Постановление от 20.04.2016 г. № 329 (17.05.2021) ОБ УТВЕРЖДЕНИИ ПРАВИЛ ПРЕДОСТАВЛЕНИЯ И РАСПРЕДЕЛЕНИЯ ИНЫХ МЕЖБЮДЖЕТНЫХ ТРАНСФЕРТОВ НА ФИНАНСОВОЕ ОБЕСПЕЧЕНИЕ ДОРОЖНОЙ ДЕЯТЕЛЬНОСТИ
ПРАВИТЕЛЬСТВО РОССИЙСКОЙ ФЕДЕРАЦИИ
ПОСТАНОВЛЕНИЕ
от 20 апреля 2016 г. N 329
ОБ УТВЕРЖДЕНИИ ПРАВИЛ ПРЕДОСТАВЛЕНИЯ И РАСПРЕДЕЛЕНИЯ ИНЫХ МЕЖБЮДЖЕТНЫХ ТРАНСФЕРТОВ НА ФИНАНСОВОЕ ОБЕСПЕЧЕНИЕ ДОРОЖНОЙ ДЕЯТЕЛЬНОСТИ В РАМКАХ ВЕДОМСТВЕННОЙ ЦЕЛЕВОЙ ПРОГРАММЫ "СОДЕЙСТВИЕ РАЗВИТИЮ АВТОМОБИЛЬНЫХ ДОРОГ РЕГИОНАЛЬНОГО, МЕЖМУНИЦИПАЛЬНОГО И МЕСТНОГО ЗНАЧЕНИЯ" ГОСУДАРСТВЕННОЙ ПРОГРАММЫ РОССИЙСКОЙ ФЕДЕРАЦИИ "РАЗВИТИЕ ТРАНСПОРТНОЙ СИСТЕМЫ"
С изменениями:
(в ред. Постановлений Правительства РФ от 17.05.2016 N 435, от 21.11.2016 N 1222, от 20.01.2017 N 43, от 31.03.2017 N 388, от 29.06.2017 N 767, от 03.02.2018 N 100, от 02.03.2019 N 228, от 21.12.2019 N 1763, от 25.12.2020 N 2265, от 17.05.2021 N 749)
Правительство Российской Федерации постановляет:
1. Утвердить прилагаемые Правила предоставления и распределения иных межбюджетных трансфертов на финансовое обеспечение дорожной деятельности в рамках ведомственной целевой программы "Содействие развитию автомобильных дорог регионального, межмуниципального и местного значения" государственной программы Российской Федерации "Развитие транспортной системы".
2. Министерству транспорта Российской Федерации по согласованию с Министерством экономического развития Российской Федерации и Министерством финансов Российской Федерации утвердить методику отбора проектов строительства (реконструкции) автомобильных дорог (участков автомобильных дорог и (или) искусственных дорожных сооружений), реализуемых субъектами Российской Федерации в рамках концессионных соглашений, для предоставления иных межбюджетных трансфертов в целях достижения целевых показателей региональных программ в сфере дорожного хозяйства, предусматривающих реализацию указанных проектов.
Председатель Правительства
Российской Федерации
Д.МЕДВЕДЕВ
Утверждены
постановлением Правительства
Российской Федерации
от 20 апреля 2016 г. N 329
ПРАВИЛА ПРЕДОСТАВЛЕНИЯ И РАСПРЕДЕЛЕНИЯ ИНЫХ МЕЖБЮДЖЕТНЫХ ТРАНСФЕРТОВ НА ФИНАНСОВОЕ ОБЕСПЕЧЕНИЕ ДОРОЖНОЙ ДЕЯТЕЛЬНОСТИ В РАМКАХ ВЕДОМСТВЕННОЙ ЦЕЛЕВОЙ ПРОГРАММЫ "СОДЕЙСТВИЕ РАЗВИТИЮ АВТОМОБИЛЬНЫХ ДОРОГ РЕГИОНАЛЬНОГО, МЕЖМУНИЦИПАЛЬНОГО И МЕСТНОГО ЗНАЧЕНИЯ" ГОСУДАРСТВЕННОЙ ПРОГРАММЫ РОССИЙСКОЙ ФЕДЕРАЦИИ "РАЗВИТИЕ ТРАНСПОРТНОЙ СИСТЕМЫ"
I. Общие положения
1. Настоящие Правила устанавливают порядок предоставления и распределения иных межбюджетных трансфертов бюджетам субъектов Российской Федерации на финансовое обеспечение дорожной деятельности в рамках ведомственной целевой программы "Содействие развитию автомобильных дорог регионального, межмуниципального и местного значения" государственной программы Российской Федерации "Развитие транспортной системы" (далее - иные межбюджетные трансферты).
2. Иные межбюджетные трансферты предоставляются в целях софинансирования региональных программ, в том числе в целях достижения целевых показателей региональных программ, предусматривающих:
а) мероприятия, направленные на прирост протяженности автомобильных дорог общего пользования регионального или межмуниципального, местного значения на территории субъекта Российской Федерации, соответствующих нормативным требованиям к транспортно-эксплуатационным показателям, и на увеличение объемов строительства (реконструкции) автомобильных дорог;
б) мероприятия, реализуемые с применением механизмов государственно-частного партнерства, и мероприятия по строительству, реконструкции и ремонту уникальных искусственных дорожных сооружений.
3. Иные межбюджетные трансферты предоставляются в пределах бюджетных ассигнований и лимитов бюджетных обязательств, доведенных Федеральному дорожному агентству как получателю средств федерального бюджета на предоставление иных межбюджетных трансфертов.
4. Общий размер иных межбюджетных трансфертов, предусмотренных федеральным законом о федеральном бюджете на соответствующий год (Т), распределяется на иные межбюджетные трансферты, предоставляемые в целях финансового обеспечения региональных программ, в том числе в целях достижения целевых показателей региональных программ, предусматривающих мероприятия, указанные в подпункте "а" пункта 2 настоящих Правил, на соответствующий год (далее - иные межбюджетные трансферты Тпп) и на иные межбюджетные трансферты, предоставляемые в целях финансового обеспечения региональных программ, в том числе в целях достижения целевых показателей региональных программ, предусматривающих мероприятия, указанные в подпункте "б" пункта 2 настоящих Правил, на соответствующий год (далее - иные межбюджетные трансферты Тчм).
Размер иных межбюджетных трансфертов Тчм, а также иных межбюджетных трансфертов Тпп принимается равным 0,5 общего размера иных межбюджетных трансфертов Т.
Абзац утратил силу. - Постановление Правительства РФ от 21.12.2019 N 1763.
Предложения по распределению иных межбюджетных трансфертов Тпп и Тчм между бюджетами субъектов Российской Федерации подготавливаются Министерством транспорта Российской Федерации в соответствии с методикой согласно приложению.
В подготовленный Министерством транспорта Российской Федерации проект распределения иных межбюджетных трансфертов Тпп и Тчм между бюджетами субъектов Российской Федерации могут быть внесены изменения на основании решений Правительственной комиссии по региональному развитию в Российской Федерации или президиума (штаба) указанной Правительственной комиссии (далее соответственно - Комиссия, президиум Комиссии).
На основании решений Комиссии или президиума Комиссии Министерством транспорта Российской Федерации обеспечиваются подготовка и внесение в Правительство Российской Федерации предложений по внесению изменений в утвержденные распределения иных межбюджетных трансфертов Тпп и Тчм между бюджетами субъектов Российской Федерации.
По решению Комиссии или президиума Комиссии может быть предусмотрено частичное покрытие расходов, связанных с реализацией соответствующих мероприятий региональных программ.
5. Общий размер иных межбюджетных трансфертов Тчм рассчитывается по формуле:
Тчм = Т3 + Т4,
где:
Т3 - размер иных межбюджетных трансфертов, предоставляемых в целях достижения целевых показателей региональных программ, предусматривающих мероприятия, реализуемые с применением механизмов государственно-частного партнерства (далее - иные межбюджетные трансферты Т3). Размер иных межбюджетных трансфертов Т3 принимается равным 0,25 общего размера иных межбюджетных трансфертов Т;
Т4 - размер иных межбюджетных трансфертов, предоставляемых в целях достижения целевых показателей региональных программ, предусматривающих мероприятия по строительству, реконструкции и ремонту уникальных искусственных дорожных сооружений (далее - иные межбюджетные трансферты Т4). Размер иных межбюджетных трансфертов Т4 принимается равным 0,25 общего размера иных межбюджетных трансфертов Т.
