СП 488.1325800.2020 АЭРОДРОМЫ И ПОСАДОЧНЫЕ ПЛОЩАДКИ С ПОКРЫТИЯМИ ОБЛЕГЧЕННОГО ТИПА. ПРАВИЛА ПРОЕКТИРОВАНИЯ
Aerodromes and landing grounds with pavements of light type. Design rules
Дата введения - 22 июня 2021 г.
Введен впервые
Введение
Настоящий свод правил разработан в целях обеспечения соблюдения требований Федерального закона от 30 декабря 2009 г. N 384-ФЗ "Технический регламент о безопасности зданий и сооружений".
Свод правил разработан авторским коллективом ЗАО "ПРОМТРАНСНИИПРОЕКТ" (руководитель темы - д-р техн. наук Л.А. Андреева, И.П. Потапов, И.В. Музыкин, А.О. Иванова), АО "НТК "АЭРОТЕХНИЧЕСКИЙ ЦЕНТР" (руководитель темы - канд. техн. наук В.Н. Вторушин, канд. техн. наук Д.А. Смирнов, Н.К. Гусев, Г.Д. Шумилова), ФГУП ГПИ и НИИ ГА "Аэропроект" (руководитель темы - канд. техн. наук М.Д. Суладзе, д-р техн. наук А.П. Виноградов, канд. техн. наук Н.С. Ледовская, канд. техн. наук В.А. Сабуренкова, А.Ю. Бочарова, Э.С. Цопанов).
Настоящий свод правил устанавливает требования к проектированию вновь строящихся и реконструируемых аэродромов, посадочных площадок для самолетов и вертолетов с покрытиями облегченного типа.
В настоящем своде правил использованы нормативные ссылки на следующие документы:
ГОСТ 1050-2013 Металлопродукция из нелегированных конструкционных качественных и специальных сталей. Общие технические условия
ГОСТ 3344-83 Щебень и песок шлаковые для дорожного строительства. Технические условия
ГОСТ 4784-2019 Алюминий и сплавы алюминиевые деформируемые. Марки
ГОСТ 6665-91 Камни бетонные и железобетонные бортовые. Технические условия
ГОСТ 8267-93 Щебень и гравий из плотных горных пород для строительных работ. Технические условия
ГОСТ 8736-2014 Песок для строительных работ. Технические условия
ГОСТ 9179-2018 Известь строительная. Технические условия
ГОСТ 10178-85 Портландцемент и шлакопортландцемент. Технические условия
ГОСТ 11955-82 Битумы нефтяные дорожные жидкие. Технические условия
ГОСТ 12801-98 Материалы на основе органических вяжущих для дорожного и аэродромного строительства. Методы испытаний
ГОСТ 16557-78 Порошок минеральный для асфальтобетонных смесей. Технические условия
ГОСТ 17608-2017 Плиты бетонные тротуарные. Технические условия
ГОСТ 18659-81 Эмульсии битумные дорожные. Технические условия
ГОСТ 20276-2012 Грунты. Методы полевого определения характеристик прочности и деформируемости
ГОСТ 22245-90 Битумы нефтяные дорожные вязкие. Технические условия
ГОСТ 23558-94 Смеси щебеночно-гравийно-песчаные и грунты, обработанные неорганическими вяжущими материалами, для дорожного и аэродромного строительства. Технические условия
ГОСТ 23732-2011 Вода для бетонов и строительных растворов. Технические условия
ГОСТ 23735-2014 Смеси песчано-гравийные для строительных работ. Технические условия
ГОСТ 25100-2011 Грунты. Классификация
ГОСТ 25607-2009 Смеси щебеночно-гравийно-песчаные для покрытий и оснований автомобильных дорог и аэродромов. Технические условия
ГОСТ 25818-2017 Золы-уноса тепловых электростанций для бетонов. Технические условия
ГОСТ 30108-94 Материалы и изделия строительные. Определение удельной эффективной активности естественных радионуклидов
ГОСТ 30491-2012 Смеси органоминеральные и грунты, укрепленные органическими вяжущими, для дорожного и аэродромного строительства. Технические условия
ГОСТ 31424-2010 Материалы строительные нерудные из отсевов дробления плотных горных пород при производстве щебня. Технические условия
ГОСТ 32018-2012 Изделия строительно-дорожные из природного камня. Технические условия
ГОСТ 32961-2014 Дороги автомобильные общего пользования. Камни бортовые. Технические требования
ГОСТ 33376-2015 Секции настилов композитные полимерные для пешеходных и автодорожных мостов и путепроводов. Общие технические условия
ГОСТ Р 52128-2003 Эмульсии битумные дорожные. Технические условия
ГОСТ Р 52129-2003 Порошок минеральный для асфальтобетонных и органоминеральных смесей. Технические условия
ГОСТ Р 52608-2006 Материалы геотекстильные. Методы определения водопроницаемости
ГОСТ Р 55028-2012 Дороги автомобильные общего пользования. Материалы геосинтетические для дорожного строительства. Классификация, термины и определения
ГОСТ Р 55030-2012 Дороги автомобильные общего пользования. Материалы геосинтетические для дорожного строительства. Метод определения прочности при растяжении
ГОСТ Р 55031-2012 Дороги автомобильные общего пользования. Материалы геосинтетические для дорожного строительства. Метод
определения устойчивости к ультрафиолетовому излучению
ГОСТ Р 55035-2012 Дороги автомобильные общего пользования. Материалы геосинтетические для дорожного строительства. Метод определения устойчивости к агрессивным средам
ГОСТ Р 56335-2015 Дороги автомобильные общего пользования. Материалы геосинтетические для дорожного строительства. Метод определения прочности при статическом продавливании
ГОСТ Р 56336-2015 Дороги автомобильные общего пользования. Материалы геосинтетические. Метод определения стойкости к циклическим нагрузкам
СП 34.13330.2012 "СНиП 2.05.02-85* Автомобильные дороги" (с изменениями N 1, N 2)
СП 78.13330.2012 "СНиП 3.06.03-85 Автомобильные дороги" (с изменением N 1)
СП 121.13330.2019 "СНиП 32-03-96 Аэродромы"
Примечание - При пользовании настоящим сводом правил целесообразно проверить действие ссылочных документов в информационной системе общего пользования - на официальном сайте федерального органа исполнительной власти в сфере стандартизации в сети Интернет или по ежегодному информационному указателю "Национальные стандарты", который опубликован по состоянию на 1 января текущего года, и по выпускам ежемесячного информационного указателя "Национальные стандарты" за текущий год. Если заменен ссылочный документ, на который дана недатированная ссылка, то рекомендуется использовать действующую версию этого документа с учетом всех внесенных в данную версию изменений. Если заменен ссылочный документ, на который дана датированная ссылка, то рекомендуется использовать версию этого документа с указанным выше годом утверждения (принятия). Если после утверждения настоящего свода правил в ссылочный документ, на который дана датированная ссылка, внесено изменение, затрагивающее положение, на которое дана ссылка, то это положение рекомендуется применять без учета данного изменения. Если ссылочный документ отменен без замены, то положение, в котором дана ссылка на него, рекомендуется применять в части, не затрагивающей эту ссылку. Сведения о действии сводов правил целесообразно проверить в Федеральном информационном фонде стандартов.
В настоящем своде правил применены термины и определения по СП 34.13330, СП 78.13330, СП 121.13330, а также следующие термины с соответствующими определениями:
3.1.1
|
аэродром: Участок земли или акватории с расположенными на нем зданиями, сооружениями и оборудованием, предназначенный для взлета, посадки, руления и стоянки воздушных судов. [1, статья 40, пункт 1] |
3.1.2 грунтощебень: Строительный материал, получаемый в результате уплотнения рационально составленной смеси щебня, грунта и воды.
3.1.3 камень мощения: Строительное изделие, изготовленное из бетона или полимербетона и предназначенное для устройства искусственных покрытий, отношение длины и ширины которого к его толщине не превышает 2.
3.1.4 плита мощения: Строительное изделие, изготовленное из бетона или полимербетона и предназначенное для устройства искусственных покрытий, длина и ширина которого превышают его высоту (толщину) в два и более раза.
3.1.5
|
посадочная площадка: Участок земли, льда, поверхности сооружения, в том числе поверхности плавучего сооружения, либо акватория, предназначенные для взлета, посадки или для взлета, посадки, руления и стоянки воздушных судов. [1, статья 40, пункт 7] |
В настоящем своде правил применены следующие сокращения:
ВДС - водоотводная и дренажная система;
ВПП - взлетно-посадочная полоса;
ВС - воздушное судно;
МС - место стоянки;
ПАВ - поверхностно-активные вещества;
РД - рулежная дорожка;
ТЭЦ - теплоэлектроцентраль.
4.1 Настоящий свод правил развивает положения СП 121.13330 в части проектирования покрытий облегченного типа на аэродромах и посадочных площадках для самолетов и вертолетов, в том числе и в труднодоступных районах, для обеспечения круглогодичной эксплуатации ВС.
4.2 Покрытия облегченного типа следует проектировать преимущественно на аэродромах и посадочных площадках, предназначенных для регулярной эксплуатации ВС, соответствующих по воздействию на покрытие категории нормативной нагрузки IV и ниже. Параметры категорий нормативных нагрузок приведены в разделе 9.
При необходимости эксплуатации ВС, соответствующих категории нормативной нагрузки III и выше, проектирование аэродромов и посадочных площадок выполняют согласно требованиям СП 121.13330.
5.1 В составе аэродромов и посадочных площадок необходимо предусматривать следующие основные элементы:
- летные полосы, в том числе ВПП с покрытием облегченного типа или грунтовые ВПП;
- РД;
- перроны;
- МС ВС;
- площадки специального назначения.
5.2 Аэродромы и посадочные площадки для самолетов подразделяют на классы А, Б, В, Г, Д и Е.
5.3 Класс аэродрома и посадочной площадки для самолетов определяется классом ВПП.
Класс ВПП определяется длиной ВПП в стандартных условиях по таблице 5.1.
|
Показатель |
Класс ВПП | |||||
|
А |
Б |
В |
Г |
Д |
Е | |
|
Минимальная длина ВПП в стандартных условиях, м |
3200 |
2600 |
1800 |
1300 |
1000 |
500 |
|
Примечание - Стандартные условия характеризуются сочетанием следующих условий: стандартные атмосферные условия (температура воздуха 15°С, атмосферное давление 101 325 Па, относительная влажность воздуха 0%), нулевое превышение над уровнем моря, отсутствие ветра. | ||||||
Расчет длины ВПП в стандартных условиях следует выполнять в соответствии с [2], [3].
5.4 Геометрические параметры элементов аэродромов устанавливают в соответствии с требованиями раздела 5 СП 121.13330.2019 в зависимости от класса аэродрома.
Геометрические параметры элементов посадочных площадок устанавливают в соответствии с требованиями [4].
5.5 Вертикальную планировку аэродромов и посадочных площадок следует выполнять в соответствии с требованиями раздела 5 СП 121.13330.2019.
6.1 Грунтовые основания должны обеспечивать несущую способность покрытия облегченного типа независимо от погодных условий и времени года.
Проектировать грунтовые основания следует с учетом:
- состава и свойств грунтов;
- типов местности по гидрогеологическим условиям (приложение А СП 121.13330.2019);
- деления территории на дорожно-климатические зоны (приложение Б СП 121.13330.2019);
- нагрузки от ВС, оказывающего максимальное силовое воздействие на покрытие, или категории нормативной нагрузки для аэродромов;
- опыта строительства и эксплуатации аэродромов, расположенных в аналогичных инженерно-геологических, гидрогеологических и климатических условиях.
6.2 При проектировании покрытий облегченного типа в районах, расположенных в сложных инженерно-геологических условиях (на набухающих, просадочных, заторфованных и слабых глинистых, засоленных, многолетнемерзлых и пучинистых грунтах и др.), следует руководствоваться требованиями, предъявляемыми к грунтовым основаниям в соответствии с разделом 6 СП 121.13330.2019.
7.1 При проектировании искусственных оснований (при их наличии в составе конструкции покрытия облегченного типа) следует предусматривать применение местных грунтов, щебеночных, гравийных и песчаных материалов, побочных продуктов промышленности, необработанных и обработанных вяжущими, а также геосинтетических материалов.
7.2 В зависимости от функционального назначения материалы искусственных оснований должны обладать дренирующими, противозаиливающими, термоизолирующими, противопучинными, гидроизолирующими свойствами.
7.3 Требования к материалам слоев искусственных оснований приведены в 8.2-8.10 настоящего свода правил, а также в разделе 7 СП 121.13330.2019.
8.1.1 Покрытия облегченного типа следует проектировать из местных материалов (грунтов, гравийных и щебеночных материалов, специально подобранных смесей), как необработанных, так и обработанных органическим или неорганическим вяжущим, из сборных металлических элементов, камней или плит мощения, плит из композитных материалов, деревянных элементов, а также с использованием геосинтетических материалов.
При конструировании покрытий облегченного типа следует предусматривать преимущественное использование местных грунтов и строительных материалов. Требования к выполнению изысканий грунтовых строительных материалов для целей проектирования приведены в [5].
8.1.2 Покрытия облегченного типа подразделяются:
- по признаку разборности: на сборно-разборные (покрытия из сборных металлических элементов, камней или плит мощения, плит из композитных материалов, деревянных элементов) и неразборные (покрытия из местных материалов (грунтов, гравийных и щебеночных материалов, специально подобранных смесей), как необработанных, так и обработанных органическим или неорганическим вяжущим, а также с использованием геосинтетических материалов);
- по материалу: на грунтовые из оптимальных смесей; грунтогравийные, грунтощебеночные, гравийные и щебеночные, обработанные органическим или неорганическим вяжущим, каменные, деревянные, металлические, из композитных и геосинтетических материалов.
