ГОСТ 22483-2021 (IEC 60228:2004) ЖИЛЫ ТОКОПРОВОДЯЩИЕ ДЛЯ КАБЕЛЕЙ, ПРОВОДОВ И ШНУРОВ
Введен в действие приказом Федерального агентства по техническому регулированию и метрологии от 14 мая 2021 г. N 349-ст
Межгосударственный стандарт ГОСТ 22483-2021 (IEC 60228:2004)
"ЖИЛЫ ТОКОПРОВОДЯЩИЕ ДЛЯ КАБЕЛЕЙ, ПРОВОДОВ И ШНУРОВ"
Conductors for cables, wires and cords
МКС 29.060.01
Дата введения - 1 сентября 2021 г.
Взамен ГОСТ 22483-2012 (IEC 60228:2004)
Предисловие
Цели, основные принципы и общие правила проведения работ по межгосударственной стандартизации установлены ГОСТ 1.0 "Межгосударственная система стандартизации. Основные положения" и ГОСТ 1.2 "Межгосударственная система стандартизации. Стандарты межгосударственные, правила и рекомендации по межгосударственной стандартизации. Правила разработки, принятия, обновления и отмены"
Сведения о стандарте
1 Подготовлен Открытым акционерным обществом "Всероссийский научно-исследовательский, проектно-конструкторский и технологический институт кабельной промышленности (ОАО "ВНИИКП") на основе собственного перевода на русский язык англоязычной версии стандарта, указанного в пункте 5
2 Внесен Межгосударственным техническим комитетом по стандартизации МТК 046 "Кабельные изделия"
3 Принят Межгосударственным советом по стандартизации, метрологии и сертификации (протокол от 19 марта 2021 г. N 138-П)
За принятие проголосовали:
|
Краткое наименование страны по МК (ИСО 3166) 004-97 |
Код страны по МК (ИСО 3166) 004-97 |
Сокращенное наименование национального органа по стандартизации |
|
Армения |
AM |
ЗАО "Национальный орган по стандартизации и метрологии" Республики Армения |
|
Беларусь |
BY |
Госстандарт Республики Беларусь |
|
Киргизия |
KG |
Кыргызстандарт |
|
Россия |
RU |
Росстандарт |
|
Таджикистан |
TJ |
Таджикстандарт |
|
Узбекистан |
UZ |
Узстандарт |
4 Приказом Федерального агентства по техническому регулированию и метрологии от 14 мая 2021 г. N 349-ст межгосударственный стандарт ГОСТ 22483-2021 (IEC 60228:2004) введен в действие в качестве национального стандарта Российской Федерации с 1 сентября 2021 г.
5 Настоящий стандарт является модифицированным по отношению к международному стандарту IEC 60228:2004 "Токопроводящие жилы изолированных кабелей" ("Conductors of insulated cables", MOD) путем изменения содержания отдельных структурных элементов и внесения дополнительных положений. Дополнительные положения и измененные фразы, слова, показатели и/или их значения выделены в тексте полужирным курсивом. Разъяснение причин их внесения приведено во введении.
Международный стандарт IEC 60228:2004 разработан Техническим комитетом ТС 20 "Электрические кабели" Международной электротехнической комиссии (IEC).
Наименование настоящего стандарта изменено относительно наименования указанного международного стандарта для приведения в соответствие с ГОСТ 1.5 (подраздел 3.6)
6 Взамен ГОСТ 22483-2012 (IEC 60228:2004)
Введение
IEC 60228:2004 устанавливает требования к номинальному сечению токопроводящих жил электрических кабелей, проводов и шнуров широкого диапазона типов, включая требования к числу и диаметру проволок и значению электрического сопротивления.
IEC 60228:2004 устанавливает требования к конструкции жил только для силовых кабелей и шнуров (см. раздел 1), поэтому содержит только классы жил 1, 2, 5 и 6. В настоящее время в странах СНГ разработано большое количество кабельных изделий с жилами классов 3 и 4, поэтому настоящий стандарт дополнен этими классами и из раздела 1 исключено слово "силовых".
Требования к токопроводящим жилам электрических кабелей, проводов и шнуров в настоящем стандарте полностью соответствуют установленным в IEC 60228:2004. При этом в настоящем стандарте расширены требования IEC 60228:2004 на все группы кабельных изделий, в том числе в части применения токопроводящих жил из алюминиевого сплава для классов 4 и 5, также сохранены диапазоны сечений жил по классам; для класса 1 сохранено изготовление жил из алюминия и возможность изготовления многопроволочных жил наряду с однопроволочными.
