Утв. Приказом федерального агентства по техническому регулированию и метрологии от 25 декабря 2015 г. N 42-пнст
Предварительный национальный стандарт ПНСТ 67-2015
"КОНЦЕНТРАТ АЛМАЗОСОДЕРЖАЩИЙ АНТИФРИКЦИОННЫЙ. ТЕХНИЧЕСКИЕ УСЛОВИЯ"
Antifriction diamond-containing concentrate. Specifications
Срок действия - с 1 июля 2016 г.
по 1 июля 2019 г.
Введен впервые
Предисловие
1 Разработан акционерным обществом "Федеральный научно-производственный центр "Алтай" (АО ФНПЦ "Алтай") при участии Автономной некоммерческой организации "Центр сертификации продукции и систем менеджмента в сфере наноиндустрии" (АНО "Наносертифика")
2 Внесен автономной некоммерческой организацией "Центр сертификации продукции и систем менеджмента в сфере наноиндустрии" (АНО "Наносертифика")
3 Утвержден и введен в действие приказом Федерального агентства по техническому регулированию и метрологии от 25 декабря 2015 г. N 42-пнст
4 Введен впервые
5 Федеральное агентство по техническому регулированию и метрологии не несет ответственности за патентную чистоту настоящего стандарта. Патентообладатель может заявить о своих правах и направить в Федеральное агентство по техническому регулированию и метрологии аргументированное предложение о внесении в настоящий стандарт поправки для указания информации о наличии в стандарте объектов патентного права и патентообладателе
1 Область применения
Настоящий стандарт распространяется на алмазосодержащий антифрикционный концентрат (далее - концентрат) марок С, М, О, Ф, предназначенный для снижения износа и трения в обкаточных, моторных и индустриальных маслах, смазочно-охлаждающих жидкостях.
2 Нормативные ссылки
В настоящем стандарте использованы нормативные ссылки на следующие стандарты:
ГОСТ 83 Реактивы. Натрий углекислый. Технические условия
ГОСТ 1510 Нефть и нефтепродукты. Маркировка, упаковка, транспортирование и хранение
ГОСТ 1770 Посуда мерная лабораторная стеклянная. Цилиндры, мензурки, колбы, пробирки. Общие технические условия
ГОСТ 4204 Реактивы. Кислота серная. Технические условия
ГОСТ 4208 Реактивы. Соль закиси железа и аммония двойная сернокислая (соль Мора). Технические условия
ГОСТ 6709 Вода дистиллированная. Технические условия
ГОСТ 9142 Ящики из гофрированного картона. Общие технические условия
ГОСТ 9147 Посуда и оборудование лабораторные фарфоровые. Технические условия
ГОСТ 14192 Маркировка грузов
ГОСТ 14710 Толуол нефтяной. Технические условия
ГОСТ 14870 Продукты химические. Методы определения воды
ГОСТ 14919 Электроплиты, электроплитки и жарочные электрошкафы бытовые. Общие технические условия
ГОСТ 23932 Посуда и оборудование лабораторные стеклянные. Общие технические условия
ГОСТ 25336 Посуда и оборудование лабораторные стеклянные. Типы, основные параметры и размеры
ГОСТ 29252 Посуда лабораторная стеклянная. Бюретки. Часть 2. Бюретки без установленного времени ожидания
ГОСТ Р 53228 Весы неавтоматического действия. Часть 1. Метрологические и технические требования. Испытания
ГОСТ Р 55878 Спирт этиловый технический гидролизный ректификованный. Технические условия
Примечание - При пользовании настоящим стандартом целесообразно проверить действие ссылочных стандартов в информационной системе общего пользования - на официальном сайте Федерального агентства по техническому регулированию и метрологии в сети Интернет или по ежегодному информационному указателю "Национальные стандарты", который опубликован по состоянию на 1 января текущего года, и по выпускам ежемесячного информационного указателя "Национальные стандарты" за текущий год. Если заменен ссылочный стандарт, на который дана недатированная ссылка, то рекомендуется использовать действующую версию этого стандарта с учетом всех внесенных в данную версию изменений. Если заменен ссылочный стандарт, на который дана датированная ссылка, то рекомендуется использовать версию этого стандарта с указанным выше годом утверждения (принятия). Если после утверждения настоящего стандарта в ссылочный стандарт, на который дана датированная ссылка, внесено изменение, затрагивающее положение, на которое дана ссылка, то это положение рекомендуется применять без учета данного изменения. Если ссылочный стандарт отменен без замены, то положение, в котором дана ссылка на него, рекомендуется применять в части, не затрагивающей эту ссылку.