5(1). В случае если в текущем году бюджетные ассигнования и лимиты бюджетных обязательств дополнительно доведены до Федерального дорожного агентства как получателя средств федерального бюджета на предоставление иных межбюджетных трансфертов, за исключением лимитов бюджетных обязательств на предоставление бюджетам субъектов Российской Федерации иных межбюджетных трансфертов, не использованных в отчетном году и подтвержденных Министерством финансов Российской Федерации для использования на те же цели в текущем году, такие иные межбюджетные трансферты могут распределяться на основании акта Правительства Российской Федерации без учета требований, установленных пунктами 4, 5 и 6 настоящих Правил.
В случае если в соответствии с федеральным законом о федеральном бюджете на соответствующий год и плановый период предусмотрено уменьшение объема иных межбюджетных трансфертов, предусмотренных федеральным законом о федеральном бюджете на предыдущий год и соответствующий плановый период и распределенных полностью или частично в соответствии с актами Правительства Российской Федерации, внесение изменений в распределение указанных иных межбюджетных трансфертов может осуществляться без учета требований, установленных пунктами 4 - 6 настоящих Правил.
5(2). Контроль за соблюдением субъектами Российской Федерации условий предоставления иных межбюджетных трансфертов осуществляется Федеральным дорожным агентством и органами государственного финансового контроля.
Отчетность об исполнении условий предоставления иных межбюджетных трансфертов формируется высшими исполнительными органами государственной власти субъектов Российской Федерации и представляется в территориальные органы Федерального казначейства после заключения соглашений, предусмотренных пунктами 18, 37 и 62 настоящих Правил.
5(3). Оценка эффективности предоставления иных межбюджетных трансфертов осуществляется Федеральным дорожным агентством путем сравнения плановых и фактических значений результатов предоставления иных межбюджетных трансфертов.
II. Порядок предоставления и распределения иных межбюджетных трансфертов в целях достижения целевых показателей региональных программ, предусматривающих мероприятия, направленные на прирост протяженности автомобильных дорог общего пользования регионального или межмуниципального, местного значения на территории субъекта Российской Федерации, соответствующих нормативным требованиям к транспортно-эксплуатационным показателям, и на увеличение объемов строительства (реконструкции) автомобильных дорог в 2013 - 2022 годах по сравнению с такими объемами в 2003 - 2012 годах
6. Общий размер иных межбюджетных трансфертов Тпп рассчитывается по формуле:
Тпп = Т1 + Т2,
где:
Т1 - размер иных межбюджетных трансфертов, предоставляемых на достижение целевых показателей региональных программ в сфере дорожного хозяйства, предусматривающих осуществление крупных особо важных для социально-экономического развития Российской Федерации проектов (далее - иные межбюджетные трансферты Т1);
Т2 - размер иных межбюджетных трансфертов, предоставляемых на достижение целевых показателей региональных программ в сфере дорожного хозяйства, предусматривающих приведение в нормативное состояние, развитие и увеличение пропускной способности сети автомобильных дорог общего пользования регионального или межмуниципального, местного значения (далее - иные межбюджетные трансферты Т2).
7. В настоящих Правилах под крупными особо важными для социально-экономического развития Российской Федерации проектами понимаются реализуемые или планируемые к реализации на автомобильных дорогах общего пользования регионального или межмуниципального, местного значения проекты, которые имеют общегосударственное (межрегиональное) значение и строительство (реконструкция) которых осуществляется во исполнение указаний, поручений или актов Президента Российской Федерации и (или) Правительства Российской Федерации.
При этом по решению Комиссии или президиума Комиссии может осуществляться финансирование работ по подготовке проектной документации в части проектов, реализуемых в рамках контрактов, предметом которых являются одновременно подготовка проектной документации, строительство (реконструкция) и ввод объектов в эксплуатацию, в отношении объектов капитального строительства стоимостью более 1,5 млрд. рублей при условии наличия соответствующего положительного заключения технологического и ценового аудита.
В настоящих Правилах под приведением в нормативное состояние, развитием и увеличением пропускной способности сети автомобильных дорог общего пользования регионального или межмуниципального, местного значения понимаются мероприятия по строительству (реконструкции) автомобильных дорог общего пользования регионального или межмуниципального, местного значения, включая крупные особо важные для социально-экономического развития Российской Федерации проекты, и мероприятия по капитальному ремонту и ремонту автомобильных дорог общего пользования регионального или межмуниципального, местного значения.
7(1). Критерием отбора субъектов Российской Федерации для предоставления иных межбюджетных трансфертов Т1 является наличие указаний, поручений или актов Президента Российской Федерации и (или) Правительства Российской Федерации, предусматривающих реализацию соответствующих крупных особо важных для социально-экономического развития Российской Федерации проектов.
Критериями отбора субъектов Российской Федерации для предоставления иных межбюджетных трансфертов Т2 является наличие указаний, поручений или актов Президента Российской Федерации и (или) Правительства Российской Федерации, предусматривающих дополнительное финансирование мероприятий в отношении автомобильных дорог регионального или межмуниципального, местного значения субъектов Российской Федерации, включая улично-дорожную сеть муниципальных образований, или наличие обращения высшего органа исполнительной власти субъекта Российской Федерации в Министерство транспорта Российской Федерации о наличии потребности в иных межбюджетных трансфертах Т2 с соответствующими обоснованиями.
8. Размер иных межбюджетных трансфертов Т1 принимается равным размеру иных межбюджетных трансфертов Тпп.
9 - 13. Утратили силу. - Постановление Правительства РФ от 21.12.2019 N 1763.
14. Распределение иных межбюджетных трансфертов Т1 и иных межбюджетных трансфертов Т2 утверждается актом Правительства Российской Федерации.
15 - 17. Утратили силу. - Постановление Правительства РФ от 31.03.2017 N 388.
18. Предоставление иных межбюджетных трансфертов Т1 и иных межбюджетных трансфертов Т2 (далее - иные межбюджетные трансферты Т1 и Т2) осуществляется на основании соглашения о предоставлении иных межбюджетных трансфертов Т1 и Т2, заключаемого Федеральным дорожным агентством и высшим исполнительным органом государственной власти субъекта Российской Федерации в государственной интегрированной информационной системе управления общественными финансами "Электронный бюджет" в соответствии с типовой формой, утвержденной Министерством финансов Российской Федерации (далее - соглашение о предоставлении иных межбюджетных трансфертов Т1 и Т2).
18(1). Условиями предоставления иных межбюджетных трансфертов Т1 и Т2 являются:
а) наличие нормативного правового акта субъекта Российской Федерации об утверждении региональной программы в сфере дорожного хозяйства;
б) наличие в бюджете субъекта Российской Федерации бюджетных ассигнований на исполнение расходного обязательства субъекта Российской Федерации, возникающего при реализации мероприятий, в объеме, необходимом для его исполнения и включающем размер иных межбюджетных трансфертов Т1 и Т2;
в) заключение соглашения о предоставлении иных межбюджетных трансфертов в соответствии с пунктом 18 настоящих Правил.
19. Соглашение о предоставлении иных межбюджетных трансфертов Т1 и Т2 должно в том числе предусматривать право Федерального дорожного агентства на проведение проверок соблюдения условий и положений, установленных соглашением, в том числе с привлечением подведомственных учреждений и иных организаций.
20. Результатом предоставления иных межбюджетных трансфертов Т1 и Т2 является достижение следующих целевых показателей региональных программ:
а) прирост протяженности сети автомобильных дорог общего пользования регионального или межмуниципального, местного значения на территории субъекта Российской Федерации в результате строительства новых автомобильных дорог (километров);
б) прирост протяженности автомобильных дорог общего пользования регионального или межмуниципального, местного значения на территории субъекта Российской Федерации, соответствующих нормативным требованиям к транспортно-эксплуатационным показателям, в результате реконструкции автомобильных дорог (километров);
в) прирост протяженности автомобильных дорог общего пользования регионального или межмуниципального, местного значения на территории субъекта Российской Федерации, соответствующих нормативным требованиям к транспортно-эксплуатационным показателям, в результате капитального ремонта и ремонта автомобильных дорог (километров);
г) доля протяженности автомобильных дорог общего пользования регионального или межмуниципального, местного значения на территории субъекта Российской Федерации, соответствующих нормативным требованиям к транспортно-эксплуатационным показателям, в общей протяженности указанных автомобильных дорог (процентов).
