ОДМ 218.6.1.005-2021 МЕТОДИЧЕСКИЕ РЕКОМЕНДАЦИИ ПО ВОССТАНОВЛЕНИЮ АСФАЛЬТОБЕТОННЫХ ПОКРЫТИЙ И ОСНОВАНИЙ АВТОМОБИЛЬНЫХ ДОРОГ МЕТОДОМ ХОЛОДНОЙ РЕГЕНЕРАЦИИ
Предисловие
1 Разработан Федеральным автономным учреждением "Российский дорожный научно-исследовательский институт" (ФАУ "РОСДОРНИИ") Министерства транспорта Российской Федерации (к.т.н. Г.С. Бахрах, Г.С. Горлина) в рамках государственного контракта от 19.11.2014 N 47/456
2 Внесен Управлением научно-технических исследований и информационного обеспечения Федерального дорожного агентства.
3 Издан на основании распоряжения Федерального дорожного агентства от 17 февраля 2021 N 570-р.
4 Носит рекомендательный характер.
5 Взамен "Методических рекомендаций по восстановлению асфальтобетонных покрытий и оснований автомобильных дорог способами холодной регенерации", утвержденных распоряжением Росавтодора N ОС-568-р от 27.06.2002.
1.1 Настоящий отраслевой дорожный методический документ (далее - ОДМ) устанавливает рекомендации по применению асфальтогранулобетонных смесей при восстановлении асфальтобетонных покрытий и оснований автомобильных дорог методом холодной регенерации.
1.2 Настоящий ОДМ предназначен для применения организациями, выполняющими функции заказчика и подрядными организациями, осуществляющими дорожную деятельность (деятельность по проектированию, строительству, реконструкции, капитальному ремонту, ремонту и содержанию автомобильных дорог).
В настоящем методическом документе использованы ссылки на следующие документы:
Технический регламент Таможенного союза. ТР ТС 014/2011. Безопасность автомобильных дорог.
ГОСТ 9179-2018 Известь строительная. Технические условия
ГОСТ 23732-2011 Вода для бетонов и строительных растворов. Технические условия
ГОСТ 25818-2017 Золы-уноса тепловых электростанций для бетонов. Технические условия
ГОСТ 30108-94 Материалы и изделия строительные. Определение удельной эффективной активности естественных радионуклидов
ГОСТ 30515-2013 Цементы. Общие технические условия
ГОСТ 31108-2016 Цементы общестроительные. Технические условия
ГОСТ 32703-2014 Дороги автомобильные общего пользования. Щебень и гравий из горных пород. Технические требования
ГОСТ 32730-2014 Дороги автомобильные общего пользования. Песок дробленый. Технические требования
ГОСТ 32761-2014 Дороги автомобильные общего пользования. Порошок минеральный. Технические требования
ГОСТ 32824-2014 Дороги автомобильные общего пользования. Песок природный. Технические требования
ГОСТ 32826-2014 Дороги автомобильные общего пользования. Щебень и песок шлаковые. Технические требования
ГОСТ 33133-2014 Дороги автомобильные общего пользования. Битумы нефтяные дорожные вязкие. Технические требования
ГОСТ 33174-2014 Дороги автомобильные общего пользования. Цемент. Технические требования
ГОСТ Р 52128-2003 Эмульсии битумные дорожные. Технические условия
ГОСТ Р 55224-2012 Цементы для транспортного строительства. Технические условия
ГОСТ Р 58952.1-2020 Дороги автомобильные общего пользования. Эмульсии битумные дорожные. Технические требования
В настоящем документе применены следующие термины, определения, обозначения и сокращения:
3.1 агрегатный состав: Состав переработанного асфальтобетона по содержанию и крупности агрегатов (комков асфальтобетона).
3.2 асфальтобетонный лом: Куски асфальтобетона размером более толщины покрытия, полученные при разборке асфальтобетонных покрытий специализированной техникой.
3.3 асфальтогранулобетон (АГБ): Уплотненная асфальтогранулобетонная смесь.
3.4 асфальтогранулобетонная смесь (АГБС): смесь, получаемая смешением на дороге или в смесительных установках асфальтогранулята, вяжущего и при необходимости скелетного материала и минерального порошка (в том числе порошковых отходов производства). Содержание асфальтогранулята в смеси - не менее 60% от общей массы минеральной части.