3 Термины и определения
В настоящем стандарте применен следующий термин с соответствующим определением:
3.1 алмазосодержащий концентрат: Суспензия нанодисперсного алмазосодержащего материала в смазочном масле.
4 Технические требования
4.1 Концентрат изготавливают в соответствии с требованиями настоящего стандарта по технологическому регламенту, утвержденному в установленном порядке.
4.2 Концентрат, в зависимости от функционального назначения, изготавливают в базовых средах согласно таблице 1.
Таблица 1
|
Назначение концентрата
|
Марка концентрата
|
Наименование базовой среды
|
|
В качестве присадки к индустриальным маслам для использования в системах смазки высокоточных металлорежущих станков и автоматов, роторных линий и другого оборудования
|
С
|
Индустриальное масло
|
|
В качестве присадки к моторным или трансмиссионным маслам для улучшения эксплуатационных свойств масел, применяемых в редукторах и двигателях внутреннего сгорания автомобилей
|
М
|
Моторное масло
|
|
В качестве присадки к моторным маслам для обкатки и очистки двигателей внутреннего сгорания
|
О
|
|
В качестве присадки к моторным маслам для улучшения эксплуатационных характеристик
|
Ф
|
4.3 Внешний вид концентрата - однородная маслянистая жидкость черного цвета.
4.4 Физико-химические характеристики концентрата должны соответствовать установленным в таблице 2.
Таблица 2
|
Наименование показателя
|
Марка концентрата
|
|
С
|
М
|
О
|
Ф
|
|
Массовая доля твердой фазы, %
|
(5, 0 ± 0, 5)
|
(1, 2 ± 0, 2)
|
(1, 0 ±0, 4)
|
(0, 8 ±0, 2)
|
|
Массовая доля общего углерода, %, не более
|
70
|
|
Массовая доля алмазной фазы в сухом остатке, %, не менее
|
1, 5
|
0, 4
|
0, 3
|
0, 3
|
|
Размер алмазоуглеродных агрегатов, нм
|
4 - 600
|
300 - 600
|
4 - 300
|
|
Зольность сульфатная, %, не более
|
0, 5
|
|
Массовая доля воды, %, не более
|
0, 2
|
5 Правила приемки
5.1 Для контроля соответствия концентрата требованиям настоящего стандарта проводят приемо-сдаточные испытания.
5.2 Концентрат принимают партиями. За партию принимают количество концентрата одной марки, изготовленного в течение одного технологического цикла и оформленного одним документом о качестве.
Документ о качестве должен содержать:
- наименование предприятия-изготовителя и его товарный знак;
- юридический адрес предприятия-изготовителя;
- марку концентрата;
- номер партии;
- результаты испытаний;
- массу нетто;
- дату изготовления (месяц, год);
- обозначение настоящего стандарта;
- подпись ответственного лица и штамп отдела технического контроля.
5.3 Приемо-сдаточным испытаниям подвергают каждую партию концентрата на соответствие требованиям 4.3, 4.4.
Для проведения испытаний от каждой партии концентрата из нескольких мест технологической емкости отбирают точечные пробы с помощью пробоотборника.
Концентрат перед отбором точечных проб перемешивают в технологической емкости в течение 10 - 15 мин методом циркуляции. Точечные пробы объединяют в единую пробу объемом не менее 2 л. После тщательного перемешивания пробу делят на три части:
- пробу для полного анализа - 0, 5 л;
- пробу для повторного анализа - 0, 5 л;
- пробу для арбитражного анализа - 1, 0 л.
Арбитражную пробу хранят в течение гарантийного срока хранения.
Пробы снабжают этикетками с указанием:
- марки концентрата;
- номера партии;
- даты отбора пробы.
При получении неудовлетворительных результатов приемо-сдаточных испытаний хотя бы по одному из показателей проводят повторные испытания по этому показателю на удвоенном числе проб, отобранных из тех же мест.
