электронный сборник нормативных документов по строительству
Обновления
17.04.2026 22:49
электронный сборник нормативных документов по строительству

ГОСТ 2211-2020 ОГНЕУПОРЫ И ОГНЕУПОРНОЕ СЫРЬЕ. МЕТОДЫ ОПРЕДЕЛЕНИЯ ИСТИННОЙ ПЛОТНОСТИ

Введен в действие приказом Федерального агентства по техническому регулированию и метрологии от 30 июня 2020 г. N 308-ст
Межгосударственный стандарт ГОСТ 2211-2020
"ОГНЕУПОРЫ И ОГНЕУПОРНОЕ СЫРЬЕ. МЕТОДЫ ОПРЕДЕЛЕНИЯ ИСТИННОЙ ПЛОТНОСТИ"

Refractories and refractory raw materials. Methods of true density determination

МКС 81.080

Дата введения - 1 марта 2021 г.
Взамен ГОСТ 2211-65 (ИСО 5018-83)

Предисловие

Цели, основные принципы и общие правила проведения работ по межгосударственной стандартизации установлены ГОСТ 1.0 "Межгосударственная система стандартизации. Основные положения" и ГОСТ 1.2 "Межгосударственная система стандартизации. Стандарты межгосударственные, правила и рекомендации по межгосударственной стандартизации. Правила разработки, принятия, обновления и отмены"

Сведения о стандарте

1 Разработан Обществом с ограниченной ответственностью "Научно-технический центр "Огнеупоры" (ООО "НТЦ "Огнеупоры")

2 Внесен Федеральным агентством по техническому регулированию и метрологии

3 Принят Межгосударственным советом по стандартизации, метрологии и сертификации (протокол от 30 апреля 2020 г. N 129-П)

За принятие проголосовали:

Краткое наименование страны по МК (ИСО 3166) 004-97

Код страны по МК (ИСО 3166) 004-97

Сокращенное наименование национального органа по стандартизации

Армения

AM

Минэкономики Республики Армения

Беларусь

BY

Госстандарт Республики Беларусь

Казахстан

KZ

Госстандарт Республики Казахстан

Киргизия

KG

Кыргызстандарт

Россия

RU

Росстандарт

Таджикистан

TJ

Таджикстандарт

Узбекистан

UZ

Узстандарт

Украина

UA

Минэкономразвития Украины

4 Приказом Федерального агентства по техническому регулированию и метрологии от 30 июня 2020 г. N 308-ст межгосударственный стандарт ГОСТ 2211-2020 введен в действие в качестве национального стандарта Российской Федерации с 1 марта 2021 г.

5 Настоящий стандарт подготовлен на основе применения ГОСТ Р 56300-2014 *

6 Взамен ГОСТ 2211-65 (ИСО 5018-83)

──────────────────────────────

* Приказом Федерального агентства по техническому регулированию и метрологии от 30 июня 2020 г. N 308-ст ГОСТ Р 56300-2014 отменен с 1 марта 2021 г.

──────────────────────────────

1 Область применения

Настоящий стандарт устанавливает следующие методы определения истинной плотности огнеупоров:

- пикнометрический метод;

- экспресс-метод для динасовых огнеупорных изделий;

- аппаратурный пикнометрический метод.

2 Нормативные ссылки

В настоящем стандарте использованы нормативные ссылки на следующие межгосударственные стандарты:

ГОСТ 12.1.019 Система стандартов безопасности труда. Электробезопасность. Общие требования и номенклатура видов защиты

ГОСТ 12.2.007.9 (МЭК 519-1-84) Безопасность электротермического оборудования. Часть 1. Общие требования

ГОСТ 12.4.021 Система стандартов безопасности труда. Системы вентиляционные. Общие требования

ГОСТ OIML R 76-1 Государственная система обеспечения единства измерений. Весы неавтоматического действия. Часть 1. Метрологические и технические требования. Испытания

ГОСТ 2409 Огнеупоры. Метод определения кажущейся плотности, открытой и общей пористости, водопоглощения

