ГОСТ 24544-2020 БЕТОНЫ. МЕТОДЫ ОПРЕДЕЛЕНИЯ ДЕФОРМАЦИЙ УСАДКИ И ПОЛЗУЧЕСТИ
Concretes. Methods of shrinkage and creep flow determination
МКС 91.100.30
Дата введения - 1 июня 2021 г.
Взамен ГОСТ 24544-81
Предисловие
Цели, основные принципы и общие правила проведения работ по межгосударственной стандартизации установлены ГОСТ 1.0 "Межгосударственная система стандартизации. Основные положения" и ГОСТ 1.2 "Межгосударственная система стандартизации. Стандарты межгосударственные, правила и рекомендации по межгосударственной стандартизации. Правила разработки, принятия, обновления и отмены"
Сведения о стандарте
1 Разработан Структурным подразделением АО "НИЦ "Строительство" Научно-исследовательским, проектно-конструкторским и технологическим институтом бетона и железобетона им. А.А. Гвоздева (НИИЖБ им. А.А. Гвоздева) при участии АО "ВНИИГ им. Б.Е. Веденеева"
2 Внесен Техническим комитетом по стандартизации ТК 465 "Строительство"
3 Принят Межгосударственным советом по стандартизации, метрологии и сертификации (протокол от 30 октября 2020 г. N 134-П)
За принятие проголосовали:
|
Краткое наименование страны по МК (ИСО 3166) 004-97 |
Код страны по МК (ИСО 3166) 004-97 |
Сокращенное наименование национального органа по стандартизации |
|
Армения |
AM |
ЗАО "Национальный орган по стандартизации и метрологии" Республики Армения |
|
Беларусь |
BY |
Госстандарт Республики Беларусь |
|
Киргизия |
KG |
Кыргызстандарт |
|
Россия |
RU |
Росстандарт |
|
Узбекистан |
UZ |
Узстандарт |
4 Приказом Федерального агентства по техническому регулированию и метрологии от 22 декабря 2020 г. N 1347-ст межгосударственный стандарт ГОСТ 24544-2020 введен в действие в качестве национального стандарта Российской Федерации с 1 июня 2021 г.
5 Взамен ГОСТ 24544-81
Настоящий стандарт распространяется на все виды цементных, а также силикатных бетонов, применяемых во всех областях строительства, и устанавливает методы определения деформаций усадки и ползучести.
В настоящем стандарте использованы нормативные ссылки на следующие межгосударственные стандарты:
ГОСТ 310.2 Цементы. Методы определения тонкости помола
ГОСТ 310.4 Цементы. Методы определения предела прочности при изгибе и сжатии
ГОСТ 5382 Цементы и материалы цементного производства. Методы химического анализа
ГОСТ 5632 Нержавеющие стали и сплавы коррозионно-стойкие, жаростойкие и жаропрочные. Марки
ГОСТ 8269.0 Щебень и гравий из плотных горных пород и отходов промышленного производства для строительных работ. Методы физико-механических испытаний
ГОСТ 8735 Песок для строительных работ. Методы испытаний
ГОСТ 9758 Заполнители пористые неорганические для строительных работ. Методы испытаний
ГОСТ 10180 Методы определения прочности по контрольным образцам
ГОСТ 10181 Смеси бетонные. Методы испытаний
ГОСТ 10354 Пленка полиэтиленовая. Технические условия
ГОСТ 12730.1 Бетоны. Методы определения плотности
ГОСТ 12730.2 Бетоны. Метод определения влажности
ГОСТ 23683 Парафины нефтяные твердые. Технические условия
ГОСТ 24452 Бетоны. Методы определения призменной прочности, модуля упругости и коэффициента Пуассона
ГОСТ 31108 Цементы общестроительные. Технические условия
Примечание - При пользовании настоящим стандартом целесообразно проверить действие ссылочных стандартов (и классификаторов) на официальном интернет-сайте Межгосударственного совета по стандартизации, метрологии и сертификации (www.easc.by) или по указателям национальных стандартов, издаваемым в государствах, указанных в предисловии, или на официальных сайтах соответствующих национальных органов по стандартизации. Если на документ дана недатированная ссылка, то следует использовать документ, действующий на текущий момент, с учетом всех внесенных в него изменений. Если заменен ссылочный документ, на который дана датированная ссылка, то следует использовать указанную версию этого документа. Если после принятия настоящего стандарта в ссылочный документ, на который дана датированная ссылка, внесено изменение, затрагивающее положение, на которое дана ссылка, то это положение применяется без учета данного изменения. Если ссылочный документ отменен без замены, то положение, в котором дана ссылка на него, применяется в части, не затрагивающей эту ссылку.
В настоящем стандарте применены следующие термины с соответствующими определениями:
3.1 линейная относительная деформация усадки εус(t): Относительное уменьшение линейных размеров ненагруженного образца во времени, вызванное гидратацией цемента (контракцией), уменьшением влажности цементного камня и его карбонизацией.
3.2 линейная относительная деформация усадки при нагреве εусt: Относительное уменьшение линейных размеров ненагруженного образца, вызванное испарением из него влаги при нагреве.
3.3 линейная относительная деформация температурного расширения εpt: Относительное увеличение размеров образца, вызванное температурным расширением при нагреве.
3.4 линейная относительная температурно-усадочная деформация εt: Относительное изменение линейных размеров образца, вызванное совместным действием температуры и усадки бетона.
3.5 линейная относительная деформация ползучести ε1п(t): Относительное изменение линейных размеров образца во времени, вызванное действием постоянной внешней нагрузки за вычетом деформаций усадки.
В настоящем разделе и приложениях А, Б, В и Г приведены методы испытаний при стандартном температурном режиме для определения деформаций усадки и ползучести путем измерения их в направлении продольной и поперечной осей (при необходимости такой задачи) незагруженного образца и образца, загруженного постоянной по величине осевой сжимающей нагрузкой.
Методы определения деформаций температурной усадки и ползучести бетона при нагреве приведены в приложении Д.
Методика определения деформаций ползучести при изгибе (упрощенная методика испытания на ползучесть) и вычисление основных деформационных характеристик приведены в приложении Е.
4.1.1 Оборудование и приборы для проведения испытаний должны соответствовать требованиям настоящего стандарта, быть поверенными и аттестованными в установленном порядке.