8.1.3 В общем случае аэродромная конструкция покрытия облегченного типа включает:
- покрытие - слой (слои), непосредственно воспринимающий нагрузки от колес ВС, негативные воздействия природных факторов, механические воздействия механизмов, предназначенных для эксплуатации аэродрома, а также воздействия антигололедных химических реагентов;
- искусственное основание - слой (слои), обеспечивающий совместно с покрытием передачу нагрузок на грунтовое основание.
8.1.4 При конструировании покрытий облегченного типа необходимо руководствоваться следующим:
- типы покрытий и их конструкция должны удовлетворять эксплуатационным требованиям, предъявляемым к покрытиям в зависимости от эксплуатируемых ВС и интенсивности их движения с учетом их перспективного изменения;
- конструкции покрытий могут быть повторного применения (унифицированными) или разрабатываться индивидуально для каждого аэродрома или ряда аэродромов, характеризующихся сходными природными условиями (грунт естественного основания, дорожно-климатическая зона, тип местности по гидрогеологическим условиям, обеспеченность местными материалами и др.) и расчетными нагрузками;
- в районах, не обеспеченных строительными материалами с высокими физико-механическими свойствами, применяют местные материалы, а также побочные продукты промышленности и грунты, свойства которых могут быть улучшены обработкой их вяжущими;
- конструкции покрытий должны быть технологичными;
- необходимо учитывать условия проведения строительных работ (летняя или зимняя технология, наличие или возможность доставки строительной техники на объект строительства и др.).
8.1.5 Покрытия облегченного типа должны соответствовать требованиям:
- безопасности и регулярности выполнения взлетно-посадочных операций ВС;
- прочности, надежности и долговечности конструкции в целом и составных ее элементов;
- охраны окружающей среды.
8.1.6 Тип покрытия следует принимать в зависимости от категории нормативной нагрузки (для самолетов) и категории по взлетной массе (для вертолетов) ВС, эксплуатируемых или планируемых к эксплуатации на аэродроме, в соответствии с таблицей 8.1.
Параметры категорий нормативной нагрузки и категорий по взлетной массе приведены в разделе 9.
|
Материал покрытия |
Категория нормативной нагрузки |
Категория вертолетов по взлетной массе |
|
Оптимальные грунтовые смеси |
VI |
Легкие, средние |
|
Грунтощебеночные (грунтогравийные) материалы |
VI |
Легкие, средние |
|
Щебеночные (гравийные) материалы, не обработанные вяжущим |
V-VI |
Все категории |
|
Грунты, обработанные неорганическим и органическим вяжущими |
V-VI |
Все категории |
|
Щебеночные (гравийные) материалы, обработанные неорганическим и органическим вяжущими |
IV-VI |
Все категории |
|
Металлические плиты, плиты из композитных материалов: | ||
|
- на спланированном грунтовом основании |
VI |
Легкие |
|
- на искусственном основании |
IV-VI |
Все категории |
|
Камни (плиты) мощения |
IV-VI |
Все категории |
|
Деревянные элементы |
V-VI |
Легкие, средние |
|
Примечание - Покрытия из камней (плит) мощения следует проектировать только для вертодромов, перронов, мест стоянок ВС, площадок специального назначения и площадок для хранения спецавтотранспорта. | ||
8.1.7 Выбор типа покрытия и его конструкции обосновывают технико-экономическим анализом вариантов.
8.1.8 Толщины конструктивных слоев покрытия устанавливают расчетом. Независимо от результатов расчета толщины конструктивных слоев в уплотненном состоянии следует принимать не менее приведенных в таблице 8.2.
|
Материал |
Минимальная толщина слоя, см |
|
Оптимальные грунтовые смеси |
15 |
|
Грунтощебеночные (грунтогравийные) материалы |
15 |
|
Щебеночные (гравийные) материалы, не обработанные вяжущим: | |
|
- на песчаном основании |
15 |
|
- на прочном основании (каменном или из укрепленного грунта) |
8 |
|
Металлургические шлаки |
12 |
|
Грунты и каменные материалы, обработанные неорганическим и органическим вяжущими |
10 |
|
Щебеночные (гравийные) материалы, обработанные неорганическим и органическим вяжущими |
8 |
Минимальные толщины конструктивных слоев из минеральных материалов в уплотненном состоянии принимают не менее двукратного размера наиболее крупной фракции применяемого минерального материала.
При конструировании покрытий облегченного типа следует увеличивать толщины слоев из местных материалов, а привозные материалы использовать только для верхних слоев покрытия минимальной толщины.
8.1.9 Покрытия облегченного типа должны проектироваться на срок службы не менее 5 лет.
8.1.10 При проектировании покрытий из оптимальных грунтовых смесей, а также грунтощебеночных (грунтогравийных) покрытий в зонах с избыточным увлажнением при неблагоприятных гидрогеологических условиях следует учитывать возможное ограничение эксплуатации покрытий в весенний и осенний периоды (временное прекращение летной эксплуатации или введение ограничений по массе ВС).
8.1.11 Поверхность покрытий из металлических плит, камней (плит) мощения, плит из композитных материалов должна обеспечивать коэффициент сцепления с колесами ВС, в том числе во влажном состоянии, не менее 0,45.
8.1.12 В случае укладки крупнозернистого материала непосредственно на грунт естественного основания предусматривают прослойку, препятствующую взаимопроникновению материалов смежных слоев. В качестве материалов прослойки следует применять мелкий щебень, высевки, гравийно-песчаные смеси, крупные и средней крупности пески, непылеватые шлаки, непучинистые золошлаки, а также водопроницаемый синтетический рулонный геотекстиль. Защитной прослойкой может служить слой из грунта, укрепленного вяжущими.
8.1.13 Для уменьшения запыленности воздуха и негативного воздействия на двигатели ВС следует предусматривать обеспыливание покрытий из оптимальных грунтовых смесей, грунтощебня, щебня и щебеночно-гравийно-песчаных смесей в соответствии с приложением А.
8.1.14 Природоохранные мероприятия, предусматриваемые при проектировании аэродромов и посадочных площадок, должны соответствовать требованиям раздела 10 СП 121.13330.2019.
8.1.15 Установление приаэродромной территории и выделение на приаэродромной территории подзон следует выполнять в соответствии с [6].
8.2.1 Составы грунтовых смесей следует проектировать в соответствии с данными, представленными в таблице 8.3.
|
Размер фракций, мм |
Дорожно-климатические зоны III-V |
Дорожно-климатическая зона II | ||
|
Смесь А1 |
Смесь А2 |
Смесь Б1 |
Смесь Б2 | |
|
Содержание фракций, % | ||||
|
2-0,25 |
45-60 |
20-45 |
45-70 |
24-45 |
|
0,25-0,05 |
10-20 |
20-40 |
15-30 |
25-55 |
|
0,05-0,005 |
15-35 |
15-35 |
15-25 |
15-25 |
|
Мельче 0,005 |
6-12 |
8-14 |
3-8 |
3-10 |
При назначении состава смеси следует использовать преимущественно крупнозернистые смеси А1 и Б1 как наиболее устойчивые к воздействию эксплуатационных и природно-климатических факторов. При отсутствии в регионе строительства крупнозернистых смесей применяют смеси типов А2 и Б2.
8.2.2 Для улучшения состава местных грунтов необходимо применять крупные и средние пески по ГОСТ 8736.
Для повышения устойчивости к размоканию глинистых грунтов следует добавлять крупные пески и пески повышенной крупности по ГОСТ 8736 в объеме 15%-20%.
Не допускается использование мелких песков для получения оптимальных грунтовых смесей.
8.2.3 При подборе составов оптимальных грунтовых смесей следует учитывать их пластичность. Число пластичности оптимальной смеси Ip должно быть не менее 4% и не более 8%. В случае Ip<4% необходимо увеличивать содержание пылевато-глинистой фракции, а при Ip>8% - увеличивать содержание песчаных частиц.
8.2.4 Подбор оптимального состава грунтовых смесей следует выполнять графическим методом, которой заключается в построении двухмерных графиков, где по оси абсцисс принимают значения размеров отверстий сит, а по оси ординат - полные остатки на ситах с соответствующими отверстиями.
Допускается применять смеси, близкие к оптимальным, если процентное содержание отдельных фракций (за исключением максимальных и минимальных фракций) отклоняется от оптимального не более чем на 10%.
Подбор оптимальной смеси из местного и карьерного грунтов возможен в случае, если исходные кривые их гранулометрического состава расположены по разные стороны от центральной области значений оптимальных смесей, указанных в таблице 8.3. При размещении кривых гранулометрического состава грунтов с одной стороны от центральной области значений оптимальных смесей необходимо проводить изыскания новых карьерных грунтов с подходящим гранулометрическим составом или выполнять сортировку песчано-гравийного материала для отбора фракций, недостающих для создания оптимальной грунтовой смеси.
8.2.5 При проектировании вертикальной планировки покрытий из оптимальных грунтовых смесей в дорожно-климатической зоне II следует назначать максимальные поперечные уклоны покрытий в соответствии с требованиями СП 121.13330.
8.2.6 Коэффициент уплотнения оптимальной грунтовой смеси должен быть не менее 0,98.
8.3.1 В составе грунтощебня и грунтогравия следует применять:
- трудноуплотняемый щебень - из изверженных и метаморфических горных пород марки по прочности 1000 и выше; щебень из гравия и гравий марки по прочности 600 и выше по ГОСТ 8267;
- легкоуплотняемый щебень - щебень из изверженных и метаморфических горных пород марки по прочности ниже 1000, щебень из осадочных горных пород; щебень из гравия и гравий марки по прочности менее 600 по ГОСТ 8267;
- шлаковый щебень по ГОСТ 3344.
Допускается применять в составе грунтощебня неподдающиеся в чистом виде уплотнению кварциты, кварцевые песчаники и стекловидные шлаки.
8.3.2 При использовании окатанного гравия для улучшения качества смеси в грунтогравийную смесь следует добавлять щебень в объеме не менее 30%.
Содержание щебня (гравия) в смеси должно быть в пределах 50%-70% в зависимости от требуемой прочности. В дорожно-климатической зоне II назначают увеличенное содержание щебня (гравия) в смеси, в дорожно-климатических зонах III-V допускается назначать минимальное содержание щебня (гравия) в смеси.
8.3.3 Максимальный размер щебенок не должен превышать 2/3 толщины уплотненного слоя грунтощебня.
8.3.4 В составе грунтощебня следует применять различные по генезису и гранулометрическому составу грунты: глинистые, суглинистые и супесчаные, преимущественно оптимального гранулометрического состава.
Наиболее высокие прочность, морозоустойчивость и водоустойчивость грунтощебня достигаются при применении супесчаных и легких суглинистых грунтов, гранулометрический состав которых близок к оптимальному. Предварительное улучшение гранулометрического состава тяжелых суглинистых и глинистых грунтов следует выполнять в соответствии с 8.2.
8.3.5 В составе грунтощебня допускается применять связные грунты с влажностью на границе текучести не более 40%.
8.3.6 Грунтощебеночные и грунтогравийные смеси должны отвечать следующим требованиям:
- содержание частиц размером от 5 до 40 мм - 25%-40%;
- содержание глинистых частиц (мельче 0,005 мм) - не более 10% - для дорожно-климатической зоны II и не более 15% для дорожно-климатических зон III-IV;
- число пластичности для частиц, прошедших через сито с отверстиями 0,63 мм, - от 3 до 6.
8.3.7 Грунтовая смесь или природный грунт в составе грунтощебня должны отвечать требованиям, указанным в таблице 8.4.
|
Слой |
Частицы, % по массе, проходящие через сита, мм |
Для фракции менее 0,63 мм | |||||
|
2,5 |
1,0 |
0,63 |
0,25 |
0,05 |
Предел текучести |
Предел пластичности | |
|
Верхний |
80-100 |
50-80 |
40-60 |
30-50 |
25-35 |
До 35 |
4-8 |
|
Нижний |
80-100 |
- |
35-60 |
20-50 |
10-30 |
25 |
До 6 |
8.3.8 Коэффициент уплотнения грунтощебня и грунтогравия в покрытии должен быть не менее 0,98.
8.4.1 Щебеночные основания и покрытия необходимо устраивать по способу заклинки. Щебень при этом подразделяется на основной и расклинивающий.
В качестве основного следует применять щебень из природного камня и щебень из гравия по ГОСТ 8267, щебень из шлаков черной и цветной металлургии и фосфорных шлаков по ГОСТ 3344 фракций 40-70 и 70-120 мм.
В качестве расклинивающего следует применять щебень фракций 5-10, 10-20 и 20-40 мм по ГОСТ 8267 и ГОСТ 3344.
Для устройства щебеночных оснований и покрытий допускается применять также попутно добываемые вскрышные и вмещающие породы, некондиционные побочные продукты горных предприятий по переработке руд (черных, цветных и редких металлов металлургической промышленности), а также неметаллургические ископаемые других отраслей промышленности.
Допускается применять в качестве расклинивающего материала щебень с прочностью на одну марку ниже прочности основного щебня.
При применении щебня осадочных горных пород марки по прочности менее 600 устраивать покрытия допускается без расклинивания.
8.4.2 Крупность щебня следует назначать в зависимости от расположения слоя в покрытии:
- для нижних и средних слоев следует использовать щебень фракции соответственно 70-120 и 40-70 мм;
- для верхних слоев - щебень фракции 40-70 мм.
8.4.3 Расклинивание щебня фракции 40-70 мм следует производить последовательно щебнем фракций 10-20 и 5-10 мм с расходом 15 и 10 м3 на 1000 м2 каждой фракции. Допускается применять одноразовую расклинку смесью фракций 5-20, 0-20, 0-10 мм с вышеуказанным суммарным расходом на 1000 м2.
Расклинивание щебня фракции 70-120 мм следует производить последовательно щебнем фракций 20-40, 10-20, 5-10 мм с расходом 10 м3 на 1000 м2 каждой фракции. Допускается применять одноразовую расклинку смесью фракции 5-40 мм с вышеуказанным суммарным расходом.
8.4.4 Характеристики щебня, используемого для строительства оснований и покрытий, в зависимости от дорожно-климатической зоны должны отвечать требованиям, приведенным в приложении Б.