ГОСТ 6613 Сетки проволочные тканые с квадратными ячейками. Технические условия

ГОСТ 6709 Вода дистиллированная. Технические условия

ГОСТ 9880 Толуол каменноугольный и сланцевый. Технические условия

ГОСТ 9949 Ксилол каменноугольный. Технические условия

ГОСТ ISO/IEC 17025 Общие требования к компетентности испытательных и калибровочных лабораторий

ГОСТ 22524 Пикнометры стеклянные. Технические условия

ГОСТ 24104 1) Весы лабораторные. Общие технические требования

──────────────────────────────

1) В Российской Федерации действует ГОСТ Р 53228-2008 "Весы неавтоматического действия. Часть 1. Метрологические и технические требования. Испытания".

──────────────────────────────

ГОСТ 25336 Посуда и оборудование лабораторные стеклянные. Типы, основные параметры и размеры

ГОСТ 28498 Термометры жидкостные стеклянные. Общие технические требования. Методы испытаний

Примечание - При пользовании настоящим стандартом целесообразно проверить действие ссылочных стандартов и классификаторов на официальном интернет-сайте Межгосударственного совета по стандартизации, метрологии и сертификации (www.easc.by) или по указателям национальных стандартов, издаваемым в государствах, указанных в предисловии, или на официальных сайтах соответствующих национальных органов по стандартизации. Если на ссылочный документ дана недатированная ссылка, то следует использовать документ, действующий на текущий момент, с учетом всех внесенных в него изменений. Если заменен ссылочный документ, на который дана датированная ссылка, то следует использовать указанную версию этого документа. Если после принятия настоящего стандарта в ссылочный документ, на который дана датированная ссылка, внесено изменение, затрагивающее положение, на которое дана ссылка, то это положение применяется без учета данного изменения. Если ссылочный документ отменен без замены, то положение, в котором дана ссылка на него, применяется в части, не затрагивающей эту ссылку.

3 Термины и определения

В настоящем стандарте применены следующие термины с соответствующими определениями:

3.1 истинная плотность огнеупора: Отношение массы огнеупора к его истинному объему, выраженное в граммах на кубический сантиметр.

3.2 истинный объем огнеупора: Объем твердой фазы в огнеупоре, выраженный в кубических сантиметрах.

4 Требования безопасности

4.1 Помещения лаборатории должны быть оборудованы общеобменной приточно-вытяжной вентиляцией по ГОСТ 12.4.021.

4.2 Электротехнические контрольно-измерительные приборы и лабораторное оборудование, а также условия их эксплуатации должны соответствовать требованиям ГОСТ 12.1.019.

4.3 При работе с электротермическим оборудованием необходимо соблюдать требования ГОСТ 12.2.007.9.

4.4 Освещенность рабочих мест должна соответствовать требованиям, установленным в документах, действующих на территории государства, принявшего стандарт 1).

──────────────────────────────

1) В Российской Федерации действует ГОСТ Р 55710-2013 "Освещение рабочих мест внутри зданий. Нормы и методы измерений".

──────────────────────────────

4.5 При проведении испытаний должны применяться индивидуальные средства защиты: спецодежда, перчатки и т.д.

5 Пикнометрический метод определения истинной плотности 2)

──────────────────────────────

2) Также, по соглашению сторон, допускается определять истинную плотность по [1].

──────────────────────────────

5.1 Сущность метода

Метод основан на определении массы аналитической пробы и ее истинного объема и последующем вычислении плотности.

Истинный объем аналитической пробы определяют при помощи пикнометра с использованием насыщающей жидкости:

- воды - если материал не взаимодействует с водой;

- обезвоженной жидкости (например, ксилол, толуол) - если материал взаимодействует с водой и не взаимодействует с насыщающей жидкостью.

5.2 Аппаратура, реактивы и вспомогательные устройства

Сушильный шкаф, обеспечивающий нагрев до температуры не ниже 110 °С с автоматическим поддержанием заданной температуры с допускаемым отклонением в пределах ± 5 °С.