В случае неудовлетворительных результатов повторных испытаний партию бракуют и отправляют на переработку согласно технологической документации, утвержденной в установленном порядке.
6 Методы испытаний
6.1 Контроль внешнего вида концентрата проводят визуально.
Несколько капель тщательно перемешанной пробы наносят одним пятном тонким слоем на стеклянную пластинку и рассматривают сначала в падающем свете для определения цвета, а затем в проходящем свете для определения наличия комков, крупинок и абразивных примесей. Освещенность рабочего места при проведении данного анализа должна быть не менее 400 лк.
6.2 Определение массовой доли твердой фазы
Метод основан на отделении твердой фазы от раствора масла в бензине центрифугированием, количественном переносе осадка на фильтр "красная лента", промывании твердой фазы на фильтре бензином с последующим высушиванием и взвешиванием фильтра с осадком.
При испытании используют:
- лабораторные весы класса точности 2 по ГОСТ Р 53228;
- эксикатор по ГОСТ 25336;
- стаканчики для взвешивания (бюксы) диаметром 50 - 60 мм и высотой 30 - 40 мм по ГОСТ 23932;
- стакан B-I-400 ТС или B-I-600 ТС и H-I-50 по ГОСТ 25336;
- стеклянные воронки В-56-110 ХС по ГОСТ 25336;
- мерный цилиндр по ГОСТ 1770;
- обеззоленный фильтр "красная лента" диаметром 9, 11 см;
- вакуум-сушильный шкаф с автоматической регулировкой температуры, позволяющий поддерживать ее в пределах (105 ± 2)°С;
- лабораторную центрифугу с центробежным нагружением до 1200 g и набором термостойких стеклянных пробирок объемом не менее 60 см3;
- стеклянную палочку длиной 150 - 200 мм;
- этиловый спирт по ГОСТ Р 55878;
- гексан;
- фильтровальную бумагу;
- нефтяной толуол по ГОСТ 14710.
- нефрас С 3-80/120 (бензин - растворитель для резиновой промышленности БР-1 "Галоша").
Фильтр "красная лента" кипятят в течение 3 мин в бензине на водяной бане, подсушивают на воздухе и помещают в чистый сухой стаканчик для взвешивания (бюксу) и сушат в вакуум-сушильном шкафу при температуре (105 ± 2)°С в течение 30 мин. Затем стаканчик (бюксу) закрывают крышкой, охлаждают в эксикаторе в течение 40 мин и взвешивают.
Пробу концентрата перед взятием навески тщательно перемешивают интенсивным встряхиванием сверху вниз и круговыми движениями в течение 5 мин в закрытой таре, заполненной не более 3/4 ее объема.
Навеску массой до 2 г помещают в пробирку для центрифугирования и взвешивают. Затем в пробирку приливают бензин на 2/3 ее объема и центрифугируют 10 мин при нагружении 1200 g. Раствор масла в бензине осторожно сливают, стараясь не взмутить осадок. В пробирку приливают бензин на 1/2 ее объема, центрифугируют 5 мин и бензин сливают. В пробирку приливают 30 - 35 мл спиртолуольной смеси, центрифугируют 5 мин и смесь сливают.
В стеклянную воронку вставляют подготовленный фильтр. В пробирку приливают 2 - 3 мл бензина, перемешивают палочкой и осторожно количественно переносят содержимое на фильтр по стеклянной палочке. Остатки со стенок пробирки счищают палочкой и смывают на фильтр добавочными порциями бензина. Один или два раза пробирку очищают с помощью палочки и 2 - 3 мл спирта.
Особо тщательно обмывают бензином края фильтра, чтобы не оставалось масляных пятен. Общий объем бензина должен быть не менее 100 мл. При таком объеме бензина капля фильтрата, помещенная на фильтровальную бумагу, не оставляет масляного пятна после испарения.
По окончании промывки фильтр с осадком переносят в бюксу, в которой сушился чистый фильтр, и сушат в сушильном шкафу при температуре (105 ± 2)°С в течение 45 мин. Затем бюксу закрывают крышкой, охлаждают в эксикаторе в течение 40 мин и взвешивают.
