РД-АПК 1.30.03.01-20 МЕТОДИЧЕСКИЕ РЕКОМЕНДАЦИИ ПО ТЕХНОЛОГИЧЕСКОМУ ПРОЕКТИРОВАНИЮ ОРОСИТЕЛЬНЫХ СИСТЕМ С ИСПОЛЬЗОВАНИЕМ ЖИВОТНОВОДЧЕСКИХ СТОКОВ
Дата введения 3 февраля 2020 г.
Взамен: НТП-АПК 1.30.03.01-06
1.1 Настоящие методические рекомендации распространяются на проектирование вновь строящихся и реконструкцию оросительных систем с использованием животноводческих стоков (далее - оросительные системы стоков животноводческих - ОССЖ).
Впредь до вступления в силу соответствующих технических регламентов осуществлять применение настоящих методических рекомендаций в добровольном порядке, за исключением обязательных требований, в соответствии с [2] обеспечивающих достижение целей законодательства Российской Федерации о техническом регулировании.
1.2 Оросительные системы с использованием животноводческих стоков:
- выполняют функции естественной почвенной биологической очистки животноводческих стоков;
- позволяют регулировать питательный, водный режимы почвы и получать высокие урожаи сельскохозяйственных культур;
- предотвращают загрязнение подземных вод и поверхностных водных объектов.
1.3 Ирригационное оборудование (насосы, трубопроводы, дождевальные машины и поливные установки) является средством механизации транспортирования и внесения жидких органических удобрений.
1.4 Площадь сельскохозяйственных угодий должна быть достаточной для рационального использования утилизируемого объема животноводческих стоков.
1.5 В состав ОССЖ входят сооружения и установки по подготовке и ветеринарно-санитарной обработке жидкого навоза и навозных стоков (карантинирование, разделение на твердую и жидкую фракции, дегельминтизация), хранению, смешиванию стоков с водой, транспортированию и распределению стоков и воды на сельскохозяйственных угодьях, а также сеть гидрорежимных наблюдательных скважин.
1.6 При проектировании ОССЖ, кроме настоящих методических рекомендаций, необходимо руководствоваться требованиями [1], [3], [8], [17], [18].
1.7 Проекты ОССЖ должны разрабатываться на базе современных прогрессивных и эффективных технических решений и технологического оборудования.
1.8 Проекты нового строительства и реконструкции ОССЖ подлежат согласованию с органами государственного ветеринарного, санитарного надзора и экологического контроля.
1.9 Термины и определения, использованные в данных методических рекомендациях приведены в приложении А.
СП 100.13330.2016. Мелиоративные системы и сооружения. Актуализированная редакция СНиП 2.06.03-85.
СанПиН 2.1.5.980-00. Гигиенические требования к охране поверхностных вод.
СП 2.1.5.1059-01. Гигиенические требования к охране подземных вод от загрязнения.
СанПиН 2.1.4.1110-02. Зоны санитарной охраны источников водоснабжения и водопроводов питьевого назначения.
СП 33-101-2003 Определение основных расчетных гидрологических характеристик.
СП 99.13330.2016. Внутрихозяйственные автомобильные дороги в колхозах, совхозах и других сельскохозяйственных предприятиях и организациях. Актуализированная редакция СНиП 2.05.11-83.
Примечание - При пользовании настоящими методическими рекомендациями целесообразно проверить действие ссылочных сводов правил, стандартов и санитарных правил и норм в информационной системе общего пользования - на официальном сайте национального органа Российской Федерации по стандартизации в сети Интернет или по ежегодно издаваемому информационному указателю "Национальные стандарты", который опубликован по состоянию на 1 января текущего года, и по соответствующим ежемесячно издаваемым информационным указателям, опубликованным в текущем году. Если ссылочный документ заменен (изменен), то при пользовании настоящими методическими рекомендациями следует руководствоваться замененным (измененным) документом. Если ссылочный документ отменен без замены, то положение, в котором дана ссылка на него, применяется в части, не затрагивающей эту ссылку.
3.1.1 Для обеспечения надежной работы ирригационного оборудования в оросительную сеть необходимо подавать жидкую фракцию навозных стоков или жидкого навоза.
3.1.2 Предельное содержание сухого вещества в твердых включениях и допустимый размер частиц твердых включений в стоках при применении поверхностного полива, полива при вспашке регламентируются техническими характеристиками насосного оборудования. При применении дождевальной и поливной техники размер твердых включений и содержание сухого вещества в них регламентируются техническими характеристиками данной техники, приведенными в приложениях Б, Л.
3.1.3 Скорости движения стоков в трубопроводах должны превышать критические скорости, определяемые из условия незаиления труб с учетом физических свойств животноводческих стоков.
3.1.4 Не допускается использование в ОССЖ бытовых сточных вод от населенных пунктов, а также использование сточных вод от котельных после промывки котлов (из-за высокого содержания солей).
3.1.5 Тип дождевальных машин, поливных установок, требования к проведению поверхностных поливов зависят от уклона поверхности сельскохозяйственных угодий.
3.1.6 В почвенно-климатических зонах, где имеется опасность засоления и осолонцевания почв, необходимо оценивать солевой состав поливных вод (смеси воды и животноводческих стоков). Оценка солевого состава почвенных вод приведена в приложении В.
3.2.1 Внесение животноводческих стоков ОССЖ является составной частью системы удобрений.
3.2.2 Количество азота, фосфора и калия при использовании животноводческих стоков в орошаемом земледелии не должно превышать их выноса с урожаем с учетом коэффициентов возмещения и потерь.
3.2.3 Нормы внесения животноводческих стоков следует устанавливать с учетом количества содержащихся в них питательных веществ, проектной урожайности сельскохозяйственных культур и уровня плодородия почвы.
3.2.4 В зонах достаточного и неустойчивого увлажнения при проведении удобрительных и удобрительно-увлажнительных поливов безопасная концентрация общего азота в стоках не должна превышать (мг/л):
- 1500 - для многолетних злаковых трав, соргосуданкового гибрида;
- 1400 - для люцерны первого и второго года жизни, подсолнечника, суданской травы и кукурузы;
- 1300 - для кормовой свеклы.
3.2.5 Концентрация калия и фосфора в животноводческих стоках не лимитируется.
3.3.1 Шестисуточное карантинирование и дегельминтизацию животноводческих стоков проходят в специальном 3-секционном резервуаре.
3.3.2 Ширина санитарно-защитной зоны от полей орошения до жилой застройки, дорог, производственных зданий и животноводческих помещений устанавливается согласно таблице 1.
|
Способы и техника полива |
Расстояние | ||
|
до жилой застройки |
до железных, автомобильных дорог общей сети, внутрихозяйственных дорог (кроме категории III-C) |
до производственных зданий и животноводческих помещений | |
|
1 |
2 |
3 |
4 |
|
Дождевание: | |||
|
среднеструйными и дальнеструйными дождевальными машинами и аппаратами |
200 |
200 |
200 |
|
короткоструйными дождевальными машинами и аппаратами |
100 |
100 |
100 |
|
Полив по полосам и чекам |
100 |
50 |
60 |
|
Полив по бороздам и при вспашке |
60 |
25 |
60 |
3.3.3 Сельскохозяйственные угодья под ОССЖ следует отводить для выращивания кормовых (кроме корнеплодов на кормовые цели), технических и зернофуражных культур.
3.3.4 Содержание нитратов и нитритов в кормах не должно превышать максимально допустимый уровень (МДУ), приведенный в приложении Г.
3.3.5 В районах, неблагополучных по тениаринхозу среди населения и финнозу среди крупного рогатого скота, выращиваемые травы должны перерабатываться на травяную (витаминную) муку или закладываться на сенаж и силос с использованием последних не ранее чем через три месяца.
3.3.6 Перерыв между последним внесением животноводческих стоков и началом стравливания трав на пастбищах или началом укоса должен быть не менее 20 дней при среднесуточной температуре воздуха 16-20°C и 30 дней - при более низких температурах.
3.3.7 Размещение ОССЖ недопустимо:
- в пределах первого и второго поясов зоны санитарной охраны источников питьевого водоснабжения;
- на территориях действующих и проектируемых водозаборов с незащищенными водоносными горизонтами, залегающими близко от поверхности;
- на территории с выходом на поверхность трещиноватых и карстовых пород и песчаных гравийно-галечных отложений, не перекрытых водоупорным слоем;
- в пределах первой и второй зон округов санитарной (горно-санитарной) охраны лечебно-оздоровительных местностей и курортов;
- в границах водоохранных и санитарных зон поверхностных водных объектов.
3.3.8 Для эксплуатирующего персонала на территориях размещения ОССЖ должны быть предусмотрены бытовые помещения с индивидуальными шкафами для личной и специальной одежды, приема пищи, умывальные, уборные. Допускается использовать соответствующие помещения на животноводческой ферме, комплексе.
3.4.1 Сброс животноводческих стоков из накопителей и с территории ОССЖ в водотоки и водоемы не допускается.
3.4.2 Поверхностный сток и дренажные воды с территории ОССЖ должны соответствовать требованиям [17] и СанПиН 2.1.5.980.
3.4.3 Между границей ОССЖ и водными объектами должна быть размещена водоохранная зона.
3.4.4 Для предотвращения негативного воздействия на подземные воды необходимо соблюдать требования СП 2.1.5.1059 и СанПиН 2.1.4.1110.
