Распоряжение от 25.03.2020 г. № АК-60-р ОБ УТВЕРЖДЕНИИ МЕТОДИКИ ОЦЕНКИ И РАНЖИРОВАНИЯ ЛОКАЛЬНЫХ ПРОЕКТОВ В ЦЕЛЯХ РЕАЛИЗАЦИИ МЕРОПРИЯТИЯ "ВНЕДРЕНИЕ ИНТЕЛЛЕКТУАЛЬНЫХ ТРАНСПОРТНЫХ СИСТЕМ, ПРЕДУСМАТРИВАЮЩИХ АВТОМАТИЗАЦИЮ ПРОЦЕССОВ УПРАВЛЕНИЯ
МИНИСТЕРСТВО ТРАНСПОРТА РОССИЙСКОЙ ФЕДЕРАЦИИ
РАСПОРЯЖЕНИЕ
от 25 марта 2020 г. N АК-60-р
ОБ УТВЕРЖДЕНИИ МЕТОДИКИ ОЦЕНКИ И РАНЖИРОВАНИЯ ЛОКАЛЬНЫХ ПРОЕКТОВ В ЦЕЛЯХ РЕАЛИЗАЦИИ МЕРОПРИЯТИЯ "ВНЕДРЕНИЕ ИНТЕЛЛЕКТУАЛЬНЫХ ТРАНСПОРТНЫХ СИСТЕМ, ПРЕДУСМАТРИВАЮЩИХ АВТОМАТИЗАЦИЮ ПРОЦЕССОВ УПРАВЛЕНИЯ ДОРОЖНЫМ ДВИЖЕНИЕМ В ГОРОДСКИХ АГЛОМЕРАЦИЯХ, ВКЛЮЧАЮЩИХ ГОРОДА С НАСЕЛЕНИЕМ СВЫШЕ 300 ТЫСЯЧ ЧЕЛОВЕК" В РАМКАХ ФЕДЕРАЛЬНОГО ПРОЕКТА "ОБЩЕСИСТЕМНЫЕ МЕРЫ РАЗВИТИЯ ДОРОЖНОГО ХОЗЯЙСТВА" НАЦИОНАЛЬНОГО ПРОЕКТА "БЕЗОПАСНЫЕ И КАЧЕСТВЕННЫЕ АВТОМОБИЛЬНЫЕ ДОРОГИ"
В соответствии с пунктом 8 Правил предоставления и распределения в 2020 - 2024 годах иных межбюджетных трансфертов субъектам Российской Федерации в целях внедрения интеллектуальных транспортных систем, предусматривающих автоматизацию процессов управления дорожным движением в городских агломерациях, включающих города с населением свыше 300 тысяч человек" в рамках федерального проекта "Общесистемные меры развития дорожного хозяйства" государственной программы Российской Федерации "Развитие транспортной системы", утвержденных постановлением Правительства Российской Федерации от 21.12.2019 N 1762, утвердить прилагаемую Методику оценки и ранжирования локальных проектов в целях реализации мероприятия "Внедрение интеллектуальных транспортных систем, предусматривающих автоматизацию процессов управления дорожным движением в городских агломерациях, включающих города с населением свыше 300 тысяч человек" в рамках федерального проекта "Общесистемные меры развития дорожного хозяйства" национального проекта "Безопасные и качественные автомобильные дороги".
Заместитель
Министра транспорта
Российской Федерации -
руководитель Федерального
дорожного агентства
А.А.КОСТЮК
Утверждено
распоряжением Минтранса России
от 25 марта 2020 г. N АК-60-р
МЕТОДИКА ОЦЕНКИ И РАНЖИРОВАНИЯ ЛОКАЛЬНЫХ ПРОЕКТОВ В ЦЕЛЯХ РЕАЛИЗАЦИИ МЕРОПРИЯТИЯ "ВНЕДРЕНИЕ ИНТЕЛЛЕКТУАЛЬНЫХ ТРАНСПОРТНЫХ СИСТЕМ, ПРЕДУСМАТРИВАЮЩИХ АВТОМАТИЗАЦИЮ ПРОЦЕССОВ УПРАВЛЕНИЯ ДОРОЖНЫМ ДВИЖЕНИЕМ В ГОРОДСКИХ АГЛОМЕРАЦИЯХ, ВКЛЮЧАЮЩИХ ГОРОДА С НАСЕЛЕНИЕМ СВЫШЕ 300 ТЫСЯЧ ЧЕЛОВЕК" В РАМКАХ ФЕДЕРАЛЬНОГО ПРОЕКТА "ОБЩЕСИСТЕМНЫЕ МЕРЫ РАЗВИТИЯ ДОРОЖНОГО ХОЗЯЙСТВА" НАЦИОНАЛЬНОГО ПРОЕКТА "БЕЗОПАСНЫЕ И КАЧЕСТВЕННЫЕ АВТОМОБИЛЬНЫЕ ДОРОГИ"
I. Общие положения
1.1. Настоящая методика устанавливает порядок оценки и ранжирования локальных проектов по созданию (модернизации) интеллектуальных транспортных систем в целях реализации мероприятия "Внедрение интеллектуальных транспортных систем, предусматривающих автоматизацию процессов управления дорожным движением в городских агломерациях, включающих города с населением свыше 300 тысяч человек" в рамках федерального проекта "Общесистемные меры развития дорожного хозяйства" национального проекта "Безопасные и качественные автомобильные дороги" (далее - Методика, локальный проект).
1.2. Методика устанавливает:
требования к локальным проектам;
перечень документов, представляемых в составе заявки на предоставление иных межбюджетных трансфертов;
критерии оценки;
порядок расчета интегральной оценки локального проекта;
порядок оценки и ранжирования локальных проектов на основе анализа интегральных оценок локальных проектов;
образец заявки на предоставление иных межбюджетных трансфертов;
форму паспорта локального проекта;
рекомендации по заполнению пояснительной записки;
форму финансово-экономического обоснования.
II. Требования к локальным проектам
2.1. К оценке допускаются локальные проекты, соответствующие следующим требованиям:
2.1.1. В состав субъекта Российской Федерации, представившего заявку на предоставление иных межбюджетных трансфертов, входит городская агломерация, отвечающая требованиям, установленным в Правилах предоставления и распределения в 2020 - 2024 годах иных межбюджетных трансфертов субъектам Российской Федерации в целях внедрения интеллектуальных транспортных систем, предусматривающих автоматизацию процессов управления дорожным движением в городских агломерациях, включающих города с населением свыше 300 тысяч человек" в рамках федерального проекта "Общесистемные меры развития дорожного хозяйства" государственной программы Российской Федерации "Развитие транспортной системы", утвержденных постановлением Правительства Российской Федерации от 21.12.2019 N 1762 "Об утверждении Правил предоставления и распределения в 2020 - 2024 годах иных межбюджетных трансфертов субъектам Российской Федерации в целях внедрения интеллектуальных транспортных систем, предусматривающих автоматизацию процессов управления дорожным движением в городских агломерациях, включающих города с населением свыше 300 тысяч человек" в рамках федерального проекта "Общесистемные меры развития дорожного хозяйства" государственной программы Российской Федерации "Развитие транспортной системы (далее - Правила).
2.1.2. Размер заявки на предоставление иных межбюджетных трансфертов не превышает максимальный размер иных межбюджетных трансфертов, предоставляемый бюджету субъекта Российской Федерации, исходя из численности жителей города, образующего городскую агломерацию по состоянию на 31.12.2017, в соответствии с распределением, указанным в Правилах.
2.1.3. Локальный проект соответствует архитектуре и техническим требованиям, описанным в приложениях N 5 и N 6 к настоящей Методике.
2.1.4. Паспорт локального проекта соответствует форме, приведенной в приложении N 2 к настоящей Методике, техническим требованиям, указанным в приложении N 6 к настоящей Методике. Локальный проект обеспечивает организационно-техническую, финансовую, бюджетную и социально-экономическую эффективность.
III. Перечень документов, представляемых в составе заявки на предоставление иных межбюджетных трансфертов.
3.1. Субъект Российской Федерации, выступающий инициатором локального проекта (далее - инициатор проекта), представляет в Федеральное дорожное агентство заявку на предоставление иных межбюджетных трансфертов, оформленную в соответствии с образцом, приведенным в приложении N 7 к настоящей Методике (далее - заявка) <1>:
--------------------------------
<1> В том случае, если на территории одного инициатора проекта имеется более одной городской агломерации, соответствующие требованиям, установленным Правилами, инициатор проекта по своему усмотрению может предоставить заявки в отношении каждой такой городской агломерации отдельно.
3.2. К заявке прилагаются подготовленные в соответствии с установленными Методикой требованиями следующие документы:
3.2.1. Пояснительная записка в отношении локального проекта, рекомендации по заполнению которой приведены в приложении N 1 к настоящей Методике, содержащая:
3.2.1.1. Показатели, характеризующие уровень проблематики организации дорожного движения:
показатели, характеризующие уровень выполнения работ по мониторингу дорожного движения;
показатели, характеризующие уровень обеспечения безопасности дорожного движения.
3.2.1.2 Показатели, характеризующие уровень готовности городской агломерации к внедрению (развитию) интеллектуальных транспортных систем (далее - ИТС):
показатели, характеризующие уровень транспортного планирования в городской агломерации;
показатели, характеризующие администрирование организации дорожного движения в городской агломерации;
показатели, характеризующие степень обоснованности внедрения (развития) ИТС городской агломерации;
показатели, характеризующие уровень развития ИТС в городской агломерации;
показатели, характеризующие ресурсное обеспечение инженерных систем ИТС в городской агломерации;
показатели, характеризующие финансовое обеспечение внедрения ИТС в городской агломерации;
показатели, характеризующие уровень квалификации и количественную достаточность сотрудников и специалистов, обеспечивающих подготовку и реализацию локального проекта.
3.2.1.3. Показатели, характеризующие уровень социально-экономической, финансовой и бюджетной эффективности от реализации локального проекта.
3.2.1.4. Информацию об основном векторе развития транспортного комплекса инициатора проекта.
3.2.1.5. Информацию о финансировании локального проекта.
3.2.1.6. Информацию об основных показателях локального проекта.
3.2.1.7. Информацию об основных потоках бюджетных средств в локальном проекте.
3.2.1.8. Сведения об интегральной оценке локального проекта.
3.3. Расчет критериев оценки заявки, выполненный согласно порядку оценки заявок, приведенному в разделе V настоящей Методики.
3.4. Паспорт локального проекта, составленный по форме приложения N 2 к настоящей Методике (далее - паспорт проекта).
3.5. Описание потенциальных ограничений для успешной реализации локального проекта.
3.6. Эскизный или технический проект, соответствующий требованиям ГОСТ 34.201-89 "Информационная технология. Комплекс стандартов на автоматизированные системы. Виды, комплектность и обозначение документов при создании автоматизированных систем".
3.7. Копия заключения независимого технического консультанта в отношении технических исходных данных локального проекта и проектной документации (эскизного или технического проекта, соответствующего ГОСТ 34.201-89), соответствующего следующим требованиям:
3.7.1. В заключении отражается следующее:
3.7.1.1. Подтверждение соответствия технической архитектуры локального проекта архитектуре, приведенной в приложении N 5 к настоящей Методике.
3.7.1.2. Подтверждение соответствия локального проекта техническим требованиям, приведенным в приложении N 6 к настоящей Методике.
3.7.1.3. Подтверждение корректности показателей, характеризующих уровень организации дорожного движения в городской агломерации. Анализ основных параметров дорожного движения осуществляется путем сопоставления данных мониторинга дорожного движения с допустимыми и критическими значениями параметров дорожного движения. Допускается проводить анализ на основе: транспортной модели, программы комплексного развития транспортной инфраструктуры городской агломерации (муниципальных образований в составе городской агломерации), комплексной схемы организации дорожного движения.
3.7.1.4. Подтверждение корректности показателей, характеризующих уровень транспортного планирования: анализ программы комплексного развития транспортной инфраструктуры городской агломерации (муниципальных образований в составе городской агломерации), анализ комплексной схемы организации дорожного движения, анализ комплексной схемы организации транспортного обслуживания, анализ проекта организации дорожного движения.
3.7.1.5. Подтверждение корректности показателей, характеризующих администрирование организации дорожного движения в городской агломерации. Анализ данных об органах исполнительной власти инициатора проекта, наделенных полномочиями по мониторингу и управлению дорожным движением, распорядительных и нормативных актах, регламентирующих работу этих органов: анализ перечня специализированных организаций, анализ региональных органов контроля в сфере организации дорожного движения, анализ регламентов межведомственного взаимодействия в сферах организации дорожного движения, баз данных ИТС
3.7.1.6. Подтверждение корректности показателей, характеризующих степень обоснованности внедрения (развития) ИТС городской агломерации: анализ планов мероприятий по реализации локальных проектов.
3.7.1.7. Подтверждение корректности показателей, характеризующих уровень развития ИТС: анализ доменной архитектуры, анализ физической архитектуры, анализ функциональной архитектуры, анализ матрицы индикаторов эффективности локальных проектов.
3.7.1.8. Подтверждение корректности показателей, характеризующих ресурсное обеспечение инженерных систем ИТС (наличие Центра обработки данных, Центра организации дорожного движения, сетей передачи данных): анализ организационной архитектуры.
3.7.1.9. Подтверждение корректности показателей, характеризующих уровень квалификации и количественную достаточность работников и специалистов, обеспечивающих подготовку и реализацию локального проекта: анализ персонала (количество сотрудников, фактический показатель квалификации).
3.7.1.10. Подтверждение технической реализуемости локального проекта; обоснование, что применяемые для реализации локального проекта оборудование, технические и программные средства соотносятся с целями локального проекта, являются интегрируемыми с эксплуатируемыми на территории городской агломерации техническими и программными средствами.
3.7.1.11. Подтверждение соответствия, заявленного в локальном проекте уровня эксплуатационных затрат на этапе эксплуатации после внедрения ИТС.
3.7.2. Заключение готовится техническим консультантом, соответствующим следующим требованиям:
технический консультант имеет опыт работы в течение 5 предшествующих лет по реализации проектов в области ИТС, подтверждаемый наличием соответствующих контрактов объемом не менее 50 млн рублей;
технический консультант является организацией и имеет в штате специалистов с высшим техническим образованием в области организации дорожного движения, безопасности дорожного движения или с ученой степенью по специальностям 05.22.01, 05.22.08.
3.7.3. Финансовая модель, которая позволяет прогнозировать финансовые потоки локального проекта, рассчитывать показатели экономической деятельности и финансовой эффективности, а также оценивать их зависимость от исходных данных, соответствующая требованиям в приложении N 4 к настоящей Методике <2>.
--------------------------------
<2> Предоставляется в обязательном порядке для локальных проектов, реализуемых на условиях государственно-частного партнерства.