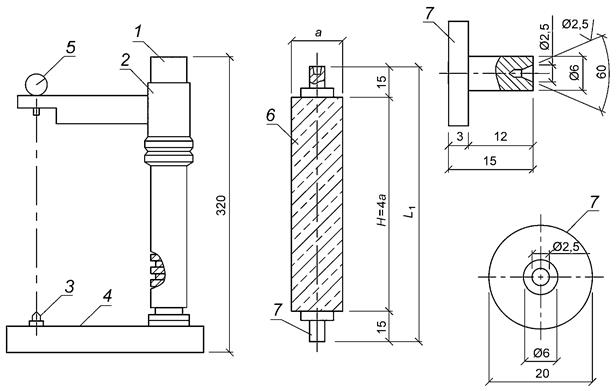
4.1.2 Для определения деформаций усадки применяют устройства, схемы которых показаны на рисунках 1 и 2. Устройство, схема которого приведена на рисунке 1, предназначено для измерения деформаций усадки образцов с поперечным сечением размерами 40 x 40 мм.
Образцы с размерами поперечного сечения более 40 x 40 мм испытывают с приклеенными по торцам металлическими пластинами согласно 4.3.2 (рисунок 2) без дополнительных испытательных стендов.
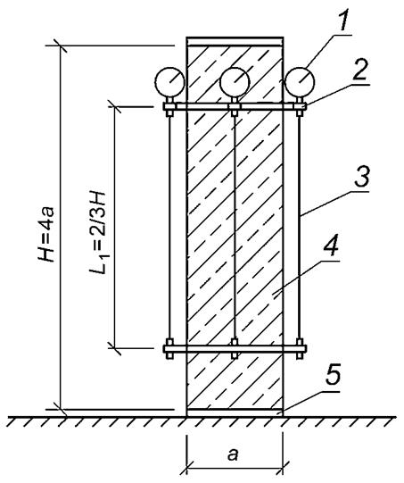
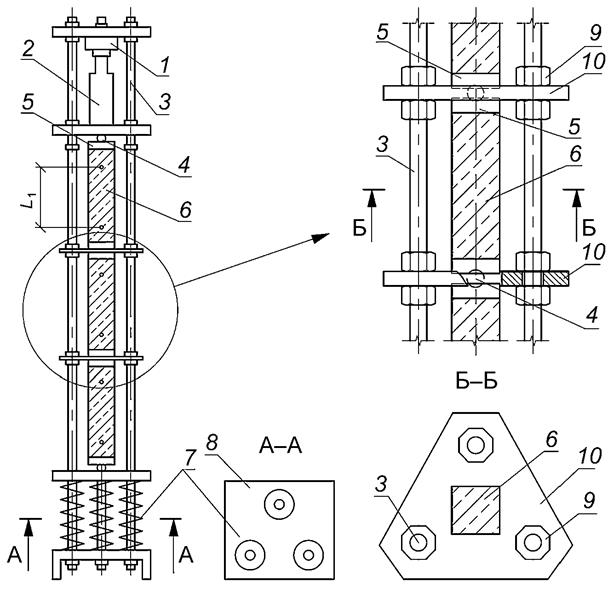
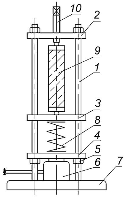
4.1.3 Для определения деформаций ползучести применяют пневмогидравлические, пружинно-гидравлические, рычажные или пружинные испытательные устройства. В установку допускается устанавливать одновременно до трех образцов вертикально друг на друга (в виде колонны), как показано на рисунке 3.

1 - стойка; 2 - кронштейн; 3 - конусообразный выступ; 4 - нижняя опора; 5 - индикатор; 6 - образец; 7 - репер; а - размер стороны поперечного сечения образца; Н - высота образца; L 1 - база измерений
Рисунок 1 - Схема устройства для определения деформаций усадки образцов с размерами поперечного сечения 40 x 40 мм

1 - индикатор часового типа; 2 - рамка для крепления индикаторов; 3 - качающаяся штанга; 4 - образец; 5 - металлические пластинки; L 1 - база измерения
Рисунок 2 - Схема устройства для определения деформаций усадки образцов с размерами поперечного сечения более 40 x 40 мм
4.1.4 При установке нескольких образцов в колонну соосность передачи нагрузки обеспечивается через металлические шарики, устанавливаемые в специальные центрированные выточки в стальных пластинах в соответствии с 4.1.7. Для предотвращения потери устойчивости колонны необходимо использовать дополнительные страховочные устройства от выстреливания шарика. Схема такого устройства приведена на рисунке 3 (справа). Страховочные устройства не должны препятствовать свободному деформированию образцов.

1 - динамометр; 2 - гидравлический домкрат; 3 - стойка (стержень с резьбой); 4 - стальной шар; 5 - стальная пластина, приклеиваемая к образцу; 6 - бетонные образцы; 7 - пружины; 8 - стальная опорная плита; 9 - гайки; 10 - стальные страховочные элементы; L 1 - база измерения
Рисунок 3 - Схема устройства установки для определения деформаций ползучести при испытании нескольких образцов в колонне
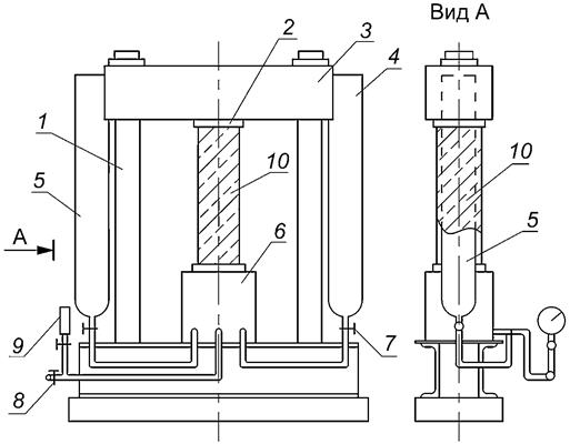
4.1.5 Принципиальная схема устройства пружинной установки на три образца приведена на рисунке 3 (слева). Схемы пневмогидравлических, пружинно-гидравлических установок и схема пружинной установки на один образец, а также порядок установки в них образцов принимают в соответствии с приложением А. Схема рычажного устройства для определения ползучести при нагреве приведена на рисунке Д.2 (приложение Д).