Размеры жил, приведенные в настоящем стандарте, установлены в метрической системе. В настоящее время Канада для указания размеров и параметров жил использует американские системы AWG (American Wire Gauge) и kcmil (kilo circular mils) для больших размеров, как показано ниже. Применение в Канаде этого размерного ряда предписано национальными нормами для электроустановок. В стандартах IEC на кабельные изделия нет кабелей, проводов и шнуров с жилами в системе AWG/kcmil.
|
AWG |
kcmil | ||||||
|
Размер жилы |
Номинальное сечение жилы, мм 2 |
Размер жилы |
Номинальное сечение жилы, мм 2 |
Размер жилы |
Номинальное сечение жилы, мм 2 |
Размер жилы |
Номинальное сечение жилы, мм 2 |
|
- |
- |
- |
- |
250 |
127 |
750 |
380 |
|
- |
- |
- |
- |
300 |
152 |
800 |
405 |
|
20 |
0,519 |
4 |
21,2 |
350 |
177 |
900 |
456 |
|
18 |
0,823 |
3 |
26,7 |
400 |
203 |
1000 |
507 |
|
16 |
1,31 |
2 |
33,6 |
450 |
228 |
1200 |
608 |
|
14 |
2,08 |
1 |
42,4 |
500 |
253 |
1250 |
633 |
|
12 |
3,31 |
1/0 |
53,5 |
550 |
279 |
1500 |
760 |
|
10 |
5,26 |
2/0 |
67,4 |
600 |
304 |
1750 |
887 |
|
8 |
8,37 |
3/0 |
85,0 |
650 |
329 |
2000 |
1010 |
|
6 |
13,3 |
4/0 |
107 |
700 |
355 |
- |
- |
Настоящий стандарт распространяется на однопроволочные и многопроволочные жилы из меди, алюминия и алюминиевого сплава, предназначенные для кабельных изделий стационарной прокладки, проводов самонесущих изолированных и защищенных для воздушных линий электропередачи, а также гибкие жилы.
Настоящий стандарт устанавливает номинальные сечения до 2500 мм 2 включительно токопроводящих жил (далее - жилы) электрических кабелей, проводов и шнуров широкого диапазона типов. В настоящем стандарте приведены также требования в части числа и диаметра проволок и значений электрического сопротивления.
Настоящий стандарт не распространяется на жилы кабелей связи, радиочастотных кабелей, неизолированных и обмоточных проводов.
Применение настоящего стандарта для специальных типов кабелей и проводов (на рабочую температуру 120 °С и выше, особо гибкие, малоиндуктивные, импульсные, зажигания, грузонесущие, геофизические, судовые герметизированные, сигнализации и блокировки и др. узкоцелевого назначения) устанавливают в стандартах или технических условиях на эти типы кабелей и проводов.
Если не указано иное в особом пункте договора, настоящий стандарт распространяется на жилы готовых кабельных изделий, а не на отдельные жилы или жилы, поставляемые по кооперации для изготовления кабельных изделий.
В настоящий стандарт включены справочные приложения, в которых приведена дополнительная информация в части поправочных температурных коэффициентов, используемых при измерении электрического сопротивления (см. приложение В), и предельных размеров круглых жил (см. приложение С).
В настоящем стандарте применены следующие термины с соответствующими определениями:
2.1 металлическое покрытие (metal-coated): Поверхностный слой соответствующего металла, такого как олово или сплав на основе олова.
2.2 номинальное сечение (nominal cross-sectional area): Значение, идентифицирующее определенный размер жилы, но не подлежащее проверке непосредственным измерением.
2.3 проволока: Металлический элемент кабельного изделия постоянного сечения, изготовленный волочением.
Примечание - Для каждого конкретного размера жилы установлено требование по максимальному значению электрического сопротивления. Фактическое сечение жил может отличаться от номинального при соответствии электрического сопротивления требованиям настоящего стандарта.
Жилы подразделяют на шесть классов (1-6):
- класс 1 - однопроволочные и многопроволочные (для больших сечений) жилы;
- класс 2 - многопроволочные жилы;
- класс 3 - многопроволочные гибкие жилы с гибкостью более, чем гибкость жил класса 2;
- класс 4 - многопроволочные гибкие жилы с гибкостью более, чем гибкость жил класса 3;
- класс 5 - гибкие жилы;
- класс 6 - гибкие жилы с гибкостью более, чем гибкость жил класса 5.
Жилы классов 1 и 2 предназначены для кабельных изделий стационарной прокладки. Жилы классов 3, 4, 5 и 6 предназначены для гибких кабельных изделий, но их допускается также использовать для кабельных изделий стационарной прокладки.
4.1 Введение
Жилы должны состоять из одного из следующих материалов:
- отожженной меди с металлическим покрытием или без него;
- алюминия или алюминиевого сплава.
4.2 Однопроволочные алюминиевые жилы
Однопроволочные круглые и фасонные алюминиевые жилы должны быть изготовлены из алюминия, который обеспечивает прочность при разрыве готовой жилы в пределах, указанных в таблице 1.
|
Номинальное сечение, мм 2 |
Прочность при разрыве, Н/мм 2 |
|
10 и 16 |
110-165 |
|
25 и 35 |
60-130 |
|
50 |
60-110 |
|
70 и более |
60-90 |
|
Примечание - Приведенные значения не распространяются на жилы из алюминиевого сплава. | |
4.3 Многопроволочные алюминиевые жилы
Многопроволочные круглые и фасонные алюминиевые жилы должны быть изготовлены из алюминия, который обеспечивает прочность при разрыве отдельных проволок в пределах, указанных в таблице 2.
|
Номинальное сечение, мм 2 |
Прочность при разрыве, Н/мм 2 |
|
10 |
До 200 включ. |
|
16 и более |
125-205 |
|
Примечания 1 Приведенные значения не распространяются на жилы из алюминиевого сплава. 2 Указанные значения проверяют только на проволоках до скрутки жилы, но не на проволоках, отобранных от скрученной жилы. | |
Жилы не должны иметь заусенцев, режущих кромок и выпучивания отдельных проволок.
