Введен в действие приказом Федерального агентства по техническому регулированию и метрологии от 21 января 2020 г. N 9-ст
Межгосударственный стандарт ГОСТ 2642.14-2019
"ОГНЕУПОРЫ И ОГНЕУПОРНОЕ СЫРЬЕ. МЕТОД ОПРЕДЕЛЕНИЯ ОКСИДА ЦИРКОНИЯ (IV)"
Refractory and refractory raw materials. Method for determination of zirconium oxide (IV)
МКС 81.080
Дата введения - 1 сентября 2020 г.
Взамен ГОСТ 2642.14-86
Предисловие
Цели, основные принципы и общие правила проведения работ по межгосударственной стандартизации установлены ГОСТ 1.0 "Межгосударственная система стандартизации. Основные положения" и ГОСТ 1.2 "Межгосударственная система стандартизации. Стандарты межгосударственные, правила и рекомендации по межгосударственной стандартизации. Правила разработки, принятия, обновления и отмены"
Сведения о стандарте
1 Разработан Обществом с ограниченной ответственностью "Научно-технический центр "Огнеупоры" (ООО "НТЦ "Огнеупоры")
2 Внесен Федеральным агентством по техническому регулированию и метрологии
3 Принят Межгосударственным советом по стандартизации, метрологии и сертификации (протокол от 20 декабря 2019 г. N 125-П)
За принятие проголосовали:
|
Краткое наименование страны по МК (ИСО 3166) 004-97
|
Код страны по МК (ИСО 3166) 004-97
|
Сокращенное наименование национального органа по стандартизации
|
|
Армения
|
AM
|
Минэкономики Республики Армения
|
|
Беларусь
|
BY
|
Госстандарт Республики Беларусь
|
|
Казахстан
|
KZ
|
Госстандарт Республики Казахстан
|
|
Киргизия
|
KG
|
Кыргызстандарт
|
|
Россия
|
RU
|
Росстандарт
|
|
Таджикистан
|
TJ
|
Таджикстандарт
|
|
Узбекистан
|
UZ
|
Узстандарт
|
|
Украина
|
UA
|
Минэкономразвития Украины
|
4 Приказом Федерального агентства по техническому регулированию и метрологии от 21 января 2020 г. N 9-ст межгосударственный стандарт ГОСТ 2642.14-2019 введен в действие в качестве национального стандарта Российской Федерации с 1 сентября 2020 г.
5 Взамен ГОСТ 2642.14-86
1 Область применения
Настоящий стандарт распространяется на огнеупоры и огнеупорное сырье и устанавливает прямой комплексонометрический метод количественного определения оксида циркония (IV) при массовой доле от 1 % до 7 %.
Разрешается определять прямой комплексонометрический метод для количественного определения оксида циркония (IV) при его массовой доле свыше 7 % до 65 %.
2 Нормативные ссылки
В настоящем стандарте использованы нормативные ссылки на следующие межгосударственные стандарты:
ГОСТ 12.4.253 (EN 166:2002) Система стандартов безопасности труда. Средства индивидуальной защиты глаз. Общие технические условия
ГОСТ 83 Реактивы. Натрий углекислый. Технические условия
ГОСТ 1277 Реактивы. Серебро азотнокислое. Технические условия
ГОСТ 1770 (ИСО 1042-83, ИСО 4788-80) Посуда мерная лабораторная стеклянная. Цилиндры, мензурки, колбы, пробирки. Общие технические условия
ГОСТ 2642.0 Огнеупоры и огнеупорное сырье. Общие требования к методам анализа
ГОСТ 3118 Реактивы. Кислота соляная. Технические условия
ГОСТ 3760 Реактивы. Аммиак водный. Технические условия
ГОСТ 3773 Реактивы. Аммоний хлористый. Технические условия
ГОСТ 4199 Реактивы. Натрий тетраборнокислый 10-водный. Технические условия
ГОСТ 4221 Реактивы. Калий углекислый. Технические условия
ГОСТ 4234 Реактивы. Калий хлористый. Технические условия
ГОСТ 5456 Реактивы. Гидроксиламина гидрохлорид. Технические условия
ГОСТ 6563 Изделия технические из благородных металлов и сплавов. Технические условия
ГОСТ 6709 Вода дистиллированная. Технические условия
ГОСТ 7172 Реактивы. Калий пиросернокислый
ГОСТ 10652 Реактивы. Соль динатриевая этилендиамин-N, N, N', N'-тетрауксусной кислоты 2-водная (трилон Б). Технические условия
ГОСТ 22867 Реактивы. Аммоний азотнокислый. Технические условия
ГОСТ 24104 1) Весы лабораторные. Общие технические требования
──────────────────────────────
1) В Российской Федерации действует ГОСТ Р 53228-2008 "Весы неавтоматического действия. Часть 1. Метрологические и технические требования. Испытания".