4.1.6 Для измерения деформаций следует использовать измерительные приборы и приспособления для их крепления, применяемые для определения призменной прочности, модуля упругости и коэффициента Пуассона по ГОСТ 24452 (на рисунке 2 показано оборудование для измерения продольных деформаций; при определении поперечных деформаций устанавливаются дополнительные рамки и индикаторы). Допускается использовать другое поверенное измерительное оборудование - стационарно смонтированное (тензодатчики) или съемное (точки для снятия показаний при использовании такого оборудования показаны на рисунке 3 слева), позволяющее определять деформации ползучести с необходимой точностью и достоверностью.
4.1.7 При определении деформаций ползучести сжимающее усилие на образец следует передавать через металлические прокладки толщиной 35-37 мм, размеры которых в плане должны быть не менее размеров поперечного сечения образца. Твердость прокладок и шероховатость их рабочих поверхностей должны удовлетворять требованиям ГОСТ 10180.
4.1.8 Для определения линейных размеров, массы образцов и плотности бетона следует применять средства измерений и оборудование по ГОСТ 10180 и ГОСТ 12730.1, а для определения влажности бетона - по ГОСТ 12730.2.
4.1.9 Насыщение образцов водой или нефтепродуктами следует производить с применением оборудования по ГОСТ 24452.
4.1.10 Для измерения температуры и определения влажности окружающей среды в процессе испытаний следует применять термометры (термографы) и психрометры (гигрографы).
4.1.11 Для гидроизоляции образцов рекомендуется применять полиэтиленовую пленку с липким слоем по ГОСТ 10354 и парафин по ГОСТ 23683.
4.2.1 Испытания проводят на образцах, специально изготовленных из бетонной смеси. Допускается испытывать на ползучесть и усадку образцы, отобранные из элементов конструкций, к которым не была приложена нагрузка, при этом необходимо сделать соответствующую пометку в журнале испытаний.
В случае если испытания будут проводиться на образцах, отобранных из конструкций, находящихся под нагрузкой, результаты испытаний необходимо скорректировать с учетом истории нагружения.
4.2.2 Определение деформаций усадки и ползучести должно проводиться на образцах-призмах, не изолированных от влагообмена с окружающей средой. Гидроизоляция образцов допускается при специально заданных условиях испытания. Размеры образцов-призм следует принимать 70 x 70 x 280, 100 х 100 х 400, 150 х 150 х 600, 200 x 200 x 800 мм. В качестве базового образца следует принимать призму размерами 150 x 150 x 600 мм. Переходные коэффициенты приведены в таблице 1 (см. 4.5.8).
Для определения деформаций усадки ячеистого бетона допускается применять образцы-призмы размерами 40 x 40 x 160 мм.
4.2.3 Размеры образцов для определения деформаций усадки и ползучести выбирают в зависимости от наибольшей крупности заполнителя в бетоне в соответствии с требованиями ГОСТ 10180.
4.2.4 Образцы изготавливают отдельными сериями.
Деформации ползучести определяют одновременно с деформациями усадки, при этом перед испытаниями определяют кубиковую прочность бетона на сжатие по ГОСТ 10180 и призменную прочность, модуль упругости и коэффициент Пуассона по ГОСТ 24452.
Каждая серия должна состоять из девяти образцов-призм, из которых три образца - для определения призменной прочности, три образца - для определения деформаций усадки и три образца - для определения деформаций ползучести, а также трех образцов-кубов с ребрами, размеры которых соответствуют размеру рабочего (поперечного) сечения призмы.
4.2.5 Изготовление и хранение образцов до распалубки должно соответствовать требованиям ГОСТ 10180.
4.2.6 После распалубки все образцы одной серии (включая образцы-кубы) должны храниться вплоть до начала испытаний в одинаковых, как правило, нормальных температурно-влажностных условиях, исключающих возможность испарения влаги из бетона, согласно ГОСТ 10180.
4.2.7 Образцы из ячеистого бетона, изготовленные в соответствии с требованиями ГОСТ 10180, перед испытанием на усадку и ползучесть должны быть погружены в воду и храниться в ней в течение трех суток в горизонтальном положении.
4.3.1 Подготовку образцов к испытаниям следует начинать с их внешнего осмотра и определения линейных размеров, допускаемые отклонения которых от номинальных размеров должны удовлетворять требованиям ГОСТ 10180.
4.3.2 Торцевые поверхности всех образцов, предназначенных для определения деформаций усадки, должны быть закрыты металлическими пластинами толщиной 4-5 мм, наклеиваемыми с помощью быстрополимеризующихся клеев в соответствии со схемой, приведенной на рисунке 2.
К торцевым поверхностям образцов размерами 40 x 40 x 160 мм, подвергаемых испытанию на усадку, приклеивают реперы в соответствии со схемой, показанной на рисунке 1. Реперы изготавливают из инвара или сплава с аналогичными свойствами. Диаметр основания репера должен быть не более 20 мм, а высота не более 15 мм.
Образцы для определения деформаций ползучести подготавливают в соответствии с 4.1.7.
4.3.3 На боковых поверхностях образцов размечают базу измерения продольных деформаций, устанавливают крепежные приспособления и измерительные приборы в соответствии с требованиями ГОСТ 24452 и 4.1.6. Схема установки индикаторов часового типа приведена на рисунке 2, при необходимости для измерений поперечных деформаций устанавливают дополнительные рамки и измерительные приборы согласно ГОСТ 24452.
4.3.4 Для предотвращения испарения влаги или летучих фракций нефтепродуктов из образцов, пропитанных водой или нефтепродуктами согласно 4.1.9, их боковую поверхность следует гидроизолировать внахлест двумя слоями полиэтиленовой пленки с липким слоем по ГОСТ 10354 с последующим нанесением на нее расплавленного парафина слоем 2-3 мм по ГОСТ 23683. Допускается применение других гидроизоляционных материалов, исключающих влагообмен между образцом и окружающей средой. Гидроизоляцию торцевых поверхностей образцов производят в соответствии с 4.1.7 и 4.3.2.
4.3.5 Не более чем за сутки до испытания образцов на ползучесть следует определить плотность бетона этих образцов по ГОСТ 12730.1, а также влажность бетона по ГОСТ 12730.2 (допускается на образцах, предварительно испытанных при определении призменной прочности).