3.5 гранулят старого асфальтобетона (асфальтобетонный гранулят, асфальтогранулят, АГ): Материал, получаемый путем холодного фрезерования асфальтобетонного покрытия.
3.6 комплексное вяжущее: Композиция из последовательно или одновременно вводимых в состав АГБС минерального и органического вяжущего.
3.7 скелетный материал: щебень (гравий), песок или их смесь, вводимые в состав АГБС для повышения физико-механических свойств АГБ.
3.8 холодная регенерация (ХР): Метод повторного использования материала асфальтобетонных покрытий и оснований, заключающийся в его измельчении (с захватом или без захвата части несвязного слоя основания) посредством холодного фрезерования, введении при необходимости вяжущего, воды и других добавок, перемешивании всех компонентов, распределении смеси и ее уплотнении.
4.1 В зависимости от конструктивного слоя дорожной одежды, в котором применяется АГБС, смеси подразделяются на смеси для оснований и смеси для покрытий автомобильных дорог.
4.2 В зависимости от используемого вяжущего АГБС подразделяют на следующие виды:
- с добавлением вязкого вспененного битума (АГБС-В);
- с комплексным вяжущим (битумная эмульсия в комплексе с минеральным вяжущим, АГБС-К).
4.3 В зависимости от номинального максимального размера зерен заполнителя АГБС подразделяют на следующие типы:
- смеси с номинальным максимальным размером зерен 31,5 мм (АГБС 32);
- смеси с номинальным максимальным размером зерен 22,4 мм (АГБС 22);
- смеси с номинальным максимальным размером зерен 16,0 мм (АГБС 16);
- смеси с номинальным максимальным размером зерен 11,2 мм (АГБС 11).
4.4 Примеры буквенно-цифрового обозначения АГБС:
- асфальтогранулобетонная смесь на основе вспененного битума с номинальным максимальным размером зерен 16,0 мм (АГБС 16-В-П);
- асфальтогранулобетонная смесь на основе комплексного вяжущего с номинальным максимальным размером зерен 31,5 мм (АГБС 32-К-О).
4.5 Изготовление АГБС осуществляют как в стационарных смесительных установках, так и смешением на дороге с помощью передвижных комплексов. Изготовление в стационарных и мобильных смесительных установках позволяет получить однородные АГБС стабильного качества. В свою очередь, использование передвижных комплексов позволит обеспечить в ряде случаев большую производительность при выполнении работ.
5.1.1 Щебень (гравий), входящие в состав АГБС, должны соответствовать требованиям ГОСТ 32703 и ГОСТ 32826.
Для приготовления АГБС используют щебень основных и широких фракций, а также смеси фракций.
5.1.2 Физико-механические характеристики щебня, предназначенного для приготовления АГБС должны соответствовать рекомендуемым в таблице 1.
|
Наименование показателя |
Значение показателя |
|
Марка по дробимости, не ниже | |
|
- щебня из изверженных и метаморфических горных пород, щебня из гравия и валунов, гравия |
800 |
|
- щебня из осадочных горных пород |
600 |
|
- шлакового щебня |
600 |
|
Марка по сопротивлению дроблению и износу, не ниже | |
|
- щебня из изверженных и метаморфических горных пород, щебня из гравия и валунов, гравия, щебня из осадочных горных пород |
И4 |
|
- шлакового щебня |
И4 |
|
Марка по морозостойкости для всех видов щебня и гравия, не ниже | |
|
- для дорожно-климатических зон I, II, III |
F100 |
|
- для дорожно-климатических зон IV, V |
F50 |
Марка щебня по содержанию зерен пластинчатой (лещадной) и игловатой формы должна быть не ниже Л 35.
5.1.3 Песок природный, входящий в состав АГБС, должен соответствовать требованиям ГОСТ 32824, дробленный песок - требованиям ГОСТ 32730, шлаковый песок - требованиям ГОСТ 32826.
5.1.4 Допускается применение щебеночно-гравийно-песчаных смесей по ПНСТ 327-2019 [1] при условии соответствия исходных материалов, входящих в их состав, рекомендациям, установленным п. 5.1.1 - 5.1.3.
