ГОСТ 25500-82* ПЛАСТИКИ СЛОИСТЫЕ ЭЛЕКТРОТЕХНИЧЕСКИЕ ЛИСТОВЫЕ. ОБЩИЕ ТЕХНИЧЕСКИЕ УСЛОВИЯ
Laminated plastic sheets and plates for electrotechnical use. General specifications
Дата введения 1 июля 1983 г.
Настоящий стандарт распространяется на листовые слоистые пластики - гетинакс и текстолит и листовые стеклопластики, стеклотекстолиты (далее - пластики), применяемые в качестве электроизоляционного материала.
Настоящий стандарт устанавливает требования к пластикам, изготовляемым для нужд народного хозяйства и экспорта.
Степень обязательности каждого из показателей устанавливается в нормативно-технической документации на конкретный тип пластика.
(Измененная редакция, Изм. N 2).
1.1. В зависимости от смолы, наполнителя и их отличительных свойств типы пластиков изготовляются в соответствии с табл. 1.
Таблица 1
|
Обозначение типа |
Смола |
Наполнитель |
Диапазон толщин, мм |
Длительно допустимая рабочая температура, °С |
Назначение и свойства |
|
111 |
Фенольная |
Бумага целлюлозная |
0,2-50,0 |
От минус 65 до плюс 120 |
Общего назначения. Применяется в электротехнике |
|
112 |
0,2-2,5 |
Подобно типу 111. Повышенная штампуемость при комнатной температуре | |||
|
113 |
0,4-4,0 |
Хорошие электрические свойства при нормальной влажности. Применяется в электротехнике | |||
|
171 |
Ткань хлопчатобумажная |
0,5-50,0 |
От минус 65 до плюс 105 |
Ограниченного применения. Повышенные электрические свойства | |
|
172 |
0,5-50,0 |
Ограниченного применения. Повышенные механические свойства | |||
|
173 |
0,4-50,0 |
Ограниченного применения. Более мелкая однородная структура. Применяется в электротехнике при повышенных частотах | |||
|
121 |
Ткань из стекловолокна |
0,5-30,0 |
От минус 65 до плюс 120 |
Общего назначения. Применяется в электротехнике | |
|
211 |
Эпоксидная |
Бумага целлюлозная |
1,0-50,0 |
Высокая электрическая прочность в трансформаторном масле. Высокая электрическая прочность на воздухе при нормальной влажности. Применяется в условиях высокого напряжения при промышленных частотах | |
|
221 |
Ткань из стекловолокна |
0,5-50,0 |
От минус 65 до плюс 155 |
Высокая механическая прочность при умеренной температуре Высокая стабильность электрических свойств при повышенной влажности. Применяется в электротехнике | |
|
222 |
0,5-50,0 |
От минус 65 до плюс 130 |
Подобно типу 221. Повышенные физико-механические свойства | ||
|
223 |
0,5-50,0 |
От минус 65 до плюс 140 |
Подобно типу 221. Огнестойкость | ||
|
225 |
3,35-50,0 |
От минус 65 до плюс 180 |
Подобно типу 224. Повышенная теплостойкость | ||
|
231 |
Материал нетканый из стекловолокна |
2,0-50,0 |
От минус 65 до плюс 155 |
Подобно типу 221. Более грубая структура | |
|
241 |
Эпоксидная |
Ткань синтетическая |
0,3-3,0 |
От минус 65 до плюс 120 |
Высокая стабильность электрических свойств при повышенной влажности. Применяется в электротехнике и электронике |
|
251 |
Бумага синтетическая |
0,5-30,0 |
От минус 65 до плюс 150 |
Подобно типу 241. По штампуемости подобен типам 171, 172 | |
|
321 |
Кремнийорганическая |
Ткань из стекловолокна |
0,5-30,0 |
От минус 65 до плюс 180 |
Высокая теплостойкость. Применяется в электротехнике при повышенной температуре |
(Измененная редакция, Изм. N 2).
1.2. Обозначение типов пластика по настоящему стандарту, действующим стандартам и техническим условиям указано в справочном приложении.
1.3. Пластики должны изготовляться в зависимости от применяемого оборудования листами шириной от 450 до 1060 мм и длиной от 600 до 2480 мм.
Предельные отклонения от номинального размера не должны превышать:
±35 мм - при стороне листа менее 980 мм;
±50 мм - при стороне листа 980 мм и более.
По согласованию изготовителя с потребителем допускается изготовлять пластики других размеров. Допускается поставлять пластики листами с вырезами (для испытаний) с одной стороны листа, при этом листов с вырезами должно быть не более:
12 - в одном контейнере;
2 - в одном ящике.
1.4. Номинальная толщина и предельные отклонения от номинальной толщины в зависимости от наполнителя должны соответствовать указанным в табл. 2.
Номинальная толщина и предельные отклонения от номинальной толщины в зависимости от наполнителя для конкретного типа пластика должны быть указаны в стандартах или технических условиях на этот материал.
Таблица 2
мм
|
Номинальная толщина |
Предельное отклонение по толщине | ||||||||
|
Бумага целлюлозная |
Ткань хлопчатобумажная и синтетическая |
Ткань из стекловолокна |
Материал нетканый из стекловолокна |
Бумага синтетическая | |||||
|
Высший сорт |
Первый сорт |
Высший сорт |
Первый сорт |
Высший сорт |
Первый сорт |
Высший сорт |
Первый сорт |
Высший и первый сорт | |
|
0,2 |
±0,03 |
±0,06 |
- |
- |
- |
- |
- |
- |
- |
|
0,3 |
±0,03 |
±0,06 |
- |
- |
- |
- |
- |
- |
- |
|
0,35 |
±0,03 |
±0,06 |
- |
- |
- |
- |
- |
- |
- |
|
0,4 |
±0,04 |
±0,07 |
- |
- |
- |
- |
- |
- |
- |
|
0,5 |
±0,07 |
±0,07 |
±0,15 |
±0,15 |
±0,10 |
±0,15 |
- |
- |
±0,20 |
|
0,6 |
±0,08 |
±0,11 |
±0,15 |
±0,15 |
±0,13 |
±0,15 |
- |
- |
±0,20 |
|
0,8 |
±0,10 |
±0,13 |
±0,15 |
±0,15 |
±0,15 |
±0,20 |
- |
- |
±0,20 |
|
1,0 |
±0,11 |
±0,13 |
±0,15 |
±0,15 |
±0,18 |
±0,25 |
- |
- |
±0,25 |
|
1,2 |
±0,13 |
±0,15 |
±0,18 |
±0,18 |
±0,20 |
±0,25 |
- |
- |
±0,25 |
|
1,4 |
- |
±0,15 |
- |
±0,18 |
- |
±0,25 |
- |
- |
±0,25 |
|
1,5 |
±0,14 |
±0,15 |
±0,18 |
±0,18 |
±0,20 |
±0,25 |
- |
- |
±0,25 |
|
1,6 |
±0,15 |
±0,19 |
±0,23 |
±0,23 |
±0,24 |
±0,30 |
- |
- |
±0,30 |
|
1,8 |
±0,16 |
±0,19 |
±0,23 |
±0,23 |
±0,24 |
±0,30 |
- |
- |
±0,30 |
|
1,9 |
±0,16 |
±0,19 |
- |
- |
- |
- |
- |
- |
±0,30 |
|
2,0 |
±0,17 |
±0,23 |
±0,23 |
±0,23 |
±0,25 |
±0,30 |
±0,40 |
±0,40 |
±0,30 |
|
2,2 |
±0,20 |
±0,26 |
±0,26 |
±0,33 |
±0,30 |
±0,30 |
- |
- |
±0,40 |
|
2,5 |
±0,20 |
±0,28 |
±0,29 |
±0,33 |
±0,30 |
±0,30 |
±0,50 |
±0,50 |
±0,40 |
|
2,8 |
- |
±0,28 |
- |
±0,33 |
- |
±0,30 |
- |
- |
±0,40 |
|
3,0 |
±0,20 |
±0,28 |
±0,31 |
±0,35 |
±0,35 |
±0,40 |
±0,50 |
±0,50 |
±0,40 |
|
3,5 |
±0,25 |
±0,28 |
±0,34 |
±0,35 |
±0,40 |
±0,40 |
±0,50 |
±0,50 |
±0,40 |
|
4,0 |
±0,25 |
±0,33 |
±0,36 |
±0,40 |
±0,45 |
±0,50 |
±0,50 |
±0,60 |
±0,50 |
|