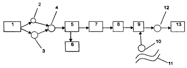
4.1 Технологическая линия подготовки, хранения и использования стоков (рисунок 1) включает в себя:
- навозоприемник (приемный резервуар);
- аварийный резервуар;
- промежуточную насосную станцию для перекачки жидкого навоза или навозных стоков в цех разделения;
- цех разделения жидкого навоза или навозных стоков на твердую и жидкую фракции;
- площадку хранения твердой фракции;
- 3-секционный карантинный резервуар-дегельминтизатор;
- секционный накопитель для хранения жидкой фракции;
- узел смешивания стоков жидкой фракции с водой;
- насосную станцию подачи природной воды в узел смешивания;
- мелиоративную насосную станцию;
- поля орошения.

Рисунок 1 - Технологическая линия подготовки, хранения и использования стоков:
1 - животноводческое предприятие; 2 – навозоприемник (приемный резервуар); 3 - аварийный резервуар; 4 - промежуточная насосная станция; 5 - цех разделения; 6 - площадка хранения ТФ; 7 - 3-секционный карантинный резервуар; 8 - секционный накопитель; 9 - узел смешивания стоков с водой; 10 - насосная станция; 11 - водный объект; 12 - мелиоративная насосная станция; 13 - поля орошения
4.2 Навозоприемник предназначен для приема и кратковременного хранения жидкого навоза и навозных стоков.
4.3 Объем навозоприемника определяется производительностью и режимом работы разделительных установок.
4.4 Аварийный резервуар предназначен для приема и хранения жидкого навоза и навозных стоков при аварии или замене оборудования на промежуточной насосной станции и в цехе разделения. Объем аварийного резервуара рассчитывается на прием суточного выхода навоза и навозных стоков.
4.5 Промежуточная насосная станция (ПНС) предназначена для забора жидкого навоза или навозных стоков из навозоприемников и подачи их в цех разделения. ПНС оборудуется насосами ЦМФ-160/10, НЖН-200, НВ-150, ФГС 81/31, фекальными насосами.
4.6 Проекты цехов разделения жидкого навоза и навозных стоков на твердую и жидкую фракции разрабатываются в соответствии с [1].
4.7 Карантинирование жидкой фракции проводится в 3-секционных железобетонных резервуарах. Срок карантинирования - не менее 6 суток. В течение указанного периода в карантинную емкость нельзя добавлять и забирать из нее навозные стоки или жидкий навоз.
4.8 В период карантинирования из жидкой фракции выпадают в осадок яйца гельминтов. Для удаления осадка в дне резервуара следует предусмотреть канал и трубопровод для отвода осадка в специальные емкости с последующим его обеззараживанием.
4.9 Целесообразно обеспечивать самотечное удаление осадка и жидкой фракции из карантинных резервуаров.
4.10 Основными сооружениями для хранения жидкой фракции являются прямоугольные секционные накопители с бетонным дном и откосами, устраиваемые в полувыемке-полунасыпи.
При хранении жидкой фракции необходимо исключить фильтрацию через дно и откосы накопителей путем создания противофильтрационных устройств в соответствии с [3].
4.11 Сроки хранения жидкой фракции стоков определяются межполивным периодом в осенне-зимне-весенний сезон.
4.12 Для хранения жидкой фракции стоков (далее - стоков) не рекомендуются пруды-накопители в естественных понижениях местности.
4.13 Ввод стоков в накопители следует предусматривать вблизи забора стоков из него. Забор стоков из накопителей следует проектировать на уровне дна.
4.14 Смешивание стоков с водой может осуществляться:
- в смесительной камере;
- во всасывающем трубопроводе;
- в напорном трубопроводе.
4.15 Смесительная камера устраивается в виде открытого резервуара прямоугольной формы с бетонным покрытием дна и откосов.
Смесительную камеру следует размещать в насыпи перед насосной станцией для обеспечения работы насосов "под заливом".
4.16 Смешивание стоков с водой в напорном трубопроводе осуществляется либо винтовыми насосами, либо с применением эжектора.
4.17 ОССЖ должны иметь надежный водный источник. При выборе источника должны быть соблюдены требования СП 100.13330.
Источник должен обеспечивать водопотребление сельскохозяйственных культур.
4.18 Компоновку и устройство мелиоративных насосных станций, выбор их типа, оборудования, средств контроля и автоматизации следует производить в соответствии с требованиями [9].
4.19 Транспортирование стоков и воды в ОССЖ осуществляется по трубопроводам. Допускается транспортирование стоков по открытым каналам в бетонной облицовке или лоткам.
4.20 В ОССЖ применяется стационарная трубопроводная сеть, допускается применение разборных трубопроводов.
Материал, диаметр, глубина заложения труб для транспортирования стоков обосновываются прочностными, гидравлическими и технико-экономическими расчетами с учетом климатических и хозяйственных условий.
Предпочтение следует отдавать трубам из полимерных материалов [22], [24].
4.21 Закрытая оросительная система в основном должна проектироваться тупиковой.
4.22 Схемы расположения трубопроводной сети определяются типом дождевальной и поливной техники, конфигурацией и рельефом полей, организацией проектируемой территории.
4.23 Необходимо предусматривать опорожнение трубопроводов от стоков и воды после окончания поливного сезона.
Опоражнивающие колодцы следует предусматривать двухкамерными: сухая камера для размещения задвижки, мокрая - для устьевой части трубопровода.
4.24 ОССЖ осуществляются следующие виды поливов:
- удобрительные поливы стоками;
- удобрительно-увлажнительные поливы стоками и водой;
- увлажнительные поливы водой.
4.25 Распределение стоков на ОССЖ осуществляется:
- дождевальными машинами;
- поливными установками;
- поверхностно-самотечными поливами по бороздам;
- поливом при вспашке;
- внутрипочвенным способом по кротовинам и трубчатым увлажнителям.
4.26 Условия применения дождевальных машин и поливных установок приведены в приложении Б.
4.27 Дренаж в ОССЖ устраивается в случаях, когда в естественном состоянии почвы испытывают постоянное или периодическое избыточное увлажнение, а также при возможном засолении почвогрунтов в результате орошения.
4.28 Проектирование дренажа и коллекторной сети ведется в соответствии с требованиями СП 100.13330 и [21].
4.29 Расчетные гидрологические характеристики водоприемников дренажной сети определяются по [20].
4.30 Регулирующая дренажная сеть ОССЖ должна проектироваться закрытой; коллекторная сеть может быть как закрытой, так и открытой.
4.31 Глубина заложения дренажной сети ОССЖ должна быть не менее 0,9 м.
5.1.1 Сельскохозяйственные культуры на ОССЖ имеют решающее экологическое значение. Величина и качество урожая являются показателями состояния плодородия почв и эффективности почвенной очистки стоков.
С использованием ОССЖ следует выращивать сельскохозяйственные культуры, которые характеризуются:
- высоким выносом питательных веществ с урожаем для обеспечения высокой степени очистки животноводческих стоков;
- длительным вегетационным периодом;
- способностью обеспечивать стабильный высокий урожай биомассы;
- возможностью максимальной механизации работ по уходу и уборке урожая.
5.1.2 При организации интенсивных кормовых севооборотов рекомендуется применять промежуточные, пожнивные и уплотненные посевы.
5.1.3 При использовании животноводческих стоков комплексов и ферм крупного рогатого скота в структуре посевных площадей кормовых севооборотов ведущей культурой должны быть многолетние, особенно злаковые травы, как основной источник для получения грубых кормов, сена, сенажа, силоса, травяной муки.
При подборе видов и компонентов травосмесей следует учитывать сбалансированность кормов по основным элементам питания и обеспечение равномерного в течение вегетации выхода зеленой массы.
Для обеспечения кормами комплексов по выращиванию и откорму свиней рекомендуется использовать в севооборотах зерновые на фураж. При этом площадь с применением ОССЖ увеличивается на 30-40% в связи с низким выносом зерновыми биогенных элементов.
5.1.4 Видовой и сортовой состав многолетних трав подбирается с учетом районирования, типа почв, хозяйственного использования или товарного производства семян.
Длительность использования травостоя многолетних злаковых трав рекомендуется до 10 лет.
5.1.5 Для Нечерноземной зоны страны рекомендуются злаковые травы (ежа сборная, тимофеевка луговая, кострец безостый, овсяница луговая), кукуруза и подсолнечник на зеленый корм и силос, однолетние травы, зерновые на фураж, корнеплоды (кроме корнеплодов на кормовые цели), амарант.
5.1.6 Для Черноземной зоны страны рекомендуются люцерна, кукуруза, подсолнечник, корнеплоды (кроме корнеплодов на кормовые цели), суданка, сорго-суданковый гибрид, амарант.
5.2.1 Структура посевных площадей должна обеспечивать надежную утилизацию стоков и эффективное использование содержащихся в них питательных веществ.
5.2.2 Под многолетние травы следует отводить 40-50% площадей, однолетние травы - 10-20, кукурузу, подсолнечник - 10-20, зерновые - 5-10, корнеплоды - 5-10%.
5.3.1 За основу разработки севооборотов для ОССЖ следует брать примерные схемы кормовых севооборотов, приведенных в [13].
5.4.1 Расчет годовых норм внесения животноводческих стоков MC ведется по трем главным питательным элементам - азоту, фосфору, калию. За расчетную годовую средневзвешенную по севообороту норму внесения животноводческих стоков принимается минимальная из трех рассчитанных.