Орган исполнительной власти субъекта Российской Федерации, уполномоченный высшим исполнительным органом государственной власти субъекта Российской Федерации, представляет в Федеральное дорожное агентство с использованием государственной интегрированной информационной системы управления общественными финансами "Электронный бюджет" отчет о достижении значений результатов предоставления иных межбюджетных трансфертов Т1 и (или) Т2 по форме и в сроки, которые предусмотрены соглашением.
21. Значение результата представления иных межбюджетных трансфертов Т1 и Т2 устанавливается в соглашении о предоставлении иных межбюджетных трансфертов Т1 и Т2 на основании предложения высшего исполнительного органа государственной власти субъекта Российской Федерации в соответствии со значением соответствующего целевого показателя региональных программ.
21(1). В случае если при заключении соглашения о предоставлении иных межбюджетных трансфертов Т1 и Т2 высший исполнительный орган государственной власти субъекта Российской Федерации не может подтвердить выполнение обязательства по достижению результатов предоставления иных межбюджетных трансфертов Т1 и Т2, указанных в подпунктах "а" - "в" пункта 20 настоящих Правил и установленных в региональной программе, в соглашении о предоставлении иных межбюджетных трансфертов Т1 и Т2 размер иных межбюджетных трансфертов Т2 устанавливается исходя из значений соответствующих результатов предоставления иных межбюджетных трансфертов Т1 и Т2, предложенных указанным органом.
Высвобождающаяся таким образом сумма иных межбюджетных трансфертов Т2 подлежит распределению в соответствии с пунктом 5(1) настоящих Правил.
22. Перечисление иных межбюджетных трансфертов Т1 и Т2 бюджетам субъектов Российской Федерации осуществляется в установленном порядке на единые счета бюджетов, открытые финансовым органам субъектов Российской Федерации в территориальных органах Федерального казначейства.
23. В случае если субъектом Российской Федерации по состоянию на 31 декабря текущего финансового года допущены нарушения предусмотренных соглашением о предоставлении иных межбюджетных трансфертов Т1 и Т2 обязательств по достижению результата предоставления иных межбюджетных трансфертов Т1 и Т2 и до 1 апреля года, следующего за годом предоставления иных межбюджетных трансфертов Т1 и Т2, указанные нарушения не устранены, размер средств, подлежащих возврату из бюджета субъекта Российской Федерации в федеральный бюджет до 1 мая года, следующего за годом предоставления иных межбюджетных трансфертов Т1 и Т2 (Vвозврата), рассчитывается по формуле:
,
где:
Vтр - размер иных межбюджетных трансфертов Т1 и Т2, предоставленных бюджету субъекта Российской Федерации;
Di - индекс, отражающий уровень недостижения i-го целевого показателя региональных программ. При этом суммируются только Di, имеющие значение больше нуля;
n - общее количество целевых показателей региональных программ, принимаемое равным 4.
23(1). При расчете объема средств, подлежащих возврату из бюджета субъекта Российской Федерации в федеральный бюджет, в размере иных межбюджетных трансфертов Т1 и Т2, предоставленных бюджету субъекта Российской Федерации (Vтр), не учитывается размер остатка иных межбюджетных трансфертов Т1 и Т2, не использованных по состоянию на 1 января текущего финансового года.
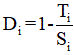
24. Индекс, отражающий уровень недостижения i-го целевого показателя региональных программ (Di), определяется по формуле:
,
где:
Тi - фактически достигнутое значение i-го целевого показателя региональных программ на отчетную дату;
Si - плановое значение i-го целевого показателя региональных программ, установленное соглашением о предоставлении иных межбюджетных трансфертов Т1 и Т2.
25. Основанием для освобождения субъектов Российской Федерации от применения мер ответственности, предусмотренных пунктом 23 настоящих Правил, является документально подтвержденное наступление обстоятельств непреодолимой силы, препятствующих исполнению следующих обязательств:
а) установление регионального (межмуниципального) и (или) местного уровня реагирования на чрезвычайную ситуацию, подтвержденное правовым актом органа государственной власти субъекта Российской Федерации и (или) органа местного самоуправления;
б) установление карантина и (или) иных ограничений, направленных на предотвращение распространения и ликвидацию очагов заразных и иных болезней, подтвержденное правовым актом органа государственной власти субъекта Российской Федерации;
в) аномальные погодные условия, подтвержденные справкой территориального органа Федеральной службы по гидрометеорологии и мониторингу окружающей среды;
г) наличие вступившего в законную силу в году предоставления иных межбюджетных трансфертов Т1 и Т2 решения арбитражного суда о признании несостоятельной (банкротом) организации, деятельность которой оказывала влияние на исполнение обязательств, предусмотренных соглашением в соответствии с подпунктом "и" пункта 19 настоящих Правил.
26. Утратил силу. - Постановление Правительства РФ от 17.05.2016 N 435.
27. Возврат средств из бюджетов субъектов Российской Федерации в федеральный бюджет в соответствии с пунктом 23 настоящих Правил осуществляется по предложению главного распорядителя средств федерального бюджета в порядке, установленном бюджетным законодательством Российской Федерации.
28. Утратил силу. - Постановление Правительства РФ от 31.03.2017 N 388.
29. Ответственность за достоверность представляемых в Федеральное дорожное агентство информации и документов, предусмотренных настоящим разделом, возлагается на высший исполнительный орган государственной власти субъекта Российской Федерации.
30. В случае нарушения субъектом Российской Федерации целей, установленных при предоставлении иных межбюджетных трансфертов Т1 и Т2, к нему применяются бюджетные меры принуждения в соответствии с бюджетным законодательством Российской Федерации.
31. Информация о размерах и сроках перечисления иных межбюджетных трансфертов Т1 и Т2 учитывается Федеральным дорожным агентством при формировании прогноза кассовых выплат из федерального бюджета, необходимого для составления в установленном порядке кассового плана исполнения федерального бюджета.
32. Контроль за соблюдением субъектами Российской Федерации условий предоставления иных межбюджетных трансфертов и осуществлением расходов, источником финансового обеспечения которых являются иные межбюджетные трансферты, осуществляется Федеральным дорожным агентством и органами государственного финансового контроля.
III. Порядок предоставления и распределения бюджетам субъектов Российской Федерации иных межбюджетных трансфертов, предоставляемых в целях достижения целевых показателей региональных программ, предусматривающих мероприятия, реализуемые с применением механизмов государственно-частного партнерства
33. Иные межбюджетные трансферты Т3 предоставляются в целях достижения целевых показателей региональных программ, предусматривающих мероприятия по строительству (реконструкции) автомобильных дорог (участков автомобильных дорог (или) искусственных дорожных сооружений) в рамках концессионных соглашений, заключаемых в соответствии с Федеральным законом "О концессионных соглашениях", подлежащих эксплуатации на платной основе (далее - региональные концессионные проекты).
33(1). Критерием отбора субъектов для предоставления иных межбюджетных трансфертов Т3 является наличие в субъекте Российской Федерации регионального концессионного проекта, включенного в перечень региональных концессионных проектов, предусмотренный пунктом 35 настоящих Правил.
34. Предоставление иных межбюджетных трансфертов Т3 осуществляется при наличии положительного заключения государственной экспертизы проектной документации и (или) результатов инженерных изысканий, а также положительного заключения о достоверности определения сметной стоимости объектов капитального строительства, выданных в соответствии с законодательством Российской Федерации.
35. Распределение иных межбюджетных трансфертов Т3 утверждается актом Правительства Российской Федерации. Предложения о распределении иных межбюджетных трансфертов Т3 подготавливаются и вносятся на утверждение Министерством транспорта Российской Федерации после утверждения перечня региональных концессионных проектов межведомственной комиссией при Министерстве транспорта Российской Федерации и его одобрения Комиссией или президиумом Комиссии. Предложения о распределении иных межбюджетных трансфертов Т3 подготавливаются Министерством транспорта Российской Федерации в соответствии с методикой отбора проектов строительства (реконструкции) автомобильных дорог (участков автомобильных дорог и (или) искусственных дорожных сооружений), реализуемых субъектами Российской Федерации в рамках концессионных соглашений, для предоставления иных межбюджетных трансфертов в целях достижения целевых показателей региональных программ в сфере дорожного хозяйства, предусматривающих реализацию указанных проектов, утверждаемой Министерством транспорта Российской Федерации по согласованию с Министерством экономического развития Российской Федерации и Министерством финансов Российской Федерации после одобрения Комиссией или президиумом Комиссии (далее - методика отбора проектов).