8.4.5 Ориентировочные значения коэффициента запаса на уплотнение щебня из плотных горных пород по ГОСТ 8267 представлены в таблице 8.5.
|
Материал |
Ориентировочное значение коэффициента запаса на уплотнение |
|
Щебень фракции 40-70 и 70-120 мм, щебеночно-гравийно-песчаные смеси, содержащие щебень марок по прочности 800 и выше |
1,25-1,35 |
|
То же, марок по прочности ниже 800; щебень и смеси из металлургических шлаков |
1,30-1,50 |
|
Примечание - Фактическое значение коэффициента запаса материала на уплотнение следует устанавливать по результатам пробной укатки. | |
8.5.1 При проектировании оснований и покрытий следует применять щебеночно-гравийно-песчаные смеси из материалов по ГОСТ 25607 и ГОСТ 3344, а также из материалов, указанных в 8.4.1.
8.5.2 Характеристики щебня и гравия, входящих в состав щебеночно-гравийно-песчаных смесей, в зависимости от дорожно-климатической зоны должны соответствовать требованиям, приведенным в приложении В.
8.5.3 Для достижения максимальных плотности и однородности смеси, уложенные в конструкцию аэродромных покрытий, должны иметь оптимальную влажность при уплотнении.
8.5.4 Зерновой состав щебеночно-гравийно-песчаных смесей должен соответствовать требованиям, указанным в ГОСТ 25607 и ГОСТ 3344.
8.5.5 Содержание глины в комках в готовых смесях из природных материалов должно быть не более 20% общего количества пылевидных и глинистых частиц в смесях для оснований и не более 10% - в смесях для покрытий, а в шлаковых смесях - не более 0,25% массы смеси.
8.5.6 Ориентировочные значения коэффициента запаса на уплотнение щебеночно-гравийно-песчаных материалов представлены в таблице 8.5.
8.6.1 Основания и покрытия следует проектировать из щебня, обработанного в верхней части следующими неорганическими вяжущими материалами: пескоцементной смесью, активными шлаками, шламами, свежим фосфополугидратом сульфата кальция (далее - фосфогипс), который отбирают непосредственно с технологической линии предприятия, серой и содощелочным плавом.
8.6.2 Толщину обработанной части слоя (верхней зоны) в зависимости от метода и способа обработки следует назначать, см, не более:
15 - при перемешивании, пропитке-вдавливании с использованием кулачкового катка;
10 - пропитке-вдавливании с использованием виброкатка;
7 - пропитке-вдавливании с использованием катка на пневматических шинах.
8.6.3 Щебень как основной материал для устройства щебеночных оснований и покрытий, обработанных в верхней части неорганическими вяжущими, по своим свойствам должен соответствовать требованиям ГОСТ 8267, а также требованиям, представленным в таблице Г.1 приложения Г, а пескоцемент по ГОСТ 23558 как материал для обработки должен соответствовать требованиям, представленным в таблице Г.2 приложения Г.
8.6.4 Материалы, применяемые для устройства оснований и покрытий, обработанные в верхней части неорганическими вяжущими, следует подразделять на основной и пропитывающий.
При устройстве оснований методом пропитки-вдавливания в качестве основного материала следует назначать щебень фракций 40-80 (70) и 80 (70)-120 мм, а методом перемешивания - щебень фракции 5-40 мм.
В качестве пропитывающего материала следует назначать смеси: пескоцементную, пескозольную и пескошлаковую, а также активные шлаки, белитовые шламы, фосфогипс и серу.
При назначении серы в качестве пропитывающего материала следует обеспечивать особые условия ее применения и хранения, позволяющие не допустить негативного влияния на окружающую среду вследствие ее токсичности.
8.6.5 Марки по прочности пескоцементной смеси в возрасте 28 сут и вышеприведенных пропитывающих материалов в возрасте 90 сут должны соответствовать требованиям, представленным в таблице Г.2 приложения Г.
8.6.6 Ориентировочный расход цемента марки ПЦ 400 по ГОСТ 10178 для получения пескоцементной смеси различных марок приведен в таблице 8.6.
|
Марка пескоцементной смеси |
Расход цемента марки ПЦ 400, % по массе, при применении | ||
|
песка из отсевов дробления карбонатных горных пород |
крупно- и среднезернистых песков |
мелких песков | |
|
60 |
6-9 |
12-16 |
13-17 |
|
75 |
8-12 |
16-19 |
17-20 |
|
100 |
11-14 |
19-22 |
20-23 |
|
Примечания 1 При применении цемента марок ПЦ 300 и ПЦ 500 приведенный расход следует умножить на коэффициенты 1,2 и 0,9 соответственно. 2 При использовании шлаковых, зольных и шламовых вяжущих марок 50, 100 и 150 их расход следует увеличивать в 3; 2 и 1,5 раза соответственно. 3 Активность шлаков, зол и шламов допускается повышать введением активаторов: 3%-4% извести, 16%-20% цементной пыли, 2%-4% цемента. 4 Расход вяжущих может быть уменьшен путем применения химических добавок. | |||
8.6.7 Размер комьев белитового шлама текущего производства в момент укладки не должен превышать 40 мм, при этом содержание комьев размером 20-40 мм должно быть не более 25% массы шлама.
Отвальный белитовый шлам допускается применять после его дробления до крупности, не превышающей 20 мм.
8.6.8 При применении для обработки (пропитки) верхней части оснований и покрытий фосфогипса в качестве основного материала следует назначать щебень фракции 20-40 мм, 40-80 (70) мм по ГОСТ 8267.
Зависимость между количеством фосфогипса и прочностными свойствами обработанного материала приведена в таблице 8.7.
|
Прочность обработанного материала в водонасыщенном состоянии, МПа |
1,2 |
3,2 |
5,1 |
|
Расход фосфогипса, % по массе обрабатываемого материала |
10 |
20 |
30 |
8.6.9 При проектировании покрытий и оснований, обработанных в верхней части серой, в качестве основного материала следует назначать щебень фракции 20-40 мм, 40-80 (70) мм по ГОСТ 8267. Для пропитки допускается использовать жидкую и комовую серу, нагретую до температуры 130°С - 140°С.
Зависимость между расходом серы и прочностью обработанного материала приведена в таблице 8.8.
|
Расход серы на 100 м2, т |
Глубина пропитки, см |
Прочность обработанного материала, МПа | |
|
на сжатие |
на растяжение при изгибе | ||
|
0,5 |
5 |
2 |
0,5 |
|
1,0 |
10 |
2 |
0,5 |
|
1,0 |
5 |
4 |
1,0 |
|
2,0 |
10 |
4 |
1,0 |
|
1,5 |
5 |
7 |
1,75 |
|
3,0 |
10 |
7 |
1,75 |
|
2,0 |
5 |
10 |
2,5 |
|
4,0 |
10 |
10 |
2,5 |
8.6.10 При использовании для пропитки содощелочного плава в качестве основного материала следует назначать шлаковые смеси по ГОСТ 3344 с содержанием частиц размером мельче 0,071 мм в количестве 10%-20%. В качестве пропитывающего материала следует назначать водный раствор содощелочного плава 10%-ной концентрации. При пропитке содощелочной плав вместе со шлаковыми частицами мельче 0,071 мм должны образовывать шлакощелочное вяжущее.
Зависимость между расходом шлакощелочного вяжущего и маркой обработанного материала приведена в таблице 8.9.
|
Марка обработанного материала по прочности |
Содержание в шлаковой смеси частиц мельче 0,071 мм, % |
Содержание содощелочного плава, % |
|
20 |
10-13 |
7 |
|
40 |
9-15 |
7-9 |
|
60 |
12-19 |
7-9 |
|
75 |
14-22 |
7-9 |
При расчете расхода материалов плотность пескоцементной смеси и шлака в уплотненном состоянии следует принимать равной 2,0-2,2 т/м3, шлама - 1,8-1,9 т/м3, фосфогипса - 1,6-1,7 т/м3.
8.6.11 Для снижения расхода цемента (при сохранении требуемых физико-механических характеристик обработанного слоя щебня) следует предусматривать введение в пескоцементную смесь химических добавок, эффективность которых должна быть подтверждена лабораторными исследованиями.
8.7.1 К побочным продуктам промышленности, способным к самоцементации и образованию монолитных слоев, следует относить активные и высокоактивные шлаки по ГОСТ 3344, белитовый шлам и фосфогипс.
8.7.2 Для устройства шлаковых монолитных оснований и покрытий следует применять активные и высокоактивные металлургические и фосфорные шлаки текущего производства и отвальные по ГОСТ 3344.
8.7.3 Зерновой состав активных и высокоактивных шлаков должен соответствовать кривым смесей С5 и С6 по ГОСТ 25607, при этом содержание частиц мельче 0,16 мм не нормируется. Максимальный размер зерен шлака не должен превышать 80 (70) мм.
Зерновые составы белитовых шлаков и фосфогипса не нормируются.
8.7.4 Прочность шлаков на сжатие в возрасте 180 сут, МПа, должна составлять:
- 2,5-5,0 - для активных материалов;
- свыше 5,0 - высокоактивных.
8.7.5 Материалы с прочностью на сжатие более 5 МПа следует назначать для устройства покрытий, а с прочностью от 3 до 5 МПа - для устройства оснований. При этом области применения материала в зависимости от марки по морозостойкости следует назначать по таблице 8.10/
|
Средняя температура воздуха наиболее холодного месяца, °С |
Марка материала по морозостойкости, не менее |
|
До минус 5 (включительно) |
15 |
|
От минус 5 до минус 15 (включительно) |
15 |
|
От минус 15 до минус 30 (включительно) |
25 |
|
Ниже минус 30 |
50 |
8.7.6 Прочность шлаков без добавления активаторов в возрасте 90 сут должна быть, МПа, не менее:
5 - для высокоактивных шлаков;
2-5 - для активных шлаков;
1 - для слабоактивных шлаков.
Прочность шлаков с различными активаторами приведена в таблице 8.11.
|
Вид шлака |
Прочность, МПа |
Вид и количество добавки, % по массе | |||
|
цемента |
извести |
хлористого кальция |
содощелочного плава | ||
|
Высокоактивный доменный |
5,0 |
- |
- |
- |
- |
|
Активный доменный |
2,3-5,0 |
5,0 |
3,0 |
- |
- |
|
Активный сталеплавильный |
2,5-5,0 |
2,5-5,0 |
5-10 |
3-10 |
5-10 |
|
Слабоактивный сталеплавильный |
1,0-2,5 |
10-25 |
10-15 |
- |
5-10 |
8.7.7 Для устройства шламовых монолитных оснований и покрытий могут быть применены белитовые (нефелиновые и бокситовые) шламы, являющиеся побочным продуктом алюминиевого производства.
Физико-химические свойства белитового шлама текущего производства должны соответствовать требованиям, представленным в приложении Д.
8.7.8 Следует предусматривать дробление до крупности 120 мм отвального шлама, содержащего отдельные схватившиеся куски крупностью до 500 мм.
8.7.9 Для устройства фосфогипсовых монолитных оснований и покрытий следует применять фосфогипс, отбираемый непосредственно из выходного бункера экстрактора технологической линии предприятия по производству фосфорной кислоты.
8.7.10 Свойства фосфогипса, а также прочностные характеристики уплотненного фосфогипса должны соответствовать требованиям, представленным в приложении Д.
8.8.1 При проектировании оснований и покрытий из смесей, приготовляемых в смесительных установках, следует предусматривать применение природных грунтов: крупнообломочных и песков, супесей всех разновидностей по ГОСТ 25100.
8.8.2 При проведении работ методом смешения на месте строительства помимо указанных природных грунтов допускается применять глинистые грунты с числом пластичности Ip≤22%, в том числе супеси всех разновидностей и суглинки с числом пластичности:
- Ip<12% при условии введения добавок извести, цемента, золы-уноса или песка из отсевов дробления карбонатных горных пород при строительстве в дорожно-климатических зонах I-III и без введения добавок в дорожно-климатических зонах IV-V;
- 12%p<17% и глины с числом пластичности Ip<22% при условии введения добавок извести, цемента, золы-уноса и песка из отсевов дробления карбонатных пород или природного крупнозернистого песка - в дорожно-климатических зонах II-V.
8.8.3 Укрепление тяжелых суглинков и глин битумными эмульсиями не допускается.
8.8.4 Допускается применение засоленных грунтов, содержащих легкорастворимые соли по ГОСТ 25100 не более 1% по массе, при условии укрепления их жидкими органическими вяжущими по ГОСТ 11955. Применение битумных эмульсий для укрепления засоленных грунтов не допускается.
8.8.5 Кроме природных грунтов допускается использовать техногенные дисперсные грунты. Допускается также применять песчано-гравийные, песчано-щебеночные, песчано-гравийно-щебеночные смеси и пески, а также асфальтобетонный гранулят.
Максимальная крупность зерен крупнообломочных и техногенных грунтов должна быть не более 40 мм.
8.8.6 Содержание частиц размером более 5 мм в измельченном, подготовленном к обработке вяжущими глинистом грунте не должно быть более 25% по массе, в том числе содержание частиц размером более 10 мм - не более 10% по массе.
8.8.7 При использовании неорганических вяжущих не допускается применять грунты, содержащие гумусовые вещества в количестве 2% по массе, в дорожно-климатических зонах I и II; более 4% по массе - в дорожно-климатических зонах III-IV и содержащие примеси гипса в количестве 10% по массе.
8.8.8 Для снижения расхода вяжущего и повышения показателей физико-механических и деформативных свойств укрепленных грунтов следует предусматривать введение в них гранулометрических добавок (побочные продукты камнедробления, асфальтобетонный гранулят, золы-уноса, золошлаковые смеси, природные грунты), а также химических добавок, эффективность которых подтверждена лабораторными исследованиями. Гранулометрический состав укрепляемых грунтов должен соответствовать требованиям ГОСТ 23558.