4,5 |
±0,30 |
±0,33 |
±0,40 |
±0,40 |
±0,50 |
±0,50 |
±0,60 |
±0,60 |
±0,50 |
|
5,0 |
±0,30 |
±0,36 |
±0,42 |
±0,53 |
±0,52 |
±0,60 |
±0,70 |
±0,70 |
±0,60 |
|
5,5 |
±0,30 |
±0,36 |
±0,44 |
±0,53 |
±0,57 |
±0,60 |
±0,70 |
±0,70 |
±0,60 |
|
6,0 |
±0,35 |
±0,43 |
±0,46 |
±0,63 |
±0,60 |
±0,70 |
±0,80 |
±0,80 |
±0,70 |
|
7,0 |
±0,35 |
±0,43 |
±0,51 |
±0,68 |
±0,66 |
±0,80 |
±0,90 |
±0,90 |
±0,80 |
|
8,0 |
±0,40 |
±0,50 |
±0,55 |
±0,68 |
±0,70 |
±0,80 |
±0,90 |
±0,90 |
±0,80 |
|
9,0 |
- |
±0,50 |
- |
±0,80 |
- |
±0,90 |
- |
±1,50 |
±0,90 |
|
10,0 |
±0,50 |
±0,65 |
±0,63 |
±0,90 |
±0,80 |
±1,00 |
±1,00 |
±1,50 |
±1,00 |
|
11,0 |
- |
±0,65 |
- |
±1,10 |
- |
±1,50 |
- |
±2,00 |
±1,50 |
|
12,0 |
±0,50 |
±0,65 |
±0,70 |
±1,10 |
±0,85 |
±1,50 |
+2,00 -1,00 |
±2,00 |
±1,50 |
|
13,0 |
- |
±0,65 |
- |
±1,10 |
- |
±1,50 |
- |
±2,00 |
±1,50 |
|
14,0 |
+0,60 |
±0,65 |
±0,78 |
±1,10 |
±0,95 |
±1,50 |
+2,00 -1,00 |
±2,00 |
±1,50 |
|
15,0 |
±0,60 |
±1,00 |
±0,81 |
±1,50 |
±1,00 |
±2,00 |
+2,00 -1,00 |
±2,50 |
±2,00 |
|
16,0 |
±0,60 |
±1,00 |
±0,85 |
±1,50 |
±1,00 |
±2,00 |
±2,50 |
±2,00 | |
|
18,0 |
±0,70 |
±1,00 |
±0,90 |
±1,50 |
±1,10 |
±2,00 |
±2,50 |
±2,00 | |
|
20,0 |
±0,70 |
±1,10 |
±0,95 |
±2,00 |
±1,15 |
±2,50 |
±3,00 |
±2,50 | |
|
25,0 |
±0,80 |
±1,10 |
±1,10 |
±2,00 |
±1,25 |
±2,50 |
+2,50 -1,00 |
±3,00 |
±2,50 |
|
30,0 |
±1,00 |
±1,20 |
±1,22 |
±3,00 |
±1,40 |
±2,50 |
±4,00 |
±3,50 |
±3,50 |
|
35,0 |
±1,00 |
±1,30 |
±1,34 |
±3,00 |
±1,50 |
±3,50 |
±4,50 |
±3,50 | |
|
40,0 |
±1,00 |
±1,50 |
±1,45 |
±3,00 |
±1,60 |
±3,50 |
±4,50 |
±3,50 | |
|
45,0 |
±1,00 |
±2,00 |
±1,55 |
±3,30 |
±1,75 |
±4,00 |
±5,00 |
±4,00 | |
|
50,0 |
±1,20 |
±2,00 |
±1,65 |
±3,30 |
±1,90 |
±4,00 |
±5,00 |
±5,00 |
±4,00 |
(Измененная редакция, Изм. N 2).
1.5. Условное обозначение должно состоять из типа пластика, номинальной толщины и обозначения настоящего стандарта.
Тип пластика обозначается тремя цифрами, из которых первая обозначает смолу, вторая - наполнитель, третья - порядковый номер пластика.
Пример условного обозначения пластика на основе фенольной смолы и целлюлозной бумаги толщиной листа 10,0 мм:
Пластик 111 - 10,0 ГОСТ 25500-82
То же, пластика на основе эпоксидной смолы и ткани из стекловолокна толщиной листа 10,0 мм:
Пластик 223 - 10,0 ГОСТ 25500-82
Условное обозначение для конкретного типа пластика должно быть указано в стандартах или технических условиях на этот материал.
2.1. Пластики должны изготовляться в соответствии с требованиями настоящего стандарта, стандарта или технических условий на конкретный тип пластика по технологической документации, утвержденной в установленном порядке.
2.2. Сырье и материалы, применяемые для изготовления пластиков, должны указываться в стандартах или технических условиях на конкретный тип пластика.
2.3. Поверхность листов пластиков должна быть гладкой, без газовых пузырей и посторонних включений. Допускаются отдельные риски, рябизна, вмятины, выпуклости, следы царапин (как отпечатки прокладочных листов) и разнотонность.
Дополнительные требования должны быть указаны в стандартах или технических условиях на этот материал. Между изготовителем и потребителем могут утверждаться в установленном порядке контрольные образцы для отдельных марок.
Допускается наличие отклонений на поверхности пластиков, обусловленных дефектами наполнителя, допускаемых стандартами или нормативно-технической документацией на наполнитель.
(Измененная редакция, Изм. N 2).
2.4. Листы пластиков должны быть с ровно обрезанными краями. Не допускаются расслоения и трещины с торцов.
Дополнительные требования к обрезке листов на конкретный тип пластиков должны быть указаны в стандартах или технических условиях на этот материал.
2.5. Штампуемость листов пластиков в зависимости от типа и толщины должна соответствовать значению, указанному в табл. 3.
(Измененная редакция, Изм. N 2).
Таблица 3
|
Номинальная толщина, мм |
Значение параметра для типа, не более | |||||
|
111, 173, 113, 211 |
121, 225, 221, 321 |
222, 223 |
171, 241, 172 |
112 |
251 | |
|
в условиях | ||||||
|
М/70С/<20% |
М/105С/<20% |
М/70С/<20% |
М/15-35С/45-75% | |||
|
0,5 |
2,00 |
2,00 |
2,00 |
1,00 |
2,00 |
1,00 |
|
0,6 |
1,67 |
1,67 |
1,67 |
0,83 |
1,67 |
0,83 |
|
0,8 |
1,25 |
1,25 |
1,25 |
0,63 |
1,25 |
0,63 |
|
1,0 |
1,50 |
1,50 |
1,00 |
1,00 |
1,50 |
1,00 |
|
1,2 |
1,25 |
1,25 |
0,83 |
0,83 |
1,25 |
0,83 |
|
1,4 |
1,07 |
1,07 |
0,71 |
0,71 |
1,07 |
0,71 |
|
1,5 |
1,00 |
1,00 |
0,67 |
0,67 |
1,00 |
0,67 |
|
1,6 |
1,25 |
1,25 |
0,94 |
0,94 |
1,25 |
0,94 |
|
1,8 |
1,11 |
1,11 |
0,83 |
0,83 |
1,11 |
0,83 |
|
1,9 |
1,05 |
- |
- |
- |
- |
- |
|
2,0 |
1,00 |
1,00 |
0,75 |
0,75 |
1,00 |
0,75 |
2.6. Стрела прогиба для листов толщиной 3 мм и более не должна превышать значения, указанного в табл. 4, 5, при длине линейки 1000 мм
Таблица 4
мм
|
Номинальная толщина |
Стрела прогиба для типа Высшей категории |
Номинальная толщина |
Стрела прогиба для типа Высшей категории | ||||
|
111, 171, 121, 221, 241, 172, 222, 225, 113, 173, 201, 223, 231, 251 |
321 |
111, 171, 121, 221, 241, 172, 222, 225, 113, 173, 201, 223, 231, 251 |
321 | ||||
|
3,0 |
10 |
15 |
12,0 |
6 |
10 | ||
|
3,5 |
14,0 | ||||||
|
4,0 |
15,0 | ||||||
|
4,5 |
16,0 | ||||||
|
5,0 |
18,0 | ||||||
|
5,5 |
20,0 | ||||||
|
6,0 |
25,0 | ||||||
|
7,0 |
8 |
12 |
30,0 | ||||
|
35,0 | |||||||
|
8,0 |
40,0 | ||||||
|
45,0 | |||||||
|
10,0 |
6 |
10 |
50,0 | ||||
Таблица 5
мм
|
Номинальная толщина |
Стрела прогиба для типа Первой категории |
Номинальная толщина |
Стрела прогиба для типа Первой категории | ||
|
111*, 171, 121, 231, 113, 172, 241, 173, 221, 211 |
321 |
111*, 171, 121, 231, 113, 172, 241, 173, 221, 211 |
321 | ||
|
3,0 |
15 |
23 |
11,0 |
9 |
12 |
|
3,5 |
12,0 | ||||
|
4,0 |
13,0 | ||||
|
4,5 |
14,0 | ||||
|
5,0 |
15,0 | ||||
|
5,5 |
16,0 | ||||
|
6,0 |
18,0 | ||||
|
20,0 | |||||
|
7,0 |
12 |
18 |
25,0 | ||
|
30,0 | |||||
|
8,0 |
35,0 | ||||
|
40,0 | |||||
|
9,0 |
9 |
12 |
45,0 | ||
|
10,0 |
50,0 | ||||
______________________________
* Допускается для отдельных марок типа 111 увеличение стрелы прогиба до 30%, указанное в стандарте на пластик.