36. В методике отбора проектов содержатся:
а) требования к региональным концессионным проектам;
б) перечень документов, представляемых в составе заявки на получение иных межбюджетных трансфертов, предусматривающий в том числе наличие заключения о проведении публичного технологического и ценового аудита регионального концессионного проекта в случаях, предусмотренных постановлением Правительства Российской Федерации от 30 апреля 2013 г. N 382 "О проведении публичного технологического и ценового аудита крупных инвестиционных проектов с государственным участием и о внесении изменений в некоторые акты Правительства Российской Федерации", заключения в отношении технических исходных данных регионального концессионного проекта, разрабатываемого организацией, осуществляющей публичный технологический и ценовой аудит в соответствии с указанным постановлением, а также заключения внешнего консультанта в отношении финансовой модели регионального концессионного проекта, разрабатываемого организацией, соответствующей критериям к уполномоченному финансовому консультанту, установленным постановлением Правительства Российской Федерации от 14 декабря 2010 г. N 1016 "Об утверждении Правил отбора инвестиционных проектов и принципалов для предоставления государственных гарантий Российской Федерации по кредитам либо облигационным займам, привлекаемым на осуществление инвестиционных проектов";
в) порядок расчета интегральной оценки регионального концессионного проекта по критериям отбора, в том числе по технико-экономическим индикаторам и показателям эффективности, определяемым в соответствии с методикой отбора проектов;
г) порядок расчета и весовые коэффициенты технико-экономических индикаторов и показателей эффективности;
д) порядок и сроки формирования рейтинга регионального концессионного проекта на основе анализа интегральных оценок всех региональных концессионных проектов, участвующих в отборе, и перечня приоритетных региональных концессионных проектов;
е) порядок создания межведомственной комиссии, предусмотренной пунктом 35 настоящих Правил, утверждения положения об этой комиссии, и ее персонального состава;
ж) иные положения, регулирующие порядок отбора региональных концессионных проектов для предоставления иных межбюджетных трансфертов Т3.
37. Предоставление иных межбюджетных трансфертов Т3 осуществляется на основании соглашения о предоставлении иных межбюджетных трансфертов Т3, которое заключается между Федеральным дорожным агентством и высшим исполнительным органом государственной власти субъекта Российской Федерации в государственной интегрированной информационной системе управления общественными финансами "Электронный бюджет" в соответствии с типовой формой, утвержденной Министерством финансов Российской Федерации (далее - соглашение о предоставлении иных межбюджетных трансфертов Т3).
38. Условиями предоставления иных межбюджетных трансфертов Т3 являются:
а) наличие нормативного правового акта субъекта Российской Федерации об утверждении региональной программы в сфере дорожного хозяйства, предусматривающей реализацию регионального концессионного проекта;
б) наличие в бюджете субъекта Российской Федерации бюджетных ассигнований на исполнение расходного обязательства субъекта Российской Федерации, возникающего при реализации мероприятий, в объеме, необходимом для его исполнения и включающем размер иного межбюджетного трансферта Т3;
в) наличие решения органа государственной власти субъекта Российской Федерации о заключении концессионного соглашения о реализации регионального концессионного проекта;
г) заключение соглашения о предоставлении иных межбюджетных трансфертов в соответствии с пунктом 37 настоящих Правил.
39. Соглашение о предоставлении иных межбюджетных трансфертов Т3 должно в том числе предусматривать:
а) право Федерального дорожного агентства на проведение проверок соблюдения условий и положений, установленных соглашением, в том числе с привлечением подведомственных учреждений и иных организаций;
б) обязательство субъекта Российской Федерации предусмотреть в соответствующих нормативных правовых и распорядительных актах субъекта Российской Федерации выделение средств бюджета субъекта Российской Федерации и обеспечить привлечение средств внебюджетных источников на реализацию регионального концессионного проекта в определенных соглашением о предоставлении иных межбюджетных трансфертов Т3 размерах (при этом структура финансирования регионального концессионного проекта должна предусматривать финансирование за счет средств федерального бюджета в размере не более 50 процентов общего объема инвестиций на этапе строительства (реконструкции) объекта концессионного соглашения в случае реализации проекта в отношении автомобильной дороги (участка автомобильной дороги) или в размере не более 75 процентов общего объема инвестиций на этапе строительства (реконструкции) объекта концессионного соглашения в отношении искусственного дорожного сооружения, а также за счет средств внебюджетных источников в размере не менее 15 процентов общего объема инвестиций на этапе строительства (реконструкции) объекта концессионного соглашения);
в) положение, предусматривающее, что иные межбюджетные трансферты Т3 предоставляются после заключения в установленном порядке концессионного соглашения о реализации регионального концессионного проекта и выполнения условий, предусмотренных подпунктом "а" пункта 38 и подпунктом "б" пункта 39 настоящих Правил;
г) обязательство сторон соглашения о предоставлении иных межбюджетных трансфертов Т3 после заключения соответствующего концессионного соглашения о реализации регионального концессионного проекта внести в соглашение о предоставлении иных межбюджетных трансфертов Т3 изменение, предусматривающее уменьшение размера предоставляемых иных межбюджетных трансфертов Т3 пропорционально уменьшению стоимости реализации регионального концессионного проекта по итогам проведения конкурса на право заключения указанного концессионного соглашения, проведенного в установленном Федеральным законом "О концессионных соглашениях" порядке;
д) положение о том, что соглашение о предоставлении иных межбюджетных трансфертов Т3 действует до даты ввода в эксплуатацию объекта концессионного соглашения о реализации регионального концессионного проекта (далее - объект) или до даты расторжения соглашения о предоставлении иных межбюджетных трансфертов Т3 в установленном порядке;
е) положения, предусматривающие обязательства сторон внести в соглашение о предоставлении иных межбюджетных трансфертов Т3 изменения в случае внесения изменений в предусмотренный пунктом 35 настоящих Правил акт Правительства Российской Федерации;
ж) общий срок строительства (реконструкции) объекта;
з) структура финансирования регионального концессионного проекта на этапе строительства (реконструкции) объекта по годам с указанием размеров предоставляемых средств федерального бюджета, средств бюджета субъекта Российской Федерации и средств внебюджетных источников;
и) обязательство субъекта Российской Федерации инициировать внесение в соглашение о предоставлении иных межбюджетных трансфертов Т3 изменения, предусматривающего пропорциональное уменьшение размера предоставляемых иных межбюджетных трансфертов Т3 в случае снижения стоимости реализации регионального концессионного проекта по результатам проведения государственной экспертизы сметной стоимости объекта в течение срока действия соглашения о предоставлении иных межбюджетных трансфертов Т3, а также условие о том, что в случае увеличения общей стоимости регионального концессионного проекта по результатам разработки (актуализации) проектной документации, в том числе с учетом положительного заключения о достоверности определения сметной стоимости объекта, выданного в соответствии с законодательством Российской Федерации, общий объем иных межбюджетных трансфертов Т3 увеличению не подлежит.
40. Результатами предоставления иных межбюджетных трансфертов Т3 являются:
а) достижение установленного значения процента технической готовности объекта по состоянию на конец года, определяемого на основании графика строительства (реконструкции) объекта, при условии, что общий срок реализации регионального концессионного проекта остается неизменным;
б) непревышение планового значения доли средств федерального бюджета в годовом объеме инвестиций, направляемых на строительство (реконструкцию) объекта, определенного в соглашении о предоставлении иных межбюджетных трансфертов Т3 в соответствии с подпунктом "з" пункта 39 настоящих Правил.
Орган исполнительной власти субъекта Российской Федерации, уполномоченный высшим исполнительным органом государственной власти субъекта Российской Федерации, представляет в Федеральное дорожное агентство с использованием государственной интегрированной информационной системы управления общественными финансами "Электронный бюджет" отчет о достижении значений результатов предоставления иных межбюджетных трансфертов Т3 по форме и в сроки, которые предусмотрены соглашением.