3.7.4. В копии заключения финансового консультанта в отношении финансовой модели <3>, отражается следующее:
--------------------------------
<3> Предоставляется в обязательном порядке для локальных проектов, реализуемых на условиях государственно-частного партнерства.
3.7.4.1. Соответствие финансовой модели требованиям, указанным в приложений N 4 к настоящей Методике.
3.7.4.2. Достаточность информации в финансовой модели для расчета показателей эффективности и корректность расчетов показателей эффективности.
3.7.4.3. Корректность построения финансовой модели с точки зрения достоверности, полноты и точности результатов моделирования.
3.7.4.4. Возможность на основании используемых в финансовой модели методов расчета подготовить прогнозные формы отчета о движении денежных средств, отчета о прибылях и убытках, бухгалтерский баланс и осуществить расчет показателей эффективности, в том числе исходя из ряда операционных, финансовых и экономических допущений, установленных в финансовой модели.
3.7.4.5. Соответствие ключевых допущений и вводных данных в финансовой модели данным, содержащимся в книге допущений, оформленной в соответствии с требованиями, указанными в приложении N 4 к настоящей Методике.
3.7.4.6. Соответствие финансовой модели действующему законодательству Российской Федерации;
3.7.4.7. Подтверждение корректности показателей, характеризующих финансовое обеспечение внедрения ИТС: анализ возможности привлечения средств из бюджета субъекта Российской Федерации, анализ возможности привлечения внебюджетного финансирования, анализ наличия средств на содержание ИТС.
3.8. Заключение готовится финансовым консультантом, соответствующим критериям к уполномоченному финансовому консультанту, установленным постановлением Правительства Российской Федерации от 14.12.2010 N 1016 "Об утверждении Правил отбора инвестиционных проектов и принципалов для предоставления государственных гарантий Российской Федерации по кредитам либо облигационным займам, привлекаемым на осуществление инвестиционных проектов".
3.9. Финансово-экономическое обоснование, соответствующее приложению N 8 к настоящей Методике.
3.10. Иные документы, подтверждающие соответствие локального проекта критериям, установленным настоящей Методикой.
3.11. Документы, предусмотренные подпунктами 3.2.1 - 3.7.3 и 3.9 - 3.10 настоящей Методики, представляются в Федеральное дорожное агентство в двух экземплярах на бумажном носителе и в двух экземплярах на электронном носителе.
3.12. Документы, предусмотренные подпунктом 3.7.4 настоящей Методики, предоставляются в двух экземплярах в электронном виде на дисках CD-ROM, DVD-ROM или blue-ray с нанесенным именем файла на обложке дисков и на самих дисках (не допускается использование перезаписываемых носителей (CD-RW, DVD-RW и т.п. (далее - электронный вид).
3.13. Документы, предусмотренные подпунктами 3.2.1 - 3.7.3 и 3.9 - 3.10 настоящей Методики, должны быть прошиты (каждый отдельно), подписаны (заверены) уполномоченным должностным лицом высшего исполнительного органа государственной власти инициатора проекта, подпись которого должна быть скреплена печатью высшего исполнительного органа государственной власти инициатора проекта.
3.14. Ответственность за достоверность предоставленных в составе заявки информации и документов несет уполномоченное должностное лицо высшего исполнительного органа государственной власти инициатора проекта.
IV. Критерии оценки
4.1. Оценка локальных проектов осуществляется в соответствии со следующими критериями:
обеспечение организационно-технической эффективности локального проекта;
обеспечение финансовой эффективности локального проекта;
обеспечение бюджетной эффективности локального проекта;
обеспечение социально-экономической эффективности локального проекта.
V. Порядок расчета интегральной оценки локального проекта
5.1. Оценка заявок осуществляется инициатором проекта в соответствии с критериями оценки проектов, приведенными в разделе IV настоящей Методики, путем интегральной оценки.
5.2. Для целей настоящей Методики интегральная оценка - взвешенная сумма значений каждого критерия оценки локального проекта с учетом весовых коэффициентов критериев оценки (далее - интегральная оценка), рассчитываемая на основе значений баллов по критериям оценки.
5.3. При проведении интегральной оценки используются значения баллов по критериям оценки, указанные инициатором проекта в составе заявки и рассчитанные инициатором проекта в соответствии с настоящей Методикой.
5.4. Критерии оценки включают в себя технико-экономические индикаторы, социально-экономические индикаторы и показатели эффективности и определены настоящим разделом Методики.
5.5. При расчете баллов по критериям оценки должны использоваться данные и информация из источников, приведенных в приложении N 3 к настоящей Методике.
5.6. В целях определения организационно-технической эффективности используются следующие технико-экономические индикаторы:
5.6.1. Критерий проблематики (Кподд), характеризующий уровень проблематики организации дорожного движения представляет собой набор следующих критериев оценки проблематики городской агломерации и критериев выполнения работ по мониторингу дорожного движения:
критерий выполнения работ по мониторингу дорожного движения (Кмдд) вычисляется путем умножения коэффициента значимости критерия (равен 0,4) на сумму баллов показателей, входящих в критерий оценки заявки (см. приложение N 3 к настоящей Методике, таблица 1), и деления на 100;
критерий обеспечения безопасности дорожного движения (Кобдд) вычисляется путем умножения коэффициента значимости критерия (равен 0,6) на сумму баллов показателей, входящих в критерий оценки заявки (см. приложение N 3 к настоящей Методике, таблица 2), и деления на 100.
Расчет критерия проблематики организации дорожного движения осуществляется по формуле:
Кподд = 0,4 Кмдд + 0,6 Кобдд
5.6.2. Критерий, характеризующий уровень готовности городской агломерации (Кгвитс) к внедрению ИТС, представляет собой набор следующих критериев оценки:
критерий, характеризующий уровень транспортного планирования в городской агломерации (Кутп) вычисляется путем умножения коэффициента значимости критерия (равен 0,1) на сумму баллов показателей, входящих в критерий оценки заявки (см. приложение N 3 к настоящей Методике, таблица 3), и деления на 100;
критерий, характеризующий администрирование организации дорожного движения (Каодд) вычисляется путем умножения коэффициента значимости критерия (равен 0,1) на сумму баллов показателей, входящих в критерий оценки заявки (см. приложение N 3 таблица 4), и деления на 100;
критерий, характеризующий степень обоснованности внедрения и развития ИТС городской агломерации (Ксов) вычисляется путем умножения коэффициента значимости критерия (равен 0,2) на сумму баллов показателей, входящих в критерий оценки заявки (см. приложение N 3 к настоящей Методике, таблица 5), и деления на 100;
критерий характеризующий уровень развития ИТС (Куритс) вычисляется путем умножения коэффициента значимости критерия (равен 0,2) на сумму баллов показателей, входящих в критерий оценки заявки (см. приложение N 3 таблица 6), и деления на 100;
критерий, характеризующий ресурсное обеспечение инженерных систем ИТС (Кроис) вычисляется путем умножения коэффициента значимости критерия (равен 0,2) на сумму баллов показателей, входящих в критерий оценки заявки (см. приложение N 3 к настоящей Методике, таблица 7), и деления на 100;
критерий, характеризующий финансовое обеспечение внедрения ИТС (Кфов) вычисляется путем умножения коэффициента значимости критерия (Кфов) на сумму баллов показателей, входящих в критерий оценки заявки (см. приложение N 3 к настоящей Методике, таблица 8), и деления на 100.
Расчет критерия готовности городской агломерации к внедрению ИТС осуществляется по формуле:
Кгвитс = 0,1 Кутп + 0,1 Каодд + 0,2 Ксов + 0,2 Куритс + 0,2 Кроис + 0,2 Кфов,
5.7. Расчет критерия обеспечения организационно-технической эффективности (Ктех) локального проекта вычисляется по формуле:
Ктех = 0,2 Кподд + 0,8 Кгвитс
где:
Ктех - критерий обеспечения организационно-технической эффективности локального проекта;
Кподд - критерий проблематики, характеризующий уровень проблематики организации дорожного движения;
Кгвитс - критерий готовности, характеризующий уровень готовности городской агломерации к внедрению ИТС.
5.8. Технико-экономические индикаторы определяются в соответствии с настоящей Методикой.
5.9. Источники информации для расчета показателей социально-экономической, бюджетной и финансовой эффективности локальных проектов приведены в разделе 9 приложения N 3 к настоящей Методике.
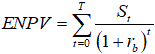
5.10. Показатель социально-экономической эффективности - расширенная чистая приведенная стоимость.
5.10.1. Значение балла по критерию социально-экономической эффективности рассчитывается на основании сравнения расчетной величины показателя расширенной чистой приведенной стоимости с пороговыми значениями:
показатель расширенной чистой приведенной стоимости (ENPV) определяется по следующей формуле <4>:
--------------------------------
<4> Приказ Минтранса России от 01.08.2016 N 221 "Об утверждении методики отбора проектов строительства (реконструкции) автомобильных дорог (участков автомобильных дорог и (или) искусственных дорожных сооружений), реализуемых субъектами Российской Федерации в рамках концессионных соглашений, для предоставления иных межбюджетных трансфертов в целях достижения целевых показателей региональных программ в сфере дорожного хозяйства, предусматривающих реализацию указанных проектов", пункт 29.
,
где:
St - денежные потоки локального проекта с учетом внешних эффектов в периоде t, руб.;
rb - ставка дисконтирования для бюджетных потоков, %;
t - период времени;
T - последний период реализации локального проекта;
показатель денежных потоков локального проекта с учетом внешних эффектов в периоде t(St) (потоков, вызванных реализацией локального проекта) определяется по следующей формуле:
St=CFBt+МЭtВРпас,
где:
CFBt - денежные потоки бюджетов всех уровней бюджетной системы Российской Федерации в периоде t, руб.;
МЭtВРпас - монетизированная экономия времени для всех категорий пассажиров в периоде t, возникающая за счет внедрения ИТС, руб.;
t - период времени;
показатель денежных потоков бюджетов всех уровней бюджетной системы Российской Федерации в периоде t(CFBt) определяется как поступления в бюджеты всех уровней бюджетной системы Российской Федерации, включающие в себя прямые налоговые денежные потоки бюджетов всех уровней бюджетной системы Российской Федерации, возникающие непосредственно от реализации локального проекта, и доходы бюджетов всех уровней бюджетной системы Российской Федерации, поступающие в виде платежей по соглашению, за вычетом расходов бюджетов всех уровней бюджетной системы Российской Федерации, включающих в себя платежи из бюджетов всех уровней бюджетной системы Российской Федерации на софинансирование инвестиционных затрат и расходы бюджетов всех уровней бюджетной системы Российской Федерации на осуществление платежей по соглашению;
показатель монетизированной экономии времени для всех категорий транспортных средств в периоде t определяется по следующей формуле:
,
где:
ЭВtЭАН - высвобождение времени экономически активного населения за счет реализации локального проекта в году t, часов;
- коэффициент использования пассажирами экономии времени для осуществления экономической деятельности, принимаемый равным 0,45;
- среднемесячная номинальная начисленная заработная плата работников в субъекте Российской Федерации, на территории которого реализуется локальный проект;
t - год реализации инфраструктурного проекта;
n - базовый год реализации инфраструктурного проекта;
Иtипц - прогнозный индекс потребительских цен в году t, в процентах;
12 - количество месяцев в календарном году;
247 - среднее количество рабочих дней в календарном году;
показатель ставки дисконтирования для бюджетных потоков (rb) устанавливается на уровне значения ключевой ставки Центрального банка Российской Федерации, установленного на начало года подачи заявки.
Значение балла по критерию социально-экономической эффективности может принимать значения 0 и 1 балл.
В случае если значение показателя расширенной чистой приведенной стоимости достигает положительного значения (более 0), то значение балла по критерию социально-экономической эффективности принимает значение 1 балл.
В случае если значение показателя расширенной чистой приведенной стоимости не достигает положительного значения (менее или равно 0), то значение балла по критерию социально-экономической эффективности принимает значение 0 баллов.
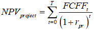
5.11. Показатели финансовой эффективности: чистая приведенная стоимость локального проекта и чистая приведенная стоимость собственного капитала.
5.11.1. Значение балла по критерию финансовой эффективности рассчитывается на основании сравнения расчетных величин чистой приведенной стоимости локального проекта и чистой приведенной стоимости собственного капитала с пороговыми значениями, приведенными в пунктах 5.11.9 и 5.11.10 настоящей Методики.
5.11.2. Значение показателя чистой приведенной стоимости локального проекта (NPVproject) определяется по следующей формуле:
,
где:
FCFFt - свободный денежный поток локального проекта в периоде t, руб.;
rpr - ставка дисконтирования для локального проекта, %;
t - период времени;
T - последний период реализаций локального проекта.
5.11.3. Значение показателя свободного денежного потока в каждом периоде t(FCFFt) определяется по следующей формуле:
FCFFt = OCFt + ICFt + CGt - Tax * Ipt,
где:
OCFt - операционный денежный поток локального проекта в периоде t, руб.;
ICFt - инвестиционный денежный поток в отношении локального проекта в периоде t, руб. (не включает в себя нематериальные активы, имущественные вклады, ценные бумаги);
CGt - денежный поток по финансированию за счет средств бюджета затрат на реализацию проекта в периоде t, руб.;
Tax - ставка налога на прибыль, %;
IPt - проценты и комиссии, начисленные по всем заемным источникам финансирования локального проекта в периоде t, руб.;
t - период времени.
5.11.4. Значение показателя ставки дисконтирования для локального проекта (rpr) устанавливается на уровне значения ключевой ставки Центрального банка Российской Федерации, установленного на начало года подачи заявки, увеличенного на 300 базисных пунктов.
5.11.5. Значение показателя чистой приведенной стоимости собственного капитала (NPVequity) определяется по следующей формуле:
,
где:
FCFEt - свободный денежный поток собственного капитала в периоде t, руб.;
re - стоимость собственного капитала, %;
t - период времени;
T - последний период реализации локального проекта.
5.11.6. Значение показателя свободного денежного потока собственного капитала в каждом периоде t(FCFEt) определяется по следующей формуле:
FCFEt = FCFFt + Tax * IPt - IPdebt,t + PPt,
где:
FCFFt - свободный денежный поток локального проекта в периоде t, руб.;
Tax - ставка налога на прибыль, %;
IPt - проценты и комиссии, начисленные по всем заемным источникам финансирования локального проекта в периоде t, руб.;
IPdebt,t - проценты и комиссии, уплаченные по всем заемным источникам финансирования локального проекта, за исключением выплачиваемых в отношении собственного капитала в периоде t, руб.;
PPt - средства, полученные по соглашениям по заемному финансированию за вычетом средств, направленных на погашение основного тела долга по соглашениям по заемному финансированию, в периоде t, руб.;
t - период времени.