5.1 Однопроволочные и многопроволочные (для больших сечений) жилы (класс 1)
5.1.1 Конструкция
a) Для однопроволочных и многопроволочных (для больших сечений) жил (класс 1) используют один из материалов, приведенных в разделе 4.
b) Однопроволочные медные жилы должны быть круглыми. Допускается для многожильных кабелей и проводов применение фасонных однопроволочных медных жил сечением 25-50 мм 2.
Примечание - Однопроволочные медные жилы номинальным сечением не менее 70 мм 2 предназначены для специальных типов кабелей, например с минеральной изоляцией, но не для кабелей общего применения.
c) Однопроволочные жилы из алюминия и алюминиевого сплава с номинальным сечением до 35 мм 2 включительно должны быть круглыми. Жилы большего сечения должны быть круглыми для одножильных кабелей и проводов и могут быть круглыми или фасонными для многожильных кабелей и проводов.
Допускается для многожильных кабелей и проводов применение фасонных однопроволочных жил из алюминия и алюминиевого сплава сечением 25 и 35 мм 2.
5.1.2 Электрическое сопротивление
Электрическое сопротивление жилы при температуре 20 °С, определенное в соответствии с разделом 7, должно быть не более значения, указанного в таблице 3.
|
Номинальное сечение, мм 2 |
Минимальное число проволок жилы |
Электрическое сопротивление 1 км жилы при температуре 20 °С, Ом, не более | |||
|
Cu |
Al |
Круглые жилы из отожженной меди |
Круглые или фасонные жилы из алюминия или алюминиевого сплава c | ||
|
без покрытия |
с металлическим покрытием | ||||
|
0,03 |
1 |
- |
588,0 |
617,3 |
- |
|
0,05 |
1 |
- |
347,9 |
365,3 |
- |
|
0,08 |
1 |
- |
225,3 |
238,8 |
- |
|
0,12 |
1 |
- |
130,8 |
138,6 |
- |
|
0,20 |
1 |
- |
88,8 |
90,4 |
- |
|
0,35 |
1 |
- |
50,7 |
51,8 |
- |
|
0,50 |
1 |
- |
36,0 |
36,7 |
- |
|
0,75 |
1 |
- |
24,5 |
24,8 |
- |
|
1,0 |
1 |
- |
18,1 |
18,2 |
- |
|
1,5 |
1 |
1 |
12,1 |
12,2 |
18,1 а |
|
2,5 |
1 |
1 |
7,41 |
7,56 |
12,1 а |
|
4 |
1 |
1 |
4,61 |
4,70 |
7,41 а |
|
6 |
1 |
1 |
3,08 |
3,11 |
5,11 а |
|
10 |
1 |
1 |
1,83 |
1,84 |
3,08 а |
|
16 |
1 |
1 |
1,15 |
1,16 |
1,91 а |
|
25 |
1 |
1 |
0,727 |
- |
1,20 а |
|
35 |
1 |
1 |
0,524 |
- |
0,868 а |
|
50 |
1 |
1 |
0,387 |
- |
0,641 |
|
70 |
1 |
1 |
0,268 b |
- |
0,443 |
|
95 |
1 |
1 |
0,193 b |
- |
0,320 d |
|
120 |
1 |
1 |
0,153 b |
- |
0,253 d |
|
150 |
1 |
1 |
0,124 b |
- |
0,206 d |
|
185 |
1 или 35 |
1 |
0,101 b |
- |
0,164 d |
|
240 |
1 или 35 |
1 |
0,0775 b |
- |
0,125 d |
|
300 |
1 или 35 |
1 |
0,0620 b |
- |
0,100 d |
|
400 |
1 или 35 |
1 или 35 |
0,0465 b |
- |
0,0778 |
|
500 |
35 |
1 или 35 |
0,0366 |
- |
0,0605 |
|
625, 630 |
59 |
1 или 59 |
0,0283 |
- |
0,0469 |
|
800 |
59 |
1 или 59 |
0,0221 |
- |
0,0367 |
|
1000 |
59 |
1 или 59 |
0,0176 |
- |
0,0291 |
|
1200 |
- |
1 |
- |
- |
0,0247 |
|
а Алюминиевые жилы с номинальным сечением до 35 мм 2 включительно только круглые; см. 5.1.1, перечисление с). b См. примечание к 5.1.1, перечисление b). с См. примечание к 5.1.2. d Для одножильных кабелей могут быть объединены четыре секторные части жилы для образования круглой жилы. Максимальное электрическое сопротивление образованной жилы должно быть равно 25 % значения для каждой из четырех секторных частей жилы. | |||||
Примечание - Для однопроволочных жил из алюминиевого сплава, имеющих то же номинальное сечение, что и алюминиевые жилы, значение электрического сопротивления, указанное в таблице 3, должно быть умножено на коэффициент 1,162, если иное не установлено в договоре между изготовителем и заказчиком.