41. В случае если субъектом Российской Федерации по состоянию на 31 декабря года предоставления иных межбюджетных трансфертов Т3 допущены нарушения обязательств, указанных в подпункте "а" пункта 40 настоящих Правил, и до 1 апреля года, следующего за годом предоставления иных межбюджетных трансфертов Т3, указанные нарушения не устранены, размер средств, подлежащих возврату из бюджета субъекта Российской Федерации в федеральный бюджет до 1 июня года, следующего за годом предоставления иных межбюджетных трансфертов Т3 (Vв), рассчитывается по формуле:
Vв=Vгл×(1-T/S)×K,
где:
VГП - размер иных межбюджетных трансфертов Т3, предоставленных бюджету субъекта Российской Федерации;
T - фактически достигнутое значение результата реализации инвестиционного проекта на отчетную дату;
S - плановое значение результата реализации инвестиционного проекта, указанное в подпункте "а" пункта 40 настоящих Правил, установленное концессионным соглашением о реализации регионального концессионного проекта;
K - понижающий коэффициент, равный 0,1.
42. В случае если субъектом Российской Федерации по состоянию 1 июня года, следующего за годом предоставления иных межбюджетных трансфертов Т3, нарушения обязательств, указанных в подпункте "а" пункта 40 настоящих Правил, не устранены, Министерством транспорта Российской Федерации не позднее 1 августа года, следующего за годом предоставления иных межбюджетных трансфертов Т3, на рассмотрение Комиссии или президиума Комиссии с одобрения межведомственной комиссии, предусмотренной пунктом 35 настоящих Правил, выносится предложение о возврате средств из бюджета субъекта Российской Федерации в федеральный бюджет в полном объеме, за исключением средств, возвращенных в соответствии с пунктом 41 настоящих Правил.
42(1). В случае если субъектом Российской Федерации по состоянию на 31 декабря года предоставления иных межбюджетных трансфертов Т3 допущены нарушения обязательств, касающихся результата предоставления иных межбюджетных трансфертов Т3, указанного в подпункте "б" пункта 40 настоящих Правил, субъект Российской Федерации не инициировал внесение соответствующих изменений в соглашение о предоставлении иных межбюджетных трансфертов Т3 и до 1 апреля года, следующего за годом предоставления иных межбюджетных трансфертов Т3, указанные нарушения не были устранены, размер средств, подлежащих возврату из бюджета субъекта Российской Федерации в федеральный бюджет до 1 июня года, следующего за годом предоставления иных межбюджетных трансфертов Т3 (VГ), рассчитывается по формуле:
VГ = VГП x (1 - P / N) x K,
где:
VГП - размер иных межбюджетных трансфертов Т3, предоставленных бюджету субъекта Российской Федерации;
P - плановое значение доли средств федерального бюджета в годовом объеме инвестиций, направляемых на строительство (реконструкцию) объекта, которая определена в соответствии с подпунктом "б" пункта 40 настоящих Правил;
N - фактически достигнутое значение доли средств федерального бюджета в годовом объеме инвестиций на этапе строительства (реконструкции) объекта на отчетную дату;
K - понижающий коэффициент, равный 0,1.
42(2). В случае если субъектом Российской Федерации по состоянию на 1 июня года, следующего за годом предоставления иных межбюджетных трансфертов Т3, не устранены нарушения обязательств, касающихся результата предоставления иных межбюджетных трансфертов Т3, указанного в подпункте "б" пункта 40 настоящих Правил, Министерство транспорта Российской Федерации не позднее 1 августа года, следующего за годом предоставления иных межбюджетных трансфертов Т3, выносит на рассмотрение Комиссии или президиума Комиссии с одобрения межведомственной комиссии, предусмотренной пунктом 35 настоящих Правил, предложение о возврате иных межбюджетных трансфертов Т3 из бюджета субъекта Российской Федерации в федеральный бюджет в полном объеме, за исключением средств, возвращенных в соответствии с пунктом 42(1) настоящих Правил.
42(3). При расчете объема средств, подлежащих возврату из бюджета субъекта Российской Федерации в федеральный бюджет, в размере иных межбюджетных трансфертов Т3, предоставленных бюджету субъекта Российской Федерации (Vгп), не учитывается размер остатка иных межбюджетных трансфертов Т3, не использованных по состоянию на 1 января текущего финансового года.
43. Основанием для освобождения субъектов Российской Федерации от применения мер ответственности, предусмотренных пунктом 41 настоящих Правил, является документально подтвержденное наступление следующих обстоятельств непреодолимой силы, препятствующих исполнению соответствующих обязательств:
а) установление регионального (межмуниципального) и (или) местного уровня реагирования на чрезвычайную ситуацию, подтвержденное правовым актом органа государственной власти субъекта Российской Федерации и (или) органа местного самоуправления;
б) установление карантина и (или) иных ограничений, направленных на предотвращение распространения и ликвидацию очагов заразных и иных болезней, подтвержденное правовым актом органа государственной власти субъекта Российской Федерации;
в) аномальные погодные условия, подтвержденные справкой территориального органа Федеральной службы по гидрометеорологии и мониторингу окружающей среды;
г) наличие вступившего в законную силу в году предоставления иных межбюджетных трансфертов Т3 решения арбитражного суда о признании несостоятельной (банкротом) организации, деятельность которой оказывала влияние на исполнение обязательств, предусмотренных соглашением в соответствии с подпунктом "и" пункта 39 настоящих Правил.
44. Возврат и последующее использование средств, перечисленных из бюджетов субъектов Российской Федерации в федеральный бюджет в соответствии с пунктами 41 и 42(1) настоящих Правил, осуществляются по предложению главного распорядителя средств федерального бюджета в порядке, установленном бюджетным законодательством Российской Федерации.
45. В случае нарушения субъектом Российской Федерации обязательств, предусмотренных настоящими Правилами и соглашением о предоставлении иных межбюджетных трансфертов Т3, в том числе нарушения предусмотренных указанным соглашением сроков реализации регионального концессионного проекта, а также порядка предоставления средств субъекта Российской Федерации концессионеру по концессионному соглашению о реализации регионального концессионного проекта, Министерство транспорта Российской Федерации вправе внести с одобрения межведомственной комиссии, предусмотренной пунктом 35 настоящих Правил, на рассмотрение Комиссии или президиума Комиссии предложение о возврате средств из бюджета субъекта Российской Федерации в федеральный бюджет и последующем использовании указанных бюджетных средств.
46. В случае отсутствия потребности в иных межбюджетных трансфертах Т3 соответствующий нераспределенный остаток направляется при наличии соответствующей потребности на увеличение размера иных межбюджетных трансфертов Т4 с последующим восстановлением в полном объеме в очередном финансовом году.
47. Перечисление иных межбюджетных трансфертов Т3 бюджетам субъектов Российской Федерации осуществляется в установленном порядке на единые счета бюджетов, открытые финансовым органам субъектов Российской Федерации в территориальных органах Федерального казначейства.
48 - 49. Утратили силу. - Постановление Правительства РФ от 31.03.2017 N 388.
50. Ответственность за достоверность представляемых в Федеральное дорожное агентство информации и документов, предусмотренных настоящим разделом, возлагается на высший исполнительный орган государственной власти субъекта Российской Федерации.
51. Объем и график перечисления иных межбюджетных трансфертов Т3 на финансирование региональных концессионных проектов учитывается Федеральным дорожным агентством при формировании федерального закона о федеральном бюджете на соответствующий год и плановый период, а также прогноза кассовых выплат из федерального бюджета на соответствующий год и плановый период.
52. В случае нарушения субъектом Российской Федерации целей, установленных при предоставлении иных межбюджетных трансфертов Т3, к нему применяются бюджетные меры принуждения в соответствии с бюджетным законодательством Российской Федерации.
53. Контроль за соблюдением субъектами Российской Федерации условий предоставления иных межбюджетных трансфертов и осуществлением расходов, источником финансового обеспечения которых являются иные межбюджетные трансферты, осуществляется Федеральным дорожным агентством и органами государственного финансового контроля.
IV. Порядок предоставления и распределения бюджетам субъектов Российской Федерации иных межбюджетных трансфертов, предоставляемых в целях достижения целевых показателей региональных программ, предусматривающих мероприятия по строительству, реконструкции, капитальному ремонту и ремонту уникальных искусственных дорожных сооружений
54. Иные межбюджетные трансферты Т4 предоставляются в целях достижения целевых показателей региональных программ, предусматривающих мероприятия:
а) по строительству уникальных искусственных сооружений, реализация дорожной деятельности в отношении которых осуществляется во исполнение указаний, поручений или актов Президента Российской Федерации и (или) Правительства Российской Федерации. При этом по решению Комиссии или президиума Комиссии может осуществляться финансирование работ по подготовке проектной документации в части проектов, реализуемых в рамках контрактов, предметом которых являются одновременно подготовка проектной документации, строительство и ввод объектов в эксплуатацию, в отношении объектов капитального строительства стоимостью более 1,5 млрд. рублей при условии наличия соответствующего положительного заключения технологического и ценового аудита;
б) по строительству уникальных искусственных сооружений взамен разрушенных или находящихся в аварийном состоянии искусственных сооружений, а также реконструкции, капитальному ремонту и ремонту искусственных сооружений, находящихся в предаварийном или аварийном состоянии, в случае если по итогам выполнения работ искусственное сооружение будет относиться к уникальным.