4.3.6 Результаты измерений согласно 4.3.1-4.3.5 заносят в титульный лист журнала испытаний при определении деформаций усадки и ползучести по форме в соответствии с приложением Б.
4.4.1 Испытания для определения деформаций усадки и ползучести следует проводить в помещении или в климатической камере, в которых постоянно поддерживается температура (20 ± 2) °С и относительная влажность воздуха (60 ± 5) %. Попадание прямых солнечных лучей на образцы не допускается.
4.4.2 Измерение деформаций только усадки следует начинать не позже чем через 4 ч после распалубливания образцов, а образцов из ячеистого бетона - после насыщения водой в соответствии с 4.2.7.
Для измерения деформаций усадки подготовленный образец следует установить в устройство для испытания в соответствии с 4.1.2 и снять начальные показания приборов. Отсчеты показаний рекомендуется производить через сутки, затем на 3, 7, 14 сут и далее раз в две недели до конца испытаний.
Одновременно с измерением деформаций усадки рекомендуется определять влагопотери путем периодического взвешивания образцов (выполнять на отдельных образцах).
4.4.3 При определении только деформаций усадки продолжительность испытания должна быть не менее 120 суток. В случае, если три последовательных измерения показывают приращения деформаций, не превышающие погрешность измерительных приборов, испытания могут быть прекращены до указанного срока, о чем делается соответствующая запись в журнале испытаний.
4.4.4 Загружение образцов и измерение деформаций ползучести следует осуществлять, как правило, в возрасте бетона 28 сут. При необходимости проведения испытания в любом другом возрасте бетона вносят соответствующую запись в протокол испытания.
Напряжение в образце от внешней нагрузки должно составлять 0,3 ± 0,005 призменной прочности бетона, установленной перед началом испытаний согласно 4.2.4. При необходимости приложения внешней нагрузки другой величины должны быть сделаны соответствующие записи в протоколах испытаний.
Проверку работы приборов и загружение образца до указанного уровня напряжения следует проводить в соответствии с требованиями ГОСТ 24452.
4.4.5 Отсчет показаний приборов на нагруженных образцах для определения деформаций ползучести следует производить непосредственно после загружения (начальный отсчет) и затем через 1 ч. Последующее снятие отсчетов рекомендуется производить через 1, 3, 7, 14 сут, последующие 6 недель - еженедельно, затем в течение 10 недель - один раз в 2 недели, и далее до конца испытаний - один раз в 4 недели.
Одновременно с определением деформаций ползучести следует проводить определение деформаций усадки на незагруженных образцах с той же периодичностью и продолжительностью. При этом начальный отсчет деформаций усадки следует производить непосредственно после загружения образцов на ползучесть.
Продолжительность испытания при определении деформаций ползучести должна быть не менее 180 сут.
4.4.6 Результаты измерений должны быть занесены в журнал испытаний, титульный лист и форма которого принимаются в соответствии с приложениями Б и В. При необходимости определения поперечных деформаций усадки и ползучести в журнал испытаний вносят дополнительные графы.
4.5.1 По результатам испытаний вычисляют средние значения абсолютных деформаций ΔI 1(t), мм, для каждого загруженного и незагруженного образца как среднеарифметическое приращений (по отношению к начальному отсчету) показаний приборов по четырем граням соответствующего образца.
По средним абсолютным значениям деформаций вычисляют относительные значения деформаций ε1(t) после полной загрузки образца по формуле
,
(1)
где I1 - база измерения деформаций, мм.
4.5.2 Относительные деформации незагруженных образцов принимают в качестве деформаций усадки εyc(t).
4.5.3 Относительные деформации ползучести каждого образца ε1п(t) вычисляют по формуле, состоящей из двух слагаемых: ε1 (t) - εyc(t) - учет деформаций ползучести во времени, а ε1 - ε1y - учет быстронатекающей ползучести во время нагружения:
ε1п(t) = ε1 – ε1y+ ε1(t) – εyc(t),
(2)
где ε1 - средние значения полных деформаций, определяемых в процессе ступенчатого загружения согласно ГОСТ 24452;
ε1y - средние значения упругих деформаций, определяемых в процессе ступенчатого загружения согласно ГОСТ 24452.
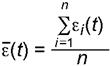
4.5.4 По результатам определения относительных значений деформаций усадки и ползучести отдельных образцов вычисляют средние значения относительных деформаций усадки или ползучести для серии образцов по формуле
,
(3)
где εi(t) - среднее значение относительных деформаций усадки или ползучести для каждого образца данной серии;
n - число образцов в серии.
4.5.5 По средним значениям относительных деформаций усадки и ползучести, вычисленным по формуле (3), строят диаграммы в координатах "относительные деформации усадки (или ползучести) - продолжительность (время) испытаний, сут" и прикладывают их к журналу испытаний, а также определяют предельные (условно предельные) значения этих деформаций.
4.5.6 Предельное значение деформаций усадки εyc(∞) или ползучести ε1п(∞) определяют построением диаграммы. Для этого вычисляют значения приращений по формулам:
,
(4)
,
(5)
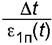
где Δt - продолжительность проведения испытаний с момента его начала (снятия начального отсчета), сут.
На диаграмме по оси ординат откладывают значения, вычисленные по формулам (4) и (5), а по оси абсцисс значения Δt, начиная с момента времени Δt, равного 30 сут для усадки и 50 сут для ползучести. По полученным точкам графически, аналитически или с помощью специализированных компьютерных программ строят прямую регрессии, котангенс угла которой принимают за предельное значение деформаций усадки εyc(∞) или ползучести ε1п(∞), а отрезок, отсекаемый этой прямой на продолжении оси абсцисс, за параметр скорости нарастания деформаций αyc или αп.
Методика аналитического определения параметров εп(∞) и αп приведена в приложении Г. Параметры εyc(∞) и αyc определяют аналогичным способом.
4.5.7 Полученные согласно 4.5.6 значения деформаций используют, при необходимости, для вычисления относительных деформаций усадки и ползучести для моментов времени, превышающих общую продолжительность испытаний. Для этого используют формулы:
,
(6)
.
(7)
4.5.8 При проведении испытаний на образцах, отличных от базовых в соответствии с 4.1.2, предельные значения деформаций усадки и ползучести, определенные согласно 4.5.6, следует умножать на коэффициенты K 1 и K 2, приведенные в таблице 1.