5.2 Многопроволочные круглые неуплотненные жилы (класс 2)
5.2.1 Конструкция
a) Для многопроволочных круглых неуплотненных жил (класс 2) используют один из материалов, приведенных в разделе 4.
b) Номинальное сечение многопроволочных жил из алюминия или алюминиевого сплава силовых кабелей должно быть не менее 10 мм 2.
c) Все проволоки каждой жилы должны иметь один и тот же номинальный диаметр.
d) Число проволок каждой жилы должно быть не менее числа проволок, указанного в таблице 4.
|
Номинальное сечение, мм 2 |
Минимальное число проволок жилы |
Электрическое сопротивление 1 км жилы при температуре 20 °С, Ом, не более | |||||||
|
круглой |
круглой уплотненной |
фасонной |
Жила из отожженной меди |
Жила из алюминия или алюминиевого сплава c | |||||
|
Cu |
Al |
Cu |
Al |
Cu |
Al |
Проволока без покрытия |
Проволока с металлическим покрытием | ||
|
0,5 |
7 |
- |
- |
- |
- |
- |
36,0 |
36,7 |
- |
|
0,75 |
7 |
- |
- |
- |
- |
- |
24,5 |
24,8 |
- |
|
1,0 |
7 |
- |
- |
- |
- |
- |
18,1 |
18,2 |
- |
|
1,5 |
7 |
7 |
6 |
- |
- |
- |
12,1 |
12,2 |
22,1 |
|
2,5 |
7 |
7 |
6 |
- |
- |
- |
7,41 |
7,56 |
12,4 |
|
4 |
7 |
7 |
6 |
- |
- |
- |
4,61 |
4,70 |
7,41 |
|
6 |
7 |
7 |
6 |
- |
- |
- |
3,08 |
3,11 |
5,11 |
|
10 |
7 |
7 |
6 |
6 |
- |
- |
1,83 |
1,84 |
3,08 |
|
16 |
7 |
7 |
6 |
6 |
- |
- |
1,15 |
1,16 |
1,91 |
|
25 |
7 |
7 |
6 |
6 |
6 |
6 |
0,727 |
0,734 |
1,20 |
|
35 |
7 |
7 |
6 |
6 |
6 |
6 |
0,524 |
0,529 |
0,868 |
|
50 |
19 |
19 |
6 |
6 |
6 |
6 |
0,387 |
0,391 |
0,641 |
|
70 |
19 |
19 |
12 |
12 |
12 |
12 |
0,268 |
0,270 |
0,443 |
|
95 |
19 |
19 |
15 |
15 |
15 |
15 |
0,193 |
0,195 |
0,320 |
|
120 |
37 |
37 |
18 |
15 |
18 |
15 |
0,153 |
0,154 |
0,253 |
|
150 |
37 |
37 |
18 |
15 |
18 |
15 |
0,124 |
0,126 |
0,206 |
|
185 |
37 |
37 |
30 |
30 |
30 |
30 |
0,0991 |
0,100 |
0,164 |
|
240 |
37 |
37 |
34 |
30 |
34 |
30 |
0,0754 |
0,0762 |
0,125 |
|
300 |
61 |
61 |
34 |
30 |
34 |
30 |
0,0601 |
0,0607 |
0,100 |
|
400 |
61 |
61 |
53 |
53 |
53 |
53 |
0,0470 |
0,0475 |
0,0778 |
|
500 |
61 |
61 |
53 |
53 |
53 |
53 |
0,0366 |
0,0369 |
0,0605 |
|
625, 630 |
91 |
91 |
53 |
53 |
53 |
53 |
0,0283 |
0,0286 |
0,0469 |
|
800 |
91 |
91 |
53 |
53 |
- |
- |
0,0221 |
0,0224 |
0,0367 |
|
1000 |
91 |
91 |
53 |
53 |
- |
- |
0,0176 |
0,0177 |
0,0291 |
|
1200 |
b |
0,0151 |
0,0151 |
0,0247 | |||||
|
1400 а |
b |
0,0129 |
0,0129 |
0,0212 | |||||
|
1600 |
b |
0,0113 |
0,0113 |
0,0186 | |||||
|
1800 а |
b |
0,0101 |
0,0101 |
0,0165 | |||||
|
2000 |
b |
0,0090 |
0,0090 |
0,0149 | |||||
|
2500 |
b |
0,0072 |
0,0072 |
0,0127 | |||||
|
а Эти сечения не являются предпочтительными. Для специального применения допускаются другие непредпочтительные сечения жил, но на них действие настоящего стандарта не распространяется. b Минимальное число проволок для этих сечений не нормировано. Жилы этих сечений могут быть сформированы из четырех, пяти или шести одинаковых секторов. с Для многопроволочных жил из алюминиевого сплава, имеющих то же номинальное сечение, что и алюминиевые жилы, значение электрического сопротивления должно быть согласовано между изготовителем и заказчиком, если оно не установлено в стандартах или технических условиях на кабельные изделия. | |||||||||
5.2.2 Электрическое сопротивление
Электрическое сопротивление жилы при температуре 20 °С, определенное в соответствии с разделом 7, должно быть не более значения, указанного в таблице 4.
5.3 Многопроволочные круглые уплотненные жилы и многопроволочные фасонные жилы (класс 2)
5.3.1 Конструкция
a) Для многопроволочных круглых уплотненных жил и многопроволочных фасонных жил (класс 2) используют один из материалов, приведенных в разделе 4. Номинальное сечение многопроволочных круглых уплотненных жил из алюминия или алюминиевого сплава должно быть не менее 10 мм 2. Номинальное сечение многопроволочных фасонных жил из меди, алюминия или алюминиевого сплава должно быть не менее 25 мм 2.
b) Соотношение между значениями диаметров двух различных проволок одной жилы должно быть не более двух.
c) Число проволок каждой жилы должно быть не менее числа проволок, указанного в таблице 4.