При этом по решению Комиссии или президиума Комиссии может осуществляться финансирование работ по подготовке проектной документации в части проектов, реализуемых в рамках контрактов, предметом которых являются одновременно подготовка проектной документации, строительство (реконструкция) и ввод объектов в эксплуатацию, в отношении объектов капитального строительства стоимостью более 1,5 млрд. рублей при условии наличия соответствующего положительного заключения технологического и ценового аудита.
55. В настоящих Правилах под уникальными искусственными сооружениями понимаются реализуемые (планируемые к реализации) на автомобильных дорогах общего пользования регионального или межмуниципального, местного значения объекты капитального строительства (ремонта), в техническом паспорте или ином документе на которые предусмотрена хотя бы одна из следующих характеристик:
а) общая длина составляет более 100 метров;
б) длина пролета составляет более 60 метров.
56. К категории уникальных искусственных сооружений, находящихся в предаварийном состоянии, относятся сооружения, имеющие в основных конструкциях опасные дефекты, влияющие на грузоподъемность, безопасность и долговечность, по которым безопасный пропуск автомобилей не может быть гарантирован введением различных ограничений движения путем установки дорожных знаков и требуется принудительное регулирование режима эксплуатации, в том числе запрещение движения по полосам и (или) введение реверсивного движения.
К категории аварийных уникальных искусственных сооружений относятся сооружения, имеющие признаки аварийного состояния, свидетельствующие о возможности потери устойчивости, разрушения или обрушения конструкций или части конструкции, или имеющие в основных несущих конструкциях критические дефекты, исключающие дальнейшую эксплуатацию сооружения до их устранения.
57. Иные межбюджетные трансферты Т4 предоставляются бюджетам субъектов Российской Федерации для частичного покрытия расходов, связанных с реализацией мероприятий по строительству (реконструкции, ремонту) уникальных искусственных сооружений, в размере не более 90 процентов средств, необходимых для реализации таких мероприятий, за исключением высокодотационных субъектов Российской Федерации, бюджетам которых выделяются не более 95 процентов средств, если иное не установлено Правительством Российской Федерации.
Критериями отбора субъектов Российской Федерации для предоставления иных межбюджетных трансфертов Т4 являются:
для проектов по строительству уникальных искусственных сооружений - наличие указаний, поручений или актов Президента Российской Федерации и (или) Правительства Российской Федерации, предусматривающих их реализацию;
для проектов по строительству взамен разрушенных уникальных искусственных сооружений, реконструкции, капитальному ремонту или ремонту уникальных искусственных сооружений - наличие заявки, предусмотренной пунктом 60 настоящих Правил, направляемой в Федеральное дорожное агентство до 1 июля года, предшествующего году предоставления иных межбюджетных трансфертов Т4.
58. Распределение иных межбюджетных трансфертов Т4 утверждается актом Правительства Российской Федерации. Предложения о распределении иных межбюджетных трансфертов Т4 подготавливаются и вносятся на утверждение Министерством транспорта Российской Федерации.
59. Условиями предоставления иных межбюджетных трансфертов Т4 являются:
а) наличие в региональной программе субъекта Российской Федерации указанных в пункте 54 настоящих Правил мероприятий, на софинансирование которых предоставляются иные межбюджетные трансферты Т4;
б) наличие в бюджете субъекта Российской Федерации на текущий финансовый год бюджетных ассигнований на финансовое обеспечение расходных обязательств субъекта Российской Федерации, связанных с реализацией мероприятий, указанных в пункте 54 настоящих Правил. Объем таких бюджетных ассигнований определяется исходя из необходимости достижения значений показателей результативности использования иных межбюджетных трансфертов Т4, установленных соглашением о предоставлении иных межбюджетных трансфертов Т4 между Федеральным дорожным агентством и высшим исполнительным органом государственной власти субъекта Российской Федерации (далее - соглашение о предоставлении иных межбюджетных трансфертов Т4);
в) заключение соглашения о предоставлении иных межбюджетных трансфертов в соответствии с пунктом 62 настоящих Правил.
60. Иные межбюджетные трансферты Т4 предоставляются на основании заявки высшего исполнительного органа государственной власти субъекта Российской Федерации о предоставлении иных межбюджетных трансфертов Т4.
61. Заявка высшего исполнительного органа государственной власти субъекта Российской Федерации о предоставлении иных межбюджетных трансфертов Т4 предусматривает:
а) целевое назначение иных межбюджетных трансфертов Т4 и их размер;
б) информацию о наличии утвержденной в установленном порядке проектной документации на объекты, обеспечивающие достижение целевых показателей региональных программ;
в) пояснительную записку с описанием технического состояния аварийного уникального искусственного сооружения;
г) технический отчет об обследовании уникального искусственного сооружения, содержащего обоснование его аварийного состояния, а также обоснование определения необходимого к выполнению вида работ по приведению его в нормативное техническое состояние.
62. Предоставление иных межбюджетных трансфертов Т4 осуществляется на основании соглашения о предоставлении иных межбюджетных трансфертов Т4, заключаемого Федеральным дорожным агентством и высшим исполнительным органом государственной власти субъекта Российской Федерации в государственной интегрированной информационной системе управления общественными финансами "Электронный бюджет" в соответствии с типовой формой, утвержденной Министерством финансов Российской Федерации (далее - соглашение о предоставлении иных межбюджетных трансфертов Т4).
62(1). Соглашение о предоставлении иных межбюджетных трансфертов Т4 должно в том числе предусматривать право Федерального дорожного агентства на проведение проверок соблюдения условий и положений, установленных соглашением, в том числе с привлечением подведомственных учреждений и иных организаций.
62(2). В случае если субъектом Российской Федерации по состоянию на 31 декабря текущего финансового года допущены нарушения предусмотренных соглашением о предоставлении иных межбюджетных трансфертов Т4 обязательств, указанных в подпунктах "ж" и "з" пункта 62(1) настоящих Правил, и до 1 апреля года, следующего за годом предоставления иных межбюджетных трансфертов Т4, указанные нарушения не устранены, размер средств, подлежащих возврату из бюджета субъекта Российской Федерации в федеральный бюджет до 1 мая года, следующего за годом предоставления иных межбюджетных трансфертов Т4 (Vвозврата), рассчитывается по формуле:
,
где:
Vтр - размер иных межбюджетных трансфертов Т4, предоставленных бюджету субъекта Российской Федерации;
Di - индекс, отражающий уровень недостижения i-го целевого показателя региональных программ. При этом суммируются только индексы Di, имеющие значение больше нуля;
n - общее количество целевых показателей региональных программ, принимаемое равным 3.
62(3). При расчете объема средств, подлежащих возврату из бюджета субъекта Российской Федерации в федеральный бюджет, в размере иных межбюджетных трансфертов Т4, предоставленных бюджету субъекта Российской Федерации (Vтр), не учитывается размер остатка иных межбюджетных трансфертов Т4, не использованных по состоянию на 1 января текущего финансового года.
62(4). Индекс, отражающий уровень недостижения i-го целевого показателя региональных программ (Di), определяется по формуле:
,
где:
Тi - фактически достигнутое значение i-го целевого показателя региональных программ на отчетную дату;
Si - плановое значение i-го целевого показателя региональных программ, установленное соглашением о предоставлении иных межбюджетных трансфертов Т4.