5.1.4 Для приготовления АГБС при необходимости применяют минеральный порошок, соответствующий требованиям ГОСТ 32761.
5.1.5 В качестве органических вяжущих для приготовления АГБС применяют вспененные нефтяные дорожные вязкие битумы по ГОСТ 33133, а также битумные дорожные эмульсии.
5.1.6 При применении эмульгированных вяжущих предпочтительно использование битумных эмульсий классов ЭБК-3 по ГОСТ Р 52128 или эмульсии ЭБДК М по ГОСТ Р 58952.1-2020 для достижения более высокой однородности и лучшей удобоукладываемости АГБС. Возможность применения битумных эмульсий класса ЭБК-2 ГОСТ Р 52128 и эмульсии ЭБДК С по ГОСТ Р 58952.1-2020 должна быть подтверждена испытанием на совместимость битумной эмульсии и используемых минеральных материалов в соответствии с методикой, приведенной в Приложении А ПНСТ 306-2018 [2]. Быстрораспадающиеся эмульсии для приготовления АГБС не применяют. Рекомендуется применение эмульсий с содержанием битума не менее 60%.
5.1.7 Эмульсии, используемые для приготовления АГБС, должны выдерживать испытание на сцепление с используемым минеральным материалом по ГОСТ Р 52128.
5.1.8 В качестве активных добавок к органическим вяжущим применяют поверхностно-активные вещества (ПАВ) или продукты, содержащие ПАВ и соответствующие требованиям действующих нормативных документов.
5.1.9 В качестве минеральных активных добавок для приготовления АГБС применяют портландцемент и шлакопортландцемент по ГОСТ 31108, ГОСТ 30515, ГОСТ 33174 или ГОСТ Р 55224, золу-уноса по ГОСТ 25818, известь по ГОСТ 9179.
5.1.10 Вода для приготовления смесей и растворов активных добавок должна соответствовать требованиям ГОСТ 23732.
5.1.11 Использование конкретных нормативных документов, содержащих требования к свойствам исходных материалов для приготовления АГБС, регламентируется проектом и контрактом на выполнение работ.
5.2.1 Зерновой состав минеральной части АГБС проектируют и определяют на ситах с квадратными ячейками размерами: 0,063; 0,125; 2,0; 4,0; 8,0; 11,2; 16,0; 22,4; 31,5; 45,0 мм.
Зерновые составы минеральной части смесей должны соответствовать приведенным в таблице 2. Зерновой состав АГБС включает зерновой состав переработанного асфальтобетона, а также минерального вяжущего в случае его применения.
|
Номинальный максимальный размер зерен заполнителя |
Полные проходы, % масс., через сито с отверстием, мм | |||||||||
|
45,0 |
31,5 |
22,4 |
16,0 |
11,2 |
8,0 |
4,0 |
2,0 |
0,125 |
0,063 | |
|
31,5 |
100 |
90- 100 |
70-90 |
- |
- |
- |
30-55 |
20-40 |
5-15 |
2-12 |
|
22,4 |
- |
100 |
90- 100 |
70-90 |
- |
- |
30-55 |
20-40 |
5-15 |
2-12 |
|
16,0 |
- |
- |
100 |
90- 100 |
70-90 |
- |
40-70 |
30-60 |
5-20 |
4-15 |
|
11,2 |
- |
- |
- |
100 |
90- 100 |
70-90 |
40-70 |
30-60 |
5-20 |
4-15 |
5.2.2 Физико-механические показатели АГБ в зависимости от вида вяжущего и номинального максимального размера зерен заполнителя должны соответствовать указанным в таблицах 3, 4.