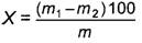
Массовую долю твердой фазы X, %, вычисляют по формуле

,
где m1 - масса стаканчика для взвешивания (бюксы) с бумажным фильтром и твердой фазой, г;
m2 - масса стаканчика для взвешивания (бюксы) с чистым фильтром, г;
m - масса навески, г.
Результатом измерений является среднеарифметическое значение двух параллельных измерений, округленное до первого знака после запятой.
Расхождение между вычисленными значениями должно быть не более 0, 15%.
6.3 Определение массовой доли общего углерода
Для определения массовой доли общего углерода используют приборы, материалы, реактивы по 6.2, в том числе:
- установку для определения массовой доли общего углерода с электропечами для микроанализа (аппарат Прегля);
- ступку из сверхтвердого материала, тип любой;
- аскарит.
Сухой остаток по 6.2 концентрата растирают в агатовой ступке. Затем навеску массой 7 мг помещают в предварительно взвешенный аппарат Прегля с аскаритом и сжигают. После этого взвешивают аппарат Прегля с аскаритом.
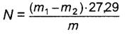
Массовую долю общего углерода N, %, вычисляют по формуле

,
где m1 - масса аппарата Прегля с навеской, г;
m2 - масса аппарата Прегля без навески, г;
27, 29 - коэффициент пересчета двуокиси углерода на углерод;
m - масса навески, г.
Результатом измерений является среднеарифметическое значение двух параллельных измерений, округленное до первого знака после запятой.
Относительное расхождение между результатами вычислений при доверительной вероятности 0, 95 должно быть не более 3%.
6.4 Определение массовой доли алмазной фазы в сухом остатке
При испытании используют:
- лабораторные весы класса точности 2 по ГОСТ Р 53228;
- электрическую бытовую плитку по ГОСТ 14919;
- коническую колбу со шлифом по ГОСТ 25336, вместимостью 500 или 750 мл;
- стеклянный лабораторный холодильник по ГОСТ 25336;
- мерный цилиндр по ГОСТ 1770, вместимостью 50 или 100 мл;
- бюретку по ГОСТ 29252;
- стеклянные или фарфоровые бусинки (кипелки);
- фарфоровый стакан по ГОСТ 9147, вместимостью 1000 мл;
- раствор двухромовокислого калия концентрацией 0, 25 моль/см3 (0, 25 н), фиксанал;
- серную кислоту по ГОСТ 4204, концентрированную и разбавленную 1:1;
- двойную сернокислую соль закиси железа и соль аммония концентрацией 0, 25 моль/см3 (0, 25 н) (соль Мора) по ГОСТ 4208;
- углекислый натрий по ГОСТ 83 (концентрация раствора 0, 2%);
- фенилантраниловую кислоту, приготовленную следующим образом: навеску кислоты массой 0, 2 г растворяют при нагревании в 100 мл 0, 2%-го раствора углекислого натрия;
- дистиллированную воду по ГОСТ 6709;
- сернокислое серебро.
По приведенной в 6.2 методике из концентрата получают образец сухого остатка алмазоуглеродного материала, навеску которого массой около 0, 3 г помещают в коническую колбу со шлифом вместимостью 500 или 750 мл. В колбу приливают 25 мл дистиллированной воды, из бюретки - 30 мл раствора калия и осторожно при постоянном перемешивании приливают 60 мл концентрированной серной кислоты. Затем в колбу добавляют навеску сернокислого серебра массой 0, 3 - 0, 4 г и присоединяют ее к обратному холодильнику, предварительно обмытому дистиллированной водой. Содержимое колбы нагревают на плитке до слабого кипения, которое поддерживают в течение 2 ч.
После этого колбу охлаждают, холодильник обмывают 20 - 25 мл дистиллированной воды и отсоединяют колбу от холодильника. В колбу добавляют 100 мл дистиллированной воды, 10 - 12 капель фенилантраниловой кислоты и избыток двухромовокислого калия. Затем титруют раствором соли Мора до изменения фиолетовой окраски на зеленую.
В конце титрования соль Мора добавляют по каплям, хорошо перемешивая содержимое колбы.
Параллельно в тех же условиях проводят контрольное испытание.