5.4.2 Годовая норма внесения животноводческих стоков MC рассчитывается по формуле
, м3/га, (1)
где 103 - коэффициент приведения к единой размерности;
В - вынос NPK урожаем сельскохозяйственных культур, кг/га;
КВ - коэффициент возмещения выноса NPK из почвы, который учитывает величину использования NPK животноводческих стоков в условиях почв различного механического (гранулометрического) состава, принимаемый для азота на легких почвах (песчаные, супесчаные и легкосуглинистые) - 1,4-1,65; средних (среднесуглинистые) - 1,25-1,35; тяжелых (тяжелосуглинистые и глинистые) - 1,1-1,2; для фосфора и калия на легких почвах - 1,3-1,35; средних - 1,2-1,25; тяжелых - 1,05-1,15;
КП - коэффициент, учитывающий потери азота в аммиачной форме при поливе дождеванием - 0,85, поверхностных способах полива - 0,9; внутрипочвенных - 0,95;
CNPK - содержание NPK в животноводческих стоках, мг/л.
Вынос NPK урожаем (В) определяется произведением величины планового урожая и выноса NPK единицей урожая по каждой культуре севооборота с учетом побочной продукции (солома, ботва и т.п.), принимаемыми по данным зональных сельскохозяйственных и агрохимических учреждений и справочным данным. Примерный вынос NPK с урожаем сельскохозяйственных культур приведен в приложении Д.
Содержание NPK в животноводческих стоках определяется по фактическим данным в пробах стоков в накопителях; при отсутствии фактических данных - на основании технологических расчетов, приведенных в приложении Е.
5.4.3. Годовые нормы внесения стоков под культуры севооборота не должны превышать норм, рассчитанных по общему азоту. Для этого годовые нормы внесения стоков под каждую культуру MC назначаются путем распределения величины минимальной средневзвешенной по севообороту нормы из трех рассчитанных, пропорционально расчетным годовым нормам внесения азота под культуры севооборота. (Приложение Ж).
Годовые нормы внесения стоков под каждую культуру Mi определяют по формуле
, м3/га, (2)
где MCср.взв.min - минимальная средневзвешенная норма внесения животноводческих стоков из трех, рассчитанных по NPK, м3/га;
MCср.взв.N - средневзвешенная норма внесения животноводческих стоков, рассчитанная по азоту, м3/га;
MiN - годовая норма внесения животноводческих стоков под культуру севооборота по азоту, м3/га.
5.4.4 Пример расчета норм внесения стоков приведен в приложении Ж.
5.5.1 При отсутствии сбалансированного соотношения NPK в стоках с учетом обеспеченности питательными элементами почвы следует определять дозы внесения минеральных удобрений.
5.5.2 Расчет потребности сельскохозяйственных культур в дополнительном внесении минеральных удобрений на ОССЖ проводится по формуле
ДN,P,K=КВм·B-Mi·CN,P,K, (3)
где ДN,P,K - потребность культур в питательных веществах, кг/га;
КВм - коэффициент возмещения выноса элементов питания на почвах с низкой обеспеченностью: для азота - 1,2, фосфора - 3,0 и калия - 1,3; со средней обеспеченностью: для азота - 1,0, фосфора - 2,0 и калия - 1,0; с высокой обеспеченностью: для азота - 0,8, фосфора - 0,8-1,0 и калия 0,7-0,9;
В - вынос питательных веществ из почвы планируемым урожаем, кг/га;
Mi - годовая норма внесения животноводческих стоков под культуру, м3/га;
CN,P,K - содержание питательных веществ в стоках, г/л.
5.5.3 В том случае когда расчетное значение нормы внесения минеральных удобрений отрицательное или мало, минеральные удобрения не вносят. Минеральные удобрения (калийные, фосфорные) вносят под культуры, имеющие наибольшую потребность в удобрениях, 1-3 раза за ротацию севооборота при условии сохранения расчетной средневзвешенной нормы внесения минеральных удобрений по севообороту.
5.5.4 Пример расчета норм минеральных удобрений при внесении животноводческих стоков приведен в приложении И.
5.6.1 Сроки внесения стоков назначаются в периоды наибольшей потребности кормовых культур в питательных веществах, прежде всего в азоте. Внесение стоков следует планировать за 2-4 раза в течение вегетационного периода.
5.6.2 Для многолетних трав многоукосного или пастбищного использования удобрительные поливы стоками следует проводить ранней весной в начале вегетации, а затем после каждого укоса или стравливания. При посеве многолетних трав под покров ячменя, овса режим орошения стоками должен соответствовать биологическим особенностям покровной культуры.
5.6.3 Под кукурузу первый полив стоками надо проводить при образовании 4-5 листа, второй - 9-10 листа, третий - при выбрасывании метелки.
5.6.4 Для кормовой и сахарной свеклы следует проводить 3-4 удобрительных полива. Первый полив проводят в период образования розетки листьев, затем - в период интенсивного образования вегетативной массы, последний полив - за 20-30 дней до уборки.
5.6.5 Для зерновых культур и однолетних трав требуются два удобрительных полива. При использовании трав на зеленую массу: первый - в фазу кущения, второй - в фазу выхода в трубку, при использовании на зерно - в фазу выхода в трубку и во время колошения или в начале образования зерна.
5.7.1 Потребная экологически безопасная площадь утилизации стоков определяется путем деления объема животноводческих стоков на принятую средневзвешенную по севообороту норму их внесения MCср.взв.min.
5.7.2 Годовой объем стоков животноводческой фермы, комплекса определяется по фактическим данным, а при их отсутствии - по технологическим расчетам, приведенным в приложении Е.
5.8.1 Для ОССЖ необходимо разрабатывать графики внесения животноводческих стоков или планы утилизации стоков.
План утилизации стоков оформляется в виде таблицы, где указываются культуры, площади занимаемых ими полей, нормы, сроки и объемы внесения стоков на каждом поле и на всей площади полей.
5.8.2 Пример плана утилизации животноводческих стоков приведен в приложении К.
6.1 В ОССЖ экологическая безопасность применения животноводческих стоков определяется не только режимом их использования, но и назначением природоохранного режима дополнительного орошения природной водой для покрытия дефицита водопотребления растений. Режим орошения природной водой с использованием поливов животноводческими стоками устанавливается из условий водопотребления культур согласно СП 100.13330, региональным рекомендациям для орошения природной водой с учетом принятой технологической схемы, прогнозов водного и солевого режимов почв.
6.2 Расчет и построение графиков гидромодуля следует проводить на основе интегральных кривых дефицитов водопотребления сельскохозяйственных культур с учетом норм и сроков внесения стоков, которые назначаются согласно плану утилизации.
6.3 Поливные нормы природной воды, смеси стоков и воды должны определяться в соответствии с пределами регулирования влажности корнеобитаемого слоя почвы, а сроки поливов - устанавливаться при достижении нижней границы влажности почвы. Назначаемые поливные нормы не должны превышать норм образования поверхностного стока (достоковые нормы).
7.1 Проектирование планировочных работ для ОССЖ следует вести в соответствии с [14] и СП 100.13330.
7.2 На ОССЖ необходимо предусматривать полевые и эксплуатационные внутрихозяйственные автомобильные дороги в соответствии с требованиями СП 99.13330.
7.3 Санитарно-защитные лесные насаждения следует располагать по границам ОССЖ шириной 5-9 м, вдоль автомобильных дорог I и II категории и железных дорог - шириной 12-15 м.
7.4 При проектировании лесных полос на границах ОССЖ необходимо учитывать положения [16].
8.1 ОССЖ должны быть оборудованы техническими средствами для контроля уровней, давления, расходов при хранении, транспортировании и внесении животноводческих стоков.
8.2 Контроль уровня стоков в системе подготовки и хранения животноводческих стоков необходим в навозоприемнике, аванкамере насосных станций и накопителях. Для контроля уровня применяют электродные, поплавковые и гидростатические сигнализаторы уровня.
8.3 Для контроля давления используют манометры, вакуумметры и дифманометры.
8.4 Технологический учет расходов животноводческих стоков и природной воды может быть организован на базе как прямых (с использованием расходомеров), так и косвенных методов измерения расхода (по времени). Для измерения расходов животноводческих стоков применяют ультразвуковые расходомеры, для измерения расходов природной воды - ультразвуковые и электромагнитные расходомеры.
9.1 Основными задачами службы эксплуатации являются подготовка, хранение и использование расчетного объема животноводческих стоков в растениеводстве с учетом инженерно-мелиоративных, агрономических, ветеринарно-санитарных и водохозяйственных требований.
9.2 Проектирование раздела по эксплуатации ОССЖ следует выполнять с учетом положений соответствующих документов [4, 5, 6].
9.3 Организация службы эксплуатации ОССЖ определяется объемом животноводческих стоков, площадью оросительной системы, количеством инженерно-мелиоративного оборудования и гидротехнических сооружений, в том числе водопроводящих.
9.4 За агрономическую часть при эксплуатации ОССЖ отвечает агроном, за техническую - гидротехник.
10.1 При проектировании ОССЖ в составе раздела "Охрана окружающей среды" разрабатываются природоохранные инженерно-технические мероприятия, направленные на исключение или снижение до допустимых уровней неблагоприятного влияния орошения животноводческими стоками на окружающую среду в соответствии с требованиями [8], [17].
10.2 Качество поверхностного и дренажного стоков определяется прогнозными расчетами выноса веществ в соответствии с [21].
Концентрацию загрязняющих веществ в сбросных водах определяют для устьевых частей транспортирующих каналов, впадающих непосредственно в поверхностный объект.
10.3 На ОССЖ должны предусматриваться инженерно-технические мероприятия по охране подземных вод от загрязнения.