2.7. Коробление для листов толщиной 2 мм и более не должно превышать значения, указанного в табл. 6, при длине линейки 1000 мм.
2.8. По физико-механическим и электрическим свойствам пластики всех типов должны соответствовать требованиям, указанным в табл. 7-12.
2.6-2.8. (Измененная редакция, Изм. N 2).
2.9. Пластики должны допускать механическую обработку: обточку, фрезерование, распиловку и сверление без образования трещин и сколов при условии соблюдения режимов обработки, устанавливаемых по согласованию изготовителя с потребителем.
2.10. Дополнительные требования для данного типа пластика должны быть указаны в стандартах или технических условиях на конкретный тип пластика.
Таблица 6
мм
|
Номинальная толщина |
Предельно допустимое коробление для типа | ||||||||||||||
|
111* |
113 |
171 |
172 |
173 |
121 |
211 |
221 |
222 |
223 |
225 |
231 |
241 |
251 |
321 | |
|
2,0 |
30 |
30 |
- |
- |
- |
- |
30 |
35 |
30 |
35 |
35 |
35 |
- |
- |
30 |
|
2,2 |
30 |
30 |
- |
- |
- |
- |
30 |
25 |
20 |
25 |
- |
- |
- |
- |
20 |
|
2,5 |
30 |
30 |
- |
- |
- |
- |
30 |
25 |
20 |
25 |
25 |
25 |
- |
- |
20 |
|
2,8 |
30 |
30 |
- |
- |
- |
- |
30 |
25 |
20 |
25 |
- |
- |
- |
- |
20 |
|
3,0 |
30 |
30 |
40 |
40 |
40 |
25 |
30 |
25 |
20 |
25 |
25 |
25 |
- |
- |
20 |
|
3,5 |
30 |
30 |
40 |
40 |
40 |
25 |
30 |
25 |
20 |
25 |
25 |
25 |
- |
- |
20 |
|
4,0 |
25 |
30 |
35 |
35 |
35 |
20 |
20 |
20 |
14 |
20 |
20 |
20 |
- |
- |
14 |
|
4,5 |
25 |
- |
35 |
35 |
35 |
20 |
20 |
20 |
14 |
20 |
20 |
20 |
- |
- |
14 |
|
5,0 |
10 |
- |
14 |
14 |
14 |
14 |
10 |
14 |
10 |
14 |
14 |
14 |
- |
- |
10 |
|
5,5 |
10 |
- |
14 |
14 |
14 |
14 |
10 |
14 |
10 |
14 |
14 |
14 |
- |
- |
10 |
|
6,0 |
7 |
- |
10 |
10 |
10 |
14 |
7 |
12 |
8 |
12 |
12 |
12 |
- |
- |
8 |
|
7,0 |
7 |
- |
10 |
10 |
10 |
10 |
7 |
10 |
7 |
10 |
10 |
10 |
- |
- |
7 |
|
8,0 |
7 |
- |
10 |
10 |
10 |
10 |
7 |
10 |
7 |
10 |
10 |
10 |
- |
- |
7 |
|
9,0 |
7 |
- |
10 |
10 |
- |
10 |
7 |
10 |
7 |
10 |
10 |
10 |
- |
- |
7 |
|
10,0 |
7 |
- |
7 |
7 |
- |
10 |
7 |
10 |
7 |
10 |
10 |
7 |
- |
- |
7 |
|
11,0 |
7 |
- |
7 |
7 |
- |
7 |
7 |
7 |
7 |
7 |
7 |
7 |
- |
- |
7 |
|
12,0 |
7 |
- |
7 |
7 |
- |
7 |
7 |
7 |
7 |
7 |
7 |
7 |
- |
- |
7 |
|
13,0 |
7 |
- |
7 |
7 |
- |
7 |
7 |
7 |
7 |
7 |
7 |
7 |
- |
- |
7 |
|
14,0 |
7 |
- |
7 |
7 |
- |
7 |
7 |
7 |
7 |
7 |
7 |
7 |
- |
- |
7 |
|
15,0 |
5 |
5 |
5 |
5 |
- |
5 |
5 |
5 |
5 |
5 |
5 |
5 |
- |
- |
5 |
|
16,0 |
5 |
5 |
5 |
5 |
- |
5 |
5 |
5 |
5 |
5 |
5 |
5 |
- |
- |
5 |
|
18,0 |
5 |
5 |
5 |
5 |
- |
5 |
5 |
5 |
5 |
5 |
5 |
5 |
- |
- |
5 |
|
20,0 |
5 |
5 |
5 |
5 |
- |
5 |
5 |
5 |
5 |
5 |
5 |
5 |
- |
- |
5 |
|
25,0 |
5 |
5 |
5 |
5 |
- |
5 |
5 |
5 |
5 |
5 |
5 |
5 |
- |
- |
5 |
|
30,0 |
5 |
5 |
5 |
5 |
- |
5 |
5 |
5 |
5 |
5 |
5 |
5 |
- |
- |
5 |
|
35,0 |
5 |
5 |
5 |
5 |
- |
- |
5 |
5 |
5 |
5 |
5 |
5 |
- |
- |
- |
|
40,0 |
5 |
5 |
5 |
5 |
- |
- |
5 |
5 |
5 |
5 |
5 |
5 |
- |
- |
- |
|
45,0 |
4 |
4 |
5 |
5 |
- |
- |
4 |
5 |
5 |
5 |
5 |
5 |
- |
- |
- |
|
50,0 |
4 |
4 |
5 |
5 |
- |
- |
4 |
5 |
5 |
5 |
5 |
5 |
- |
- |
- |
|
55,0 |
- |
- |
- |
- |
- |
- |
- |
- |
- |
- |
- |
- |
- |
- |
- |
|
60,0 |
- |
- |
- |
- |
- |
- |
- |
- |
- |
- |
- |
- |
- |
- |
- |
______________________________
* Допускается для отдельных марок типа 111 по Первой категории качества увеличение коробления до 30% указанного в стандартах на пластики.
Таблица 7
|
Показатель |
Норма для типа пластика высшего сорта | ||||||||
|
111 |
112 |
113 |
171 |
172 |
173 |
211 |
241 |
251 | |
|
1. Плотность, кг/м3 |
1300-1400 |
1300-1400 |
1300-1400 |
1300-1450 |
1300-1450 |
1300-1450 |
1300-1400 |
1250-1350 |
1250-1350 |
|
2. Разрушающее напряжение при изгибе перпендикулярно слоям, МПа, не менее |
135 |
80 |
130 |
90 |
100 |
110 |
130 |
110 |
80 |
|
3. Разрушающее напряжение при растяжении, МПа, не менее |
120 |
65 |
100 |
35 |
45 |
70 |
100 |
50 |
60 |
|
4. Ударная вязкость по Шарпи параллельно слоям на образцах с надрезом, кДж/м2, не менее |
- |
- |
- |
7,8 |
7,8 |
7,0 |
- |
- |
- |
|
5. Удельное объемное электрическое сопротивление, Ом·м, не менее: |
- |
- |
- |
- |
- |
- |
- |
- |
- |
|
а) после кондиционирования в условиях 24 ч/23°С/93% для листов толщиной: |
- |
- |
- |
- |
- |
- |
- |
- |
- |
|
до 2,0 мм |
1·106 |
1·107 |
- |
- |
- |
- |
- |
- |
- |
|
до 4,0 мм |
_ |
_ |
1·107 |
1·106 |
1·106 |
1·107 |
1·108 |
- |
- |
|
до 8,0 мм |
- |
- |
- |
1·106 |
1·106 |
1·106 |
- |
- |
- |
|
б) после кондиционирования в условиях 96 ч/40°С/93% для листов толщиной до 8,0 мм |
- |
- |
- |
- |
- |
- |
- |
5·1010 |
5·108 |
|
6. Сопротивление изоляции после кондиционирования в условиях 24 ч/23°С/дистиллированная вода, МОм, не менее |
- |
- |
5·101 |
- |
- |
- |
- |
- |
- |
|
7. Тангенс угла диэлектрических потерь при частоте 50 Гц после кондиционирования в условиях 96 ч/105°С/<20%, не более |
- |
- |
- |
- |
- |
- |
0,05 |
- |
- |
|
8. Пробивное напряжение параллельно слоям (одноминутное проверочное испытание) в условиях М/90°С/ трансформаторное масло, кВэфф, не менее |
16 |
- |
20 |
15 |
15 |
15 |
40 |
40 |
- |
Примечание. В стандартах или технических условиях на конкретный тип пластика по согласованию с потребителем указывают удельное объемное электрическое сопротивление или сопротивление изоляции.
