ПНСТ 86-2016 ДОРОГИ АВТОМОБИЛЬНЫЕ ОБЩЕГО ПОЛЬЗОВАНИЯ. МАТЕРИАЛЫ ВЯЖУЩИЕ НЕФТЯНЫЕ БИТУМНЫЕ. ПОРЯДОК ОПРЕДЕЛЕНИЯ МАРКИ С УЧЕТОМ ТЕМПЕРАТУРНОГО ДИАПАЗОНА ЭКСПЛУАТАЦИИ
Automobile roads of general use. Petroleum-based bitumen binders. Procedure for determination of the brand based on the temperature range of exploitation
Введен впервые
Предисловие
1 Разработан Автономной некоммерческой организацией "Научно-исследовательский институт транспортно-строительного комплекса" (АНО "НИИ ТСК")
2 Внесен Техническим комитетом по стандартизации ТК 418 "Дорожное хозяйство"
3 Утвержден и введен в действие приказом Федерального агентства по техническому регулированию и метрологии от 10 марта 2016 г. N 8-пнст
4 Введен впервые
Введение
Настоящий стандарт разработан с учетом основных нормативных положений стандарта AASHTO R 29 "Порядок определения марки с учетом температурного диапазона эксплуатации" (AASHTO R 29 "Standard Practice for Grading or Verifying the Performance Grade (PG) of an Asphalt Binder") и входит в комплекс стандартов, нормирующих метод объемного проектирования асфальтобетонных смесей в Российской Федерации.
Настоящий стандарт распространяется на нефтяные битумные вяжущие материалы (далее - битумные вяжущие), предназначенные в качестве вяжущего материала при строительстве, ремонте и реконструкции дорожных покрытий и оснований, и устанавливает порядок проведения испытаний и расчетов для определения марки битумного вяжущего согласно классификации, установленной в ПНСТ 85.
В настоящем стандарте использованы нормативные ссылки на следующие стандарты:
ГОСТ 33137-2014 Дороги автомобильные общего пользования. Битумы нефтяные дорожные вязкие. Метод определения динамической вязкости ротационным вискозиметром
ГОСТ 33140-2014 Дороги автомобильные общего пользования. Битумы нефтяные дорожные вязкие. Метод определения старения под воздействием высокой температуры и воздуха (метод RTFOT)
ГОСТ 33141-2014 Дороги автомобильные общего пользования. Битумы нефтяные дорожные вязкие. Метод определения температур вспышки. Метод с применением открытого тигля Кливленда
ПНСТ 79-2016 Дороги автомобильные общего пользования. Материалы вяжущие нефтяные битумные. Метод определения жесткости и ползучести битума при отрицательных температурах с помощью реометра, изгибающего балочку (BBR)
ПНСТ 83-2016 Дороги автомобильные общего пользования. Материалы вяжущие нефтяные битумные. Метод определения температуры растрескивания при помощи устройства ABCD
ПНСТ 84-2016 Дороги автомобильные общего пользования. Материалы вяжущие нефтяные битумные. Метод старения под действием давления и температуры (PAV)
ПНСТ 85-2016 Дороги автомобильные общего пользования. Материалы вяжущие нефтяные битумные. Технические требования с учетом температурного диапазона эксплуатации
ПНСТ 87-2016 Дороги автомобильные общего пользования. Материалы вяжущие нефтяные битумные. Метод определения свойств с использованием динамического сдвигового реометра (DSR)
Примечание - При пользовании настоящим стандартом целесообразно проверить действие ссылочных стандартов в информационной системе общего пользования - на официальном сайте Федерального агентства по техническому регулированию и метрологии в сети Интернет или по ежегодному информационному указателю "Национальные стандарты", который опубликован по состоянию на 1 января текущего года, и по выпускам информационного указателя "Национальные стандарты" за текущий год. Если заменен ссылочный стандарт, на который дана недатированная ссылка, то рекомендуется использовать действующую версию этого стандарта с учетом всех внесенных в данную версию изменений. Если заменен ссылочный стандарт, на который дана датированная ссылка, то рекомендуется использовать версию этого стандарта с указанным выше годом утверждения (принятия). Если после утверждения национального стандарта в ссылочный стандарт, на который дана датированная ссылка, внесено изменение, затрагивающее положение, на которое дана ссылка, то это положение рекомендуется применять без учета данного изменения. Если ссылочный стандарт отменен без замены, то положение, в котором дана ссылка на него, рекомендуется применять в части, не затрагивающей эту ссылку.