|
Наименование показателя |
Значение показателя для смесей | |
|
АГБС-К |
АГБС-В | |
|
Водонасыщение образцов, отобранных из конструктивного слоя, %, не более |
8,0 |
8,0 |
|
Водонасыщение образцов, отформованных из АГБС, %, не более |
8,0 |
8,0 |
|
Водостойкость, не менее |
0,60 |
0,60 |
|
Предел прочности на сжатие, МПа, при температуре, °С, не менее: | ||
|
20 |
1,2 |
1,0 |
|
50 |
0,8 |
0,6 |
|
Предел прочности при непрямом растяжении, МПа, не менее |
0,20 |
0,15 |
|
Однородность, не более |
0,30 |
0,30 |
|
Наименование показателя |
Значение показателя для смесей | |
|
АГБС-К |
АГБС-В | |
|
Водонасыщение образцов, отобранных из конструктивного слоя, %, не более |
6,0 |
6,0 |
|
Водонасыщение образцов, отформованных из АГБС, % |
6,0 |
6,0 |
|
Водостойкость, не менее |
0,65 |
0,65 |
|
Предел прочности на сжатие, МПа, при температуре, °С, не менее: | ||
|
20 |
1,5 |
1,3 |
|
50 |
1,1 |
0,9 |
|
Предел прочности при непрямом растяжении, МПа, не менее |
0,25 |
0,20 |
|
Однородность, не более |
0,25 |
0,25 |
5.2.3 АГБС в зависимости от значения суммарной удельной эффективной активности естественных радионуклидов Аэфф, определяемой по ГОСТ 30108, в применяемых материалах используют при:
- Аэфф до 740 Бк/кг - для строительства дорог без ограничений;
- Аэфф свыше 740 до 1500 Бк/кг - для строительства дорог вне населенных пунктов и зон перспективной застройки.
6.1 Подбор составов АГБС осуществляют в следующем порядке:
- определяют вид и тип АГБС, подбор которой необходимо осуществить;
- определяют номенклатуру планируемых к применению исходных материалов, в том числе АГ, скелетного материала, также планируемое к применению органическое вяжущее, минеральное вяжущее и добавки (в случае их применения);
- зерновой состав АГ определяется после экстрагирования (выжигания) вяжущего. Полученные значения зернового состава используются в расчетах зернового состава минеральной части АГБС при ее подборе. Вяжущее, содержащееся в АГ, учитывается в составе АГБС сверх 100% минеральной части с учетом фактического содержания АГ в АГБС;
- в случае, если планируется применение передвижных комплексов (ресайклеров), отбор АГ проводится в местах пробного фрезерования на участке укладки. Количество точек пробного фрезерования определяется по результатам отбора кернов и должно быть не менее двух для каждого характерного участка. Характерным участком считается участок с единой конструкцией дорожной одежды и толщиной конструктивных слоев, отличающейся не более чем на 20%. Для каждого характерного участка должна быть проведена корректировка состава АГБС с учетом фактического зернового состава АГ.
- испытывают планируемые к применению исходные материалы, в том числе компоненты скелетного материала, а также планируемое к применению органическое вяжущее, минеральное вяжущее и добавки;
- выполняют подбор состава минеральной части АГБС, обеспечивая его соответствие рекомендациям п. 5.2.1;
- при подборе состава на основе битумной эмульсии определяют совместимость битумной эмульсии и используемых минеральных материалов в соответствии с методикой, приведенной в Приложении А ПНСТ 306-2018 [2]. Эмульсию считают пригодной к использованию в случае получения положительного результата при испытаниях по данной методике. В случае получения отрицательного результата, меняют образец эмульсии. При получении отрицательного результата для среднераспадающейся эмульсии ее заменяют медденнораспадающейся эмульсией;
- содержание минерального вяжущего (цемента) назначают в диапазоне от 2% до 4% в 100% минеральной части;
- содержание извести или золы уноса в качестве добавки и/или компонента комплексного вяжущего рекомендуется определять путем подбора, приняв в качестве пределов количество извести от 1,5% до 3% и золы уноса от 3% до 5% в 100% минеральной части;
- необходимость введения и количество добавляемой воды определяют исходя из получения смеси с необходимыми технологическими свойствами. АГБС должна быть равномерно увлажненная, потемневшая, без блеска и при изготовлении образцов не должно происходить интенсивного выделения воды;
- содержание органического вяжущего (битумной эмульсии, вязкого вспененного битума) в составе АГБС назначают в диапазоне от 2% до 4% сверх 100% минеральной части в пересчете на битумное вяжущее без учета битума, содержащегося в применяемом АГ;
- для определения оптимального количества органического вяжущего изготавливают не менее трех смесей, отличающихся процентным содержанием органического вяжущего. Для этого компоненты: минеральную часть, цемент, воду и битумное вяжущее перемешивают в лабораторной смесительной установке. Первоначально на смесь минеральных материалов и АГ подается определенное количество портландцемента, выполняется сухое перемешивание, затем вводится органическое вяжущее, после чего при необходимости добавляют воду, затем все компоненты смеси окончательно перемешиваются до получения однородной консистенции;
- образцы для определения физико-механических свойств АГБ изготавливают в соответствии с п. 7.2.2. Время изготовления образцов с минеральным вяжущим не должно быть больше времени его схватывания;
6.2 Выполняют испытания образцов и оценивают соответствие полученных физико-механических характеристик рекомендациям п. 5.2.1, а также влияние содержания компонентов АГБС на свойства АГБ. По результатам испытаний образцов окончательно определяют количественное содержание органического вяжущего, обеспечивающее оптимальные физико-механические характеристики.