Таблица 8
|
Показатель |
Норма для типа пластика высшего сорта | ||||||
|
121 |
221 |
222 |
223 |
225 |
231 |
321 | |
|
1. Плотность, кг/м3 |
1600-1800 |
1600-1900 |
1700-1900 |
1750-2050 |
1700-1900 |
1700-1900 |
1600-1800 |
|
2. Разрушающее напряжение при изгибе перпендикулярно слоям, МПа, не менее |
200 |
350 |
400 |
350 |
350 |
350 |
125 |
|
3. Разрушающее напряжение при растяжении, МПа, не менее |
100 |
220 |
220 |
220 |
220 |
220 |
90 |
|
4. Ударная вязкость по Шарпи параллельно слоям на образцах с надрезом, кДж/м2, не менее |
40 |
50 |
50 |
50 |
50 |
70 |
25 |
|
5. Удельное объемное электрическое сопротивление, Ом х м, не менее: после кондиционирования в условиях 24 ч/23°С/93% для листов толщиной до 8,0 мм |
1·108 |
1·1010 |
5·1010 |
5·1010 |
1·1010 |
1·1010 |
1·108 |
|
6. Сопротивление изоляции после кондиционирования в условиях 24 ч/23°С/дистиллированная вода, МОм, не менее |
- |
5·104 |
5·104 |
5·104 |
5·104 |
1·104 |
1·102 |
|
7. Тангенс угла диэлектрических потерь при частоте 1·106 Гц после кондиционирования в условиях 24 ч/23°С/дистиллированная вода, не более |
- |
0,04 |
0,04 |
0,04 |
0,04 |
0,04 |
0,07 |
|
8. Пробивное напряжение параллельно слоям (одноминутное проверочное испытание) в условиях М/90°С/трансформаторное масло, кВэфф, не менее |
20 |
35 |
35 |
35 |
35 |
35 |
25 |
Примечания:
1. Значение разрушающего напряжения при изгибе для типа 225, измеренное при температуре (150±5)°С, должно быть не менее 40% значения, указанного в таблице.
2. Значение разрушающего напряжения при изгибе для типа 321, измеренное при температуре (180±5)°С, должно быть не менее 40% значения, указанного в таблице.
3. В стандартах или технических условиях на конкретный тип пластика по согласованию с потребителем указывают удельное объемное электрическое сопротивление или сопротивление изоляции.
Таблица 9
|
Показатель |
Норма дня типа пластика первого сорта | ||||||||||
|
111 |
113 |
171 |
172 |
173 |
121 |
211 |
221 |
231 |
241 |
321 | |
|
1. Плотность, кг/м3 |
1350-1450 |
1300-1400 |
1300-1450 |
1300-1450 |
1300-1450 |
1600-1850 |
1280-1400 |
1600-1900 |
1600-1900 |
1250-1350 |
1600-1800 |
|
2. Разрушающее напряжение при изгибе перпендикулярно слоям, МПа, не менее |
105 |
70 |
80 |
90 |
90 |
100 |
105 |
280 |
320 |
110 |
60 |
|
3. Разрушающее напряжение при растяжении, МПа, не менее |
80 |
70 |
35 |
45 |
45 |
75 |
70 |
200 |
220 |
50 |
90 |
|
4. Ударная вязкость по Шарпи параллельно слоям на образцах с надрезом, кДж/м2, не менее |
- |
- |
6,8 |
6,8 |
6,0 |
9 |
- |
30 |
30 |
- |
25 |
|
5. Удельное объемное электрическое сопротивление, Ом·м, не менее: | |||||||||||
|
а) после кондиционирования в условиях 24 ч/23°С/93% для листов толщиной: | |||||||||||
|
до 2,0 мм |
1·106 |
- |
- |
- |
- |
- |
- |
- |
- |
- |
- |
|
до 4,0 мм |
- |
1·107 |
1·106 |
1·106 |
1·107 |
- |
1·108 |
- |
- |
- |
- |
|
до 8,0 мм |
- |
- |
1·106 |
1·106 |
1·106 |
1·106 |
- |
1·1010 |
1·1010 |
- |
1·108 |
|
б) после кондиционирования в условиях 96 ч/40°С/93% для листов толщиной до 8,0 мм |
- |
- |
- |
- |
- |
- |
- |
- |
- |
5·1010 |
- |
|
6. Сопротивление изоляции после кондиционирования в условиях 24 ч/23°С/дистиллированная вода, МОм, не менее |
- |
1·101 |
- |
- |
- |
- |
- |
- |
- |
- |
- |
|
7. Тангенс угла диэлектрических потерь при частоте 50 Гц после кондиционирования в условиях 96 ч/105°С/<20%, не более |
- |
- |
- |
- |
- |
- |
0,05 |
0,04 |
0,04 |
- |
- |
|
8. Пробивное напряжение параллельно слоям (одноминутное проверочное испытание) в условиях М/90°С/трансформаторное масло, кВэфф, не менее |
12 |
16 |
12 |
10 |
10 |
8 |
32 |
28 |
28 |
30 |
20 |
Таблица 10
|
Обозначение типа |
Толщина образца, мм | ||||||||||||||||
|
0,4 |
0,5 |
0,6 |
0,8 |
1,0 |
1,2 |
1,4 |
1,5 |
1,6 |
1,8 |
1,9 |
2,0 |
2,2 |
2,5 |
2,8 |
3,0 |
3,5 | |
|
111 |
410 |
417 |
423 |
437 |
450 |
460 |
470 |
475 |
480 |
490 |
495 |
500 |
515 |
525 |
540 |
550 |
575 |
|
112 |
410 |
417 |
423 |
437 |
450 |
460 |
470 |
475 |
480 |
490 |
495 |
500 |
515 |
525 |
- |
- |
- |
|
113 |
160 |
162 |
163 |
167 |
170 |
174 |
176 |
177 |
178 |
182 |
186 |
190 |
192 |
195 |
198 |
200 |
210 |
|
171 |
- |
- |
- |
133 |
136 |
139 |
142 |
144 |
145 |
148 |
150 |
151 |
153 |
157 |
160 |
162 |
166 |
|
172 |
- |
- |
- |
201 |
206 |
211 |
216 |
218 |
220 |
224 |
227 |
229 |
234 |
239 |
245 |
249 |
255 |
|
173 |
186 |
190 |
194 |
201 |
206 |
211 |
216 |
218 |
220 |
224 |
227 |
229 |
234 |
239 |
245 |
249 |
255 |
|
121 |
110 |
114 |
121 |
128 |
136 |
144 |
148 |
152 |
160 |
164 |
168 |
178 |
188 |
200 |
208 |
230 | |
|
131 |
- |
- |
- |
- |
- |
- |
- |
- |
- |
- |
- |
- |
- |
- |
- |
208 |
230 |
|
161 |
- |
- |
- |
- |
- |
- |
- |
- |
318 |
322 |
328 |
331 |
339 |
347 |
355 |
365 |
380 |
|
211 |
- |
- |
- |
- |
180 |
188 |
198 |
202 |
204 |
212 |
216 |
220 |
230 |
240 |
250 |
260 |
280 |
|
221 |
- |
17 |
17 |
18 |
18 |
18 |
19 |
19 |
19 |
20 |
20 |
20 |
21 |
21 |
22 |
22 |
23 |
|
222 |
- |
17 |
17 |
18 |
18 |
18 |
19 |
19 |
19 |
20 |
20 |
20 |
21 |
21 |
22 |
22 |
23 |
|
223 |
- |
17 |
17 |
18 |
18 |
18 |
19 |
19 |
19 |
20 |
20 |
20 |
21 |
21 |
22 |
22 |
23 |
|
224 |
- |
17 |
17 |
18 |
18 |
18 |
19 |
19 |
19 |
20 |
20 |
20 |
21 |
21 |
22 |
22 |
23 |
|
225 |
17 |
17 |
17 |
18 |
18 |
18 |
19 |
19 |
19 |
20 |
20 |
20 |
21 |
21 |
22 |
22 |
23 |
|
231 |
- |
- |
- |
- |
- |
- |
- |
- |