В настоящем стандарте применены следующие термины с соответствующими определениями:
3.1 битумное вяжущее (bitumen binder): Органический вяжущий материал, который производится из продуктов переработки нефти с добавлением при необходимости органических модифицирующих добавок.
3.2 расчетные температуры (максимальная и минимальная) слоя дорожного покрытия (determined temperatures of pavement coat): Температуры слоя дорожного покрытия на заданной глубине, рассчитанные по специализированным методикам с использованием значений температур воздуха.
Примечание - Допускается определение расчетных температур слоя дорожного покрытия по методикам в соответствии с приложением А настоящего стандарта, а также использование специализированных программ и документов, позволяющих определять данные температуры.
3.3 комплексный модуль сдвига (complex shear modulus), (G*): Величина, определяемая отношением максимального абсолютного напряжения сдвига (τ) к максимальной абсолютной деформации сдвига (γ).
3.4 фазовый угол (phase angle), (δ): Угол (в радианах), определяющий запаздывание между синусоидальной деформацией и синусоидальным напряжением при испытаниях с контролируемой деформацией или между синусоидально приложенным напряжением и деформацией при испытаниях с контролируемым напряжением.
3.5 верхнее значение марки битумного вяжущего (X) (high temperature grade of the bitumen binder): Значение марки битумного вяжущего, по значению равное расчетной максимальной температуре дорожного покрытия.
3.6 нижнее значение марки битумного вяжущего (Y) (low temperature grade of the bitumen binder): Значение марки битумного вяжущего, по значению равное расчетной минимальной температуре дорожного покрытия.
3.7 обозначение марки битумного вяжущего PG X±Y (performance graded (PG) bitumen binder): Обозначение марки битумного вяжущего, установленное в соответствии с температурным диапазоном эксплуатации дорожного покрытия, определяемого с учетом расчетных температур.
Примечание - В обозначении используется знак "минус", если значение Y менее нуля, и знак "плюс" - в остальных случаях.
4.1 Настоящий стандарт описывает порядок проведения испытаний, для определения или подтверждения марки битумного вяжущего с учетом температурного диапазона эксплуатации.
4.2 Порядок проведения испытаний битумных вяжущих
4.2.1 Исходное битумное вяжущее испытывают для определения следующих показателей:
- температура вспышки, в соответствии с ГОСТ 33141;
- динамическая вязкость, в соответствии с ГОСТ 33137;
- комплексный модуль сдвига (G*) и фазовый угол (δ), в соответствии с ПНСТ 87.
4.2.2 Исходное битумное вяжущее подвергают старению по методу RTFOT в соответствии с ГОСТ 33140 и определяют изменения массы, а также модуль сдвига (G*) и фазовый угол (δ) в соответствии с ПНСТ 87.
4.2.3 Состаренное битумное вяжущее по методу RTFOT в соответствии с ГОСТ 33140 подготавливают по методу PAV в соответствии с ПНСТ 84 и затем определяют модуль сдвига (G*), фазовый угол (δ), в соответствии с ПНСТ 87, а затем жесткость (S) и ползучесть (m) в соответствии с ПНСТ 79.
На основе результатов испытания битумного вяжущего определяют его марку в соответствии с ПНСТ 85.
Примечание - Если для определения заранее неизвестной марки битумного вяжущего или подтверждения марки битумного вяжущего испытания начинают в начале утренней смены, то испытание и анализ рекомендуется полностью завершить во второй половине дня на следующий день. В такой график укладывается время подготовки пробы по методу старения битумных вяжущих материалов под действием давления и температуры (PAV). При этом параллельно допускается проводить старение по ГОСТ 33140 и испытания образцов, что приводит к максимальной производительности лабораторных работ.