Таблица 1
|
Размер ребра поперечного сечения образца, см |
Переходные коэффициенты при определении | |
|
усадки K 1 |
ползучести K 2 | |
|
7 |
0,90 |
0,83 |
|
10 |
0,95 |
0,90 |
|
15 |
1,0 |
1,0 |
|
20 |
1,05 |
1,10 |
Коэффициенты, указанные в таблице 1, применимы для тяжелых и мелкозернистых бетонов класса по прочности на сжатие не выше В60, а также бетонов на пористых заполнителях, приготовленных на цементных вяжущих.
Значения переходных коэффициентов для высокопрочных, ячеистых и силикатных бетонов должны быть установлены экспериментально.
5.1 При проведении испытаний должны соблюдаются требования по безопасности труда в соответствии с [1].
5.2 При работе на пневмогидравлических устройствах должны соблюдаться требования, приведенные в [2].
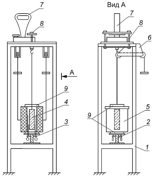
Приложение А
(обязательное)
А.1 Пневмогидравлическое устройство, схема которого приведена на рисунке А.1, включает следующие основные узлы: плоскую раму, гидравлический домкрат с манометром и два баллона с инертным газом, в которых создают избыточное и расчетное давление.

1 - стойка; 2 - верхняя опорная плита; 3 - траверса; 4 - баллон с инертным газом (с избыточным давлением по отношению к расчетному); 5 - баллон с инертным газом при расчетном давлении; 6 - гидравлический домкрат с шарнирной опорной плитой; 7 - вентиль баллона; 8 - входной вентиль; 9 - манометр образцовый; 10 - испытуемый образец
Рисунок А.1 - Схема пневмогидравлического устройства
А.2 Схема пружинно-гидравлического устройства приведена на рисунке А.2. Она состоит из пространственной рамы, гидравлического мембранного домкрата в верхней ее части, пакета тарельчатых пружин в нижней части и регулировочных винтов. Контроль передаваемого на образец усилия осуществляют с помощью образцового манометра гидравлического домкрата.
А.3 Пружинное устройство, схема которого приведена на рисунке А.3, состоит из стоек, верхней траверсы и постамента, образующих жесткую замкнутую раму. Средняя и нижняя подвижные траверсы служат для передачи усилия, установочный винт фиксирует образец до начала его загружения. С помощью домкрата создают сжатие спиральной пружины и заданное усилие в испытуемом образце, после чего положение нижней траверсы фиксируют гайками, а домкрат освобождают и переносят на следующую установку. Требуемое усилие, передаваемое на образец, обеспечивается выбором количества пружин и гидравлического домкрата соответствующей мощности.

1 - образцовый манометр; 2 - гидравлический домкрат плунжерного типа с гибкой диафрагмой; 3 - поршень домкрата; 4 - стойки; 5 - опорная плита, 6 - регулирующие винты; 7 - тарельчатые пружины, 8 - испытуемый образец
Рисунок А.2 - Схема пружинно-гидравлического устройства

1 - стойки; 2 - верхняя траверса; 3 - средняя траверса; 4 - нижняя траверса; 5 - гайки; 6 - гидравлический домкрат; 7 - постамент; 8 - спиральная пружина; 9 - бетонный образец; 10 - установочный винт
Рисунок А.3 - Схема пружинного устройства (на один образец)
Приложение Б
(обязательное)
Титульный лист журнала
испытаний при определении деформаций усадки и ползучести
Вид испытаний ______________________________________________________
Характеристика испытательного устройства ___________________________
Цена деления измерительного устройства __________________________ мм
Условия последовательности действия температуры и нагрузки _________
Температура нагрева _____________________________________________ °С
Характеристика образца и бетона
Шифр образца _______________________________________________________
Размеры образца _________________________________________________ мм
База измерения деформаций _______________________________________ мм
Дата начала испытаний ______________________________________________
Возраст бетона к началу испытаний ______________________________ сут
Масса образца:
к началу испытаний ______________________________________________ кг
к концу испытаний _______________________________________________ кг
Масса высушенного образца _______________________________________ кг
Плотность (объемная масса) бетона ____________________________ кг/м 3
Прочность бетона:
кубиковая ____________________________________________ МПа (кгс/см 2)
призменная ___________________________________________ МПа (кгс/см 2)
Напряжение в сечении образца _________________________ МПа (кгс/см 2)
Упругие деформации к моменту
окончания нагружения _________________ 10 5 _________________________
Характеристика бетонной смеси
Состав бетонной смеси по массе _____________________________________
Вид добавки ________________________________________________________
Количество добавки _________________________________________________
Подвижность (жесткость) бетонной смеси по ГОСТ 10181 _______________
__________________________________________________________________ см (с)
Коэффициент уплотнения бетонной смеси, % ___________________________
Воздухосодержание бетонной смеси, % об. ____________________________
Характеристика вяжущего
Вид и марка цемента по ГОСТ 310.4, ГОСТ 31108 ______________________
Тонкость помола цемента по ГОСТ 310.2 ______________________________
Химико-минералогический состав цемента, включающий содержание
щелочей по ГОСТ 5382 _______________________________________________
Характеристика заполнителей
Наименование и вид породы крупного заполнителя _____________________
Зерновой состав крупного заполнителя по ГОСТ 8269.0 ________________
_________________________________________________________________________
Модуль крупности песка по ГОСТ 8735 ________________________________
Водопоглощение (для пористых заполнителей) по ГОСТ 9758 ____________
_________________________________________________________________________
Приложение В
(обязательное)
Форма журнала испытаний
Серия N ___ Начало испытаний "__" _________ 20__ г.