8.8.9 Допускается применение грунтов с показателями, не соответствующими требованиям, указанным в настоящем разделе, если проведено их исследование в профильных лабораториях для подтверждения возможности получения укрепленных грунтов с требуемыми характеристиками.
8.8.10 В качестве органических вяжущих для приготовления укрепленных грунтов следует применять нефтяные дорожные жидкие битумы по ГОСТ 11955 с вязкостью по вискозиметру с отверстием 5 мм при температуре 60°С не более 100 с, битумные дорожные эмульсии ЭБА-3 и ЭБК-3 по ГОСТ Р 52128, а также вязкие битумы в вспененном виде.
Допускается применение других органических вяжущих, удовлетворяющих требованиям действующих нормативных документов и обеспечивающих получение укрепленных грунтов с требуемыми характеристиками.
8.8.11 В качестве активных добавок к битуму следует применять ПАВ или химические добавки, их содержащие.
8.8.12 В качестве минеральных вяжущих следует применять портландцемент и шлакопортландцемент по ГОСТ 10178, известь по ГОСТ 9179, золу-уноса сухого отбора, нефелиновые (белитовые) шламы. Указанные минеральные вяжущие материалы следует использовать также в качестве активаторов при обработке грунтов органическими вяжущими в количестве не более 3% по массе грунта.
8.8.13 Вода для приготовления укрепленных грунтов и растворов активных добавок должна соответствовать требованиям ГОСТ 23732. Максимально допустимое содержание растворимых солей не должно превышать 10 000 мг/л, в том числе ионов SO4 - 2700 мг/л, Сl - 3500 мг/л.
8.8.14 Ориентировочные расходы органических вяжущих для укрепления грунтов при устройстве оснований и покрытий представлены в таблице 8.12.
|
Типы грунтов |
Расход органического вяжущего | |
|
жидкого нефтяного битума |
битумной эмульсии (по содержанию битума), вспененного битума | |
|
Крупнообломочные оптимального состава, пески крупные и средние |
3-5/66-110 |
3-5/66-110 |
|
Крупнообломочные неоптимального состава, пески мелкие, пылеватые |
4-6/88-130 |
4-6/88-130 |
|
Супеси тяжелые, суглинки легкие |
5-8/110-180 |
5-7/110-160 |
|
Суглинки тяжелые, глины песчаные и пылеватые |
8-10/180-220 |
- |
|
Примечание - Расход вяжущих материалов указан в следующих единицах измерения: в числителе - % по массе смеси, в знаменателе - кг/м3. | ||
8.8.15 Ориентировочные расходы минеральных вяжущих для укрепления грунтов при устройстве оснований и покрытий представлены в таблице 8.13.
|
Типы грунтов |
Расход минеральных вяжущих материалов | |||
|
Портландцемент, шлакопортландцемент |
Известь | |||
|
Покрытие или верхний слой основания |
Нижний слой основания |
Покрытие или верхний слой основания |
Нижний слой основания | |
|
Крупнообломочные оптимального состава, пески крупные и средние |
4-8/80-180 |
3-6/60-120 |
3-6/60-120 |
3-4/60-80 |
|
Крупнообломочные неоптимального состава, пески мелкие, пылеватые |
6-12/100-210 |
4-8/70-140 |
- |
- |
|
Супеси, суглинки легкие |
8-12/160-240 |
4-7/80-140 |
6-8/100-140 |
4-6/70-100 |
|
Суглинки тяжелые |
11-14/200-250 |
8-12/150-220 |
7-8/120-150 |
5-6/80-100 |
|
Глины песчаные и пылеватые |
13-15/230-270 |
10-12/180-220 |
8-10/140-170 |
6-8/100-140 |
|
Примечание - Расход вяжущих материалов указан в следующих единицах измерения: в числителе - % по массе смеси, в знаменателе - кг/м3. | ||||
8.8.16 Уточнять расход минеральных и органических вяжущих веществ для укрепления грунтов следует по результатам лабораторных подборов состава укрепленного грунта.
8.8.17 При проектировании покрытий из грунтов, укрепленных минеральными и органическими вяжущими, следует предусматривать их поверхностную обработку в соответствии с приложением Е.
8.8.18 Коэффициент уплотнения оснований и покрытий из укрепленного грунта должен быть не ниже:
0,99 - для глинистых типов грунтов;
0,98 - для остальных типов грунтов.
8.9.1 Щебень из плотных горных пород для покрытий и оснований, устраиваемых методом пропитки, и щебень для приготовления черного щебня (щебень, обработанный органическим вяжущим в смесительной установке) должны соответствовать требованиям ГОСТ 8267, щебень из шлаков устойчивой структуры - требованиям ГОСТ 3344.
8.9.2 При проектировании оснований и покрытий, устраиваемых методом пропитки на глубину от 8 до 10 мм, следует использовать щебень фракции: от 40 до 70 мм, от 20 до 40 мм, от 10 до 20 мм. При глубине пропитки менее 8 см щебень фракции от 40 до 70 мм не применяют.
Объем щебня основной фракции размером от 40 до 70 мм или от 20 до 40 мм следует определять с учетом коэффициента запаса на уплотнение, равного 1,15. Объем каждой последующей расклинивающей фракции щебня следует принимать равным от 0,9 до 1,1 м3 на 100 м2 основания или покрытия.
8.9.3 Для приготовления черного щебня следует применять щебень фракций от 5 до 10 мм, от 10 до 20 мм, от 15 до 20 мм, от 20 до 40 мм и смеси указанных фракций (от 5 до 40 и от 5 до 20 мм).
Расход щебня для устройства оснований и покрытий из черного щебня следует назначать исходя из данных, представленных в таблице 8.14.
|
Плотность щебня, кг/м3 |
Расход щебня по фракциям, кг/м2 | |||
|
Основной |
Расклинивающих | |||
|
При толщине слоя 5 см |
При большей толщине прибавлять на каждый см толщины кг/м2 |
Первой |
Второй | |
|
2600 |
91- 97 |
18-19 |
9-11 |
7-8 |
|
2800 |
98-104 |
20-21 |
10-12 |
7-8 |
|
3000 |
104-110 |
21-22 |
11-13 |
8-9 |
|
3200 |
111-126 |
22-23 |
11-14 |
9-10 |
8.9.4 Физико-механические характеристики щебня, предназначенного для устройства покрытий и оснований методом пропитки и методом смешения в установке, должны соответствовать требованиям, представленным в приложении Ж.
8.9.5 Для приготовления органоминеральных смесей следует применять материалы в соответствии с приложением И.
8.9.6 В качестве вяжущих для устройства оснований и покрытий методом пропитки следует использовать вязкие битумы с глубиной проникновения иглы 0,1 мм при температуре 25°С (далее - пенетрация) от 90 до 200 по ГОСТ 22245 или битумные эмульсии классов ЭБК-2, ЭБК-3 и ЭБА-2 по ГОСТ Р 52128.
При использовании эмульсии концентрация битума в ней должна быть от 50% до 55% при применении щебня осадочных горных пород и от 55% до 60% при применении щебня изверженных горных пород.
8.9.7 При назначении расхода органических вяжущих и расхода щебня при устройстве оснований и покрытий методом пропитки следует руководствоваться данными, представленными в таблице 8.15.
|
Наименование материала |
Конструктивный слой | |
|
Покрытие |
Основание | |
|
Основная фракция щебня от 40 до 70 мм, м3/100 м2 |
9-11 |
9-11 |
|
Вяжущее, распределяемое по поверхности основной фракции щебня, л/м2 |
6-8 |
8-10 |
|
Первая расклинивающая фракция щебня от 20 до 40 мм, м3/100 м2 |
1,0-1,1 |
1,1-1,4 |
|
Вяжущее, распределяемое по поверхности первой расклинивающей фракции щебня, л/м2 |
2-3 |
- |
|
Вторая расклинивающая фракция щебня от 10 до 20 мм (от 15 до 25 мм), м3/100 м2 |
1-1,1 |
- |
|
Вяжущее, распределяемое по поверхности второй расклинивающей фракции щебня, л/м2 |
1,5-2,0 |
- |
|
Замыкающая фракция щебня размером от 5 (3) до 10 или от 5 (3) до 15 мм, м3/100 м2 |
0,9-1,1 |
- |
|
Примечания 1 Расход вяжущего по поверхности основной фракции щебня приведен для слоя толщиной 8-10 см. 2 При использовании эмульсии в качестве вяжущего при устройстве покрытия первый розлив ее (70% общего расхода) следует выполнять только после распределения и уплотнения расклинивающей фракции щебня размером от 20 до 40 мм. Остальные 30% эмульсии следует разливать после уплотнения второй расклинивающей фракции щебня. | ||
8.9.8 Для приготовления черного щебня следует применять вязкие битумы по ГОСТ 22245, жидкие битумы по ГОСТ 11955 и битумные эмульсии по ГОСТ Р 52128. Вид назначаемого вяжущего определяется исходя из технологических особенностей приготовления и использования черного щебня. В дорожно-климатических зонах I-III следует применять жидкие и вязкие битумы с пенетрацией выше 130, а в дорожно-климатических зонах IV-V - вязкие битумы с пенетрацией ниже 130.
8.9.9 Для приготовления черного щебня допускается использовать эмульсии классов ЭБК-2 и ЭБА-2 по ГОСТ Р 52128.
8.9.10 Для приготовления черного щебня, предназначенного для укладки сразу после приготовления, следует предусматривать использование эмульсий, содержащих вязкие битумы с пенетрацией от 60 до 130. Для приготовления черного щебня, заранее подготовленного для укладки, следует предусматривать использование эмульсий, приготовленных на битумах пониженной вязкости с пенетрацией от 200 до 250.
8.9.11 Количество органического вяжущего для приготовления черного щебня следует назначать в соответствии с данными, представленными в таблице 8.16.
|
Органическое вяжущее |
Щебень из прочных горных пород с плотной поверхностью, мм |
Щебень из малопрочных горных пород с пористой поверхностью, мм | ||
|
40-70 и 20-40 |
10 (15)-20 и 3 (5)-10 (15) |
40-70 и 20-40 |
10 (15)-20 и 3 (5)-10 (15) | |
|
Расход органического вяжущего, % по массе | ||||
|
Вязкое |
1,5-3,0 |
2,0-3,5 |
2,5-4,5 |
3,0-5,0 |
|
Жидкое |
1,3-2,0 |
1,5-3,0 |
2,0-4,0 |
2,5-4,5 |
8.9.12 Перед устройством покрытий и оснований методом пропитки и из черного щебня или органоминеральной смеси должна быть предусмотрена подгрунтовка поверхности нижележащего слоя битумной эмульсией в количестве от 0,6 до 0,9 л/м2.
8.10.1 В качестве геосинтетических материалов при проектировании покрытий облегченного типа необходимо использовать следующие материалы в соответствии с ГОСТ Р 55028:
- рулонные материалы (геотекстиль, тканое и нетканое геополотно, геосетки и георешетки);
- пространственные георешетки (геосотовый материал).
8.10.2 Геосинтетические материалы должны соответствовать требованиям, исходя из функционального назначения.
Для функции армирования геосинтетические материалы должны иметь следующие характеристики:
- прочность при растяжении, определяемую по ГОСТ Р 55030, - не менее 20 кН/м;
- относительное удлинение при максимальной нагрузке, определяемое по ГОСТ Р 55030, - не более 15%;
- стойкость к циклическим нагрузкам, определяемую по ГОСТ Р 56336, - не менее 80%.
Для функции разделения и фильтрации геосинтетические материалы должны иметь следующие характеристики:
- коэффициент фильтрации, определяемый по ГОСТ 52608, - не ниже 20 м/сут;
- прочность при растяжении, определяемую по ГОСТ Р 55030, - не менее 10 кН/м;
- относительное удлинение при максимальной нагрузке, определяемое по ГОСТ Р 55030, - не менее 20%;
- прочность при статическом продавливании, определяемую по ГОСТ Р 56335, - не ниже 1500 Н.
Пространственные георешетки (геосотовый материал) должны
удовлетворять следующим требованиям:
- высота георешетки - не менее 100 мм;
- прочность лент при растяжении - не ниже 17 кН/м;
- относительное удлинение лент при максимальной нагрузке - не более 35%;
- прочность шва - не менее 10 кН/м.
Все применяемые геосинтетические материалы должны соответствовать следующим требованиям:
- устойчивость к действию агрессивных грунтовых сред, определяемая по ГОСТ Р 55035, - не менее 80%;
- устойчивость к ультрафиолетовому излучению, определяемая по ГОСТ Р 55031, - не менее 80%;
- стойкость к действию микроорганизмов - не менее 90%;
- интервал рабочих температур - не менее ±50ºС.
8.10.3 Укладку геосинтетических материалов следует проводить на подготовленное и уплотненное основание. Требуемый коэффициент уплотнения основания - не менее 0,95.
Укладка пространственных георешеток на основание с модулем деформации менее 5 МПа не допускается.
8.10.4 Для усиления щебеночных, гравийных и других покрытий из зернистых
материалов следует использовать тканые геополотна из полиэфира, полипропилена и полиэтилена, геосетки и плоские георешетки из базальтового, полипропиленового и полиэфирного волокна.
Для разделения щебеночных, гравийных и других покрытий из зернистых материалов следует использовать нетканый геотекстиль. Материал выбирают по критерию прочности на статическое продавливание.
Материал располагают на контакте между несущим слоем и дополнительным песчаным слоем или уплотненным грунтом естественного основания.
8.10.5 При армировании покрытия из зернистых материалов размер ячеек геосеток и плоских георешеток должен отвечать следующим требованиям:
0,5 (d + D) > 0,8А (8.1)
D < 2,2А, (8.2)
d > 0,5А (8.3)
где d - наименьший номинальный размер зерен каменного материала;
D - наибольший номинальный размер зерен каменного материала;
A - средний размер ячейки.
8.10.6 Конструктивные слои из оптимальных грунтовых, грунтощебеночных (грунтогравийных), щебеночных смесей, а также из малопрочных материалов (слабых известняков, дресвы, ракушечника и т.п.) и побочных продуктов промышленности (шлаковый щебень) следует армировать пространственными георешетками и обоймами из тканого геополотна и георешетки.