Необходимость проведения этих мероприятий устанавливается на основе гидрогеологических прогнозов, которые определяют зону влияния ОССЖ на естественный уровенный и химический режимы подземных вод.
10.4 Для контроля уровня и качества грунтовых вод необходимо предусматривать устройство сети наблюдательных скважин. Их количество и расположение определяются особенностями гидрогеологических и геоморфологических условий территории, на которой располагается ОССЖ, расположением дренажной сети.
Наблюдательные скважины размещаются по схеме распределенных по площади точек или створами. Створы назначаются в направлении от области питания в область разгрузки и потенциально подтопляемых территорий.
Схема размещения наблюдательных скважин должна согласовываться с территориальными геологическими организациями (в случае передачи на баланс).
10.5 Для населенных пунктов, расположенных ниже по грунтовому потоку от ОССЖ, где прогнозируется возможное загрязнение подземных вод, следует предусматривать организацию централизованного хозяйственно-питьевого водоснабжения из источников, расположенных вне зоны влияния ОССЖ.
10.6 Для сохранения плодородия почв на ОССЖ следует обеспечивать бездефицитный или положительный баланс гумуса путем разработки соответствующих севооборотов и применения различных видов органических удобрений. Расчеты баланса гумуса в проектируемых севооборотах и потребности в органических удобрениях для его регулирования можно проводить в соответствии с [10].
11.1 При оценке инвестиционного проекта использования животноводческих стоков на орошение и удобрение сельскохозяйственных культур учитываются специфические особенности мероприятия с точки зрения хозяйствующих субъектов. Сравнение альтернативных (взаимоисключающих) вариантов (компостирование, вывоз мобильным транспортом, глубокая очистка и обеззараживание на сооружениях искусственной биологической очистки и т.д.) и оценка экономических последствий производятся для выбора одного из них. Оценивается эффективность проекта как в целом, так и для каждого из участников мероприятия. Эффективность проекта в целом оценивается в целях определения потенциальной привлекательности для его возможных участников в процессе утилизации животноводческих стоков, включает в себя общественную и коммерческую эффективность с учетом факторов риска в соответствии с [11] и [12].
11.2 В расчетах сравнительной эффективности альтернативных проектов рассматриваются все виды затрат на проектирование, строительство и эксплуатацию сооружений подготовки, накопления и распределения стоков через ирригационную сеть, получение и реализацию сельскохозяйственной продукции, получение доходов на различных этапах освоения объектов системы утилизации, в том числе путем экономии затрат на приобретение и внесение удобрений в количестве, эквивалентном содержащемуся в утилизируемом навозе. Большое значение имеют сохранение или прирост почвенного плодородия и охрана окружающей среды. Сравнение вариантов по энергетическому балансу также может служить одной из основных составляющих расчетов экономической эффективности проекта.
11.3 Оценка эффективности проекта производится с использованием дисконтирования соответствующих денежных потоков, т.е. приведение разновременных значений к их ценности на определенный момент времени.
Приложение А
(справочное)
А.1. Аванкамера - передняя камера.
А.2. Агробиологическое обезвреживание животноводческих стоков - поглощение почвой, минерализация и продуктивное использование почвенными микроорганизмами, корневыми системами и вегетативным аппаратом растений минеральных и органических веществ, содержащихся в животноводческих стоках.
А.3. Бесподстилочный навоз - навоз без подстилки с добавкой воды или без нее.
А.4. Внутрипочвенное орошение - орошение земель путем подачи воды непосредственно в корнеобитаемую зону.
А.5. Гельминты - черви, в том числе паразитические, возбудители болезней (гельминтозов) животных и человека.
А.6. Гидротехнические сооружения предназначены для использования водных ресурсов, а также для борьбы с разрушающим действием водной стихии.
Различают гидротехнические сооружения водоподпорные (плотины, дамбы и т.п.), водопроводящие (каналы, трубопроводы, туннели и т.д.), регуляционные (полузапруды, ограждающие валы и т.п.), водозаборные, водосбросные, специальные (здание ГЭС, шлюзы, судоподъемники и др.).
А.7. Годовая норма внесения животноводческих стоков - объем стоков, подаваемый на единицу площади нетто поливного участка за год.
А.8. Дегельминтизация - комплекс лечебно-профилактических мероприятий, направленных на уничтожение паразитических гельминтов на всех стадиях их развития.
А.9. Дифманометр - дифференциальный манометр, прибор для измерения разности (перепада) давлений; применяется также для измерений уровня жидкостей и расхода жидкости.
А.10. Дождевание - поверхностное орошение искусственным дождем.
А.11. Животноводческие стоки - жидкая часть навозных стоков или жидкого навоза после разделения их на фракции.
А.12. Жидкий навоз - бесподстилочный навоз, содержащий от 3 до 8% сухого вещества.
А.13. Карантинный резервуар - инженерное сооружение для выдерживания жидкого навоза, навозных стоков и их жидкой фракции для выявления эпизоотической ситуации на животноводческих предприятиях.
А.14. Мелиоративная насосная станция - станция для подачи животноводческих стоков и воды в оросительную сеть.
А.15. Навозные стоки - бесподстилочный навоз, содержащий менее 3% сухого вещества.
А.16. Навозоприемник (приемный резервуар) - резервуар для сбора жидкого навоза или навозных стоков после их выхода из животноводческих помещений.
А.17. Накопитель - сооружение для хранения животноводческих стоков в межполивной период.
А.18. Обеззараживание стоков - обработка стоков с целью уничтожения в них патогенных микроорганизмов и устранения опасности заражения ими окружающей среды.
А.19. Оросительная норма - объем воды, подаваемый за год на единицу площади нетто поливного участка.
А.20. Оросительные системы с использованием животноводческих стоков (ОССЖ) - специально оборудованные полустационарные и стационарные гидромелиоративные системы, предназначенные для агробиологического обезвреживания животноводческих стоков в сочетании с орошением природной водой или без.
А.21. Отстойник-накопитель - инженерное со оружение для гравитационного разделения жидкого навоза и навозных стоков на фракции и хранения твердой фракции.
А.22. Питательный элемент - элемент удобрения, необходимый для роста и развития растений.
Примечание - Питательные элементы подразделяются на три группы: главные питательные элементы - N, P, K; макроэлементы - N, P, K, Ca, Mg, S (элементы, содержащиеся в растениях и почве в количестве от нескольких процентов до их сотых долей в расчете на сухое вещество); микроэлементы - B, Mn, Cu, Zn, Co, Mo, Fe и другие элементы, содержащиеся в растениях и почве в количестве не более тысячных долей процента в расчете на сухое вещество.
А.23. План утилизации стоков - график внесения стоков с указанием норм, сроков и объемов внесения.
А.24. Поверхностное орошение - орошение земель с распределением воды по их поверхности.
А.25. Подкормка растений - внесение удобрения в период вегетации растений.
А.26. Поливная норма - объем воды, подаваемый на единицу площади нетто поливного участка за полив.
А.27. Полив при вспашке - способ внесения животноводческих стоков одновременно с пахотой.
А.28. Промежуточная насосная станция - станция для забора жидкого навоза или навозных стоков и навозоприемника и подачи их в узел разделения.
А.29. Разовая норма внесения животноводческих стоков - объем стоков, подаваемый на единицу площади нетто поливного уча стка за одно внесение.
А.30. Режим орошения - совокупность норм и сроков поливов.
А.31. Тениаринхоз - гельминтоз из группы цестодозов, характеризующийся поражением преимущественно верхнего отдела желудочно-кишечного тракта человека и животных. Половозрелый бычий цепень паразитирует в верхнем отделе тонкой кишки человека - окончательного хозяина. Промежуточными хозяевами бычьего цепня являются коровы, реже буйволы, зебу, яки, у которых в мышечной ткани развиваются личинки - цистицерки (финны), а также северный олень, у которого цистицерки развиваются в головном мозге.
А.32. Удобрительный полив - полив животноводческими стоками, обеспечивающий потребность сельскохозяйственных культур в питательных веществах для получения проектных урожаев.
А.33. Финноз - инвазионная болезнь человека и животных (свиньи, крупный рогатый скот), вызываемая личинками (цистицерками) ленточных червей - цепней; поражает мышцы, мозг, глаза, у человека вызывает расстройства функций центральной нервной системы.