По окончании процедуры подбора состав АГБС результаты оформляют, утверждают и используют для выпуска.
7.1.1 Входной контроль применяемых материалов
Материалы, входящие в состав АГБС, должны отвечать рекомендациям настоящего ОДМ и требованиям нормативных документов, указанных в таблице 4.
|
Наименование материала |
Нормативный документ |
|
Щебень |
ГОСТ 32703-2014, ГОСТ 32826-2014, настоящий ОДМ |
|
Щебень и песок шлаковые |
ГОСТ 32826-2014, настоящий ОДМ |
|
Песок природный |
ГОСТ 32824-2014, настоящий ОДМ |
|
Песок из отсевов дробления |
ГОСТ 32730-2014, настоящий ОДМ |
|
Цемент |
ГОСТ 31108-2016, ГОСТ 30515-2013, ГОСТ 33174-2014, ГОСТ Р 55224-2012 |
|
Минеральный порошок |
ГОСТ 32761-2014 |
|
Битумы нефтяные дорожные вязкие |
ГОСТ 33133-2014 |
|
Битумы нефтяные дорожные жидкие |
ГОСТ 11955-82 |
|
Эмульсии битумные дорожные |
ГОСТ Р 52128-2003, ГОСТ Р 58952.1-2020 |
|
Вода |
ГОСТ 23732-2011 |
7.1.2 При операционном контроле производства АГСБ проверяют:
- не реже одного раза в смену точность дозирования минеральных компонентов с учетом влажности исходных материалов и технологический режим приготовления АГБС;
- не реже одного раза в 10 смен точность дозирования органических и минеральных вяжущих.
Готовую смесь подвергают испытаниям на соответствие рекомендациям настоящего ОДМ.
7.2.1 Методы определения показателей АГБС и АГБ приведены в таблице 5.
|
Наименование показателя |
Метод испытания |
|
Влажность и количество органического вяжущего |
Приложение Б ПНСТ 306-2018 |
|
Гранулометрический состав АГБС |
Определяют на ситах с ячейками 0,063; 0,125; 2,0; 4,0; 8,0; 11,2; 16,0; 22,4; 31,5; 45,0 мм по ГОСТ 33029 для АГБС до подачи битумной эмульсии и воды или после выжигания (экстрагирования) вяжущего |
|
Объемная плотность |
Приложение В ПНСТ 306-2018 |
|
Водонасыщение |
Приложение Г ПНСТ 306-2018 |
|
Предел прочности при сжатии |
Приложение А |
|
Предел прочности при непрямом растяжении |
Приложение Д ПНСТ 306-2018 |
|
Водостойкость |
Приложение Д ПНСТ 306-2018 |
|
Однородность по показателю водонасыщения |
Приложение Б |
|
Набухание |
Приложение Г ПНСТ 306-2018 |
|
Совместимость битумной эмульсии и используемых минеральных материалов |
Приложение А ПНСТ 306-2018 |
Зерновой состав смеси определяют с использованием пробы, отобранной в процессе производства. Рекомендуется проводить отбор пробы до подачи органического вяжущего и воды. Перед определением зернового состава вяжущее, содержащееся в АГ в составе АГБС, должно быть удалено.