5.11.7. Значение показателя стоимости собственного капитала (re) устанавливается на уровне значения ключевой ставки Центрального банка Российской Федерации, установленного на начало года подачи заявки, увеличенного на 700 базисных пунктов.
5.11.8 Значение балла по критерию финансовой эффективности может принимать значения 0 и 1 балл.
5.11.9 В случае если значения показателей чистой приведенной стоимости локального проекта и чистой приведенной стоимости собственного капитала достигают положительных значений (более 0 одновременно), то значение балла по критерию финансовой эффективности принимает значение 1 балл.
5.11.10. В случае если хотя бы одно из значений показателей чистой приведенной стоимости локального проекта и чистой приведенной стоимости собственного капитала не достигает положительного значения (менее или равно 0), то значение балла по критерию финансовой эффективности принимает значение 0 баллов.
5.12. Бюджетная эффективность.
5.12.1. Значение балла по критерию бюджетной эффективности рассчитывается на основании расчета индекса бюджетной эффективности (PIb), определенного в соответствии со следующей формулой:
,
где:
BCFt - поступления в региональный бюджет в периоде t, руб.;
BICt - расходы регионального бюджета в периоде t, руб.;
rb - ставка дисконтирования для бюджетных потоков, %;
t - период времени;
t0 - период первых инвестиционных вложений регионального бюджета в рамках срока реализации локального проекта;
T - последний период реализации локального проекта.
5.12.2. Значение показателя поступлений в региональный бюджет (BCFt) включает в себя прямой налоговый денежный поток регионального бюджета, возникающий непосредственно от реализации локального проекта, и иные платежи, поступающие в региональный бюджет в связи с реализацией локального проекта.
5.12.3. Значение показателя расходов регионального бюджета (BICt) включает в себя платежи из бюджета субъекта Российской Федерации на софинансирование инвестиционных затрат, платежи по соглашению, финансируемые за счет регионального бюджета, а также иные платежи регионального бюджета, связанные с реализацией локального проекта.
5.12.4. Значение показателя ставки дисконтирования для бюджетных потоков (rb) устанавливается на уровне значения ключевой ставки Центрального банка Российской Федерации, установленного на начало года подачи заявки.
5.12.5. В случае если значение индекса бюджетной эффективности достигает значения 1 и более, то значение балла по критерию бюджетной эффективности принимает значение 1 балл.
5.12.6. В случае если значение индекса бюджетной эффективности не достигает значения 1, значение балла по критерию бюджетной эффективности принимает значение индекса бюджетной эффективности, определенного в соответствии с пунктом 5.12.1 настоящей Методики.
5.13. Интегральная оценка локального проекта (Efint) определяется как средневзвешенная сумма оценок на основе расчета баллов по критериям оценки и рассчитывается по следующей формуле:
,
где:
αj - весовой коэффициент для критерия оценки j;
bj - балл по критерию оценки j;
N - общее число критериев оценки.
5.14. Балл оценки по критерию оценки определяется согласно настоящему разделу Методики.
5.15. При определении интегральной оценки локального проекта следует использовать весовые коэффициенты, приведенные в разделе 10 приложения N 3 к настоящей Методики.
VI. Порядок оценки и ранжирования локальных проектов на основе анализа интегральных оценок локальных проектов
6.1. Инициатор направляет заявку в Федеральное дорожное агентство в сроки, указанные в Правилах.
6.2. Федеральное дорожное агентство в течение 15 (пятнадцати) календарных дней со дня поступления заявки рассматривает ее на предмет соответствия Методике и принимает одно из следующих решений:
о принятии Заявки для последующего ранжирования;
о направлении субъекту Российской Федерации мотивированного отказа от принятия заявки.
6.3. Основаниями для отказа от принятия заявки являются:
некомплектность представленных материалов и/или нарушение оформления заявки (прилагаемых материалов);
недостоверность информации, содержащейся в документах, предусмотренных настоящей Методикой;
несоответствие локального проекта требованиям Методики;
отрицательное заключение технического консультанта на локальный проект;
заявки, по которым значение критерия проблематики (Кподд) составляет менее 0,05 и значение критерия, характеризующего уровень готовности городской агломерации к внедрению ИТС (Кгвитс), составляет менее 0,09.
6.4. В случае получения отказа от принятия заявки субъектом Российской Федерации может быть принято решение о ее доработке и повторном направлении в адрес Федерального дорожного агентства не позднее сроков, установленных Правилами.
6.5. По результатам рассмотрения заявки, на основании интегральных оценок всех полученных и прошедших отбор в текущем году локальных проектов, Федеральное дорожное агентство в срок не позднее 5 июня соответствующего года осуществляет присвоение рейтинга локальным проектам.
6.6. Ранжирование (рейтингование) рассмотренных заявок проводит Федеральное дорожное агентство в порядке убывания итогового рейтинга заявок на основании расчета интегральной оценки.
6.7. Присвоение рейтинга проекта - порядкового номера локального проекта в перечне проектов, присваиваемого на основании интегральной оценки (далее - Рейтинг проекта), осуществляется для всех рассматриваемых локальных проектов, участвующих в оценке и прошедших отбор.
6.8. Локальный проект, интегральная оценка для которого является максимальной, получает значение Рейтинга проекта, равное 1.
6.9. В случае, если для нескольких локальных проектов получено одинаковое значение интегральной оценки, меньшее значение Рейтинга проекта присваивается локальному проекту, заявка по которому поступила ранее.
Приложение N 1
Утверждено
распоряжением Минтранса России
от 25 марта 2020 г. N АК-60-р
РЕКОМЕНДАЦИИ ПО ЗАПОЛНЕНИЮ ПОЯСНИТЕЛЬНОЙ ЗАПИСКИ
1. Показатели, характеризующие уровень проблематики организации дорожного движения в городской агломерации.
Предоставляется усредненный по городской агломерации перечень показателей эффективности организации дорожного движения согласно постановлению Правительства Российской Федерации от 16.11.2018 N 1379 "Об утверждении Порядка определения основных параметров дорожного движения, ведения их учета", по состоянию на последнюю дату проведения мониторинга дорожного движения:
средняя задержка;
временный индекс;
уровень обслуживания дорожного движения в городской агломерации;
показатель перегруженности дорог городской агломерации;
буферный индекс, усредненный по городской агломерации.
Также представляется информация о количестве точек и участков мониторинга дорожного движения, а также о доле дорог сети городской агломераций, уровень обслуживания дорожного движения на которых соответствует значениям D, E, F.
При этом указанные данные должны быть собраны в соответствии с приказом Минтранса России от 18.04.2019 N 114 "Об утверждении Порядка мониторинга дорожного движения" и рассчитаны в соответствии с приказом Минтранса России от 26.12.2018 N 479 "Об утверждении методических рекомендаций по разработке и реализации мероприятий по организации дорожного движения в части расчета значений основных параметров дорожного движения".
Допускается предоставление данных на основе транспортной модели городской агломерации, а также разработанных программы комплексного развития транспортной инфраструктуры и комплексной схемы организации дорожного движения.
Также предоставляется информация о числе погибших при дорожно-транспортных происшествиях человек на 100 тыс. чел. населения городской агломерации 3 года, предшествующих году подачи заявки.
Помимо этого, сообщается о наличии или отсутствии автоматизированной системы мониторинга дорожного движения и уровне охвата точек и участков согласно приказу Минтранса России от 18.04.2019 N 114 "Об утверждении Порядка мониторинга дорожного движения".
2. Показатели, характеризующие уровень транспортного планирования в городской агломерации.
Указывается информация о наличии и статусе документов транспортного планирования (программы комплексного развития транспортной инфраструктуры городской агломерации или муниципальных образований в составе городской агломерации, комплексной схемы организации транспортного обслуживания населения общественным транспортом городской агломерации), документации по организации дорожного движения (комплексной схемы организации дорожного движения, городской агломерации или муниципальных образований в составе городской агломерации, наличии действующих проектов организации дорожного движения на дорогах городской агломерации).
При этом указывается информация о размещении данных об утвержденных программе комплексного развития транспортной инфраструктуры и комплексной схеме организации дорожного движения, на официальных интернет-ресурсах.
3. Показатели, характеризующие администрирование организации дорожного движения.
Указываются данные об органах исполнительной власти, наделенных полномочиями по мониторингу и управлению дорожным движением, распорядительных и нормативных актах, устанавливающих эти полномочия:
наличие специализированных организаций в сфере организации дорожного движения на территории городской агломерации;
наличие регламентов межведомственного взаимодействия в сферах организации дорожного движения, безопасности дорожного движения, ИТС;
наличие регионального органа контроля в сфере организации дорожного движения.
4. Показатели, характеризующие степень обоснованности внедрения и развития ИТС городской агломерации.
Указываются данные:
о наличии и составе мероприятий по развитию ИТС в документах транспортного планирования и документации по организации дорожного движения со сроком реализации до 2025 года;
о наличии и показателях предпроектной и проектной документации по внедрению/развитию ИТС, в том числе Концепции, технического задания на создание проектной и рабочей документации;
о наличии в адресно-инвестиционной программе, региональных и муниципальных программах мероприятий по внедрению ИТС.
5. Показатели, характеризующие уровень развития ИТС.
Указывается информация о существующих на территории городской агломерации подсистемах (сервисах) ИТС. При этом должны быть отражены данные об имеющемся центральном и периферийном оборудовании подсистем, специализированном программном обеспечении с указанием количества, моделей, производителей, даты ввода в эксплуатацию. Также необходимо указать количественные и качественные показатели планируемого развития подсистем ИТС.
Информация излагается путем заполнения нижеприведенной таблицы.
Таблица 1
|
Критерии |
Да/нет |
Уровни оценки |
|
Наличие подсистемы директивного управления транспортными потоками |
Подсистема отсутствует | |
|
Обеспечивает построение планов координации светофорного регулирования в ручном режиме | ||
|
Обеспечивает построение планов координации светофорного регулирования в автоматизированном/автоматическом режиме в пределах одного светофорного объекта | ||
|
Обеспечивает построение планов координации светофорного регулирования в автоматизированном/автоматическом режиме в пределах зоны, включающей несколько светофорных объектов | ||
|
Обеспечивает светофорное регулирование транспортного потока | ||
|
Обеспечивает управление транспортным потоком посредством знаков переменной информации | ||
|
Наличие подсистемы косвенного управления транспортными потоками |
Подсистема отсутствует | |
|
Обеспечивает мониторинг состояния объектов притяжения транспортного потока | ||
|
Обеспечивает построение качественной матрицы корреспонденции | ||
|
Обеспечивает моно- и мультиобъектное маршрутное ориентирование | ||
|
Обеспечивает реализацию информационного сервиса | ||
|
Наличие подсистемы управления состоянием дорог |
Подсистема отсутствует | |
|
Обеспечивает оперативное реагирования служб содержания дорог на ухудшение эксплуатационных параметров дорожного полотна | ||
|
Обеспечивает возможность автоматического/автоматизированного сбора информации об эксплуатационных параметрах дорожного полотна | ||
|
Обеспечивает мониторинг и контроль индикаторов эффективности, характеризующих достижение комплексных целей | ||
|
Наличие подсистемы контроля соблюдения ПДД и контроля транспорта |
Подсистема отсутствует | |
|
Обеспечивает сбор данных, являющихся доказательной базой фактов нарушений ПДД | ||
|
Обеспечивает сбор данных о параметрах интенсивности дорожного движения | ||
|
Обеспечивает передачу данных правоохранительным органам и подсистемам ИТС | ||
|
Наличие подсистемы метеомониторинга |
Подсистема отсутствует | |
|
Имеется обоснование использования подсистемы в ЛП ИТС | ||
|
Подсистема создана и функционирует в реактивном режиме | ||
|
Подсистема создана и функционирует в прогнозном режиме | ||
|
Наличие подсистемы мониторинга состояния дороги и дорожной инфраструктуры |
Подсистема отсутствует | |
|
Имеется обоснование использования подсистемы в ЛП ИТС | ||
|
Подсистема создана | ||
|
Наличие подсистемы обеспечения противогололедной обстановки |
Подсистема отсутствует | |
|
Имеется обоснование использования подсистемы в ЛП ИТС | ||
|
Подсистема создана | ||
|
Наличие подсистемы диспетчерского управления транспортом служб содержания дорог |
Подсистема отсутствует | |
|
Имеется обоснование использования подсистемы в ЛП ИТС | ||
|
Подсистема создана | ||
|
Наличие подсистемы автоматизированного сбора платы за проезд на платных дорогах, тоннелях и мостах |
Подсистема отсутствует | |
|
Имеется обоснование использования подсистемы в ЛП ИТС | ||
|
Подсистема создана | ||
|
Наличие подсистемы видеонаблюдения, детектирования ДТП и ЧС |
Подсистема отсутствует | |
|
Имеется обоснование использования подсистемы в ЛП ИТС | ||
|
Подсистема создана и функционирует в ручном/автоматизированном режиме | ||
|
Подсистема создана и функционирует в автоматическом режиме | ||
|
Наличие подсистемы мониторинга параметров транспортного потока |
Подсистема отсутствует | |
|
Имеется обоснование использования подсистемы в ЛП ИТС | ||
|
Подсистема создана | ||
|
Наличие подсистемы весогабаритного контроля транспортных средств |
Подсистема отсутствует | |
|
Имеется обоснование использования подсистемы в ЛИ ИТС | ||
|
Подсистема создана | ||
|
Наличие подсистемы информирования участников ДД с помощью ДИТ и ЗПИ |
Подсистема отсутствует | |
|
Имеется обоснование использования подсистемы в ЛП ИТС | ||
|
Подсистема создана | ||
|
Наличие подсистемы информирования пользователей подсистемы ИТС с помощью бортовых устройств ТС и персональных устройств |
Подсистема отсутствует | |
|
Имеется обоснование использования подсистемы в ЛП ИТС | ||
|
Подсистема создана | ||
|
Наличие подсистемы светофорного управления |
Подсистема отсутствует | |
|
Имеется обоснование использования подсистемы в ЛП ИТС | ||
|
Подсистема создана | ||
|
Наличие подсистемы управления муниципальными парковками |
Подсистема отсутствует | |
|
Имеется обоснование использования подсистемы в ЛП ИТС | ||
|
Подсистема создана | ||
|
Подсистема интерактивного взаимодействия с пользователями |
Подсистема отсутствует | |
|
Имеется обоснование использования подсистемы в ЛП ИТС | ||
|
Подсистема создана | ||
|
Наличие подсистемы детектирования опасных грузов |
Подсистема отсутствует | |
|
Имеется обоснование использования подсистемы в ЛП ИТС | ||
|
Подсистема создана | ||
|
Наличие подсистемы пополосного управления |
Подсистема отсутствует | |
|
Имеется обоснование использования подсистемы в ЛП ИТС | ||
|
Подсистема создана | ||
|
Наличие подсистемы мониторинга параметров пешеходных потоков |
Подсистема отсутствует | |
|
Имеется обоснование использования подсистемы в ЛП ИТС | ||
|
Подсистема создана | ||
|
Наличие подсистемы мониторинга экологических параметров |
Подсистема отсутствует | |
|
Имеется обоснование использования подсистемы в ЛП ИТС | ||
|
Подсистема создана и функционирует в реактивном режиме | ||
|
Подсистема создана и функционирует в прогнозном режиме | ||
|
Наличие подсистемы обеспечения приоритетного проезда |
Подсистема отсутствует | |
|
Имеется обоснование использования подсистемы в ЛП ИТС | ||
|
Подсистема создана и функционирует в ручном/автоматизированном режиме | ||
|
Подсистема создана и функционирует в автоматическом режиме |
6. Показатели, характеризующие аппаратно-программное и телекоммуникационное обеспечение ИТС.