Примечание - Это требование распространяется на жилы, изготовленные из круглых проволок до уплотнения, и не распространяется на жилы, скрученные из предварительно профилированных проволок.
d) В уплотненных жилах допускается обрыв или пропуск проволок при соответствии электрического сопротивления жил требованиям настоящего стандарта.
5.3.2 Электрическое сопротивление
Электрическое сопротивление жилы при температуре 20 °С, определенное в соответствии с разделом 7, должно быть не более значения, указанного в таблице 4.
6.1 Конструкция
a) Гибкие жилы (классы 3-6) должны быть из отожженной меди с металлическим покрытием или без него, из алюминия для класса 3, жилы классов 3, 4 и 5 допускается изготавливать из алюминиевого сплава 1).
──────────────────────────────
1) В Российской Федерации действует ГОСТ Р 58019-2017 "Катанка из алюминиевых сплавов марок 8176 и 8030. Технические условия".
──────────────────────────────
b) Все проволоки каждой жилы должны иметь один и тот же номинальный диаметр.
c) Диаметр проволок жилы должен быть не более значения, указанного в таблицах 5-8.
d) Допускается обрыв или пропуск проволок в жилах при соответствии электрического сопротивления жил требованиям настоящего стандарта.
e) Жилы не должны иметь заусенцев, режущих кромок и выпучивания отдельных проволок.
6.2 Электрическое сопротивление
Электрическое сопротивление жилы при температуре 20 °С, определенное в соответствии с разделом 7, должно быть не более значения, указанного в таблицах 5-8.
Электрическое сопротивление многожильных кабельных изделий с жилами классов 4-6, скрученных с кратностью шагов менее 10 диаметров по скрутке, должно быть указано в стандартах или технических условиях на кабельные изделия.
|
Номинальное сечение, мм 2 |
Диаметр проволок жилы, мм, не более |
Электрическое сопротивление 1 км жилы при температуре 20 °С, Ом, не более | ||
|
Жила из отожженной меди |
Жила из алюминия или алюминиевого сплава a | |||
|
Проволока без покрытия |
Проволока с металлическим покрытием | |||
|
0,50 |
0,33 |
39,6 |
40,7 |
- |
|
0,75 |
0,38 |
25,5 |
26,0 |
- |
|
1,0 |
0,43 |
21,8 |
22,3 |
- |
|
1,5 |
0,53 |
14,0 |
14,3 |
23,4 |
|
2,5 |
0,69 |
7,49 |
7,63 |
12,5 |
|
4 |
0,87 |
4,79 |
4,88 |
8,00 |
|
6 |
0,65 |
3,11 |
3,17 |
5,20 |
|
10 |
0,82 |
1,99 |
2,03 |
3,33 |
|
16 |
0,65 |
1,21 |
1,24 |
2,02 |
|
25 |
0,82 |
0,809 |
0,824 |
1,35 |
|
35 |
0,69 |
0,551 |
0,562 |
0,921 |
|
50 |
0,69 |
0,394 |
0,402 |
0,658 |
|
70 |
0,69 |
0,277 |
0,283 |
0,470 |
|
95 |
0,82 |
0,203 |
0,207 |
0,338 |
|
120 |
0,79 |
0,158 |
0,161 |
0,264 |
|
150 |
0,87 |
0,130 |
0,132 |
0,211 |
|
185 |
0,87 |
0,105 |
0,107 |
0,175 |
|
240 |
0,87 |
0,0798 |
0,0814 |
0,134 |
|
300 |
0,87 |
0,0654 |
0,0666 |
0,109 |
|
400 |
0,87 |
0,0499 |
0,0509 |
0,0835 |
|
500 |
0,87 |
0,0393 |
0,0401 |
0,0657 |
|
а Для многопроволочных жил из алюминиевого сплава, имеющих то же номинальное сечение, что и алюминиевые жилы, значение электрического сопротивления должно быть согласовано между изготовителем и заказчиком, если оно не установлено в стандартах или технических условиях на кабельные изделия. | ||||
|
Номинальное сечение, мм 2 |
Диаметр проволок жилы, мм, не более |
Электрическое сопротивление 1 км жилы при температуре 20 °С, Ом, не более | ||
|
Жила из отожженной меди |
Жила из отожженного алюминиевого сплава a | |||
|
Проволока без покрытия |
Проволока с металлическим покрытием | |||