7.2.2 Методы изготовления образцов в лаборатории
Показатели водонасыщение, водостойкость, предел прочности при непрямом растяжении определяют на образцах, изготовленных в соответствии с приложением Ж ПНСТ 306-2018 [2]. Предел прочности при сжатии определяют на образцах цилиндрической формы, изготовленных в соответствии с Приложением В. При испытаниях смеси с номинальным максимальным размером зерен 31,5 и 22,4 мм используют образцы диаметром 101 мм, смеси с номинальным максимальным размером зерен 16 и 11,2 мм - диаметром 71,4 мм. Образцы для определения физико-механических свойств смесей изготовляют путем уплотнения смесей, приготовленных в лабораторных условиях, а также из проб смесей, отобранных на смесительных установках или на участке проведения работ, до укладки в конструктивный слой дорожной одежды.
Изготовленные лабораторные образцы хранят на воздухе при температуре (22±3) °С. Испытания лабораторных образцов смесей выполняют не ранее чем через 3 суток с момента изготовления после высушивания до постоянной массы при температуре (40±5)°С.
7.3.1 Приемку АГБС проводят партиями. Партией считают количество смеси одного вида, типа и состава, выпускаемое на одной смесительной установке в течение смены, но не более 2000 т. В случае применения передвижных комплексов (ресайклеров) партией считают количество смеси одного вида, типа и состава, полученное с применением одного передвижного комплекса в течение смены.
Для проверки соответствия качества АГБС и АГБ рекомендациям настоящего ОДМ проводят приемо-сдаточные и периодические испытания.
7.3.2 При приемо-сдаточных испытаниях АГБС определяют:
- гранулометрический состав АГБС 32 на ситах 31,5; 22,4 и 4 мм;
- гранулометрический состав АГБС 22 на ситах 22,4; 16,0 и 4 мм;
- гранулометрический состав АГБС 16 на ситах 16,0; 11,2 и 4 мм;
- гранулометрический состав АГБС 11 на ситах 11,2; 8 и 4 мм;
- количество органического вяжущего.
Допустимые отклонения гранулометрического состава и количества вяжущего от рецепта АГБС приведены в таблице 6.
|
Наименование показателя |
Предельно допустимое отклонение для типа смеси | |||
|
АГБС 32 |
АГБС 22 |
АГБС 16 |
АГБС 11 | |
|
Количество вяжущего, % по массе сверх 100% минеральной части |
±0,5 |
±0,5 |
±0,5 |
±0,5 |
|
Проход через сито 31,5 мм, % по массе |
±5,0 |
- |
- |
- |
|
Проход через сито 22,4 мм, % по массе |
±5,0 |
±5,0 |
- |
- |
|
Проход через сито 16,0 мм, % по массе |
- |
±5,0 |
±5,0 |
- |
|
Проход через сито 11,2 мм, % по массе |
- |
- |
±5,0 |
±5,0 |
|
Проход через сито 8,0 мм, % по массе |
- |
- |
- |
±5,0 |
|
Проход через сито 4 мм, % по массе |
±6,0 |
±6,0 |
±6,0 |
±6,0 |
7.3.3 Периодические испытания АГБ осуществляют не реже одного раза в 15 смен или на каждые 30000 т, а также при каждом изменении свойств минеральных материалов (щебня, песка), марки минерального порошка и марки битумного вяжущего, используемых для приготовления смеси. При периодических испытаниях АГБ определяют:
- водонасыщение образцов, отформованных из АГБС;
- предел прочности при сжатии при 20°С;
- предел прочности при сжатии при 50°С.
- водостойкость;
- предел прочности при непрямом растяжении;
- однородность по показателю водонасыщение образцов, отформованных из АГБС.
Удельную эффективную активность естественных радионуклидов принимают по максимальному значению удельной эффективной активности естественных радионуклидов в применяемых минеральных материалах.
При выявлении несоответствия показателей свойств АГБС и АГБ рекомендациям проверяют характеристики всех исходных компонентов, состав смеси, технологический процесс ее приготовления и производят корректировку состава смеси или вводят изменения в технологический процесс.
7.4.1 При входном контроле качества АГБС при устройстве конструктивного слоя контролируют:
- не реже одного раза в смену, а также при выпадении осадков влажность (содержание воды) в смеси;
- визуально однородность смеси в каждом автомобиле.