В рамках данного раздела должны быть представлены следующие данные:
о наличии региональных/муниципальных центров обработки данных;
о наличии региональных/муниципальных центральных управляющих пунктов, возможных для использования при внедрении ИТС;
наличии и характеристиках сетей передачи данных, возможных для использования при внедрении ИТС.
7. Показатели, характеризующие финансовое обеспечение внедрения ИТС.
Предоставляется информация о вариантах финансирования ИТС городской агломерации (возможной доли субъекта Российской Федерации, наличии возможности внебюджетного финансирования), а также о наличии средств на содержание (надлежащее обслуживание) ИТС.
8. Показатели, характеризующие уровень квалификации и количественную достаточность сотрудников и специалистов, обеспечивающих подготовку и реализацию заявки на внедрение ИТС в городской агломерации.
Предоставляется информация о количестве специалистов всех уровней, вовлекаемых в процесс подготовки заявки и реализацию локального проекта в городской агломерации, их базовой квалификации, опыте работы, в том числе:
на уровне органов местного самоуправления - количество сотрудников, предполагаемых к включению в процесс подготовки заявки на реализацию локального проекта, их формальное отнесение к профессии в соответствии с приказом Минтранса России от 29.12.2018 N 487 "Об утверждении перечня профессий и должностей, связанных с организацией дорожного движения, и квалификационных требований к ним", их фактический показатель квалификации (может определяться анкетно);
на уровне контрольно-надзорной деятельности - уровневая структура, число и квалификация (может определяться анкетно) сотрудников, предполагаемых к включению в процесс реализации локального проекта;
в региональном кластере подготовки кадров - наличие распределенной системы подготовки квалифицированных специалистов и кадров общей квалификации по всем уровням подготовки (СПО, ВПО, ДПО).
9. Информация об основном векторе развития транспортного комплекса субъекта Российской Федерации.
Информация излагается путем заполнения приведенной ниже таблицы.
Таблица 2
|
Критерии |
Да/нет |
Уровни оценки |
|
Основной вектор развития транспортного комплекса региона |
Туристический | |
|
Индустриальный | ||
|
"Сырьевой" | ||
|
Сельское хозяйство | ||
|
Бизнес | ||
|
Наукограды | ||
|
Демографический |
10. Информация об этапах реализации локального проекта и о сроках их реализации (с разбивкой на подэтапы, если применимо).
11. Информация о финансировании локального проекта.
Информация излагается путем заполнения приведенной ниже таблицы.
Таблица 3
|
N п/п |
Источник |
Значение в ценах соотв. лет, млн. руб. |
Доля источника в общей потребности финансирования в ценах соотв. лет, % |
Значение в ценах базового года, млн. руб. |
Доля источника в общей потребности финансирования в ценах базового года, % |
|
I |
II |
III |
IV |
V |
VI |
|
1. |
Средства федерального бюджета | ||||
|
2. |
Средства регионального бюджета | ||||
|
3. |
Средства муниципального бюджета (муниципальных бюджетов) | ||||
|
4. |
Средства внебюджетных источников | ||||
|
ИТОГО: | |||||
12. Информация об основных показателях локального проекта.
Информация излагается путем заполнения приведенной ниже таблицы (данные из финансовой модели):
Таблица 4
|
N п/п |
Наименование показателя |
Значение показателя |
|
1. |
Срок реализации локального проекта, лет | |
|
1.1. |
Срок инвестиционной стадии, лет | |
|
1.2. |
Срок эксплуатационной стадии, лет | |
|
2. |
Стоимость реализации проекта в ценах соответствующих лет, млн рублей | |
|
2.1. |
Размер эксплуатационных затрат за срок реализации локального проекта в ценах соответствующих лет, млн рублей | |
|
2.2. |
Доходы по проекту за срок реализации локального проекта в ценах соответствующих лет, млн рублей | |
|
3. |
Стоимость реализации проекта в ценах базового года, млн рублей | |
|
3.1. |
Размер эксплуатационных затрат за срок реализации локального проекта в ценах базового года, млн рублей | |
|
3.2. |
Доходы по проекту за срок реализации локального проекта в ценах базового года, млн рублей | |
|
4. |
Чистая приведенная стоимость локального проекта, млн рублей | |
|
5. |
Чистая приведенная стоимость собственного капитала, млн рублей | |
|
6. |
Индекс бюджетной эффективности, коэф. | |
|
7. |
Расширенная чистая приведенная стоимость локального проекта, млн. рублей |
13. Информация об основных потоках бюджетных средств в локальном проекте.
Информация излагается путем заполнения приведенной ниже таблицы:
Таблица 5
|
N п/п |
Показатель |
Денежные потоки бюджетных средств, млн рублей | |||
|
[Указывается год начала реализации проекта] |
[Указываются промежуточные года реализации проекта] |
[Указывается последний год реализации проекта] |
Всего, за все время реализации проекта | ||
|
1. |
Государственная поддержка на инвестиционной стадии (федеральный бюджет) | ||||
|
2. |
Расходы регионального бюджета на инвестиционной стадии | ||||
|
3. |
Расходы муниципального бюджета (муниципальных бюджетов) на инвестиционной стадии | ||||
|
4. |
Расходы регионального бюджета на эксплуатационной стадии | ||||
|
5. |
Расходы муниципального бюджета (муниципальных бюджетов) на эксплуатационной стадии | ||||
|
6. |
Доходы регионального бюджета на эксплуатационной стадии | ||||
|
7. |
Доходы муниципального бюджета (муниципальных бюджетов) на эксплуатационной стадии | ||||
|
Всего: | |||||
14. Сведения об интегральной оценке локального проекта.
Информация излагается путем заполнения приведенной ниже таблицы:
Таблица 6
|
N п/п |
Критерий |
Балл по критерию |
Вес критерия |
|
1. |
Обеспечение организационно-технической эффективности локального проекта |
0,7 | |
|
2. |
Обеспечение финансовой эффективности локального проекта |
0,05 | |
|
3. |
Обеспечение бюджетной эффективности локального проекта |
0,05 | |
|
4. |
Обеспечение социально-экономической эффективности локального проекта |
0,2 | |
|
Интегральная оценка локального проекта | |||
Приложение N 2
Утверждено
распоряжением Минтранса России
от 25 марта 2020 г. N АК-60-р
|
УТВЕРЖДАЮ | |
|
[указать должность должностного лица субъекта Российской Федерации] _____________________ [указать ФИО] "__" __________ ____ г. |
ПАСПОРТ
локального проекта [указать название субъекта Российской Федерации)]
"Создание (модернизация) интеллектуальных транспортных систем в целях реализации мероприятия "Внедрение интеллектуальных транспортных систем, предусматривающих автоматизацию процессов управления дорожным движением в городских агломерациях, включающих города с населением свыше 300 тысяч человек" в городской агломерации __________ [указать название городской агломерации]"
1. Основные положения
|
Наименование регионального проекта |
[указать полное наименование] | ||
|
Полное наименование локального проекта |
[указать полное наименование] | ||
|
Краткое наименование локального проекта |
[указать краткое наименование (при наличии)] |
Срок начала и окончания реализации локального проекта |
__.__.____ - __.__.____ |
|
Куратор локального проекта |
Руководитель регионального проекта [указать должность и ФИО (полностью)] | ||
|
Руководитель локального проекта |
[указать должность и ФИО (полностью)] | ||
|
Администратор локального проекта |
[указать должность и ФИО (полностью)] | ||
|
Связь с утвержденными государственными программами [указать название государственных программ субъекта Российской Федерации, государственных программ Российской Федерации] |
[вписать реквизиты всех государственных программ] | ||
2. Цель и показатели локального проекта
|
Цель локального проекта: Внедрение интеллектуальных транспортных систем, предусматривающих автоматизацию процессов управления дорожным движением в городской агломерации __________________ [указать название городской агломерации] | ||||||||||
|
N п/п |
Наименование показателя |
Тип показателя |
Базовое значение |
Период, год | ||||||
|
____ <1> |
____ <2> |
____ |
... | |||||||
|
Значение |
Дата <3> | |||||||||
|
1 |
Улучшение значений показателей эффективности дорожного движения <4> | |||||||||
|
1.1 |
Средняя скорость движения транспортных средств, км/ч |
основной |
31.12.____ | |||||||
|
1.2 |
Средняя задержка транспортных средств, час/авт. в сутки |
основной |
31.12.____ | |||||||
|
1.3 |
уровень обслуживания дорожного движения, уровень по шкале |
справочный |
31.12.____ | |||||||
|
1.4 |
показатель перегруженности дорог, ед |
основной |
31.12.____ | |||||||
|
1.5 |
Временной индекс, ед |
справочный |
31.12.____ | |||||||
|
2 |
Обеспечение безопасности дорожного движения | |||||||||
|
2.1 |
Количество ДТП, ед. |
основной |
31.12.____ | |||||||
|
2.2 |
Число раненных при ДТП (по уровню тяжести согласно Приказа Министерства здравоохранения и социального развития РФ от 24.04.2008 N 194н, чел.) |
справочный |
31.12.____ | |||||||
|
2.3 |
Число погибших при ДТП, чел. |
основной |
31.12.____ | |||||||
|
2.4 |
Социальный риск, руб. |
справочный |
31.12.____ | |||||||
|
2.5 |
Транспортный риск, руб. |
справочный |
31.12.____ | |||||||
|
3 |
Улучшение экологии | |||||||||
|
3 |
Объем выбросов загрязняющих веществ CO2, прив. т-км |
справочный |
31.12.____ | |||||||
|
4 |
Повышение грузооборота | |||||||||
|
4.1 |
Объем (количество) перевозимых грузов, млн т. |
справочный |
31.12.____ | |||||||
|
5 |
Оптимизация пассажироперевозок | |||||||||
|
5.1 |
Количество пассажиров, тыс. чел. |
справочный |
31.12.____ | |||||||
|
5.2 |
Средняя скорость движения транспортных средств общего пользования, км/ч |
справочный |
31.12.____ | |||||||
|
6 |
Загруженность дорог | |||||||||
|
6 |
Протяженность участков дорожной сети агломераций, обслуживающих движение в режиме перегрузки, км |
основной |
31.12.____ | |||||||
--------------------------------
<1> Указывается год начала реализации локального проекта. Данные заполняются по состоянию на 31.12 года начала реализации локального проекта.
<2> В данной графе и далее в этой строке указываются года реализации локального проекта, следующие за годом начала реализации локального проекта. Данные заполняются по состоянию на 31.12 соответствующего года.
<3> Указывается год, предшествующий году подачи заявки для получения иных межбюджетных трансфертов.
<4> В соответствии с Приказом Министерства транспорта Российской Федерации N 479 от 26.12.2018 года.
3. Результаты локального проекта
|
N п/п |
Наименование задачи, результата |
Срок |
Характеристика результата |
|
Реализация мероприятий локального проекта по созданию (модернизации) интеллектуальных транспортных систем | |||
|
1. |
На сети автомобильных дорог общего пользования регионального или межмуниципального значения, дорожной сети [указать название] городской агломерации выполнены работы по созданию интеллектуальных транспортных систем в Срок: [указать срок (В формате, например: 01.12.2019, 01.12.2020, 01.12.2021, 01.12.2022, 01.12.2023, 01.12.2024] | ||
|
1.1. | |||
|
1.2. | |||
|
1.3. | |||
|
1.4. | |||
|
... | |||
|
2. |
На сети автомобильных дорог общего пользования регионального или межмуниципального значения, дорожной сети [указать название] городской агломерации выполнены работы по модернизации интеллектуальных транспортных систем. | ||
|
в Срок: [указать срок (В формате, например: 01.12.2019, 01.12.2020, 01.12.2021, 01.12.2022, 01.12.2023, 01.12.2024] | |||
|
2.1. | |||
|
2.2. | |||
|
2.3. | |||
|
2.4. | |||
|
... | |||
4. Финансовое обеспечение реализации локального проекта
|
N п/п |
Наименование задачи, результата и источники финансирования |
Объем финансового обеспечения по годам реализации (млн рублей) |
Всего (млн рублей) | |||||
|
____ |
____ |
____ |
____ |
____ |
____ | |||
|
1. |
Реализация мероприятий локального проекта по созданию (модернизации) интеллектуальных транспортных систем | |||||||
|
1.1. |
На сети автомобильных дорог общего пользования регионального или межмуниципального значения, дорожной сети [указать название] городской агломерации выполнены дорожные работы по внедрению интеллектуальных транспортных систем | |||||||
|
1.1.1. |
федеральный бюджет (межбюджетные трансферты бюджету [указать название субъекта Российской Федерации]) | |||||||
|
1.1.2. |
бюджеты государственных внебюджетных фондов Российской Федерации и их территориальных фондов | |||||||
|
1.1.3. |
консолидированный бюджет [указать название субъекта Российской Федерации], в том числе: | |||||||
|
1.1.3.1. |
бюджет [указать название субъекта Российской Федерации] | |||||||
|
1.1.3.2 |
межбюджетные трансферты бюджета [указать название субъекта Российской Федерации] бюджетам муниципальных образований | |||||||
|
1.1.3.3. |
бюджеты муниципальных образований (без учета межбюджетных трансфертов из бюджета [указать название субъекта Российской Федерации]) | |||||||
|
1.1.4. |
внебюджетные источники | |||||||
|
1.1.5. |
акцизы, поступившие в бюджет [указать название субъекта Российской Федерации] | |||||||
5. Участники локального проекта
|
N п/п |
Роль в проекте |
Фамилия, инициалы |
Должность |
Непосредственный руководитель |
Занятость в проекте (процентов) <5> |
|
1. |
[указать роль] |
[указать ФИО (полностью)] |
[указать должность] |
[указать должность] | |
|
2. |
[указать роль] |
[указать ФИО (полностью)] |
[указать должность] |
[указать должность] | |
|
Общие организационные мероприятия по проекту | |||||
|
3. |
[указать роль] |
[указать ФИО (полностью)] |
[указать должность] |
[указать должность] | |
--------------------------------
<5> Указать процент занятости (подлежит обязательному заполнению).