8.10.7 Максимальную крупность зерен заполнителя для пространственных георешеток следует принимать в соответствии с таблицей 8.17.
|
Высота пространственной георешетки, мм |
Размер ячейки пространственной георешетки, мм | |
|
a (b) < 250 |
a (b) > 250 | |
|
Максимальная крупность зерен заполнителя dk, мм | ||
|
100 |
40 |
50 |
|
150 |
50 |
60 |
|
200 |
60 |
70 |
|
Примечание - a, b - размеры ячейки по диагоналям соответственно. | ||
При армировании верхнего слоя покрытия над пространственной георешеткой устраивают защитный слой толщиной 5-7 см из материала засыпки. При использовании в качестве материала засыпки местного грунта или песка его следует упрочнять утапливанием щебня или гравия.
8.10.8 Заполнение ячеек георешеток щебнем необходимо проводить способом заклинки.
8.10.9 Пространственные георешетки устанавливают в нижней части конструктивного слоя из зернистых материалов. При этом в основание георешетки следует укладывать геотекстиль с прочностью на статическое продавливание не менее 3000 Н.
8.11.1 Сборные покрытия из металлических плит следует проектировать для аэродромов в труднодоступных районах при отсутствии материальных ресурсов и технической базы, необходимых для строительства покрытий.
8.11.2 Металлические плиты должны быть изготовлены из конструкционных сталей по ГОСТ 1050 или алюминиевых сплавов по ГОСТ 4784.
8.11.3 Металлические плиты должны иметь прямоугольную в плане форму с соотношением сторон не более 1:6.
8.11.4 Металлические плиты должны иметь замковые соединения по всему периметру для соединения между собой, обеспечивающие целостность и долговечность покрытия при эксплуатационных нагрузках.
Замковые соединения должны иметь конструкцию, обеспечивающую возможность ремонта отдельных участков без разборки всего покрытия.
8.11.5 Покрытия из металлических плит проектируют на естественном основании при благоприятных грунтовых и гидрогеологических условиях. Для укладки плит следует предусматривать профилирование и уплотнение грунта, а также, при использовании плит с перфорацией, рыхление грунта на глубину 3-5 см непосредственно перед укладкой плит для улучшения вдавливания покрытия в грунт.
При неблагоприятных гидрогеологических условиях покрытия из металлических плит следует проектировать на искусственном основании.
В качестве материалов для устройства искусственного основания следует использовать песчаные грунты, грунтогравийные и грунтощебеночные смеси, в том числе обработанные вяжущим, а также геосинтетические материалы.
В случае щебеночного искусственного основания следует
предусматривать на поверхности основания переходный коврик толщиной 5 см из грунта, обработанного органическим вяжущим.
На естественных основаниях, состоящих из недренирующих грунтов (глин, суглинков и супесей пылеватых), необходимо устраивать дренирующие слои из материалов с коэффициентом фильтрации не менее 7 м/сут.
В случае использования плит с перфорацией для уменьшения размокания грунтов и ограничения выдувания материала основания из-под плит необходимо предусматривать укладку рулонного геосинтетического материала на поверхность основания.
8.11.6 Металлические плиты на элементах аэродромов следует располагать перпендикулярно направлению движения ВС на прямолинейных участках.
Концы каждого ряда плит следует размещать напротив середины плит двух соседних рядов. Для выравнивания продольных (боковых) кромок покрытия следует использовать полуплиты.
8.11.7 Продольные (боковые) кромки покрытий следует закреплять в грунт через три ряда для плит с перфорацией и через один-два ряда для других типов плит.
Крепление следует выполнять с помощью проволочной скрутки и металлических штырей или деревянных антисептированных кольев диаметром 8-10 см и длиной 50-60 см. При соответствующем конструктивном решении плит допускается их непосредственное крепление к грунту крепежными элементами.
8.11.8 Торцевые кромки покрытия ВПП следует крепить заглублением одного-двух последних рядов плит в траншею треугольного сечения под углом 35°-45° к поверхности земли с последующей засыпкой грунтом до уровня планировочной отметки.
8.11.9 На примыкании покрытий из металлических плит к существующим покрытиям жесткого или нежесткого типа необходимо предусматривать устройство искусственного основания под плитами из грунтощебеночных или грунтогравийных смесей шириной не менее 1 м.
Крепление металлических плит к примыкающим покрытиям жесткого и нежесткого типов следует осуществлять анкерами или с помощью ряда вертикально поставленных плит.
8.12.1 Покрытие облегченного типа из камней (плит) мощения следует проектировать только для посадочных площадок для вертолетов, перронов, МС ВС, площадок специального назначения и площадок для хранения спецавтотранспорта.
8.12.2 Конструкции покрытий из камней (плит) мощения следует проектировать многослойными. Конструктивные слои покрытия необходимо назначать в зависимости от грунта естественного основания, типа местности и принимаемой толщины искусственного камня мощения. Требуемую толщину слоев обосновывают расчетом. Толщина слоев искусственного основания (в уплотненном состоянии) не должна быть меньше значений, приведенных в таблице 8.18.
|
Наименование материала слоя |
Минимальная толщина слоя, см, при укладке | ||
|
специальным укладчиком |
многопрофильными машинами | ||
|
Каменные материалы и пески, обработанные неорганическим вяжущим |
8/10 |
8/12 | |
|
Грунт, обработанный вяжущим |
8/12 |
8/12 | |
|
Щебень и гравий, не обработанные вяжущим и уложенные: | |||
|
- на песчаное основание |
15 |
15 | |
|
- на укрепленное каменное основание или грунтовое, укрепленное вяжущим |
8/10 |
8/10 | |
|
Примечание - В числителе даны толщины слоев для площадок для хранения спецавтотранспорта, в знаменателе - для вертодромов, перронов, МС ВС и площадок специального назначения. | |||
8.12.3 Верхний слой покрытия следует выполнять из вибропрессованных искусственных камней (плит) мощения высотой сечения не менее 100 мм, изготовленных из тяжелого бетона по ГОСТ 17608. Требуемые характеристики бетона для покрытий элементов аэродрома в зависимости от степени воздействия нагрузок приведены в таблице 8.19.
|
Наименование физико-механических свойств |
Значение физико-механических свойств для покрытий элементов аэродрома | |
|
Вертодромы, перроны, МС ВС, площадки специального назначения |
Площадки для хранения спецавтотранспорта | |
|
Класс бетона по прочности на сжатие, не менее |
В35 |
В22,5 |
|
Класс бетона по прочности на растяжение при изгибе, не менее |
Btb4,0 |
Btb3,2 |
|
Водопоглощение, % по массе, не более |
5 |
6 |
|
Истираемость, г/см2, не более |
0,7 |
0,9 |
|
Марка бетона по морозостойкости, не ниже |
F2200 |
F2200 |
8.12.4 Для покрытий из камней (плит) мощения необходимо предусматривать монтажный слой толщиной 3-5 см (в уплотненном состоянии). Для устройства монтажного слоя и заполнения швов применяют:
- пески для строительных работ по ГОСТ 8736 класса I или II с крупностью не ниже мелкого;
- пески из отсевов дробления по ГОСТ 31424 с крупностью не ниже мелкого с маркой по дробимости не ниже 600.
Материал для заполнения швов следует дополнительно обрабатывать стабилизатором на основе полимеров.
8.12.5 В качестве искусственного основания следует проектировать слои из щебня с расклинкой, пескоцементной смеси, щебня, укрепленного цементом или пескоцементной смесью, и других материалов, модуль упругости которых превышает 180 МПа.
8.12.6 На естественных основаниях, состоящих из недренирующих и пучинистых грунтов (глин, суглинков и супесей пылеватых), следует предусматривать дополнительные слои основания: дренирующий с коэффициентом фильтрации не менее 7 м/сут, противопучинный или теплоизолирующий.
8.12.7 В покрытиях из камней (плит) мощения должны быть устроены технологические швы по типу швов расширения на участках примыкания к другим сооружениям (например, водоотводным лоткам) или элементам аэродрома с иным типом покрытия.
8.12.8 Края покрытия из камней (плит) мощения должны быть зафиксированы с использованием натуральных камней, бортовых гранитных или бетонных камней по ГОСТ 6665, ГОСТ 32018, ГОСТ 32961.
8.12.9 Укладку камней мощения в несвязанных конструкциях необходимо выполнять перпендикулярно или под углом 45о к оси движения спецавтотранспорта.
8.13.1 Сборные покрытия из плит из композитных материалов следует проектировать для аэродромов в труднодоступных районах при отсутствии материальных ресурсов и технической базы, необходимых для строительства покрытий.
8.13.2 Плиты для облегченных покрытий должны быть изготовлены:
- из полимерных и композитных материалов;
- наполнителей - полимерных материалов, древесины и других материалов, обеспечивающих стабильность структуры, соответствие требованиям качества и необходимый срок службы плит.
8.13.3 Плиты из композитных материалов должны соответствовать требованиям пунктов 5.1.3-5.1.12, раздела 5.2 ГОСТ 33376-2015.
8.13.4 Основные физико-механические характеристики материала композитных плит должны соответствовать таблице 8.20.
|
Наименование показателя |
Значение показателя |
|
Разрушающее напряжение на растяжение при изгибе, МПа, не менее |
9 |
|
Разрушающее напряжение при сжатии, МПа, не менее |
10 |
|
Водопоглощение при температуре (23±2)ºC в течение (24±1) ч, %, не более |
5 |
|
Морозостойкость, потеря прочности на растяжение при изгибе после 25 циклов замораживания и оттаивания, %, не более |
10 |
|
Химическая стойкость при рН 3 - рН 10, потеря прочности на растяжение при изгибе, %, не более |
10 |
|
Стойкость к нефтепродуктам, потеря прочности на растяжение при изгибе, %, не более |
10 |
|
Стойкость к атмосферному воздействию, потеря прочности на растяжение при изгибе, %, не более |
10 |
|
Рабочий диапазон температур, °С |
±50 |
8.14.1 Покрытия облегченного типа из деревянных элементов следует проектировать только для площадок и стоянок эпизодического использования легкими самолетами и вертолетами.
8.14.2 Покрытия из деревянных элементов следует проектировать для ВС категории нормативной нагрузки V из бревен в два наката, для ВС категории нормативной нагрузки VI - в один накат.
8.14.3 Покрытия из деревянных элементов следует устраивать на подготовленном грунтовом основании после снятия дернового покрова (при его наличии), выравнивания поверхности естественного грунта или устройства выравнивающего слоя из сухого песка или грунта.
8.14.4 Нижний слой покрытия из бревен в два наката устраивают из бревен с одинаковым диаметром не менее 20 см с последующей фиксацией их положения стальными скобами. Укладку второго слоя бревен одинаковым диаметром не менее 20 см проводят в выемки (вырубки) на нижний слой перпендикулярно первому, с фиксацией их положения стальными скобами и засыпкой грунтом пазух между бревен.
8.14.5 При необходимости чистовую отделку поверхности следует проводить из профилированных досок лиственных пород толщиной не менее 35 мм, подвергнутых предварительной антисептической обработке. Фиксацию уложенного слоя выполняют крепежными изделиями для деревянных конструкций.
8.14.6 Укладку бревенчатых настилов и досок поверхностного слоя следует выполнять в разбежку (палубная укладка).
8.14.7 В целях предотвращения раскатывания слоев бревенчатого настила при приложении эксплуатационных нагрузок следует предусматривать дополнительную фиксацию верхнего слоя относительно нижнего штифтами, устанавливаемыми в сквозные отверстия, просверленные через верхний слой.
По кромке внешнего периметра обоих слоев бревенчатого настила выполняют тросовую стяжку конструкции площадки.
8.14.8 Крепление покрытия из бревен к грунту следует выполнять растяжками из проволоки или тросов к клиньям.
9.1 Покрытия облегченного типа следует рассчитывать на воздействие нагрузок от ВС конкретного типа.
Допускается выполнять расчет на нормативные нагрузки категорий IV, V и VI, соответствующие расчетным типам ВС, параметры которых приведены в таблице 9.1 (для самолетов) и таблице 9.2 (для вертолетов).
9.2 Покрытия аэродромов по степени воздействия нагрузок ВС и несущей способности подразделяются на группы участков в соответствии с приложением Л СП 121.13330.2019.
|
Категория нормативной нагрузки для аэродромов |
Нормативная нагрузка Fn на основную (условную) опору самолета, кН |
Внутреннее давление воздуха в пневматиках колес pa, МПа |
Основная опора |
|
IV |
300 |
1,0 |
Четырехколесная |
|
V |
80 |
0,6 |
Одноколесная |
|
VI |
50 |
0,4 |
Одноколесная |
|
Примечания 1 Расстояния между пневматиками четырехколесной опоры приняты равными 0,7 м между смежными колесами и 1,3 м - между рядами колес. 2 Нормативную нагрузку категории IV допускается заменять нагрузкой на одноколесную основную опору 120 кН, а давление в пневматиках колес для нормативных нагрузок категорий V и VI - принимать равным 0,8 МПа. | |||
|
Категория вертолетов по взлетной массе |
Нормативная нагрузка Fn на основную (условную) опору, кН |
Внутреннее давление воздуха в пневматиках колес pa, МПа |
Основная опора |
|
Тяжелые |
170 и более |
0,7 |
Одноколесная |
|
Средние |
60 |
0,6 |
Одноколесная |
|
Легкие |
20 |
0,4 |
Одноколесная |
|
Примечание - При назначении конструктивных требований к посадочным площадкам для вертолетов нагрузки средних вертолетов (со взлетной массой от 5 до 15 т) приравниваются к категории нормативной нагрузки V, легких (менее 5 т) - к категории VI. | |||
9.3 Расчетные характеристики грунтов естественного основания в зависимости от дорожно-климатической зоны и типа гидрогеологических условий следует устанавливать в соответствии с приложением В СП 121.13330.2019.