|
0,05 |
0,11 |
366,6 |
383,7 |
- |
|
0,08 |
0,13 |
247,5 |
254,6 |
- |
|
0,12 |
0,16 |
165,3 |
170,3 |
- |
|
0,20 |
0,21 |
89,1 |
91,7 |
- |
|
0,35 |
0,27 |
57,0 |
58,7 |
- |
|
0,50 |
0,31 |
40,5 |
41,7 |
- |
|
0,75 |
0,31 |
25,2 |
25,9 |
- |
|
1,0 |
0,31 |
19,8 |
20,4 |
32,9 |
|
1,5 |
0,41 |
13,2 |
13,6 |
21,9 |
|
2,5 |
0,43 |
8,05 |
8,20 |
13,4 |
|
4 |
0,53 |
4,89 |
4,99 |
8,11 |
|
6 |
0,53 |
3,28 |
3,35 |
5,44 |
|
10 |
0,53 |
2,00 |
2,04 |
3,32 |
|
16 |
0,53 |
1,21 |
1,24 |
2,01 |
|
25 |
0,53 |
0,776 |
0,792 |
1,29 |
|
35 |
0,59 |
0,547 |
0,558 |
0,908 |
|
50 |
0,59 |
0,393 |
0,401 |
0,652 |
|
70 |
0,59 |
0,281 |
0,286 |
0,466 |
|
95 |
0,59 |
0,201 |
0,205 |
0,333 |
|
120 |
0,69 |
0,162 |
0,165 |
0,269 |
|
150 |
0,69 |
0,129 |
0,132 |
0,214 |
|
185 |
0,69 |
0,104 |
0,106 |
0,173 |
|
240 |
0,69 |
0,0808 |
0,0824 |
0,134 |
|
300 |
0,69 |
0,0649 |
0,0661 |
0,108 |
|
400 |
0,69 |
0,0484 |
0,0493 |
0,0803 |
|
а Требование не распространяется на шнуры. | ||||
|
Номинальное сечение, мм 2 |
Диаметр проволок жилы, мм, не более |
Электрическое сопротивление 1 км жилы при температуре 20 °С, Ом, не более | ||
|
Жила из отожженной меди |
Жила из отожженного алюминиевого сплава a | |||
|
Проволока без покрытия |
Проволока с металлическим покрытием | |||
|
0,03 |
0,09 |
572,7 |
599,5 |
- |
|
0,05 |
0,09 |
400,9 |
419,6 |
- |
|
0,08 |
0,11 |
256,6 |
268,6 |
- |
|
0,12 |
0,11 |
171,0 |
179,0 |
- |
|
0,20 |
0,13 |
108,3 |
113,4 |
- |
|
0,35 |
0,16 |
58,3 |
60,0 |
- |
|
0,50 |
0,21 |
39,0 |
40,1 |
- |
|
0,75 |
0,21 |
26,0 |
26,7 |
- |
|
1,0 |
0,21 |
19,5 |
20,0 |
32,4 |
|
1,5 |
0,26 |
13,3 |
13,7 |
22,1 |
|
2,5 |
0,26 |
7,98 |
8,21 |
13,2 |
|
4 |
0,31 |
4,95 |
5,09 |
8,21 |
|
6 |
0,31 |
3,30 |
3,39 |
5,48 |
|
10 |
0,41 |
1,91 |
1,95 |
3,17 |
|
16 |
0,41 |
1,21 |
1,24 |
2,01 |
|
25 |
0,41 |
0,780 |
0,795 |
1,29 |
|
35 |
0,41 |
0,554 |
0,565 |
0,919 |
|
50 |
0,41 |
0,386 |
0,393 |
0,640 |
|
70 |
0,51 |
0,272 |
0,277 |
0,451 |
|
95 |
0,51 |
0,206 |
0,210 |
0,342 |
|
120 |
0,51 |
0,161 |
0,164 |
0,267 |
|
150 |
0,51 |
0,129 |
0,132 |
0,214 |
|
185 |
0,51 |
0,106 |
0,108 |
0,176 |
|
240 |
0,51 |
0,0801 |
0,0817 |
0,133 |
|
300 |
0,51 |
0,0641 |
0,0654 |
0,106 |
|
400 |
0,51 |
0,0486 |
0,0495 |
0,0806 |
|
500 |
0,61 |
0,0384 |
0,0391 |
0,0637 |
|
625, 630 |
0,61 |
0,0287 |
0,0292 |
0,0476 |
|
a Требование не распространяется на шнуры. | ||||
|
Номинальное сечение, мм 2 |
Диаметр проволок жилы, мм, не более |
Электрическое сопротивление 1 км жилы при температуре 20 °С, Ом, не более | |
|
Проволока без покрытия |
Проволока с металлическим покрытием | ||
|
0,03 |
0,06 |
669,8 |
671,5 |
|
0,05 |
0,06 |
396,9 |
397,9 |
|
0,08 |
0,06 |
267,9 |
268,6 |
|
0,12 |
0,09 |
174,4 |
174,8 |
|
0,20 |
0,11 |
113,1 |
113,4 |
|
0,35 |
0,11 |
59,5 |
59,6 |
|
0,50 |
0,16 |
39,0 |
40,1 |
|
0,75 |
0,16 |
26,0 |
26,7 |
|
1,0 |
0,16 |
19,5 |
20,0 |
|
1,5 |
0,16 |
13,3 |
13,7 |
|
2,5 |
0,16 |
7,98 |
8,21 |
|
4 |
0,16 |
4,95 |
5,09 |
|
6 |
0,21 |
3,30 |
3,39 |
|
10 |
0,21 |
1,91 |
1,95 |
|
16 |
0,21 |
1,21 |
1,24 |
|
25 |
0,21 |
0,780 |
0,795 |
|
95 |
0,31 |
0,206 |
0,210 |
|
120 |
0,31 |
0,161 |
0,164 |
|
150 |
0,31 |
0,129 |
0,132 |
|
185 |
0,41 |
0,106 |
0,108 |
|
240 |
0,41 |
0,0801 |
0,0817 |
|
300 |
0,41 |
0,0641 |
0,0654 |
Соответствие требованиям 5.1.1, 5.2.1, 5.3.1 и 6.1 проверяют на готовом кабельном изделии внешним осмотром и измерениями.