5.1 Для определения заранее неизвестной марки битумного вяжущего требуется не менее 400 г исходного битумного вяжущего для проведения необходимых испытаний.
5.2 Подготовку проб необходимо выполнять в соответствии с документами на методы проводимых испытаний.
5.3 Рекомендуется одновременно с началом испытаний на исходном битумном вяжущем начать процедуру старения по методу RTFOT и затем сразу по методу PAV для сокращения общего времени, необходимого для завершения всех работ. Необходимо получить достаточное количество состаренного материала для выполнения всех необходимых испытаний.
5.4 Порядок проведения испытаний при определении заранее неизвестной марки битумного вяжущего
5.4.1 Для исходного битумного вяжущего необходимо определить показатель "Температура вспышки" в соответствии с ГОСТ 33141. Температура вспышки должна превышать 230°С, чтобы соответствовать требованиям ПНСТ 85. Если данное требование не выполняется, то такое битумное вяжущее не соответствует ни одной марке по ПНСТ 85, поэтому дальнейшие испытания не требуются.
5.4.2 Для исходного битумного вяжущего материала необходимо определить показатель "Динамическая вязкость" в соответствии с ГОСТ 33137. Значение показателя "Динамическая вязкость" не должно превышать 3 Па·с, чтобы соответствовать требованиям ПНСТ 85. Если данное требование не выполняется, то такое битумное вяжущее не соответствует ни одной марке по ПНСТ 85, поэтому дальнейшие испытания не требуются.
5.4.3 Исходное битумное вяжущее необходимо испытать в соответствии с ПНСТ 87, начиная с температуры 58°С, повышая или понижая температуру испытания с интервалами по 6°С до тех пор, пока полученное значение отношения комплексного модуля сдвига (G*) к синусу фазового угла (δ) не превысит 1, 00 кПа при понижении температуры или значение отношения комплексного модуля сдвига (G*) к синусу фазового угла (δ) не опустится ниже 1, 00 кПа при повышении температуры. Наивысшее значение температуры испытания, когда значение G*/sin(δ) больше либо равно 1, 00 кПа, определяет предварительное верхнее значение марки битумного (X) вяжущего.
5.4.4 Для битумного вяжущего, состаренного в соответствии с ГОСТ 33140, необходимо определить показатель "Изменение массы после старения". Если значение данного показателя превышает 1, 00%, то такое битумное вяжущее не соответствует ни одной марке по ПНСТ 85.
5.4.5 Для битумного вяжущего, состаренного в соответствии с ГОСТ 33140, провести испытание в соответствии с ПНСТ 87, для состаренного в соответствии с ГОСТ 33140, битумного вяжущего при температуре испытания, соответствующей предварительному верхнему значению марки, полученному при испытании исходного битумного вяжущего в соответствии с 5.4.3. Значение отношения комплексного модуля сдвига (G*) к синусу фазового угла (δ) для битумного вяжущего, состаренного согласно ГОСТ 33140, должно составлять не менее 2, 20 кПа. Если при этой температуре испытания данное условие выполнено, данная температура определяет верхнее значение марки битумного вяжущего (X). В противном случае необходимо понижать температуру испытания с шагом 6°С и зафиксировать максимальную температуру, когда выполняется условие: значение отношения комплексного модуля сдвига (G*) к синусу фазового угла (δ) не менее 2, 20 кПа. В этом случае верхнее значение марки (X) битумного вяжущего определяется зафиксированным значением температуры.
5.4.6 Битумное вяжущее, состаренное согласно ГОСТ 33140, подготовить в соответствии с ПНСТ 84, причем температуру старения выбрать в соответствии с таблицей 1 ПНСТ 85, используя полученное верхнее значение марки битумного вяжущего (X).