Вакуумная установка, обеспечивающая остаточное давление менее 2 кПа (15 мм рт. ст.) при отсутствии в системе сосуда с жидкостью.

Термостат, обеспечивающий постоянство температуры с допускаемым отклонением ± 1 °С для воды и ± 0,2 °С для других жидкостей.

Весы по ГОСТ 24104 или ГОСТ OIML R 76-1 класса точности II.

Сита с сетками номер 05, 02 и 0063 по ГОСТ 6613.

Эксикатор по ГОСТ 25336, с осушающим агентом по технической документации.

Пикнометры вместимостью 25 см 3 каждый типов ПЖ1, ПЖ2 и ПЖ3 по ГОСТ 22524.

Насыщающая жидкость: вода дистиллированная по ГОСТ 6709 или ксилол по ГОСТ 9949 обезвоженный, или толуол по ГОСТ 9880, обезвоженный.

Фильтровальная бумага по технической документации.

Магнит по технической документации.

Ступка металлическая или неметаллическая (агатовая или корундовая) по технической документации.

5.3 Подготовка пробы

5.3.1 Пробу массой 100-200 г измельчают до прохождения без остатка через сито с сеткой номер 05.

5.3.2 Пробу перемешивают и сокращают до 25-50 г при помощи делительного аппарата или квартованием, затем измельчают частями по 5-10 г до прохождения без остатка через сито с сеткой номер 0063.

Допускается измельчать пробу до прохождения без остатка через сито с сеткой номер 02, если влияние изменения размера частиц с 0,2 мм до 0,063 мм на определяемое значение истинной плотности составляет менее 0,01 г/см 3.

5.3.3 После измельчения из пробы удаляют частицы намолотого железа с помощью магнита. Если исходный материал содержит магнитные включения, то обработка пробы магнитом не допускается. В этом случае пробу следует измельчить в неметаллической ступке (например, в агатовой или корундовой).

5.3.4 Пробу высушивают до постоянной массы при температуре 110 °С. Массу считают постоянной, если при повторной сушке в течение 15 мин при температуре 110 °С результаты взвешиваний перед сушкой и после сушки отличаются не более чем на 0,01 %.

Высушенную пробу хранят в эксикаторе.

5.4 Проведение испытания

5.4.1 Истинную плотность определяют параллельно на двух аналитических пробах.

5.4.2 Чистый сухой пикнометр взвешивают, после чего помещают в него аналитическую пробу массой 5-8 г в зависимости от плотности материала, а затем взвешивают пикнометр с аналитической пробой. Массу аналитической пробы определяют как разность масс пикнометра с аналитической пробой и пустого пикнометра. Пикнометр заполняют насыщающей жидкостью на 3-5 мм выше уровня пробы и выдерживают не менее 1 ч для более полного смачивания.

Примечание - Здесь и далее точность взвешивания обеспечивается классом точности весов. Результат взвешивания округляют до третьего десятичного знака.

5.4.3 Заполненный пикнометр вакуумируют не менее 30 мин. Давление в системе должно соответствовать парциальному давлению паров насыщающей жидкости.

Примечание - Парциальное давление паров воды должно быть не более 2 кПа. Если используют другую насыщающую жидкость, то выбирают давление, исключающее кипение жидкости.

После вакуумирования в пикнометр осторожно доливают насыщающую жидкость, предварительно подвергнутой вакуумированию по аналогичному режиму, до уровня на 0,5-1,0 см ниже края пикнометра. Пикнометр помещают в термостат и выдерживают не менее 30 мин при температуре на 2 °С - 5 °С выше температуры окружающей среды. После осветления жидкости пикнометр извлекают из термостата, при необходимости доводят уровень насыщающей жидкости до метки, после чего закрывают пикнометр пробкой, вытесняя излишки жидкости. Под пробкой не допускается наличие воздушных пузырей. Закрытый пикнометр протирают насухо фильтровальной бумагой и взвешивают.