- |
- |
- |
20 |
21 |
21 |
22 |
22 |
23 |
|
241 |
17 |
17 |
17 |
18 |
18 |
18 |
19 |
19 |
19 |
20 |
20 |
20 |
21 |
21 |
22 |
22 |
23 |
|
251 |
- |
- |
- |
- |
- |
- |
- |
- |
- |
- |
- |
- |
- |
- |
- |
- |
- |
|
321 |
- |
29 |
29 |
31 |
32 |
33 |
34 |
35 |
35 |
36 |
36 |
36 |
38 |
38 |
39 |
40 |
43 |
|
322 |
7 |
7 |
8 |
8 |
9 |
9 |
10 |
10 |
10 |
11 |
11 |
11 |
12 |
12 |
13 |
13 |
14 |
|
Обозначение типа |
Толщина образца, мм | ||||||||||||||||
|
4,0 |
4,5 |
5,0 |
5,5 |
6,0 |
7,0 |
8,0 |
9,0 |
10,0 |
11,0 |
12,0 |
13,0 |
14,0 |
15,0 |
16,0 |
18,0 |
20,0 | |
|
111 |
600 |
625 |
650 |
675 |
700 |
755 |
810 |
865 |
920 |
970 |
1020 |
1075 |
1130 |
1180 |
1230 |
1335 |
1440 |
|
112 |
- |
- |
- |
- |
- |
- |
- |
- |
- |
- |
- |
- |
- |
- |
- |
- |
- |
|
113 |
220 |
228 |
235 |
247 |
250 |
268 |
285 |
303 |
320 |
335 |
350 |
370 |
390 |
405 |
420 |
455 |
490 |
|
171 |
169 |
172 |
175 |
178 |
182 |
189 |
195 |
202 |
209 |
216 |
223 |
230 |
236 |
243 |
250 |
264 |
277 |
|
172 |
262 |
269 |
275 |
280 |
284 |
293 |
301 |
310 |
319 |
328 |
336 |
345 |
354 |
362 |
371 |
389 |
406 |
|
173 |
262 |
269 |
275 |
280 |
284 |
293 |
301 |
310 |
319 |
328 |
336 |
345 |
354 |
362 |
371 |
389 |
406 |
|
121 |
249 |
269 |
289 |
310 |
330 |
370 |
411 |
451 |
491 |
531 |
570 |
611 |
652 |
695 |
738 |
816 |
895 |
|
211 |
300 |
320 |
342 |
362 |
382 |
430 |
470 |
510 |
550 |
590 |
630 |
675 |
720 |
760 |
800 |
885 |
970 |
|
221 |
23 |
24 |
25 |
26 |
27 |
29 |
31 |
33 |
34 |
36 |
38 |
40 |
41 |
43 |
45 |
49 |
52 |
|
222 |
23 |
24 |
25 |
26 |
27 |
29 |
31 |
33 |
34 |
36 |
38 |
40 |
41 |
43 |
45 |
49 |
52 |
|
223 |
23 |
24 |
25 |
26 |
27 |
29 |
31 |
33 |
34 |
36 |
38 |
40 |
41 |
43 |
45 |
49 |
52 |
|
225 |
23 |
24 |
25 |
26 |
27 |
29 |
31 |
33 |
34 |
36 |
38 |
40 |
41 |
43 |
45 |
49 |
52 |
|
231 |
23 |
24 |
25 |
26 |
27 |
29 |
31 |
33 |
34 |
36 |
38 |
40 |
41 |
43 |
45 |
49 |
52 |
|
241 |
23 |
24 |
25 |
26 |
27 |
29 |
31 |
33 |
34 |
36 |
38 |
40 |
41 |
43 |
45 |
49 |
52 |
|
251 |
- |
- |
- |
- |
- |
- |
- |
- |
- |
- |
- |
- |
- |
- |
- |
- |
- |
|
321 |
45 |
48 |
50 |
53 |
55 |
60 |
65 |
70 |
75 |
80 |
85 |
90 |
95 |
100 |
105 |
115 |
125 |
Таблица 11
|
Обозначение типа |
Толщина образца, мм | |||||||||||||||||||
|
0,4 |
0,5 |
0,6 |
0,7 |
0,8 |
0,9 |
1,0 |
1,2 |
1,4 |
1,5 |
1,6 |
1,8 |
1,9 |
2,0 |
2,2 |
2,4 |
2,5 |
2,6 |
2,8 |
3,0 | |
|
111 |
7,6 |
7,1 |
7,0 |
7,0 |
7,0 |
7,0 |
7,0 |
6,9 |
6,8 |
6,7 |
6,6 |
6,4 |
6,3 |
6,2 |
5,9 |
5,6 |
5,5 |
5,4 |
5,2 |
5,0 |
|
112 |
7,6 |
7,1 |
6,7 |
6,4 |
6,2 |
6,0 |
5,8 |
5,5 |
5,2 |
5,0 |
4,9 |
4,6 |
4,4 |
4,3 |
4,2 |
4,1 |
4,0 |
- |
- |
- |
|
113 |
15,7 |
14,8 |
14,6 |
14,5 |
14,3 |
14,1 |
14,0 |
13,7 |
13,6 |
13,5 |
13,4 |
12,8 |
12,4 |
12,3 |
12,2 |
11,4 |
11,2 |
11,0 |
10,5 |
10,0 |
|
171 |
- |
4,8 |
4,8 |
5,1 |
5,1 |
- |
5,3 |
5,2 |
- |
5,1 |
4,9 |
4,8 |
- |
4,7 |
4,4 |
4,4 |
4,3 |
4,3 |
4,2 |
4,2 |
|
172 |
- |
3,6 |
3,6 |
3,8 |
3,9 |
- |
4,1 |
3,9 |
- |
3,8 |
3,7 |
3,6 |
- |
3,5 |
3,3 |
3,1 |
3,0 |
2,9 |
2,8 |
2,7 |
|
173 |
- |
4,8 |
4,8 |
5,1 |
5,1 |
- |
5,3 |
5,2 |
- |
5,1 |
4,9 |
4,8 |
- |
4,7 |
4,4 |
4,4 |
4,3 |
4,3 |
4,2 |
4,2 |
|
121 |
- |
10,2 |
9,7 |
9,3 |
9,0 |
8,7 |
8,4 |
8,0 |
7,7 |
7,6 |
7,5 |
7,3 |
- |
7,1 |
7,0 |
6,9 |
6,8 |
6,7 |
6,6 |
6,5 |
|
211 |
- |
- |
- |
- |
- |
- |
15,8 |
15,2 |
14,7 |
14,5 |
14,3 |
13,9 |
13,7 |
13,6 |
13,4 |
13,3 |
13,3 |
13,3 |
13,3 |
13,3 |
|
221 |
- |
16,1 |
15,6 |
15,2 |
14,8 |
14,5 |
14,2 |
13,7 |
13,2 |
13,1 |
12,8 |
12,4 |
- |
12,1 |
11,9 |
11,7 |
11,6 |
11,6 |
11,5 |
11,5 |
|
222 |
- |
16,1 |
15,6 |
15,2 |
14,8 |
14,5 |
14,2 |
13,7 |
13,2 |
13,1 |
12,8 |
12,4 |
- |
12,1 |
11,9 |
11,7 |
11,6 |
11,6 |
11,5 |
11,5 |
|
223 |
- |
- |
- |
- |
- |
- |
- |
- |
- |
13,1 |
12,8 |
12,4 |
- |
12,1 |
11,9 |
11,7 |
11,6 |
11,6 |
11,5 |
11,5 |
|
225 |
- |
16,1 |
15,6 |
15,2 |
14,8 |
14,5 |
14,2 |
13,7 |
13,2 |
13,1 |
12,8 |
12,4 |
- |
12,1 |
11,9 |
11,7 |
11,6 |
11,6 |
11,5 |
11,5 |
|
231 |
- |
- |
- |
- |
- |
- |
- |
- |
- |
- |
- |
- |
- |
10,9 |
10,7 |
10,5 |
10,4 |
10,4 |
10,3 |
10,3 |
|
251 |
- |
- |
- |
- |
- |
- |
- |
- |
- |
- |
- |
- |
- |
- |
- |
- |
- |
- |
- |
- |
|
321 |
- |
10,2 |
9,7 |
9,3 |
9,0 |
8,7 |
8,4 |
8,0 |
7,7 |
7,6 |
7,5 |
7,3 |
- |
7,1 |
7,0 |
6,9 |
6,8 |
6,7 |
6,6 |
6,5 |
Таблица 12
|
Обозначение типа |
Толщина образца, мм | |||||||||||||||||||
|
0,4 |
0,5 |
0,6 |
0,7 |
0,8 |
0,9 |
1,0 |
1,2 |
1,4 |
1,5 |
1,6 |
1,8 |
1,9 |
2,0 |
2,2 |
2,4 |
2,5 |
2,6 |
2,8 |
3,0 | |
|
111 |
7,6 |
7,1 |
6,7 |
6,4 |
6,2 |
6,0 |
5,8 |
5,5 |
5,2 |
5,0 |
4,4 |
4,6 |
4,4 |
4,3 |
4,2 |
4,1 |
4,0 |
3,9 |
3,8 |
3,7 |
|
113 |
12,6 |
11,8 |
11,2 |
10,7 |
10,3 |
10,0 |
9,7 |
9,1 |
8,6 |
8,3 |
8,1 |
7,7 |
7,5 |
7,4 |
7,2 |
7,1 |
7,0 |
6,9 |
6,8 |
6,7 |
|
171 |
- |
4,0 |
4,0 |
4,2 |
4,2 |
- |
4,4 |
4,3 |
- |
4,2 |
4,1 |
4,0 |
- |
3,9 |
3,6 |
3,6 |
3,5 |
3,5 |
3,4 |
1,4 |
|
172 |
- |
- |
3,0 |
3,2 |
3,3 |
- |
3,4 |
3,3 |
- |
3,2 |
4,1 |
3,0 |
- |
2,9 |
2,7 |
2,6 |
2,5 |
2,4 |
2,3 |
2,2 |
|
173 |
- |
4,0 |
4,0 |
4,2 |
4,2 |
- |
4,4 |
4,3 |
- |
4,2 |
4,1 |
4,0 |
- |
3,9 |
3,6 |
3,6 |
3,5 |
3,5 |
3,4 |
3,4 |
|
121 |
- |
8,2 |
7,8 |
7,5 |
7,2 |
7,0 |
6,7 |
6,4 |
6,2 |
6,0 |
5,9 |
5,8 |
5,7 |
5,7 |
5,6 |
5,5 |
5,4 |
5,3 |
5,2 |
5,1 |
|
211 |
- |
- |
- |
- |
- |
- |
12,6 |
12,2 |
11,7 |
11,5 |
11,2 |
11,1 |
11,0 |
10,9 |
10,7 |
10,6 |
10,5 |
10,4 |
10,3 |