Приложение Б
|
Показатели |
ТКУ |
МДЭК "Кубань-ЛК1с" |
ДД-70ВН |
ДД-100ВН |
ДДК-30 | |
|
100Д |
100ПС | |||||
|
1 |
2 |
3 |
4 |
5 |
6 |
7 |
|
Тип |
Среднеструйные |
- |
Короткоструйные |
Дальнеструйный | ||
|
Тип рабочего органа |
Дождевальный аппарат |
Поливной шлейф |
Центробежные насадки с дефлектором |
- |
- |
Дождевальный аппарат |
|
Число модификаций |
3 |
3 |
6 |
1 |
1 |
1 |
|
Привод |
Электрический или механический |
Электрический |
Механический от ВОМ трактора |
За счет энергии струи | ||
|
Принцип водораспределения |
Позиционно-фронтальный |
В движении по кругу |
Позиционный по кругу (сектору) |
Позиционный по кругу | ||
|
Расход, л/с |
52-102 |
55-108 |
20-54 |
60-65 |
90-95 |
16-40 |
|
Давление на гидранте, МПа |
0,51-0,55 |
0,15-0,25 |
0,28-0,35 |
0,55-0,60 |
0,70-0,75 |
0,5-0,7 |
|
Средняя интенсивность дождя, мм/мин |
0,22 |
Полив по бороздам |
0,64-0,70 |
0,25 (0,50) |
0,27 (0,36) |
0,13-0,20 |
|
Расстояние между оросителями (ширина захвата), м |
400-800 |
460-900 |
100 |
120 (145) |
75-90 | |
|
Расстояние между гидрантами, м |
30; 36 |
24 |
460-900 |
110 (55) |
120 (85) |
75-90 |
|
Площадь, поливаемая с одной позиции, га |
1,20-2,40; 1,44-2,88 |
0,96-1,92 |
14,9-61,1 |
0,94 (0,55) |
1,44 (1,23) |
0,55-0,81 |
|
Допустимый уклон поля (по длине) |
0,025 |
0,015 |
0,035 |
0,02 |
0,02 |
0,03 |
|
Допустимая скорость ветра, м/с |
5 |
12 |
5 |
3 |
3 |
3 |
|
Санитарно-защитная зона, м |
200 |
100 |
100 |
200 |
200 |
200 |
|
Минимальная технологическая поливная норма, м3/га |
100 |
200 |
80 |
100 |
200 |
50 |
|
Время выдачи минимальной поливной нормы, мин, ч* |
40; 48 |
63 |
25,3-45,5* |
26 (14) |
50 (41) |
35-28 |
|
Число машин, обслуживаемых одним оператором |
2 |
4 |
1 |
1 | ||
|
Площадь, обслуживаемая за сезон, га |
70-110 |
15-60 |
60-70 |
80-85 |
0,55-0,81 | |
|
Наименование применяемой поливной жидкости |
Смесь ЖС и воды |
ЖС, смесь ЖС и воды | ||||
|
Предельное содержание сухого вещества, % |
2 |
2 |
2 |
2 |
2 | |
|
Допустимый размер твердых включений, мм |
10 |
8 |
10 |
10 |
15 |
15 |
|
Дефицит водопотребления, тыс. м3/га |
2-5 |
3-5 |
1-5 |
2-5 |
2-5 | |
|
Примечание - ЖС - животноводческие стоки. В скобках указаны параметры при поливе по сектору, треугольнику. | ||||||
Приложение В
Допустимое суммарное содержание токсичных солей рассчитывается по формуле
, (В.1)
где СДТ - допустимое содержание суммы токсичных солей для конкретных почвенно-климатических условий без учета CaSO4 и солей, содержащих ионы K+, NH4+ и PO3-3 , мг-экв/л;
10 - то же для экстремально засушливых условий России (Калмыкия) на тяжелосуглинистых почвах, мг-экв/л;
M - среднемноголетняя средневзвешенная по севообороту оросительная норма (животноводческие стоки + оросительная природная вода) нетто, мм;
P - среднемноголетние атмосферные осадки, впитавшиеся в почву, мм;
200 - средняя наименьшая влагоемкость (НВ) тяжелосуглинистых почв для слоя 0-50 см, мм;
HB50 - то же для почв конкретного объекта, мм.
Для пересчета концентрации суммы токсичных солей из размерности мг-экв/л в г/л можно применять примерный коэффициент 0,067; для ориентировочного расчета общей суммы солей по концентрации суммы токсичных солей (в мг-экв/л или г/л) последнюю можно умножать на коэффициент 1,5.
Оценка солевого состава поливных вод в аспекте предупреждения натриевого осолонцевания почв проводится по уточненной формуле расчета соотношения SARy:
, (В.2)
где Na, Ca, Mg, K, NH4 - концентрации данных катионов в поливной жидкости (животноводческие стоки + оросительная природная вода), мг-экв/л.
При этом ионы K и NH4 вносятся в дозах не более выноса урожаем и за годовой цикл рассматриваются как физиологически кислые соли, обеспечивающие выделение иона водорода, который обладает большей коагулирующей способностью, чем Ca и Mg, и активизирует Ca и Mg алюмосиликатов и карбонатов почв.
Соотношение катионов Mg : Ca в поливной воде должно быть менее 1.
Допустимые значения SARy для конкретных почвенных условий можно рассчитывать по формулам для наиболее приемлемых уровней вероятности осолонцевания:
- малая солонцеватость:
; (В.3)
- средняя солонцеватость:
. (В.4)
При этом величина HB50 является пропорциональной величиной емкости поглощающего комплекса E. Например, для тяжелосуглинистых почв с HB50=200 мм (E составляет более 30 мг-экв/100 г) будет SARMB=6 и SARCB=9, а для легких песчаных почв с HB50=50 мм (E составляет менее 15 мг-экв/100 г) – SARMB=16 и SARCB=24.
Приложение Г
|
Вид корма или сырья |
Нитраты по NO3 |
Нитриты по NO2 |
|
1 |
2 |
3 |
|
Комбикорм для крупного и мелкого рогатого скота, свиней, птицы |
500 |
10 |
|
Зернофураж и продукты переработки зерна |
300 |
10 |
|
Травяная мука |
2000 |
10 |
|
Жом свекловичный сухой |
800 |
10 |
|
Грубые корма (сено, солома) |
1000 |
10 |
|
Зеленые корма |
500 |
10 |
|
Силос (сенаж) |
500 |
10 |
|
Свекла кормовая |
2000 |
10 |
|
Картофель |
300 |
10 |
______________________________
* Методические указания по диагностике, профилактике и лечению отравлений с.-х. животных нитратами и нитритами, утвержденные Главветуправлением СССР 28.03.1991 [15].
Приложение Д
(справочное)
|
Культура |
Урожай, ц/га |
N |
P2O5 |
K2O |
|
1 |
2 |
3 |
4 |
5 |
|
Урожай зеленой массы | ||||
|
Кукуруза |
350-1000 |
0,32-0,45 |
0,08-0,2 |
0,3-0,5 |
|
Подсолнечник |
700 |
0,3-0,5 |
0,1-0,3 |
0,6-1,5 |
|
Суданская трава |
350 |
0,28-0,32 |
0,06-0,14 |
0,3-0,37 |
|
Многолетние злаковые травы |
300-700 |
0,4-0,6 |
0,09-0,14 |
0,5-0,7 |
|
Рожь озимая |
200-400 |
0,39 |
0,13 |
0,38 |
|
Овес + горох или вика |
200-400 |
0,35 |
0,12-0,14 |
0,45-0,5 |
|
Злаково-бобовая смесь |
200-400 |
0,45 |
0,12 |
0,4 |
|
Люцерна |
450-600 |
0,6-0,67 |
0,14 |
0,5 |
|
Урожай сена | ||||
|
Люцерна |
100-250 |
2,6 |
0,7 |
1,5 |
|
Клевер |
- |
2 |
0,6 |
1,5 |
|
Многолетние злаковые травы (тимофеевка, кострец безостый) |
70-130 |
1,3-1,7 |
0,6-0,7 |
1,7-2,4 |
|
Злаково-бобовая смесь (клевер + тимофеевка) |
70-130 |
1,9 |
0,6 |
2 |
|
Однолетние травы (в целом) |
- |
1,5-2 |
0,5-0,6 |
1,9-2,4 |
|
Сараделла |
- |
2,4 |
0,9 |
2,2 |
|
Вика |
- |
2,3 |
0,6 |
1 |
|
Эспарцет |
- |
2,5 |
0,46 |
1,3 |
|
Урожай корнеплодов | ||||
|
Свекла кормовая, сахарная |
400-1000 |
0,36-0,6 |
0,2 |
0,7-0,8 |
|
Турнепс |
- |
0,22-0,33 |
0,14-0,15 |
0,4-0,5 |
|
Брюква |
- |
0,55 |
0,31 |
0,77 |
|
Урожай зерна | ||||
|
Кукуруза |
70-130 |
2,8-3,4 |
0,9-1,2 |
3,7 |
|
Подсолнечник |
10 |
5,4 |
2 |
12 |
|
Сорго |
- |
3,2 |
1,3 |
2,5 |
|
Рожь озимая |
30-70 |
2,5-3,4 |
0,9-1,2 |
2-3,1 |
|
Пшеница яровая |
30-60 |
3-4 |
1-1,3 |
2,3-3 |
|
Пшеница озимая |
30-90 |
3-3,8 |
1,2-1,3 |
1,5-2,9 |
|
Люпин |
- |
6,8 |
1,9 |
4,7 |
|
Бобы кормовые |
- |
6,6 |
1,8 |
5,2 |
|
Ячмень яровой |
30-60 |
2,2-2,8 |
1,1 |
2-2,3 |
|
Горох |
- |
5,3-6,6 |
1,6 |
2 |
|
Овес |
30 |
3,0-3,3 |
1,3-1,4 |
2,2-3,4 |
|
Вика |
- |
6,5 |
1,4 |
1,6 |
Приложение Е
Навозные стоки состоят из экскрементов животных, технологической воды, остатков кормов и посторонних включений.
Годовой выход Qгод навозных стоков определяется по формуле
Qгод=Qэ+Qтв+Qвн+Qвкл+Qсв, (Е.1)
где Qэ - выход экскрементов (кал и моча) в год, м3;
Qтв - объем воды, добавляемой в систему навозоудаления с учетом мытья кормушек, полов, промывки навозосборных каналов, коллекторов, подтекания водопроводных кранов и автопоилок в год, м3;
Qвн - расход воды на удаление навоза в год, м3;
Qвкл - объем механических включений, поступающих в систему навозоудаления, в год, м3;
Qсв - количество воды на дополнительное разбавление навоза сточными водами, образующимися в доильных залах молочных, кормоцехах и других объектах комплексов, ферм, в год, м3.