5.4.4 Определяют массу пикнометра, заполненного насыщающей жидкостью. Для этого жидкость наливают в сухой, чистый, предварительно взвешенный пикнометр, и проводят действия по 5.4.3. Если используют насыщающую жидкость, отличную от дистиллированной воды, дополнительно определяют массу пикнометра, заполненного дистиллированной водой.

5.5 Обработка результатов

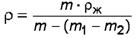
5.5.1 Истинную плотность ρ, г/см 3, вычисляют по формуле

image001.jpg,

(1)

где m - масса аналитической пробы, г;

ρж - плотность насыщающей жидкости при температуре термостатирования, г/см 3;

m 1 - масса пикнометра с аналитической пробой и насыщающей жидкостью, г;

m 2 - масса пикнометра с насыщающей жидкостью, г.

5.5.2 При использовании в качестве насыщающей жидкости дистиллированной воды ее плотность определяют по таблице А.1 (приложение А).

При использовании другой насыщающей жидкости ее плотность ρж, г/см 3, вычисляют по формуле

image002.jpg,

(2)

где m 2 - масса пикнометра с насыщающей жидкостью, г;

m 3 - масса сухого пикнометра, г;

image003.gif - плотность дистиллированной воды при температуре термостатирования, г/см 3;

m 4 - масса пикнометра с дистиллированной водой, г.

5.5.3 За результат определения истинной плотности принимают среднеарифметическое значение истинной плотности, полученное по двум параллельным определениям. Разность между результатами двух параллельных определений не должна превышать 0,005 г/см 3. Если данное условие не выполнено, проводят повторное испытание с использованием той же лабораторной пробы. Если при повторном испытании расхождение между результатами двух параллельных определений превышает допустимое, то испытание повторяют с использованием новой лабораторной пробы.

5.5.4 При сопоставительных испытаниях одной и той же пробы в разных лабораториях расхождение определяемых значений истинной плотности не должно превышать 0,01 г/см 3.

6 Экспресс-метод определения истинной плотности динасовых огнеупорных изделий

6.1 Сущность метода

Метод основан на определении массы образца: высушенного, насыщенного водой и погруженного в воду. На основании полученных значений рассчитывают истинную плотность

6.2 Средства измерений, аппаратура и материалы

Аппаратура, реактивы и вспомогательные устройства по ГОСТ 2409.

Термометр по ГОСТ 28498 или по технической документации с ценой деления шкалы 1 °С.

6.3 Подготовка образцов

6.3.1 Подготовка образцов - по ГОСТ 2409 со следующим дополнением: образец должен иметь форму призмы или цилиндра объемом от 150 до 200 см 3.

6.4 Проведение испытания

6.4.1 Истинную плотность определяют параллельно на двух образцах, изготовленных из одного изделия.

Образец сушат при температуре 110 °С - 135 °С до постоянной массы. Массу считают постоянной, если результат последующего взвешивания, проведенного не менее чем через 1 час после сушки, отличается от предыдущего не более чем на 0,1 %. Результат взвешивания записывают в граммах с точностью до первого десятичного знака.

Образец подвергают вакуумированию в вакуумной установке до получения остаточного давления не более 2 кПа (15 мм рт. ст.). Далее емкость для вакуумирования подсоединяют к вакуумному насосу и постепенно в течение 3 мин подают дистиллированную воду в таком количестве, чтобы она полностью покрывала образцы. Затем насос отключают, соединяют емкость для вакуумирования с атмосферой и извлекают пропитанный образец.

Разрешается применять для вакуумирования и насыщения жидкостью образца автоматическую установку, аттестованную в установленном порядке.

Массу пропитанного образца, погруженного в воду, и массу пропитанного образца на воздухе определяют по ГОСТ 2409. Одновременно измеряют температуру используемой воды. Плотность дистиллированной воды при измеренной температуре определяют по таблице А.1 (приложение А).