6. План мероприятий по реализации локального проекта по созданию (модернизации) интеллектуальных транспортных систем [указать название субъекта Российской Федерации]
|
N п/п |
Наименование результата, мероприятия, контрольной точки <6> |
Сроки реализации |
Ответственный исполнитель <7> |
Вид документа и характеристика результата |
Уровень контроля | |
|
Начало |
Окончание | |||||
|
1 |
На сети автомобильных дорог общего пользования регионального или межмуниципального значения, дорожной сети [указать название] городской агломераций выполнены работы по внедрению интеллектуальных транспортных систем, предусматривающих автоматизацию процессов управления дорожным движением |
Ежегодный отчет о достижении целевых показателей проекта |
РФП | |||
|
1.1. |
Разработка проекта паспорта локального проекта по созданию (модернизации) интеллектуальных транспортных систем [указать название субъекта Российской Федерации] |
Паспорт локального проекта [указать название субъекта Российской Федерации |
Росавтодор | |||
|
1.2. |
В Федеральное дорожное агентство представлен паспорт локального проекта, определены участки автомобильных дорог общего пользования регионального или межмуниципального значения, на которых должны быть внедрены элементы ИТС |
Паспорт локального проекта [указать название субъекта Российской Федерации] |
Росавтодор | |||
|
1.3 |
Согласование паспорта локального проекта |
Паспорт локального проекта [указать название субъекта Российской Федерации] |
ВПО Минтранса РФ | |||
|
1.4. |
Утвержден паспорт локального проекта |
Паспорт локального проекта [указать название субъекта Российской Федерации] |
РФП | |||
|
1.5. |
Владельцами, балансодержателями и иными организациями проведены конкурсные процедуры по заключению контрактов на выполнение мероприятий, необходимых для реализации и достижения целевых показателей локального проекта в текущем году |
Отчет об обеспечении заключения контрактов на выполнение мероприятий, необходимых для реализации и достижения целевых показателей локального проекта на [указать текущий год] год |
РФП | |||
|
1.6 |
Владельцами, балансодержателями и иными организациями обеспечено заключение контрактов на выполнение мероприятий, необходимых для реализации и достижения целевых показателей локального проекта в текущем году |
Отчет об обеспечении заключения контрактов на выполнение мероприятий, необходимых для реализации и достижения целевых показателей локального проекта на [указать текущий год] год |
РФП | |||
|
1.7 |
[указать название уполномоченного органа государственной власти субъекта Российской Федерации] совместно с муниципальными образованиями выполнены мероприятия, предусмотренные локальным проектом на текущий год, в том числе приемка выполнения соответствующих работ |
Отчет об обеспечении выполнения мероприятий, предусмотренных локальным проектом на [указать текущий год] год, в том числе приемка выполнения соответствующих работ |
РФП | |||
|
1.8. |
[указать название уполномоченного органа государственной власти субъекта Российской Федерации] совместно с муниципальными образованиями обеспечено выполнение мероприятий, предусмотренных локальным проектом на текущий год, в том числе приемка выполнения соответствующих работ |
Отчет об обеспечении выполнения мероприятий, предусмотренных локальным проектом на [указать текущий год] год, в том числе приемка выполнения соответствующих работ |
РФП | |||
|
1.9 |
Подготовлены отчетные материалы по выполнению мероприятий локального проекта в отчетном году; предложения по корректировке локального проекта в части мероприятий будущего года и последующих годов. |
Отчетные материалы |
РФП | |||
|
1.10. |
В Федеральное дорожное агентство представлены: отчетные материалы по выполнению мероприятий локального проекта в отчетном году; предложения по корректировке локального проекта в части мероприятий будущего года и последующих годов. |
Отчетные материалы |
Росавтодор | |||
--------------------------------
<6> При заполнении данного раздела необходимо из перечня удалить мероприятия, которые не подлежат реализации в рамках локального проекта. Также возможно дополнение мероприятиями, входящими в локальный проект.
<7> Подлежит обязательному заполнению. Указывается название ответственного структурного подразделения или ФИО (полностью) должностного лица.
Приложение N 3
Утверждено
распоряжением Минтранса России
от 25 марта 2020 г. N АК-60-р
ДАННЫЕ ДЛЯ РАСЧЕТА ЭФФЕКТИВНОСТИ ЛОКАЛЬНОГО ПРОЕКТА
1. Состав критерия, характеризующего уровень выполнения работ по мониторингу дорожного движения.
Таблица 1
|
п/п |
Показатель |
Значение |
Балл |
|
1. |
Объем выполненных работ по мониторингу дорожного движения в соответствии с Приказом Минтранса России от 18.04.2019 N 114 "Об утверждении Порядка мониторинга дорожного движения" <1> |
Работы не выполнялись |
0 |
|
Работы выполнены менее чем для 50% дорог, подлежащих мониторингу. |
5 | ||
|
Работы выполнены для 50 - 80% дорог, подлежащих мониторингу |
20 | ||
|
Работы выполнены для 80 - 95% дорог, подлежащих мониторингу |
40 | ||
|
Работы выполнены в полном объеме |
50 | ||
|
2. |
Показатели организации дорожного движения в соответствии с постановлением Правительства Российской Федерации от 16.11.2018 N 1379 "Об утверждении Порядка определения основных параметров дорожного движения, ведения их учета", рассчитанные в соответствии с Приказом Минтранса России от 26.12.2018 N 479 "Об утверждении методических рекомендаций по разработке и реализации мероприятий по организации дорожного движения в части расчета значений основных параметров дорожного движения" <2> |
Не предоставлены в информационно-аналитическую систему регулирования на транспорте (далее - АСУ ТК) |
0 |
|
Предоставлены в АСУ ТК |
30 | ||
|
3. |
Автоматизированная система мониторинга дорожного движения в агломерации <3> |
Отсутствует |
0 |
|
Существует и охватывает менее 50% дорог, подлежащих мониторингу |
10 | ||
|
Существует и охватывает более 50% дорог, подлежащих мониторингу |
20 |
--------------------------------
<1> Для подтверждения данного показателя к заявке прикладывается отчет о выполнении мониторинга проведенный не ранее 1 года до даты подачи заявки.
<2> Подтверждением данного показателя является наличие информации в АСУ ТК.
<3> Для подтверждения данного показателя к заявке прикладываются Акты выполненных работ о создании автоматизированной системы мониторинга или распорядительные документы о вводе системы в эксплуатацию.
2. Состав критерия, характеризующего уровень организации дорожного движения и обеспечения безопасности дорожного движения (за год, предшествующий году направления заявки).
Таблица 2
|
п/п |
Показатель |
Значение |
Балл |
|
1. |
Средняя задержка, час/авт. в сутки |
< 0,33 |
0 |
|
0,33 - 1 |
5 | ||
|
>= 1 |
10 | ||
|
2. |
Временный индекс, ед. |
< 0,1 |
0 |
|
0,1 - 0,3 |
5 | ||
|
> 0,3 |
10 | ||
|
3. |
Уровень обслуживания дорожного движения, % |
A (>= 90) |
0 |
|
B (70 - 90) |
5 | ||
|
C (50 - 70) |
15 | ||
|
D (40 - 50) |
20 | ||
|
E (33 - 40) |
25 | ||
|
F (<= 33) |
30 | ||
|
4. |
Показатель перегруженности дорог, ед. |
< 0,1 |
0 |
|
0,1 - 0,5 |
5 | ||
|
> 0,5 |
10 | ||
|
5. |
Буферный индекс, ед. |
< 0,1 |
0 |
|
0,1 - 0,3 |
5 | ||
|
> 0,3 |
10 | ||
|
6. |
Число погибших при ДТП, чел. на 100 тыс. чел. |
< 1 |
0 |
|
1 - 4 |
5 | ||
|
4 - 8 |
10 | ||
|
8 - 12 |
15 | ||
|
> 12 |
30 |
3. Состав критерия, характеризующего уровень транспортного планирования в агломерации.
Таблица 3
|
п/п |
Показатель |
Значение |
Балл |
|
1. |
Программа комплексного развития транспортной инфраструктуры (далее - ПКРТИ) агломерации (муниципальных образований в составе агломерации) |
Отсутствуют |
0 |
|
Разработаны для менее чем 50% муниципальных образований |
5 | ||
|
Разработаны для 50 - 80% муниципальных образований |
20 | ||
|
Работы выполнены для 80 - 95% муниципальных образований |
30 | ||
|
Работы выполнены в полном объеме |
40 | ||
|
2. |
Комплексная схема организации дорожного движения (далее - КСОДД) агломерации (муниципальных образований в составе агломерации) |
отсутствуют |
0 |
|
Разработаны для менее чем 50% муниципальных образований |
5 | ||
|
Разработаны для 50 - 80% муниципальных образований |
20 | ||
|
Работы выполнены для 80 - 95% муниципальных образований |
30 | ||
|
3. |
Проект организации дорожного движения: (далее - ПОДД) дорог и улиц в составе агломерации |
Разработаны для менее чем 50% дорог |
0 |
|
Разработаны для 50 - 80% дорог |
5 | ||
|
Работы выполнены для 80 - 95% дорог |
10 | ||
|
Работы выполнены в полном объеме |
30 |
4. Состав критерия, характеризующего администрирование организации дорожного движения.
Таблица 4
|
п/п |
Показатель |
Значение |
Балл |
|
1. |
Орган исполнительной власти/уполномоченная организация(и), уполномоченная управлять дорожным движением <4> |
Отсутствует |
0 |
|
Находится в стадии создания/наделения полномочиями |
20 | ||
|
Существуют отдельные органы/организации по территориальному/ведомственному признаку |
30 | ||
|
Существует единый орган/организация в агломерации |
50 | ||
|
2. |
Регламент(ы) межведомственного взаимодействия имеются (в сферах организации дорожного движения и/или безопасности дорожного движения и/или ИТС) <5> |
Отсутствуют |
0 |
|
В стадии разработки |
5 | ||
|
Разработаны, но не утверждены |
10 | ||
|
Утверждены |
20 | ||
|
3. |
Региональный орган контроля в сфере организации дорожного движения |
Не определен |
0 |
|
Определен, менее 50% сотрудников обладают квалификацией согласно приказу Минтранса России N 487 "Об утверждении перечня профессий и должностей, связанных с организацией дорожного движения, и квалификационных требований к ним" |
5 | ||
|
Определен, от 50% до 80% сотрудников обладают квалификацией согласно приказу Минтранса России N 487 "Об утверждении перечня профессий и должностей, связанных с организацией дорожного движения, и квалификационных требований к ним" |
10 | ||
|
Определен, более 80% сотрудников обладают квалификацией согласно Приказу Министерства транспорта Российской Федерации от 29 декабря 2018 года N 487 "Об утверждении перечня профессий и должностей, связанных с организацией дорожного движения, и квалификационных требований к ним" <6> |
30 |
--------------------------------
<4> Для подтверждения данного показателя к заявке прикладываются копии документов, подтверждающих создание/содержащих решение о создании указанного органа исполнительной власти. В случае существования отдельных органов/организаций по территориальному/ведомственному признаку копии указанных документов прикладываются по каждой такой организации.
<5> Для подтверждения данного показателя к заявке прикладывается копия указанного регламента (проекта регламента). Степень проработки регламента оценивается по состоянию на дату подачи заявки.
<6> Для подтверждения данного показателя к заявке прикладываются копии приказа о назначении сотрудников на соответствующие должности и копии документов, подтверждающих наличии требуемой квалификации.
5. Состав критерия, характеризующего степень обоснованности внедрения/развития ИТС агломерации.
Таблица 5
|
п/п |
Показатель |
Значение |
Балл |
|
1. |
Наличие мероприятий по развитию ИТС в документах транспортного планирования и документации по организации дорожного движения со сроком реализации до 2025 года |
Отсутствуют |
0 |
|
Есть, но не соответствуют типовой архитектуре ИТС агломерации |
5 | ||
|
Есть, соответствуют типовой архитектуре ИТС, но не позволяют достичь эффективность согласно Концепции ИТС агломераций |
10 | ||
|
Есть, соответствуют типовой архитектуре ИТС, позволяют достичь эффективность согласно Концепции ИТС агломераций |
30 | ||
|
2. |
Эскизный или эскизно-технический проект по внедрению/развитию ИТС |
Отсутствуют |
0 |
|
Находятся в стадии разработки |
5 | ||
|
Разработана и утверждена концепция и ТЗ на создание |
20 | ||
|
Разработан эскизный или технический проект |
50 | ||
|
3. |
Наличие в адресной инвестиционной программе, региональных и муниципальных программах мероприятий по внедрению ИТС |
Отсутствуют |
0 |
|
Имеются, но не соответствуют типовой архитектуре ИТС агломерации |
5 | ||
|
Имеются, соответствуют типовой архитектуре ИТС |
20 |
6. Состав критерия, характеризующего уровень развития ИТС.