Масса экскрементов, получаемая на комплексах или фермах, зависит от количества животных, их вида, возраста и рациона кормления. Расчетное среднесуточное количество и влажность экскрементов от одного животного разных половозрастных групп на фермах и комплексах крупного рогатого скота, на свиноводческих фермах и комплексах при кормлении свиней полнорационными концентрированными кормами определяются согласно [1]. Оно приведено в таблице Е.1.
|
Группа животных |
Выделяется одним животным за сутки, кг |
Средняя влажность экскрементов, % | ||
|
кала |
мочи |
всего | ||
|
1 |
2 |
3 |
4 |
5 |
|
Крупный рогатый скот | ||||
|
Быки-производители |
30 |
10 |
40 |
86 |
|
Коровы |
35 |
20 |
55 |
88,4 |
|
Телята: | ||||
|
до 3 месяцев |
1 |
3,5 |
4,5 |
91,8 |
|
до 6 месяцев на откорме до 4 месяцев |
5 |
2,5 |
7,5 |
87,4 |
|
на откорме с 4 до 6 месяцев |
10 |
4 |
14 |
87,2 |
|
Молодняк: | ||||
|
телки и нетели 6-12 месяцев |
10 |
4 |
14 |
87,2 |
|
телки и нетели 12-18 месяцев |
20 |
7 |
27 |
86,7 |
|
На откорме: | ||||
|
6-12 месяцев |
14 |
12 |
26 |
86,2 |
|
старше 12 месяцев |
23 |
12 |
35 |
84,9 |
|
Свиньи | ||||
|
Хряки |
3,86 |
7,24 |
11,1 |
89,4 |
|
Свиноматки холостые |
2,46 |
6,34 |
8,8 |
90 |
|
Свиноматки супоросные |
2,6 |
7,4 |
10 |
91 |
|
Свиноматки подсосные |
4,3 |
11 |
15,3 |
90,1 |
|
Поросята в возрасте, дни: | ||||
|
26-42 |
0,1 |
0,3 |
0,4 |
90 |
|
43-60 |
0,3 |
0,4 |
0,7 |
86 |
|
61-106 |
0,7 |
1,1 |
1,8 |
86,1 |
|
Свиньи на откорме: | ||||
|
до 70 кг |
2,05 |
2,95 |
5 |
87 |
|
более 70 кг |
2,7 |
3,8 |
6,5 |
87,5 |
|
Примечание - Суточное выделение от одного животного при многокомпонентном кормлении свиней влажными мешанками приведено в [22]. | ||||
Годовой выход экскрементов от различных половозрастных групп (кг) рассчитывается по формуле
Qэ=∑Aiaiti, (Е.2)
где Ai - количество животных в соответствующей половозрастной группе;
ai - количество экскрементов в сутки от одной головы соответствующей группы животных, кг;
ti - продолжительность периода содержания половозрастной группы в году, сутки;
i = 1, ..., n, n - номера половозрастных групп;
∑ - количество половозрастных групп.
Для ориентировочных расчетов среднесуточный выход мочи и кала крупного рогатого скота принимается 8% от их живой массы, свиней - 5%.
Составляющую Qтв (м3) в год определяют по формуле
Qтв=∑Aibiti, (Е.3)
где Ai, ti, i - см. формулу Е.2;
bi - расход воды в сутки на голову по половозрастным группам, л (таблица Е.2).
|
Продуктивность или возраст животных |
Объем воды, добавляемой в навозные стоки, л | ||
|
от уборки помещений, мытья кормушек и самотечной уборки навоза |
от доильных залов молочных, кормоцехов | ||
|
периодического действия |
непрерывного действия | ||
|
1 |
2 |
3 |
4 |
|
Крупный рогатый скот | |||
|
Коровы |
20-35 |
10-16 |
26-36 |
|
Нетели до 4 месяцев |
9-12 |
5-8 |
10-12 |
|
Нетели 6-12 месяцев |
12-16 |
8-10 |
12-15 |
|
Молодняк на откорме: | |||
|
до 4 месяцев |
8-10 |
4-6 |
6-8 |
|
5-8 месяцев |
10-12 |
5-10 |
- |
|
8-12 месяцев |
15-20 |
5-10 |
- |
|
Свиньи | |||
|
Свиноматки супоросные |
12-15 |
5-8 |
17-18 |
|
Свиноматки подсосные |
27-35 |
10-15 |
27-30 |
|
Поросята-отъемыши |
3-6 |
1-2 |
2,8-3,6 |
|
Откормочные свиньи: | |||
|
до 40 кг |
5-10 |
2-3 |
2-6 |
|
40-80 кг |
6-12 |
2-3 |
2,5-5 |
|
80-120 кг |
6-12 |
2-3 |
4-8 |
Ориентировочный суточный выход свиного навоза при различных системах удаления приведен в таблице Е.3.
|
Система навозоудаления |
Состав компонентов на одну голову, кг |
Вода, л |
Выход навоза на одну голову, кг |
Влажность навоза, % | |||
|
экскременты |
корм и включения |
от мойки оборудования |
смывная |
от мытья кормушек и уборки помещений | |||
|
1 |
2 |
3 |
4 |
5 |
6 |
7 |
8 |
|
Механическая |
5,4 |
0,6 |
2 |
- |
4-5 |
12-13 |
92-94 |
|
Гидросливная лотковая |
5,4 |
0,6 |
2 |
20 |
4-5 |
32-33 |
98 |
|
Самотечная периодического действия |
5,4 |
0,6 |
2 |
7,5 |
4-5 |
20-22 |
95-96 |
|
Самотечная непрерывного действия |
5,4 |
- |
2 |
1,5 |
4-5 |
13-15 |
92-94 |
Влажность навозных стоков Wн, поступающих с комплекса и фермы, определяется формулой
, (Е.4)
где
- средняя влажность экскрементов, %;
Qэ - годовой объем экскрементов животных всех половозрастных групп;
- общий годовой объем воды, поступающей в систему навозоудаления, м3.
, (Е5)
где Wi - влажность экскрементов животных различных половозрастных групп (см. табл. Е.1), %;
Qэi - годовой объем экскрементов животных различных половозрастных групп, i = 1, ..., n.
Содержание абсолютно сухого вещества в навозных стоках составляет
. (Е.6)
Зависимость влажности бесподстилочного навоза от количества воды, добавляемой к 1 л экскрементов, согласно [23], приведена ниже.
|
Влажность, % |
90 |
92 |
94 |
96 |
97 |
98 |
|
Объем воды, л |
0,2 |
0,5 |
1 |
2 |
3 |
5 |
|
Влажность, % |
90 |
92 |
94 |
96 |
|
Объем воды, л |
0,4 |
0,75 |
1,33 |
2,5 |
Объемная масса экскрементов свиней составляет 1050-1070 кг/м3, крупного рогатого скота - 1010 кг/м3. В практике расчетов объемная масса навозных стоков принимается равной 1000 кг/м3.
Количество органических соединений Сов в навозных стоках составляет 85% от сухого вещества, т.е.
Сов=0,85Сн; (Е.7)
Сн=100-Wн, (Е.8)
где Сн - массовая доля сухого вещества в навозе, % к натуральному веществу.
Величины ХПК, БПК5 и БПК20 определяются зависимостями, полученными опытным путем:
|
для свиного навоза |
для навоза КРС |
|
ХПК=1,2Сов |
ХПК=1,4 |
|
БПК5=0,5БПК20 |
БПК5=0,36БПК20 |
|
БПК20=0,84ХПК |
БПК20=0,3…0,24ХПК |
Химический состав навозных стоков определяется составом экскрементов животных и зависит от кормового рациона, качества кормов, степени их усвояемости и разбавления навоза водой.
Среднее содержание сухого вещества и биогенных элементов в экскрементах животных на голову в сутки приведено в таблице Е.4.
|
Группа животных |
Сухое вещество |
Азот общий |
Фосфор P2O5 |
Калий K2O |
Кальций CaO |
|
1 |
2 |
3 |
4 |
5 |
6 |
|
Крупный рогатый скот | |||||
|
Коровы |
6090 |
205 |
110,3 |
275,4 |
105,1 |
|
Нетели |
4300 |
132,6 |
70,22 |
167,5 |
72,8 |
|
Молодняк на откорме: | |||||
|
до 4 месяцев |
370 |
23,5 |
4,82 |
39,5 |
2,16 |
|
4-6 месяцев |
1840 |
62,3 |
42,23 |
59,9 |
330,38 |
|
6-12 месяцев |
2780 |
89,6 |
52,66 |
86,9 |
69,62 |
|
старше 12 месяцев |
4300 |
108 |
64 |
118,1 |
45,5 |
|
Свиньи | |||||
|
Хряки |
980 |
60 |
37,5 |
33,5 |
24,64 |
|
Свиноматки |
970 |
46,5 |
17,52 |
28,37 |
19,39 |
|
Свиноматки с поросятами |
900 |
24 |
22,8 |
10 |
26,6 |
|
Поросята-отъемыши |
100 |
8,33 |
4,74 |
4,1 |
5,15 |
|
Откормочные свиньи: | |||||
|
до 70 кг |
530 |
36 |
20,04 |
13,7 |
14,28 |
|
70-112 кг |
770 |
48 |
26,1 |
15,1 |
17,8 |
Для предварительных расчетов количество питательных веществ в процентах к сухому веществу можно принимать по [1].
