 950°С и последующем охлаждении в эксикаторе.
Для испытания используют:
- лабораторные весы класса точности II по ГОСТ Р 53228 с наибольшим пределом взвешивания 200 г;
- низкий тигель 3 или 4 по ГОСТ 9147;
- камерную лабораторную электропечь, обеспечивающую температуру от 900°С до 950°С;
- сушильный электрический шкаф, отрегулированный на температуру (105±2)°С;
- эксикатор по ГОСТ 25336, заполненный твердым осушителем.
Допускается использование другого оборудования с аналогичными техническими и метрологическими характеристиками.
Тигель в печи прокаливают при температуре от 900°С до 950°С в течение 30 мин. Затем помещают в эксикатор, охлаждают до температуры от 20°С до 26°С и взвешивают. Затем высушивают 5 - 6 г пробы при температуре (105±2)°С в течение 1 ч и охлаждают в эксикаторе до температуры от 20°С до 26°С. Высушенную пробу хранят в эксикаторе до начала испытания.
Предварительно взвешенный тигель с пробой помещают в печь и выдерживают при температуре от 900°С до 950°С не менее 4 ч, после чего тигель охлаждают в эксикаторе до температуры от 20°С до 26°С и взвешивают.
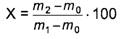
Долю неуглеродных примесей X, %, вычисляют по формуле

,
где m0 - масса тигля, г;
m1 - масса тигля с пробой до сжигания, г;
m2 - масса тигля с пробой после сжигания, г.
За результат испытания принимают среднеарифметическое значение результатов двух параллельных определений, расхождение между которыми не более 20% среднего значения. Результат испытания записывают с точностью до второго десятичного знака.
Наибольшее среднеквадратическое отклонение случайной составляющей погрешности испытания - не более ±30% при доверительной вероятности Р = 0, 95.
7.4 Насыпную плотность определяют по ГОСТ 25699.14.
7.5 Массовую долю воды определяют по ГОСТ 21119.1.
7.6 Удельную геометрическую поверхность определяют многоточечным методом БЭТ.
Метод основан на адсорбции исследуемым образцом инертного газа (азот или аргон) при температуре жидкого азота, определении его количества после десорбции и вычислении удельной геометрической поверхности.
7.7 Водородный потенциал водной суспензии определяют по ГОСТ 25699.6.
8 Маркировка, упаковка, транспортирование и хранение
8.1 На каждую единицу транспортной тары наклеивают этикетку, на которой должны быть указаны:
- наименование и адрес предприятия-изготовителя;
- наименование продукции и марка;
- номер партии;
- дата изготовления;
- условия хранения;
- масса нетто, брутто;
- срок хранения;
- обозначение настоящего стандарта.
8.2 Материалы из МУНТ упаковывают в полиэтиленовые мешки массой нетто 1 кг. Мешки должны быть заварены.
Допускается по согласованию с потребителем упаковывать материалы из МУНТ в другую транспортную тару, обеспечивающую их качество и сохранность.
8.3 Материалы из МУНТ транспортируют всеми видами транспортных средств в соответствии с правилами перевозки грузов, действующими на этом виде транспорта.
8.4 Материалы из МУНТ хранят в закрытых складских помещениях, исключающих попадание влаги.
9 Гарантии изготовителя
9.1 Предприятие-изготовитель гарантирует соответствие материалов из МУНТ требованиям настоящего стандарта при соблюдении условий транспортирования и хранения в течение 12 мес с даты изготовления.
9.2 Гарантийный срок хранения - 12 мес.
9.3 По истечении гарантийного срока хранения материалы из МУНТ подвергают проверке на соответствие требованиям 4.2, 4.3. При подтверждении соответствия материалы из МУНТ могут быть использованы по назначению.
Библиография
|
[1]
|
ГН 2.2.5.1313-03
|
Предельно допустимые концентрации (ПДК) вредных веществ в воздухе рабочей зоны
|
|
[2]
|
СанПиН 2.1.7.1322-2003
|
Гигиенические требования к размещению и обезвреживанию отходов производства и потребления
|