62(5). Основанием для освобождения субъектов Российской Федерации от применения мер ответственности, предусмотренных пунктом 62(2) настоящих Правил, является документально подтвержденное наступление обстоятельств непреодолимой силы, препятствующих исполнению следующих обязательств:
а) установление регионального (межмуниципального) и (или) местного уровня реагирования на чрезвычайную ситуацию, подтвержденное правовым актом органа государственной власти субъекта Российской Федерации и (или) органа местного самоуправления;
б) установление карантина и (или) иных ограничений, направленных на предотвращение распространения и ликвидацию очагов заразных и иных болезней животных, подтвержденное правовым актом органа государственной власти субъекта Российской Федерации;
в) аномальные погодные условия, подтвержденные справкой территориального органа Федеральной службы по гидрометеорологии и мониторингу окружающей среды;
г) наличие вступившего в законную силу в году предоставления трансферта решения арбитражного суда о признании несостоятельной (банкротом) организации, деятельность которой оказывала влияние на исполнение обязательств, предусмотренных соглашением в соответствии с подпунктом "з" пункта 62(1) настоящих Правил.
62(6). Возврат средств из бюджетов субъектов Российской Федерации в федеральный бюджет в соответствии с пунктом 62(2) настоящих Правил осуществляется по предложению Федерального дорожного агентства в порядке, установленном бюджетным законодательством Российской Федерации.
62(7). Утратил силу. - Постановление Правительства РФ от 25.12.2020 N 2265.
63. Результатом предоставления иных межбюджетных трансфертов Т4 является достижение следующих целевых показателей региональных программ:
а) количество и протяженность уникальных искусственных сооружений, строительство (реконструкция) которых завершено (штук на погонный метр);
б) количество и протяженность уникальных искусственных сооружений, капитальный ремонт (ремонт) которых завершен (штук на погонный метр);
в) доля уникальных искусственных сооружений, находящихся в предаварийном (аварийном) состоянии (процентов).
Орган исполнительной власти субъекта Российской Федерации, уполномоченный высшим исполнительным органом государственной власти субъекта Российской Федерации, представляет в Федеральное дорожное агентство с использованием государственной интегрированной информационной системы управления общественными финансами "Электронный бюджет" отчет о достижении значений результатов предоставления иных межбюджетных трансфертов Т4 по форме и в сроки, которые предусмотрены соглашением.
64. В случае отсутствия потребности в иных межбюджетных трансфертах Т4 соответствующий нераспределенный остаток направляется при наличии соответствующей потребности на увеличение размера иных межбюджетных трансфертов Т3 с последующим восстановлением в полном объеме в очередном финансовом году.
65. Перечисление иных межбюджетных трансфертов Т4 бюджетам субъектов Российской Федерации осуществляется в установленном порядке на единые счета бюджетов, открытые финансовым органам субъектов Российской Федерации в территориальных органах Федерального казначейства.
66. Утратил силу. - Постановление Правительства РФ от 31.03.2017 N 388.
67. Ответственность за достоверность представляемых в Федеральное дорожное агентство информации и документов, предусмотренных настоящим разделом, возлагается на высший исполнительный орган государственной власти субъекта Российской Федерации.
68. Информация о размерах и сроках перечисления иных межбюджетных трансфертов Т4 учитывается Федеральным дорожным агентством при формировании прогноза кассовых выплат из федерального бюджета, необходимого для составления в установленном порядке кассового плана исполнения федерального бюджета.
69. В случае нарушения субъектом Российской Федерации целей, установленных при предоставлении иных межбюджетных трансфертов Т4, к нему применяются бюджетные меры принуждения в соответствии с бюджетным законодательством Российской Федерации.
70. Контроль за соблюдением субъектами Российской Федерации условий предоставления иных межбюджетных трансфертов и осуществлением расходов, источником финансового обеспечения которых являются иные межбюджетные трансферты, осуществляется Федеральным дорожным агентством и органами государственного финансового контроля.
V. Порядок предоставления и распределения бюджетам субъектов Российской Федерации иных межбюджетных трансфертов, предоставляемых в 2016 году в целях достижения целевых показателей региональных программ, предусматривающих мероприятия по решению неотложных задач по приведению в нормативное состояние автомобильных дорог регионального или межмуниципального и местного значения
71. Иные межбюджетные трансферты Т5 предоставляются в 2016 году в целях достижения целевых показателей региональных программ, предусматривающих мероприятия по решению неотложных задач по приведению в нормативное состояние автомобильных дорог регионального или межмуниципального и местного значения.
72. В настоящих Правилах под мероприятиями по решению неотложных задач по приведению в нормативное состояние автомобильных дорог регионального или межмуниципального и местного значения понимаются мероприятия по осуществлению на территории субъекта Российской Федерации неотложных работ по ремонту и содержанию таких автомобильных дорог и (или) улично-дорожной сети городов в целях ликвидации дефектов дорожного покрытия.
73. Распределение иных межбюджетных трансфертов Т5 утверждается актом Правительства Российской Федерации. Предложения о распределении иных межбюджетных трансфертов Т5 подготавливаются и вносятся на утверждение Министерством транспорта Российской Федерации по согласованию с Министерством финансов Российской Федерации.
74. Предоставление иных межбюджетных трансфертов Т5 осуществляется на основании соглашения о предоставлении иных межбюджетных трансфертов Т5, которое заключается между Федеральным дорожным агентством и высшим исполнительным органом государственной власти субъекта Российской Федерации (далее - соглашение о предоставлении иных межбюджетных трансфертов Т5), в котором должны содержаться положения и условия, аналогичные положениям и условиям, установленным пунктом 19 настоящих Правил.
75. Помимо положений и условий, предусмотренных пунктом 74 настоящих Правил, в соглашении о предоставлении иных межбюджетных трансфертов Т5 также содержатся обязательства субъекта Российской Федерации:
а) включить в месячный срок после принятия акта Правительства Российской Федерации, указанного в пункте 73 настоящих Правил, в региональную программу мероприятия, указанные в пункте 72 настоящих Правил (в случае их отсутствия), и целевой показатель, указанный в пункте 76 настоящих Правил;
б) заключить соглашение о предоставлении иных межбюджетных трансфертов Т5 с органом местного самоуправления города, в отношении которого принято решение о предоставлении иных межбюджетных трансфертов Т5 в соответствии с актом Правительства Российской Федерации, указанным в пункте 73 настоящих Правил.
76. Результатом предоставления иных межбюджетных трансфертов Т5 является достижение такого целевого показателя региональных программ, как объем неотложных работ по ремонту и содержанию автомобильных дорог регионального или межмуниципального и местного значения и (или) улично-дорожной сети в целях ликвидации дефектов дорожного покрытия (кв. метров).
77. Перечисление иных межбюджетных трансфертов Т5 осуществляется на счета, открытые в территориальных органах Федерального казначейства для учета поступлений и их распределения между бюджетами бюджетной системы Российской Федерации, для последующего перечисления в установленном порядке в бюджеты субъектов Российской Федерации - получателей иных межбюджетных трансфертов Т5.
78. Не использованный на 1 января 2017 г. остаток иных межбюджетных трансфертов Т5 подлежит возврату в федеральный бюджет уполномоченным органом государственной власти субъекта Российской Федерации, за которым в соответствии с законодательными и иными нормативными правовыми актами закреплены источники доходов бюджета субъекта Российской Федерации по возврату остатков иных межбюджетных трансфертов Т5, в соответствии с требованиями, установленными бюджетным законодательством Российской Федерации.
В случае если неиспользованный остаток иных межбюджетных трансфертов Т5 не перечислен в доход федерального бюджета, указанные средства подлежат взысканию в доход федерального бюджета в порядке, установленном Министерством финансов Российской Федерации.
79. Информация о размерах и сроках перечисления иных межбюджетных трансфертов Т5 учитывается Федеральным дорожным агентством при формировании прогноза кассовых выплат из федерального бюджета, необходимого для составления в установленном порядке кассового плана исполнения федерального бюджета.
80. В случае несоблюдения уполномоченным органом исполнительной власти субъекта Российской Федерации условий предоставления иных межбюджетных трансфертов Т5, установленных настоящими Правилами, к нему применяются меры принуждения в соответствии с бюджетным законодательством Российской Федерации.
81. Контроль за осуществлением расходов, источником финансового обеспечения которых являются иные межбюджетные трансферты Т5, осуществляется Федеральным дорожным агентством и органами государственного финансового контроля.
VI. Порядок предоставления и распределения бюджетам субъектов Российской Федерации иных межбюджетных трансфертов, предоставляемых в целях финансового обеспечения региональных программ
82. Иные межбюджетные трансферты Т6 предоставляются в целях финансового обеспечения региональных программ в качестве компенсации выпадающих в 2016 году доходов бюджетов субъектов Российской Федерации в связи с установлением налоговой льготы по транспортному налогу в соответствии со статьей 361.1 Налогового кодекса Российской Федерации.
