Введен в действие приказом Федерального агентства по техническому регулированию и метрологии от 9 октября 2019 г. N 917-ст
Межгосударственный стандарт ГОСТ 22552.5-2019
"ПЕСОК КВАРЦЕВЫЙ, МОЛОТЫЕ ПЕСЧАНИК, КВАРЦИТ И ЖИЛЬНЫЙ КВАРЦ ДЛЯ СТЕКОЛЬНОЙ ПРОМЫШЛЕННОСТИ. МЕТОД ОПРЕДЕЛЕНИЯ ВЛАГИ"
Quartz sand, ground sandstone, quartzite and veiny quartz for glass industry. Moisture determination method
МКС 81.040.10
Дата введения - 1 февраля 2020 г.
Взамен ГОСТ 22552.5-77
Предисловие
Цели, основные принципы и общие правила проведения работ по межгосударственной стандартизации установлены ГОСТ 1.0 "Межгосударственная система стандартизации. Основные положения" и ГОСТ 1.2 "Межгосударственная система стандартизации. Стандарты межгосударственные, правила и рекомендации по межгосударственной стандартизации. Правила разработки, принятия, обновления и отмены"
Сведения о стандарте
1 Разработан Открытым акционерным обществом "Институт стекла", Техническим комитетом по стандартизации ТК 41 "Стекло"
2 Внесен Федеральным агентством по техническому регулированию и метрологии
3 Принят Межгосударственным советом по стандартизации, метрологии и сертификации (протокол от 30 июля 2019 г. N 120-П)
За принятие проголосовали:
|
Краткое наименование страны по МК (ИСО 3166) 004-97
|
Код страны по МК (ИСО 3166) 004-97
|
Сокращенное наименование национального органа по стандартизации
|
|
Беларусь
|
BY
|
Госстандарт Республики Беларусь
|
|
Киргизия
|
KG
|
Кыргызстандарт
|
|
Россия
|
RU
|
Росстандарт
|
|
Таджикистан
|
TJ
|
Таджикстандарт
|
|
Узбекистан
|
UZ
|
Узстандарт
|
4 Приказом Федерального агентства по техническому регулированию и метрологии от 9 октября 2019 г. N 917-ст межгосударственный стандарт ГОСТ 22552.5-2019 введен в действие в качестве национального стандарта Российской Федерации с 1 февраля 2020 г.
5 Взамен ГОСТ 22552.5-77
1 Область применения
Настоящий стандарт устанавливает метод определения массовой доли влаги в кварцевом песке, молотых песчанике, кварците и жильном кварце (далее - песок), предназначенных для стекольной промышленности.
Метод, установленный настоящим стандартом, применяют при проведении исследовательских, определительных, сравнительных, контрольных испытаний, в том числе квалификационных, приемо-сдаточных, периодических, типовых, сертификационных, инспекционных, арбитражных.
2 Нормативные ссылки
В настоящем стандарте использованы нормативные ссылки на следующие межгосударственные стандарты:
ГОСТ 22552.0-2019 Песок кварцевый, молотые песчаник, кварцит и жильный кварц для стекольной промышленности. Общие требования к методам анализа
ГОСТ OIML R 76-1 Государственная система обеспечения единства измерений. Весы неавтоматического действия. Часть 1. Метрологические и технические требования. Испытания
Примечание - При пользовании настоящим стандартом целесообразно проверить действие ссылочных стандартов и классификаторов на официальном интернет-сайте Межгосударственного совета по стандартизации, метрологии и сертификации (www.easc.by) или по указателям национальных стандартов, издаваемым в государствах, указанных в предисловии, или на официальных сайтах соответствующих национальных органов по стандартизации. Если на ссылочный стандарт дана недатированная ссылка, то следует использовать документ, действующий на текущий момент, с учетом всех внесенных в него изменений. Если заменен ссылочный документ, на который дана датированная ссылка, то следует использовать указанную версию этого документа. Если после принятия настоящего стандарта в ссылочный документ, на который дана датированная ссылка, внесено изменение, затрагивающее положение, на которое дана ссылка, то это положение применяется без учета данного изменения. Если ссылочный документ отменен без замены, то положение, в котором дана ссылка на него, применяется в части, не затрагивающей эту ссылку.
3 Сущность метода
Метод заключается в высушивании навески песка при температуре от 105 °С до 110 °С и определении потери в массе после высушивания.
4 Общие требования
4.1 Общие требования к методу определения массовой доли влаги, требования безопасности, отбор и подготовка проб, оформление результатов - по ГОСТ 22552.0.
4.2 Допускается для определения массовой доли влаги применять другие средства испытания в соответствии с инструкциями по их эксплуатации, обеспечивающие требуемую точность и достоверность результатов определения.
5 Средства испытания
Шкаф сушильный с терморегулятором, обеспечивающий температуру нагрева от 105 °С до 110 °С.
Весы класса точности не ниже II (высокий) по ГОСТ OIML R 76-1.
Чашка фарфоровая.
Эксикатор.
6 Проведение испытания
6.1 Взвешивают фарфоровую чашку, предварительно высушенную до постоянной массы.
6.2 От пробы, выделенной для определения содержания влаги, отбирают навеску песка массой от 40 до 50 г, помещают в чашку и взвешивают чашку с навеской.
6.3 Чашку с навеской выдерживают в сушильном шкафу при температуре от 105 °С до 110 °С не менее 1 ч, затем охлаждают в эксикаторе до комнатной температуры и взвешивают.
Высушивание повторяют по 30 мин до постоянной массы.
6.4 Погрешность взвешивания не более 0,01 г.
6.5 Параллельно проводят не менее двух определений массовой доли влаги в одной пробе песка.
7 Обработка результатов
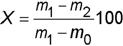
7.1 Массовую долю влаги X, %, вычисляют по формуле

,
(1)
где m0 - масса чашки, г;
m1 - масса чашки с навеской до высушивания, г;
m2 - масса чашки с навеской после высушивания, г.
7.2 Расхождение между результатами двух параллельных определений не должно превышать 0,1 %.