9.4 Расчетные характеристики материалов конструктивных слоев покрытий облегченного типа следует устанавливать в соответствии с приложением К.
9.5 Расчет покрытий из оптимальных грунтовых смесей, гравийных, щебеночных, грунтогравийных и грунтощебеночных смесей, как обработанных, так и необработанных неорганическим или органическим вяжущим, а также покрытий с использованием геосинтетических материалов следует выполнять как для нежестких покрытий по предельному относительному прогибу всей конструкции. При этом должно выполняться условие
λd < γcλu, (9.1)
где λd - расчетный относительный прогиб покрытия от нагрузки;
γc - коэффициент условий работы, принимаемый для групп участков аэродромных покрытий;
λu - предельный относительный прогиб покрытия.
Расчет следует выполнять в соответствии с подразделом 7.9 СП 121.13330.2019.
9.6 Эффект упрочнения конструктивных слоев покрытий облегченного типа при их армировании геосинтетическими материалами учитывают соответствующим увеличением модуля упругости по формуле
Ea = KaE, (9.2)
где Ka - коэффициент армирования, характеризующий увеличение расчетной характеристики конструктивного слоя покрытия;
Е - модуль упругости неармированного слоя, уплотненного в соответствии с нормативными требованиями.
Коэффициент Ka определяют по результатам штамповых испытаний фрагментов неармированных и армированных геосинтетическими материалами слоев покрытий, проведенных непосредственно на участке строительства или ранее в аналогичных условиях в соответствии с ГОСТ 20276.
В расчетах на стадии технико-экономического обоснования допускается применять численные значения коэффициента Ka, полученные с использованием программных комплексов автоматизированного проектирования.
9.7 Расчет покрытий облегченного типа, выполненных из сборных металлических плит, следует выполнять по предельному прогибу покрытия. При этом должно выполняться условие
wd < wu, (9.3)
где wd - расчетный прогиб покрытия (после n-го прохода колеса самолета), м;
wu - предельный прогиб покрытия, м.
Расчетное значение величины прогиба следует выполнять по формуле
wd = w1·nα·kα, (9.4)
где w1 - прогиб покрытия после одного прохода колеса расчетного ВС, м, определяемый по формуле
, (9.5)
здесь Fd - расчетная нагрузка на колесо, кН;
E0 - модуль упругости грунта основания или средний модуль упругости многослойного основания, МПа;
n - число взлетно-посадочных операций за расчетный срок эксплуатации покрытия;
k - коэффициент учета повторности проходов по одному следу колес расчетного ВС: для оси ВПП - k = 0,08; для краев ВПП - k = 0,025; для РД и МС - k = 0,30;
α - показатель интенсивности нарастания пластических деформаций покрытий при повторном приложении нагрузки: для грунтов при E0≤5 МПа α=0,415, при E0>5 МПа определяется по формуле
. (9.6)
Величину предельного прогиба wu устанавливают по результатам испытаний металлических плит.
9.8 Покрытие из камней или плит мощения рассчитывают как нежесткое покрытие по предельному относительному прогибу всей конструкции по формуле (9.1) при условии, что плиты мощения относятся к категории абсолютно жестких. При этом покрытие из камней или плит мощения моделируется сплошным слоем путем назначения его модуля упругости, равного 3000 МПа.
Расчет покрытий из плит мощения конечной жесткости следует выполнять как для жестких покрытий по прочности, при этом должно выполняться условие
md ≤ mu, (9.7)
где md - расчетный изгибающий момент в рассматриваемом сечении плиты;
mu - предельный изгибающий момент в рассматриваемом сечении плиты.
Моменты md и mu определяют в соответствии с требованиями подраздела 7.8 СП 121.13330.2019.
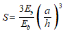
Жесткость плит мощения характеризуется показателем жесткости S:
- при S≤0,5 плиты относят к категории абсолютно жестких;
- при 0,5
Показатель жесткости S плиты определяют по формуле
, (9.8)
где Eэ - эквивалентный модуль упругости основания, МПа;
Eb - модуль упругости бетона, МПа;
a - половина стороны квадратной или полудлина прямоугольной плиты, м;
h - толщина плиты, м.
9.9 Покрытия из плит из композитных материалов рассчитывают, как жесткие покрытия по условию прочности (9.7).
Расчетные прочностные характеристики принимают по экспериментальным данным в зависимости от материала плит и их конструктивного исполнения.
Расчет покрытий следует выполнять в соответствии с подразделом 7.8 СП 121.13330.2019.
9.10 Конструкции покрытий облегченного типа из деревянных элементов следует назначать в зависимости от расчетных типов ВС, предназначенных для их временной эксплуатации.
10.1 Инженерные мероприятия по водоотводу и дренажу на летном поле должны назначаться в зависимости от дорожно-климатической зоны расположения аэродрома (или посадочной площадки), геологических и гидрогеологических условий, рельефа местности.
Требования к проектированию элементов ВДС с учетом наличия сложных инженерно-геологических условий на участке расположения аэродрома приведены в СП 121.13330.
10.2 Улучшение условий эксплуатации элементов аэродрома путем их защиты от обводнения поверхностными и грунтовыми водами, поступающими с прилегающих вышерасположенных территорий, достигается в результате выполнения вертикальной планировки территории аэродрома и инженерных мероприятий по водоотводу и дренажу.
В случае возможности подтопления поверхностными водами на аэродроме должен быть проведен комплекс инженерных мероприятий, включающих устройство нагорных, водоотводных канав, заградных валов, ограждающих дамб, водопропускных труб под элементами аэродрома.
10.3 При наличии высокого уровня грунтовых вод или верховодки необходимо предусматривать устройство:
- искусственных слоев из дренирующих природных материалов или геокомпозитных дренирующих материалов с отводом воды в закромочные дрены;
- беструбчатых дрен из крупнообломочного или другого хорошо дренирующего материала в обойме из геосинтетического противозаиливающего материала, выполняющих функции водосбора и водоотведения, водоперехвата (экран-дрены) и водоотведения, глубинного дренажа, водоосушения;
- поглощающих колодцев на участках со слабо проницаемыми слоями небольшой толщины (до 2 м), подстилаемыми хорошо фильтруемыми грунтами;
- противофильтрационных завес, экран-дрен глубокого заложения или комбинированных экран-дрен глубокого заложения с противофильтрационным материалом на боковой стороне экран-дрены, обращенной к защищаемому элементу аэродрома.
10.4 На участках распространения многолетнемерзлых грунтов с льдистыми просадочными при оттаивании грунтами инженерные мероприятия по водоотводу и дренажу следует выполнять с применением средств эффективной теплоизоляции для предотвращения растепления многолетнемерзлых грунтов и разрушения элементов ВДС от воздействия водотока талых поверхностных и надмерзлотных вод.
Для дополнительной защиты от воздействия талых и дождевых поверхностных вод и надмерзлотных вод с верховой стороны участков, прилегающих к элементам аэродрома, следует устраивать мерзлотные завесы и валы, а также мерзлотные завесы и валы в комбинации с беструбчатыми дренами посредством применения заглубленных грунтовых термостабилизаторов в сочетании с устройством слоя эффективной теплоизоляции, например экструзионного пенополистирола.
10.5 При проектировании следует предусматривать организацию водоотведения талых вод с участков складирования снега с очищаемых поверхностей элементов аэродрома в зимний период.
10.6 На участках с пучинистыми и просадочными грунтами следует предусматривать инженерные мероприятия, обеспечивающие эффективный перехват и водоотвод поверхностных и грунтовых вод, включая верховодку, от элементов аэродрома, а также применение геосинтетических материалов, обладающих армирующими, гидроизолирующими и дренирующими свойствами, в основаниях покрытий элементов аэродрома.
10.7 В целях максимального снижения процессов морозного пучения подстилающих пучинистых грунтов следует применять при устройстве отдельных элементов водоотвода и дренажа (закромочный безтрубчатый дренаж, экран-дрены, водопропускные трубы под элементами аэродрома и т.п.) эффективную теплоизоляцию из экструзионного пенополистирола.
10.8 Состав элементов ВДС и их геометрические параметры следует устанавливать гидравлическим расчетом в соответствии с приложением Н СП 121.13330.2019.
Приложение А
А.1 Обеспыливание покрытий обеспечивают следующими способами:
- распределением по поверхности покрытия смачивающих материалов и гигроскопических солей. В качестве солей следует использовать хлористый кальций, хлористый натрий, карналлит, различные побочные продукты производства, содержащие соли, а также морскую, лиманную воду. Гигроскопические соли следует применять в районах с умеренным и умеренно жарким климатом при относительной влажности воздуха не менее 35%-45%. Допускается применять соли как в порошкообразном виде, так и в виде растворов;
- обработкой поверхности покрытия органическими вяжущими материалами. Для обеспыливания покрытий следует применять: нефтяные жидкие битумы, каменноугольные дегти, топочные мазуты, битумные и дегтевые эмульсии, сырые тяжелые нефти, синтетические смолы - карбамидоформальдегидную и др., технические лигносульфонаты, сульфитный щелок, лигнодор, побочные продукты промышленности, содержащие вязкие нефтепродукты, масла, смолы, и т.д. Поверхность покрытий после обработки должна быть присыпана песком, мелким гравием, щебнем из расчета 0,5-1,0 м3 на 100 м2 покрытия и прикатана катками за один-три прохода по одному следу для предотвращения налипания вяжущих к колесам транспортных средств.
А.2 Ориентировочные нормы расхода обеспыливающих материалов представлены в таблице А.1.
|
Материал |
Расход материала на 1 м2 покрытия |
Срок действия, сут | ||
|
щебеночно-гравийно-песчаного |
щебеночного |
грунтового и грунтощебеночного | ||
|
Гигроскопические соли | ||||
|
Хлористый кальций, технический: | ||||
|
- кальцинированный, кг |
0,6-0,7/ 0,8-0,9 |
0,4-0,5/ 0,6-0,7 |
0,7-0,8/ 0,9-1,0 |
20-40 |
|
- плавленый, кг |
0,8-0,9/ 1,0-1,1 |
0,6-0,8/ 0,7-1,0 |
0,9-1,0/ 1,1-1,2 |
20-40 |
|
- жидкий, л |
1,3-1,7/ 2,0-2,2 |
1,0-1,5/ 1,5-2,0 |
1,7-2,0/ 2,2-2,4 |
15-25 |
|
Хлористый кальций, ингибированный фосфатами (ХКФ), кг |
0,7-0,8/ 0,9-1,0 |
0,5-0,6/ 0,7-0,8 |
0,8-0,9/ 1,0-1,1 |
25-40 |
|
Техническая поваренная соль (30%-ный раствор), л |
1,5-2,2/ 2,4-3,0 |
1,2-2,0/ 2,0-2,6 |
1,8-2,8/ 3,4-4,0 |
15-20 |
|
Техническая соль сильвинитовых отвалов, кг |
0,8-1,2/ 1,4-1,8 |
0,6-1,0/ 1,2-1,6 |
1,0-1,4/ 1,6-2,0 |
15-25 |
|
Морская, лиманная вода или вода соленых озер, л |
1,0-1,5/ 1,5-2,0 |
0,8-1,3/ 1,3-1,8 |
1,5-2,0/ 2,0-2,5 |
3-5 |
|
Вяжущие | ||||
|
Технические лигносульфонаты (50%-ной концентрации), л |
1,6-2,0/ 1,2-1,6 |
1,4-1,8/ 1,0-1,4 |
1,8-2,2/ 1,6-2,0 |
20-30 |
|
Лигнодор, л |
1,6-2,0/ 1,2-1,6 |
1,4-1,8/ 1,0-1,4 |
1,8-2,2/ 1,6-2,0 |
20-45 |
|
Сульфитный щелок (10%-ной концентрации), л |
4,0-6,0/ 3,0-5,0 |
3,5-5,0/ 2,5-4,0 |
4,5-6,5/ 3,5-5,5 |
15-20 |
|
Жидкие битумы и дегти, л |
0,8-1,0 |
0,7-1,0 |
1,0-1,2 |
30-90 |
|
Битумные эмульсии, л |
1,2-1,5 |
1,0-1,3 |
1,5-2,0 |
30-90 |
|
Сырые нефти, л |
0,8-1,0 |
0,7-1,0 |
1,0-1,2 |
30-90 |
|
Примечание - В числителе указаны расходы для дорожно-климатических зон I-III, в знаменателе - для дорожно-климатических зон IV-V. | ||||
А.3 Обеспыливание покрытий следует предусматривать во всех дорожно-климатических зонах.
Приложение Б
Б.1 Характеристики щебня, используемого для строительства щебеночных оснований и покрытий по способу заклинки, приведены в таблице Б.1.
|
Показатель |
Значение показателя при укладке материала | |||
|
в основание |
в покрытие | |||
|
Дорожно-климатические зоны I-III |
Дорожно-климатические зоны IV-V |
Дорожно-климатические зоны I-III |
Дорожно-климатические зоны IV-V | |
|
Марка по прочности при раздавливании в цилиндре в водонасыщенном состоянии, не ниже: | ||||
|
- щебня из изверженных пород |
1000 |
800 |
800 |
600 |
|
- щебня из осадочных пород |
800 |
600 |
600 |
300 |
|
- шлаков фосфорных, черной и цветной металлургии, ТЭЦ и др. |
800 |
600 |
600 |
300 |
|
- щебня из гравия |
800 |
600 |
600 |
400 |
|
Марка по истираемости, не ниже |
И2 |
И3 |
И3 |
И3-И4 |
|
Марка по морозостойкости для районов со средней температурой воздуха наиболее холодного месяца, °С, не ниже | ||||
|
- от 0 до минус 5 |
15 |
15 |
15 |
- |
|
- от минус 5 до минус 15 |
25 |
25 |
25 |
15 |
|
- от минус 15 до минус 30 |
50 |
50 |
50 |
25 |
|
- ниже минус 30 |
75 |
75 |
75 |
50 |
Б.2 Содержание зерен пластинчатой и игловатой форм в щебне из изверженных и метаморфических горных пород, в щебне из шлака марок 800 и выше, в щебне из осадочных горных пород и в щебне из гравия марок 600 и выше для покрытий не должно превышать 15%, для оснований - 35%.