──────────────────────────────
ГОСТ 25336 Посуда и оборудование лабораторные стеклянные. Типы, основные параметры и размеры
ГОСТ OIML R 76-1 Государственная система обеспечения единства измерений. Весы неавтоматического действия. Часть 1. Метрологические и технические требования. Испытания
ГОСТ ISO/IEC 17025 Общие требования к компетентности испытательных и калибровочных лабораторий
Примечание - При пользовании настоящим стандартом целесообразно проверить действие ссылочных стандартов и классификаторов на официальном интернет-сайте Межгосударственного совета по стандартизации, метрологии и сертификации (www.easc.by) или по указателям национальных стандартов, издаваемых в государствах, указанных в предисловии, или на официальных сайтах соответствующих национальных органов по стандартизации. Если на документ дана недатированная ссылка, то следует использовать документ, действующий на текущий момент, с учетом всех внесенных в него изменений. Если заменен ссылочный документ, на который дана датированная ссылка, то следует использовать указанную версию этого документа. Если после принятия настоящего стандарта в ссылочный документ, на который дана датированная ссылка, внесено изменение, затрагивающее положение, на которое дана ссылка, то это положение применяется без учета данного изменения. Если ссылочный документ отменен без замены, то положение, в котором дана ссылка на него, применяется в части, не затрагивающей эту ссылку.
3 Общие требования
3.1 Общие требования к методам анализа - по ГОСТ 2642.0.
4 Требования безопасности
4.1 Требования безопасности - по ГОСТ 2642.0 с дополнением по 4.1.1.
4.1.1 При проведении испытаний должны применяться индивидуальные средства защиты глаз по ГОСТ 12.4.253.
5 Прямой комплексонометрический метод определения оксида циркония (IV) (при массовой доле от 1 % до 7 %)
5.1 Сущность метода
Метод основан на комплексонометрическом определении оксида циркония (IV) путем прямого титрования трилона Б в присутствии индикатора ксиленового оранжевого в солянокислой среде
5.2 Аппаратура, реактивы, растворы и вспомогательные устройства
Печь муфельная с терморегулятором, обеспечивающая поддержание температуры нагрева 1200 °С с пределами допустимого отклонения ± 50 °С.
Шкаф сушильный, обеспечивающий поддержание заданной температуры сушки 110 °С с пределами допустимого отклонения ± 5 °С.
Электроплитка закрытого типа по технической документации.
Весы по ГОСТ 24104 или по ГОСТ OIML R 76-1, класс точности II.
Тигли платиновые N 100-7 или 100-9 по ГОСТ 6563.
Посуда лабораторная стеклянная по ГОСТ 25336.
Посуда мерная лабораторная стеклянная по ГОСТ 1770.
Вода дистиллированная по ГОСТ 6709.
Натрий углекислый по ГОСТ 83.
Натрий тетраборнокислый 10-водный по ГОСТ 4199.
Натрий тетраборнокислый безводный, изготовленный из натрия тетраборнокислого 10-водного, обезвоженного при температуре (380 ± 20) °С.
Калий углекислый по ГОСТ 4221.