Количество биогенных веществ в экскрементах животных определяется по формуле
Б=∑AiБiti, (Е.9)
где Ai, ti, i - см. формулу Е.2;
Бi - количество биогенного вещества (азота, фосфора или калия) от одного животного половозрастной группы в сутки, г (см. таблицу Е.4).
Концентрация биогенных элементов определяется делением количества азота, фосфора или калия на суточный выход навозных стоков.
Разбавление экскрементов водой вызывает изменение массовой доли биогенных элементов пропорционально количеству добавленной воды. Массовая доля каждого элемента (азота, фосфора или калия) определяется формулами:
; (Е.10)
, (Е.11)
где Бн, Бэ - массовая доля биогенного элемента соответственно в навозе и экскрементах, % к натуральному веществу;
Сн, Сэ - массовая доля сухого вещества соответственно в навозе и экскрементах, % к натуральному веществу.
При разделении навозных стоков на фракции сухое и биогенные вещества, содержащиеся в навозе, перераспределяются, в результате чего образуются две субстанции, отличающиеся физико-механическими и химическими свойствами. При разделении навоза на фракции без использования коагулянтов твердую фракцию образуют твердые частицы навоза, на 65-70% состоящие из воды. Вода в состав твердых частиц входит в виде раствора минеральных и органических соединений, поэтому сухое вещество твердой фракции включает в себя как сухое вещество структурных элементов твердой фракции, так и сухое вещество водных растворов, входящих в состав твердой фракции.
Работа установок и отстойников для разделения навоза на жидкую и твердую фракции характеризуется производительностью (скоростью оседания взвешенных веществ или фильтрования), эффектом осветления суспензии и влажностью твердой фракции (осадка).
Эффект осветления J показывает, насколько снизилось содержание взвешенных (твердых) веществ в навозных стоках после обработки на данной установке и определяется в % к содержанию их в исходной массе:
, (Е.12)
где Тн, Тж - содержание взвешенных веществ соответственно в навозе и жидкой фракции, г/л или кг/м3.
Эффект осветления зависит от исходной влажности жидкого навоза и может приниматься по таблице Е.5.
|
Разделительная установка |
Производительность, м3/ч |
Влажность, % |
Эффект осветления, % | ||
|
исходного навоза |
твердой фракции (осадка) |
жидкой фракции | |||
|
1 |
2 |
3 |
4 |
5 |
6 |
|
Горизонтальный отстойник-накопитель |
- |
97-98,5 |
90-92 |
98-99,5 |
70 |
|
Горизонтальный отстойник ООС-25 конструкции КТИСМ (ширина - 3 м) |
25 |
97 |
90 |
- |
75-80 |
|
Вертикальные разделительные отстойники: | |||||
|
- металлические диаметром 7 м и железобетонные по ТП 802-9-30.83 |
35 |
98 |
93-96 |
- |
75-85 |
|
- из монолитного железобетона Ц-25 диаметром 15 м |
80 |
98,5 |
94 |
- |
90 |
|
Барабанный виброгрохот ГБН-100 |
До 100 |
97 |
84-85 |
99,1 |
20 |
|
Инерционные наклонные виброгрохоты: | |||||
|
ГИЛ-32 |
30-60 |
94-98 |
82-85 |
98,4-98,6 |
20 |
|
ГИЛ-52 |
100-120 м3 |
94-98,5 |
85-86 |
98,4-98,6 |
20 |
|
Фильтры-прессы | |||||
|
ВПО-20А |
20 |
82-85 |
65-68 |
75-80 | |
|
ПЖН-68, ПЖН-68А |
6-10 |
<85 |
65-70 |
75 | |
|
Дуговое сито СДФ-50 |
25-50 |
>92 |
85-90 |
- |
30-60 |
|
Центрифуга ОГШ-502, К-4 |
20-25 |
91-94 |
67-70 |
96,6 |
80 |
|
УОН-700 конструкции ВНИИМЖ |
60-80 |
94-98 |
73-75 |
40-65 | |
|
Бункер-дозатор КПЕ-108.60.03.000 |
2 |
<85 |
73 |
- |
- |
|
Напорная флотационная установка конструкции ВНИПТИМЭСХ |
20-25 |
>98 |
91-93 |
- |
70-80 |
Разделение навоза на фракции рассматривается как механический процесс, при котором отсутствуют потери вещества (за исключением незначительной части аммонийного азота), поэтому выход жидкой и твердой фракции (осадка) при разделении навоза известной влажности определяется по формулам:
, (Е.13)
, (Е.14)
где Qн, Qж, Qо - масса соответственно исходных навозных стоков, жидкой и твердой фракции, кг или т;
Сн, Сж, С - относительное содержание сухого вещества соответственно в навозе, жидкой и твердой фракции, %;
Со принимается по таблице Е.5.
Сж определяется следующим образом:
Сж=(1-0,0073J)Сн - для свиного навоза, (Е.15)
Сж=(1-0,006J)Сн - для навоза КРС.
Если разделение навоза на фракции выполняется на нескольких последовательно работающих установках, например, разделение навоза на виброгрохоте, осветление жидкой фракции в отстойнике, обезвоживание осадка из отстойника на фильтре-прессе, то описанную выше методику используют для расчета процесса только на первой ступени, т.е. на виброгрохоте. Все остальные ступени процесса рассчитываются по нижеследующей методике.
Масса твердой фракции осадка, полученная на аппарате, определяется по формуле
, (Е16)
где Qj - масса исходного материала, поступающего на разделительную установку, кг или т;
Сд - относительное содержание сухого вещества в дисперсионной среде обрабатываемого материала, %;
j - номер ступени.
Относительное содержание сухого вещества в дисперсионной среде для всех ступеней разделения навоза рассчитывается по формулам:
Сд=0,27Сн - для свиного навоза,
Сд=0,40Сн - для навоза КРС,
где Сн - относительное содержание сухого вещества в навозе, поступающем на первую ступень разделения, %.
После того как масса твердой фракции осадка, полученной на разделительной установке, определена, находят массу жидкой фракции:
Qжj=Qj-Qoj, (Е.17)
затем определяют относительное содержание сухого вещества в жидкой фракции по формуле
. (Е.18)
Общий выход твердой и жидкой фракции получают суммированием тех объемов фракций, которые выходят из разделительных установок и уже в них не обрабатываются.
При разделении навоза на фракции биогенные элементы переходят как в твердую, так и в жидкую фракции.
Азот общий с учетом потерь при разделении распределяется по фракциям в следующем соотношении:
для свиного навоза:
, (Е.19)
; (Е.20)
для навоза КРС:
, (Е.21)
, (Е.22)
где Nн, Nо, Nж - относительное содержание общего азота соответственно в навозе, твердой и жидкой фракциях, %.
Фосфор распределяется по фракциям прямо пропорционально содержанию в них сухого вещества, а калий - прямо пропорционально содержанию влаги:
, (Е.23)
, (Е.24)
где индексы о, ж соответствуют относительному содержанию биогенного элемента (фосфора, калия) соответственно в твердой или жидкой фракциях навоза, %;
Со, ж - относительное содержание сухого вещества в твердой или жидкой фракции, %.
Приложение Ж
|
Содержание в стоках азота, фосфора, калия составляет соответственно, мг/дм3: |
490 |
140 |
380 |
|
Коэффициенты возмещения азота, фосфора, калия приняты: |
1,35 |
1,25 |
1,25 |
|
Коэффициент, учитывающий потери аммиачного азота в процессе внесения: |
0,85 |
|
Номера полей |
Культура |
Посевные площади, % |
Урожайность, ц/га |
Вынос с 1 ц продукции, кг |
Нормы стоков, м3/га |
Расчетная норма, м/га | ||||
|
N |
P2O5 |
K2O |
N |
P2O5 |
K2O | |||||
|
1 |
Однолетние травы + многолетние травы |
17 |
250 |
0,4 |
0,12 |
0,45 |
324 |
268 |
370 |
300 |
|
2, 3, 4 |
Многолетние злаковые травы |
50 |
400 |
0,4 |
0,1 |
0,5 |
519 |
357 |
658 |
480 |
|
5 |
Силосные (кукуруза) |
17 |
400 |
0,4 |
0,2 |
0,5 |
519 |
714 |
658 |
480 |
|
6 |
Корнеплоды |
16 |
600 |
0,5 |
0,2 |
0,7 |
972 |
1071 |
1382 |
900 |
|
Средневзвешенные значения |
558 |
517 |
725 |
517 | ||||||
Приложение И
Содержание в стоках азота составляет 470, фосфора - 140 и калия - 380 мг/л.
Обеспеченность почвы питательными веществами: азотом - средняя, фосфором - высокая, калием - средняя.