10,2 |
|
221 |
13,5 |
12,9 |
12,5 |
12,1 |
11,8 |
11,6 |
11,4 |
11,0 |
10,6 |
10,4 |
10,2 |
9,9 |
9,8 |
9,7 |
9,5 |
9,4 |
9,3 |
9,2 |
9,1 |
9,0 |
|
231 |
- |
- |
- |
- |
- |
- |
- |
- |
- |
- |
- |
- |
- |
8,7 |
8,5 |
8,4 |
8,3 |
8,2 |
8,2 |
8,0 |
|
321 |
8,2 |
7,8 |
7,5 |
7,2 |
7,0 |
6,7 |
6,4 |
6,2 |
6,0 |
5,9 |
5,8 |
5,7 |
5,7 |
5,6 |
5,5 |
5,4 |
5,3 |
5,2 |
5,1 | |
3.1. Для проверки соответствия пластиков требованиям настоящего стандарта, стандартов или технических условий на конкретные типы пластиков устанавливают приемо-сдаточные, периодические и типовые испытания.
3.2. Пластики принимают партиями.
За партию принимают пластики одного типа, запрессованные одновременно в одном прессе, имеющие порядковый номер этой запрессовки.
3.3. Каждая партия пластика должна сопровождаться документом о качестве с указанием следующих данных:
товарного знака предприятия-изготовителя;
условного обозначения пластика;
массы нетто в килограммах;
клейма технического контроля предприятия-изготовителя;
обозначения стандарта или технических условий на конкретный тип пластика.
3.4. Приемо-сдаточным испытаниям должна быть подвергнута каждая партия пластиков. Испытания проводят по показателям и в объеме, указанным в табл. 13.
3.3, 3.4. (Измененная редакция, Изм. N 2).
3.5. При получении неудовлетворительных результатов приемо-сдаточных испытаний по показателям, указанным в табл. 13, пп. 1, 2, 4, 6 и 7 проверке подвергают каждый лист.
При получении неудовлетворительных результатов хотя бы по одному из показателей, указанных в табл. 13 пп. 19, 20, проводят повторные испытания удвоенного количества образцов, взятых от других листов той же партии, по тем показателям, по которым получены неудовлетворительные результаты. Результаты повторных испытаний распространяют на всю партию.
3.6. Периодические испытания пластиков должны проводиться не реже одного раза в 6 мес на листах, отобранных от партии, прошедшей приемо-сдаточные испытания.
Результаты проведенных периодических испытаний распространяют на все партии пластиков данного типа.
3.7. При получении неудовлетворительных результатов периодических испытаний проводят повторные испытания удвоенного количества листов той же партии по тем показателям, по которым получены неудовлетворительные результаты. Результаты повторных испытаний распространяют на всю партию.
Таблица 13
|
Показатель |
Пункт |
Размер образца, мм | |||||
|
технических требований |
методов испытаний |
Количество образцов |
длина |
ширина |
толщина |
Вид испытаний | |
|
1. Размеры, мм |
1.3 |
4.4 |
Не менее 10% листов |
Целые листы |
Все толщины |
Приемо-сдаточные | |
|
2. Толщина, мм |
1.4 (табл. 2) |
4.5 |
То же |
То же |
То же |
То же | |
|
3. Состояние поверхности |
2.3 |
4.6 |
Каждый лист |
" |
" |
" | |
|
4. Состояние краев |
2.4 |
4.7 |
Не менее 10% листов |
" |
" |
" | |
|
5. Штампуемость |
2.5 (табл. 3) |
4.8 |
По пяти, вырезанных в продольном и поперечном направлениях |
Не менее 120 |
|
0,5-2,0 |
Периодические |
|
6. Стрела прогиба, мм |
2.6 (табл. 4, 5) |
4.9 |
Не менее 10% листов |
Целые листы |
Не менее 3 |
Приемо-сдаточные | |
|
7. Коробление, мм |
2.7 (табл. 6) |
4.10 |
То же |
То же |
Не менее 2 |
То же | |
|
8. Плотность, кг/м3* |
2.8 (табл. 7-9) |
4.11 |
3 |
50±1 |
Не более 2 |
Периодические | |
|
20±1 |
Не менее 2 | ||||||
|
9. Разрушающее напряжение при изгибе перпендикулярно слоям, МПа |
2.8 (табл. 7-9) |
4.12 |
По пяти, вырезанных в продольном и поперечном направлениях |
20h* |
15±0,5 |
1,5-10** |
То же |
|
10. Разрушающее напряжение при растяжении, МПа |
2.8 (табл. 7-9) |
4.13 |
То же |
Не менее 150 |
20±0,5 |
1-10 | |
|
11. Ударная вязкость по Шарпи параллельно слоям на образцах с надрезом, кДж/м2 |
2.8 (табл. 7-9) |
4.14 |
По пяти, вырезанных в продольном и поперечном направлениях |
120±2 |
15±0,5 |
5-10** |
Периодические |
|
12. Водопоглощение, мг |
2.8 (табл. 10) |
4.15 |
3 |
50±1 |
0,4-20 |
То же | |
|
13. Удельное объемное электрическое сопротивление Ом·м |
2.8 (табл. 7-9) |
4.16 |
3 |
100±2 |
Не более 8,0 |
" | |
|
14. Сопротивление изоляции, МОм |
2.8 (табл. 7, 8) |
4.17 |
По трем, вырезанным в продольном и поперечном направлениях |
75±2 |
50±2 |
0,4-3,0 |
" |
|
15. Тангенс угла диэлектрических потерь при частоте 50 Гц |
2.8 (табл. 7, 9) |
4.18 |
3 |
Не менее 100 |
0,4-3,0 |
" | |
|
16. (Исключен. Изм. N 2) | |||||||
|
17. Тангенс угла диэлектрических потерь при частоте 1·106 Гц |
2.8 (табл. 8, 9) |
4.19 |
3 |
50±1 |
0,4-3,0 |
" | |
|
18. (Исключен. Изм. N 2) | |||||||
|
19. Электрическая прочность перпендикулярно слоям (одноминутное проверочное испытание), кВэфф/мм |
2.8 (табл. 11, 12) |
4.20 |
3 |
Не менее 100 |
0,4-3,0 |
Приемо-сдаточные | |
|
20. Пробивное напряжение параллельно слоям (одноминутное проверочное испытание), кВэфф |
2.8 (табл. 7-9) |
4.20 |
По трем, вырезанным в продольном и поперечном направлениях |
Не менее 65 |
Не менее 3,5 |
Приемо-сдаточные | |
______________________________
* h - толщина образца.
** При большей толщине листа, толщина образца доводится до 10 мм.
В случае неудовлетворительных результатов повторных периодических испытаний поставка пластиков потребителю должна быть прекращена до выявления и устранения причин несоответствия требованиям настоящего стандарта, а также требованиям стандартов или технических условий на конкретный тип пластиков.