5.4.7 На полученном в соответствии с 5.4.6 битумном вяжущем провести испытание в соответствии с ПНСТ 87, выбирая начальную температуру испытания в соответствии с таблицей 1 настоящего ПНСТ. Необходимо повышать или понижать температуру испытания с шагом по 3°С до тех пор, пока не будет достигнуто минимальное значение температуры испытания, при которой произведение комплексного модуля (G*) и синуса фазового угла (δ) будет не более 5000 кПа. Далее по таблице 1 ПНСТ 85 необходимо определить предварительное нижнее значение марки (Y), соответствующее полученному минимальному значению температуры.
Таблица 1
|
Наименование характеристики |
Числовые значения температуры испытания | ||||||
|
Верхнее значение марки битумного вяжущего (X) |
46 |
52 |
58 |
64 |
70 |
76 |
82 |
|
Начальная температура испытания, °С |
7 |
16 |
19 |
22 |
28 |
31 |
34 |
5.4.8 Битумное вяжущее, состаренное в соответствии с 5.4.6, необходимо испытать в соответствии с ПНСТ 79. Причем начальную температуру испытания выбирают из таблицы 1 ПНСТ 85 с учетом верхнего значения марки (X) и предварительного нижнего значения марки, полученного по 5.4.7. Температуру испытания увеличивать с шагом 6°С до тех пор, пока не будет зафиксирована температура (Tмин), °С, при которой значения жесткости (S) и ползучести (m) будут соответствовать требованиям, указанным в таблице 1 ПНСТ 85. Если при испытаниях будет зафиксирована температура (Tкр), при которой значение ползучести (m) будет соответствовать требованиям, указанным в таблице 1 ПНСТ 85, а при этом значение жесткости (S) будет находиться в диапазоне (300 - 600) МПа, допускается проведение испытания по определению показателя "Температура растрескивания" в соответствии с ПНСТ 83. Если значение показателя "Температура растрескивания" будет ниже, чем значение, равное (Tкр - 10°С), то значение температуры (Tмин) допускается принять равным значению температуры (Tкр).
Далее по таблице 1 ПНСТ 85 необходимо определить предварительное нижнее значение марки битумного вяжущего, в соответствии с полученной температурой (Tмин) (предварительное нижнее значение марки битумного вяжущего по значению равно (Tмин - 10°С)).
5.4.9 Нижним значением марки битумного вяжущего (Y) является наибольшее из предварительных нижних значений марки битумного вяжущего, полученных в соответствии с 5.4.7 и 5.4.8. Полученная марка битумного вяжущего записывается в виде PG X±Y.
6.1 В случае если марка битумного вяжущего (PG Х±Y) известна, то требуется не менее 250 г исходного битумного вяжущего для проведения необходимых испытаний.
6.2 Подготовку проб необходимо выполнять в соответствии с документами на методы проводимых испытаний.
6.3 Рекомендуется одновременно с началом испытаний на исходном битумном вяжущем начать процедуру старения в соответствии с ГОСТ 33140 и затем сразу по ПНСТ 84, для сокращения общего времени, необходимого для завершения всех работ.
Примечание - Количество битумного вяжущего материала для старения определяется требуемым объемом материала для последующих испытаний.
6.4 Порядок выполнения испытаний при проведении проверки соответствия битумного вяжущего заявленной марке
6.4.1 Для исходного битумного вяжущего необходимо определить показатели при температурах, выбранных по таблице 1 ПНСТ 85, в соответствии с верхним значением марки битумного вяжущего (X) и нижним значением марки битумного вяжущего (Y).
6.4.2 Для исходного битумного вяжущего материала необходимо определить показатель "Температура вспышки" в соответствии с ГОСТ 33141. Значение показателя "Температура вспышки" должно превышать 230°С, чтобы соответствовать требованиям ПНСТ 85. Если данное требование не выполняется, то такое битумное вяжущее не соответствует ни одной марке по ПНСТ 85, поэтому дальнейшие испытания не требуются и битумное вяжущее признается не соответствующим заявленной марке.
6.4.3 Для исходного битумного вяжущего материала необходимо определить показатель "Динамическая вязкость" в соответствии с ГОСТ 33137. Значение показателя "Динамическая вязкость" не должно превышать 3 Па·с, чтобы соответствовать требованиям ПНСТ 85. Если данное требование не выполняется, то такое битумное вяжущее не соответствует ни одной марке по ПНСТ 85, поэтому дальнейшие испытания не требуются и битумное вяжущее признается не соответствующим заявленной марке.