Коэффициенты возмещения выноса азота, фосфора, калия приняты соответственно: 1, 1 и 1.
|
Номера полей |
Культура |
Посевные площади, % |
Урожайность, ц/га |
Вынос с 1 ц продукции, кг |
Вынос урожаем, кг/га |
Принятая норма стоков, м3/га |
Расчетные дозы минеральных удобрений, кг/га |
Принятые дозы минеральных удобрений, кг/га | ||||||||
|
N |
P2O5 |
K2O |
N |
P2O5 |
K2O |
N |
P2O5 |
K2O |
N |
P2O5 |
K2O | |||||
|
1 |
Однолетние травы + многолетние травы |
17 |
250 |
0,35 |
0,14 |
0,5 |
88 |
35 |
125 |
300 |
-60 |
-7 |
11 |
0 |
0 |
50 |
|
2, 3, 4 |
Многолетние злаковые травы |
50 |
400 |
0,4 |
0,1 |
0,5 |
160 |
40 |
200 |
480 |
-75 |
-27 |
18 |
0 |
0 |
0 |
|
5 |
Силосные (кукуруза) |
17 |
400 |
0,4 |
0,2 |
0,5 |
160 |
80 |
200 |
480 |
-75 |
13 |
18 |
0 |
0 |
0 |
|
6 |
Свекла кормовая |
16 |
600 |
0,5 |
0,2 |
0,7 |
300 |
120 |
420 |
900 |
141 |
-6 |
78 |
0 |
0 |
100 |
|
В среднем на 1 га севооборотной площади |
465 |
-83 |
-13 |
26 |
0 |
0 |
25 | |||||||||
Приложение К
|
Культура |
Урожайность, ц/га |
Площадь, га |
Норма, м3/га
|
Всего, м3/га тыс. м | ||||||||||||||||
|
апрель |
май |
июнь |
июль |
август |
сентябрь | |||||||||||||||
|
II |
III |
I |
II |
III |
I |
II |
III |
I |
II |
III |
I |
II |
III |
I |
II |
III | ||||
|
Однолетние + многолетние травы |
250 |
160 |
100 ---- 16 |
100 ----- 16 |
100 ---- 16 |
300 ------ 48 | ||||||||||||||
|
Многолетние травы |
400 |
160 |
120 ---- 19 |
120 ---- 19 |
120 ---- 19 |
120 ---- 19 |
480 ------ 76,8 | |||||||||||||
|
Многолетние травы |
400 |
160 |
120 ---- 19 |
120 ---- 19 |
120 ---- 19 |
120 ---- 19 |
480 ------ 76,8 | |||||||||||||
|
Многолетние травы |
400 |
160 |
160 ---- 26 |
160 ---- 26 |
160 ---- 26 |
480 ------ 76,8 | ||||||||||||||
|
Кукуруза на силос |
400 |
160 |
160 ---- 26 |
160 ---- 26 |
160 ---- 26 |
480 ------ 76,8 | ||||||||||||||
|
Свекла кормовая |
600 |
160 |
180 ---- 29 |
180 ---- 29 |
180 ---- 29 |
180 ---- 29 |
180 ---- 29 |
900 ------ 144 | ||||||||||||
|
Всего |
960 |
500 | ||||||||||||||||||
Приложение Л
Для кормовых севооборотов наиболее приемлема технология смешивания, когда стоки подаются (вводятся) непосредственно во всасывающий или напорный трубопровод оросительной сети. Кроме того, стоки вводятся не сплошным потоком (непрерывно), а дискретно, т.е. интервалами определенной продолжительности (импульсами).
При такой технологии смешивания структура потока в трубах оросительной сети, а следовательно, и в поливной технике представляет собой следующей вид: вода - удобрительная смесь - вода - удобрительная смесь и т.д. Технологический процесс должен начинаться и заканчиваться поливом водой.
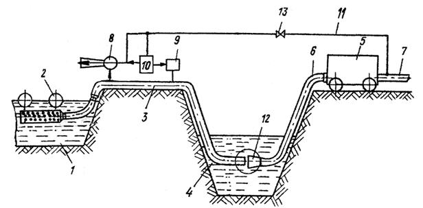
Импульсный ввод и смешивание стоков непосредственно в трубопроводе позволяют проводить промывку сети, машин и смыв стоков с растений через каждые 5-20 мин (полив водой в перерывах между импульсами подачи стоков) (рисунок Л.1).

а)

б)
Рисунок Л.1 - Схемы импульсного ввода стоков в оросительную сеть:
а - ввод во всасывающую линию; б - ввод в напорную сеть; 1 - водоисточник; 2 - накопитель стоков; 3 - насосная станция подачи воды или смеси стоков с водой; 4 - насосная станция подачи стоков
|
|
tив - длительность импульса воды; |
|
|
tис - длительность импульса ввода стоков; |
|
|
tип - пауза между импульсами стоков (tив=tип); |
|
Qв, Qс, Qпол. - соответственно расходы воды, стоков и насосной станции |
Техническое решение технологии импульсного ввода может быть выполнено с помощью сифонов, которые подают стоки из верхних слоев накопителя во всасывающий водовод насосной станции. Импульсы создаются периодическим срывом вакуума в сифонах, такая технология требует автоматизации процесса (рисунок Л.2).

Рисунок Л.2 - Сифонно-импульсный ввод стоков в оросительную
сеть: 1 - накопитель стоков; 2 - плавающий фильтр; 3 - сифон; 4 - резервуар поливной воды; 5 - насосная станция; 6 - всасывающая линия насосной станции; 7 - напорная линия подачи жидкости на поля орошения; 8 - устройство разрежения (эжектор); 9 - клапан срыва вакуума; 10 -гидрореле управления создания и срыва вакуума; 11 - напорная линия для зарядки сифона; 12 - раструб всасывающей линии воды и стоков; 13 - задвижка
Преимущество сифонно-импульсного ввода заключается в том, что стоки из накопителя в сифон забираются изверхних слоев, а небольшое количество жидкости (смесь стоков с водой) для зарядки сифона (создание вакуума) сливается обратно в накопитель стоков, перемешивая верхние слои.
Возможен вариант импульсного ввода в напорный трубопровод, который наиболее применим при использовании действующих оросительных систем на воде для внесения стоков или реконструкции с целью повышения их технического уровня, но требует дополнительной высоконапорной насосной станции или ввода через эжектор.
Библиография
[1] РД-АПК 1.10.15.02-17. Методические рекомендации пот технологическому проектированию систем удаления и подготовки к использованию навоза и помета.
[2] Федеральный закон "О техническом регулировании" от 27 декабря 2002 г. N 184-ФЗ.
[3] Ветеринарно-санитарные правила по использованию животноводческих стоков для орошения и удобрения пастбищ. Утверждены Департаментом ветеринарии Министерства сельского хозяйства Российской Федерации 18 октября 1993 г.
[4] Пособие по эксплуатации ирригационных полей утилизации животноводческих стоков. - М.: Минсельхозпрод РФ, 1993.
[5] Правила эксплуатации оросительных систем с использованием животноводческих стоков с применением дождевальной техники. - М.: Минсельхоз РФ, 2000.
[6] Правила эксплуатации мелиоративных систем утилизации навозных стоков поливом при вспашке. - М.: Минсельхоз РФ, 2000.
[7] Пособие к СНиП 11-01-95 по разработке раздела проектной документации "Охрана окружающей среды". - ФГУП "ЦЕНТРИНВЕСТ проект", 2000.
[8] Федеральный закон "Об охране окружающей среды" от 10 января 2002 г. N 7-ФЗ.
[9] ВСН 33-2.2.12-87. Мелиоративные системы и сооружения. Насосные станции. Нормы проектирования.
[10] Научные основы и рекомендации по эффективному применению органических удобрений - М.: ВАСХНИЛ, 1991.
[11] Методические рекомендации по оценке эффективности инвестиционных проектов (Утверждено Министерством экономики РФ, Министерством финансов РФ, Государственным комитетом РФ по строительной, архитектурной и жилищной политике от 21.06.1999 N ВК477).
[12] РД-АПК 300.01.003-03 Методические рекомендации по оценке эффективности инвестиционных проектов мелиорации сельскохозяйственных земель.
[13] Интенсивные технологии производства кормов: Справ. / Алтунин Д.А.; Ладонин В.Ф.; Скороходова Н.В.; Буц В.М., Алейникова Л.Д., Скороходов А.Н. - М.: Агропромиздат, 1991. - 352 с.
[14] Руководство по проектированию планировочных работ на орошаемых землях. - М.: ВПИиНИО "Союзводпроект", 1978. - 66 с.
[15] Методические указания по диагностике, профилактике и лечению отравлений с.-х. животных нитратами и нитритами, утвержденные Главветуправлением СССР 28.03.1991.
[16] Проектирование, создание и уход за защитными лесными насаждениями на землях сельскохозяйственного назначения / Балакай Г.Т., Балакай Н.И., Бабичев А.Н., Балакай С.Г., Монастырский В.А., Ольгаренко В.И. - Новочеркасск: РосНИИПМ, 2016. - 102 с.
[17] Водный кодекс Российской Федерации от 3 июня 2006 г. N 74-ФЗ.
[18] Земельный кодекс Российской Федерации от 25 октября 2001 г. N 136-ФЗ.
[19] СТО НОСТРОЙ 2.33.20-2011 Мелиоративные системы и сооружения. Часть 1. Оросительные системы. Общие требования по проектированию и строительству.
[20] СП 33-101-2003 Определение основных гидрологических характеристик.
[21] ВСН 33-2.2.03-86. Мелиоративные системы и сооружения. Дренаж на орошаемых землях. Нормы проектирования.
[22] РД-АПК 1.10.02.04-12 Методические рекомендации по технологическому проктированию свиноводческих ферм и комплексов.
[23] РД-АПК 3.10.15.01-17 Методические рекомендации по проектированию систем удаления, обработки, обеззараживания, хранения и утилизации навоза и помета.
[24] СП-40-102-2000 Проектирование и монтаж трубопроводов систем водоснабжения и канализации из полимерных материалов. Общие требования.
[25] СН 551-82. Инструкция по проектированию и строительству противофильтрационных устройств из полиэтиленовой пленки для искусственных водоемов.