Таблица 6
|
п/п |
Показатель |
Значение |
Балл |
|
1. |
Интеграционная платформа ИТС обеспечивает штатное, ситуационное, оперативное и прогнозное управление в ИТС <7> |
Подсистема отсутствует |
0 |
|
Осуществляется штатное управление - самостоятельная работа подсистем ИТС без учета дорожных коллизий |
1 | ||
|
Осуществляется оперативное управление - с учетом принудительного координирования работы подсистем, координированное управление подсистем ИТС |
3 | ||
|
Осуществляется ситуационное управление - с учетом дорожных коллизий, в т.ч. в режиме системы принятия решений, штатное управление с функцией прогнозного управления |
4 | ||
|
Осуществляется координированное управление подсистемами ИТС, в т.ч. в режиме ситуационного управления с функцией прогнозного управления транспортной системой, обеспечения сервисов различных клиентских групп |
5 | ||
|
2. |
Наличие подсистемы директивного управления транспортными потоками <8> |
Подсистема отсутствует |
0 |
|
Функционирует и обеспечивает построение планов координации светофорного регулирования в ручном режиме |
2 | ||
|
Функционирует и обеспечивает управление транспортным потоком посредством знаков переменной информации |
2 | ||
|
Функционирует и обеспечивает построение планов координации светофорного регулирования в автоматизированном/автоматическом режиме в пределах одного светофорного объекта |
3 | ||
|
Функционирует и обеспечивает светофорное регулирование транспортного потока |
3 | ||
|
Функционирует и обеспечивает построение планов координации светофорного регулирования в автоматизированном/автоматическом режиме в пределах зоны, включающей несколько светофорных объектов |
5 | ||
|
3. |
Наличие подсистемы косвенного управления транспортными потоками <9> |
Подсистема отсутствует |
0 |
|
Функционирует и обеспечивает мониторинг состояния объектов притяжения транспортного потока |
2 | ||
|
Функционирует и обеспечивает реализацию информационного сервиса |
2 | ||
|
Функционирует и обеспечивает построение качественной матрицы корреспонденции |
3 | ||
|
Функционирует и обеспечивает моно- и мультиобъектное маршрутное ориентирование |
5 | ||
|
4. |
Наличие подсистемы управления состоянием дорог <10> |
Подсистема отсутствует |
0 |
|
Функционирует и обеспечивает возможность автоматического/автоматизированного сбора информации об эксплуатационных параметрах дорожного полотна |
2 | ||
|
Функционирует и обеспечивает мониторинг и контроль индикаторов эффективности, характеризующих достижение комплексных целей |
3 | ||
|
Функционирует и обеспечивает оперативное реагирования служб содержания дорог на ухудшение эксплуатационных параметров дорожного полотна |
5 | ||
|
5. |
Наличие подсистемы контроля соблюдения Правил дорожного движения и контроля транспорта <11> |
Подсистема отсутствует |
0 |
|
Функционирует и обеспечивает сбор данных о параметрах интенсивности дорожного движения |
3 | ||
|
Функционирует и обеспечивает сбор данных, являющихся доказательной базой фактов нарушений ПДД |
4 | ||
|
Функционирует и обеспечивает передачу данных правоохранительным органам и подсистемам ИТС |
5 | ||
|
6. |
Наличие подсистемы метеомониторинга <12> |
Подсистема отсутствует |
0 |
|
Имеется обоснование использования подсистемы в ЛП ИТС |
2 | ||
|
Подсистема создана и функционирует в реактивном режиме |
3 | ||
|
Подсистема создана и функционирует в прогнозном режиме |
4 | ||
|
7. |
Наличие подсистемы мониторинга состояния дороги и дорожной инфраструктуры <13> |
Подсистема отсутствует |
0 |
|
Имеется обоснование использования подсистемы в ЛП ИТС |
2 | ||
|
Подсистема создана и функционирует |
4 | ||
|
8. |
Наличие подсистемы обеспечения противогололедной обстановки <14> |
Подсистема отсутствует |
0 |
|
Имеется обоснование использования подсистемы в ЛП ИТС |
2 | ||
|
Подсистема создана и функционирует |
4 | ||
|
9. |
Наличие подсистемы диспетчерского управления транспортом служб содержания дорог <15> |
Подсистема отсутствует |
0 |
|
Имеется обоснование использования подсистемы в ЛП ИТС |
2 | ||
|
Подсистема создана и функционирует |
4 | ||
|
10. |
Наличие подсистемы автоматизированного сбора платы за проезд наличие на дорогах, тоннелях и мостах <16> |
Подсистема отсутствует |
0 |
|
Имеется обоснование использования подсистемы в ЛП ИТС |
2 | ||
|
Подсистема создана и функционирует |
4 | ||
|
11. |
Наличие подсистемы видеонаблюдения, детектирования дорожно-транспортных происшествий и чрезвычайных ситуаций <17> |
Подсистема отсутствует |
0 |
|
Имеется обоснование использования подсистемы в ЛП ИТС |
1 | ||
|
Подсистема создана и функционирует в ручном/автоматизированном режиме |
2 | ||
|
Подсистема создана и функционирует в автоматическом режиме |
4 | ||
|
12. |
Наличие подсистемы мониторинга параметров транспортного потока <18> |
Подсистема отсутствует |
0 |
|
Имеется обоснование использования подсистемы в ЛП ИТС |
3 | ||
|
Подсистема создана и функционирует |
5 | ||
|
13. |
Наличие подсистемы весогабаритного контроля транспортных средств <19> |
Подсистема отсутствует |
0 |
|
Имеется обоснование использования подсистемы в ЛП ИТС |
2 | ||
|
Подсистема создана и функционирует |
4 | ||
|
14. |
Наличие подсистемы информирования участников дорожного движения с помощью динамических информационных табло и знаков переменной информации <20> |
Подсистема отсутствует |
0 |
|
Имеется обоснование использования подсистемы в ЛП ИТС |
2 | ||
|
Подсистема создана и функционирует |
4 | ||
|
15. |
Наличие подсистемы информирования пользователей подсистемы ИТС с помощью бортовых устройств транспортных средств и персональных устройств <21> |
Подсистема отсутствует |
0 |
|
Имеется обоснование использования подсистемы в ЛП ИТС |
3 | ||
|
Подсистема создана и функционирует |
5 | ||
|
16. |
Наличие подсистемы светофорного управления <22> |
Подсистема отсутствует |
0 |
|
Имеется обоснование использования подсистемы в ЛП ИТС |
3 | ||
|
Подсистема создана и функционирует |
5 | ||
|
17. |
Наличие подсистемы управления муниципальными парковками <23> |
Подсистема отсутствует |
0 |
|
Имеется обоснование использования подсистемы в ЛП ИТС |
2 | ||
|
Подсистема создана и функционирует |
4 | ||
|
18. |
Подсистема интерактивного взаимодействия с пользователями <24> |
Подсистема отсутствует |
0 |
|
Имеется обоснование использования подсистемы в ЛП ИТС |
2 | ||
|
Подсистема создана и функционирует |
4 | ||
|
19. |
Наличие подсистемы детектирования опасных грузов <25> |
Подсистема отсутствует |
0 |
|
Имеется обоснование использования подсистемы в ЛП ИТС |
2 | ||
|
Подсистема создана и функционирует |
4 | ||
|
20. |
Наличие подсистемы пополосного управления <26> |
Подсистема отсутствует |
0 |
|
Имеется обоснование использования подсистемы в ЛП ИТС |
2 | ||
|
Подсистема создана и функционирует |
4 | ||
|
21. |
Наличие подсистемы мониторинга параметров пешеходных потоков <27> |
Подсистема отсутствует |
0 |
|
Имеется обоснование использования подсистемы в ЛП ИТС |
2 | ||
|
Подсистема создана и функционирует |
4 | ||
|
22. |
Наличие подсистемы мониторинга экологических параметров <28> |
Подсистема отсутствует |
0 |
|
Имеется обоснование использования подсистемы в ЛП ИТС |
2 | ||
|
Подсистема создана и функционирует в реактивном режиме |
3 | ||
|
Подсистема создана и функционирует в прогнозном режиме |
4 | ||
|
23. |
Наличие подсистемы обеспечения приоритетного проезда <29> |
Подсистема отсутствует |
0 |
|
Имеется обоснование использования подсистемы в ЛП ИТС |
2 | ||
|
Подсистема создана и функционирует в ручном/автоматизированном режиме |
3 | ||
|
Подсистема создана и функционирует в автоматическом режиме |
4 |
--------------------------------
<7> Для подтверждения данного показателя к заявке прикладываются копии документов, подтверждающих внедрение (принятие в эксплуатацию) интеграционной платформы ИТС, а также функционал данной подсистемы.
<8> Для подтверждения данного показателя к заявке прикладываются копии документов, подтверждающих внедрение подсистемы, а также функционал данной подсистемы.
<9> Для подтверждения данного показателя к заявке прикладываются копии документов, подтверждающих внедрение подсистемы, а также функционал данной подсистемы.
<10> Для подтверждения данного показателя к заявке прикладываются копии документов, подтверждающих внедрение подсистемы, а также функционал данной подсистемы.
<11> Для подтверждения данного показателя к заявке прикладываются копии документов, подтверждающих внедрение подсистемы, а также функционал данной подсистемы.
<12> Для подтверждения данного показателя к заявке прикладываются копии документов, подтверждающих внедрение подсистемы, а также функционал данной подсистемы.
<13> Для подтверждения данного показателя к заявке прикладываются копии документов, подтверждающих внедрение подсистемы, а также функционал данной подсистемы.
<14> Для подтверждения данного показателя к заявке прикладываются копии документов, подтверждающих внедрение подсистемы, а также функционал данной подсистемы.
<15> Для подтверждения данного показателя к заявке прикладываются копии документов, подтверждающих внедрение подсистемы, а также функционал данной подсистемы.
<16> Для подтверждения данного показателя к заявке прикладываются копии документов, подтверждающих внедрение подсистемы, а также функционал данной подсистемы.
<17> Для подтверждения данного показателя к заявке прикладываются копии документов, подтверждающих внедрение подсистемы, а также функционал данной подсистемы.
<18> Для подтверждения данного показателя к заявке прикладываются копии документов, подтверждающих степень внедрение подсистемы.
<19> Для подтверждения данного показателя к заявке прикладываются копии документов, подтверждающих степень внедрение подсистемы.
<20> Для подтверждения данного показателя к заявке прикладываются копии документов, подтверждающих степень внедрение подсистемы.
<21> Для подтверждения данного показателя к заявке прикладываются копии документов, подтверждающих степень внедрение подсистемы.
<22> Для подтверждения данного показателя к заявке прикладываются копии документов, подтверждающих степень внедрение подсистемы.
<23> Для подтверждения данного показателя к заявке прикладываются копии документов, подтверждающих степень внедрение подсистемы.
<24> Для подтверждения данного показателя к заявке прикладываются копии документов, подтверждающих степень внедрение подсистемы.
<25> Для подтверждения данного показателя к заявке прикладываются копии документов, подтверждающих степень внедрение подсистемы.
<26> Для подтверждения данного показателя к заявке прикладываются копии документов, подтверждающих степень внедрение подсистемы.
<27> Для подтверждения данного показателя к заявке прикладываются копии документов, подтверждающих степень внедрение подсистемы.
<28> Для подтверждения данного показателя к заявке прикладываются копии документов, подтверждающих степень внедрение подсистемы.
<29> Для подтверждения данного показателя к заявке прикладываются копии документов, подтверждающих степень внедрение подсистемы.
7. Состав критерия, характеризующего ресурсное обеспечение инженерных систем ИТС.
Таблица 7
|
п/п |
Показатель |
Значение |
Балл |
|
1. |
Региональные/муниципальные ЦОД (центры обработки данных) <30> |
Отсутствуют |
0 |
|
Находятся в стадии ввода в эксплуатацию, проектные мощности позволяют обеспечивать работоспособность ИТС агломерации |
5 | ||
|
Есть, необходимо масштабирование/дооснащение в рамках внедрения ИТС агломерации |
5 | ||
|
Есть, позволяют обеспечивать работоспособность ИТС агломерации |
20 | ||
|
2. |
Региональные/муниципальные центральные управляющие пункты <31> |
Отсутствуют |
0 |
|
Находятся в стадии ввода в эксплуатацию, проектные мощности позволяют обеспечивать работоспособность ИТС агломерации |
5 | ||
|
Есть, необходимо масштабирование/дооснащение в рамках внедрения ИТС агломерации |
5 | ||
|
Есть, позволяют обеспечивать работоспособность ИТС агломерации |
20 | ||
|
3. |
Сети передачи данных, соответствующие требованиям концепции ИТС городской агломерации <32> |
Отсутствуют |
0 |
|
Имеются на менее 30% протяженности |
5 | ||
|
Имеются на от 30 до 50% протяженности |
10 | ||
|
Имеются на от 50 до 80% протяженности |
30 | ||
|
Имеются на более 80% протяженности |
40 |
--------------------------------
<30> Для подтверждения данного показателя к заявке прикладываются копии документов, подтверждающих ввод в эксплуатацию ЦОД на территории городской агломерации и наличие указанного оснащения ЦОД.
<31> Для подтверждения данного показателя к заявке прикладываются копии документов, подтверждающих ввод в эксплуатацию региональных/муниципальных центральных управляющих пунктов на территории городской агломерации и наличие указанного оснащения ЦОД.
<32> Для подтверждения данного показателя к заявке прикладываются копии документов, подтверждающих наличие сетей на территории городской агломерации и их протяженность.
8. Состав критерия, характеризующего финансовое обеспечение внедрения ИТС.
Таблица 8
|
п/п |
Показатель |
Значение |
Балл |
|
1. |
Обязательства субъекта Российской Федерации по софинансированию ИТС городской агломерации <33> |
Отсутствует |
0 |
|
Субъект Российской Федерации обеспечивает финансирование предпроектной документации |
5 | ||
|
Субъект Российской Федерации обеспечивает финансирование проектной документации |
10 | ||
|
Субъект Российской Федерации обеспечивает финансирование внедрения (строительства) ИТС в размере до 30% |
20 | ||
|
Субъект Российской Федерации обеспечивает финансирование внедрения (строительства) ИТС в размере от 30 до 50% |
30 | ||
|
Субъект Российской Федерации обеспечивает финансирование внедрения (строительства) ИТС в размере 50% и более |
50 | ||
|
2. |
Государственно-частное партнерство <34> |
Не предусмотрено |
0 |
|
Предусмотрено |
20 | ||
|
3. |
Наличие средств на содержание ИТС <35> |
Отсутствуют |
0 |
|
Имеются, но в объеме не более 50% |
10 | ||
|
Имеются, в полном объеме |
20 | ||
|
Предусмотрен контракт жизненного цикла |
30 |
--------------------------------
<33> Подтверждением является утвержденный в установленном порядке паспорт регионального проекта.
<34> Для подтверждения данного показателя к заявке прикладываются копии документов, подтверждающих заключение/намерения заключения соглашений о государственно-частном (муниципально-частном) партнерстве (концессионных соглашения) в рамках регионального проекта.