Окончание испытаний "__" ______ 20__ г.
|
Дата снятия отчета, мин |
Продолжительность испытаний, сут |
Температура воздуха t, °С |
Относительная влажность воздуха, % |
Приращение приборов абсолютных и относительных деформаций |
Среднее приращение относительных деформаций в серии образцов Δε̅1·105 |
Средняя относительная деформация в серии образцов ε̅1(t)·105 |
Средняя относительная деформация в серии ненагруженных образцов ε̅ус(t)·105 |
Относительные деформации ползучести в серии образцов ε̅1п(t)·105 | ||||||||||||
|
Сухой термометр |
Влажный термометр |
Устройство N ______ Образец N _______ |
Устройство N ______ Образец N _______ |
Устройство N ______ Образец N _______ | ||||||||||||||||
|
1 |
2 |
3 |
4 |
ΔI 1, мм |
Δε1·105 | |||||||||||||||
|
Отсчет |
Приращение |
Отсчет |
Приращение |
Отсчет |
Приращение |
Отсчет |
Приращение | |||||||||||||
|
1 |
2 |
3 |
4 |
5 |
6 |
7 |
8 |
9 |
10 |
11 |
12 |
13 |
14 |
15 |
16-25 |
26-35 |
36 |
37 |
38 |
39 |
Руководитель __________________ Исполнитель ____________________
Примечания
1 Приведенная форма журнала используется при испытаниях, загруженных
и незагруженных образцов. Графы 38 и 39 используются только для
загруженных образцов.
2 Графы 16-25 и 26-35 заполняются по аналогии с графами 6-15.
Приложение Г
(рекомендуемое)
В результате испытаний базовых образцов вычислены средние значения относительных деформаций ползучести бетона, которые представлены в таблице Г.1.
Таблица Г.1
|
Продолжительность наблюдения, сут |
50 |
60 |
75 |
100 |
125 |
150 |
175 |
180 |
|
Относительная деформация ползучести, ε1п(t)·105 |
81,5 |
89 |
98,5 |
112 |
124 |
134 |
141 |
145 |
Для вычисления условно предельного значения относительных деформаций ползучести следует построить линию регрессии в координатах
, имеющую вид:
.
(Г.1)
С этой целью вводят обозначения:
; Xi = Δt.
По результатам, приведенным в таблице Г.1, вычисляют значение
, записывают в таблице Г.2 и наносят на координатную сетку, как это показано на рисунке Г.1.
Таблица Г.2
|
X i = Δt, сут |
50 |
60 |
75 |
100 |
125 |
150 |
175 |
180 |
|
Y i = |
0,614 |
0,674 |
0,761 |
0,889 |
1,008 |
1,119 |
1,241 |
1,241 |
По данным таблицы Г.2 вычисляют средние значения Х i, Y i и их дисперсии S12, S22:
;
корреляционный момент m 1,2 и коэффициент корреляции r:
;
где n - число точек измерения.
В результате подстановки в эти формулы значений из таблицы Г.2 получено:
Y̅ = 0,943·105 сут; X̅ = 114,4 сут; S12 = 2603,1 сут2; S1 = 51,01 сут;
S22 = 0,0613·(105 сут)2; S2 = 0,2476·105 сут; m1,2 = 12,614·105 сут;
коэффициент корреляции:
.
Численные значения коэффициентов А и B в уравнении регрессии определяют по формулам:
A = Y̅ - BX̅;
;
после подстановки получают:
B = 485; A = 0,389·105 сут.
Уравнение регрессии имеет вид:
сут.
Значение котангенса угла наклона прямой согласно 4.5.6 дает предельное значение относительной деформации ползучести по средним точкам измерения.
.
Значение коэффициента αп согласно 4.5.6 определяют из уравнения регрессии (Г.1), приравнивая значения
к нулю,
сут.
Результаты вычислений приведены на рисунке Г.1.
Таким образом, условно предельные значения относительных деформаций ползучести бетона равны
ε1п(∞) = 206,2·10-5.
Вычисление значений относительных деформаций ползучести на различные сроки выдерживания под нагрузкой проводят в соответствии с 4.5.7.

Рисунок Г.1 - Линия регрессии при определении предельных значений относительных деформаций ползучести
Приложение Д
(рекомендуемое)
Д.1 Изготовление и хранение образцов
Д.1.1 Испытания проводят на образцах, специально изготовленных из бетонной смеси. Допускается испытывать на ползучесть и усадку образцы, отобранные из элементов конструкций, к которым не была приложена нагрузка, при этом необходимо сделать соответствующую пометку в журнале испытаний.
В случае, если испытания будут проводиться на образцах, отобранных из конструкций, находящихся под нагрузкой, результаты испытаний необходимо скорректировать с учетом истории нагружения.
Д.1.2 При определении деформаций температурной усадки бетона для каждой температуры нагрева серия должна состоять из шести образцов, из которых три образца подвергают кратковременному нагреву и три образца - длительному нагреву.
При определении деформаций ползучести бетона для каждой температуры нагрева серия должна состоять из девяти образцов, из которых три образца нагружают перед нагревом или после нагрева в зависимости от условий испытаний, три образца подвергают длительному нагреву без нагрузки и на трех образцах определяют призменную прочность при температуре нагрева.
Д.2 Испытательные стенды, измерительное оборудование и материалы
Д.2.1 При проведении испытаний для определения деформаций температурной усадки применяют испытательное устройство, схема которого приведена на рисунке Д.1, для определения деформаций ползучести при действии повышенных и высоких температур - испытательное устройство, принципиальная схема которого приведена на рисунке Д.2.

1 - металлическая рама; 2 - опорный столик; 3 - выносные штанги; 4 - испытуемый образец; 5 - нагревательное устройство; 6 - система блоков для подъема нагревательного устройства; 7 - весы; 8 - приспособление для подъема и взвешивания образца; 9 - теплоизоляция
Рисунок Д.1 - Схема испытательного устройства для определения деформаций температурной усадки

1 - металлическая рама; 2 - неравноплечий рычаг; 3 - опорный столик; 4 - испытуемый образец; 5 - нагревательное устройство; 6 - приспособление для подъема нагревательного устройства; 7 - силовая балка; 8 - металлические оголовники; 9 - страховочная стойка; 10 - подвеска с грузами; 11 - страховочная опора
Рисунок Д.2 - Схема испытательного устройства для определения деформаций ползучести при нагреве
Д.2.2 Устройство для испытания бетона на температурную усадку при нагреве должно обеспечивать нагрев образца до требуемой температуры, измерение температуры, деформаций бетона и массы испытуемого образца в нагретом состоянии.
При испытании бетона на температурную усадку в верхнем торце образца просверливают два отверстия на глубину 10-15 мм для установки болтов, за которые подвешивают образец.
Д.2.3 Испытательное устройство для определения ползучести при нагреве должно обеспечивать нагружение и нагрев образца до требуемой температуры, измерение температуры и деформаций бетона в нагретом состоянии.