Б.3 Щебень по водостойкости должен быть не ниже марки В1 для покрытий и В2 - для оснований.
Б.4 По пластичности щебень для покрытий должен быть не ниже марки Пл1, а для оснований - не ниже марки Пл3.
Б.5 Шлаковый щебень и щебень из побочных продуктов горнорудных предприятий по устойчивости структуры должен быть не ниже марки Ус1 - для покрытий, марки Ус3 - для оснований.
Б.6 Содержание пылевидных и глинистых частиц в щебне должно соответствовать требованиям, представленным в таблице 9 ГОСТ 8267-93.
Б.7 Содержание глины в комках в щебне не должно превышать значений, представленных в таблице 10 ГОСТ 8267-93.
Приложение В
|
Показатель |
Значение показателя при укладке материала | ||||
|
в основание |
в покрытие | ||||
|
Дорожно-климатические зоны I-III |
Дорожно-климатические зоны IV-V |
Дорожно-климатические зоны I-II |
Дорожно-климатическая зона III |
Дорожно-климатические зоны IV-V | |
|
Марка по прочности при раздавливании в цилиндре в водонасыщенном состоянии, не ниже: | |||||
|
- щебня (гравия) из изверженных горных пород |
800 |
600 |
800 |
600 |
600 |
|
- щебня из осадочных пород, шлаков фосфорных, черной и цветной металлургии, ТЭЦ и др. |
600 |
400 |
600 |
400 |
200 |
|
- щебня из гравия |
800 |
600 |
800 |
600 |
400 |
|
Марка по истираемости, не ниже |
И3 |
И3 |
И3 |
И3 |
И4 |
|
Марка по морозостойкости для районов со средней температурой воздуха наиболее холодного месяца, °С, не ниже | |||||
|
- от 0 до минус 5 |
15 |
15 |
15 |
- |
- |
|
- от минус 5 до минус 15 |
25 |
25 |
15 |
15 |
- |
|
- от минус 15 до минус 30 |
50 |
50 |
50 |
25 |
15 |
|
- ниже минус 30 |
75 |
75 |
75 |
50 |
25 |
Приложение Г
Г.1 Щебень, применяемый для устройства щебеночных оснований и покрытий, обработанных в верхней части неорганическими вяжущими, должен соответствовать требованиям, приведенным в таблице Г.1.
|
Показатель |
Значение показателя | ||
|
Дорожно-климатические зоны I-II |
Дорожно-климатическая зона III |
Дорожно-климатические зоны IV-V | |
|
Марка по прочности при раздавливании в цилиндре в водонасыщенном состоянии, не ниже: | |||
|
- щебня (гравия) из изверженных горных пород |
800 |
600 |
600 |
|
- щебня из осадочных пород, шлаков фосфорных, черной и цветной металлургии, ТЭЦ и др. |
600 |
400 |
200 |
|
Марка по истираемости, не ниже |
И3 |
И3 |
И4 |
|
Марка по морозостойкости для районов со средней температурой воздуха наиболее холодного месяца, °С, не ниже: | |||
|
- от 0 до минус 5 |
15 |
- |
- |
|
- от минус 5 до минус 15 |
25 |
15 |
- |
|
- от минус 15 до минус 30 |
50 |
25 |
15 |
|
- ниже минус 30 |
75 |
50 |
25 |
Г.2 Пескоцемент, применяемый для устройства щебеночных оснований и покрытий, обработанных в верхней части неорганическими вяжущими, должен соответствовать требованиям, приведенным в таблице Г.2.
|
Показатель |
Значение показателя | ||
|
Дорожно-климатические зоны I-II |
Дорожно-климатическая зона III |
Дорожно-климатические зоны IV-V | |
|
Марка по прочности пескоцемента на сжатие |
60-100 |
60-75 |
40-60 |
|
Глубина обработки |
10-15 |
5-10 |
5-10 |
|
Расход пескоцемента, м3/100 м2 |
4-9 |
3-6 |
3-6 |
Г.3 Песок для получения пескоцементных смесей должен соответствовать требованиям ГОСТ 8736 с изложенными ниже дополнениями:
- песок, предназначенный для приготовления смесей и заполнения пустот в щебне фракции 5-40 мм, 20-40 мм, не должен содержать зерен крупнее 5 мм, для фракций 40-80 (70) мм - зерен крупнее 10 мм, для фракций 80 (70) - 120 мм, 70-120 мм - зерен крупнее 20 мм;
- вместо природного песка допускается использовать пески из отсевов дробления изверженных и осадочных горных пород по ГОСТ 31424.
Приложение Д
Д.1 Физико-химические свойства белитового шлама текущего производства должны соответствовать требованиям, представленным в таблице Д.1.
|
Показатель |
Значение показателя для шлама | |
|
нефелинового |
бокситового | |
|
Максимальная крупность зерен, мм |
5 |
5 |
|
Насыпная плотность, кг/м3 |
900-1000 |
1000-1300 |
|
Прочность на сжатие, МПа: | ||
|
- после уплотнения под нагрузкой 15 МПа |
1,0-1,2 |
0,7-1,0 |
|
- через 90 сут |
4,0-6,0 |
3,0-5,5 |
|
- через 360 сут |
9,0-10,0 |
7,0-8,0 |
|
Прочность на растяжение при изгибе, МПа: | ||
|
- через 90 сут |
1,6-2,4 |
1,2-2,0 |
|
- через 360 сут |
2,6-3,0 |
2,1-2,6 |
Д.2 Свойства фосфогипса должны соответствовать требованиям, представленным в таблице Д.2.
|
Показатель |
Значение показателя |
|
Содержание CaSO4 в пересчете на сухое вещество, %, не менее |
90 |
|
Содержание P2O5, %, не более |
5 |
|
Содержание гидратной (химически связанной) воды в пересчете на сухое вещество, %, не более |
7 |
|
Насыпная плотность, кг/м3 |
500-950 |
|
Истинная плотность, кг/м3 |
2600-2750 |
|
Влажность, % |
20-40 |
|
Удельная теплоемкость, ккал/(кг·град) |
0,27 |
|
Удельная поверхность, м2/кг, не менее |
300 |
Д.3 Прочностные характеристики свежего уплотненного фосфогипса в водонасыщенном состоянии должны соответствовать требованиям, представленным в таблице Д.3.
|
Марка по прочности по ГОСТ 23558 |
Прочность на сжатие, МПа, в возрасте, сут |
Прочность, МПа, в возрасте 28 сут | ||
|
7 |
28 |
На растяжение при раскалывании |
На растяжение при изгибе | |
|
20 |
1-2 |
2-4 |
0,3-0,5 |
0,5-1,0 |
|
40 |
2-3 |
4-6 |
0,5-1,0 |
1,0-2,0 |
|
60 |
3-4 |
6,0-7,5 |
1,0-1,5 |
2,0-3,0 |
|
75 |
4-5 |
7,5-10,0 |
1,5-2,0 |
3,0-4,0 |
Приложение Е
Е.1 Для устройства поверхностной обработки покрытий из грунтов, укрепленных вяжущими материалами, следует применять эмульсионно-минеральные смеси литой консистенции, состоящие из минеральных материалов (песка, минерального порошка), водного раствора ПАВ и катионной битумной эмульсии.
Е.2 Минеральную часть эмульсионно-минеральных смесей, используемых для устройства поверхностной обработки, следует подбирать по принципу плотных смесей из песка из отсевов дробления изверженных горных пород по ГОСТ 31424, прочностью не ниже М1000, природного песка по ГОСТ 8736 и минерального порошка по ГОСТ Р 52129 и ГОСТ 16557 (количество минерального порошка в смеси должно быть таким, чтобы общее содержание частиц мельче 0,071 мм было в пределах 5%-15%). Кроме вышеуказанных минеральных материалов в литые эмульсионно-минеральные смеси в качестве минерального порошка допускается добавлять портландцемент по ГОСТ 10178, гашеную известь по ГОСТ 9179 и золу?уноса по ГОСТ 25818.
Е.3 В качестве органического вяжущего в составе эмульсионно-минеральных смесей следует применять катионные битумные эмульсии классов ЭБК-2 и ЭБК-3 по ГОСТ 18659 и ГОСТ Р 52128.
Е.4 В составе эмульсионно-минеральных смесей должен присутствовать водный раствор катионных ПАВ, дозировку которого для предварительного смачивания следует принимать в количестве 6%-8% по массе минеральных материалов.
Е.5 Ориентировочные составы эмульсионно-минеральных смесей для поверхностной обработки покрытий из грунтов, укрепленных вяжущими материалами, представлены в таблице Е.1.
|
Компонент эмульсионно-минеральной смеси |
Количество компонента в смеси, % | |||
|
Состав 1 |
Состав 2 |
Состав 3 |
Состав 4 | |
|
Песок из отсевов дробления изверженных горных пород |
60 |
55 |
50 |
50 |
|
Природный песок |
37 |
40 |
45 |
37 |
|
Минеральный порошок |
3 |
5 |
5 |
- |
|
Портландцемент |
- |
- |
- |
1-3 |
|
Водный раствор катионных ПАВ |
8-12 |
8-12 |
8-12 |
8-10 |
|
Битумная эмульсия (в пересчете на битум) |
7-9 |
7-9 |
7-9 |
7-9 |
Е.6 Требования к характеристикам эмульсионно-минеральных смесей, используемых для устройства поверхностных обработок, приведены в таблице Е.2.
|
Наименование показателя |
Значение показателя |
Метод испытаний |
|
Водонасыщение, % объема |
1,5-3,0 |
ГОСТ 12801 |
|
Набухание, % объема, не более |
1,0 | |
|
Коэффициент водостойкости при длительном водонасыщении, не менее |
0,8 | |
|
Скорость распада эмульсии, с, не менее |
120 |
За время распада эмульсии в смеси принимают время от момента введения битумной эмульсии в минеральные материалы до момента потери текучести смеси |
Е.7 Перед устройством поверхностной обработки необходимо предусмотреть выполнение подгрунтовки поверхности покрытия битумными эмульсиями классов ЭБК-2 и ЭБК-3 по ГОСТ Р 52128 или битумами марок БНД 200/300 и БН 200/300 по ГОСТ 22245 из расчета 0,3-0,4 л/м2.
Е.8 Расход эмульсионно-минеральных смесей для поверхностной обработки покрытий из грунтов, укрепленных вяжущими, должен составлять 20-25 кг/м2.
Приложение Ж
|
Наименование показателя |
Устройство слоев методом пропитки поверхности |
Устройство слоев методом смешения в установке (из черного щебня) | ||
|
покрытия |
основания |
покрытия |
основания | |
|
Марка по дробимости, не ниже: | ||||
|
- щебня из изверженных горных пород |
800 |
600 |
800 |
600 |
|
- щебня из осадочных и метаморфических горных пород |
600 |
600 |
600 |
300 |
|
- щебня из металлургического шлака |
800 |
600 |
800 |
400 |
|
- гравия и щебня из гравия |
800 |
600 |
800 |
300 |
|
Марка по истираемости, не ниже: | ||||
|
- щебня из изверженных горных пород |
И3 |
И4 |
И3 |
И4 |
|
- щебня из осадочных и метаморфических горных пород |
И4 |
И4 |
И4 |
И4 |
|
- щебня из металлургического шлака |
И3 |
И4 |
И3 |
И4 |
|
Марка по морозостойкости всех видов | ||||
|
щебня и гравия, не ниже: | ||||
|
- для дорожно-климатических зон I, II, III |
F25 |
F15 |
F25 |
F15 |
|
- для дорожно-климатических зон IV, V |
F15 |
F15 |
F15 |
F15 |
|
Содержание зерен пластинчатой и игловатой формы в щебне, % по массе, не более |
25 |
35 |
25 |
35 |
Приложение И
И.1 Зерновой состав минеральной части крупнозернистых, мелкозернистых и песчаных органоминеральных смесей и прочность щебня и гравия должны соответствовать требованиям, представленным в таблице 1 ГОСТ 30491-2012.
И.2 Щебень и гравий из плотных горных пород, щебень из шлаков, входящие в состав минеральной части смесей, должны соответствовать требованиям ГОСТ 8267 и ГОСТ 3344.
И.3 Для приготовления смесей следует применять щебень и гравий фракций от 5 до 10 мм, от 10 до 20 мм, от 15 до 20 мм, от 20 до 40 мм и смеси указанных фракций (от 5 до 40 и от 5 до 20 мм).
И.4 Природный песок и песок из отсевов дробления горных пород в составе органоминеральных смесей должны соответствовать требованиям ГОСТ 8736 и ГОСТ 31424, а песок из шлаков - требованиям ГОСТ 3344.
И.5 Песчано-гравийные смеси по зерновому составу должны соответствовать требованиям ГОСТ 23735.
И.6 Для приготовления смесей следует применять минеральные порошки, соответствующие требованиям ГОСТ Р 52129.
И.7 В качестве органических вяжущих для приготовления органоминеральных смесей следует применять жидкие битумы по ГОСТ 11955 и вязкие нефтяные дорожные битумы по ГОСТ 22245, а также битумные эмульсии по ГОСТ Р 52128.
И.8 Физико-механические свойства органоминеральных смесей в зависимости от вида органического вяжущего и области применения должны соответствовать показателям, представленным в таблицах 2, 3, 4 ГОСТ 30491-2012.
И.9 Удельная эффективная активность естественных радионуклидов Аэфф в органоминеральных смесях и применяемых материалах не должна превышать значений, указанных в ГОСТ 30108.