<35> Для подтверждения данного показателя к заявке прикладываются копии документов, подтверждающих финансовые обязательства по содержанию системы
9. Источники информации для расчета показателей эффективности локальных проектов
Таблица 9
|
Обозначение переменной |
Наименование переменной |
Источник данных |
|
OCFt |
Операционный денежный поток локального проекта в периоде t, руб. |
Финансовая модель |
|
ICFt |
Инвестиционный денежный поток в отношении локального проекта в периоде t, руб. (не включает в себя нематериальные активы, имущественные вклады, ценные бумаги) |
Финансовая модель |
|
Tax |
Ставка налога на прибыль, % |
Финансовая модель |
|
IPt |
Проценты и комиссии, начисленные по всем заемным источникам финансирования локального проекта в периоде t, руб. |
Финансовая модель |
|
IPdcbt,i |
Проценты и комиссии, уплаченные по всем заемным источникам финансирования локального проекта за исключением выплачиваемых в отношении собственного капитала в периоде t, руб. |
Финансовая модель |
|
PPt |
Средства, полученные по соглашениям по заемному финансированию, за вычетом средств, направленных на погашение основного тела долга по соглашениям по заемному финансированию, в периоде t, руб. |
Финансовая модель |
|
CGt |
Денежный поток по финансированию за счет средств бюджета затрат на реализацию проекта в периоде t, руб. |
Финансовая модель |
|
CFBt |
Денежные потоки бюджетов всех уровней бюджетной системы Российской Федерации в периоде t, руб. |
Финансовая модель |
|
ЭВtЭАН |
Высвобождение времени экономически активного населения за счет реализации локального проекта в году t, часов |
Транспортная модель |
|
|
Среднемесячная номинальная начисленная заработная плата работников в субъекте Российской Федерации, на территории которого локальный проект, руб |
Росстат |
|
Иtипц |
Прогнозный индекс потребительских цен в году t, в процентах |
Минэкономразвития России |
|
OLnew |
Протяженность автомобильных дорог общего пользования федерального, регионального или межмуниципального, местного значения в регионе реализации локального проекта, обслуживающих движение в режиме перегрузки после ввода в эксплуатацию ИТС, км |
Транспортная модель |
|
OCFt |
Операционный денежный поток локального проекта в периоде t, руб. |
Финансовая модель |
|
ICFt |
Инвестиционный денежный поток в отношении локального проекта в периоде t, руб. (не включает в себя нематериальные активы, имущественные вклады, ценные бумаги) |
Финансовая модель |
|
CFBt |
Денежные потоки бюджетов всех уровней бюджетной системы Российской Федерации в периоде t, руб. |
Финансовая модель |
|
Passi |
Среднее количество пассажиров в i-той категории транспортных средств, чел./авт. |
Транспортная модель |
|
rb |
Ставка дисконтирования для бюджетных потоков, % |
Последние доступные на дату подачи заявки данные о ключевой ставке, публикуемые на сайте http://www.cbr.ru/ или в официальных источниках |
10. Значения весовых коэффициентов критериев локальных проектов
Таблица 10
|
N п/п |
Наименование критерия (bj) |
Вес критерия (αj) |
|
1. |
Обеспечение организационно-технической эффективности локального проекта |
0,7 |
|
2. |
Обеспечение финансовой эффективности локального проекта |
0,05 |
|
3. |
Обеспечение бюджетной эффективности локального проекта |
0,05 |
|
4. |
Обеспечение социально-экономической эффективности локального проекта |
0,2 |
|
Итого: |
1,00 | |
Приложение N 4
Утверждено
распоряжением Минтранса России
от 25 марта 2020 г. N АК-60-р
ТРЕБОВАНИЯ К ФИНАНСОВОЙ МОДЕЛИ ЛОКАЛЬНОГО ПРОЕКТА ДЛЯ ЦЕЛЕЙ ПОДГОТОВКИ ЗАКЛЮЧЕНИЯ ВНЕШНЕГО КОНСУЛЬТАНТА
1. Общие требования к финансовой модели
1.1. Финансовая модель должна отражать особенности реализации локального проекта согласно предполагаемым условиям и юридической схеме реализации локального проекта.
1.2. Финансовая модель локального проекта должна обеспечивать единое решение следующих задач:
1.2.1. Расчет прогнозных показателей эффективности локального проекта.
1.2.2. Оптимизация структуры денежных потоков локального проекта с точки зрения возможности привлечения внебюджетного финансирования.
1.2.3. Представление информации об источниках, структуре и назначении финансовых ресурсов, в том числе бюджетных средств и привлекаемого финансирования.
1.2.4. Определение оптимального срока реализации локального проекта.
2. Технические требования к финансовой модели
2.1. Финансовая модель должна быть создана в формате Excel.
2.2. Финансовая модель предоставляется в электронном виде на диске CD-ROM, DVD-ROM или blue-ray с нанесенным именем файла финансовой модели на обложке диска и на самом диске. Не допускается использование перезаписываемых носителей (CD-RW, DVD-RW и т.п.).
2.3. Финансовая модель не должна содержать ограничений на проведение изменений и копирование, а также скрытых листов, любой зашифрованной или защищенной паролем информации. Ни одна часть финансовой модели не должна быть спрятана, защищена, заблокирована или иным образом сделана недоступной или труднодоступной для проверки и внесения изменений. Все формулы Excel должны быть доступными для просмотра и внесения изменений.
2.4. Все элементы, использующиеся при расчетах в составе формул, должны являться действующими ссылками на ячейки, в которых содержатся допущения (исходные данные), или ячейки, содержащие формулы. Недопустимы ссылки на внешние файлы и прочие внешние источники информации.
2.5. Ни при каких обстоятельствах финансовая модель не должна содержать циклических ссылок. В случае если это будет необходимо в целях проведения расчетов, циклические ссылки должны разрешаться с использованием макросов Excel VBA, прилагаемых к документу Excel, которые не должны быть скрыты, защищены, заблокированы или иначе быть недоступны для просмотра или внесения изменений.
3. Требования к описанию финансовой модели
3.1. К финансовой модели локального проекта должно прилагаться описание финансовой модели локального проекта на русском языке - книга допущений. Книга допущений финансовой модели оформляется в формате Word и должна содержать:
3.1.1. Описание структуры финансовой модели.
3.1.2. Описание макросов, использованных в финансовой модели (если применимо).
3.1.3. Описание основных правил пользования финансовой модели, в том числе проведения анализа чувствительности.
3.1.4. Все исходные данные и допущения, используемые в финансовой модели (капитальные затраты, операционные доходы и расходы, макроэкономические допущения и прогнозы, предпосылки по финансированию и т.д.), и ссылки на соответствующие источники информации.
3.1.5. Описание методики и принципов расчета всех ключевых показателей финансовой модели.
3.1.6. Контактные данные лиц, ответственных за предоставление разъяснений по финансовой модели.
3.1.7. Иную информацию, необходимую для понимания структуры, принципов построения, механизма работы и иных особенностей финансовой модели.
3.2. Структура книги допущений к финансовой модели должна обеспечивать логическое развитие темы и соответствовать раскрытию методологии составления финансовой модели. Содержание книги допущений должно быть логически последовательным и определенным. В тексте должны использоваться официально установленные наименования и общеизвестные термины. Текст не должен быть перегружен специальными терминами, а также иностранной терминологией.
4. Требования к исходным данным и расчетам финансовой модели
4.1. Все финансовые показатели должны быть представлены в российских рублях.
4.2. Длительность прогнозирования в финансовой модели должна быть не менее суммарного срока реализации локального проекта (общей продолжительности сроков инвестиционной и эксплуатационной стадий).
4.3. Временной шаг прогнозирования финансовой модели должен составлять не менее одного месяца и не более одного года.
4.4. В финансовой модели должны быть представлены допущения об индексах инфляции, курсах обмена валют (если применимо) и других используемых макроэкономических показателях.
4.5. Финансовая модель должна содержать информацию о капитальных затратах на реализацию проекта, при этом их размер должен соответствовать затратам, в отношении которых получено положительное заключение независимого технического консультанта в отношении технических исходных данных (пункт 4.6 Методики).
4.6. Финансовая модель должна содержать предпосылки для расчета операционных затрат (в том числе затрат на страхование, затрат на банковские гарантии и т.п.) и затрат на поддержание мощностей и обновления активов (в том числе допущения по созданию резервов).
4.7. В финансовой модели должна содержаться информация о прогнозной выручке, в том числе должен быть представлен порядок расчета платежей.
4.8. По каждому отдельному заемному механизму или иному долговому инструменту для любой формы финансирования (собственные и заемные средства) финансовая модель должна включать подробную информацию об условиях привлечения, обслуживания и погашения таких долговых обязательств.
4.9. Финансовая модель должна содержать предпосылки по государственному финансированию локального проекта, включая информацию о сумме и порядке (сроках, графике и направлении) предоставления бюджетного финансирования, а также прочие необходимые данные.
4.10. В финансовой модели должны быть приведены предпосылки по учетной политике (политика по амортизации, капитализации затрат, созданию резервов, признанию выручки и пр.) и допущения бухгалтерского учета (сроки амортизации, предпосылки для расчета оборотного капитала и пр.).
4.11. В финансовой модели должны быть представлены допущения для расчета налоговых платежей в соответствии с законодательством Российской Федерации о налогах и сборах.
4.12. В финансовой модели должны быть приведены иные необходимые исходные данные и предпосылки, важные для отрасли и типа локального проекта.
5. Требования к структуре и оформлению финансовой модели
5.1. Финансовая модель должна обладать понятной и логичной структурой. Последовательно должны быть представлены исходные данные (допущения), финансовые прогнозы и промежуточные расчеты, результаты финансовых прогнозов; указанные элементы должны быть визуально отделены друг от друга, но связаны между собой расчетными формулами.
5.2. Финансовая модель должна обладать достаточной степенью детализации, то есть содержать разбивки по основным объектам капитального строительства (реконструкции), периодам, статьям доходов и затрат и т.п. (если применимо).
5.3. В финансовой модели ячейки, содержащие различные типы данных, должны выделяться различными стилями (цвет текста и (или) фона, размер шрифта и т.п.) таким образом, чтобы они были легко визуально различимы. Отличные друг от друга стили должны как минимум иметь ячейки с исходными данными, ячейки, которые изменяются посредством формул, и ячейки, которые изменяются посредством макросов.
5.4. Подбор стилей оформления финансовой модели должен обеспечивать доступность ее восприятия.
5.5. Формулы расчета финансовых показателей (коэффициентов), которые присутствуют в финансовой модели, должны быть неизменными для всех частей и периодов финансовой модели.
5.6. На отдельном листе должна быть реализована проверка корректности вычислений финансовой модели. На данном листе должна проверяться сходимость прогнозного баланса, равенство величины изменения денежных средств в прогнозном балансе и в прогнозном отчете о движении денежных средств, совпадение источников и направления финансирования, неотрицательность остатка денежных средств в прогнозном отчете о движении денежных средств. В отдельной ячейке данного листа должен быть реализован индикатор наличия ошибок, который показывает наличие хотя бы одной ошибки. В случае наличия ошибки данный индикатор должен быть выделен красным цветом с помощью условного форматирования таким образом, чтобы он был легко заметен. Данный индикатор также должен быть продублирован на каждом листе финансовой модели с сохранением условного форматирования.
6. Требования к функциональным возможностям финансовой модели
6.1. Финансовая модель должна допускать внесение изменений в первоначально заложенные исходные данные и автоматически или с помощью запуска макроса пересчета корректировать финансовые прогнозы в случае внесения таких изменений.
6.2. Не должно быть затруднено внесение изменений в финансовую модель, в частности, финансовая модель должна позволять изменять ключевые прогнозные даты, менять структуру и условия финансирования и изменять иные финансовые и технико-экономические допущения без необходимости изменения структуры финансовой модели.
6.3. Финансовая модель должна обеспечивать хранение исходных данных в разрезе нескольких сценариев.
6.4. Финансовая модель должна обеспечивать возможность проведения анализа чувствительности в том числе для следующих параметров:
6.4.1. Объем капитальных затрат.
6.4.2. Величина выручки.
6.4.3. Величина операционных расходов.
6.4.4. Ставки по заемному финансированию.
6.4.5. Требуемая доходность собственников (частных инвесторов).
6.5. В финансовой модели должна быть реализована возможность введения различных значений для шага изменений параметров для целей анализа чувствительности.
7. Требования к составу результатов финансовой модели
7.1. Результаты расчетов финансовой модели приводятся за весь срок прогнозного периода локального проекта и включают основную финансовую отчетность и показатели эффективности.
7.2. Прогнозная финансовая отчетность должна быть представлена в ценах соответствующих лет и включать в себя:
7.2.1. Отчет о движении денежных средств.
7.2.2. Отчет о прибылях и убытках.
7.2.3. Бухгалтерский баланс.
7.3. Формы прогнозной финансовой отчетности и промежуточные отчеты не должны противоречить друг другу.
7.4. Независимо от используемого шага прогнозирования финансовая модель должна содержать финансовую отчетность с годовым временным шагом.
7.5. Финансовая модель должна содержать расчет финансовой эффективности локального проекта, осуществленный в том числе в соответствии с пунктом 5.11 Методики.
7.6. Финансовая модель должна содержать расчет бюджетной эффективности локального проекта, осуществленный в том числе в соответствии с пунктом 5.12 Методики.
7.7. Финансовая модель должна содержать расчет социально-экономической эффективности локального проекта, осуществленный в том числе в соответствии с пунктом 5.9 Методики.
Приложение N 5
Утверждено
распоряжением Минтранса России
от 25 марта 2020 г. N АК-60-р
АРХИТЕКТУРА ИНТЕЛЛЕКТУАЛЬНОЙ ТРАНСПОРТНОЙ СИСТЕМЫ ГОРОДСКОЙ АГЛОМЕРАЦИИ

Приложение N 6
Утверждено
распоряжением Минтранса России
от 25 марта 2020 г. N АК-60-р
ТЕХНИЧЕСКИЕ ТРЕБОВАНИЯ К ЛОКАЛЬНОМУ ПРОЕКТУ
1. Общие положения
В международной практике проблема перегруженности городских автомагистралей решается за счет повышения эффективности управления дорожным движением, в том числе благодаря внедрению и развитию современных интеллектуальных транспортных систем (ИТС), способных обеспечить управление дорожным движением на существующей УДС без увеличения плотности дорожной сети.
Основным назначением ИТС является автоматизированный поиск и принятие к реализации максимально эффективных сценариев управления транспортной системой городской агломерации, конкретным транспортным средством или группой транспортных средств, с целью обеспечения заданной мобильности населения, максимизации показателей использования дорожной сети, повышения безопасности и эффективности транспортного процесса, комфортности для водителей и пользователей транспорта.
Создаваемые подсистемы ИТС должны быть архитектурно и функционально совместимыми на основе современной интегрированной с международными стандартами нормативной базы и практического отечественного и международного опыта.
Эффективное управление дорожным движением должно обеспечивать равномерную загрузку транспортной сети на грани ее пропускной способности, не допуская перегрузки уязвимых зон, а также прогнозировать развитие транспортной обстановки, иметь возможность изменять интенсивность потоков в местах, не имеющих стратегического значения для состояния дорожного движения в городе.
Достижение целей ИТС обеспечивается при помощи услуг и сервисов, которые ИТС предоставляет пользователям.
Отличительной особенностью современных ИТС является изменение статуса транспортной единицы от независимого, самостоятельного и в значительной степени непредсказуемого субъекта дорожного движения в сторону "активного", предсказуемого субъекта транспортно-информационного пространства. В этой связи одной из ключевых задач является развитие телематического комплекса дорожной инфраструктуры.
Оперативной задачей ИТС является осуществление и поддержка возможности автоматизированного и автоматического взаимодействия всех транспортных субъектов в реальном масштабе времени на адаптивных принципах.
ИТС обеспечивает оперативное информационное взаимодействие для осуществления следующих функций:
1.1. Мониторинг дорожного движения:
1.1.1. Сбор сведений о параметрах транспортных потоков.
1.1.2. Телеобзор с функцией автоматического выявления инцидентов.
1.1.3. Фотовидеофиксация нарушений правил дорожного движения.
1.1.4. Метеорологический контроль.
1.1.5. Сбор сведений о наличии парковочных мест.
1.2. Управление дорожной инфраструктурой.
1.3. Управление транспортными средствами, включая диспетчерские и оперативные службы.
1.4. Информирование участников дорожного движения.