Основным рабочим органом рычажного испытательного устройства, приведенного на рисунке Д.2, является неравноплечий рычаг, имеющий такое очертание, при котором опора реверсивного устройства, промежуточная опора и опора грузовой подвески располагаются на одной прямой линии. Все указанные опоры должны быть шарнирными.
Конструкция рычага должна обладать повышенной жесткостью и обеспечивать неизменность соотношения его плеч при максимальной нагрузке на грузовой подвеске. Соотношение плеч рычага L 2/L 1 рекомендуется принимать в пределах 1/10-1/15. Длина короткого плеча рычага L 2 должна быть не более 25 см.
Рычажное устройство должно обеспечивать возможность контроля нагрузки, действующей на образец.
Усилие от массы рычага в нерабочем положении испытательного устройства должно восприниматься телескопической страховочной стойкой. Расстояние между низом грузовой подвески и страховочной опорой не должно превышать 4 см.
Д.2.4 Выносные удлинители должны строго фиксировать базу измерения деформаций и обеспечивать измерение деформаций бетона в нагретом состоянии с наименьшим температурным изменением их длины. Для этих целей удлинители изготавливают из штапиков кварцевого стекла диаметром 5-10 мм.
При нагреве до 200 °С допускается изготавливать удлинители из железоникелевого сплава 36Н по ГОСТ 5632, диаметром 4-6 мм.
Д.3 Подготовка к испытаниям
Д.3.1 Подготовку образцов для измерения деформаций усадки и ползучести при нагреве производят по ГОСТ 24452.
Д.3.2 На каждом удлинителе устанавливают термопару.
Д.4 Проведение испытаний
Д.4.1 Нагревание образца производят в возрасте 28 сут, если заданием на испытания не установлен другой срок. Скорость подъема температуры в нагревательном устройстве принимается по таблице Д.1.
Таблица Д.1
|
Скорость подъема температуры в печи, °С/ч |
50 |
100 |
150 |
200 |
|
Максимальная температура нагрева образцов, °С |
200 |
400 |
600 |
1000 |
Д.4.2 Для определения температурной усадки бетона при кратковременном нагреве образец выдерживают при требуемой температуре 1 ч и потом охлаждают его вместе с печью до температуры воздуха в помещении. Затем образец таким же образом нагревают второй и третий раз.
Для определения температурной усадки бетона при длительном нагреве образец выдерживают при требуемой температуре не менее 20 сут. Затем образец охлаждают вместе с печью до температуры помещения и потом подвергают его кратковременному нагреву второй и третий раз.
Д.4.3 Определение деформации ползучести в зависимости от задания на испытания производят для двух условий работы конструкции:
1-е условие работы - образец сначала нагружают до заданного уровня напряжения и затем нагревают до требуемой температуры;
2-е условие работы - образец сначала нагревают до требуемой температуры и затем нагружают до заданного уровня напряжения.
Д.4.4 При определении деформаций ползучести бетона по первому условию работы конструкции приращение относительной продольной деформации ползучести, натекающей после выдержки на последней ступени нагрузки за время подъема температуры до требуемого значения, принимают за относительную продольную деформацию быстро натекающей ползучести для требуемой температуры, а модуль упругости бетона при требуемой температуре нагрева определяют по ГОСТ 24452.
Д.4.5 При определении деформаций ползучести бетона по второму условию работы конструкции быстро натекающие деформации ползучести и модуль упругости бетона определяют по ГОСТ 24452.
Д.4.6 Для определения деформаций ползучести бетона образец выдерживают при требуемой температуре не менее 60 сут, пока деформации не прекратятся или будут развиваться с постоянной скоростью.
Д.4.7 Измерение температуры, деформаций и влажности бетона производят:
- при подъеме температуры - каждый час;
- при нагреве первые 5 сут - ежесуточно;
- при нагреве в течение последних 15 сут - через сутки;
- при более длительном нагреве - еженедельно;
- при остывании - каждый час.
Д.5 Обработка результатов
Д.5.1 Относительную деформацию ползучести бетона при нагреве ε1п(t) вычисляют по формуле
ε1п(t) = ε1(t) - ε1y ± ε1t,
(Д.1)
где ε1(t) - полная относительная деформация, измеряемая при ступенчатом и длительном загружении и нагреве при включенной электропечи;
ε1y - относительная упругая деформация, измеренная при ступенчатом нагружении до заданного уровня напряжения и вычисленная согласно ГОСТ 24452;
ε1t - относительная деформация, измеренная при включенной электропечи ненагруженного образца-близнеца при нагреве по режиму, принятому для определения ε1(t).
Деформации ε1(t) и ε1t в формуле (Д.1) должны приниматься для одной и той же средней температуры бетона, полученной по показаниям термопар, установленных в центре образца и на его поверхностях.
Д.5.2 Относительную температурную деформацию бетона εt вычисляют по формуле
εt = ε1t – εв,
(А.2)
где εв - относительная температурная деформация выносных удлинителей при нагреве от начальной температуры t 1 до требуемой температуры t 2, которую вычисляют по формуле
εв = αв2t2 - αв1t1,
(Д.3)
где αв1, αв2 - коэффициенты линейного температурного расширения удлинителей соответственно при начальной температуре t 1 и требуемой температуре t 2; температуру t 2 для удлинителей из кварцевого стекла принимают равной температуре рабочего пространства печи и для инвара - равной температуре удлинителей.
Коэффициент линейного температурного расширения для кварцевого стекла принимают равным 0,48·10-6 °С -1 при температурах нагрева до 1000 °С.
Коэффициенты линейного температурного расширения железоникелевого сплава 36Н принимают равными: при 20 °С – 1,2·10-6 °С -1, при 100 °С - 1,9·10-6 °С -1 и при 200 °С - 5·10-6 °С -1. Для промежуточных температур значения коэффициента линейного температурного расширения инвара принимают по интерполяции.
Д.5.3 Результаты определения деформаций температурной усадки при кратковременном или длительном нагреве оформляют в виде диаграммы, на которой по оси абсцисс откладывают температуру, а по оси ординат - значение температурной деформации при первом, втором и третьем нагревах и охлаждении. При первом нагреве вычисляют температурную деформацию бетона εt, при втором и третьем нагревах - деформацию температурного расширения бетона εpt. Разность деформаций температурного расширения εpt и температурной деформации εt представляет деформацию температурной усадки εyc1 при кратковременном или длительном нагреве.