3.8. Типовые испытания должны быть проведены на соответствие требованиям стандартов или технических условий на конкретный тип пластика, а также требованиям настоящего стандарта при изменении технологического процесса изготовления пластика, а также при замене исходных материалов в объеме периодических и приемо-сдаточных испытаний.
По требованию потребителей предприятие-изготовитель должно представлять протоколы периодических и типовых испытаний.
Для проверки потребителем качества пластика объем выборок устанавливается в стандартах или технических условиях на конкретный тип пластика, если они отличаются от указанных в пп. 3.4 и 3.6, при этом за партию принимают пластик одного типа, полученный по одному сопроводительному документу, удостоверяющему качество продукции.
(Измененная редакция, Изм. N 2).
4.1. Перед испытанием на соответствие требованиям (пп. 1.4; 2.5-2.8) пластики после длительного хранения в условиях, указанных в п. 5.9, должны быть нормализованы в течение (48±0,5) ч при температуре 15-35°С и относительной влажности 45-75%, если в стандартах или технических условиях на конкретный тип пластика не предусмотрено другое время нормализации.
4.2. Перед каждым видом испытаний на соответствие требованиям (пп. 2.5; 2.8) образцы предварительно кондиционируют при температуре (70±2)°С в течение (4±0,5) ч с последующей выдержкой при температуре 15-35°С и относительной влажности воздуха 45-75% в течение 6-24 ч.
Если предприятие-изготовитель испытание образцов проводит в течение 24 ч с момента запрессовки и при этом соблюдаются комнатные условия хранения по ГОСТ 6433.1-71, то образцы перед испытанием можно не нормализовать и не кондиционировать.
Испытание образцов после нормализации и кондиционирования проводят в условиях комнатной среды по ГОСТ 6433.1-71, кроме измерений, проводимых в условиях воздействия испытательных сред.
4.3. Размеры и количество образцов, необходимых для испытания, приведены в табл. 13 или должны указываться в стандартах или технических условиях на конкретный тип пластика.
Образцы для испытаний подготавливают резанием или фрезерованием. Образцы должны быть без трещин с ровно обрезанными краями. Если образцы необходимо обработать до меньшей толщины, то они обрабатываются только с одной стороны.
4.4. Проверка размеров листов пластиков по длине и ширине (п. 1.3) должна проводиться измерительным инструментом с погрешностью ±1,0 мм.
4.5. Проверка толщины листов пластика (п. 1.4) должна проводиться измерительным инструментом с погрешностью измерения ±0,01 мм для толщин до 15 мм и ±0,1 мм для толщин свыше 15 мм в 10 точках, расположенных на расстоянии не менее 15 мм от края. При этом максимальное и минимальное отклонения в отдельных точках не должны превышать отклонений, указанных в табл. 2.
Допускается применение автоматических устройств и приборов, обеспечивающих указанную погрешность измерения.
4.6. Состояние поверхности листов пластиков (п. 2.3) проверяют внешним осмотром; при наличии контрольного образца - путем сравнения с ним.
4.7. Состояние краев листа должно проверяться визуально.
4.8. Определение штампуемости (п. 2.5) проводят по ГОСТ 24649-81.
4.9. Проверку стрелы прогиба листа (п. 2.6 табл. 4, 5) проводят при равномерной кривизне листа при расположении его выпуклостью вниз, прикладывая к верхней поверхности листа и параллельно его краю тавровый профиль по ГОСТ 13622-91 длиной не меньше длины листа, но не более 3000 мм.
Масса таврового профиля не должна влиять на результат измерения.
Измеряется максимальное расстояние между приложенным тавровым профилем и поверхностью листа.
При неравномерной кривизне измерение производят в месте наибольшей деформации с помощью линейки, длиной не менее 300 мм.
Измеренное расстояние между тавровым профилем и поверхностью листа не должно превышать величины (D), вычисляемой по формуле
, (1)
где L - расстояние между точками касания таврового профиля с поверхностью листа, мм;
d - допускаемое расстояние между тавровым профилем и листом для измерительной длины L = 1000 мм, принятое в зависимости от вида материала и номинальной толщины листа, мм.
4.10. При проверке коробления листа (п. 2.7 табл. 6) следует положить лист выпуклостью вверх так, чтобы три его угла касались ровной поверхности, на которой лежит лист. Измеряется расстояние по вертикали между поверхностью и четвертым углом листа, не лежащим на плоскости.
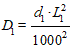
Измеренное расстояние не должно превышать величины (D1), вычисляемой по формуле
, (2)
где L1 - расстояние между углом листа, не лежащим на плоскости, и углом, лежащим на другом конце диагонали, мм;
d1 - допускаемое расстояние между углом листа, не лежащим на плоскости, и плоскостью для измерительной длины.
L1=1000 мм, определяемое в зависимости от типа пластика и номинальной толщины.
4.11. Плотность пластика (п. 2.8 табл. 7-9) определяют методом гидростатического взвешивания по ГОСТ 15139-69.
За результат испытания принимают среднее арифметическое трех определений. Точность взвешивания определяют до 1 мг.
4.12. Разрушающее напряжение при изгибе перпендикулярно слоям (п. 2.8 табл. 7-9) определяют по ГОСТ 4648-71.
За результат испытания принимают минимальное из средних арифметических значений, вычисленных отдельно для долевых и поперечных образцов.
4.13. Разрушающее напряжение при растяжении (п. 2.8 табл. 7-9) определяют на образцах типа 2 по ГОСТ 11262-80, при скорости раздвижения захватов 5 мм/мин.
За результат испытания принимают минимальное из средних арифметических значений, вычисленных отдельно для долевых и поперечных образцов.
4.14. Ударную вязкость по Шарпи параллельно слоям на образцах с надрезом (п. 2.8 табл. 7-9) определяют по ГОСТ 4647-80.
За результат испытания принимают минимальное из средних арифметических значений, вычисленных отдельно для долевых и поперечных образцов. Расстояние между опорами составляет (70±1) мм.
4.15. Водопоглощение (п. 2.8 табл. 10) определяют по ГОСТ 4650-80.
За результат испытания принимают среднее арифметическое трех определений. Точность взвешивания определяют до 1 мг.
4.11-4.15. (Измененная редакция, Изм. N 2).
4.16. Удельное объемное электрическое сопротивление (п. 2.8 табл. 7-9) определяют по ГОСТ 6433.1-71, ГОСТ 6433.2-71 при напряжении 100-1000 В.
Для измерения применяют электроды из алюминиевой отожженной или оловянной фольги. Диаметр измерительного электрода (50±0,2) мм. Контакт электрода с образцом осуществляется давлением 1 Н/см2 (100 гс/см2) через резину или притиранием фольги к поверхности образца при помощи смазок, указанных в табл. 2 ГОСТ 6433.2-71.
Допускается применение электродов из других материалов, указанных в табл. 2 ГОСТ 6433.2-71.
Измерение удельного объемного сопротивления производят в комнатных условиях по ГОСТ 6433.1-71, при этом время с момента извлечения образца из камеры влажности до окончания измерения не должно быть более 3 мин. Не допускается производить измерения при выпадении росы на образцах.
За результат испытания принимают потенцированное среднее десятичных логарифмов результатов трех измерений.
4.17. Сопротивление изоляции (п. 2.7 табл. 7-8) определяют по ГОСТ 6433.2-71 при напряжении 100-1000 В.
Определение сопротивления изоляции проводят на образцах с двумя сквозными отверстиями для электродов с расстоянием между центрами отверстий, равными (25±1) мм, с помощью штифтовых медных или латунных электродов.
Размеры электродов и их расположение на образцах должны соответствовать черт. 7 ГОСТ 6433.2-71.
Перед испытанием образцы помещают в термостат, нагретый до температуры (50±2)°С, и выдерживают (25±1) ч. Охлажденные до комнатной температуры образцы погружают в дистиллированную воду при температуре (23±2)°С на (24±0,5) ч. Образцы вынимают из воды и вытирают тканью или фильтровальной бумагой, вставляют электроды и измеряют электрическое сопротивление изоляции.
Время с момента извлечения образца из воды до окончания измерения не должно быть более 2 мин.
За результат испытания принимают меньшее потенцированное среднее десятичных логарифмов результатов трех измерений по каждому направлению.
4.18. Тангенс угла диэлектрических потерь при частоте 50 Гц после нагревания (п. 2.8 табл. 7, 9) определяют при напряжении 1000 В по ГОСТ 6433.4-71.