6.5 Обработка результатов

6.5.1 Истинную плотность ρ, г/см 3, вычисляют по формуле

image004.jpg,

(3)

где m 1 - масса сухого образца, г;

m 2 - масса пропитанного образца, погруженного в воду, г;

α - поправка, учитывающая степень насыщения пор и температуру воды, таблица 1;

image003.gif - плотность дистиллированной воды при температуре термостатирования, г/см 3.

Таблица 1

Температура воды, °С

Значение поправки α

13-17

0,006

18-23

0,004

24-27

0,002

28 и выше

0

6.5.2 За результат определения истинной плотности принимают среднеарифметическое значение истинной плотности, полученное по двум параллельным определениям, записанное с точностью до второго десятичного знака. Разность между результатами двух параллельных определений не должна превышать 0,01 г/см 3. Если данное условие не выполнено, то проводят испытание пикнометрическим методом. При этом испытанию подвергают среднюю пробу, полученную измельчением обоих образцов, использованных для испытания экспресс-методом.

6.5.3 Если результат определения истинной плотности оказался равен пограничному нормируемому значению истинной плотности, то проводят испытание пикнометрическим методом. Полученное значение истинной плотности считают окончательным.

7 Аппаратурный пикнометрический метод определения истинной плотности

7.1 Сущность метода

Метод основан на определении истинного объема предварительно взвешенного образца при помощи газового пикнометра с автоматическим вакуумированием и насыщением инертным газом образца и с индикацией результата измерений.

7.2 Аппаратура

Пикнометр газовый с диапазоном измерения истинной плотности от 1 до 6 г/см 3 и индикацией результата измерений, например типа Quantacrome или аналогичный.

Весы по ГОСТ 24104 или ГОСТ OIML R 76-1 класса точности I.

7.3 Подготовка пробы

Подготовку пробы проводят по 5.3.

7.4 Проведение испытания

Истинную плотность определяют параллельно на двух аналитических пробах.

Аналитическую пробу взвешивают и проводят определение истинной плотности в автоматическом режиме работы в соответствии с руководством по эксплуатации применяемого газового пикнометра.

Если разность результатов двух параллельных определений превышает заявленную погрешность измерений прибора, определение повторяют. При повторном превышении выясняют причины, приводящие к неудовлетворительным результатам, и устраняют их.

За результат определения принимают среднеарифметическое значение истинной плотности, полученное по двум параллельным определениям.

8 Протокол испытаний

Результаты определений записывают в протокол, в котором указывают:

- обозначение настоящего стандарта;

- наименование организации, проводившей испытание;

- обозначение испытуемого огнеупора, марку, номер партии;

- дату проведения испытания;

- метод определения истинной плотности;

- значения истинной плотности каждого образца (пробы) и среднеарифметическое значение результатов определений;

- должность, фамилию, имя, отчество исполнителя;

- подпись исполнителя.

Примечание - Допускается проводить оформление результатов измерений в соответствии с ГОСТ ISO/IEC 17025, либо с правилами, действующими на конкретном предприятии.

Приложение А
(справочное)

А.1 Плотность воды, свободной от растворенного воздуха, в зависимости от температуры, приведена в таблице А.1.

Таблица А.1

Температура, °С

Плотность image003.gif, г/см 3

Температура, °С

Плотность image003.gif, г/см 3

10

0,9997

26

0,9968

11

0,9996

27

0,9965

12

0,9995

28

0,9962

13

0,9994

29

0,9959

14

0,9992

30

0,9956

15

0,9991

31

0,9953

16

0,9989

32

0,9950

17

0,9988

33

0,9947

18

0,9986

34

0.9944

19

0,9984

35

0,9940

20

0,9982

36

0.9937

21

0,9980

37

0,9933

22

0,9978

38

0,9930

23

0,9975

39

0.9926

24

0,9973

40

0,9922

25

0,9970

41

0,9918

Библиография

[1]

ISO 5018-83

Изделия огнеупорные. Метод определения истинной плотности

Refractory materials. Determination of true density

Яндекс.Метрика