Д.5.4 Результаты определения ползучести бетона при нагреве оформляют согласно 4.5.3 для каждой требуемой температуры нагрева.
Приложение Е
(рекомендуемое)
Е.1 Изготовление и хранение образцов
Е.1.1 Для проведения испытаний используют образцы балки, изготовленные из тяжелого бетона (без арматуры) с максимальной крупностью заполнителя не более 20 мм.
Е.1.2 Образцы изготавливают сериями. В каждой серии должно быть по шесть образцов балок (три испытывают кратковременной нагрузкой до разрушения и три устанавливают на длительные испытания), три образца-призмы испытывают кратковременной нагрузкой для определения модуля упругости и коэффициента Пуассона в соответствии с ГОСТ 24452, а также три образца-куба для определения кубиковой прочности бетона. Дополнительные образцы для испытаний на усадку не требуются.
Е.1.3 Рекомендуемые размеры образцов балок 70(h) х 100 х 1100 мм, с рабочим пролетом 1000 мм. Размеры образцов-призм принимают в соответствии с ГОСТ 24452.
Е.1.4 Образцы изготавливают в инвентарной опалубке или из ламинированной фанеры, изготовленной самостоятельно в лабораторных условиях. Заливку образцов производят на ребре (h = 70). Испытания проводят при установке образцов плашмя (h = 100).
Е.1.5 Изготовление и хранение образцов до распалубки и выдерживание до испытаний должны проводиться в соответствии с 4.2.5, 4.2.6.
Е.2 Испытательные стенды, измерительное оборудование и материалы
Е.2.1 Принципиальная схема установки для проведения испытания приведена на рисунке Е.1. Для экономии места допускается испытывать образцы в жестких стеллажах в несколько ярусов.
Е.2.2 Нагружение до расчетных значений следует производить мелким грузом (дробью).
Е.2.3 В качестве измерительного оборудования используют индикаторы часового типа с ценой деления 0,01-0,001 в зависимости от величины предполагаемых прогибов.
Е.3 Подготовка к испытаниям
Е.3.1 Подготовка образцов к испытаниям осуществляется в соответствии с 4.3.1.
Е.3.2 Верхнюю и нижнюю поверхности образцов (боковые поверхности при заливке) размечают для определения точек приложения нагрузки, опорных точек и точек размещения индикаторов.
Е.3.3 После установки балок на опоры в рабочее положение (плашмя) в средней части пролета устанавливается временная опора в виде деревянного бруска, чтобы исключить деформации быстронатекающей ползучести от собственного веса балки во время монтажа измерительного оборудования.

1 - индикаторы; 2 - металлические стойки рамы; 3 - металлическая опорная балка для установки образца; 4 - бетонный образец; 5 - металлическая корзина для груза; 6 - шарнирная опора; 7 - поперечный элемент стальной рамы; 8 - страховочные бруски
Рисунок Е.1 - Принципиальная схема установки для испытания на ползучесть при изгибе
Е.4 Проведение испытаний
Е.4.1 Помещение для проведения испытаний должно удовлетворять требованиям 4.4.1.
Е.4.2 Бетонный образец устанавливают на шарнирные опоры, расположенные на жестком основании; в третях пролета загружают гравитационной нагрузкой (например, дробь в подвешенных корзинах в соответствии с рисунком Е.1). Измеряют прогиб только в середине пролета и на опорах, чтобы исключить влияние просадки опор. При этом должны быть обеспечены страховочные мероприятия (использование деревянных брусков, предотвращающих падение разрушенных образцов).
Е.4.3 Рекомендуемая нагрузка для проведения испытаний составляет 0,3 ± 0,005 от разрушающей, установленной перед началом испытаний согласно Е.1.2.
Е.4.4 Измерение деформаций ползучести начинают непосредственно после установки и загрузки образца. Отсчеты показаний приборов следует снимать в соответствии с 4.4.5. Результаты измерений должны быть занесены в журнал испытаний.
Е.5 Обработка результатов
Е.5.1 Относительные деформации крайних волокон балки пересчитывают по формулам сопротивления материалов как для упругого тела. Деформации образца сразу после загружения f уп будут упругими. Деформации ползучести f п измеряют после полного загружения образца, при этом все измеренные деформации после проявления упругих деформаций являются деформациями ползучести.
Е.5.2 Для двух сосредоточенных сил (дополнительная гравитационная нагрузка), размещенных на одинаковом расстоянии от опор, и для распределенной нагрузки от собственного веса значение прогиба имеет вид (Е.1) и (Е.2) соответственно. Тогда общий прогиб, который измеряют инструментально, вычисляют согласно (Е.3):
;
(Е.1)
;
(Е.2)
fP + fq = fуп,
(Е.3)
где I - пролет образца;
а - расстояние от опор до ближайших сосредоточенных сил;
Е - модуль упругости;
Р - общая нагрузка (равна двум сосредоточенным силам);
J - момент инерции сечения;
q - равномерно распределенная нагрузка от собственного веса.
Величины f P, f q и f уп определяют для начального модуля упругости, затем определяют отношение α = f P/f уп, которое будет разным в зависимости от значения дополнительной нагрузки.
Е.5.3 Модуль упругости, пониженный с учетом ползучести в любой момент времени (в который производилось определение прогибов), определяют по формуле
,
(E.4)
где fупt и fпt - измеренные значения прогиба в середине пролета, скорректированные с учетом просадки опор сразу после загружения от упругой составляющей и в любой момент времени от деформации ползучести соответственно.
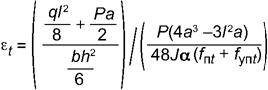
Е.5.4 Значения напряжения и относительных деформаций крайних волокон образца балки (верхнее и нижнее) в любой момент времени определяют по формулам:
,
(Е.5)
,
(E.6)
где b, h - ширина и высота поперечного сечения образца.
Библиография
|
[1] |
СНиП 12-03-2001 |
Безопасность труда в строительстве. Часть 1. Общие требования |
|
[2] |
Приказ Федеральной службы по экологическому, технологическому и атомному надзору от 25 марта 2014 г. N 116 "Об утверждении федеральных норм и правил в области промышленной безопасности "Правила промышленной безопасности опасных производственных объектов, на которых используется оборудование, работающее под избыточным давлением" | |