Соответствие требованиям по электрическому сопротивлению по 5.1.2, 5.2.2, 5.3.2 и 6.2 проверяют измерением, проведенным в соответствии с приложением А с корректировкой температуры с помощью коэффициентов, приведенных в таблице А.1.
Приложение А
(обязательное)
Кабельное изделие выдерживают в помещении для испытаний в течение времени, достаточного для того, чтобы жила достигла температуры, при которой можно точно определить электрическое сопротивление с использованием установленных поправочных коэффициентов, но не менее 6 ч.
Электрическое сопротивление постоянному току жилы (жил) измеряют или на строительной длине кабельного изделия, или на образце кабельного изделия длиной не менее 1 м при температуре окружающей среды, при этом регистрируют температуру, при которой проведено измерение. Измеренное электрическое сопротивление корректируют с помощью поправочных коэффициентов, указанных в таблице А.1.
Электрическое сопротивление на 1 км длины кабельного изделия рассчитывают исходя из длины готового кабельного изделия, а не длин отдельных изолированных жил.
При необходимости корректировку, которую следует выполнить для приведения значения электрического сопротивления на 1 км жилы при 20 °С, R 20, Ом, допускается проводить по формуле
(А.1)
где R t - измеренное электрическое сопротивление жилы, Ом;
k t - поправочный температурный коэффициент, указанный в таблице А.1;
L - длина кабельного изделия, м.
|
Температура окружающей среды, °С |
Поправочный температурный коэффициент k t для всех классов жил |
Температура окружающей среды, °С |
Поправочный температурный коэффициент k t для всех классов жил |
|
0 |
1,087 |
18 |
1,008 |
|
1 |
1,082 |
19 |
1,004 |
|
2 |
1,078 |
20 |
1,000 |
|
3 |
1,073 |
21 |
0,996 |
|
4 |
1,068 |
22 |
0,992 |
|
5 |
1,064 |
23 |
0,988 |
|
6 |
1,059 |
24 |
0,984 |
|
7 |
1,055 |
25 |
0,980 |
|
8 |
1,050 |
26 |
0,977 |
|
9 |
1,046 |
27 |
0,973 |
|
10 |
1,042 |
28 |
0,969 |
|
11 |
1,037 |
29 |
0,965 |
|
12 |
1,033 |
30 |
0,962 |
|
13 |
1,029 |
31 |
0,958 |
|
14 |
1,025 |
32 |
0,954 |
|
15 |
1,020 |
33 |
0,951 |
|
16 |
1,016 |
34 |
0,947 |
|
17 |
1,012 |
35 |
0,943 |
|
36 |
0,940 |
39 |
0,929 |
|
37 |
0,936 |
40 |
0,926 |
|
38 |
0,933 | ||
|
Примечание - Значения поправочного температурного коэффициента k t основаны на значении температурного коэффициента сопротивления, равного 0,004 K -1 при температуре 20 °С. Значения поправочного температурного коэффициента, указанные в таблице А.1, являются приблизительными, но они дают значения для практического использования, достоверность которых согласуется с достоверностью, которую обычно можно получить при измерениях температуры и длины кабельных изделий. Метод получения более точных значений поправочного температурного коэффициента для меди и алюминия приведен в приложении В. Но эти значения не следует принимать в качестве требования при испытаниях, проводимых по настоящему стандарту для проверки электрического сопротивления. | |||
Приложение В
(справочное)
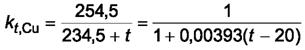
a) Поправочный температурный коэффициент для жилы из отожженной меди k t, Cu с металлическим покрытием или без него вычисляют по формуле
.(В.1)
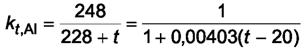
b) Поправочный температурный коэффициент для алюминиевой жилы k t, Al вычисляют по формуле
.(В.2)
Примечание - В части жил из алюминиевого сплава следует обратиться к изготовителю.
В приведенных формулах t обозначает температуру жилы во время измерения в градусах Цельсия.
Приложение С
(справочное)
С.1 Назначение
Настоящее приложение является руководством для изготовителей кабелей и кабельной арматуры для обеспечения совместимости размеров арматуры и жил. В данном приложении приведены предельные размеры следующих типов жил:
a) круглые однопроволочные жилы (класс 1) из меди, алюминия и алюминиевого сплава;
b) круглые и круглые уплотненные многопроволочные жилы (класс 2) из меди, алюминия и алюминиевого сплава;
c) гибкие медные жилы (классы 3, 4, 5, 6).
С.2 Предельные размеры для круглых медных жил
Диаметр круглых медных жил не должен превышать значений, указанных в таблице С.1.