1.4.1. Контроль за движением общественного (пассажирского) и специального (транспортных средств, используемых для осуществления деятельности пожарной охраны, полиции, медицинской скорой помощи, аварийно-спасательных служб) транспорта, а также автотранспорта служб городского хозяйства.
1.4.2. Передача информации на абонентские (пользовательские) мобильные электронные устройства.
1.4.3. Функционирование географического информационного ресурса.
1.4.4. Вывод текстовой и графической информации о складывающейся дорожно-транспортной обстановке на различные информационные табло, устанавливаемые на УДС и периферийное (пользовательское) оборудование ГЛОНАСС.
1.4.5. Вывод информации о наличии свободных парковочных мест.
1.4.6. Функционирование call-центра (многоканальный телефон).
1.4.7. Передача информации с помощью интернет-сайтов и средств массовой информации.
1.5. Управление дорожным движением;
1.5.1. Координированное управление светофорными объектами на магистралях.
1.5.2. Координированное управление светофорными объектами на отдельных участках УДС.
1.5.3. Введение оперативных изменений в организацию движения на отдельных участках УДС с помощью Управляемых дорожных знаков.
1.6. Управление оперативным реагированием.
1.7. Управление процессом перевозки опасных грузов.
Входная информация от смежных информационных систем:
пассажиропотоки на транспорте;
внешние события, затрагивающие транспортную систему;
информация дорожных служб;
информация внешних метеослужб;
информация ГО и ЧС;
прочие источники информационного обмена.
Структура информации, передаваемой в другие информационные системы от ИТС дорожной сети городской агломераций:
дорожно-транспортная обстановка на участках дорог в случае возникновения ДТП или проведении мероприятий, оказывающих влияние на движение транспорта;
сценарии управления для диспетчерских служб;
данные метеомониторинга и метеопрогноза дорожных метеостанций;
информирование и маршрутизация: предоставление информации в навигационные системы посредством информационного портала в Интернет, в организации, предоставляющие услуги мобильной связи и т.д.);
структурированный мониторинг и управление инженерными службами содержания;
мониторинг искусственных сооружений (мостов, тоннелей, транспортных развязок, эстакад и др.);
управление направлениями дорожного движения и обеспечение безопасности дорожного движения.
2. Основными целями создания ИТС являются:
2.1 повышение уровня безопасности дорожного движения, выработка эффективных решений с целью предотвращения дорожно-транспортных происшествий (ДТП) и минимизация негативных последствий от произошедших ДТП;
2.2. оптимизация условий движения транспортных потоков на автомобильных дорогах городской агломерации для повышения их пропускной способности и снижения риска возникновения ДТП;
2.3. обеспечение высокого качества транспортного обслуживания всех пользователей;
2.4. снижение вредного воздействия транспортного комплекса на экосистему;
2.5. повышение эффективности функционирования транспорта и транспортной инфраструктуры городской агломерации;
2.6. повышение качества планирования и управления в области транспортного комплекса и транспортной инфраструктуры;
2.7. повышение эффективности контроля транспортно-эксплуатационного состояния автомобильных дорог;
2.8. повышение эффективности работы по ликвидации ЧС и их последствий.
3. Основными задачами ИТС являются:
3.1. обеспечение динамичного развития УДС городской агломерации;
3.2. снижение задержек и увеличение скорости сообщения на всех видах транспорта на основе создания системы управления транспортными потоками, действующей в реальном времени;
3.3. сокращение количества и тяжести аварий и дорожно-транспортных происшествий
3.4. обеспечение приоритетных условий движения пассажирского и специального транспорта, в том числе с использованием систем точного позиционирования на основе перспективных технологий на базе ГЛОНАСС/GPS;
3.5. обеспечение оперативного автоматизированного контроля движения транспорта и оперативного управления им;
3.6. развитие системы взимания платы, прежде всего на основе применения электронных средств на общественном транспорте;
3.7. улучшение информационного обеспечения субъектов управления транспортным комплексом;
3.8. улучшение информационного обеспечения участников движения. Снижение негативных последствий сбоев в устойчивом функционировании транспортной системы городской агломерации;
3.9. повышение оперативности управления парком транспортных средств специальных, ремонтных, эксплуатационных и аварийных служб, в том числе с использованием систем точного позиционирования на базе спутниковых технологий ГЛОНАСС/GPS и наземного оборудования;
3.10. снижение негативных последствий сбоев в устойчивом функционировании автомобильных дорог городской агломерации;
3.11. обеспечение интегрированного подхода к созданию технического, информационного и программного обеспечения развития автомобильных дорог городской агломерации;
3.12. оперативное предоставление актуальной информации об изменении дорожного движения на УДС в центр управления дорожным движением городской агломерации, а также в областной центр управления транспортным районом и/или федеральные центры.
3.13. обеспечение применения перспективных технологий, которые позволят ИТС взаимодействовать с высокоавтоматизированными транспортными средствами (ВАТС).
4. Общие требования
Решения по элементам ИТС в той или иной степени должны учитывать зарубежный и отечественный опыт и при необходимости отдельные решения могут и должны быть позаимствованы.
Проектные решения должны отвечать технологическим, техническим требованиям и должны соответствовать экологическим, санитарно-гигиеническим, противопожарным и другим нормам, действующим на территории Российской Федерации, обеспечить безопасность для жизни и здоровья людей при эксплуатации объекта.
Проектные решения заложить с учетом энергоэффективных строительных материалов и инновационных передовых технических решений.
При создании ИТС в обязательном порядке должны соблюдаться требования стандартов и руководящих документов, описывающих процесс создания автоматизированных систем.
В основе системы управления ИТС на региональном уровне лежит "Единая платформа управления транспортной системой" выполняющая функцию главной интеграционной платформы.
При формировании ИТС необходимо учитывать в том числе положения:
Федерального закона от 27.07.2006 N 152-ФЗ "О персональных данных".
Федерального закона от 26.07.2017 N 187-ФЗ "О безопасности критической информационной инфраструктуры Российской Федерации".
Постановления Правительства Российской Федерации от 16.11.2015 N 1236 "Об установлении запрета на допуск программного обеспечения происходящего из иностранных государств, для целей осуществления закупок для обеспечения государственных и муниципальных нужд".
Постановления Правительства Российской Федерации от 10.07.2019 N 878 "О мерах стимулирования производства радиоэлектронной продукции на территории Российской Федерации при осуществлении закупок товаров, работ, услуг для обеспечения государственных и муниципальных нужд, о внесении изменений в постановление Правительства Российской Федерации от 16.09.2016 N 925 и признании утратившими силу некоторых актов Правительства Российской Федерации".
5. Единая платформа управления транспортной системой (ЕПУТС).
5.1. Общие положения
Единая цифровая платформа транспортной системы представляет собой модульную систему сбора и аналитики транспортных потоков в режиме реального времени с возможностью визуализации и поддержки принятия решения.
Главная цель ЕПУТС - организация взаимосвязанного функционирования всех подсистем и сервисов ИТС дорожной сети агломераций как единого целого для повышения пропускной способности транспортной сети и безопасности участников дорожного движения.
ЕПУТС обеспечивает сбор и анализ данных интеллектуальной транспортной системы городской агломерации, поступающих со всех внутренних подсистем и внешних информационных систем (источников) таких как: административно-технические инспекции городской агломерации, ГИБДД, дорожные службы, такси, каршеринг и т.п.
5.2. ЕПУТС обеспечивает решение следующих задач:
5.2.1. Сбор и хранение данных от всех подсистем ИТС.
5.2.2. Агрегирование и обработка текущих и ретроспективных данных
5.2.3. Визуализация текущего состояния транспортной системы.
5.2.4. Представление данных в установленной отчетной форме.
5.2.5. Определение режима функционирования транспортной системы.
5.2.6. Корректировка работы подсистем ИТС.
5.2.7. Управление транспортной системой с целью максимизации индикаторов.
5.2.8. Эффективности ИТС дорожной сети городской агломераций.
Также платформа позволяет выдавать исходные данные для разработки технических условий на подключение к интеллектуальной транспортной системе городской агломерации, рассчитывая текущую и прогнозируемую нагрузку на улично-дорожную сеть при вводе новых объектов строительства в эксплуатацию.
Платформа обеспечивает как занесение всей актуальной информации обо всем, что происходит на улично-дорожной сети, так и предоставляет возможность создавать информационные сервисы для населения.
ЕПУТС предназначена для центров организации дорожного движения городской агломерации. Платформа позволяет при принятии управленческих решений в дорожно-транспортном комплексе учитывать наибольшее количество источников данных.
Платформа объединяет весь дорожно-транспортный комплекс в единую цифровую платформу управления и анализа с возможностью модульной модернизации. Использование системы повышает эффективность расходования средств и использования улично-дорожной сети городской агломерации, а также оптимизирует работу сотрудников отрасли.
5.3. ЕПУТС обладает следующими функциями:
5.3.1. Прогнозирование в режиме реального времени транспортной ситуации на основе полученных данных от всех поставщиков информации.
5.3.2. Информирование население о предстоящих изменениях в организации дорожного движения в режиме заблаговременного предупреждения.
5.3.3. Мониторинг движения транспортных средств дорожных и специализированных служб городской агломерации, а также такси и каршеринга в режиме реального времени.
5.3.4. Предоставление единого рабочего места по созданию событий и их администрированию всем службам городской агломерации.
5.3.5. Цифровизация текущих бизнес-процессов городских служб в части предоставления государственных услуг.
5.3.6. Предоставление телематической информации для всех участников дорожного движения и заинтересованных ведомств.
ЕПУТС должна быть интегрирована с федеральной системой управления ИТС, которая в свою очередь осуществляет взаимодействие с комплексной ИТС транспортного комплекса Российской Федерации (КИТС)
Главная цель федеральной системы управления ИТС - организация взаимосвязанного функционирования всех ИТС федеральных дорог и ИТС регионального уровня как единого целого для повышения качества работы транспортной отрасли Российской Федерации.
5.4. Структура ЕПУТС
ЕЦПТС состоит из модулей:
5.4.1. Модуль координированного управления движением.
5.4.2. Модуль выдачи транспортных разрешений.
5.4.3. Модуль конфигурации сценарных планов управления движением.
5.4.4. Модуль консолидации транспортных правонарушений.
5.4.5. Модуль диспетчерского управления ИТС для ЧС и ВС.
5.4.6. Модуль контроля эффективности ИТС.
5.4.7. Модуль управления дорожными работами.
5.4.8. Модуль централизованного информирования участников движения.
5.4.9. Модуль управления движением общественного транспорта.
5.4.10. Модуль внутренних и внешних сервисов.
5.4.11. Модуль конфигурации парковочного пространства.
5.4.12. Модуль конфигурации сети V2X.
5.4.13. Модуль транспортного прогнозирования и моделирования.
5.4.14. Модуль биллинга платного проезда и сервисов.
5.4.15. Модуль электронного КСОДД.
5.4.16. Модуль "Цифровой двойник".
6. Общие требования к оборудованию
Все оборудование, предусмотренное для установки в составе систем ИТС и технологической связи, должно иметь все необходимые сертификаты соответствия Российской Федерации, либо справку от органа по сертификации о том, что используемое оборудование обязательной сертификации Системы сертификации ГОСТ Р не подлежит.
Решения, принятые в процессе проектирования, должны иметь открытую архитектуру и предусматривать возможность модернизации и наращивания системы без ее кардинальной переработки.
Выбор активного оборудования произвести на основании технико-экономического анализа вариантов с учетом:
климатических условий эксплуатации;
интерфейса подключения;
требуемой скорости обмена потоками;
совместимости используемых протоколов управляющей аппаратуры и телекоммуникационных узлов всех уровней;
стоимости оборудования и эксплуатационных расходов за срок службы.
Режим работы оборудования - непрерывный (круглосуточный).
Применяемое оборудование должно соответствовать текущему уровню развития информационных технологий.
Приложение N 7
Утверждено
распоряжением Минтранса России
от 25 марта 2020 г. N АК-60-р
Заявка на предоставление трансфертов
[указать название субъекта Российской Федерации)]
"Развития цифровой инфраструктуры дорожной сети агломераций,
интеллектуальных транспортных систем и/или их элементов"
|
Наименование федерального проекта |
"Общесистемные меры развития дорожного хозяйства" национального проекта "Безопасные и качественные автомобильные дороги" |
|
Полное наименование локального проекта |
[указать полное наименование] |
Приложение: _________________________________________ на __ л. в 1 экз.
(перечень документов, указанных в п. 4 настоящей Методики)
___________________ __________________
(должность) (ФИО)
Приложение N 8
Утверждено
распоряжением Минтранса России
от 25 марта 2020 г. N АК-60-р
ФОРМА
финансово-экономического обоснования
|
Наименование локального проекта | |
|
Наименование государственной программы Российской Федерации | |
|
Единица измерения: |
тыс. руб. |
1. Сведения о финансовом обеспечении реализации проекта
|
Наименование источника финансового обеспечения |
Итого |
на 2020 год |
на 2021 год |
на 2022 год |
на 2023 год |
на 2024 год |
|
Общий объем финансового обеспечения на реализацию решения, предусмотренного проектом, всего | ||||||
|
В том числе в разрезе источников: бюджетные ассигнования федерального бюджета, предусмотренные федеральным законом о федеральном бюджете | ||||||
|
Бюджетные ассигнования бюджетов субъектов Российской Федерации и местных бюджетов | ||||||
|
Собственные (привлеченные) средства участников инвестиционного проекта |
2. Объем финансового обеспечения в разрезе мероприятий
|
Наименование мероприятия |
Направление расходов |
Итого |
на 2020 год |
на 2021 год |
на 2022 год |
на 2023 год |
на 2024 год |
|
Инвестиционная стадия |
Виды работ 1 | ||||||
|
Виды работ 2 | |||||||
|
Виды работ 3.... | |||||||
|
Операционная стадия |
Виды работ 1 | ||||||
|
Виды работ 2 | |||||||
|
Виды работ 3.... |
3. Финансовый эффект и макроэкономические последствия от реализации проекта
|
Наименование показателя |
Планируемое значение на дату окончания проекта |
|
Объем инвестиций в проект | |
|
Срок окупаемости проекта (дисконтированный), лет | |
|
Чистая приведенная стоимость проекта (NPV) | |
|
Внутренняя норма доходности (IRR), % | |
|
Средневзвешенная стоимость капитала (WACC), % | |
|
Рентабельность на собственный капитал (ROE), % | |
|
Доходность на заемный капитал, % | |
|
Макроэкономические последствия |
4. Ожидаемые показатели бюджетной, финансовой и социально-экономической эффективности ИТС
|
Наименование показателя |
Значение |
|
Значение показателя расширенной чистой приведенной стоимости по социально-экономической эффективности | |
|
Значение показателя чистой приведенной стоимости локального проекта по финансовой эффективности | |
|
Значение индекса бюджетной эффективности |