Для измерения применяют электроды из алюминиевой отожженной или оловянной фольги. Диаметр измерительного электрода (50±2) мм. При испытании образцов толщиной 3 мм допускается применять измерительный электрод диаметром (75±0,2) мм. Контакт электрода с образцом осуществляется давлением 1 Н/см2 (100 гс/см2) через резину или притиранием фольги к поверхности образца при помощи смазок, указанных в табл. 2 ГОСТ 6433.4-71. Допускается применение электродов из других материалов, указанных в табл. 2 ГОСТ 6433.4-71.
Перед испытанием образцы помещают в термостат, нагретый до температуры (105±5) °С, выдерживают (96±0,5) ч и затем охлаждают в эксикаторе над хлористым кальцием до комнатной температуры. Образцы извлекают из эксикатора, прикладывают к ним электроды и проводят измерения.
Время с момента извлечения образца из эксикатора до окончания измерения должно быть не более 10 мин.
За результат испытания принимают среднее арифметическое трех измерений.
4.19. Тангенс угла диэлектрических потерь при частоте 1·106 Гц после кондиционирования (в условиях 24 ч/23°С/дистиллированная вода) (п. 2.8 табл. 8-9) определяют по ГОСТ 22372-77.
Для измерения применяют электроды из алюминиевой отожженной или оловянной фольги толщиной не более 10 мкм. Диаметр электродов (50±0,2) мм. При испытании образцов толщиной до 1,0 мм включительно допускается применять электрод диаметром (25±0,2) мм. Контакт электрода с образцом осуществляется притиранием фольги к поверхности образца при помощи смазок, указанных в п. 3.3.1 ГОСТ 22372-77.
Перед испытанием образцы погружают в дистиллированную воду при температуре (23±2) °С и выдерживают (24±0,5) ч. После выдержки в воде образцы вынимают, вытирают чистой тканью или фильтровальной бумагой. Через 20 мин после удаления образцов из воды к ним прикладывают электроды и производят измерения.
За результат испытания принимают среднее арифметическое трех измерений.
4.18, 4.19. (Измененная редакция, Изм. N 2).
4.20. Электрическая прочность перпендикулярно слоям (одноминутное проверочное испытание) и пробивное напряжение параллельно слоям (одноминутное проверочное испытание) в условиях М/90°С/трансформаторное масло (п. 2.8 табл. 11, 12) должны определяться по ГОСТ 6433.3-71.
При испытании принимают медные или латунные электроды. При определении электрической прочности перпендикулярно слоям используют два цилиндрических электрода, один из которых имеет диаметр (25±0,2) мм, другой - (75±0,2) мм. При измерении пробивного напряжения применяют штыревые конические электроды диаметром от 5 до 5,5 мм, расстояние между осями электродов должно быть (25±1) мм.
Для испытания образцы погружают в трансформаторное масло, нагретое до (90±2)°С и выдерживают 0,5-1 ч, после чего с максимальной скоростью повышают напряжение до требуемой величины, указанной в нормах на данный материал, и выдерживают (1±0,2) мин.
Результат испытания считается положительным, если все образцы выдержали заданное напряжение.
5.1. Перед упаковыванием поверхность пластиков должна быть очищена от пыли и частиц смолы.
Пластики должны быть упакованы в ящики типов II-1, III-1, V-2 и VI-1 по ГОСТ 2991-85 или типа VI по ГОСТ 5959-80 или ящики N 73 по ГОСТ 16511-86, или обрешетки типов II-4, III-1 по ГОСТ 12082-82, или ящики или обрешетки, изготовленные по нормативно-технической документации. Ящики или обрешетки должны быть обиты по торцам стальной лентой по ГОСТ 3560-73, скрепленной в замок или внахлестку.
(Измененная редакция, Изм. N 2).
5.2. Ящики должны быть выложены внутри упаковочной бумагой по ГОСТ 8828-89 или по ГОСТ 9569-79, или по ГОСТ 515-77. При использовании бумаги по ГОСТ 515-77 ящики дополнительно выстилаются бумагой по ГОСТ 8273-75 или ГОСТ 23436-83.
Размеры ящиков выбираются в зависимости от размеров листов пластиков и в соответствии с требованиями ГОСТ 21140-88 или ГОСТ 16511-86.
Масса брутто должна быть не более 80 кг.
5.3. Допускается упаковывать пластики в полиэтиленовую пленку по ГОСТ 10354-82 или картонные ящики, изготовленные по нормативно-технической документации (марка картона по ГОСТ 7376-89). Ящики должны быть сформированы в транспортные пакеты на поддонах. При этом масса грузового места не должна превышать 1000 кг.
Перевозку транспортных пакетов следует проводить в соответствии с Правилами перевозки грузов, действующими на каждом виде транспорта.
(Измененная редакция, Изм. N 2).
5.4. Пластики, поставляемые на экспорт, должны быть упакованы в ящики типов II-1, III-1, V-2 и VI-1 по ГОСТ 2991-85 или типа VI по ГОСТ 5959-80 в соответствии с требованиями ГОСТ 24634-81.
5.5. На одном из углов каждого листа пластика на расстоянии не более 40 мм от смежных сторон должен быть впрессован или наклеен водорастворимым клеем (например, декстриновым) ярлык размером не более 40x85 мм, на котором токонепроводящей краской должны быть четко нанесены следующие данные:
товарный знак предприятия-изготовителя;
номер партии (запрессовки) и дата ее изготовления;
условное обозначение;
клеймо технического контроля предприятия-изготовителя;
изображение государственного Знака качества.
Для пластика толщиной до 0,4 мм включительно допускается отсутствие ярлыка. В этом случае в каждый ящик с пластиком должен быть вложен документ о качестве.
(Измененная редакция, Изм. N 2).
5.6. Грузовое место должно маркироваться по ГОСТ 14192-77 с нанесением следующих дополнительных данных:
условного обозначения пластика;
номера партии или номера ящика;
массы брутто или нетто в килограммах;
изображения государственного Знака качества.
5.7. Транспортная маркировка должна соответствовать ГОСТ 14192-77. На грузовое место должен быть нанесен манипуляционный знак "Боится сырости".
5.8. Условия транспортирования в части воздействия механических факторов Л по ГОСТ 23216-78; в части воздействия климатических факторов такие же, как условия хранения 5 по ГОСТ 15150-69.
Транспортирование пластиков проводится любым видом транспорта в соответствии с действующими на каждом виде транспорта правилами, утвержденными в установленном порядке.
Пластики по железной дороге транспортируются в контейнерах по ГОСТ 15102-75 или ГОСТ 20435-75.
Допускается транспортировать пластики в контейнерах без упаковки в ящики. Крепление листов осуществляют при помощи вкладышей, упоров, прокладок, изготовленных по нормативно-технической документации.
5.9. Пластики должны храниться в горизонтальном положении в закрытом сухом помещении на стеллажах, расположенных не менее 50 мм от пола.
Температура воздуха в помещении должна быть от минус 10 до плюс 35°С, относительная влажность воздуха не должна превышать 80%.
По истечении гарантийного срока хранения перед использованием пластики должны быть проверены на соответствие всем требованиям стандарта или технических условий на конкретный тип пластика.
6.1. Изготовитель гарантирует соответствие пластиков требованиям настоящего стандарта при соблюдении условий транспортирования, хранения и эксплуатации.
6.2. Гарантийный срок хранения пластиков - 18 мес со дня изготовления.
Приложение
Справочное
|
Тип пластика по настоящему стандарту |
Марка пластика |
Технические условия, действующие стандарты |
|
111 |
Гетинакс I; II; III |
ГОСТ 2718-74 |
|
112 |
Гетинакс X |
ГОСТ 2718-74 |
|
113 |
Гетинакс VI; VII |
ГОСТ 2718-74 |
|
171 |
Текстолит А |
ГОСТ 2910-74 |
|
172 |
Текстолит Б |
ГОСТ 2910-74 |
|
173 |
Текстолит Вч |
ГОСТ 2910-74 |
|
121 |
Стеклотекстолит СТ; CT-I; СТ-II |
ГОСТ 12652-74 |
|
211 |
Гетинакс V; V-I; V-II; VIII |
ГОСТ 2718-74 |
|
221 |
Стеклотекстолит СТЭФ; СТЭФ-1 |
ГОСТ 12652-74 |
|
222 |
Стеклотекстолит СТЭД |
ТУ 16-503.185-79 |
|
223 |
Стеклотекстолит СТЭБ |
ТУ 16-503.166-78 |
|
225 |
Стеклотекстолит СТ-ЭТФ |
ТУ 16-503.116-78 |
|
231 |
Стеклотекстолит СТЭФ-НТ |
ГОСТ 12652-74 |
|
241 |
Текстолит ЛТ |
ГОСТ 2910-74 |
|
251 |
Гетинакс лавсановый |
ТУ 16-503.224-82 |
|
321 |
Стеклотекстолит СТК |
ГОСТ 12652-74 |