7.4.2 При операционном контроле качества работ по устройству конструктивного слоя из АГБС следует контролировать не реже чем через каждые 100 м:
- высотные отметки;
- ширину;
- толщину слоя неуплотненного материала;
- поперечный уклон;
7.4.3 Геометрические размеры основания из АГБС в процессе сооружения должны постоянно соответствовать рабочей разбивке. Отклонение слоя по ширине, толщине, искажения продольного и поперечного профиля должны устраняться сразу на рабочей захватке.
7.4.4 Состав контроля и допускаемые отклонения при производственном контроле приведены в приложении Ж ОДМ 218.3.084-2020 [3]. Операционный контроль выполняется производителями работ при участии лабораторной и геодезической служб.
7.4.5 При контроле качества уплотнения в процессе устройства конструктивного слоя из него отбирают вырубки (керны). Отбор образцов выполняют не ранее чем через 3 суток с момента завершения укладки. Испытания проводят после высушивания образцов до постоянной массы при температуре (40±5)°С.
Вырубки (керны) отбирают не менее чем в трех точках, равномерно распределенных по длине и ширине участка площадью 10000 м2, расположенных на расстоянии не менее 0,5 м от края укладываемого слоя или оси дороги. В каждой точке отбирают не менее двух вырубок (кернов). При необходимости допускается увеличивать число точек, а также число вырубок (кернов) в каждой точке. Качество уплотнения смесей определяют по значению параметра водонасыщения образцов, отобранных из конструктивного слоя.
7.4.7 Результаты приемочного контроля оформляются актом приемки выполненных работ с соответствующими приложениями (ведомость контрольных измерений, исполнительная геодезическая схема, результаты лабораторных испытаний применяемых материалов и другие необходимые документы о качестве продукции).
7.4.8 Схема производственного контроля качества устройства оснований и покрытий дорожных одежд приведена в Приложении Е ОДМ 218.3.084-2020 [3].
8.1 Транспортирование и хранение АГБС осуществляют в соответствии с ПНСТ 306-2018 [2]. АГБС, приготавливаемые в стационарных и мобильных установках, транспортируют к месту укладки автомобильным транспортом.
8.2 При транспортировании и хранении АГБС, имеющих в составе воду, необходимо не допускать их пересыхания или переувлажнения.
9.1 Использования АГБС при устройстве конструктивных слоев дорожных одежд осуществляется в соответствии с ОДМ 218.3.084-2020 [3].
Приложение А
Сущность метода заключается в определении нагрузки, необходимой для разрушения образца при заданных условиях.
Прессы механические или гидравлические с максимальной нагрузкой не менее 50 кН и силоизмерителем, обеспечивающим погрешность не более 2% измеряемой нагрузки.
Термометр для определения температуры, включающий в себя интервал измерений от 18°С до 52°С, с ценой деления шкалы 1°С.
Сосуды для термостатирования образцов вместимостью от 3 до 8 л (в зависимости от размера и количества образцов).
Для испытания готовят образцы в соответствии с Приложением В. Перед испытанием образцы термостатируют при заданной температуре: (50±2)°С, (20±2)°С.
Предел прочности при сжатии образцов определяют на прессах при скорости движения плиты пресса (3,0±0,3) мм/мин.
Образец, извлеченный из сосуда для термостатирования, устанавливают в центре нижней плиты пресса, затем опускают верхнюю плиту и останавливают ее выше уровня поверхности образца на 1,5-2 мм. Это же может быть достигнуто соответствующим подъемом нижней плиты пресса. После этого включают электродвигатель пресса и начинают нагружать образец. Для повышения точности определения предела прочности при сжатии рекомендуется использовать шарнирное устройство (рисунок 1), состоящее из шарика 1 и двух металлических пластин 2, которое устанавливают на верхний торец образца 4, накрытый прокладкой из бумаги 3.

Рисунок 1 - Шарнирное устройство
Шарнирное устройство обеспечивает равномерное распределение нагрузки по всей площади торца образца в случае непараллельности оснований образца.
Максимальное показание силоизмерителя принимают за разрушающую нагрузку.
Предел прочности при сжатии Rсж, МПа, вычисляют по формуле
, (1)
где:
Р - разрушающая нагрузка, Н;
F - первоначальная площадь поперечного сечения образца, см2;
10-2 - коэффициент пересчета в МПа.