Смесь для сплавления, состоящая из безводного углекислого натрия, безводного тетраборнокислого натрия и углекислого калия в соотношении 1:1:1.
Калий пиросернокислый по ГОСТ 7172.
Кислота соляная по ГОСТ 3118, раствор молярной концентрации, равной 1,5 моль/дм3.
Гидроксиламин гидрохлорид по ГОСТ 5456, раствор с массовой долей 20 %.
Калий хлористый по ГОСТ 4234.
Индикатор ксиленоловый оранжевый, раствор водный с массовой долей 0,5 % по технической документации.
Индикатор метиловый красный, раствор спиртовой с массовой долей 0,1 % по технической документации.
Смесь сухая хлористого калия с индикатором ксиленовым оранжевым в соотношении 1:100. Смесь готовят в фарфоровой ступке и хранят в стеклянном сосуде из темного стекла.
Соль динатриевая этилендиамин-N,N,N', N'-тетрауксусной кислоты 2-водная (трилон Б) по ГОСТ 10652, раствор молярной концентрации 0,05 моль/дм3.
Аммиак водный по ГОСТ 3760, раствор с массовой долей 25 %.
Аммоний азотнокислый по ГОСТ 22867, раствор с массовой долей 2 %, к которому добавляют несколько капель аммиака до изменения цвета по индикатору метиловому красному.
Аммоний хлористый по ГОСТ 3773.
Серебро азотнокислое по ГОСТ 1277, раствор с массовой долей 1 %.
Оксид-дихлорид циркония х. ч. по технической документации.
Оксид циркония (IV) ос. ч 7-2 или спектрально чистый по технической документации.
Фильтр "белая лента" или "красная лента" по технической документации.
5.2.1 Приготовление стандартного раствора
Стандартный раствор с массовой концентрацией оксида циркония (IV) около 0,005 г/см3: от 13 до 14 г оксида-дихлорида циркония растворяют в 50-80 см3 раствора соляной кислоты 1,5 моль/дм3 в стакане вместимостью 200 см3. Раствор переносят в мерную колбу вместимостью 1000 см3, доливают дистиллированной водой до метки и перемешивают.
Точную массовую концентрацию оксида циркония (IV) устанавливают гравиметрическим методом. Для этого в стакан вместимостью от 250 до 300 см3 отбирают 20 см3 стандартного раствора, разбавляют дистиллированной водой до 100 см3, добавляют 2 г хлористого аммония, нагревают до температуры от 50 °С до 60 °С и осаждают избытком аммиака гидроксид циркония. Раствор с осадком нагревают до кипения, дают осадку осесть и отфильтровывают на фильтре диаметром 11 см "красная" или "белая лента". Осадок промывают горячим раствором азотнокислого аммония с массовой долей 2 % до отрицательной реакции на ион хлора (реакция с раствором азотнокислого серебра).
Фильтр с осадком помещают во взвешенный платиновый тигель, подсушивают, озоляют и прокаливают до постоянной массы в муфельной печи при температуре 1200 °С. Массовую концентрацию оксида циркония (IV)
, г/см3, в стандартном растворе находят делением массы осадка оксида циркония (IV), г, на 20.
Допускается для приготовления стандартного раствора оксида циркония (IV) использовать оксид циркония (IV) ос. ч 7-2 или спектрально чистый, который прокаливают перед взятием пробы при 1200 °С в течение 2 ч.
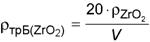
5.2.2 Определение массовой концентрации раствора трилона Б по оксиду циркония (IV)
В коническую колбу вместимостью от 250 до 300 см3 отбирают 20 см3 стандартного раствора оксида циркония (IV), приготовленного по 5.2.1, добавляют от 30 до 40 см3 раствора соляной кислоты 1,5 моль/дм3, кипятят в течение 5 мин, прибавляют две-три капли индикатора ксиленового оранжевого и титруют раствором трилона Б до перехода малиновой окраски раствора в желтую. Перед концом титрования необходимо повторно нагреть раствор до кипения и прокипятить в течение 3-5 мин. Если появилась малиновая окраска, титрование продолжают, раствор трилона Б прибавляют медленно, по каплям, до устойчивой желтой окраски. Проводят три параллельных титрования.