Приложение К
|
Материал слоя |
Значения модуля упругости Е, МПа |
|
Грунтогравийные, грунтощебеночные, песчано-гравийные, пескощебеночные смеси: | |
|
- крупнозернистые (частиц крупнее 10 мм св. 50%) |
280 |
|
- среднезернистые (частиц крупнее 2 мм св. 50%) |
250 |
|
- мелкозернистые (частиц крупнее 2 мм от 25 до 50%) |
180 |
|
Галечниковый грунт (частиц крупнее 10 мм св. 50%) |
280 |
|
Песок: | |
|
- гравелистый |
150 |
|
- крупнозернистый |
130 |
|
- среднезернистый |
120 |
|
Кислые металлургические шлаки, уложенные способом заклинки |
420 |
|
Основные металлургические шлаки и гранулометрического состава: | |
|
- подобранного: | |
|
- активные |
400 |
|
- малоактивные |
250 |
|
- неподобранного |
170 |
|
Дресва: | |
|
- из изверженных горных пород |
140 |
|
- из осадочных горных пород |
90 |
|
Мелкий ракушечник |
90 |
|
Малопрочные песчаники |
110 |
|
Материал слоя |
Значения модуля упругости Е, МПа |
|
Щебеночные/гравийные смеси (С) для покрытий с непрерывной гранулометрией (ГОСТ 25607), при максимальном размере зерен, | |
|
мм: | |
|
- С1 - 40 |
300/280 |
|
- С2 - 20 |
290/265 |
|
Щебеночные/гравийные смеси (С) для оснований с непрерывной гранулометрией (ГОСТ 25607), при максимальном размере зерен, | |
|
мм: | |
|
- С3 - 80 |
280/240 |
|
- С4 - 80 |
275/230 |
|
- С5 - 40 |
260/220 |
|
- С6 - 20 |
240/200 |
|
- С7 - 20 |
260/180 |
|
Шлаковая щебеночно-песчаная смесь из неактивных и слабоактивных шлаков (ГОСТ 3344), мм: | |
|
- С1 - 70 |
275 |
|
- С2 - 70 |
260 |
|
- С4 - 40 |
250 |
|
- С6 - 20 |
210 |
|
Материал слоя |
Значения модуля упругости Е, МПа |
|
Щебень фракционированный с заклинкой: | |
|
- фракционированным мелким щебнем |
450/350 |
|
- известняковой мелкой смесью или активным мелким шлаком |
400/300 |
|
- мелким высокоактивным шлаком |
450/400 |
|
Примечание - В числителе указаны значения модуля упругости, которые следует назначать при использовании легкоуплотняемого щебня, в знаменателе - трудноуплотняемого щебня. | |
|
Материал слоя |
Значения модуля упругости Е, МПа |
|
Подобранные оптимальные смеси из высокоактивных материалов с максимальной крупностью зерен до 40 мм, уплотненных при оптимальной влажности |
650-870 |
|
То же, из активных материалов |
480-700 |
|
Неоптимальные смеси из высокоактивных материалов с максимальной крупностью 70 мм |
450-650 |
|
То же, из активных материалов |
370-480 |
|
Примечания 1 К высокоактивным материалам относятся материалы, имеющие прочность на сжатие от 5 до 10 МПа в возрасте 90 сут. Большие значения модуля упругости следует принимать для материалов, имеющих прочность на сжатие 10 МПа, меньшие - для материалов, имеющих прочность на сжатие - 5 МПа. 2 К активным материалам относятся материалы, имеющие прочность на сжатие от 2,5 до 5 МПа в возрасте 90 сут. Большие значения модуля упругости следует принимать для материалов, имеющих прочность на сжатие 5 МПа, меньшие - для материалов, имеющих прочность на сжатие - 2,5 МПа. | |
|
Материал слоя |
Значения модуля упругости Е, МПа |
|
Щебеночно-гравийно-песчаные смеси, крупнообломочные грунты (оптимальные/неоптимальные), укрепленные цементом, соответствующие марке: | |
|
20 |
500/400 |
|
40 |
600/550 |
|
60 |
800/700 |
|
80 |
870/830 |
|
100 |
1000/950 |
|
То же, укрепленные зольным или шлаковым вяжущим, соответствующие марке: | |
|
20 |
450/350 |
|
40 |
550/500 |
|
60 |
750/650 |
|
80 |
870/780 |
|
100 |
950/910 |
|
Пески гравелистые, крупные, средние/пески мелкие и пылеватые, супесь легкая и тяжелая, суглинки легкие, укрепленные цементом, соответствующие марке: | |
|
20 |
400/250 |
|
40 |
550/400 |
|
60 |
700/550 |
|
80 |
870/750 |
|
100 |
950/870 |
|
То же, укрепленные зольным или шлаковым вяжущим, соответствующие марке: | |
|
20 |
300/200 |
|
40 |
450/300 |
|
60 |
600/450 |
|
80 |
730/600 |
|
100 |
870/750 |
|
Примечание - Значения модуля упругости приведены для материалов, укрепленных способом смешения на месте производства строительных работ. Для материалов, укрепленных методом смешения в установке, значения модуля упругости следует повышать на 30%. | |
|
Материал слоя |
Значения модуля упругости Е, МПа, при расчете покрытий | |
|
жестких |
нежестких | |
|
Пескоцемент и грунтоцемент из оптимальной грунтовой смеси, марки (с прочностью на растяжение при изгибе, МПа, не менее): | ||
|
40 (0,6) |
2900 |
460 |
|
60 (0,8) |
4000 |
640 |
|
75 (1,0) |
6000 |
960 |
|
Грунтоцемент из супесчаных и суглинистых грунтов, марки (с прочностью на растяжение при изгибе, МПа, не менее): | ||
|
40 (0,6) |
1500 |
360 |
|
60 (0,8) |
2200 |
530 |
|
75 (1,0) |
3700 |
890 |
|
Грунтоцемент из пылеватых супесей и суглинков, марки (с прочностью на растяжение при изгибе, МПа, не менее): | ||
|
40 (0,6) |
1400 |
340 |
|
60 (0,8) |
1900 |
460 |
|
Примечание - Значения модуля упругости и прочности на растяжение при изгибе приведены для материалов, получаемых способом смешения на месте. Для материалов, получаемых путем смешения в установке, указанные значения следует повышать на 30%. | ||
|
Материал слоя |
Значения модуля упругости Е, МПа |
|
Щебень, укрепленный способом пропитки пескоцементной смесью, с расходом пескоцемента 25% массы щебня |
1800 |
|
Щебень, укрепленный пескоцементом способом смешения в установке при содержании пескоцемента, % по массе щебня: | |
|
40 |
2200 |
|
30 |
1700 |
|
20 |
1000 |
|
10 |
600 |
|
Примечание - При назначении расчетных характеристик щебня, укрепленного пескоцементом, принято содержание цемента марки 400 в пескоцементе - 12% по массе песка. | |
|
Материал слоя |
Значения модуля упругости Е, МПа, при расчете покрытий | |
|
жестких |
нежестких | |
|
Крупнообломочные грунты, песчано-гравийные, грунто-гравийные, грунто-щебеночные смеси оптимального состава, пески гравелистые, крупные и средней крупности, укрепленные: | ||
|
- золой-уноса или шлаком |
3600/2400 |
600/400 |
|
- золой-уноса или шлаком, с добавкой цемента или извести |
4800/2400 |
800/400 |
|
- битумной эмульсией с добавкой цемента |
4800/3600 |
800/600 |
|
Крупнообломочные грунты, песчано-гравийные, грунто-гравийные и грунто-щебеночные смеси неоптимального состава, укрепленные: | ||
|
- золой-уноса или шлаком |
4000/2700 |
650/450 |
|
- золой-уноса или шлаком, с добавкой цемента или извести |
4800/2400 |
800/400 |
|
- битумной эмульсией с добавкой цемента или карбамидной смолы |
4800/2400 |
810/400 |
|
Пески и супеси с числом пластичности менее 3, укрепленные: | ||
|
- золой-уноса или шлаком |
3000/1200 |
500/200 |
|
- золой-уноса или шлаком, с добавкой цемента или извести |
4000/1500 |
700/250 |
|
- битумной эмульсией с добавкой цемента или карбамидной смолы |
4000/2400 |
700/400 |
|
Супеси с числом пластичности 3 и более, укрепленные: | ||
|
- золой-уноса или шлаком |
3000/1200 |
500/200 |
|
- золой-уноса или шлаком, с добавкой цемента или извести |
4000/1200 |
700/200 |
|
- битумной эмульсией с добавкой цемента |
4000/2400 |
700/400 |
|
- битумной эмульсией с добавкой цемента и карбамидной смолы |
4800/2400 |
800/400 |
|
Суглинки, укрепленные золой-уноса или шлаком с добавкой цемента или извести |
2400/600 |
400/100 |
|
Примечания 1 Материалы, применяемые в искусственных основаниях и покрытиях, рассчитываемых на нормативные нагрузки V и VI категорий, укрепленные золой-уноса или шлаком с добавками и без них, должны иметь прочность на сжатие водонасыщенных образцов от 2 до 4 МПа, а укрепленные битумной эмульсией с добавками цемента или карбамидной смолы либо вязким битумом - от 1,5 до 2,5 МПа при прочности на растяжение при изгибе не менее 0,6 МПа; материалы, применяемые в искусственных основаниях и покрытиях, рассчитываемых на нормативные нагрузки IV категории и выше, должны иметь прочность на сжатие водонасыщенных образцов не менее 4 и 2,5 МПа соответственно, а прочность на растяжение при изгибе водонасыщенных образцов - не менее 1 МПа. Испытания образцов материалов, укрепленных битумной эмульсией или вязким битумом, следует проводить при температуре 20°С. 2 Максимальные значения модуля упругости грунтов следует принимать при приготовлении смесей в смесительных установках и укладке смесей укладчиками или при приготовлении смесей однопроходными грунтосмесительными машинами. Минимальные значения модуля упругости следует принимать при обработке грунтов дорожными фрезами. 3 Расчетные значения модуля упругости для грунтов, укрепленных жидким битумом с цементом, следует принимать в 1,5 раза меньше значений, указанных для грунтов, укрепленных битумной эмульсией с цементом. 4 Большие значения модуля упругости грунтов, укрепленных органическими вяжущими, относятся к районам с умеренным климатом, меньшие - с мягким и суровым климатом. Мягкие климатические условия характеризуются среднемесячной температурой наружного воздуха наиболее холодного месяца от 0°С до минус 5°С, умеренные - ниже минус 5°С до минус 15°С, суровые - ниже минус 15°С. | ||
|
Материал слоя |
Значения модуля упругости Е, МПа |
|
Щебеночно-гравийно-песчаные смеси и крупнообломочные грунты (оптимального/неоптимального состава), укрепленные: | |
|
- жидкими органическими вяжущими или вязкими, а также битумными эмульсиями |
450/350 |
|
- жидкими органическими вяжущими совместно с минеральными вяжущими или битумными эмульсиями совместно с минеральными вяжущими |
950/700 |
|
Пески гравелистые, крупные, средние/пески мелкие, супесь легкая и пылеватая, суглинки легкие укрепленные: | |
|
- жидкими органическими вяжущими или вязкими, а также битумными эмульсиями |
430/280 |
|
- жидкими органическими вяжущими совместно с минеральными вяжущими или битумными эмульсиями совместно с минеральными вяжущими |
700/600 |
|
Материал слоя |
Значения модуля упругости Е, МПа |
|
Щебень, обработанный органическим вяжущим в установке (черный щебень), уложенный по способу заклинки |
600-900 |
|
Слой из щебня, устроенного по способу пропитки вязким битумом и битумной эмульсией |
400-600 |
|
Примечание - Большие значения модуля упругости следует принимать для покрытий, меньшие - для оснований. | |
|
Материал слоя |
Значения модуля упругости Е, МПа |
|
Аглопоритовый щебень, обработанный вязким битумом |
400 |
|
Керамзитовый гравий, обработанный вязким битумом |
500 |
|
Грунт с перлитом, укрепленные цементом |
130 |
|
То же, с полистиролом, состав: гранулы полистирола 2%-3%, песок - 97%-98%, цемент - 6%-7% по массе грунта |
300 |
|
То же, с керамзитом, состав: песок 75%, керамзит 25%, цемент 6% |
300 |
|
Грунт с перлитом, укрепленные цементом и битумом, состав: перлитовый щебень 20%-25%, песок 75%-80%, цемент 4%-6%, битум 10%-12% по массе песка, перлита и цемента |
250-350 |
|
Грунт с аглопоритом, укрепленные цементом, состав: супесь или песок 70%-80%, аглопорит 20%-30%, цемент 6% |
300 |
|
Золошлаковые смеси, укрепленные цементом |
150 |
|
Грунт, укрепленный золой-уноса |
200 |
Библиография
[1] Федеральный закон от 19 марта 1997 г. N 60-ФЗ "Воздушный кодекс Российской Федерации"
[2] Приказ Министерства транспорта Российской Федерации от 25 августа 2015 г. N 262 "Об утверждении Федеральных авиационных правил "Требования, предъявляемые к аэродромам, предназначенным для взлета, посадки, руления и стоянки гражданских воздушных судов"
[3] Методика оценки соответствия гражданских аэродромов Федеральным авиационным правилам "Требования, предъявляемые к аэродромам, предназначенным для взлета, посадки, руления и стоянки гражданских воздушных судов" (к Приказу Министерства транспорта Российской Федерации от 25 августа 2015 г. N 262; введена в действие решением Федерального агентства воздушного транспорта от 9 ноября 2015 г. N 6.04-2464)
[4] Приказ Министерства транспорта Российской Федерации от 4 марта 2011 г. N 69 "Об утверждении Федеральных авиационных правил "Требования к посадочным площадкам, расположенным на участке земли или акватории"
[5] СП 11-109-98 Изыскания грунтовых строительных материалов
[6] Постановление Правительства Российский Федерации от 2 декабря 2017 г. N 1460 "Об утверждении Правил установления приаэродромной территории, Правил выделения на приаэродромной территории подзон и Правил разрешения разногласий, возникающих между высшими исполнительными органами государственной власти субъектов Российской Федерации и уполномоченными Правительством Российской Федерации федеральными органами исполнительной власти при согласовании проекта решения об установлении приаэродромной территории"