Массовую долю окисляемых форм углерода М, %, вычисляют по формуле

,
где V1 - объем 0, 25 н раствора соли Мора, израсходованный на титрование контрольного испытания, мл;
V2 - объем 0, 25 н раствора соли Мора, израсходованный на титрование первичного испытания, мл;
K - коэффициент нормальности 0, 25 н раствора соли Мора;
0, 00075 - количество углерода, соответствующее 1 мл 0, 25 н раствора соли Мора;
m - масса навески продукта, г.
Результатом измерений является среднеарифметическое значение двух параллельных измерений, округленное до первого знака после запятой.
Относительное расхождение между результатами вычислений при доверительной вероятности Р = 0, 95 должно быть не более 6%.
Массовую долю алмазной фазы в сухом остатке С, %, вычисляют по формуле
C=N-M,
где N - массовая доля общего углерода в сухом остатке, %;
М - массовая доля окисляемых форм углерода, %.
За результат анализа принимают среднеарифметическое двух параллельных определений, округленное до первого знака после запятой.
Допустимое относительное расхождение между результатами вычислений при доверительной вероятности Р = 0, 95 - 6%.
6.5 Определение размера алмазных агрегатов проводят по методике [1].
6.6 Определение массовой доли воды
Массовую долю воды определяют по ГОСТ 14870 (метод Фишера) со следующими дополнениями:
- пробу перед взятием навески перемешивают встряхиванием сверху вниз и круговыми движениями в течение 3 - 5 мин в закрытой таре, заполненной на 3/4 ее объема;
- массовую долю воды X, %, вычисляют по формуле

,
где V - объем реактива Фишера, израсходованный на титрование навески, см3;
Т - титр реактива Фишера, г/см3;
m - масса навески, г.
7 Маркировка, упаковка, транспортирование и хранение
7.1 Маркировка
7.1.1 На каждую единицу потребительской тары наклеивают этикетку по ГОСТ 14192, на которой должно быть указано:
- наименование и марка концентрата;
- номер партии;
- масса нетто или объем;
- дата изготовления;
- правила использования;
- обозначение настоящего стандарта.
7.1.2 Транспортная тара должна иметь этикетку с указанием:
- наименования и марки концентрата;
- числа единиц потребительской тары;
- номера партии;
- даты изготовления;
- обозначения настоящего стандарта;
7.1.3 Транспортную маркировку осуществляют по ГОСТ 14192 с нанесением манипуляционных знаков - "Беречь от влаги", "Верх".
7.2 Упаковка
7.2.1 Концентрат упаковывают в тубы, полиэтиленовые, металлические и стеклянные банки, металлические бочки и бидоны или из полимерных материалов по ГОСТ 1510.
Допускается упаковывать концентрат в металлические и полимерные канистры, алюминиевые баллоны для аэрозольной упаковки или полиэтиленовые баночки.
7.2.2 Упакованный концентрат помещают в картонные коробки по ГОСТ 9142 или другую тару, пригодную для транспортирования и обеспечивающую целостность продукта.
Масса брутто должна быть не более 15 кг.
Баллоны укладывают в коробки до трех рядов по вертикали, между рядами укладывают картонные прокладки.
7.3 Транспортирование и хранение
7.3.1 Концентрат транспортируют всеми видами транспорта в крытых транспортных средствах, обеспечивающих защиту от атмосферных явлений и механических повреждений тары, в соответствии с правилами перевозок грузов, действующими на данном виде транспорта.
7.3.2 Концентрат хранят в таре предприятия-изготовителя на стеллажах, поддонах или в штабелях в два яруса в крытых складских помещениях на расстоянии не менее 1 м от отопительных приборов или под навесом, защищающим от действия прямых солнечных лучей и атмосферных осадков.
7.3.3 Транспортирование и хранение концентрата - по ГОСТ 1510 при температуре от минус 40°С до плюс 40°С.
8 Гарантии изготовителя
8.1 Предприятие-изготовитель гарантирует соответствие концентрата требованиям настоящего стандарта при соблюдении условий транспортирования и хранения.
8.2 Гарантийный срок хранения - два года со дня изготовления.
8.3 По истечении гарантийного срока хранения концентрат подвергают проверке на соответствие требованиям 4.3 - 4.4. При подтверждении соответствия концентрат может быть использован по назначению.
Библиография
|
[1]
|
ФР.1.27.2009.06761
|
Методика выполнения измерений геометрических размеров наночастиц с помощью просвечивающей электронной микроскопии
|