Массовую концентрацию раствора трилона Б по оксиду циркония (IV)
, г/см3, вычисляют по формуле

,
(1)
где 20 - объем стандартного раствора оксида циркония (IV), взятый для титрования, см3;
- массовая концентрация стандартного раствора оксида циркония (IV), г/см3;
V - объем раствора трилона Б, израсходованный на титрование, см3.
5.3 Проведение анализа
5.3.1 Аналитическую пробу массой 0,2 г (при массовой доле оксида циркония от 1 % до 7 %) и 0,1 г (при массовой доле оксида циркония от 5 % до 65 %) смешивают в платиновом тигле N 100-7 или N 100-9 с 3-4 г смеси для сплавления и сплавляют в муфельной печи при температуре от 950 °С до 1000 °С в течение 10-15 мин. Остывший сплав помещают вместе с тиглем в стакан вместимостью от 500 до 600 см3, в который предварительно наливают от 180 до 200 см3 раствора соляной кислоты 1,5 моль/дм3, нагретой до температуры от 70 °С до 80 °С. Растворение сплава заканчивают на закрытой электроплитке при слабом нагреве. Полученный прозрачный раствор охлаждают до температуры от 40 °С до 50 °С, переносят в коническую колбу вместимостью от 500 до 700 см3, обмывают тигель и стакан раствором соляной кислоты 1,5 моль/дм3, приливают от 5 до 10 см3 раствора гидрохлорида гидроксиламина, нагревают и умеренно кипятят 3-5 мин, добавляют две-три капли раствора индикатора ксиленового оранжевого и титруют раствором трилона Б до перехода малиновой окраски раствора в желтую.
Перед концом титрования колбу с анализируемым раствором вновь нагревают до кипения и кипятят в течение 3-6 мин. Если появилась малиновая окраска, титрование продолжают, раствор трилона Б прибавляют медленно, по каплям, до устойчивой в течение 30 с желтой окраски.
Допускается сплавление пробы с 5 г калия пиросернокислого при температуре от 800 до 850 °С до получения прозрачного сплава. Сплав охлаждают до комнатной температуры и растворяют в 180-200 см3 раствора соляной кислоты 1,5 моль/дм3. Далее анализ ведут, как описано выше, начиная с операции приливания раствора гидроксиламина гидрохлорида.
5.4 Обработка результатов
5.4.1 Массовую долю оксида циркония (IV)
, %, вычисляют по формуле
,
(2)
где V - объем раствора трилона Б, израсходованный на титрование, см3;
- массовая концентрация раствора трилона Б по оксиду циркония (IV), г/см3;
m - масса аналитической пробы, г;
Массовая доля оксида циркония (IV)
представлена суммой оксидов циркония (IV) и гафния. Массовая доля оксида гафния (IV) в сырьевых материалах, используемых для производства огнеупоров, не превышает от 1 % до 2 %.
5.4.2 Нормы точности и нормативы контроля точности определений массовой доли оксида циркония (IV) приведены в разделе 6 (см. таблицу 1).
6 Обработка результатов определений
6.1 Проверка приемлемости
Проверяют приемлемость результатов определений массовой доли оксида циркония (IV). Результат проверки считают удовлетворительным, если выполняется условие
,
(3)
где
,
- значения массовой доли оксида циркония (IV), полученные в условиях повторяемости опыта, %;
r - предел повторяемости (см. таблицу 1).
За результат определений массовой доли оксида циркония (IV) принимают среднее арифметическое значение
, полученное по двум последовательным определениям, удовлетворяющим требованию приемлемости.
Если условие (3) не выполнено, проводят два дополнительных определения и проверяют приемлемость повторно полученных результатов.