6.4.4 Для исходного битумного вяжущего материала необходимо определить комплексный модуль сдвига (G*) и фазовый угол (δ) в соответствии с ПНСТ 87.
6.4.5 Для битумного вяжущего, состаренного в соответствии с ГОСТ 33140, определяют показатели в следующей последовательности:
- определить показатель "Изменение массы после старения" в соответствии с ГОСТ 33140. Значение показателя "Изменение массы после старения" должно быть не более 1, 00%, чтобы обеспечить соответствие требованиям ПНСТ 85. В противном случае битумное вяжущее не соответствует ни одной марке по ПНСТ 85, поэтому дальнейшие испытания не требуются и битумное вяжущее признается не соответствующим заявленной производителем марке;
- определить комплексный модуль сдвига (G*) и фазовый угол (δ) в соответствии с ПНСТ 87.
6.4.6 Битумное вяжущее состаренное в соответствии с ГОСТ 33140 подготавливают по ПНСТ 84 и определяют показатели в следующей последовательности:
- определить комплексный модуль сдвига (G*) и фазовый угол (δ) в соответствии с ПНСТ 87;
- определить жесткость (S) и ползучесть (m) в соответствии с ПНСТ 79;
- в случае, если производителем заявлено, что при определении соответствия марке битумного вяжущего необходимо использовать показатель "Температура растрескивания", необходимо определить данный показатель в соответствии с ПНСТ 83.
Примечание - Допуск к применению битумных вяжущих, при определении соответствия марке которых используется показатель "Температура растрескивания", осуществляется только по согласованию с потребителем.
6.4.7 Полученные результаты испытаний сравнивают с требованиями таблицы 1 ПНСТ 85 для данной марки, и в случае соответствия техническим требованиям битумное вяжущее признается соответствующим марке, заявленной производителем. В случае если результаты испытаний битумного вяжущего не соответствует хотя бы одному из технических требований ПНСТ 85 для данной марки, то данное битумное вяжущее признается не соответствующим заявленной производителем марке.
6.4.8 Если битумное вяжущее признано не соответствующим заявленной производителем марке по таблице 1 ПНСТ 85, то допускается рассматривать его как битумное вяжущее неизвестной марки и испытывать согласно 5.4, и определить его марку в соответствии с требованиями ПНСТ 85.
По результатам работ, выполняемых в соответствии с данным стандартом, необходимо оформить протокол, содержащий следующую информацию о происхождении битумного вяжущего материала:
- название организации, проводившей работы;
- дату проведения работ;
- информацию об использованном оборудовании;
- ссылку на применяемые нормативные документы и отклонения от их требований.
Кроме того, если выполнялись работы по определению марки битумного вяжущего, то в протокол вносят результаты всех выполненных испытаний, требования ПНСТ 85.
При выполнении работ по определению соответствия битумных вяжущих материалов показателям качества в соответствии с ПНСТ 85, то в протокол вносят: результаты всех выполненных испытаний, требования ПНСТ 85 для данной марки и указывают, соответствует ли битумное вяжущее требованиям ПНСТ 85.
Приложение А
(рекомендуемое)
Для выбора марки битумного вяжущего для слоя покрытия необходимо определить максимальную расчетную температуру дорожного покрытия на глубине 20 мм от поверхности данного слоя покрытия и минимальную расчетную температуру на поверхности этого слоя.
Для определения максимальной и минимальной расчетных температур слоя покрытия необходимы данные о температурах воздуха в районе строительства за максимально возможный период времени.
Для определения марок битумных вяжущих материалов использовались алгоритмы, приведенные ниже.