83. Размер иного межбюджетного трансферта бюджету i-го субъекта Российской Федерации (Т6i определяется по формуле:
Т6i = 8700000 x ТСПi / ТСП,
где:
ТСПi - количество транспортных средств, имеющих на государственных регистрационных знаках код i-го субъекта Российской Федерации, зарегистрированных в реестре транспортных средств системы взимания платы, по состоянию на 30 июня 2016 г.;
ТСП - общее количество транспортных средств, зарегистрированных в реестре транспортных средств системы взимания платы, по состоянию на 30 июня 2016 г.
Распределение иных межбюджетных трансфертов Т6 утверждается актом Правительства Российской Федерации.
84. Перечисление иных межбюджетных трансфертов Т6 бюджету субъекта Российской Федерации осуществляется в течение 10 рабочих дней после даты утверждения акта Правительства Российской Федерации, предусмотренного пунктом 83 настоящих Правил.
85. Перечисление иных межбюджетных трансфертов Т6 осуществляется на счета, открытые в территориальных органах Федерального казначейства для учета поступлений и их распределения между бюджетами бюджетной системы Российской Федерации, для последующего перечисления в установленном порядке в бюджеты субъектов Российской Федерации.
86. В случае нарушения субъектом Российской Федерации целей предоставления иных межбюджетных трансфертов, указанных в пункте 82 настоящих Правил, к субъекту Российской Федерации применяются бюджетные меры принуждения в соответствии с бюджетным законодательством Российской Федерации.
87. Информация о размерах и сроках перечисления иных межбюджетных трансфертов Т6 учитывается Федеральным дорожным агентством при формировании прогноза кассовых выплат из федерального бюджета, необходимого для составления в установленном порядке кассового плана исполнения федерального бюджета.
88. Контроль за осуществлением расходов, источником финансового обеспечения которых являются иные межбюджетные трансферты Т6, осуществляется Федеральным дорожным агентством и органами государственного финансового контроля.
Приложение
к Правилам предоставления
и распределения иных межбюджетных
трансфертов на финансовое обеспечение
дорожной деятельности в рамках
ведомственной целевой программы
"Содействие развитию автомобильных
дорог регионального, межмуниципального
и местного значения" государственной
программы Российской Федерации
"Развитие транспортной системы"
МЕТОДИКА РАСПРЕДЕЛЕНИЯ ИНЫХ МЕЖБЮДЖЕТНЫХ ТРАНСФЕРТОВ ИЗ ФЕДЕРАЛЬНОГО БЮДЖЕТА БЮДЖЕТАМ СУБЪЕКТОВ РОССИЙСКОЙ ФЕДЕРАЦИИ НА ФИНАНСОВОЕ ОБЕСПЕЧЕНИЕ ДОРОЖНОЙ ДЕЯТЕЛЬНОСТИ В РАМКАХ ВЕДОМСТВЕННОЙ ЦЕЛЕВОЙ ПРОГРАММЫ "СОДЕЙСТВИЕ РАЗВИТИЮ АВТОМОБИЛЬНЫХ ДОРОГ РЕГИОНАЛЬНОГО, МЕЖМУНИЦИПАЛЬНОГО И МЕСТНОГО ЗНАЧЕНИЯ" ГОСУДАРСТВЕННОЙ ПРОГРАММЫ РОССИЙСКОЙ ФЕДЕРАЦИИ "РАЗВИТИЕ ТРАНСПОРТНОЙ СИСТЕМЫ"
1. В соответствии с настоящей методикой распределяется не менее 95 процентов объема иных межбюджетных трансфертов на финансовое обеспечение дорожной деятельности в рамках ведомственной целевой программы "Содействие развитию автомобильных дорог регионального, межмуниципального и местного значения" государственной программы Российской Федерации "Развитие транспортной системы" (далее - иные межбюджетные трансферты), предусмотренных федеральным законом о федеральном бюджете (сводной бюджетной росписью федерального бюджета). При этом учитываются положения пунктов 4, 5, 5(1), 6 и 8 Правил предоставления и распределения иных межбюджетных трансфертов на финансовое обеспечение дорожной деятельности в рамках ведомственной целевой программы "Содействие развитию автомобильных дорог регионального, межмуниципального и местного значения" государственной программы Российской Федерации "Развитие транспортной системы", утвержденной постановлением Правительства Российской Федерации от 20 декабря 2017 г. N 1596 "Об утверждении государственной программы Российской Федерации "Развитие транспортной системы" (далее - Правила).
2. В отношении предлагаемых к реализации мероприятий используется балльная оценка согласно приложению.
3. Размер иного межбюджетного трансферта (V1i) бюджету субъекта Российской Федерации на реализацию каждого мероприятия, получившего 8 и более баллов, определяется по формуле:
,
где:
Vтр - размер иных межбюджетных трансфертов, определенный в соответствии с пунктом 1 настоящей методики;
n1 - количество мероприятий, получивших 8 и более баллов.
4. Размер V1i может быть уменьшен в соответствии с заявкой субъекта Российской Федерации. Высвобождающаяся сумма распределяется между бюджетами других субъектов Российской Федерации, участвующих в распределении, пропорционально значению, определенному в соответствии с пунктом 3 настоящей методики.
5. Размер иного межбюджетного трансферта бюджету субъекта Российской Федерации (V2i) на реализацию каждого мероприятия, получившего от 5 до 7 баллов, определяется по формуле:
,
где:
V1 - размер иных межбюджетных трансфертов, распределенный между бюджетами субъектов Российской Федерации в соответствии с пунктами 3 и 4 настоящей методики;
n2 - количество мероприятий, получивших от 5 до 7 баллов.
6. Размер иных межбюджетных трансфертов (V2i) может быть уменьшен на основании заявки субъекта Российской Федерации. Высвобождающаяся сумма распределяется между бюджетами других субъектов Российской Федерации, участвующих в распределении, пропорционально значению, определенному в соответствии с пунктом 5 настоящей методики.
7. Размер иного межбюджетного трансферта бюджету субъекта Российской Федерации (V3i) на реализацию каждого мероприятия, получившего от 2 до 4 баллов, определяется по формуле:
,
где:
V2 - объем иных межбюджетных трансфертов, распределенный между бюджетами субъектов Российской Федерации в соответствии с пунктами 5 и 6 настоящей методики;
n3 - количество мероприятий, получивших от 2 до 4 баллов.
8. Размер иных межбюджетных трансфертов бюджету субъекта Российской Федерации определяется по формуле:
Vсуб i=∑V1i+∑V2i+∑V3i.
9. Иные межбюджетные трансферты в размере 5 процентов могут быть распределены в целях реализации мероприятий на основании предложений Министерства транспорта Российской Федерации, в том числе дополнительно на реализацию мероприятий, размер иных межбюджетных трансфертов по которым определен в соответствии с настоящей методикой.
10. Подготовленные в соответствии с пунктом 9 настоящей методики предложения подлежат одобрению Правительственной комиссией по региональному развитию в Российской Федерации или президиумом (штабом) указанной Правительственной комиссии.
Приложение
к методике распределения
иных межбюджетных трансфертов
из федерального бюджета бюджетам
субъектов Российской Федерации
на финансовое обеспечение
дорожной деятельности в рамках
ведомственной целевой программы
"Содействие развитию автомобильных
дорог регионального, межмуниципального
и местного значения" государственной
программы Российской Федерации
"Развитие транспортной системы"
КРИТЕРИИ БАЛЛЬНОЙ ОЦЕНКИ МЕРОПРИЯТИЙ
|
Наименование критерия |
Балльная оценка |
|
Субъектом Российской Федерации гарантировано завершение мероприятия в очередном году |
3 балла |
|
Наличие поручений (решений) Президента Российской Федерации и (или) Правительства Российской Федерации в отношении реализации проекта |
2 балла |
|
На реализацию проекта в предыдущие 3 года были предусмотрены средства федерального бюджета |
2 балла |
|
Мероприятие предусматривает выполнение работ в отношении уникальных искусственных сооружений |
1 балл |
|
Субъектом Российской Федерации было осуществлено или запланировано выделение бюджетных ассигнований для реализации мероприятия |
1 балл |
|
Мероприятие обеспечивает повышение пропускной способности, транспортно-эксплуатационных характеристик дорожной сети |
1 балл |
|
Мероприятие обеспечивает транспортную доступность к объектам жилой застройки |
1 балл |