Если результаты дополнительных определений не удовлетворяют требованиям приемлемости, то за результат определений принимают среднее арифметическое из четырех полученных значений при условии, что ряд последовательно полученных значений не возрастает или не убывает монотонно.
Примечание - Допускается проводить проверку приемлемости результатов в соответствии с документами, действующими на территории государства, принявшего настоящий стандарт 1).
──────────────────────────────
1) В Российской Федерации действует ГОСТ Р ИСО 5725-6-2002 "Точность (правильность и прецизионность) методов и результатов измерений. Часть 6. Использование значений точности на практике".
──────────────────────────────
6.2 В документе о качестве результат определения массовой доли оксида циркония (IV) приводят в сокращенном формате без указания расширенной неопределенности.
По требованию заказчика результат определения массовой доли оксида циркония (IV) может быть приведен в полном формате в следующем виде:

,
(4)
где
- расширенная неопределенность при коэффициенте охвата k = 2.
Результат округляют до того же десятичного знака, которым заканчивается округленное значение расширенной неопределенности
.
Примеры:
1
= (0,103 ± 0,021) %;
2
= (10,1 ± 1,3) %.
6.3 Контроль внутрилабораторной прецизионности
Рассчитывают расхождение результатов определений массовой доли оксида циркония (IV), полученных при оценке промежуточной прецизионности (в условиях одной лаборатории). При этом расхождение между двумя средними результатами определений не должно превышать норматив контроля Rл (см. таблицу 1) согласно условию

,
(5)
где
,
- первое и второе значения массовой доли оксида циркония (IV), %.
При превышении норматива измерения повторяют. При повторном превышении выясняют и устраняют причины, приводящие к неудовлетворительным результатам.
6.4 Оперативный контроль точности
Контроль выполнения процедуры определений (контроль точности результатов измерений) проводят не реже одного раза в смену или одновременно с каждой партией рабочих проб. Для контроля точности результатов измерений применяют государственные стандартные образцы, стандартные образцы предприятия (организации) или смеси, аттестованные в установленном порядке. Если отклонение результата определения массовой доли оксида циркония (IV) в образце для контроля
от аттестованного (расчетного) значения АСО не превышает норматива контроля KT (см. таблицу 1)

,
(6)
то результаты контрольной процедуры признают удовлетворительными. При невыполнении условия (6) определение повторяют. При повторном невыполнении условия (6) определения прекращают до выявления и устранения причин, приводящих к неудовлетворительным результатам.
Таблица 1
В процентах
|
Массовая доля оксида циркония (IV)
|
Нормы точности и нормативы контроля точности
|
|
U(W)
|
Rл
|
r
|
KT
|
|
От 1 до 2 включ.
|
0,09
|
0,12
|
0,10
|
0,06
|
|
Св. 2 до 5 включ.
|
0,15
|
0,19
|
0,15
|
0,10
|
|
Св. 5 до 7 включ.
|
0,21
|
0,26
|
0,22
|
0,14
|
|
Св. 7 до 10 включ.
|
0,2
|
0,3
|
0,2
|
0,1
|
|
Св. 10 до 20 включ.
|
0,3
|
0,4
|
0,3
|
0,2
|
|
Св. 20 до 50 включ.
|
0,5
|
0,6
|
0,5
|
0,3
|
|
Св. 50 до 65 включ.
|
0,7
|
0,8
|
0,7
|
0,4
|
7 Протокол испытания
Результаты определений записывают в протокол, в котором указывают:
- обозначение настоящего стандарта;
- наименование организации, проводившей испытание;
- обозначение испытуемого огнеупора или огнеупорного сырья, марку, номер партии;
- наименование изготовителя;
- дату проведения испытания;
- значение результата определения оксида циркония (IV);
- должность, фамилию, имя, отчество исполнителя;
- подпись исполнителя.
Примечание - Допускается проводить оформление результатов измерений в соответствии с ГОСТ ISO/IEC 17025, либо с правилами, действующими на конкретной организации.