За результат определения принимают округленное до первого десятичного знака среднеарифметическое значение испытаний трех образцов.
Приложение Б
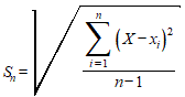
Сущность метода заключается в статистической обработке значений показателей свойств смеси в выборке из лабораторного журнала или протоколов испытаний и оценке ее однородности по коэффициенту вариации показателя водонасыщения.
Объем выборки должен составлять не менее 15-20 определений и назначаться по числу испытанных проб смеси за период между периодическими испытаниями. Коэффициент вариации CV является мерой отклонения опытных данных от среднего выборочного значения, выраженной в долях единицы или в процентах, и вычисляется по формуле
, (1)
где:
Sn - среднеквадратическое отклонение показателя свойств смеси;
X - среднее значение показателя свойств смеси в объеме выборки.
Среднее значение показателя вычисляют как среднеарифметическое из частных значений, образующих выборку, по формуле
, (2)
где:
xi - частное значение показателя свойств в i-той пробе;
n - количество испытанных проб (объем выборки).
Среднеквадратическое отклонение вычисляют по формуле
. (3)
Приложение В
Образцы цилиндрической формы для определения физико-механических свойств смесей изготовляют путем уплотнения смесей, приготовленных в лабораторных условиях, а также из проб смесей, отобранных на смесительных установках или на участке проведения работ, до укладки в конструктивный слой дорожной одежды.
Образцы формуют на механическом или гидравлическом прессе с максимальной нагрузкой не менее 500 кН с силоизмерителем, обеспечивающими погрешность не более 2% измеряемой нагрузки.
Температура смеси для изготовления образцов должна соответствовать температуре смеси при укладке, но не ниже 20°С.
При уплотнении должно быть обеспечено двустороннее приложение нагрузки, что достигается передачей давления на уплотняемую смесь через два вкладыша, свободно передвигающихся в форме навстречу друг другу.
Образцы диаметром 101 мм готовят для смесей с номинальным максимальным размером зерен 31,5 и 22,4 мм, диаметром 71,4 мм для смесей с номинальным максимальным размером зерен 16 и 11,2 мм.
Изготовляют пробный образец. Форму со вставленным нижним вкладышем наполняют ориентировочным количеством смеси в соответствии с таблицей 1.
Таблица 1
|
Размеры образца, мм |
Ориентировочное количество смеси на образец, г | |
|
диаметр |
высота | |
|
71,4 |
71,4±1,5 |
640-670 |
|
101,0 |
101,0±2,0 |
1900-2000 |
Смесь равномерно распределяют в форме штыкованием ножом или шпателем, вставляют верхний вкладыш и, прижимая им смесь, устанавливают форму со смесью на нижнюю плиту пресса для уплотнения, при этом нижний вкладыш должен выступать из формы на 1,5-2,0 см.
Верхнюю плиту пресса доводят до соприкосновения с верхним вкладышем и включают электродвигатель пресса.
Давление на уплотняемую смесь доводят до 7 МПа в течение 5-10 с, через (3,0±0,1) мин нагрузку снимают, а образец извлекают из формы выжимным приспособлением и измеряют его высоту штангенциркулем по ГОСТ 166 с погрешностью 0,1 мм.
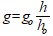
Если высота образца не соответствует приведенной в таблице 1, то требуемую массу смеси для формования образца g, г, рассчитывают по формуле
, (1)
где:
go - масса пробного образца, г;
h - требуемая высота образца, мм;
ho - высота пробного образца, мм.
Образцы с дефектами кромок и непараллельностью верхнего и нижнего оснований бракуют.
Библиография
|
[1] ПНСТ 327-2019 |
Дороги автомобильные общего пользования. Смеси щебеночно-гравийно-песчаные. Технические условия |
|
[2] ПНСТ 306-2018 |
Дороги автомобильные общего пользования. Смеси органоминеральные холодные с использованием переработанного асфальтобетона (РАП). Технические условия |
|
[3] ОДМ 218.3.084-2020 |
Рекомендации по приготовлению и применению органоминеральных смесей при устройстве конструктивных слоев дорожных одежд капитального и облегченного типов |