Для определения максимальной расчетной температуры слоя покрытия необходимо определить максимальные средние семидневные температуры воздуха для каждого года наблюдений. Чтобы определить среднюю максимальную годовую семидневную температуру (далее семидневная температура (Ti)), необходимо для каждого дня в году вычислить среднее значение максимальных температур за 7 дней, включающих этот день, три предыдущих и три последующих дня. Далее необходимо выбрать большее из полученных значений. Используя массив средних максимальных годовых семидневных температур за максимально возможный срок наблюдений вычисляется среднее значение данных температур (далее - средняя температура (Tср)) и стандартное отклонение.
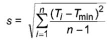
Для вычисления значения стандартного отклонения семидневных температур (s) может быть использована формула А.1
,(А.1)
где n - количество лет наблюдений;
Tср - средняя температура;
Ti - семидневная температура в (i-й) год наблюдения.
Для обеспечения 98% вероятности того, что за время эксплуатации покрытия температура воздуха не превысит выбранного значения, эта температура должна быть не менее (Tср + 2s)°C, причем при выборе температуры равной (Tср)°С данная вероятность равна 50%.
Максимальная расчетная температура покрытия, принимается равной температуре асфальтобетонного покрытия на глубине 20 мм от верхнего слоя.
Расчет максимальной расчетной температуры слоя покрытия (Т) выполняется по формуле А.2
T=54, 32+0, 78·Tср-0, 0025(Lat)2+15, 14log10(H+25)+Z·(9+0, 61·s2)0, 5,
(A.2)
где Т - максимальная расчетная температура покрытия (°С);
Tср - средняя температура воздуха (°С);
Lat - географическая широта в градусах;
Н - глубина от поверхности покрытия (мм);
Z - табличное значение стандартного нормального распределения (Z = 2, 055 для вероятности 98%);
s - стандартное отклонение семидневных температур.
Для верхних слоев покрытий максимальная расчетная температура покрытия рассчитывается на глубине 20 мм (Н = 20).
Верхнее значение марки битумного вяжущего (X) выбирается в соответствии с максимальной расчетной температурой, которая определяется по температуре слоя дорожного покрытия на глубине 20 мм от верхнего слоя.
Для определения минимальной расчетной температуры покрытия необходимо фиксировать в каждом году самую низкую температуру воздуха (Tн). Используя массив значений самых низких температур за каждый год наблюдений, необходимо вычислить среднее значение минимальных температур воздуха за все время наблюдений (далее - средняя минимальная температура (Tmin)).
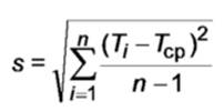
Также необходимо вычислить значение стандартного отклонения самых низких температур воздуха (s). Для этого может быть использована формула А.3
,(А.3)
где n - количество лет наблюдений;
Tmin - средняя минимальная температура;
Ti - самая низкая температура в (i-й) год наблюдения.
Для обеспечения 98%-ной вероятности того, что за время эксплуатации покрытия температура воздуха не будет ниже выбранного значения, эта температура должна быть не более (Tmin - 2s)°C, причем при выборе температуры, равной (Tmin)°C, данная вероятность будет равна 50%.
Расчет минимальной расчетной температуры покрытия выполняется по формуле А.4
Tm=-1, 56+0, 72·Tmin-0, 004(Lat)2+6, 26log10(H+25)-Z·(4, 4+0, 52·s2)0, 5,
(А.4)
где Tm - минимальная расчетная температура покрытия (°С);
Tmin - средняя минимальная температура (°С);
Lat - географическая широта в градусах;
Н - глубина от поверхности покрытия (мм);
Z - табличное значение стандартного нормального распределения (Z = 2, 055 для вероятности 98%);
s - стандартное отклонение минимальных температур.
Для верхних слоев покрытий минимальная расчетная температура покрытия рассчитывается на поверхности дороги (Н = 0).
Нижнее значение марки битумного вяжущего (Y) выбирается в соответствии с минимальной расчетной температурой, которая определяется по температуре поверхности слоя дорожного покрытия.
Чтобы определить допустимую марку битумного вяжущего для использования в слое дорожного покрытия, необходимо выбрать такую марку, верхнее значение которой превосходит максимальную расчетную температуру слоя дорожного покрытия, а нижнее значение которой ниже минимальной расчетной температуры для данного слоя.