|
Номинальное сечение, мм 2 |
Максимальный диаметр жил, мм | ||||
|
однопроволочных (класс 1) |
многопроволочных (класс 2) |
многопроволочных (класс 3) |
многопроволочных (класс 4) |
гибких (классы 5 и 6) | |
|
0,05 |
- |
- |
- |
0,35 |
- |
|
0,08 |
- |
- |
- |
0,42 |
- |
|
0,12 |
- |
- |
- |
0,55 |
- |
|
0,20 |
- |
- |
- |
0,65 |
- |
|
0,35 |
- |
- |
- |
0,9 |
- |
|
0,5 |
0,9 |
1,1 |
1,1 |
1,1 |
1,1 |
|
0,75 |
1,0 |
1,2 |
1,3 |
1,3 |
1,3 |
|
1,0 |
1,2 |
1,4 |
1,5 |
1,5 |
1,5 |
|
1,5 |
1,5 |
1,7 |
1,8 |
1,8 |
1,8 |
|
2,5 |
1,9 |
2,2 |
2,4 |
2,5 |
2,4 |
|
4 |
2,4 |
2,7 |
2,8 |
3,0 |
3,0 |
|
6 |
2,9 |
3,3 |
3,9 |
4,0 |
3,9 |
|
10 |
3,7 |
4,2 |
4,7 |
5,0 |
5,1 |
|
16 |
4,6 |
5,3 |
6,1 |
6,1 |
6,3 |
|
25 а |
5,7 |
6,6 |
7,8 |
7,8 |
7,8 |
|
35 а |
6,7 |
7,9 |
9,1 |
9,1 |
9,2 |
|
50 а |
7,8 |
9,1 |
11,6 |
11,6 |
11,0 |
|
70 а |
9,4 |
11,0 |
13,7 |
13,7 |
13,1 |
|
95 а |
11,0 |
12,9 |
15,0 |
15,0 |
15,1 |
|
120 а |
12,4 |
14,5 |
17,1 |
17,2 |
17,0 |
|
150 а |
13,8 |
16,2 |
18,9 |
19,0 |
19,0 |
|
185 |
15,4 |
18,0 |
20,0 |
22,0 |
21,0 |
|
240 |
17,6 |
20,6 |
23,0 |
28,3 |
24,0 |
|
300 |
19,8 |
23,1 |
26,2 |
34,5 |
27,0 |
|
400 |
22,2 |
26,1 |
34,8 |
47,2 |
31,0 |
|
500 |
- |
29,2 |
43,5 |
- |
35,0 |
|
625, 630 |
- |
33,2 |
- |
- |
39,0 |
|
800 |
- |
37,6 |
- |
- |
- |
|
1000 |
- |
42,2 |
- |
- |
- |
|
а См. 5.1.1, перечисление b). Примечание - Значения, приведенные для гибких жил, установлены так, чтобы их можно было применять одновременно для жил классов 5 и 6. | |||||
Если требуется минимальный диаметр для круглых медных жил класса 1, допускается воспользоваться значениями минимального диаметра для круглых однопроволочных жил из алюминия или алюминиевого сплава, указанными в таблице С.2.
|
Номинальное сечение, мм 2 |
Диаметр круглых жил из алюминия и алюминиевого сплава, мм | |
|
однопроволочных (класс 1) | ||
|
минимальный |
максимальный | |
|
10 |
3,4 |
3,7 |
|
16 |
4,1 |
4,6 |
|
25 |
5,2 |
5,7 |
|
35 |
6,1 |
6,7 |
|
50 |
7,2 |
7,8 |
|
70 |
8,7 |
9,4 |
|
95 |
10,3 |
11,0 |
|
120 |
11,6 |
12,4 |
|
150 |
12,9 |
13,8 |
|
185 |
14,5 |
15,4 |
|
240 |
16,7 |
17,6 |
|
300 |
18,8 |
19,8 |
|
400 |
21,2 |
22,2 |
|
500 |
24,0 |
25,1 |
|
625, 630 |
27,3 |
28,4 |
|
800 |
30,9 |
32,1 |
|
1000 |
34,8 |
36,0 |
|
1200 |
37,8 |
39,0 |
С.3 Предельные размеры для круглых многопроволочных уплотненных жил из меди, алюминия и алюминиевого сплава
Диаметр круглых многопроволочных уплотненных жил из меди, алюминия или алюминиевого сплава не должен превышать максимальные значения и должен быть менее минимальных значений, указанных в таблице С.3.
|
Номинальное сечение, мм 2 |
Диаметр круглых многопроволочных уплотненных жил (класс 2), мм | |
|
минимальный |
максимальный | |
|
10 |
3,6 |
4,0 |
|
16 |
4,6 |
5,2 |
|
25 |
5,6 |
6,5 |
|
35 |
6,6 |
7,5 |
|
50 |
7,7 |
8,6 |
|
70 |
9,3 |
10,2 |
|
95 |
11,0 |
12,0 |
|
120 |
12,3 |
13,5 |
|
150 |
13,7 |
15,0 |
|
185 |
15,3 |
16,8 |
|
240 |
17,6 |
19,2 |
|
300 |
19,7 |
21,6 |
|
400 |
22,3 |
24,6 |
|
500 |
25,3 |
27,6 |
|
625, 630 |
28,7 |
32,5 |
|
Примечания 1 Предельные размеры алюминиевых жил сечением более 630 мм 2 не приведены, так как не установлена универсальная технология уплотнения. 2 Значения для медных уплотненных жил в диапазоне номинальных сечений 1,5-6,0 мм 2 не приведены. | ||
В исключительных случаях, когда жилы неуплотненные, диаметр круглых многопроволочных неуплотненных жил из алюминия или алюминиевого сплава не должен превышать соответствующие значения, приведенные в таблице С.1 для медных жил, класса 2.
С.4 Предельные размеры круглых однопроволочных алюминиевых жил
Диаметр круглых однопроволочных жил из алюминия и алюминиевого сплава не должен превышать максимальные значения и быть менее минимальных значений, указанных в таблице С.2.


